Go to main content

Lakselusinfestasjon på vill laksefisk langs Norskekysten i 2021

— Med foreløpige data fra fokusområder

Author(s): Rune Nilsen , Rosa Maria Serra-Llinares , Anne Dagrun Sandvik , Agnes Marie Mohn , Alison Harvey (IMR), Ingebrigt Uglem NINA, Gunnar Bekke Lehmann NORCE and Ørjan Karlsen (IMR)

Sammendrag

Overvåkingsprogrammet for lakselus på vill laksefisk (NALO) er i 2021 gjennomført på oppdrag fra Mattilsynet (MT) og Nærings- og Fiskeridepartementet (NFD). En hydrodynamisk spredningsmodell som beregner tetthet av infektive lakseluskopepoditter i vannmassene ble som tidligere år kjørt ukentlig for hele Norskekysten. Innsatsen på overvåking av utvandrende postsmolt laks er holdt på omtrent samme nivå som i 2020, men med mer innsats på kysten av Trøndelag på bekostning av Altafjorden. På sjøørret er innsatsen i overvåkingen i 2021 fremdeles differensiert mellom tradisjonell tilstandsbekreftelse og utvidet overvåking i fem fokusområder. Det er undersøkt færre stasjoner i 2021 enn tidligere år, mens overvåkingen i fokusområdene er intensivert og kombinert med tilstøtende aktivitet, både intern og ekstern, på anadrom laksefisk. Vaktbur ble i 2021 benyttet i Boknafjorden og Hardangerfjorden. Tekniske problemer på båter resulterte i færre vaktbur i Hardangerfjorden enn planlagt. De spesialbygde rusene for fangst av utvandrende laks ble driftet ved to lokaliteter. Det ble gjort undersøkelser med en eller flere av ovennevnte metoder i samtlige 13 produksjonsområder langs kysten. I det sørligste og de nordligste produksjonsområdene var innsatsen lavere enn tidligere år. Feltarbeidet i NALO startet 3. mai i Sør-Norge og ble avsluttet 1. august i Øst-Finnmark. 

 

Resultatene er presentert med kart, tabeller og figurer for hvert av de 13 produksjonsområdene fra sør til nord. I oppsummeringen er det gjort en helhetlig vurdering av lusesituasjonene på vill laksefisk langs hele kysten både i 2021 og i et litt lengre perspektiv. Vurdering av risiko for vill laksefisk er ikke gjort i denne rapporten. Begrepene lite, moderat og mye benyttes for å illustrere forskjeller i tid og rom og er derfor ikke definert kvantitativt. Resultatene er vist for hvert av de 13 produksjonsområdene, mens oppsummeringen er mer generell. I tillegg blir det gitt en kort presentasjon om utvikling av effektindikator for lakselus på sjøørret. Til slutt presenteres for første gang data og foreløpige resultater fra fokusområdene i et eget kapittel. 

1 - Mål

Havforskningsinstituttet (HI) har på oppdrag fra Mattilsynet (MT) og Nærings- og fiskeridepartementet (NFD) ansvaret for å koordinere overvåking, forskning og rådgivning vedrørende lakselusinfestasjon på vill laksefisk langs norskekysten. MTs OK-program 56827 «Lakselusovervåking» har som mål at lakselus skal overvåkes og kartlegges med hensyn til påvirkning og effekt av lakselus på ville bestander av laksefisk (laks, sjøørret og sjørøye). Overvåkingen inngår i et større NFD prosjekt som til sammen skal dekke produksjonsområdene langs Norskekysten generelt, i nasjonale laksefjorder spesielt og i den enkelte elv. Til sammen skal lakselusovervåkingen ved HI skaffe datagrunnlag til rådgivning i forbindelse med vurdering av bærekraft for havbruksnæringen (produksjonssoneforskriften), for å evaluere effekten av forvaltningstiltak som nasjonale laksefjorder og andre relevante problemstillinger i forbindelse med lakselus på vill laksefisk. Overvåkingsprogrammet for lakselus på vill laksefisk 2021 følger opp anbefalingene i rapporten” Forslag til førstegenerasjons målemetoder for miljøeffekt (effektindikatorer) med hensyn til genetisk påvirkning fra oppdrettslaks til villaks, og påvirkning av lakselus fra oppdrett på viltlevende laksefiskbestander” (Taranger mfl., 2012a).

2 - Innledning

Siden 2012 har det nasjonale overvåkingsprogrammet for lakselus på vill laksefisk (NALO) vært under kontinuerlig utvikling basert på anbefalingene i «indikatorrapporten» (Taranger mfl., 2012a), samt andre relevante forsknings- og rådgivningsoppgaver. Feltinnsatsen har i denne perioden blitt betydelig styrket, og det har blitt lagt mer vekt på økt systemforståelse (hydrografi og oppdrettsdata m.m.). Infestasjonsdata fra villfisk har i stadig større grad blitt koblet opp mot hydrodynamiske spredningsmodeller for lakselus (Taranger mfl., 2012b; 2013; 2014; 2015; Nilsen mfl., 2014; 2016; Svåsand mfl., 2015; 2016). Kombinasjonen av overvåkning med tradisjonelle observasjoner og ulike modellprodukt gir oss bedre innsikt i problemstillingen samt øker kvaliteten og reduserer usikkerheten i leveransene.

Spredningsmodellen, som er basert på at rapporterte luseverdier og biomassetall fra oppdrett benyttes som kildedata, gir informasjon om risikoen for smitte av lakselus på vill laksefisk. Dette muliggjør en risikobasert adaptiv overvåking i tråd med Lindenmayer & Likens (2009), og vil imøtekomme noen av utfordringene vi ser med en tradisjonell fysisk overvåking av hele norskekysten.

I 2014 ble systemet med risikobasert overvåking testet i ett av områdene i NALO-programmet. Dette ble gjort ved at mengden infektive kopepoditter beregnet med spredningsmodellen for lakselus ble lagt til grunn for valg av hvilke lokaliteter som skulle undersøkes. Tilstandsbekreftelsen fra de undersøkte lokalitetene viste samsvar med forventningene fra spredningsmodellen (Nilsen mfl., 2014). Systemet med risikobasert overvåking ble derfor videreført som en fullskala test i 2015 hvorpå resultater fra alle undersøkte stasjoner i NALO-programmet ble vurdert i lys av modellert tetthet av kopepoditter i tiden like før (Nilsen mfl. 2016). De siste årene har modellen i stor grad vært benyttet som et verktøy for å varsle om tilfeller med spesielt høyt smittepress i kritiske perioder for villfisk (Nilsen mfl., 2017; 2018; 2019).

I løpet av de siste årene har det blitt gjort betydelige fremskritt i arbeidet med å koble modellresultater med reelle smittetall på vill laksefisk (Asplin mfl., 2014; Johnsen mfl., 2014, 2016, 2020a; Sandvik mfl., 2016, 2020, Myksvoll mfl. 2018 og Bøhn mfl. 2021). Metodikken med tradisjonell fysisk overvåking bør likevel opprettholdes parallelt med modellbasert overvåking. Samtidig er det hensiktsmessig å bruke feltinnsatsen i NALO-programmet til ytterligere å studere sammenhengen mellom modell og empiri på det store antallet stasjoner som undersøkes langs kysten. I 2020 ble ingen stasjoner undersøkt som følge av resultater fra spredningsmodellen.

I 2021 var tidsperiodene for datainnsamling på postsmolt laks omtrent uendret fra de siste årene. Det ble likevel lagt mer resurser i en utvidet overvåking av utvandrede laks i Trøndelag. Trålingen ble forlenget til 8 uker, og området ble flyttet lengre ut fra fjordene enn tidligere år. I Sognefjorden ble trålingen forlenget med én ekstra uke for å dekke eventuelt sent utvandret smolt. I 2021 ble det ikke trålt etter postsmolt laks i Altafjordsystemet. Tidligere år har vist veldig lavt påslag i dette området. Årlig trålinnsats i dette området ble derfor vurdert som ikke nødvendig. For sjøørret og sjørøye ble antall undersøkte stasjoner ytterligere redusert i forhold til de tidligere år. Delvis på grunn av endringer i budsjett, men også på grunn av omlegging til fokusområder med større innsats over et lengre tidsrom. I 2021 ble det gjennomført overvåking i totalt fem fokusområder fra Hardangerfjorden i sør til Reisafjorden i nord. I tillegg ble det undersøkt minst en stasjon i hvert av de resterende produksjonsområdene. Feltinnsatsen i fokusområdene ble lagt til tidsrommet like etter forventet smoltutvandring fra elvene i området. I de resterende områdene for tilstandsbekreftelse på sjøørret og sjørøye ble innsatsen lagt til tidsrommet hvor tidligere års data har vist gode fangster. For de aller fleste områdene blir dette noen uker etter forventet utvandringstopp fra elvene i området. Undersøkelser med vaktbur ble opprettholdt i to fjordsystemer, Hardangerfjorden og Boknafjorden. Det var planlagt 2 runder med vaktbur i 14 dager i begge fjordsystemer. Tekniske problemer med båt resulterte likevel i en redusert runde 2, spesielt i Hardangerfjorden. Også i 2021 ble det gjennomført ukentlig tilsyn hos burfisk.

Ekspertgruppen for Trafikklyssystemet har siden 2019 levert generelle vurderinger av bærekraften i de ulike produksjonsområdene. Data fra NALO-programmet er viktige bidrag i denne prosessen. Fordi dette er en pågående prosess vil vi i denne rapporten i mindre grad enn tidligere år komme med vurderinger av forventet effekt fra lakselus på vill laksefisk. Resultatene blir presentert med mindre tekst og beskrivelser tilsvarende som for 2019 og 2020 (Nilsen mfl. 2019 og 2020). Det blir likevel gjort en generell oppsummering i siste del av rapporten hvor resultatene sees i et større perspektiv og hvor en forsøker å belyse eventuelle trender i observasjonene. Prosessen med å koble modellresultater og påslag av lakselus hos villfisk er under rask utvikling. Det blir derfor heller ikke bli gjort foreløpige vurderinger av samsvar mellom modell og empiri slik det har vært presentert i enkelte tidligere rapporter. En slik vurdering blir gjort som egne vitenskapelige arbeider hvor blant annet data fra overvåkingsprogrammet blir inkludert. Det er likevel mulig å vurdere data som presenteres her med data fra spredningsmodell for samtlige områder og perioder på nettsiden lakselus.no. Analyser og beregninger av dose (smittepress) og respons (infeksjonsbelastning) på villfisk blir presentert i Havforskningsinstituttets risikovurdering av norsk fiskeoppdrett og i mer spesifikke vitenskapelige artikler i tiden fremover (Sandvik mfl., 2016; 2020a; Myksvoll mfl., 2018; Johnsen mfl., 2020a; Bøhn mfl. 2021).

Overvåkingen ble i 2021 gjennomført i samarbeid med Norsk institutt for naturforskning (NINA) og NORCE Norwegian Research Centre AS. Feltarbeidet i overvåkingsprogrammet ble utført fra slutten av april til midten av august.

Data fra de ulike metodene i NALO-programmet blir presentert kronologisk for hvert produksjonsområde (1-13) fra sør til nord langs kysten. Resultatene for lakseluspåslag illustreres i figurer og tabeller. Kartene for hvert produksjonsområde viser omtrentlig område for postsmolttråling, vaktbur og undersøkte stasjoner for ruse/garnfangst av sjøørret og sjørøye. Tabeller og figurer i teksten oppsummerer, antall fisk, antall lus, fordeling mellom fastsittende og bevegelige stadier og relativ infestasjonsgrad for hver undersøkt stasjon. Eksperimentelle forsøk tyder på at ca. 0,1 lus per gram fiskevekt kan påføre laksefisk begynnende fysiologiske problemer (Bjørn mfl. 2011). Vi har derfor valgt å illustrere denne grensen i figurene. Alle rådata fra NALO 2021 er nå tilgjengelig og kan lastes ned på hjemmesiden til Norsk Marint Datasenter, www.nmdc.no. Ekstra tabeller er derfor ikke inkludert som appendiks i denne rapporten.

Fokusområdene med foreløpige data og resultater blir presentert som et eget kapittel på slutten av rapporten.

 

Figur 1. Områder og omtrentlige posisjoner for de ulike metodene i overvåkingsprogrammet for lakselus på vill laksefisk i 2021
Figur 1 . Områder og omtrentlige posisjoner for de ulike metodene i overvåkingsprogrammet for lakselus på vill laksefisk i 2021

 

3 - Metoder

3.1 - Operasjonell modellovervåking

Spredningsmodellen for lakselus kjøres ukentlig gjennom hele året, og er tilgjengelig for alle på HIs nettsider (lakselus.no). Utviklingen i modellert tetthet av infektive kopepoditter følges tett i forkant av, under og etter gjennomført feltarbeid. Modellen er nyttig verktøy da den gir en god generell oversikt over lusesituasjonen langs kysten også på steder og tidspunkter som ikke blir fysisk overvåket.

Spredningsmodellen for frittlevende stadier av lakselus kombinerer data om utslipp av nauplielarver fra oppdrettsanlegg (antall voksne hunnlus, antall fisk og sjøtemperatur) med hydrodynamiske modeller som beskriver vannstrømmer, temperatur og saltholdighet. I tillegg benyttes informasjon om luselarvenes utviklingstid, vertikale adferd og forventet dødelighet. Modellen oppdateres fortløpende når ny relevant kunnskap blir tilgjengelig (Sandvik mfl., 2020b, Johnsen mfl., 2020b).

Resultatet fra spredningsmodellen er timesverdier av posisjonen og alder til alle lakselus produsert ved operative oppdrettsanlegg. Videre er tettheten av smittsomme kopepoditter per kvadratmeter summer til daglige verdier. Lakselusene har gjerne fulgt strømmen i 5–10 dager før de når det infektive stadiet (avhenger av vanntemperaturen), og kan i løpet av denne tiden potensielt ha blitt transportert mange km bort fra den opprinnelige utslippsposisjonen (Asplin mfl., 2014). Hvor lang denne transporten er avhenger av de hydrografiske forholdene og den temperaturstyrte utviklingen lakselusa har hatt til det infektive kopepodittstadiet. Typisk vil lakselus i nord og om våren oppleve lavere temperatur enn i sør og om sommeren, og dermed bruke lenger tid på å utvikle seg til smittsom kopepoditt. Denne tidsdifferansen i utvikling medfører potensielt en lengre transport bort fra utslippspunktet, men også større dødelighet før den når det infektive kopepodittstadiet.

For å gi et mer gjennomsnittlig bilde av lusepresset er timesverdiene fra modellen summert over 10 dager før de publiseres på lakselus.no Når modellen kjøres ukentlig med oppdatert informasjon om utslipp vil den kunne indikere områder med høy tetthet av kopepoditter (Figur 2).

 

Figur 2. Resultater fra den hydrodynamiske spredningsmodellen for lakselus. Figuren viser tetthet av kopepoditter på en skala fra 0-1 (antall per kvadratmeter), summert over perioden som står i tittelen. Fargene kan ikke direkte overføres til effekt på vill laksefisk.
Figur 2. Resultater fra den hydrodynamiske spredningsmodellen for lakselus. Figuren viser tetthet av kopepoditter på en skala fra 0-1 (antall per kvadratmeter), summert over perioden som står i tittelen. Fargene kan ikke direkte overføres til effekt på vill laksefisk.

 

Tidligere år (2015-2017) ble modellen brukt mer direkte til valg av stasjoner for overvåking av lusepåslag på villfisk. Fra 2018 ble dette noe redusert til fordel for mer forhåndsbestemte stasjoner, men nettutgaven av modellen gjorde det fremdeles mulig for alle involverte i overvåkingsprogrammet å følge med i utviklingen. Dette kunne blant annet benyttes når prioriteringer i de aktuelle områder og tidsperioder måtte gjøres i felt.

3.2 - Feltarbeid

Både under forberedelser og gjennomføring av feltarbeid ved overvåkingsprogrammet er det lagt stor vekt på å ivareta kvalitet, og metodene i NALO-programmet har blitt betydelig forbedret i løpet av de siste årene. For å kunne dokumentere høy kvalitet på lusetellinger på villfisk er det innført krav om bestått kurs i identifikasjon av lakselus (og forvekslingsarter) for alle aktuelle deltakere. Kurset har både praktisk og teoretisk eksamen. I tillegg er det gjennomført flere feltkurs og runder med opplæring for å sikre standardisering av feltmetodikk (valg av fiskeplass, fangst, håndtering, lusetelling og andre registreringer).

Som tidligere år utgjør lusetellinger på ruse- og garnfanget ørret og røye fremdeles hovedtyngden av feltinnsamlingen i NALO-programmet. Vi har som mål at all fisk som undersøkes skal settes levende tilbake i sjøen etter endt lusetelling. For å imøtekomme dette brukes sjøørretruser ved hver stasjon, da de er det foreløpig beste redskapet vi disponerer til levendefangst. Ved behov suppleres likevel fangstene med tradisjonelle flytegarn. Lusetelling på garnfanget fisk gjøres umiddelbart etter fangst for å forhindre tap av lus.

De fleste feltteam ble i 2021 utstyrt med sjøørretruser med pelagisk ledegarn som ble satt på aktuelle fiskeplasser ved stasjonene. Rusene fanger all fisk levende i et fangstkammer ca. 30-50 meter fra strandlinjen og på ca. 1-2 meters dyp. Rusene blir sjekket minimum en gang i døgnet, ved store fangster oftere. Eventuell laksefisk blir skånsomt løftet ut av fangstkammer og over i et oppbevaringskar i båten ved hjelp av en finmasket håv. Deretter blir fisken bedøvd med Benzokain (200 mg/ml) hvorpå lusetelling og annen registrering gjennomføres før fisken legges til oppvåkning i et annet kar. Lusetellingene foregår i en hvit plastbakke med vann i og under kraftig lys. All fisk settes tilbake ved strandsonen på fiskeplassen etter registrering. Tidligere merkeforsøk viser at andel gjenfangst i rusene normalt ligger på under 5 prosent (Arechavala-Lopez mfl., 2016). Dette betyr at vi risikerer å registrere enkelte fisk mer enn en gang i løpet av perioden. Dette kunne imidlertid vært unngått hvis hver fisk ble merket ved rusefangst. Vi har likevel valgt å utelukkende merke fisk i fokusområdene. Eventuelle feilvurderinger på grunn av lusetellinger av samme individ to eller flere ganger på de andre stasjonene blir vurdert som ubetydelig i denne sammenhengen.

Ved garnfiske blir et antall flytegarn (16-26 millimeter maskevidde) satt fra strandsonen og ca. 30 meter ut i fjorden i det aktuelle fiskeområdet. Garnene blir kontinuerlig røktet gjennom hele fiskeperioden for å redusere sannsynligheten for at fisk dør i garnene og lus faller/hopper av. All garnfangst av sjøørret/røye blir skånsomt klippet løs, avlivet og overført til en hvit plastbakke med vann for lusetelling. Etter lusetelling blir garnfanget fisk oppbevart i separate merkede plastposer for videre prøvetaking etter endt fiske.

Oppdatert feltinstruks for minimum antall undersøkt fisk per lokalitet ble utarbeidet på bakgrunn av analyser av tidligere års overvåkingsdata. Analysene viste hvor mange fisk som bør undersøkes på hver lokalitet for at de skulle representere situasjonen hos villfisk med tilstrekkelig høy sannsynlighet. I 2021 ble det anbefalt å undersøke minst 40 fisk per runde per stasjon. Stor variasjon i tetthet av ørret i det aktuelle området resulterer likevel i perioder med lav fangst.

Utvandrende postsmolt av laks ble i 2021 hovedsakelig fanget med pelagisk trål i ytre deler av flere større fjordsystemer. I tillegg ble det også forsøkt å fange noe laks med spesialtilpassede ruser på to stasjoner. Fangst av laks i ruser ble behandlet på samme måte som garnfanget fisk som ble avlivet før prøvetakning og lusetelling. I trålen ble postsmolten fanget levende med en spesialbygget pelagisk trål (fish-lift, Holst & McDonald, 2000), og lusepåslag og andre parametere ble registrert umiddelbart etter fangst og med samme metode som for garn- og rusefanget fisk. All trålfanget laksesmolt ble avlivet og frosset ned for ytterligere prøvetakning ved laboratorier etter endt feltarbeid.

Vaktbur med oppdrettsfisk ble i tillegg benyttet som en alternativ metode for å måle smittepress på spesifikke posisjoner i bestemte tidsperioder. I 2021 ble vaktbur satt ut i Hardangerfjorden og Boknafjorden. I hvert bur ble det plassert 30 fisk i ca. 14 dager. Hvert bur er på ca. 1 kubikkmeter og består av to plastringer som er dekket med knuteløst 14 mm nett, og er plassert 1-2 meter under overflaten. Når burene tømmes blir lusetelling gjennomført umiddelbart etter avlivning. Det blir brukt samme metodikk som ved telling på vill laksefisk med kraftig lys og med fisken liggende i vann i et hvitt kar. Alle bur ble sjekket etter omtrent 7 dager hvor eventuelt skadede eller døde fisk ble plukket ut.

3.3 - Databehandling og presentasjon

I denne rapporten er alle infeksjonsparametere beregnet og beskrevet etter anbefalinger fra (Rozsa mfl., 2000) for presentasjon av kvantitative parasittologiske data.

Siden 2015 er standardavvik byttet ut med maks/min når fiskens vekt beskrives i tabeller. Dette gir en enklere oversikt over størrelsessammensetningen på undersøkte fisk fra hver lokalitet. Videre er alle infeksjonsparametere (prevalens, intensitet, median etc.) oppgitt med 95 % konfidensintervall. Konfidensintervall for prevalens (andel av fisken som har lus) er beregnet basert på binomisk fordeling (Bush mfl., 1997). Intensitet (gjennomsnittlig antall lus på fisken som har lus) med konfidensintervall er beregnet med BCa (bias-corrected and accelerated) bootstrap som anbefalt av Efron & Tibshirani (1993), mens median er oppgitt med distribusjonsfritt konfidensintervall.

Alle data i denne rapporten blir presentert med figurer og tabeller i påfølgende resultatkapittel. I tabellene blir antall fisk, prevalens, gjennomsnittlig intensitet og prosentandel med mer enn 0,1 lus per gram kroppsvekt presentert. Prevalens er definert som andelen av det undersøkte materialet som blir funnet med en eller flere lakselus og oppgis i prosent. Gjennomsnittlig intensitet er gjennomsnittlig antall lakselus på den andelen av materialet hvor lakselus ble registrert. Gjennomsnittlig intensitet oppgis som et desimaltall i tabellene. Konfidensintervall er oppgitt i klammer bak verdiene i tabellene. I figurene benyttes hovedsakelig boksplott som viser medianfordelingen av lakselus på de ulike stasjoner og uker. For å visualisere fordelingen av verdiene langs y-aksen er disse merket som mørke dotter. Figurene viser medianfordeling av alle lus, av fastsittende og bevegelige stadier og medianfordeling av relativ mengde lakselus (antall lus/gram).

4 - Resultater

4.1 - Sørlandet (PO 1, Svenskegrensen – Jæren)

4.1.1 - Området

Produksjonsområde 1 strekker seg fra Svenskegrensen i øst til Jæren på Sør-Vestlandet. Det er registrert 38 lakseførende vassdrag i dette området, hvor av seks har status som nasjonale laksevassdrag. Samlet gytebestansdmål (GBM) for disse vassdragene er nesten 50 tonn hunnlaks som gir en teoretisk årlig produksjon på mer enn 2,1 millioner smolt (Ugedal mfl. 2021). Sjøørret er tallrik i hele produksjonsområdet og reproduserer i en rekke mindre vassdrag i tillegg til de nevnte lakseelvene. Det er generelt lite oppdrett av laksefisk i sjø i dette produksjonsområdet. I 2020 var det 9 lokaliteter i drift under overvåkingsperioden, mens store områder er helt uten oppdrettsvirksomhet. Samlet produksjon av luseegg fra oppdrettsanlegg i dette området var lavt under hele våren og sommeren (Figur 3).

 

Figur 3. Produksjon av klekte luseegg fra oppdrettsanlegg i produksjonsområde 1 i tidsrommet mars - september i 2020 og 2021. Grønt felt indikerer en periode på 70 døgn hvor en regner med at en stor andel sjøørret benytter det marine habitatet i produksjonsområdet. Figuren illustrerer også tidsrom for lavere lusegrense i oppdrettsanlegg og omtrentlig tidsrom for overvåking i dette produksjonsområdet (ruse Flekkefjord) t.v. Kartet illustrerer modellert fordeling av kopepoditter i produksjonsområdet summert over den samme 70 døgns perioden. Grønn farge i kartet indikerer lav tetthet av kopepoditter og blå farge i kartet indikerer høyere tetthet med kopepoditter t.h. Perioden på 70 døgn er lagt 20 døgn før og 50 døgn etter teoretisk 50 prosent laksesmoltutvandring for produksjonsområdet.
Figur 3. Produksjon av klekte luseegg fra oppdrettsanlegg i produksjonsområde 1 i tidsrommet mars - september i 2020 og 2021. Grønt felt indikerer en periode på 70 døgn hvor en regner med at en stor andel sjøørret benytter det marine habitatet i produksjonsområdet. Figuren illustrerer også tidsrom for lavere lusegrense i oppdrettsanlegg og omtrentlig tidsrom for overvåking i dette produksjonsområdet (ruse Flekkefjord) t.v. Kartet illustrerer modellert fordeling av kopepoditter i produksjonsområdet summert over den samme 70 døgns perioden. Grønn farge i kartet indikerer lav tetthet av kopepoditter og blå farge i kartet indikerer høyere tetthet med kopepoditter t.h. Perioden på 70 døgn er lagt 20 døgn før og 50 døgn etter teoretisk 50 prosent laksesmoltutvandring for produksjonsområdet.

 

I 2021 ble det gjennomført undersøkelser av lakselusinfestasjon på sjøørret over en periode på 1-2 uker i dette produksjonsområdet. Det ble ikke gjort undersøkelser på postsmolt laks, eller med vaktbur.

 

Figur 4. Områder for overvåking i produksjonsområde 1. Røde sirkler angir posisjoner for undersøkelser med ruser og garn. Grønne områder er nasjonale laksefjorder
Figur 4 . Områder for overvåking i produksjonsområde 1. Røde sirkler angir posisjoner for undersøkelser med ruser og garn. Grønne områder er nasjonale laksefjorder

 

4.1.2 - Ruse og garn

Sandnesfjord og Flekkefjord i Agder ble valgt som stasjoner for tilstandsbekreftelse på sjøørret i produksjonsområdet på Sørlandet. Sandnesfjord har tidligere vært undersøkt gjennom flere år i overvåkingsprogrammet som en sørlig referanse i et område uten nærliggende oppdrett av laksefisk. Flekkefjord har vært undersøkt i løpet av de siste årene (Figur 4). Undersøkelsene ble gjort i tidsrommet fra uke 21 til uke 23.

Stasjon Uke n Prevalens Intensitet % > 0,1 lus/g
[95%KI] [95%KI] [95%KI]
Sandnesfjord 21-22 53 4 [1-13] 2 [1-2] 0 [0-7]
Flekkefjord 22-23 33 24 [13-41] 7 [3-17] 0 [0-10]
Tabell 1. Infestasjon av lakselus på sjøørret i PO 1. n angir antall undersøkte fisk i hver uke. Prevalens viser hvor stor andel av de undersøkte fiskene som ble funnet med en eller flere lakselus og oppgis i prosent. 95 % konfidensintervall er oppgitt i klammer bak. Intensitet angir gjennomsnittlig antall lakselus på den andelen av materialet som ble funnet med lus med 95 % konfidensintervall i klammer bak. % > 0,1 lus/ g viser andelen av det undersøkte materialet hvor infestasjonen var høyere enn 0,1 lus per gram kroppsvekt. 95 % konfidensintervall er oppgitt i klammer bak.

 

 

Figur 5. Antall lakselus (A), relativt antall lus (antall lus/gram kroppsvekt) (B) og antall lakselus fordelt på fastsittende og bevegelige stadier (C) fra sjøørret på stasjonene Sandnesfjord (venstre) og Flekkefjord (høyre).
Figur 5. Antall lakselus (A), relativt antall lus (antall lus/gram kroppsvekt) (B) og antall lakselus fordelt på fastsittende og bevegelige stadier (C) fra sjøørret på stasjonene Sandnesfjord (venstre) og Flekkefjord (høyre).

 

4.2 - Rogaland (PO 2, Ryfylke)

4.2.1 - Området

Produksjonsområde 2 strekker seg fra Jæren til Haugesund på Sør-Vestlandet og dekker hovedsakelig Boknafjorden med tilstøtende fjordsystemer. Det er registrert 18 lakseførende vassdrag i dette området, hvorav to har status som nasjonale laksevassdrag. Samlet gytebestansdmål (GBM) for disse vassdragene er nesten 9 tonn hunnlaks som gir en teoretisk årlig produksjon på mer enn 438 000 smolt (Ugedal mfl. 2021). Sjøørret er tallrik i store deler av produksjonsområdet og reproduserer i mindre vassdrag i tillegg til de nevnte lakseelvene. Det er generelt høy oppdrettsproduksjon av laksefisk i sjø i Boknafjordsystemet, mens Sandsfjorden og området sørvest for Stavanger er helt uten oppdrettsvirksomhet (Nasjonale laksefjorder). I perioden for overvåkingen i 2021 var det 45 lokaliteter i drift i PO 2. Samlet produksjon av luseegg fra oppdrettsanlegg økte fra mindre enn 5 millioner per time 1. mai til mer enn 10 millioner per time i begynnelsen av juni. Spredningsmodellen viser høyest tetthet av kopepoditter i den nordlige delen av Boknafjorden (Figur 6).

 

Figur 6. Produksjon av klekte luseegg fra oppdrettsanlegg i produksjonsområde 2 i tidsrommet mars - september i 2020 og 2021. Grønt felt indikerer en periode på 70 døgn hvor en regner med at en stor andel sjøørret benytter det marine habitatet i produksjonsområdet. Figuren illustrerer også tidsrom for lavere lusegrense i oppdrettsanlegg og omtrentlig tidsrom for overvåking i dette produksjonsområdet (ruse og trål 2021, t.v.). Kartet illustrerer modellert fordeling av kopepoditter i produksjonsområdet summert over den samme 70 døgns perioden. Grønn farge i kartet indikerer lav tetthet av kopepoditter og blå farge i kartet indikerer høyere tetthet med kopepoditter t.h. Perioden på 70 døgn er lagt 20 døgn før og 50 døgn etter teoretisk 50 prosent laksesmoltutvandring for produksjonsområdet.
Figur 6. Produksjon av klekte luseegg fra oppdrettsanlegg i produksjonsområde 2 i tidsrommet mars - september i 2020 og 2021. Grønt felt indikerer en periode på 70 døgn hvor en regner med at en stor andel sjøørret benytter det marine habitatet i produksjonsområdet. Figuren illustrerer også tidsrom for lavere lusegrense i oppdrettsanlegg og omtrentlig tidsrom for overvåking i dette produksjonsområdet (ruse og trål 2021, t.v.). Kartet illustrerer modellert fordeling av kopepoditter i produksjonsområdet summert over den samme 70 døgns perioden. Grønn farge i kartet indikerer lav tetthet av kopepoditter og blå farge i kartet indikerer høyere tetthet med kopepoditter t.h. Perioden på 70 døgn er lagt 20 døgn før og 50 døgn etter teoretisk 50 prosent laksesmoltutvandring for produksjonsområdet.

 

I 2021 ble det gjennomført postsmolttråling etter laks i 4 uker. Undersøkelser på ruse/garnfanget sjøørret ble utført ved to stasjoner over en tidsperiode på tre uker. I tillegg ble det gjennomført 2 runder av 14 dager med vaktbur i dette produksjonsområdet (Figur 7).

 

Figur 7. Områder for overvåking i produksjonsområde 2. Røde sirkler angir posisjoner for undersøkelser med ruser og garn, hvite sirkler angir posisjoner for vaktbur og skravert felt viser omtrentlig område for postsmolttråling. Grønne områder indikerer nasjonale laksefjorder.
Figur 7. Områder for overvåking i produksjonsområde 2. Røde sirkler angir posisjoner for undersøkelser med ruser og garn, hvite sirkler angir posisjoner for vaktbur og skravert felt viser omtrentlig område for postsmolttråling. Grønne områder indikerer nasjonale laksefjorder.

 

4.2.2 - Tråling

Tråling etter utvandrende postsmolt av laks ble hovedsakelig gjennomført i ytre deler av Boknafjordsystemet. Det ble i tillegg gjort noen forsøk på å tråle i mer åpent farvann vest og sør for Stavanger. All kultivert og merket laks, samt laks over 100 gram er ekskludert fra datamaterialet i 2021. Trålingen ble gjennomført fra uke 18 til og med uke 21.

Fjordsystem Uke n Prevalens Intensitet % > 0,1 lus/g
[95%KI] [95%KI] [95%KI]
Rogaland 18 45 22 [13-36] 2 [1-3] 4 [1-15]
19 288 26 [22-32] 2 [2-3] 7 [5-11]
20 244 26 [21-32] 6 [3-15] 9 [6-13]
21 65 9 [4-19] 6 [1-16] 2 [0-8]
Tabell 2. Infestasjon av lakselus på trålfanget postsmolt laks i Boknafjorden. n angir antall undersøkte fisk i hver uke. Prevalens viser hvor stor andel av de undersøkte fiskene som ble funnet med en eller flere lakselus og oppgis i prosent. 95 % konfidensintervall er oppgitt i klammer bak. Intensitet angir gjennomsnittlig antall lakselus på den andelen av materialet som ble funnet med lus med 95 % konfidensintervall i klammer bak. % > 0,1 lus/ g viser andelen av det undersøkte materialet hvor infestasjonen var høyere enn 0,1 lus per gram kroppsvekt. 95 % konfidensintervall er oppgitt i klammer bak.

 

Figur 8. Antall lakselus (A) og relativt antall lus (antall lus/gram kroppsvekt) (B) fra postsmolt laks i uke 18-21 i Boknafjorden i Rogaland.
Figur 8. Antall lakselus (A) og relativt antall lus (antall lus/gram kroppsvekt) (B) fra postsmolt laks i uke 18-21 i Boknafjorden i Rogaland.

 

4.2.3 - Ruse og garn

Ytre Årdalsfjord og Nedstrand ble valgt som stasjoner for tilstandsbekreftelse på sjøørret i produksjonsområdet 2, og ble undersøkt med ruse og garn over en periode 3 to uker. Begge stasjonene har tidligere år blitt undersøkt i NALO-programmet. Undersøkelser med ruser og garn ble i 2020 gjennomført i uke 21-23.

Stasjon Uke n Prevalens Intensitet % > 0,1 lus/g
[95%KI] [95%KI] [95%KI]
Ytre Årdalsfjord 21 39 79 [64-89] 8 [5-13] 18 [9-33]
23 29 93 [78-98] 13 [8-20] 24 [12-42]
Nedstrand 21 51 92 [82-97] 26 [22-34] 78 [65-88]
23 30 100 [89-100] 14 [11-21] 43 [27-61]
Tabell 3. Infestasjon av lakselus på sjøørret i PO 2. n angir antall undersøkte fisk i hver uke. Prevalens viser hvor stor andel av de undersøkte fiskene som ble funnet med en eller flere lakselus og oppgis i prosent. 95 % konfidensintervall er oppgitt i klammer bak. Intensitet angir gjennomsnittlig antall lakselus på den andelen av materialet som ble funnet med lus med 95 % konfidensintervall i klammer bak. % > 0,1 lus/ g viser andelen av det undersøkte materialet hvor infestasjonen var høyere enn 0,1 lus per gram kroppsvekt. 95 % konfidensintervall er oppgitt i klammer bak.

 

Figur 9. Antall lakselus (A), relativt antall lus (antall lus/gram kroppsvekt) (B) og antall lakselus fordelt på fastsittende og bevegelige stadier (C) fra sjøørret på stasjonene Ytre Årdalsfjord (venstre) og Nedstrand (høyre).
Figur 9. Antall lakselus (A), relativt antall lus (antall lus/gram kroppsvekt) (B) og antall lakselus fordelt på fastsittende og bevegelige stadier (C) fra sjøørret på stasjonene Ytre Årdalsfjord (venstre) og Nedstrand (høyre).

 

4.2.4 - Vaktbur

Det ble plassert ut 16 vaktbur i hele Boknafjordsystemet i 2021. I burene ble det satt ut fisk i to perioder på inntil 14 dager, med tilsyn av burene etter de første 7 dager. Lusepåslag er illustrert med fargekoder i kart (Figur 10). Forsøkene med vaktbur i Boknafjorden ble gjennomført i perioden fra uke 21 til 27 med fisk i burene 18. mai – 5. juni, 5. juni – 16 juni.

 

Figur 10. Plassering og gjennomsnittlig påslag av lakselus på fisk fra vaktbur i PO 2. Fargene indikerer gjennomsnittlig påslag av lakselus over en standardisert periode på 14 dager. Grønn = 0-1 lus, gul = 1-5 lus, Orange = 5-10 lus og rød = mer enn 10 lus. Blå farge indikerer manglende data. Periode 1= 18. mai – 5. juni og periode 2 = 5. juni – 16. juni.
Figur 10. Plassering og gjennomsnittlig påslag av lakselus på fisk fra vaktbur i PO 2. Fargene indikerer gjennomsnittlig påslag av lakselus over en standardisert periode på 14 dager. Grønn = 0-1 lus, gul = 1-5 lus, Orange = 5-10 lus og rød = mer enn 10 lus. Blå farge indikerer manglende data. Periode 1= 18. mai – 5. juni og periode 2 = 5. juni – 16. juni.

 

4.3 - Hardanger (PO 3, Karmøy – Sotra)

4.3.1 - Området

Produksjonsområde 3 strekker seg fra Karmøy ved Haugesund til Sotra utenfor Bergen. Store deler av produksjonsområdet utgjøres av Hardangerfjorden med tilstøtende fjorder. Det er registrert 12 lakseførende vassdrag i dette området, hvor av et har status som nasjonalt laksevassdrag (Etnevassdraget). Samlet gytebestansdmål (GBM) for disse vassdragene er i underkant av 3,2 tonn hunnlaks som gir en teoretisk årlig produksjon på 162 000 smolt (Ugedal mfl. 2021). Sjøørret benytter store deler av produksjonsområdet og reproduserer i mindre vassdrag i tillegg til de nevnte lakseelvene. Det er høy oppdrettsproduksjon av laksefisk i sjø i Hardangerfjorden og områdene rundt. I 2021 var det 131 lokaliteter i drift under overvåkingsperioden. Samlet produksjon av luseegg fra oppdrettsanlegg i dette området er derfor høy. Fra tidlig mai til første del av juni øker timesproduksjonen av klekte egg fra oppdrettsanlegg fra under 5 millioner til i underkant av 30 millioner. Spredningsmodellen viser høyest tetthet av kopepoditter i midtre og ytre del av Hardangerfjorden samt i den nordlige delen av produksjonsområdet (Figur 11).

 

Figur 11. Produksjon av klekte luseegg fra oppdrettsanlegg i produksjonsområde 3 i tidsrommet mars - september i 2020 og 2021. Grønt felt indikerer en periode på 70 døgn hvor en regner med at en stor andel sjøørret benytter det marine habitatet i produksjonsområdet. Figuren illustrerer også tidsrom for lavere lusegrense i oppdrettsanlegg og omtrentlig tidsrom for overvåking i dette produksjonsområdet (ruse, trål og vaktbur 2021, t.v.). Kartet illustrerer modellert fordeling av kopepoditter i produksjonsområdet summert over den samme 70 døgns perioden. Grønn farge i kartet indikerer lav tetthet av kopepoditter og blå farge i kartet indikerer høyere tetthet med kopepoditter t.h. Perioden på 70 døgn er lagt 20 døgn før og 50 døgn etter teoretisk 50 prosent laksesmoltutvandring for produksjonsområdet.
Figur 11. Produksjon av klekte luseegg fra oppdrettsanlegg i produksjonsområde 3 i tidsrommet mars - september i 2020 og 2021. Grønt felt indikerer en periode på 70 døgn hvor en regner med at en stor andel sjøørret benytter det marine habitatet i produksjonsområdet. Figuren illustrerer også tidsrom for lavere lusegrense i oppdrettsanlegg og omtrentlig tidsrom for overvåking i dette produksjonsområdet (ruse, trål og vaktbur 2021, t.v.). Kartet illustrerer modellert fordeling av kopepoditter i produksjonsområdet summert over den samme 70 døgns perioden. Grønn farge i kartet indikerer lav tetthet av kopepoditter og blå farge i kartet indikerer høyere tetthet med kopepoditter t.h. Perioden på 70 døgn er lagt 20 døgn før og 50 døgn etter teoretisk 50 prosent laksesmoltutvandring for produksjonsområdet.

 

I 2021 ble det gjennomført postsmolttråling etter laks i 4 uker. Sjøørret ble undersøkt ved flere stasjoner hvor av én av disse var et fokusområde med utvidet overvåking over en lengre tidsperiode. I tillegg ble det gjennomført to runder med vaktbur i dette produksjonsområdet (Figur 12).

 

Figur 12. Områder for overvåking i produksjonsområde 3. Røde sirkler angir posisjoner for undersøkelser med ruser og garn og hvite sirkler angir posisjoner for vaktbur. Skravert felt viser omtrentlig område for postsmolttråling og grønne områder viser nasjonale laksefjorder.
Figur 12. Områder for overvåking i produksjonsområde 3. Røde sirkler angir posisjoner for undersøkelser med ruser og garn og hvite sirkler angir posisjoner for vaktbur. Skravert felt viser omtrentlig område for postsmolttråling og grønne områder viser nasjonale laksefjorder.

 

4.3.2 - Tråling

Tråling etter utvandrende postsmolt av laks ble hovedsakelig gjennomført i ytre deler av Hardangerfjordsystemet. I et forsøk på å fange opp eventuell postsmolt indre elver som kan ha andre utvandringsruter ble det også gjort regelmessige forsøk på å tråle litt lengre inn i fjorden. All kultivert og merket laks, samt laks over 100 gram er ekskludert fra datamaterialet i 2021. Trålingen ble gjennomført fra og med uke 19 til og med uke 22.

Fjordsystem Uke n Prevalens Intensitet % > 0,1 lus/g
[95%KI] [95%KI] [95%KI]
Hardanger 19 269 93 [89-95] 12 [11-13] 86 [82-90]
20 310 82 [77-86] 34 [29-40] 71 [66-76]
21 128 59 [50-67] 44 [33-57] 49 [41-58]
22 27 59 [41-75] 25 [10-48] 33 [19-52]
Tabell 4. Infestasjon av lakselus på trålfanget postsmolt laks i Hardangerfjorden. n angir antall undersøkte fisk i hver uke. Prevalens viser hvor stor andel av de undersøkte fiskene som ble funnet med én eller flere lakselus, og oppgis i prosent. 95 % konfidensintervall er oppgitt i klammer bak. Intensitet angir gjennomsnittlig antall lakselus på den andelen av materialet som ble funnet med lus med 95 % konfidensintervall i klammer bak. % > 0,1 lus/ g viser andelen av det undersøkte materialet hvor infestasjonen var høyere enn 0,1 lus per gram kroppsvekt. 95 % konfidensintervall er oppgitt i klammer bak.

 

Figur 13. Antall lakselus (A) og relativt antall lus (B) på trålfanget postsmolt laks i uke 19-22 i ytre Hardangerfjord.
Figur 13. Antall lakselus (A) og relativt antall lus (B) på trålfanget postsmolt laks i uke 19-22 i ytre Hardangerfjord.

 

4.3.3 - Ruse og garn

Etnefjorden ble valgt som et fokusområdene med utvidet overvåking på sjøørret i produksjonsområde 3. Ved denne stasjonen ble sjøørret overvåket sammenhengende over en tidsperiode på 6 uker fra og med uke 21. På grunn av sabotasje var rusen ute av drift i noen dager mellom uke 22 og uke 23. Ytterligere data fra fokusområdet blir omtalt i eget kapittel senere i rapporten.

I tillegg ble det gjort kortere undersøkelser på stasjonene Rosendal og Ålvik i tidsrommet fra uke 22 til og med uke 24.


Stasjon Uke n Prevalens Intensitet % > 0,1 lus/g
[95%KI] [95%KI] [95%KI]
Ålvik 22 80 100 [95-100] 29 [23-41] 91 [83-96]
23 9 78 [45-94] 9 [4-15] 0 [0-30]
Rosendal 22 36 50 [34-66] 56 [34-82] 44 [30-60]
23 29 97 [83-100] 28 [20-37] 66 [47-80]
24 17 100 [82-100] 25 [18-36] 100 [82-100]
Etne 21 50 90 [79-96] 26 [17-41] 64 [50-76]
22 157 52 [44-59] 8 [5-13] 17 [12-23]
23 16 56 [33-77] 16 [5-35] 6 [0-28]
24 111 52 [43-61] 8 [6-11] 28 [20-37]
25 25 96 [80-100] 39 [27-53] 76 [57-89]
26 12 83 [55-95] 60 [39-112] 83 [55-95]
Tabell 5. Infestasjon av lakselus på sjøørret i PO 3. n angir antall undersøkte fisk i hver uke. Prevalens viser hvor stor andel av de undersøkte fiskene som ble funnet med en eller flere lakselus og oppgis i prosent. 95 % konfidensintervall er oppgitt i klammer bak. Intensitet angir gjennomsnittlig antall lakselus på den andelen av materialet som ble funnet med lus med 95 % konfidensintervall i klammer bak. % > 0,1 lus/ g viser andelen av det undersøkte materialet hvor infestasjonen var høyere enn 0,1 lus per gram kroppsvekt. 95 % konfidensintervall er oppgitt i klammer bak.

 

Figur 14. Antall lakselus (A), relativt antall lus (antall lus/gram kroppsvekt) (B) og antall lakselus fordelt på fastsittende og bevegelige stadier (C) fra sjøørret på stasjonene Ålvik (venstre), Rosendal (midten) og Etne (høyre).
Figur 14. Antall lakselus (A), relativt antall lus (antall lus/gram kroppsvekt) (B) og antall lakselus fordelt på fastsittende og bevegelige stadier (C) fra sjøørret på stasjonene Ålvik (venstre), Rosendal (midten) og Etne (høyre).

 

4.3.4 - Vaktbur

Det ble plassert ut 18 vaktbur i hele Hardangerfjordsystemet i 2021. I burene ble det satt ut fisk i to perioder på inntil 14 dager, med tilsyn av burene etter de første 7 dager. Under siste burperiode ble det på grunn av tekniske problemer med båt ikke satt ut fisk i de ytre burene i Hardangerfjorden. Lusepåslag er illustrert med fargekoder i kart (Figur 15). Forsøkene med vaktbur i Hardangerfjorden ble gjennomført i perioden fra uke 21 til 27 med fisk i burene 20. mai – 3. juni og 6. juni – 17 juni.

 

Figur 15. Plassering og gjennomsnittlig påslag av lakselus på fisk fra vaktbur i PO 3. Fargene indikerer gjennomsnittlig påslag av lakselus over en standardisert periode på 14 dager. Grønn = 0-1 lus, gul = 1-5 lus, Orange = 5-10 lus og rød = mer enn 10 lus. Blå farge indikerer manglende data. Periode 1= 20. mai – 3. juni og periode 2 = 6. juni – 17. juni.
Figur 15. Plassering og gjennomsnittlig påslag av lakselus på fisk fra vaktbur i PO 3. Fargene indikerer gjennomsnittlig påslag av lakselus over en standardisert periode på 14 dager. Grønn = 0-1 lus, gul = 1-5 lus, Orange = 5-10 lus og rød = mer enn 10 lus. Blå farge indikerer manglende data. Periode 1= 20. mai – 3. juni og periode 2 = 6. juni – 17. juni.

 

4.4 - Sogn og Fjordane (PO 4, Nordhordland – Stadt)

4.4.1 - Området

Produksjonsområde 4 strekker seg fra Bergen til Stadt og inkluderer blant annet de store fjordsystemene Sognefjorden og Nordfjord. Det er registrert 40 lakseførende vassdrag i dette området, hvorav elleve har status som nasjonale laksevassdrag. Samlet gytebestansdmål (GBM) for disse vassdragene er i overkant av 20 tonn hunnlaks som gir en teoretisk årlig produksjon på 724 000 smolt (Ugedal mfl. 2021). Sjøørret benytter også store deler av produksjonsområdet og reproduserer i mindre vassdrag i tillegg til de nevnte lakseelvene. Det er generelt høy oppdrettsproduksjon av laksefisk i sjø langs kysten i produksjonsområdet. Flere av fjordene er uten oppdrett av laksefisk, blant annet indre del av Sognefjorden, Dalsfjorden, Førdefjorden og deler av Nordfjord som alle er nasjonale laksefjorder. I 2021 var det 119 lokaliteter i drift i tidsrommet for overvåkingen. Samlet produksjon av luseegg fra oppdrettsanlegg i dette området er høy. Timesproduksjonen fra anlegg lå på rundt 5 millioner egg i begynnelsen av mai og økte til mer enn 25 millioner i løpet av juni. Modellen viser høyest tetthet av kopepoditter langs ytre kyst i PO 4, spesielt i området sør for Sognefjorden ( Figur 16 ).

 

Figur 16. Produksjon av klekte luseegg fra oppdrettsanlegg i produksjonsområde 4 i tidsrommet mars - september i 2010 og 2021. Grønt felt indikerer en periode på 70 døgn hvor en regner med at en stor andel sjøørret benytter det marine habitatet i produksjonsområdet. Figuren illustrerer også tidsrom for lavere lusegrense i oppdrettsanlegg og omtrentlig tidsrom for overvåking i dette produksjonsområdet (ruse og trål 2021, t.v.). Kartet illustrerer modellert fordeling av kopepoditter i produksjonsområdet summert over den samme 70 døgns perioden. Grønn farge i kartet indikerer lav tetthet av kopepoditter og blå farge i kartet indikerer høyere tetthet med kopepoditter t.h. Perioden på 70 døgn er lagt 20 døgn før og 50 døgn etter teoretisk 50 prosent laksesmoltutvandring for produksjonsområdet.
Figur 16. Produksjon av klekte luseegg fra oppdrettsanlegg i produksjonsområde 4 i tidsrommet mars - september i 2010 og 2021. Grønt felt indikerer en periode på 70 døgn hvor en regner med at en stor andel sjøørret benytter det marine habitatet i produksjonsområdet. Figuren illustrerer også tidsrom for lavere lusegrense i oppdrettsanlegg og omtrentlig tidsrom for overvåking i dette produksjonsområdet (ruse og trål 2021, t.v.). Kartet illustrerer modellert fordeling av kopepoditter i produksjonsområdet summert over den samme 70 døgns perioden. Grønn farge i kartet indikerer lav tetthet av kopepoditter og blå farge i kartet indikerer høyere tetthet med kopepoditter t.h. Perioden på 70 døgn er lagt 20 døgn før og 50 døgn etter teoretisk 50 prosent laksesmoltutvandring for produksjonsområdet.

 

I 2021 ble det gjennomført postsmolttråling etter laks i 5 uker i ytre Sognefjorden. I tillegg ble en større ruse benyttet til fangst av både ørret og laks i Nordhordland og i ytre del av Nordfjord. Sjøørret ble overvåket på flere stasjoner i produksjonsområdet, deriblant i fokusområdet i Herøyosen med utvidet overvåking over en lengre tidsperiode, samt kortere undersøkelser i Bjordal og Balestrand. Det ble ikke gjennomført undersøkelser med vaktbur i PO 4 i 2021. (Figur 17).

 

Figur 17. Områder for overvåking i produksjonsområde 4. Røde sirkler angir posisjoner for undersøkelser med ruser og garn. Skravert felt viser omtrentlig område for postsmolttråling, og grønne områder viser nasjonale laksefjorder.
Figur 17. Områder for overvåking i produksjonsområde 4. Røde sirkler angir posisjoner for undersøkelser med ruser og garn. Skravert felt viser omtrentlig område for postsmolttråling, og grønne områder viser nasjonale laksefjorder.

 

4.4.2 - Tråling

Tråling etter utvandrende postsmolt av laks ble hovedsakelig gjennomført i ytre deler av Sognefjorden. All kultivert og merket laks, samt laks over 100 gram er ekskludert fra datamaterialet i 2021. Trålingen var opprinnelig planlagt i tidsperioden fra uke 19 til og med uke 22. På grunn av lite fangst i siste del av perioden ble det besluttet å utvide trålingen til og med uke 23. På tross av dette ble det kun fanget én laks i hver av de to siste ukene.

Fjordsystem Uke n Prevalens Intensitet % > 0,1 lus/g
[95%KI] [95%KI] [95%KI]
Sognefjorden 19 34 68 [51-81] 5 [4-6] 53 [37-69]
20 111 89 [82-94] 18 [15-22] 84 [76-89]
21 27 96 [82-100] 17 [14-23] 93 [77-98]
22 1 - - -
  23 1 - - -
Tabell 6. Infestasjon av lakselus på trålfanget postsmolt laks i ytre del av Sognefjorden. n angir antall undersøkte fisk i hver uke. Prevalens viser hvor stor andel av de undersøkte fiskene som ble funnet med en eller flere lakselus og oppgis i prosent. 95 % konfidensintervall er oppgitt i klammer bak. Intensitet angir gjennomsnittlig antall lakselus på den andelen av materialet som ble funnet med lus med 95 % konfidensintervall i klammer bak. % > 0,1 lus/ g viser andelen av det undersøkte materialet hvor infestasjonen var høyere enn 0,1 lus per gram kroppsvekt. 95 % konfidensintervall er oppgitt i klammer bak.

 

Figur 18. Antall lakselus (A) og relativt antall lus (B) på trålfanget postsmolt laks fra ytre Sognefjorden i uke 19-21.Fangstene i uke 22 og 23 er for lave til å illustreres i figuren
Figur 18. Antall lakselus (A) og relativt antall lus (B) på trålfanget postsmolt laks fra ytre Sognefjorden i uke 19-21.Fangstene i uke 22 og 23 er for lave til å illustreres i figuren

 

4.4.3 - Ruse og garn

Herøyosen ble valgt som fokusområder for utvidet undersøkelse av sjøørret i PO 4. Her ble sjøørret overvåket sammenhengende over et tidsrom på 6 uker fra og med uke 21. Ytterligere data fra fokusområdet blir omtalt i eget kapittel senere i rapporten. Ved stasjonene Herdlafjord og Måløy ble det benyttet større ruser til fangst av både sjøørret og laks. I tillegg ble det gjort kortere undersøkelser på stasjonene Bjordal og Balestrand i uke 22-24. Alle stasjonene er tidligere undersøkt i forbindelse med NALO.


Stasjon Uke n Prevalens Intensitet % > 0,1 lus/g
[95%KI] [95%KI] [95%KI]
Herøyosen 21 56 100 [94-100] 149 [118-193] 96 [88-99]
22 85 100 [96-100] 39 [32-48] 96 [90-99]
23 76 99 [93-100] 37 [28-49] 83 [73-90]
24 30 100 [89-100] 41 [32-56] 93 [79-98]
25 54 100 [93-100] 43 [38-50] 94 [85-98]
26 43 100 [92-100] 54 [44-69] 93 [81-98]
Herdlafjord 20 20 100 [84-100] 174 [131-253] 90 [70-97]
21 16 100 [81-100] 172 [129-229] 100 [81-100]
22 49 98 [89-100] 58 [45-74] 90 [78-96]
23 17 100 [82-100] 29 [16-47] 71 [47-87]
Balestrand 22 55 96 [88-99] 19 [15-24] 67 [54-78]
24 31 68 [50-81] 6 [3-21] 13 [5-29]
Bjordal 22 52 98 [90-100] 12 [10-14] 60 [46-72]
24 46 98 [89-100] 12 [9-18] 54 [40-68]
Måløy 19 13 100 [77-100] 31 [14-80] 46 [23-71]
20 87 98 [92-99] 15 [13-18] 76 [66-84]
21 175 100 [98-100] 41 [35-50] 93 [88-96]
22 33 100 [90-100] 56 [38-90] 91 [76-97]
Tabell 7. Infestasjon av lakselus på sjøørret i PO 4. n angir antall undersøkte fisk i hver uke. Prevalens viser hvor stor andel av de undersøkte fiskene som ble funnet med en eller flere lakselus og oppgis i prosent. 95 % konfidensintervall er oppgitt i klammer bak. Intensitet angir gjennomsnittlig antall lakselus på den andelen av materialet som ble funnet med lus med 95 % konfidensintervall i klammer bak. % > 0,1 lus/ g viser andelen av det undersøkte materialet hvor infestasjonen var høyere enn 0,1 lus per gram kroppsvekt. 95 % konfidensintervall er oppgitt i klammer bak.

 

 

Figur 19. Antall lakselus (A), relativt antall lus (antall lus/gram kroppsvekt) (B) og antall lakselus fordelt på fastsittende og bevegelige stadier (C) fra sjøørret på stasjonene Herøyosen, Herdlafjorden, Balestrand, Bjordal og Måløy.
Figur 19. Antall lakselus (A), relativt antall lus (antall lus/gram kroppsvekt) (B) og antall lakselus fordelt på fastsittende og bevegelige stadier (C) fra sjøørret på stasjonene Herøyosen, Herdlafjorden, Balestrand, Bjordal og Måløy.

Stasjon Uke n Prevalens Intensitet % > 0,1 lus/g
[95%KI] [95%KI] [95%KI]
Herdlafjorden 20 5 60 [23-88] 5 [1-8] 5 [1-8]
21 3 100 [44-100] 2 [1-3] 2 [1-3]
22 16 94 [72-100] 6 [4-10] 6 [4-10]
23 4 50 [15-85] 1 [1-2] 1 [1-2]
Måløy 19 6 33 [10-70] 2 [1-2] 2 [1-2]
20 7 43 [16-75] 1 [1-2] 1 [1-2]
21 13 54 [29-77] 17 [9-27] 17 [9-27]
22 1 0 [0-95] - -
Tabell 8. Infestasjon av lakselus på rusefanget laks i PO 4. n angir antall undersøkte fisk i hver uke. Prevalens viser hvor stor andel av de undersøkte fiskene som ble funnet med en eller flere lakselus og oppgis i prosent. 95 % konfidensintervall er oppgitt i klammer bak. Intensitet angir gjennomsnittlig antall lakselus på den andelen av materialet som ble funnet med lus med 95 % konfidensintervall i klammer bak. % > 0,1 lus/ g viser andelen av det undersøkte materialet hvor infestasjonen var høyere enn 0,1 lus per gram kroppsvekt. 95 % konfidensintervall er oppgitt i klammer bak.

 

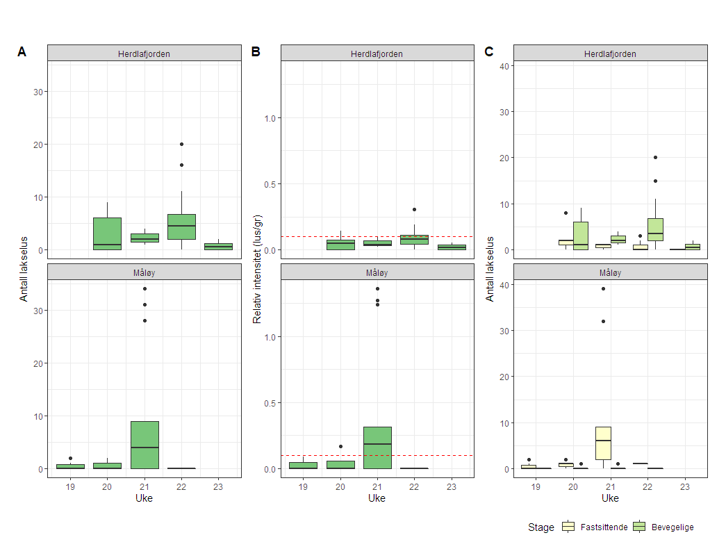
Figur 20. Antall lakselus (A), relativt antall lus (antall lus/gram kroppsvekt) (B) og antall lakselus fordelt på fastsittende og bevegelige stadier (C) fra rusefanget laks på stasjonene Herdlafjorden og Måløy.
Figur 20. Antall lakselus (A), relativt antall lus (antall lus/gram kroppsvekt) (B) og antall lakselus fordelt på fastsittende og bevegelige stadier (C) fra rusefanget laks på stasjonene Herdlafjorden og Måløy.

 

4.5 - Møre og Romsdal (PO 5, Stadt – Hustadvika)

4.5.1 - Området

Produksjonsområde 5 dekker Nord-Vestlandet fra Stadt til Hustadvika nord for Molde. Voldsfjorden, Storfjorden og Romsdalssystemet er de største fjordene i dette området som har 44 registrerte laksevassdrag hvor av to nasjonale laksevassdrag. Samlet gytebestansdmål (GBM) for laksevassdragene i produksjonsområdet er på vel 18 tonn hunnlaks og teoretisk årlig produksjon på 529 000 smolt (Ugedal mfl. 2021). Sjøørret finnes også i store deler av produksjonsområdet og reproduserer i mindre vassdrag i tillegg til de nevnte lakseelvene. Det er generelt høy oppdrettsproduksjon av laksefisk i sjø langs kysten og i ytre deler av fjordene i produksjonsområdet. Indre del av Romsdalsfjorden (Isfjord) og Ørstafjorden er nasjonale laksefjorden helt uten oppdrett. I 2021 var det 40 lokaliteter i drift i tidsrommet for lakselusovervåkingen. Samlet produksjon av luseegg fra oppdrettsanlegg i varierer mellom år og tid på året. Timesproduksjonen av luseegg fra oppdrettsanlegg lå under 5 millioner gjennom det meste av mai og økte deretter til vel 8 millioner i løpet av juni. Spredningsmodellen indikerer høyest tetthet av kopepoditter i de sørligste og nordligste delene av produksjonsområdet (Figur 21).

 

Figur 21. Produksjon av klekte luseegg fra oppdrettsanlegg i produksjonsområde 5 i tidsrommet mars - september i 2020 og 2021. Grønt felt indikerer en periode på 70 døgn hvor en regner med at en stor andel sjøørret benytter det marine habitatet i produksjonsområdet. Figuren illustrerer også tidsrom for lavere lusegrense i oppdrettsanlegg og omtrentlig tidsrom for overvåking i dette produksjonsområdet (ruse og trål 2021, t.v.). Kartet illustrerer modellert fordeling av kopepoditter i produksjonsområdet summert over den samme 70 døgns perioden. Grønn farge i kartet indikerer lav tetthet av kopepoditter og blå farge i kartet indikerer høyere tetthet med kopepoditter t.h. Perioden på 70 døgn er lagt 20 døgn før og 50 døgn etter teoretisk 50 prosent laksesmoltutvandring for produksjonsområdet.
Figur 21. Produksjon av klekte luseegg fra oppdrettsanlegg i produksjonsområde 5 i tidsrommet mars - september i 2020 og 2021. Grønt felt indikerer en periode på 70 døgn hvor en regner med at en stor andel sjøørret benytter det marine habitatet i produksjonsområdet. Figuren illustrerer også tidsrom for lavere lusegrense i oppdrettsanlegg og omtrentlig tidsrom for overvåking i dette produksjonsområdet (ruse og trål 2021, t.v.). Kartet illustrerer modellert fordeling av kopepoditter i produksjonsområdet summert over den samme 70 døgns perioden. Grønn farge i kartet indikerer lav tetthet av kopepoditter og blå farge i kartet indikerer høyere tetthet med kopepoditter t.h. Perioden på 70 døgn er lagt 20 døgn før og 50 døgn etter teoretisk 50 prosent laksesmoltutvandring for produksjonsområdet.

 

I 2021 ble det gjennomført postsmolttråling etter laks i 4 uker samt undersøkelser av sjøørret på flere stasjoner, deriblant i et fokusområde med utvidet overvåking sammenhengende over flere uker. Det ble ikke benyttet vaktbur i dette området i 2021 (Figur 22).

 

Figur 22. Områder for overvåking i produksjonsområde 5. Røde sirkler angir posisjoner for undersøkelser med ruser og garn. Skravert felt viser omtrentlig område for postsmolttråling og grønne områder viser nasjonale laksefjorder.
Figur 22. Områder for overvåking i produksjonsområde 5. Røde sirkler angir posisjoner for undersøkelser med ruser og garn. Skravert felt viser omtrentlig område for postsmolttråling og grønne områder viser nasjonale laksefjorder.

 

4.5.2 - Tråling

Tråling etter utvandrende postsmolt av laks ble hovedsakelig gjennomført i ytre deler av Romsdalsfjorden. All kultivert og merket laks, samt laks over 100 gram er ekskludert fra datamaterialet i 2021. Trålingen ble gjennomført fra og med uke 20 til og med uke 23. Det ble fanget svært lite vill utvandrende laks med tråling i Romsdalsfjorden i 2021.

Fjordsystem Uke n Prevalens Intensitet % > 0,1 lus/g
[95%KI] [95%KI] [95%KI]
Romsdal 20 30 60 [42-75] 3 [2-4] 23 [12-41]
21 6 33 [10-70] 5 [2-6] 17 [1-56]
22 2 - - -
23 2 100 [34-100] 17 [6-18] 100 [34-100]
Tabell 9. Infestasjon av lakselus på trålfanget postsmolt laks i Romsdalsfjorden. n angir antall undersøkte fisk i hver uke. Prevalens viser hvor stor andel av de undersøkte fiskene som ble funnet med en eller flere lakselus og oppgis i prosent. 95 % konfidensintervall er oppgitt i klammer bak. Intensitet angir gjennomsnittlig antall lakselus på den andelen av materialet som ble funnet med lus med 95 % konfidensintervall i klammer bak. % > 0,1 lus/ g viser andelen av det undersøkte materialet hvor infestasjonen var høyere enn 0,1 lus per gram kroppsvekt. 95 % konfidensintervall er oppgitt i klammer bak.

 

Figur 23. Antall lakselus (A) og relativt antall lus (B) på trålfanget postsmolt laks fra Romsdalsfjorden i uke 20-23.
Figur 23. Antall lakselus (A) og relativt antall lus (B) på trålfanget postsmolt laks fra Romsdalsfjorden i uke 20-22.

 

4.5.3 - Ruse og garn

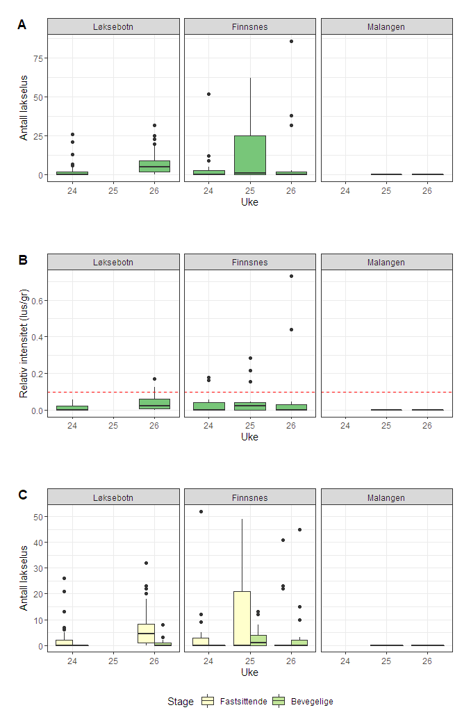
Vatnefjorden ble valgt som fokusområdene med utvidet overvåking på sjøørret i produksjonsområde 5. Ved denne stasjonen ble sjøørret overvåket sammenhengende over en tidsperiode på 6 uker fra og med uke 22. Ytterligere data fra fokusområdet i PO 5 blir omtalt i eget kapittel senere i rapporten.

I tillegg ble det gjort kortere undersøkelser på stasjonene Ørsta og Frænfjorden i tidsrommet fra uke 22 til og med uke 26.

Stasjon Uke n Prevalens Intensitet % > 0,1 lus/g
[95%KI] [95%KI] [95%KI]
Ørsta 22 51 78 [65-88] 13 [8-21] 31 [20-45]
26 41 93 [81-97] 11 [8-16] 29 [18-44]
Vatnefjord 22 43 88 [76-95] 29 [21-42] 65 [50-78]
23 22 86 [67-95] 39 [29-54] 82 [61-93]
24 2 100 [34-100] 23 [7-22] 100 [34-100]
25 4 75 [30-99] 33 [4-49] 75 [30-99]
27 24 83 [64-93] 10 [7-17] 29 [15-49]
Frænfjord 24 20 100 [84-100] 27 [17-42] 85 [64-95]
26 19 100 [83-100] 20 [10-43] 47 [27-68]
Tabell 10. Infestasjon av lakselus på sjøørret i PO 5. n angir antall undersøkte fisk i hver uke. Prevalens viser hvor stor andel av de undersøkte fiskene som ble funnet med en eller flere lakselus og oppgis i prosent. 95 % konfidensintervall er oppgitt i klammer bak. Intensitet angir gjennomsnittlig antall lakselus på den andelen av materialet som ble funnet med lus med 95 % konfidensintervall i klammer bak. % > 0,1 lus/ g viser andelen av det undersøkte materialet hvor infestasjonen var høyere enn 0,1 lus per gram kroppsvekt. 95 % konfidensintervall er oppgitt i klammer bak.

 

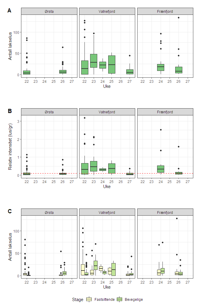
Figur 24. Antall lakselus (A), relativt antall lus (antall lus/gram kroppsvekt) (B) og antall lakselus fordelt på fastsittende og bevegelige stadier (C) fra sjøørret på stasjonene Ørsta (venstre), Vatnefjord og Frænfjord (høyre).
Figur 24. Antall lakselus (A), relativt antall lus (antall lus/gram kroppsvekt) (B) og antall lakselus fordelt på fastsittende og bevegelige stadier (C) fra sjøørret på stasjonene Ørsta (venstre), Vatnefjord og Frænfjord (høyre).

 

4.6 - Sør-Trøndelag (PO 6 Nordmøre og Sør-Trøndelag)

4.6.1 - Området

Produksjonsområde 6 dekker kystområdet fra Hustadvika til Flatanger og inkluderer Trondheimsfjorden samt øyene Smøla, Hitra og Frøya. Det er 62 registrerte laksevassdrag i dette produksjonsområdet hvor av elleve er nasjonale laksevassdrag. Samlet gytebestansdmål (GBM) for laksevassdragene i produksjonsområdet er på vel 87 tonn hunnlaks og teoretisk årlig produksjon er på 2.389.000 smolt (Ugedal mfl. 2021). Sjøørret finnes også i store deler av produksjonsområdet og reproduserer i mindre vassdrag i tillegg til de nevnte lakseelvene. Det er generelt høy oppdrettsproduksjon av laksefisk i sjø langs kysten og rundt de større øyene. Indre deler av Tingvollfjorden og Halsafjorden, samt hele Åfjord og Trondheimsfjorden er nasjonale laksefjorder helt uten oppdrett. I tidsrommet for lakselusovervåkingen var det i 2021 118 lokaliteter i drift. Samlet produksjon av luseegg fra oppdrettsanlegg i varierer mellom år og tid på året. Timesproduksjonen av luseegg fra anlegg øker gradvis fra under 5 til mer enn 25 millioner fra mai til juli. Produksjonen er noe høyere enn i 2020. Spredningsmodellen indikerer høyest tetthet av kopepoditter i den sørligste delen av produksjonsområdet samt en del rundt øyene Smøla, Hitra og Frøya (Figur 25).

 

Figur 25. Produksjon av klekte luseegg fra oppdrettsanlegg i produksjonsområde 6 i tidsrommet mars - september i 2020 og 2021. Grønt felt indikerer en periode på 70 døgn hvor en regner med at en stor andel sjøørret benytter det marine habitatet i produksjonsområdet. Figuren illustrerer også tidsrom for lavere lusegrense i oppdrettsanlegg og omtrentlig tidsrom for overvåking i dette produksjonsområdet (ruse og trål 2021, t.v.). Kartet illustrerer modellert fordeling av kopepoditter i produksjonsområdet summert over den samme 70 døgns perioden. Grønn farge i kartet indikerer lav tetthet av kopepoditter og blå farge i kartet indikerer høyere tetthet med kopepoditter t.h. Perioden på 70 døgn er lagt 20 døgn før og 50 døgn etter teoretisk 50 prosent laksesmoltutvandring for produksjonsområdet.
Figur 25. Produksjon av klekte luseegg fra oppdrettsanlegg i produksjonsområde 6 i tidsrommet mars - september i 2020 og 2021. Grønt felt indikerer en periode på 70 døgn hvor en regner med at en stor andel sjøørret benytter det marine habitatet i produksjonsområdet. Figuren illustrerer også tidsrom for lavere lusegrense i oppdrettsanlegg og omtrentlig tidsrom for overvåking i dette produksjonsområdet (ruse og trål 2021, t.v.). Kartet illustrerer modellert fordeling av kopepoditter i produksjonsområdet summert over den samme 70 døgns perioden. Grønn farge i kartet indikerer lav tetthet av kopepoditter og blå farge i kartet indikerer høyere tetthet med kopepoditter t.h. Perioden på 70 døgn er lagt 20 døgn før og 50 døgn etter teoretisk 50 prosent laksesmoltutvandring for produksjonsområdet.

 

I 2021 ble det gjennomført postsmolttråling etter laks i ytre del av Trondheimsfjorden og i Frohavet. Trålingen i dette området ble utvidet til åtte sammenhengende uker med oppstart i uke 19. Det ble i tillegg gjort undersøkelser av sjøørret på to stasjoner, hvor av den ene var et fokusområde med utvidet overvåking. Det ble ikke benyttet vaktbur i dette området i 2021 (Figur 26).

 

Figur 26. Områder for overvåking i produksjonsområde 6. Røde sirkler angir posisjoner for undersøkelser med ruser og garn. Skravert felt viser omtrentlig område for postsmolttråling og grønne områder viser nasjonale laksefjorder.
Figur 26. Områder for overvåking i produksjonsområde 6. Røde sirkler angir posisjoner for undersøkelser med ruser og garn. Skravert felt viser omtrentlig område for postsmolttråling og grønne områder viser nasjonale laksefjorder.

 

4.6.2 - Tråling

Tråling etter utvandrende postsmolt av laks ble hovedsakelig gjennomført i ytre deler av Trondheimsfjorden og i Frohavet mellom Hitra og Ørlandet. Det ble trålet sammenhengende over en periode på 8 uker. All kultivert og merket laks, samt laks over 100 gram er ekskludert fra datamaterialet i 2021. Trålingen ble gjennomført fra og med uke 19 til og med uke 23.


Fjordsystem Uke n Prevalens Intensitet % > 0,1 lus/g
[95%KI] [95%KI] [95%KI]
Trondheim 19 57 9 [4-19] 1 [1-1] 2 [0-9]
20 386 17 [14-21] 1 [1-2] 5 [3-8]
21 297 18 [14-22] 1 [1-2] 4 [2-7]
22 144 34 [27-42] 2 [2-3] 14 [9-20]
23 75 27 [18-38] 2 [2-4] 13 [7-23]
24 32 72 [55-84] 3 [2-4] 31 [18-49]
25 10 50 [24-76] 2 [1-2] 20 [6-51]
  26 9 44 [19-73] 2 [1-4] 11 [1-43]
Tabell 11. Infestasjon av lakselus på trålfanget postsmolt laks fra Trondheimsfjorden. n angir antall undersøkte fisk i hver uke. Prevalens viser hvor stor andel av de undersøkte fiskene som ble funnet med en eller flere lakselus og oppgis i prosent. 95 % konfidensintervall er oppgitt i klammer bak. Intensitet angir gjennomsnittlig antall lakselus på den andelen av materialet som ble funnet med lus med 95 % konfidensintervall i klammer bak. % > 0,1 lus/ g viser andelen av det undersøkte materialet hvor infestasjonen var høyere enn 0,1 lus per gram kroppsvekt. 95 % konfidensintervall er oppgitt i klammer bak.

 

Figur 27. Antall lakselus (A) og relativt antall lus (B) på trålfanget postsmolt laks fra Trondheimsfjorden i uke 19-26.
Figur 27. Antall lakselus (A) og relativt antall lus (B) på trålfanget postsmolt laks fra Trondheimsfjorden i uke 19-26.

 

4.6.3 - Ruse og garn

Agdenes ble valgt som fokusområdene med utvidet overvåking på sjøørret i produksjonsområde 6. Ved denne stasjonen ble sjøørret overvåket sammenhengende over en tidsperiode på 6 uker fra og med uke 22. Ytterligere data fra fokusområdet i produksjonsområde 6 er presentert i eget kapittel senere i rapporten.

I tillegg ble det gjort kortere undersøkelser på stasjonen Hitra i uke 24 og 26.

Stasjon Uke n Prevalens Intensitet % > 0,1 lus/g
[95%KI] [95%KI] [95%KI]
Agdenes 22 53 87 [75-93] 4 [3-4] 8 [3-18]
23 35 94 [81-98] 11 [7-20] 41 [26-58]
24 51 100 [93-100] 33 [28-40] 100 [93-100]
25 55 100 [93-100] 105 [93-120] 98 [90-100]
26 95 100 [96-100] 89 [81-99] 96 [90-98]
27 84 100 [96-100] 46 [42-50] 75 [65-83]
Hitra 24 27 93 [77-98] 27 [15-49] 52 [34-69]
26 53 92 [82-97] 14 [11-17] 34 [23-47]
Tabell 12. Infestasjon av lakselus på sjøørret i PO 6. n angir antall undersøkte fisk i hver uke. Prevalens viser hvor stor andel av de undersøkte fiskene som ble funnet med en eller flere lakselus og oppgis i prosent. 95 % konfidensintervall er oppgitt i klammer bak. Intensitet angir gjennomsnittlig antall lakselus på den andelen av materialet som ble funnet med lus med 95 % konfidensintervall i klammer bak. % > 0,1 lus/ g viser andelen av det undersøkte materialet hvor infestasjonen var høyere enn 0,1 lus per gram kroppsvekt. 95 % konfidensintervall er oppgitt i klammer bak.

 

 

Figur 28. Antall lakselus (A), relativt antall lus (antall lus/gram kroppsvekt) (B) og antall lakselus fordelt på fastsittende og bevegelige stadier (C) fra sjøørret på stasjonene Agdenes (venstre) og Hitra (høyre).
Figur 28. Antall lakselus (A), relativt antall lus (antall lus/gram kroppsvekt) (B) og antall lakselus fordelt på fastsittende og bevegelige stadier (C) fra sjøørret på stasjonene Agdenes (venstre) og Hitra (høyre).

 

4.7 - Nord Trøndelag (PO 7 Nord-Trøndelag med Bindal)

4.7.1 - Området

Produksjonsområde 7 dekker kystområdet fra Flatanger i sør til Bindalsfjorden i Nordland og inkluderer blant annet Namsenfjorden og øygruppen Vikna. Det er 22 registrerte laksevassdrag i dette produksjonsområdet hvor av 2 er nasjonale laksevassdrag. Samlet gytebestandsdmål (GBM) for laksevassdragene i produksjonsområdet er på vel 27 tonn hunnlaks og teoretisk årlig produksjon er på vel 900.000 smolt (Ugedal mfl. 2021). Sjøørret finnes også i store deler av produksjonsområdet og reproduserer i mindre vassdrag i tillegg til de nevnte lakseelvene. Det er høy oppdrettsproduksjon av laksefisk i sjø langs kysten og rundt øygruppen Vikna. Namsenfjorden er nasjonal laksefjord helt uten oppdrett. I 2021 var det 56 lokaliteter i drift i tidsrommet for lakselusovervåkingen. Samlet produksjon av luseegg fra oppdrettsanlegg varierer mellom år og tid på året. Timesproduksjonen av luseegg fra anlegg var på under 5 millioner gjennom hele mai, men økte til mer enn 10 millioner i løpet av juli. Spredningsmodellen indikerer høyest tetthet av kopepoditter nord for Vikna, og ved Flatanger, helt sør i produksjonsområdet (Figur 29).

 

Figur 29. Produksjon av klekte luseegg fra oppdrettsanlegg i produksjonsområde 7 i tidsrommet mars - september i 2020 og 2021. Grønt felt indikerer en periode på 70 døgn hvor en regner med at en stor andel sjøørret benytter det marine habitatet i produksjonsområdet. Figuren illustrerer også tidsrom for lavere lusegrense i oppdrettsanlegg og omtrentlig tidsrom for overvåking i dette produksjonsområdet (ruse 2021, t.v.). Kartet illustrerer modellert fordeling av kopepoditter i produksjonsområdet summert over den samme 70 døgns perioden. Grønn farge i kartet indikerer lav tetthet av kopepoditter og blå farge i kartet indikerer høyere tetthet med kopepoditter t.h. Perioden på 70 døgn er lagt 20 døgn før og 50 døgn etter teoretisk 50 prosent laksesmoltutvandring for produksjonsområdet.
Figur 29. Produksjon av klekte luseegg fra oppdrettsanlegg i produksjonsområde 7 i tidsrommet mars - september i 2020 og 2021. Grønt felt indikerer en periode på 70 døgn hvor en regner med at en stor andel sjøørret benytter det marine habitatet i produksjonsområdet. Figuren illustrerer også tidsrom for lavere lusegrense i oppdrettsanlegg og omtrentlig tidsrom for overvåking i dette produksjonsområdet (ruse 2021, t.v.). Kartet illustrerer modellert fordeling av kopepoditter i produksjonsområdet summert over den samme 70 døgns perioden. Grønn farge i kartet indikerer lav tetthet av kopepoditter og blå farge i kartet indikerer høyere tetthet med kopepoditter t.h. Perioden på 70 døgn er lagt 20 døgn før og 50 døgn etter teoretisk 50 prosent laksesmoltutvandring for produksjonsområdet.

 

I 2021 ble det gjennomført en begrenset innsats på overvåking på sjøørret med ruse stasjonen Sitter i Flatanger og ved Vikna. Det ble ikke gjennomført postsmolttråling, eller undersøkelser med vaktbur i dette produksjonsområdet i 2021 (Figur 30).

 

Figur 30. Områder for overvåking i produksjonsområde 7. Røde sirkler angir posisjoner for undersøkelser med ruser og garn og grønne områder viser nasjonale laksefjorder.
Figur 30. Områder for overvåking i produksjonsområde 7. Røde sirkler angir posisjoner for undersøkelser med ruser og garn og grønne områder viser nasjonale laksefjorder.

 

4.7.2 - Ruse og garn

Sitter ble i 2021 undersøkt to ganger i henholdsvis uke 23 og 25, og Vikna ble undersøkt i uke 24/25. Det ble generelt fanget lite fisk ved stasjonene i PO 7 i 2021.

Stasjon Uke n Prevalens Intensitet % > 0,1 lus/g
[95%KI] [95%KI] [95%KI]
Sitter 23 5 100 [57-100] 20 [9-39] 80 [38-99]
25 35 100 [90-100] 68 [54-83] 71 [55-84]
Vikna 24-25 15 100 [80-100] 54 [18-188] 80 [55-93]
Tabell 13. Infestasjon av lakselus sjøørret fra PO 7. n angir antall undersøkte fisk i hver uke. Prevalens viser hvor stor andel av de undersøkte fiskene som ble funnet med en eller flere lakselus og oppgis i prosent. 95 % konfidensintervall er oppgitt i klammer bak. Intensitet angir gjennomsnittlig antall lakselus på den andelen av materialet som ble funnet med lus med 95 % konfidensintervall i klammer bak. % > 0,1 lus/ g viser andelen av det undersøkte materialet hvor infestasjonen var høyere enn 0,1 lus per gram kroppsvekt. 95 % konfidensintervall er oppgitt i klammer bak.

 

Figur 31. Antall lakselus (A), relativt antall lus (antall lus/gram kroppsvekt) (B) og antall lakselus fordelt på fastsittende og bevegelige stadier (C) fra sjøørret på stasjonene Sitter (venstre) og Vikna (høyre).
Figur 31. Antall lakselus (A), relativt antall lus (antall lus/gram kroppsvekt) (B) og antall lakselus fordelt på fastsittende og bevegelige stadier (C) fra sjøørret på stasjonene Sitter (venstre) og Vikna (høyre).

 

4.8 - Nordland sør (PO 8, Helgeland til Bodø)

4.8.1 - Området

Produksjonsområde 8 dekker kystområdet fra Bindalsfjorden på Helgeland i sør til Bodø i nord, og inkluderer i tillegg Skjerstadfjorden innenfor Saltstraumen. Det er 30 registrerte laksevassdrag i dette produksjonsområdet hvor av tre er nasjonale laksevassdrag. Samlet gytebestandsdmål (GBM) for laksevassdragene i produksjonsområdet er på vel 18 tonn hunnlaks og teoretisk årlig produksjon er på vel 364.000 smolt (Ugedal mfl. 2021). Sjøørret og sjørøye finnes også i store deler av produksjonsområdet og reproduserer i mindre vassdrag i tillegg til de nevnte lakseelvene. Det er høy oppdrettsproduksjon av laksefisk i sjø langs det meste av kysten samt noe produksjon også inne i selve Skjerstadfjorden. Vefsnfjorden, Ranfjorden og Beiarfjorden er nasjonale laksefjorder helt uten oppdrett. I 2021 var det 85 lokaliteter i drift i perioden for lakselusovervåkingen i 2021. Samlet produksjon av luseegg fra oppdrettsanlegg i varierer mellom år og tid på året. Timesproduksjonen passerte 5 millioner luseegg i juni, og fortsatte å øke til mer enn 15 millioner i løpet av juli. Modellen indikerer høyest tetthet av kopepoditter rundt øyene på Helgeland (Figur 32).

 

Figur 32. Produksjon av klekte luseegg fra oppdrettsanlegg i produksjonsområde 8 i tidsrommet mars - september i 2020 og 2021. Grønt felt indikerer en periode på 70 døgn hvor en regner med at en stor andel sjøørret benytter det marine habitatet i produksjonsområdet. Figuren illustrerer også tidsrom for lavere lusegrense i oppdrettsanlegg og omtrentlig tidsrom for overvåking i dette produksjonsområdet (ruse 2021, t.v.). Kartet illustrerer modellert fordeling av kopepoditter i produksjonsområdet summert over den samme 70 døgns perioden. Grønn farge i kartet indikerer lav tetthet av kopepoditter og blå farge i kartet indikerer høyere tetthet med kopepoditter t.h. Perioden på 70 døgn er lagt 20 døgn før og 50 døgn etter teoretisk 50 prosent laksesmoltutvandring for produksjonsområdet.
Figur 32. Produksjon av klekte luseegg fra oppdrettsanlegg i produksjonsområde 8 i tidsrommet mars - september i 2020 og 2021. Grønt felt indikerer en periode på 70 døgn hvor en regner med at en stor andel sjøørret benytter det marine habitatet i produksjonsområdet. Figuren illustrerer også tidsrom for lavere lusegrense i oppdrettsanlegg og omtrentlig tidsrom for overvåking i dette produksjonsområdet (ruse 2021, t.v.). Kartet illustrerer modellert fordeling av kopepoditter i produksjonsområdet summert over den samme 70 døgns perioden. Grønn farge i kartet indikerer lav tetthet av kopepoditter og blå farge i kartet indikerer høyere tetthet med kopepoditter t.h. Perioden på 70 døgn er lagt 20 døgn før og 50 døgn etter teoretisk 50 prosent laksesmoltutvandring for produksjonsområdet.

 

I 2021 ble det gjennomført kun én periode med undersøkelser av lakselusinfestasjon på sjøørret/sjørøye i dette produksjonsområdet. Det ble ikke gjennomført tråling etter postsmolt laks eller undersøkelser med vaktbur (Figur 33).

 

Figur 33. Område for overvåking i produksjonsområde 8. Rød sirkel angir posisjon for undersøkelser med ruser og garn. Grønne områder viser nasjonale laksefjorder.
Figur 33. Område for overvåking i produksjonsområde 8. Rød sirkel angir posisjon for undersøkelser med ruser og garn. Grønne områder viser nasjonale laksefjorder.

 

4.8.2 - Ruse og garn

Leirfjord på Helgeland ble valgt som stasjon for undersøkelser på sjøørret/sjørøye i dette produksjonsområdet og ble kun undersøkt i uke 24.

Stasjon Uke n Prevalens Intensitet % > 0,1 lus/g
[95%KI] [95%KI] [95%KI]
Leirfjord 24 32 9 [3-24] 10 [1-19] 3 [0-16]
Tabell 14. Infestasjon av lakselus sjøørret fra PO 8. n angir antall undersøkte fisk i hver uke. Prevalens viser hvor stor andel av de undersøkte fiskene som ble funnet med en eller flere lakselus og oppgis i prosent. 95 % konfidensintervall er oppgitt i klammer bak. Intensitet angir gjennomsnittlig antall lakselus på den andelen av materialet som ble funnet med lus med 95 % konfidensintervall i klammer bak. % > 0,1 lus/ g viser andelen av det undersøkte materialet hvor infestasjonen var høyere enn 0,1 lus per gram kroppsvekt. 95 % konfidensintervall er oppgitt i klammer bak.

 

Figur 34. Antall lakselus (A), relativt antall lus (antall lus/gram kroppsvekt) (B) og antall lakselus fordelt på fastsittende og bevegelige stadier (C) fra sjøørret på stasjonen Leirfjord.
Figur 34. Antall lakselus (A), relativt antall lus (antall lus/gram kroppsvekt) (B) og antall lakselus fordelt på fastsittende og bevegelige stadier (C) fra sjøørret på stasjonen Leirfjord.

 

4.9 - Nordland nord (PO 9, Vestfjorden og Vesterålen)

4.9.1 - Området

Produksjonsområde 9 dekker kystområdet fra Bodø til Andøya lengst nord i Nordland og inkluderer hele Vestfjorden samt øygruppene Lofoten og Vesterålen. Det er 58 registrerte laksevassdrag i dette produksjonsområdet, men ingen av disse har status som nasjonale laksevassdrag. Samlet gytebestandsdmål (GBM) for laksevassdragene i produksjonsområdet er på vel 6,7 tonn hunnlaks med en teoretisk årlig produksjon på vel 193.000 smolt (Ugedal mfl. 2021). Sjøørret og sjørøye finnes også i store deler av produksjonsområdet og reproduserer i mindre vassdrag i tillegg til de nevnte lakseelvene. Det er høy oppdrettsproduksjon av laksefisk i sjø langs det meste av kysten og rundt øyene i Lofoten og Vesterålen. I fjordene på fastlandssiden er produksjonen mer spredt. I PO 9 var det 91 lokaliteter i drift i perioden for lakselusovervåkingen i 2021. Samlet produksjon av luseegg fra oppdrettsanlegg i varierer mellom år og tid på året. Timesproduksjon økte gradvis, og passerte 10 millioner luseegg i løpet av juli. Modellen indikerer høyest tetthet av kopepoditter i Steigen (Figur 35).

 

Figur 35. Produksjon av klekte luseegg fra oppdrettsanlegg i produksjonsområde 9 i tidsrommet mars - september i 2020 og 2021. Grønt felt indikerer en periode på 70 døgn hvor en regner med at en stor andel sjøørret benytter det marine habitatet i produksjonsområdet. Figuren illustrerer også tidsrom for lavere lusegrense i oppdrettsanlegg og omtrentlig tidsrom for overvåking i dette produksjonsområdet (ruse 2021, t.v.). Kartet illustrerer modellert fordeling av kopepoditter i produksjonsområdet summert over den samme 70 døgns perioden. Grønn farge i kartet indikerer lav tetthet av kopepoditter og blå farge i kartet indikerer høyere tetthet med kopepoditter t.h. Perioden på 70 døgn er lagt 20 døgn før og 50 døgn etter teoretisk 50 prosent laksesmoltutvandring for produksjonsområdet.
Figur 35. Produksjon av klekte luseegg fra oppdrettsanlegg i produksjonsområde 9 i tidsrommet mars - september i 2020 og 2021. Grønt felt indikerer en periode på 70 døgn hvor en regner med at en stor andel sjøørret benytter det marine habitatet i produksjonsområdet. Figuren illustrerer også tidsrom for lavere lusegrense i oppdrettsanlegg og omtrentlig tidsrom for overvåking i dette produksjonsområdet (ruse 2021, t.v.). Kartet illustrerer modellert fordeling av kopepoditter i produksjonsområdet summert over den samme 70 døgns perioden. Grønn farge i kartet indikerer lav tetthet av kopepoditter og blå farge i kartet indikerer høyere tetthet med kopepoditter t.h. Perioden på 70 døgn er lagt 20 døgn før og 50 døgn etter teoretisk 50 prosent laksesmoltutvandring for produksjonsområdet.

 

I 2021 ble det kun gjennomført undersøkelser av lakselusinfestasjon på sjøørret/sjørøye i Steigen. Det ble ikke gjennomført tråling etter postsmolt laks eller undersøkelser med vaktbur (Figur 36).

 

Figur 36. Områder for overvåking i produksjonsområde 9. Rød sirkel angir posisjoner for undersøkelser med ruser og garn. Det er ingen nasjonale laksefjorder i PO 9.
Figur 36. Områder for overvåking i produksjonsområde 9. Rød sirkel angir posisjoner for undersøkelser med ruser og garn. Det er ingen nasjonale laksefjorder i PO 9.

 

4.9.2 - Ruse og garn

Steigen ble valgt som stasjon for kortere undersøkelser av lakselus på sjøørret og sjørøye i dette produksjonsområdet. Undersøkelsene ble i 2021 gjennomført i uke 24 og 25.

Stasjon Uke n Prevalens Intensitet % > 0,1 lus/g
[95%KI] [95%KI] [95%KI]
Steigen 24 44 95 [85-99] 25 [19-35] 68 [53-80]
25 41 100 [91-100] 20 [16-24] 54 [39-68]
Tabell 15. Infestasjon av lakselus sjøørret fra PO 9. n angir antall undersøkte fisk i hver uke. Prevalens viser hvor stor andel av de undersøkte fiskene som ble funnet med en eller flere lakselus og oppgis i prosent. 95 % konfidensintervall er oppgitt i klammer bak. Intensitet angir gjennomsnittlig antall lakselus på den andelen av materialet som ble funnet med lus med 95 % konfidensintervall i klammer bak. % > 0,1 lus/ g viser andelen av det undersøkte materialet hvor infestasjonen var høyere enn 0,1 lus per gram kroppsvekt. 95 % konfidensintervall er oppgitt i klammer bak.

 

Figur 37. Antall lakselus (A), relativt antall lus (antall lus/gram kroppsvekt) (B) og antall lakselus fordelt på fastsittende og bevegelige stadier (C) på sjøørret fra Steigen.
Figur 37. Antall lakselus (A), relativt antall lus (antall lus/gram kroppsvekt) (B) og antall lakselus fordelt på fastsittende og bevegelige stadier (C) på sjøørret fra Steigen.

 

4.10 - Troms sør (PO 10, Andøya til Senja)

4.10.1 - Området

Produksjonsområde 10 dekker kystområdet fra Andøya lengst nord i Nordland og strekker seg nordøstover til Malangen nord for Senja. I området er også Vågsfjorden ved Harstad samt flere fjorder på fastlandet i Sør-Troms inkludert. Det er 24 registrerte laksevassdrag i dette produksjonsområdet hvor av to har status som nasjonale laksevassdrag. Samlet gytebestandsdmål (GBM) for laksevassdragene i produksjonsområdet er på vel 12 tonn hunnlaks med en teoretisk årlig produksjon på vel 328.000 smolt (Ugedal mfl. 2021). Sjøørret og sjørøye finnes også i store deler av produksjonsområdet og reproduserer i mindre vassdrag i tillegg til de nevnte lakseelvene. Det er høy produksjon av laksefisk i sjø i flere deler av produksjonsområdet, spesielt nordover fra Harstad og i området rundt Senja. Malangen er nasjonal laksefjord og derfor helt uten oppdrettsproduksjon. I PO 10 var det 57 lokaliteter i drift i perioden for lakselusovervåkingen i 2021. Samlet produksjon av luseegg fra oppdrettsanlegg i varierer mellom år og tid på året. Timesproduksjonen var på under 5 millioner luseegg gjennom hele juni, og økte deretter noe mot midten av juli. Modellen indikerer høyest tetthet av kopepoditter i den sørlige delen av produksjonsområdet, samt i noen av de ytre fjordene på Senja (Figur 38).

 

Figur 38.  Produksjon av klekte luseegg fra oppdrettsanlegg i produksjonsområde 10 i tidsrommet mars - september i 2019 og 2020. Grønt felt indikerer en periode på 70 døgn hvor en regner med at en stor andel sjøørret benytter det marine habitatet i produksjonsområdet. Figuren illustrerer også tidsrom for lavere lusegrense i oppdrettsanlegg og omtrentlig tidsrom for overvåking i dette produksjonsområdet (ruse 2020, t.v.). Kartet illustrerer modellert fordeling av kopepoditter i produksjonsområdet summert over den samme 70 døgns perioden. Grønn farge i kartet indikerer lav tetthet av kopepoditter og blå farge i kartet indikerer høyere tetthet med kopepoditter t.h. Perioden på 70 døgn er lagt 20 døgn før og 50 døgn etter teoretisk 50 prosent laksesmoltutvandring for produksjonsområdet.
Figur 38. Produksjon av klekte luseegg fra oppdrettsanlegg i produksjonsområde 10 i tidsrommet mars - september i 2019 og 2020. Grønt felt indikerer en periode på 70 døgn hvor en regner med at en stor andel sjøørret benytter det marine habitatet i produksjonsområdet. Figuren illustrerer også tidsrom for lavere lusegrense i oppdrettsanlegg og omtrentlig tidsrom for overvåking i dette produksjonsområdet (ruse 2020, t.v.). Kartet illustrerer modellert fordeling av kopepoditter i produksjonsområdet summert over den samme 70 døgns perioden. Grønn farge i kartet indikerer lav tetthet av kopepoditter og blå farge i kartet indikerer høyere tetthet med kopepoditter t.h. Perioden på 70 døgn er lagt 20 døgn før og 50 døgn etter teoretisk 50 prosent laksesmoltutvandring for produksjonsområdet.

 

I 2021 ble det gjennomført undersøkelser av lakselusinfestasjon på sjøørret/sjørøye på flere stasjoner i produksjonsområdet. Det ble ikke gjennomført tråling etter postsmolt laks eller undersøkelser med vaktbur (Figur 39).

 

Figur 39. Områder for overvåking i produksjonsområde 10. Røde sirkler angir posisjoner for undersøkelser med ruser og garn. Grønt områder viser nasjonal laksefjord.
Figur 39. Områder for overvåking i produksjonsområde 10. Røde sirkler angir posisjoner for undersøkelser med ruser og garn. Grønt områder viser nasjonal laksefjord.

 

4.10.2 - Ruse og garn

Løksebotn, Finnsnes og Malangen ble valgt som stasjoner for kortere undersøkelser av lakselus på sjøørret og sjørøye i dette produksjonsområdet. Undersøkelsene ble i 2021 gjennomført i uke 24-26. Samtlige stasjoner er undersøkt i NALO tidligere år.

Stasjon Uke n Prevalens Intensitet % > 0,1 lus/g
[95%KI] [95%KI] [95%KI]
Løksebotn 24 41 46 [32-61] 5 [3-10] 0 [0-9]
26 56 89 [79-95] 8 [6-10] 4 [1-12]
Finnsnes 24 18 44 [25-66] 11 [4-30] 11 [3-33]
25 17 71 [47-87] 20 [8-35] 18 [6-41]
26 24 33 [18-53] 21 [6-49] 8 [2-26]
Malangen 25 20 0 [0-16] - 0 [0-16]
26 21 0 [0-15] - 0 [0-15]
Tabell 16. Infestasjon av lakselus sjøørret fra PO 10. n angir antall undersøkte fisk i hver uke. Prevalens viser hvor stor andel av de undersøkte fiskene som ble funnet med en eller flere lakselus og oppgis i prosent. 95 % konfidensintervall er oppgitt i klammer bak. Intensitet angir gjennomsnittlig antall lakselus på den andelen av materialet som ble funnet med lus med 95 % konfidensintervall i klammer bak. % > 0,1 lus/ g viser andelen av det undersøkte materialet hvor infestasjonen var høyere enn 0,1 lus per gram kroppsvekt. 95 % konfidensintervall er oppgitt i klammer bak.

 

Figur 40. Antall lakselus (A), relativt antall lus (antall lus/gram kroppsvekt) (B) og antall lakselus fordelt på fastsittende og bevegelige stadier (C) fra sjøørret på stasjonene Løksebotn (venstre), Finnsnes og Malangen (høyre).
Figur 40. Antall lakselus (A), relativt antall lus (antall lus/gram kroppsvekt) (B) og antall lakselus fordelt på fastsittende og bevegelige stadier (C) fra sjøørret på stasjonene Løksebotn (venstre), Finnsnes og Malangen (høyre).

 

4.11 - Troms nord (PO 11, Kvaløya til Loppa)

4.11.1 - Området

Produksjonsområde 11 dekker kystområdet fra Kvaløya vest for Tromsø til og med Kvænangen på fylkesgrensa mellom Troms og Finnmark. Området inkluderer også de større fjordene på begge sider av Lyngenhalvøya. Det er 17 registrerte laksevassdrag i dette produksjonsområdet hvor av 2 har status som nasjonale laksevassdrag. Samlet gytebestandsdmål (GBM) for laksevassdragene i produksjonsområdet er på vel 8,5 tonn hunnlaks med en teoretisk årlig produksjon på vel 141.000 smolt (Ugedal mfl. 2021). Sjøørret og sjørøye finnes også i store deler av produksjonsområdet og reproduserer i mindre vassdrag i tillegg til de nevnte lakseelvene. Det er produksjon av laksefisk i sjø i flere deler av produksjonsområdet, spesielt på kysten rundt de større øyene. Reisafjorden og indre deler av Kvænangen er nasjonale laksefjorder og derfor helt uten oppdrettsproduksjon. I PO 11 var det 34 lokaliteter i drift i tidsrommet for lakselusovervåkingen i 2021. Samlet produksjon av luseegg fra oppdrettsanlegg i varierer mellom år og tid på året. I 2021 var timesproduksjonen langt under 5 millioner luseegg til og med august (Figur 41).

 

Figur 41. Produksjon av klekte luseegg fra oppdrettsanlegg i produksjonsområde 11 i tidsrommet mars - september i 2020 og 2021. Grønt felt indikerer en periode på 70 døgn hvor en regner med at en stor andel sjøørret benytter det marine habitatet i produksjonsområdet. Figuren illustrerer også tidsrom for lavere lusegrense i oppdrettsanlegg og omtrentlig tidsrom for overvåking i dette produksjonsområdet (ruse 2021, t.v.). Kartet illustrerer modellert fordeling av kopepoditter i produksjonsområdet summert over den samme 70 døgns perioden. Grønn farge i kartet indikerer lav tetthet av kopepoditter og blå farge i kartet indikerer høyere tetthet med kopepoditter t.h. Perioden på 70 døgn er lagt 20 døgn før og 50 døgn etter teoretisk 50 prosent laksesmoltutvandring for produksjonsområdet.
Figur 41. Produksjon av klekte luseegg fra oppdrettsanlegg i produksjonsområde 11 i tidsrommet mars - september i 2020 og 2021. Grønt felt indikerer en periode på 70 døgn hvor en regner med at en stor andel sjøørret benytter det marine habitatet i produksjonsområdet. Figuren illustrerer også tidsrom for lavere lusegrense i oppdrettsanlegg og omtrentlig tidsrom for overvåking i dette produksjonsområdet (ruse 2021, t.v.). Kartet illustrerer modellert fordeling av kopepoditter i produksjonsområdet summert over den samme 70 døgns perioden. Grønn farge i kartet indikerer lav tetthet av kopepoditter og blå farge i kartet indikerer høyere tetthet med kopepoditter t.h. Perioden på 70 døgn er lagt 20 døgn før og 50 døgn etter teoretisk 50 prosent laksesmoltutvandring for produksjonsområdet.

 

I 2021 ble det gjennomført en utvidet undersøkelse av sjøørret i dette produksjonsområdet. Nordreisa ble valgt som fokusområde med sammenhengende overvåking i en periode på mer enn 6 uker. Det ble ikke gjennomført tråling etter postsmolt laks eller undersøkelser med vaktbur (Figur 42).

 

Figur 42. Område for overvåking i PO 11. Røde sirkler angir posisjoner for undersøkelse med ruse og garn. Grønne områder viser nasjonale laksefjorder.
Figur 42. Område for overvåking i PO 11. Røde sirkler angir posisjoner for undersøkelse med ruse og garn. Grønne områder viser nasjonale laksefjorder.

 

4.11.2 - Ruse og garn

I fokusområdet Reisa ble det først igangsatt overvåking med ruse i Oksfjord. Etter hvert ble det også satt inn en ruse i Straumfjorden litt lengre sør i området. Distansen mellom de to rusene er mindre enn 5 kilometer. Data presenteres derfor samlet i denne delen av rapporten, og stasjonen omtales som Reisa. Ytterligere data fra fokusområdet blir presentert i et eget kapittel senere i rapporten. Da vil en skille mellom de to rusene. Undersøkelsene i Reisa ble gjennomført fra uke 25 til og med uke 30.

Stasjon Uke n Prevalens Intensitet % > 0,1 lus/g
[95%KI] [95%KI] [95%KI]
Reisa 25 7 71 [36-92] 1 [1-1] 0 [0-39]
26 16 62 [39-82] 14 [6-28] 0 [0-19]
27 24 75 [55-88] 22 [12-37] 8 [2-26]
28 58 74 [62-84] 14 [10-27] 16 [8-27]
29 54 63 [50-75] 6 [4-11] 17 [9-29]
30 12 58 [32-81] 7 [3-13] 0 [0-24]
Tabell 17. Infestasjon av lakselus på sjøørret/sjørøye fra PO 11. n angir antall undersøkte fisk i hver uke. Prevalens viser hvor stor andel av de undersøkte fiskene som ble funnet med en eller flere lakselus og oppgis i prosent. 95 % konfidensintervall er oppgitt i klammer bak. Intensitet angir gjennomsnittlig antall lakselus på den andelen av materialet som ble funnet med lus med 95 % konfidensintervall i klammer bak. % > 0,1 lus/ g viser andelen av det undersøkte materialet hvor infestasjonen var høyere enn 0,1 lus per gram kroppsvekt. 95 % konfidensintervall er oppgitt i klammer bak.

 

Figur 43. Antall lakselus (A), relativt antall lus (antall lus/gram kroppsvekt) (B) og antall lakselus fordelt på fastsittende og bevegelige stadier (C) fra sjøørret på stasjonen i Reisa.
Figur 43. Antall lakselus (A), relativt antall lus (antall lus/gram kroppsvekt) (B) og antall lakselus fordelt på fastsittende og bevegelige stadier (C) fra sjøørret på stasjonen i Reisa.

 

4.12 - Finnmark vest (PO 12, Vest-Finnmark)

4.12.1 - Området

Produksjonsområde 12 dekker kystområdet fra Loppa i vest til nordspissen av Nordkinnhalvøya og inkluderer de store fjordsystemene Alta, Porsanger og Laksefjord. Det er 18 registrerte laksevassdrag i dette produksjonsområdet hvor av fem er nasjonale laksevassdrag. Samlet gytebestandsdmål (GBM) for laksevassdragene i produksjonsområdet er på mer enn 26 tonn hunnlaks og med en teoretisk årlig produksjon på 587.000 smolt (Ugedal mfl. 2021). Sjøørret og sjørøye finnes også i store deler av produksjonsområdet og reproduserer i mindre vassdrag i tillegg til de nevnte lakseelvene. Det er generelt høy oppdrettsproduksjon av laksefisk i sjø i den vestligste delen av produksjonsområdet, mens det fra Hammerfest og østover er store områder uten oppdrett. Indre del av Altafjorden og Porsangerfjorden er nasjonale laksefjorder og derfor helt uten oppdrett. I PO 12 var det 62 lokaliteter i drift i tidsrommet for lakselusovervåkingen i 2021. Samlet produksjon av luseegg fra oppdrettsanlegg i varierer mellom år og tid på året. Det ble ikke produsert mer enn 5 millioner luseegg fra anlegg i dette produksjonsområdet i tidsrommet mai – august. Modellen indikerer høyere tetthet av kopepoditter i området sør for Magerøya (Figur 44).

 

Figur 44. Produksjon av klekte luseegg fra oppdrettsanlegg i produksjonsområde 12 i tidsrommet mars - september i 2020 og 2021. Grønt felt indikerer en periode på 70 døgn hvor en regner med at en stor andel sjøørret benytter det marine habitatet i produksjonsområdet. Figuren illustrerer også tidsrom for lavere lusegrense i oppdrettsanlegg og omtrentlig tidsrom for overvåking i dette produksjonsområdet (ruse 2021, t.v.). Kartet illustrerer modellert fordeling av kopepoditter i produksjonsområdet summert over den samme 70 døgns perioden. Grønn farge i kartet indikerer lav tetthet av kopepoditter og blå farge i kartet indikerer høyere tetthet med kopepoditter t.h. Perioden på 70 døgn er lagt 20 døgn før og 50 døgn etter teoretisk 50 prosent laksesmoltutvandring for produksjonsområdet.
Figur 44. Produksjon av klekte luseegg fra oppdrettsanlegg i produksjonsområde 12 i tidsrommet mars - september i 2020 og 2021. Grønt felt indikerer en periode på 70 døgn hvor en regner med at en stor andel sjøørret benytter det marine habitatet i produksjonsområdet. Figuren illustrerer også tidsrom for lavere lusegrense i oppdrettsanlegg og omtrentlig tidsrom for overvåking i dette produksjonsområdet (ruse 2021, t.v.). Kartet illustrerer modellert fordeling av kopepoditter i produksjonsområdet summert over den samme 70 døgns perioden. Grønn farge i kartet indikerer lav tetthet av kopepoditter og blå farge i kartet indikerer høyere tetthet med kopepoditter t.h. Perioden på 70 døgn er lagt 20 døgn før og 50 døgn etter teoretisk 50 prosent laksesmoltutvandring for produksjonsområdet.

 

I 2021 ble det gjennomført undersøkelser av lakselusinfestasjon på sjøørret/sjørøye på to stasjoner i produksjonsområdet. Det ble ikke gjennomført tråling etter postsmolt laks eller undersøkelser med vaktbur (Figur 45).

 

Figur 45. Områder for overvåking i produksjonsområde 12. Røde sirkler angir posisjoner for undersøkelser med ruser og garn, og grønne områder viser nasjonale laksefjorder.
Figur 45. Områder for overvåking i produksjonsområde 12. Røde sirkler angir posisjoner for undersøkelser med ruser og garn, og grønne områder viser nasjonale laksefjorder.

 

4.12.2 - Ruse og garn

I Talvik i Altafjorden ble undersøkt to ganger med ruser og garn. Henholdsvis i uke 27 og 30. Det ble i tillegg gjort en kort undersøkelse i Handelsbukt i Porsangerfjorden i uke 29.

Stasjon Uke n Prevalens Intensitet % > 0,1 lus/g
[95%KI] [95%KI] [95%KI]
Talvik 27 17 35 [17-59] 4 [2-6] 6 [0-27]
30 44 93 [82-98] 17 [12-23] 25 [15-39]
Handelsbukt 29 15 47 [25-70] 1 [1-1] 0 [0-20]
Tabell 18. Infestasjon av lakselus sjøørret og sjørøye fra PO 12. n angir antall undersøkte fisk i hver uke. Prevalens viser hvor stor andel av de undersøkte fiskene som ble funnet med en eller flere lakselus og oppgis i prosent. 95 % konfidensintervall er oppgitt i klammer bak. Intensitet angir gjennomsnittlig antall lakselus på den andelen av materialet som ble funnet med lus med 95 % konfidensintervall i klammer bak. % > 0,1 lus/ g viser andelen av det undersøkte materialet hvor infestasjonen var høyere enn 0,1 lus per gram kroppsvekt. 95 % konfidensintervall er oppgitt i klammer bak.

 

Figur 46. Antall lakselus (A), relativt antall lus (antall lus/gram kroppsvekt) (B) og antall lakselus fordelt på fastsittende og bevegelige stadier (C) fra sjøørret på stasjonene Talvik (venstre) og Handelsbukt (høyre).
Figur 46. Antall lakselus (A), relativt antall lus (antall lus/gram kroppsvekt) (B) og antall lakselus fordelt på fastsittende og bevegelige stadier (C) fra sjøørret på stasjonene Talvik (venstre) og Handelsbukt (høyre).

 

4.13 - Finnmark øst (PO 13, Øst-Finnmark)

4.13.1 - Området

Produksjonsområde 13 dekker kystområdet fra Nordkinnhalvøya i vest til riksgrensen mot Russland i øst. Tanafjorden og Varangerfjorden er de to største fjordsystemene i dette produksjonsområdet. Det er 18 registrerte laksevassdrag i dette produksjonsområdet hvor av seks har status som nasjonale laksevassdrag. Samlet gytebestandsdmål (GBM) for laksevassdragene i produksjonsområdet er på vel 75 tonn hunnlaks med en teoretisk årlig produksjon på vel 1,1 millioner smolt (Ugedal mfl. 2021). Sjøørret og sjørøye finnes også i store deler av produksjonsområdet og reproduserer i mindre vassdrag i tillegg til de nevnte lakseelvene. Det er generelt liten produksjon av laksefisk i sjø i området. Hele Tanafjorden, Kongsfjorden og Neidenfjorden/Bøkfjorden er nasjonale laksefjorder og derfor helt uten oppdrettsproduksjon. I 2021 var det 5 lokaliteter i drift i tidsrommet for lakselusovervåkingen. Samlet produksjon av luseegg fra oppdrettsanlegg er generelt lavt i dette produksjonsområdet. Timesproduksjonen av luseegg fra anlegg på mindre enn én million gjennom hele sommeren (Figur 47).

 

Figur 47. Produksjon av klekte luseegg fra oppdrettsanlegg i produksjonsområde 13 i tidsrommet mars - september i 2020 og 2021. Grønt felt indikerer en periode på 70 døgn hvor en regner med at en stor andel sjøørret benytter det marine habitatet i produksjonsområdet. Figuren illustrerer også tidsrom for lavere lusegrense i oppdrettsanlegg og omtrentlig tidsrom for overvåking i dette produksjonsområdet (ruse 2021, t.v.). Kartet illustrerer modellert fordeling av kopepoditter i produksjonsområdet summert over den samme 70 døgns perioden. Grønn farge i kartet indikerer lav tetthet av kopepoditter og blå farge i kartet indikerer høyere tetthet med kopepoditter t.h. Perioden på 70 døgn er lagt 20 døgn før og 50 døgn etter teoretisk 50 prosent laksesmoltutvandring for produksjonsområdet.
Figur 47. Produksjon av klekte luseegg fra oppdrettsanlegg i produksjonsområde 13 i tidsrommet mars - september i 2020 og 2021. Grønt felt indikerer en periode på 70 døgn hvor en regner med at en stor andel sjøørret benytter det marine habitatet i produksjonsområdet. Figuren illustrerer også tidsrom for lavere lusegrense i oppdrettsanlegg og omtrentlig tidsrom for overvåking i dette produksjonsområdet (ruse 2021, t.v.). Kartet illustrerer modellert fordeling av kopepoditter i produksjonsområdet summert over den samme 70 døgns perioden. Grønn farge i kartet indikerer lav tetthet av kopepoditter og blå farge i kartet indikerer høyere tetthet med kopepoditter t.h. Perioden på 70 døgn er lagt 20 døgn før og 50 døgn etter teoretisk 50 prosent laksesmoltutvandring for produksjonsområdet.

 

I 2021 ble det gjennomført undersøkelser av ørret/røye på kun én stasjon i dette produksjonsområdet (Figur 48).

 

Figur 48. Områder for overvåking i produksjonsområde 13. Rød sirkel angir posisjon for undersøkelse med ruser og garn og grønne områder viser nasjonale laksefjorder.
Figur 48. Områder for overvåking i produksjonsområde 13. Rød sirkel angir posisjon for undersøkelse med ruser og garn og grønne områder viser nasjonale laksefjorder.

 

4.13.2 - Ruse og garn

Jarfjord helt øst i fylket ble valgt som stasjon for en kort undersøkelse av lakselus på sjøørret og sjørøye i dette produksjonsområdet. Undersøkelsene ble i 2021 gjennomført i uke 29.

Stasjon Uke n Prevalens Intensitet % > 0,1 lus/g
[95%KI] [95%KI] [95%KI]
Jarfjord 29 36 86 [71-94] 6 [4-7] 11 [4-25]
Tabell 19. Infestasjon av lakselus sjøørret fra PO 13. n angir antall undersøkte fisk i hver uke. Prevalens viser hvor stor andel av de undersøkte fiskene som ble funnet med en eller flere lakselus og oppgis i prosent. 95 % konfidensintervall er oppgitt i klammer bak. Intensitet angir gjennomsnittlig antall lakselus på den andelen av materialet som ble funnet med lus med 95 % konfidensintervall i klammer bak. % > 0,1 lus/ g viser andelen av det undersøkte materialet hvor infestasjonen var høyere enn 0,1 lus per gram kroppsvekt. 95 % konfidensintervall er oppgitt i klammer bak.

 

Figur 49. Antall lakselus (A), relativt antall lus (antall lus/gram kroppsvekt) (B) og antall lakselus fordelt på fastsittende og bevegelige stadier (C) fra sjøørret/sjørøye fra Jarfjord.
Figur 49. Antall lakselus (A), relativt antall lus (antall lus/gram kroppsvekt) (B) og antall lakselus fordelt på fastsittende og bevegelige stadier (C) fra sjøørret/sjørøye fra Jarfjord.

 

5 - Oppsummering av lakselusinfestasjon på vill laksefisk 2021

Oppsummert var det i 2021 lite lus i Boknafjorden, mye i Hardanger- og Sognefjorden, moderat i Romsdalsfjorden og lite i Trondheimsfjorden. I forhold til 2020 er det en klar forbedring i Boknafjorden, mens Hardanger-, Sogn- og Romsdalsfjorden hadde mer lus enn i 2020, Trondheimsfjorden er på linje med tidligere år. Det ble ikke trålt i Altafjorden i 2021.

Resultatene fra trålfangst av utvandrende postsmolt av laks viste at i Boknafjorden var det lite lus på fisken i alle ukene det ble trålt, hvor mindre enn 10% av fisken hadde mer enn 0,1 lus/g fiskevekt. Mest laks ble fanget ukene 19-20, mindre både uken før og etter. I Hardangerfjorden var det derimot mye lus på laksen, andelen av fisk med > 0,1 lus/g var mellom 33 og 86% i de 4 ukene det ble trålt. Høyest fangst ble tatt de to første ukene 19-20. Fangstene i Sognefjorden var dårligere, hvor det stort sett bare ble tatt fisk de 3 første ukene, og høyest fangst uke 20. Infestasjonen av lakselus var høy disse 3 ukene, hvor mellom 53 og 83% av fisken hadde > 0,1 lus/g. I Romsdalsfjorden var fangstene dårligere, med fangst stort sett bare de to første ukene trålt (ukene 20-21). Det var en del lus på denne fisken, hvor andelen fisk med > 0,1 lus/g var hhv. 23 og 17%. I Trondheimsfjorden ble det trålt i 8 uker, ukene 19-26. Høyest fangst var ukene 20-22. Andelen av fisk med > 0,1 lus/g varierte fra 2-31%, i tidsrommet med høyest fangst mellom 4 og 14 %.

Resultatene fra ruse og garnfanget sjøørret og sjørøye viser generelt at det er lite lus på Sørlandet, mens fra Rogaland til Trøndelag er det som regel mye lus på fisken utover sesongen. I Nordland, Troms og Finnmark er det generelt mindre lus på fisken, selv om det observeres enkelte området med forhøyet antall lus på fisken.

På Sørlandet er det lite lus, men høyst antall i nærheten av oppdrettsanleggene ved Flekkefjord. I Rogaland er det en del lus på sørsiden av Boknafjorden, og mer på nordsiden. I Vestland fylke det til dels mye lus på fisken, også på stasjonene innover i fjordene (Ålvik i Hardanger, Balestrand i Sogn). Det er mye lus på fisken også i Nordhordland og Nordfjord. I Møre og Romsdal er det en del lus på fisken i Ørsta, relativt mye på begge stasjonene i Romsdalsfjorden. Ved Agdenes i Trøndelag øker lusepresset utover sesongen, og blir etter hvert høyt, mens ved Hitra er det noe mindre lus på sammenlignbare uker, selv om nesten all fisken på begge stasjonene har lus. Nord i Trøndelag hadde all fisken undersøkt ved Sitter og Vikna undersøkt lus, og en stor andel av fisken hadde mye lus. På stasjonene i Nordland var det både lite (Leirfjord), og mye lus (Steigen). I Troms var det relativt lite lus på alle de fire stasjonene undersøkt, mest ved Finnsnes og Nordreisa, mindre i Løksebotn og Malangen. I Finnmark var det en del lus på stasjonen i Altafjorden (Talvik) utover sesongen, mindre i på de to øvrige stasjonene (Handelsbukt og Jarfjorden).

Data fra vaktbur viser lite lus i hele Boknafjorden, mens i Hardanger var det moderat med lus i de indre delene, og lite lus i de ytre.

 

Modellert tetthet av lakseluskopepoditter
Figur 50. Modellert tetthet av lakseluskopepoditter langs Norskekysten i uke 18, 21, 24 og 27 i 2021. Grønn farge angir lav tetthet og blå farge angir høyere tetthet.

Datamaterialet fra overvåkingsprogrammet i 2021 har mange likheter med tidligere års observasjoner på villfisk i de samme områdene (Bjørn mfl. 2012, 2013; Nilsen mfl. 2014, 2016, 2017, 2018, 2019 og 2020). Vestlandet og Trøndelag har gjentatte ganger vist seg som de områdene hvor lusepåslag på villfisk er høyest. Dette har resultert i økt fokus på overvåkingen i disse områdene, med blant annet mer tråling etter utvandrende laks og fortsatt bruk av vaktbur. Dette øker sikkerheten i observasjonene fra overvåkingen, noe som vurderes som viktig der lakselus sannsynligvis er et problem for både villfisk og oppdrettsnæring. Det blir likevel også viktig å følge utviklingen fremover både på Sørlandet og nordover langs kysten da både klimaendringer og strukturelle endringen i oppdrettsnæringen kan forventes i tiden fremover.

6 - Utvikling av effektindikator for påvirkning av lakselus

Med en effektindikator menes her en metode for å kunne forutsi grad av negativ effekt av lakselus på sjøørret og sjørøye.

Sjøørret har en komplisert livshistorie, som også kan påvirkes av lakselus. Normalt vandrer sjøørret og røye ut fra elvene som smolt på våren, noenlunde sammenfallende i tid med laks, men utvandringen er ofte noe mer ustrakt. Den beiter deretter i fjordene og langs kysten i 2-4 måneder før den vandrer tilbake til ferskvann. En del av populasjonen, spesielt i de sørlige delene av landet, kan overvintre i sjøen. Utviklingen av en effektindikator må ta hensyn til den kompliserte livssyklusen for å kunne si noe om effekt av lakselus ved gitte infeksjonsnivåer.

I NALO programmet arbeides det med to tilnærminger. Den første er innhenting av empiriske data på andel av populasjon som er smittet med lakselus og antall lakselus disse har. Dette gjøres ved hjelp av fangst med ruse eller garn, og utføres i deler av perioden sjøørret beiter i fjordene. Den andre tilnærmingen er beregning av tetthet av lakseluslarver i vannmassene vha av den bio-hydrodynamiske lakelusmodelllen som er utviklet ved HI, og videre estimering av redusert marint leveområde og redusert marin oppholdstid som begge med stor sannsynlighet vil ha negativ effekt på sjøørret/sjørøye.

Vi ser ofte at antall lus avtar utover sommeren selv om det er mer lus i sjøen. Det kan være flere årsaker til dette, som at den mest infiserte fisken dør, at den trekker opp i ferskvann, eller at avlust fisk returnerer til sjøen, eller at lusa dør. Vi ønsker å belyse årsakssammenhengen som er essensiell for en korrekt tolkning av data. Derfor ble det fra og med 2020 etablert en utvidet overvåking på sjøørret og sjørøye i 6 fokusområder. I fokusområdene overvåkes det i 6 forløpende uker, fisken PIT-merkes, det tas prøver til genetiske analyser, skjellprøver for vekstanalyser, samt at PIT antenner plasseres i enkelte elver i noen av disse fokusområdene for deteksjon av oppvandrende fisk. Det vil etter hvert igangsettes merking av fisk i elv for deteksjon av utvandring, samt at det skal etableres en genetisk baseline som muliggjør bestemmelse av hvilken elv fisken som fanges i sjøen kommer fra.

Basert på at en forventer at modeller vil få stadig større betydning for å vurdere effekten av lakselus, har en de senere år utviklet en modell som benyttes for å estimere tetthet av lakselus langs kysten basert på rapporterte data fra oppdrett (jfr.lakselus.no). I Finstad mfl. 2021 er det foreslått at redusert marint leveområde (RML) og redusert marin tid (RMT) bør være indikatorer for påvirkning av lakselus på sjøørret postsmolt (i stedet for dødelighet).

I utviklingen av denne metoden for prediksjon av effekten lakselus har på postsmolt av sjøørret og sjørøye ble en rekke parametere, slik som leveområde, ut- og oppvandringstider, størrelse på utvandrende smolt og vekst i sjøen, prematur tilbakevandring, og hvordan disse påvirkes av lakselus, satt etter beste gjeldende kunnskap. Formålet med arbeidet som gjøres i fokusområdene er å innhente data som kan brukes for å gi et bedre estimat av disse parameterne. På sikt vil dette øke kunnskapen og dermed presisjonen på modell estimatene for effekt av lakselus på anadrom sjøørret og sjørøye, slik at dette kan beregnes med tilstrekkelige detaljer for at gitt område hvor som helst langs kysten og i fjorden.

7 - Fokusområder

7.1 - Generell innledning

Sjøørret viser et mangfold av marine vandringsmønstre og livshistoriestrategier. En stor utfordring når man analyserer lusefordelingen fra feltdata er at sjøørret som fanges kan ha vært i sjøen i varierende lengder, de kan ha brukt eller flyttet seg mellom forskjellige habitater med varierende tetthet av luselarver, og de kan stamme fra ulike populasjoner med ulike utvandringshistorier. I tillegg kan lakselus endre atferden til luseinfiserte individer ved å indusere prematur tilbakevandring til fersk- eller brakkvann. Fangstdata består derfor av flere underpopulasjoner med mulig veldig forskjellige lusepåslag. Hvis bidragene fra de ulike gruppene til en fangstprøve er representative for situasjonen for hele sjøørretbestanden, både med hensyn på romlig variasjon i luselarvetetthet og individuell variasjon i sjøørretens vandringsatferd, kan konklusjoner trekkes direkte fra fangstdata. Men uten en dypere innsikt i individuelle fiskebevegelser og vandringshistorie, kan det være vanskelig å vurdere om prøven er representativ for det lokale lusepresset. Å identifisere de forskjellige gruppene som utgjør en fangstprøve er derfor avgjørende for en robust tolkning av feltdata, og for korrekt evaluering av lakseluspåvirkningen for sjøørretbestander.

I 2021 ble fem NALO stasjoner (Etne, Herøyosen, Vatnefjord, Agdenes og Runga, (figur 51) definert som «fokusområder». Målet med disse var å kunne teste og utvikle komplementære metoder for å identifisere de ulike faktorer som kan påvirke den observerte lusefordelingen i fangstprøvene, med hensikt å redusere skjevhet og usikkerhet i tolkningen av feltdata . I disse 5 fokusområder ble innsatsen betydelig økt utover det som inngår i det standard NALO programmet, både i form av en utvidet fangst i sjøen, med bruk av tilleggsmetoder og gjennom tett samarbeid både intern og på tvers av forskningsinstitusjoner med feltaktivitet i de nevnte områder. Dette inkluderer informasjon om tidspunkt og varighet av smoltutvandring, tilbakevandringrate, prematur tilbakevandring til ferskvann og elvetilhørighet samt hvor lenge sjøfanget fisk har vært i sjøen

Ved valget av fokusområder ble verdien av lange tidsserier vektlagt, samt god kjennskap til området og synergi mellom flere ulike aktiviteter og forskningsgrupper. Av de 5 fokus områdene undersøkt i 2021 hadde Havforskningsinstituttet ansvar for 2 av dem, mens de resterende 3 var fordelt på samarbeidspartnere NINA og NORCE (Figur 51). I disse områdene ble den tradisjonelle overvåkningen med rusefiske (standard datainnsamling på NALO) utvidet til 6 kontinuerlige uker. Tanken var å dermed kunne få et mer fullstendig bilde på dynamikken i luseinfestasjonen gjennom den marine oppholdstiden. I tillegg ble metoder som PIT merking av fisk i elv og i havet, sammen med installasjon av PIT-antenne i elvene, brukt for å undersøke tidspunkt for og varighet av smoltutvandring, tilbakevandringsrate og eventuelt prematur tilbakevandring til ferskvann. Genetiske prøver ble samlet inn i alle fokusområdene med hensikt å bygge opp en genetisk baseline. I de tilfellene det var mulig ble genetiske metoder brukt for å spore fisk fanget i sjø tilbake til sin opphavselv. I noen områder ble også lesing av skjellprøver brukt til å estimere marin vekst og varighet av marin oppholdstid for førstegangsvandrere. Metodebruken vil variere mellom de ulike områdene avhengig av infrastruktur, ressurser og parallelle aktiviteter.

 

Figur 51. Plasseringen av de 5 fokusområdene.
Figur 51. Plasseringen av de 5 fokusområdene.

 

7.2 - Fokusområde Etne

7.2.1 - Områdebeskrivelse

Etnevassdraget er den største lakseelva i Hardangerfjordsystemet, og er opphavsstedet til noen av de største laks- og ørretpopulasjonene i Vestland fylke. Etneelva er ca. 7 km langt fra Stordalsvatnet til elvemunning. Ca. halvveis i elveløpet kommer en stor sideelv, Sørelva, som stammer fra innsjøen Litledalsvatnet. Sammen utgjør Etneelva og Sørelva en lakseførende elvestrekning på ca. 13 kilometer (Figur 52; kilde: Lakseregisteret). Etnevassdraget er definert som et nasjonalt laksevassdrag (NLV), og renner ut ved Etnefjorden – Ølsfjorden, som er definert som nasjonal laksefjord (NLF). Dette skal gi laksefiskbestandene beskyttelse mot antropogene påvirkninger, inkludert akvakultur. Laksebestanden i Etnevassdraget ble vurdert til å være i svært dårlig tilstand etter kvalitetsnormen for villaks i 2021, med lakselus og rømt oppdrettslaks som de største truslene mot villaksen (Anon. 2021). I en tilsvarende rapport fra 2019 ble sjøørretbestanden i Etnevassdraget vurdert til å være i dårlig tilstand, med lakselus som den viktigste påvirkningsfaktoren (Anon. 2019).

 

Figur 52. Etnevassdraget, i ytre Hardangerfjord. Grønt skravert felt viser grensene for den Nasjonale Laksefjorden Etnefjorden-Ølsfjorden. Oransje skravert felt og linjer viser anadrom strekning i vassdragene i området (fra Lakseregisteret).
Figur 52. Etnevassdraget, i ytre Hardangerfjord. Grønt skravert felt viser grensene for den Nasjonale Laksefjorden Etnefjorden-Ølsfjorden. Oransje skravert felt og linjer viser anadrom strekning i vassdragene i området (fra Lakseregisteret).

 

Etnefjord har vært en fast NALO stasjon de siste 12 årene, som gjør at vi har opparbeidet oss en god tidsserie for lusetall på vill laksefisk i området. I tillegg er Etne et område med mye forskingsaktivitet, både på ulike prosjekter innenfor HI og på prosjekter som tilhører andre forskingsinstitutter. Dette gjordet Etne til et naturlig valg for etablering av fokusområde. På den måten kunne man få en synergi, både internt på HI og på tvers av ulike institutter. Av særlig interesse er aktiviteten tilknyttet oppvandringsfella i Etneelva (herfra referert til som Etnefella) (Figur 53), som fungerer som en nasjonal feltstasjon for flere forskningsaktiviteter. Dette inkluderer innsamling av data på rømt laks fra oppdrett, tilbakevandring av vill laks og ørret, samt innsamling av materiale og data for andre viktige forvaltningsrettede prosjekter. Etnefella er en heldekkende felle installert i nedre del av elva, som driftes av Havforksningsinsituttet hvert år fra april til november. I tillegg har det de siste årene vært tatt i bruk en nedvandringsfelle under smoltens utvandringsperiode, med hensikt å fange og merke laks- og ørretsmolt på vei ut til havet. Dette betyr at det er en god del merket fisk med kjent utvandringsdato i område, noe som er av særlig interesse med tanke på potensiale for gjenfangst i sjøen. Det er også installert en PIT antenne i tilknytting til Etnefella. Dataen fra denne var ikke tilgjengelig, og er derfor ikke å inkludert i denne rapporten. Mer informasjon om Etnefella finner du i Skaala mfl. (2015).

Rådgivende Biologer har gjennom flere år merket fisk i flere av elvene både i, og i området rundt, Etne. I tillegg undersøker de en rekke elvene i område for prematur tilbakevandring av ørret med lakselus. En av de undersøkte elvene er Oselva, som renner ut ved Osen i Ølsfjorden, i Vindafjord kommune (Figur 53). Vassdraget inkluderer flere sidebekker som renner ned og inn i Oselva, og til sammen utgjør disse en lakseførende elvestrekning på ca. 9,1 kilometer. Hovedløpet av Oselva består av gyteareal, stryk- og renneparti om hverandre. Det er generelt høy morfologisk variasjon, bra substrat og tett kantvegetasjon, slik at habitatkvaliteten i Oselva i sum er god. Mer informasjon om Oselva og andre vassdrag i Vindafjord kommune kan finnes i Hellen mfl. (2021).

7.2.2 - Metoder

For å styrke kunnskapen om utvandringstid for ørretsmolt i område, ble 200 presmolt (gjennomsnitt total lengde 128 ± 25 mm) fanget ved hjelp av elfiskeapparat i Oselva og merket med 12mm HDX PIT merker før utvandring (10-14.april 2021). Videre ble det installert en dobbel HDX PIT-antenne i nedre del av elva (Figur 53), med ca. 10 m avstand mellom antennene, som skulle gi informasjon om svømmeretning til detekterte individer. Det ble også tatt genetikkprøver av alle de merkede individene til genetisk kartlegging av elvas ørretpopulasjon. Det ble også lagt ut dataloggere for måling av vannstand og temperatur på timesoppløsning i elva.

I Etne ble utvidet rusefisket i NALO gjennomført i ukene 21-26. Rusen var plasser i Seldalsvika, i ytre delen av Etnefjord (Figur 53), på samme sted som den har vært plassert de siste årene. I slutten av uken 22 ble rusen stjålet fra Seldalsvika og funnet igjen i skogen noen dager senere. Dette tas hensyn til når fangstresultatene presenteres. All ørret fanget i sjøen ble merket med 12 mm PIT-merker, sånn at individene kunne gjenkjennes ved eventuell gjenfangst. I tillegg ble også tatt skjell- og genetikkprøver.

 

Figur 53. Plassering av Etnefelle i Etnevassdraget, PIT-antenna i Oselva og fiskerusen i Seldalsvika. Grønn felt viser grensene for den Nasjonale Laksefjorden Etnefjorden-Ølsfjorden.
Figur 53. Plassering av Etnefelle i Etnevassdraget, PIT-antenna i Oselva og fiskerusen i Seldalsvika. Grønn felt viser grensene for den Nasjonale Laksefjorden Etnefjorden-Ølsfjorden.

 

Alle skjellprøvene fra sjøfanget ørret ble analysert for å bestemme individenes sjøalder og tilvekst. Skjellprøvene ble først plassert under et stereomikroskop (Nikon SMZ 1500) og fotografert (Nikon DS Fi3). Bildene ble videre kalibrert i programmet Nikon Elements Documentation. Antall år i ferskvann før smoltifiseringen og utvandring ble bestemt ut fra kalibrerte bilder og tilbakeberegnet ved hjelp av metoden beskrevet i Dahl (1910) og Lea (1910).

Videre ble skjellprøvene fra individene med kjent oppholdstid i sjøen (dvs. individer merket under utvandring og senere fanget igjen i sjøen i løpet av beiteperiode) analysert med hensikt å etablere en korrelasjon mellom antall dager i sjøen og antall skleritter (avsetninger) avsatt etter utvandring. Når mulig ble skjellprøver fra smoltutvandringen og skjellprøvene tatt i sjøen sammenlignet, og antall skleritter (avsetninger) avsatt etter merking ble delt på antall dager mellom observasjonene. Der sammenligning ikke var mulig (pga. manglende skjellprøve fra smoltutvandringen) ble antall skleritter etter smoltsonen registrert (antatt som sjøvekst, med større avstand mellom sklerittene) og delt på antall dager fra merking til gjenfangst. Tanken med disse analysene var at, dersom denne korrelasjon skulle vise seg å være relativt konstant mellom individene, kunne metoden brukes for å estimere oppholdstid i sjøen for all sjøfanget ørret basert på skjellesing.

Genetikkprøver fra all ørret fanget i sjøen ble analysert med hensikt å spore fisken tilbake til opphavselv. Dette gjelder all ørret fanget i ruse i Etne, Rosendal og Ålvik i 2020 og 2021, samt ørret fanget i trål i de ytre og midtre delene av Hardangerfjord i 2020. Genetikkprøvene fra trålfanget ørret i 2021 er fremdeles under analyse. Kort fortalt er sporingsmetoden som brukes her basert på å sammenligne de individuelle genotypene i prøven (dvs. individene fanget i sjøen) med en fasit («baseline») med kjente genotyper fra ulike elver i område. Metoden er utviklet av Havforskningsintuttet mf. og har tidligere vært brukt for å spore trålfanget laksesmolt tilbake til elven de kom fra (Harvey mfl. 2019). For denne rapport ble metoden tilpasset ørret, en prosess som fortsatt er under utvikling. Resultater herfra må derfor anses som foreløpige, og man bør være forsiktig med å trekke konklusjoner på dette tidspunkt. Som «baseline» brukte vi resultater fra tidligere gentester gjort på ørret i 24 elver i Hardangerfjord. Elvebestander med mindre enn 10 prøver ble fjernet før videre analyse. Dermed endte vi opp med 22 elvebestander som baseline (Figur 54). Prøvestørrelser varierte fra 10 til 98 individer per populasjon, og prøvetakingsår varierte fra 1983 til 2020. «Mixed stock analysis» (MSA) ble utført for hvert lokalitet og for all fisk sammen ved bruk av programmet ONCOR ( Kalinowski mfl. 2007) og R-pakken rubias (Moran & Anderson, 2018). MSA tillater ikke sporing av enkeltfisk, men estimerer andel individer fra ulike elvebestander i prøven. Til slutt ble individene sporet tilbake til baseline-populasjoner ved bruk av funksjonen Individual Assignment i ONCOR. Denne funksjonen sporer hvert ukjent individ til en elvebestand med en gitt sannsynlighet. Bare individer som hadde en sannsynlighet-score høyere enn 0,80 ble antatt å være korrekt sporet.

 

Figur 54. Oversikt over ørretbestandene brukt som baseline til genetisk sporing av sjøfanget ørret i Hardangerfjord.
Figur 54. Oversikt over ørretbestandene brukt som baseline til genetisk sporing av sjøfanget ørret i Hardangerfjord.

 

Utover dette var det som nevnt mye annen aktivitet i området, både internt på Havforskningsinstituttet og i regi av andre forskningsinstitusjoner. Gjennom delvis samarbeid og avtaler om datadeling har vi kunnet dra nytte av hverandres aktivitet i samme område.

7.2.3 - Resultater

Fangst i sjøen

Totalt ble det fanget 371 ørret i Etne mellom 26.mai og 01.juli 2021. Fangstene varierte mellom 12 og 163 fisk pr. uke og fra 1 til 56 individer pr. døgn. De høyeste ukefangstene kom i ukene 22 og 24, også etter standardisering av fangstinnsats (CPUE, «capture per unit effort») (Figur 55)

.

 

Figur 55. Fangst av sjøørret i lakseruse i Etne i 2021 per uke: total antall fisk fanget (venstre) og standarisert fangst (antall fisk per døgn; høyre).
Figur 55. Fangst av sjøørret i lakseruse i Etne i 2021 per uke: total antall fisk fanget (venstre) og standarisert fangst (antall fisk per døgn; høyre).

 

Størrelse, alder og estimert tilvekst hos sjøfanget fisk

De aller fleste sjøørret fanget i Etne i 2021 var under 150 gr (94% av all sjøørret fanget). En stor del av disse var antakelig postsmolt som tilbrakte første år i sjø, noe som ble bekreftet av resultatene fra skjellesing: av de 345 sjøørretene som kunne aldersbestemmes ble 327 (95%) klassifisert som førstegangsutvandrere. Når det gjaldt smoltalder var toåringene den dominerende aldersgruppen, og utgjorde med det 202 av de 281 (72%) aldersbestemte individene. Gjenomsnitt estimert tilvekst i sjøen basert på skjellesing var 22 ± 16 cm (range 0-126 cm). En mulig korreasjon mellom sjøtilvekst, fangstdato og lusepåslag er fortsatt under analyse.

Gjenfangst i sjøen

Av de 335 sjøørretene som ble fanget og merket i sjøen i Etne i år var 22 av individene registrert som gjenfangst. Av disse var 2 tilfeller gjenfangst av fisk fanget og merket i rusa ved tidligere tidspunkt. I begge tilfellene var gjenfangstene gjort dagen etter de opprinnelig ble fanget og merket i rusa. Videre var det gjenfangst av 8 ørretsmolt merket i Etnefella under smoltutvandringen. Tilhørigheten til de resterende 12 individene er fortsatt uavklar.

Forsøk på å estimere sjøoppholdstid

De sjøfangede individene med kjent utvandringsdato ble brukt for å undersøke korrelasjonen mellom antall dager i sjøen og antall skleritter (avsetninger) avsatt på skjellene. For å styrke denne analysen, ble også datamateriale fra NALO 2020 inkludert. Total hadde vi skjellprøver fra 18 fisk med kjent utvandringsdato, 8 fra 2021 og 10 fra 2020. For 7 av disse hadde vi skjellprøve både fra utvandringsdato og fra fangst i sjøen. Antall dager fra utvandring til gjenfangst varierte fra 1 til 45, med gjennomsnitt 20 ± 10 dager. Estimert antall dager per avsetning varierte fra 4 til 10, med relativt lav variasjon mellom individene (gjennomsnitt 6,5 ± 1,5 dager). Denne metoden er fortsatt under utvikling, og en endelig validering vil kreve et større datasett som dekker flere områder over flere år. Likevel er disse foreløpige resultatene meget lovende, og metoden burde utforskes videre. Å kunne estimere oppholdstid i sjøen vil representere et stort fremskritt for vår forståelse av lusefordelingen på sjøørret fra feltprøver.

Tidspunkt og varighet av smoltutvandring 

Rekkevidden på PIT antennene i Oselva varierte mye i løpet av våren og sommeren, og viste seg å være veldig lav i noen perioder. Dette hadde antakelig sammenheng med at PIT-antennene ser ut til å være følsomme for ekstern elektrisk støy. Dette må tas hensyn til ved tolkning av resultatene.

Totalt ble 74 (37%) av 200 merket smolt registret i PIT-antennen på vei ut av Oselva. Det var en noe lavere andel en forventet, og er sannsynligvis en konsekvens av dårlig rekkevidde på antennene. Basert på første antennedeteksjon for disse, ble tidspunkt for 25%, 50% og 75% akkumulert utvandring i Oselva estimert å være henholdsvis 20. mai, 25. mai og 6. juni i 2021 (Figur 56). Dette er noe senere en estimert utvandringsdato for Etneelva og Guddalselva, der tidspunkt for 50% akkumulert utvandring ble estimert å være henholdsvis 14. mai og 16. mai (Ø. Skaala HI, pers.med). Dette kan reflektere en reell forskjell i utvandringsmønster mellom vassdragene, men det kan også være påvirket av antennenes deteksjonsevne. Siden alle individene ble merket i elva, er det forventet at første deteksjon skal være på den øvre antenna. Likevel hadde 40% av de detekterte individene første deteksjon på den nedre antenna. Dermed kan det også hende at en god del av individene har passert antennene uten å bli detektert. Dette vil igjen kunne påvirke det estimerte tidspunktet for smoltutvandringen. Vannstanden i Oselva var ikke spesielt høy i begynnelsen av utvandringsperioden, så det er lite sannsynlig at dette har påvirket deteksjonsevnen til antennene (Figur 57).

 

Figur 56. Kumulativt antall fisk detektert i antenna på vei ut av Oselva (basert på første deteksjon for individene; rød linje) og estimert tidspunkt for 25%, 50% og 75% akkumulert utvandring (stiplete linjer).
Figur 56. Kumulativt antall fisk detektert i antenna på vei ut av Oselva (basert på første deteksjon for individene; rød linje) og estimert tidspunkt for 25%, 50% og 75% akkumulert utvandring (stiplete linjer).
Figur vannstand og deteksjoner
Figur 57. Antall ørretsmolt detektert i antenna på vei ut av Oselva (basert på første deteksjon for individene; blå søylene), og vannstand i Oselva i periode 15.april – 1.juli (rød linje).

 

De fleste fiskene ble detektert på antennen i løpet av en relativ kort periode, men noen få individer tilbrakte lengre perioder i nærheten av antennen og ble derfor detektert gjentatte ganger (Figur 58).

 

Figur 58. Antennedeteksjoner for individuell fisk i Oselva.
Figur 58. Antennedeteksjoner for individuell fisk i Oselva.

 

Antall individer som ble detektert i antenna varierte fra uke til uke, med 2 klare topper, én under utvandringsperiode (uker 19-22) og én til i ukene 24-25 (Figur 59). Dette kan være en indikasjon på at fisk søkte fersk- eller brakkvann et par uker etter de startet beitevandringen.

 

Figur 59. Antall individer detektert i antennene i Oselva per uke. Stiplet linjen indikerer estimert tidspunkt for 50% smoltutvandring i Oselva.
Figur 59. Antall individer detektert i antennene i Oselva per uke. Stiplet linjen indikerer estimert tidspunkt for 50% smoltutvandring i Oselva.

 

På grunn av den dårlige deteksjonsevnen til antennene var det vanskelig å bestemme svømmeretningen til fisken. Vi har derfor valgt å ikke estimere varighet av smoltutvandringen basert på dataen vi har på dette tidspunkt.

Genetisk sporing

Det ble det gjennomført genetisk sporing av totalt 1136 sjøørret fra Hardangerfjord fra 2020 og 2021 (Tabell 20). Av disse ble 356 individer (31,34 %) tildelt en sannsynlighets-score under 0,80 og dermed klassifisert som ikke-tildelte (Tabell 21).

Samlet sett ble majoriteten av fiskene sporet til Etneelva (33,01 %), Guddalselva (12,68 %) og Rosendalselvene (6,16 %) (Tabell 21). Dessuten varierte sammensetningen av proporsjoner mellom stasjonene, med høyere antall fisk fra Ålvik sporet til elvene i indre delen av Hardangerfjorden, høyere antall fisk fra Rosendal sporet til elver i midtregionen, og mest fisk fra Etne sporet tilbake til Etneelva. Lignende mønstre ble observert med MSA i både rubias og ONCOR (Figur 60).


Tabell 20. Oversikt over sjøørretprøvene fra Hardangerfjord som er ferdig analysert for genetisk sporing til elvebestand.

Stasjon Antall prøver År Stasjonskode
Etne 397 2020 ETN20
358 2021 ETN21
Rosendal 106 2020 ROS20
81 2021 ROS21
Ålvik 72 2020 ALV20
81 2021 ALV21
Hardanger trål 41 2020 HO

Tabell 21. Oppsummering av individene tildelt til de forskjellige elvebestandene i Hardangerfjord.

Elvebestand Antall tildelte
Tysseelva 21
Oselva 13
Steinsdalselva 16
Granvinselva 31
Osa 5
Bjoreio 10
Sima2017 7
Kinso 3
Jondalselva 9
Bondhuselva 1
Austerpollelva 1
Æneselva 6
Rosendalselvene 70
Guddalselva 144
Omvikdalselva 46
Uskedalselva 17
Aadlandvassdr. 5
Etneelva 375
Ukjent 356

 

Genetisk bestemt opphav hos sjøørret fra Hardangerfjorden
Figur 60. Resultatene fra Mixed Stock Analysis ved bruk av (A) rubias og (B) ONCOR for hver stasjon og totalt. ALV = Ålvik, ETN = Etne, ROS = Rosendal og HO = Postsmolttråling

 

Genetisk sporingen av sjøørret muliggjør dypere forståelse av den observerte lusefordelingen i feltdataen. Videre analyser av lusepåslag på ørret som inkluderer både oppholdstid i sjøen samt elvetilhørighet til hvert individ bør bli prioritert.

7.3 - Fokusområde Herøyosen

7.3.1 - Områdebeskrivelse

LFI har siden 2015 årlig vært engasjert av Havforskningsinstituttet for å gjennomføre undersøkelser av lakselus på sjøaure i PO4, region Sogn Sør, i et område i Vestland der Austfjorden møter Fensfjorden. Undersøkelsene har foregått i mai og juni, og er del av NALO-programmet. I 2015 ble det fanget aure med to storruser, der den ene var plassert i Søre Lotrebogane ved Vabø i Alver kommune. Den andre sto først i Hamnen ved Raunøyna, som ligger helt sør (ytterst) i Herøyosen i Masfjorden kommune. Parallelt med rusefisket ble det prøvefisket med flytegarn (19,5/21/26 mm maskevidde). Dette ble gjort for å øke N i aurefangstene og for å kartlegge auretettheten i områdene ved Vabø og Herøyosen. Garnfisket viste raskt at det var ganske mye aure i midtre og indre del av Herøyosen, særlig i lokalitetene Baldersvågen og Aurehølen. Begge lokalitetene er våger med grunnområder. Rusen som sto i Hamnen ved Raunøyna ble derfor flyttet inn til Aurehølen i første del av juni 2015. Fra og med 2016-sesongen har begge rusene vært satt ut i Herøyosen, hvorav en i Baldersvågen og en i Aurehølen. Avstanden i luftlinje mellom de to lokalitetene er ca. 1,5 km.

Herøyosen (Figur 61) ligger langs nordsiden av Fensfjorden/Austfjorden i Masfjorden kommune. Den innrammes mot øst, sør og vest av en rekke øyer og holmer, og i nord ligger fastlandet ved Hosteland. Knapt 5 km nord for Herøyosen har Yndesdalsvassdraget sitt utløp til sjø i Frøyset. Vassdraget har bestander av laks, sjøaure, resident aure, trepigget stingsild og ål. Vandringsveien for anadrom fisk fra utløpet av Yndesdalsvassdraget til ytre fjordområder går ut gjennom smale sund forbi Risnes, og deretter til Dragøyosen og Herøyosen. Siden Yndesdalsvassdraget er det største vassdraget i området, og ligger nær inn mot Herøyosen, har det helt siden starten av overvåkningen vært antatt at potensielt ganske mye av sjøauren i Herøyosen kan ha sin opprinnelse derfra. Kameraovervåkning i fisketrappen i Yndesdalsvassdraget har i ettertid vist utvandrende smolt i midten av mai. Det er derfor sannsynlig at perioden for smoltutvandring fra vassdraget i hvert fall delvis overlapper med overvåkningsperioden i Herøyosen i mai og juni. Som et ledd i å avklare opprinnelsen til sjøauren som oppholder seg i Herøyosen, har fisken som fanges i rusene blitt PIT-merket f.o.m. 2019-sesongen. I begynnelsen av mai 2021 ble det så montert en PIT-antenne i elveutløpet i Frøyset, som registrerer merket fisk som går opp i vassdraget. Montering og drift av kameraet i fisketrappen og av PIT-antennen har vært finansiert av Statsforvalteren i Vestland.

 

Kart over fokusområdet i Nordhordland
Figur 61. Øverst/kart: Sirkelen viser Herøyosens beliggenhet i Masfjorden kommune i Nordhordland, Vestland fylke. Nederst/foto: Lokalisering av storruser i Aurehølen (A) og Baldersvågen (B) i Herøyosen er vist med blå punkter. Utløpet av Yndesdalsvassdraget ved Frøyset er vist med rødt punkt. Avstanden mellom Frøyset og Herøyosen målt i sjø er 5 km. Kart og foto fra norgeskart.no og norgeibilder.no ( © Kartverket ).

 

Kort oppsummert er Herøyosen valgt som overvåkingsområde fordi:

  • Området ligger i PO4, Sogn Sør, like ved fjorder med flere store oppdrettsanlegg.

  • Området har vist seg å ha ganske høy tetthet av sjøaure.

  • De to lokalitetene/vågene som ble valgt er godt egnet for fangst av aure med storruse.

  • Lokal grunneier har gitt tilgang til brygge og naust med innlagt strøm som felt-arbeidsplass.

  • Nærhet til Yndesdalsvassdraget, der det kunne settes ut både kamera og PIT-antenne, også her etter avtale med lokale grunneiere - inkl. tilgang til bygninger og tilførsel av strøm til installasjonene.

7.3.2 - Metode

Fangst

Fisken fanges i storruser. Dette flytende fangstredskapet har en del til felles med kilenot, både i størrelse og virkemåte. Fra inngangen til fangstenheten går det et ca. 50 m langt ledegarn som er festet i land. Fisk som går langsmed ledegarnet føres først inn mellom et par «sidevinger», og derfra videre inn i ruseformede fangstrom. Maskevidden til noten i fangstrommene er liten, slik at også nyutvandret smolt på 14-15 cm fanges. Rusene tømmes fra båt. Fisken håves da ut fra fangstrom og over i kar med vann i båten. Så kjøres fisken til land, karet løftes opp på en brygge, og friskt vann tilføres deretter kontinuerlig vha. et pumpe-/slangesystem. Vannet hentes opp fra ca. 3-5 m dyp, der vanntemperaturen oftest er noen grader lavere enn i overflaten. På bryggen settes det også opp et kar med bedøvelsesvann, et hvitt undersøkelseskar og et recovery-kar der fisken våkner opp etter at den er ferdig kontrollert, prøvetatt og merket.

Bedøvelse

Fisken bedøves enkeltvis, dvs. at bare en fisk ligger i bedøvelseskaret om gangen. Bedøvelsesmiddelet som benyttes er Finquel vet. (Trikainmesilat). Dosering følger anvisningene som er gitt for rask anestesi av laks og regnbueørret i Veterinærkatalogen (felleskatalogen.no). Bedøvelsesvannet skiftes regelmessig, og oksygeninnholdet i vannet overvåkes.

Undersøkelse, prøvetaking og merking av fisk

Bedøvet fisk tas over i undersøkelseskaret, der antall og stadier av lakselus kontrolleres i hh.t. prosedyre gjennomgått på kurs hos Havforskningsinstituttet. Fisken veies og lengdemåles (total- og gaffellengde). Det tas skjellprøve (noen få skjell fra bakre ryggside) som legges i skjellkonvolutt, og vevsprøve (bit av fettfinne) som legges i rør med 100 % etanol. Saks som benyttes til vevsprøve glødes med gassbrenner før en ny prøve tas. Tilstanden til ryggfinnen mht. luseskade registreres (Kategorier: OK, litt skadet, skadet). Fisken blir også PIT-merket. Merket er på forhånd desinfisert i 100 % etanol. Det settes inn i bukhulen via et kort snitt i bukveggen, som utføres med skalpell. I 2021 ble det benyttet 23 mm lange PIT-merker til fisk med gaffellengde ≥ 14 cm, og 12 mm lange merker til mindre fisk, og til fisk som av annen grunn ble vurdert til å skulle ha 12 mm heller enn 23 mm. Merker på 23 mm har noe større deteksjonsavstand ved PIT-antenner enn det 12 mm merker har. Denne forskjellen kan være avgjørende under vanskelige deteksjonsforhold. Når fisken har våknet fra bedøvelsen, settes den ut i strandsonen. Utsettingsstedet innerst i Byrkjevågen på Holsøy ligger hhv. 550 m fra Aurehølen og 1150 m fra Baldersvågen.

Kamera og PIT-antenne i Frøyset

I slutten av juni 2020 ble det montert et videokamera fra Mohn Technology øverst i fisketrappen som ligger 700 m oppstrøms nedre bro i Frøyset (Figur 62). Kameraets AI-teknologi gjenkjenner form/utseende til fisk, og kan skille dette fra de fleste andre objekter som passerer forbi. Når en fisk detekteres, lagres et kort videoopptak som sendes over internett til en server. Derfra kan opptaket lastes ned og analyseres. Det er i tillegg mulig å se video fra fisketrappen i sann tid. Kameraet har også vært benyttet i trappen i 2021, siden begynnelsen av mai.

Kameraet står plassert slik at det er innsiktet på øverste port i fisketrappen. Rundt denne porten ble det i 2020 gjort forsøk med å montere en 60x60 cm PIT-rammeantenne. Hensikten med dette var å kunne registrere PIT-merket fisk med kamera og antenne samtidig. Det viste seg imidlertid at antennen ikke kunne detektere 12 mm PIT-merker når kameraet var aktivt, og at heller ikke rekkevidden for 23 mm merker da var mer enn et par cm. Dette hadde antakelig sammenheng med at PIT-antenner ser ut til å være følsomme for ekstern elektrisk støy. Rammeantennen ble derfor ikke brukt i 2020. For å få registrert PIT-merket fisk ble det i begynnelsen av mai 2021 lagt ut en standard, 12 meter lang PIT-antenne i elvens brakkvannssone i Frøyset (Figur 62). Denne antennen har pr. november 2021 fungert svært bra.

7.3.3 - Resultater

Fangst

I løpet av undersøkelsesperioden fra uke 21 til 26 i 2021 ble det fanget i alt 352 sjøaure i de to rusene i Herøyosen (Figur 63). Fangstene varierte fra 31 til 86 fisk pr. uke, og fra 3 til 51 fisk pr. fiskedøgn. Den laveste ukefangsten kom i uke 24, med 31 fisk i løpet av 4 fiskedøgn. Dette kan ha hatt sammenheng med at det var relativt kjølig vær med en del vind fra nord-vest i første del av uken. Erfaringsmessig gir denne værtypen ikke de beste fangstene av aure i Herøyosen.

Kart. Overvåket elv i Nordhordland
Figur 62. PIT-antenne i brakkvannssone (blå sirkel) og videokamera i fisketrapp (rød sirkel) i Frøyset.
Kart fra norgeskart.no ( © Kartverket ).

Gjenfangster i sjø

I 2021 ble det i rusene gjenfanget i alt 11 aurer som var merket i Herøyosen tidligere. Av disse var 8 merket i 2021, og samtlige var merket bare 1 dag før de ble gjenfanget. Disse ble tildelt et ekstra fangst-ID#, og PIT-merket ble registrert. De inngår også i fangstene vist i Figur 63 og 64, og i tabell 22, men grunnet den svært korte tiden siden forrige undersøkelse ble det ikke gjort ny kontroll av lus. Av de øvrige 3 gjenfangstene i sjø var 2 fra 2020 og 1 fra 2019.

Fangst av ørret i ruser
Figur 63. Fangst av sjøaure i Herøyosen, uke 21-26, 2021. Øverst: CPUE / Antall sjøaure fanget pr. fiskedøgn, i 2 ruser. Verdier som vises for hver boks er minimum, nedre kvartil, median, øvre kvartil og maksimum. Nederst: Kumulativ fangst av sjøaure, vist for dato og uke. Σ viser kumulativ sum av fisk pr. uke gjennom undersøkelsesperioden.

Merking av fisk

Av de 352 aurene som ble fanget i 2021, ble i alt 299 PIT-merket. Årsaker til at ikke alle fisker ble merket var enten at de var gjenfangster og derfor var merket fra før, at de hadde dårlig «allmenntilstand» (slappe, skjelltap osv.), eller at de døde i ventekar eller i recovery. Merker fra fisk som døde i recovery ble dissekert ut igjen og strøket fra fiskens ID#. I ett tilfelle ble det også observert en stor lyr som oppholdt seg nær det området der auren ble satt ut. Denne ble fanget på stang, og hadde 3 merkede aurer i magen. Også disse merkene ble dissekert ut og strøket fra ID#. Fisk som ble fanget første fangstdøgn i feltperioden (20 stk.) kunne heller ikke merkes, fordi noe av merkeutstyret ikke var tilgjengelig da.

Størrelse på sjøauren

Størrelsesfordeling av sjøørret
Figur 64. Vektfordeling hos sjøaure fanget i Herøyosen, uke 21-26, 2021. Antall fisk (N) i hver vektklasse er angitt over søylene.

Herøyosen ble det i 2021 fanget langt flere aurer som veide under 150 gram (274 fisk) i forhold til de som var 150 gram og større (78 fisk). Bare 10 av de 352 aurene veide over 500 gram, og bare 1 av disse 10 veide over 1 kg (1335 g) (Figur 64). En stor del av fiskene som veide under 150 gram vil antakelig ha vært postsmolt som var første år i sjø. I løpet av undersøkelsesperioden skjedde det også endringer i gjennomsnittsvekten til auren som ble fanget. Den var høyest i uke 21, og ble så mer enn halvert i uke 22, men økte deretter gradvis igjen utover mot uke 26 (Tabell 22).

Tabell 22. Utvikling i gjennomsnittsvekt hos sjøaure fanget i Herøyosen i uke 21-26 i 2021. Angitt med 95 % konfidensintervall og antall fisk fanget pr. uke (N).

Tabell over størrelse på sjøørret

Infestasjon av lakselus

Antallet fisk som inngår i oversikten over infestasjonsnivå av lus er 344, og ikke 352. Dette skyldes at de 8 fiskene som ble gjenfanget bare ett døgn etter første kontroll av lusnivå ikke ble kontrollert på nytt, og derfor ikke er med i dette datasettet.

I uke 21, som var første uke med undersøkelser i 2021, var nivået av lakselus på sjøauren som ble fanget svært høyt (Tabell 23 og Figur 65). Gjennomsnittet for all fisk var nær 1,2 lus pr. gram kroppsvekt. Særlig høyt nivå ble funnet på fisk med kroppsvekt mindre enn 150 gram. Gjennomsnittlig antall lus/g for disse var over 1,5. For fisk med kroppsvekt 150 gram og større, var gjennomsnittlig antall lus/g over 0,7. Dette kan også regnes som et svært høyt nivå.

Fra og med uke 22 lå samlet infestasjonsnivå lavere, -ca. rundt det halve til en tredjedel av det som ble funnet i uke 21. Fisk med kroppsvekt 150 gram og større kom i uke 23-26 ned i infestasjonsnivå som lå mellom 0,2 og 0,3 lus/g, mens fisk under 150 gram lå på et nivå rundt 0,5-0,6 lus/g (Tabell 23 og Figur 65).

Utviklingen til lusen gjennom undersøkelsesperioden viste en stor overvekt av de fastsittende stadier i uke 21 (83 %), fulgt av en overgang til høyere andel bevegelige preadulte, og etter hvert også flere adulte lus (Figur 65). Det ble ikke i noen del av undersøkelsesperioden funnet høye gjennomsnittsnivåer av copepoditter, sammenlignet med nivåene av chalimus 1 og 2. Det ble imidlertid registrert en liten økning i andelen copepoditter fra uke 21 til uke 22 og fra uke 23 til 24, og da i hovedsak hos fisk som var under 150 gram (Figur 65).

Tabell 23. Infestasjon av lakselus på sjøaure i Herøyosen, uke 21-26 i 2021, vist som antall lus pr. gram fiskevekt. Tabellen viser verdier for all fisk som ble kontrollert for lus i perioden. I tillegg er fisken delt i to undergrupper med kroppsvekt hhv. < 150 gram og ≥ 150 gram. Verdi uten parentes angir gjennomsnitt antall lus pr. gram fiskevekt. Tall i hakeparentes angir 95 % konfidensintervall for lus/g. Tall i vanlig parentes er antall fisk (N) i den aktuelle gruppe og uke. Ntot = 344.

Tabell lusetall sjøørret

 

Lus på sjøørret
Figur 65. Gjennomsnittlig infestasjon (lus/g) og lusestadier på sjøaure fanget i storruser i Herøyosen i perioden 26.mai -1. juli (uke 21-26) i 2021. Diagrammene viser lus på all fisk som ble kontrollert for lus (øverst), fisk < 150 gram (midten) og fisk ≥ 150 gram (nederst). Tekst over søylene angir prosentandel fastsittende lus (F = copepoditter og chalimus 1 og 2) og bevegelige lus (B = preadulte og adulte hanner og hunner). N angir antall fisk i de respektive gruppene. Ntot = 344.

 

Ryggfinner

Siden oppstart av overvåkning i Herøyosen i 2015 har tilstanden for aurenes ryggfinner mht. beiteskader fra lakselus blitt registrert på alle fisker. Dette har blitt gjort for å kunne se en eventuell sammenheng mellom ryggfinnens tilstand og det øvrige lusenivået på fisken. Ryggfinnens tilstand er relevant også fordi den er forholdsvis lett å observere på video-opptak og ved gytefisktelling i elv. Tilstanden til ryggfinnen deles inn i 3 kategorier: «Skadet» (SK) karakteriserer en ryggfinne med skader som går fra tydelig påbegynt beiting til helt ødelagt finne. Her inkluderes også misformete ryggfinner etter tidligere beiteskader. «Litt skadet» (LS) er en finne som bare har en ganske lett antydning til begynnende beiteskade. «OK» (OK) er en finne som er intakt uten beiteskader.

Figur 66 viser eksempler på SK og OK ryggfinner hos aure fra Herøyosen. I 2021 hadde ryggfinnestatus følgende fordeling hos aure fra Herøyosen: SK: 37 % LS: 34 % OK: 29 % (N tot = 343).

 

Sjøørret med lakselus
Figur 66. Ryggfinner hos aure fra Herøyosen. Bildene til venstre viser sterkt beitete og skadde ryggfinner (SK). Bildet til høyre viser en auresmolt som ikke hadde lus, og som hadde intakt ryggfinne (OK). Ryggfinner med kun lette, begynnende beiteskader karakteriseres som litt skadd (LS). (Foto: Bjørnar Skår, LFI)

 

Registreringer av merket sjøaure på PIT-antennen i Frøyset

NORCE LFI har ikke PIT-merket aure i ferskvann i Yndesdalsvassdraget. Dette medfører at all fisk som i 2021 har blitt registrert med LFI sine PIT-merker på antennen i Frøyset, opprinnelig har blitt merket i Herøyosen eller annet sted utenfor vassdraget. Fisk merket i Herøyosen i 2019 og 2020 kan i teorien ha blitt registrert på antennen første gang under utvandring fra vassdraget til sjø i 2021, hvis de sto lengre oppe i vassdraget før antennen ble satt i drift i begynnelsen av mai.

Den foreløpig ferskeste nedlastingen av data fra PIT-antennen i Frøyset ble gjort 13. november 2021. I alt har det fra mai til november 2021 blitt registrert 106 sikre, unike registreringer av tidligere PIT-merket sjøaure fra Herøyosen på antennen. I tillegg er det registrert noen få unike merker som ble lagret i PIT-leseren med ulike typer feil. Det er mulig at enkelte av disse gjennom søk i PIT-merkebasene kan spores tilbake til riktig merkenummer.

Av de (foreløpig) 106 unike registrerte PIT-merkene på antennen i 2021, var 4 fra fisk merket i 2019 (av 194 som ble merket), 30 fra 2020 (av 375 som ble merket) og 72 fra 2021 (av 299 som ble merket). Dette gir følgende «gjenfangst» på antennen: Fra 2019: 2 % Fra 2020: 8 % Fra 2021: 24 %

Resultatet fra merking og «gjenfangst» i 2021 (24 %) kan indikere at en forholdsvis høy andel av aurene som oppholdt seg i Herøyosen kommer fra Yndesdalsvassdraget. Det er samtidig mulig at også aure som ikke hører hjemme der likevel har vært innom vassdraget, for eksempel til avlusning, og da har blitt registrert på antennen, som ligger i brakkvannssonen.

Videokamera i fisketrappen i Frøyset

Samtlige videoklipp fra mai til oktober 2021 fra kameraet i fisketrappen i Frøyset har blitt gjennomgått ved å ta et raskt overblikk over bildeikonene til hver av videoene. Klipp som med sannsynlighet har vist oppvandrende, anadrom fisk har så blitt åpnet, analysert og lagret separat. For sjøaure og laks har det blitt lagt vekt på å registrere fisk der opptakene viser at fisken kommer inn/opp gjennom porten i fisketrappen, evt. at fisken tydelig beveger seg i generell retning fra porten og videre oppover mot kameraet. Det har også blitt forsøkt å unngå dobbeltregistreringer når antatt samme fisk opptrer på flere forskjellige videoklipp som ligger nær hverandre i tid. Det er imidlertid ikke mulig å skille ut fisk som evt. etter oppgang gjennom trappen og registrering på kamera har gått ned fossestryket igjen, og har kommet opp trappen på nytt senere i sesongen.

For hver fisk som har blitt bestemt til å være sannsynlig anadrom og oppvandrende, har relativt infestasjonsnivå av lakselus inkl. følgeskader etter lusebeiting og ryggfinnestatus blitt forsøkt beskrevet. Det er i praksis svært vanskelig (si umulig) å telle alle lus på oppvandrende fisk ut fra det som kan ses på videoklippene, bl.a. fordi en som regel bare får se den ene siden av fisken, og fordi detaljene i bildet er begrensende. Hver fisk har derfor i stedet blitt plassert i en av kategoriene «Tydelig luseskade», «Noe luseskade» eller «Lite/ingen luseskade». Dette skjer gjennom en erfaringsbasert vurdering av synlig lusemengde og av skader. I kategorien «Lite/ingen luseskade» har vi også inntil videre plassert fisk der forholdene rundt videoklippet (lysforhold, turbiditet/farge i vannet, avstand mellom fisk og kamera) gjorde det vanskelig eller umulig å fastslå et nivå av luseskade. I tillegg er det for kategoriene «Tydelig luseskade» og «Noe luseskade» som regel gitt en kort kommentar om mengde og fordeling av lus og luseskader. En del av fisken har skader etter angrep fra oter (bittskader og antakelig klomerker). Disse skadene er forsøkt holdt skilt fra luseskader.

Det ble funnet i alt 718 videoklipp med relevant/interessant innhold fra perioden mai til oktober 2021. De aller fleste av disse klippene viste oppvandrende, anadrom fisk. En foreløpig oppsummering pr. oktober/november 2011 viser at disse fordelte seg slik:

  • Sjøaure: 557 observasjoner, inkludert noen opptak av smolt på vei ut

  • Villaks: 84 observasjoner, hvorav 2 usikre som kan være oppdrettslaks

  • Oppdrettslaks: 1 observasjon, kanskje 3

  • Regnbueaure: 1 observasjon

  • Pukkellaks: 1 observasjon

  • Ål: 5 observasjoner

  • Oter: 69 observasjoner, der det kan antas at de fleste eller alle er av samme individ

Hos sjøaure fordelte kategoriene for vurdert luseskade seg slik:

  • Tydelig luseskade: 256 av 557 (46 %)

  • Noe luseskade: 150 av 557 (27 %)

  • Lite/ingen luseskade: 140 av 557 (25 %)

  • (Ikke gitt vurdering mht. luseskade: 11 av 557 (2 %))

7.4 - Fokusområde Vatne

7.4.1 - Områdebeskrivelse

Vatnefjorden er en sidefjord i Romsdalsfjorden, og ligger på sørsiden av fjorden sør-vest for Molde. Vatnefjorden har vært brukt som en tilstandsbekreftelseslokalitet i NALO de siste 10 åra og huser sjø-ørret både fra Vatnevassdraget som munner ut i sjøen innerst i fjorden og fra andre elver og bekker som har tilløp til Romsdalsfjorden. NINA har hatt en PIT-antenne i nederst i Vatnevassdraget siden 2014 (Figur 67). Vassdraget består av to elveavsnitt, som er adskilt av Vatnevatnet (areal 0,90 km2, 9 meter over havnivå). Nedbørsfeltet er beregnet til 31,9 km2 og gjennomsnittlig tilsig er 64,9 millioner m3 per år. Storelva, som er det øvre elveavsnittet, drenerer ut i Vatnevatnet fra øst, mens Oselva drenerer ut mot nord og utgjør de siste 400 meterne fra Vatnevatnet til sjøen. Storelva er den viktigste elvestrekningen med hensyn på tilgjengelige gyte- og oppvekstarealer for laksefisk. Sjøørret og laks kan i et normalt år vandre 3,3 km opp i vassdraget. Foruten laks og ørret finnes ål og tre-pigget stingsild i vassdraget.

 

Kart fokusområde Møre
Figur 67. Kartutsnitt som viser Vatnefjorden og anadrom strekning av Storelva/Vatnevassdraget (© Lakseregisteret )

 

 

bilde av antenne
Figur 68. A) PIT-antenne vises som svarte rør montert på henholdsvis Kvernhuset (til venstre) og åpning i betongterskel (til høyre). Loggestasjonen er plassert inne i kvernhuset og er operative hele året. B) Elveruse for fangst av utvandrende fisk i utløpet av Vatnevatnet. (Fra Berntsen mfl. 2019b, bilder Marius Berg)

7.4.2 - Metode

I Vatnevassdraget har vi foretatt innsamling av sjøørret både ved hjelp av elektrofiske i det øverste elveavsnittet i Storelva og med elveruse i utløpet av Vatnevatnet (Oselva). Fisk fanget i sjøen med ruser i NALO-programmet har også blitt merket. All fisk har blitt merket med PIT-merker (12,5 mm FDX PIT-merker). Det er installert to separate antenner i utløpet av elva som registrerer PIT-merket fisk på utvandring og oppvandring (Figur 68). PIT-systemet vil bli utvidet med nye antennesegmenter i løpet av 2022 slik at det vil bli enklere å bestemme retningen fisken vandrer.

7.4.3 - Resultater

I perioden 2014 til og med 2020 har det totalt blitt merket 3752 sjøørret i Vatnevassdraget (Tabell 25) (Berntsen mfl. 2019). Merking av sjøørret i NALO-programmet startet også i 2014 og det er så langt merket totalt 1322 fisk. Ikke all fisk som merkes i elva går ut i sjøen og antall gjenfangster i sjøen kan derfor heller ikke i dette vassdraget relateres direkte til antall merket fisk. Andelen merket fisk som gjenfanges i sjøen er imidlertid generelt lav (Tabell 25). Dette kan skyldes høy dødelighet i sjøen, men indikerer også at fangsten i sjøen på samme måte som for andre fokusområder foregår på blandede bestander med umerket sjøørret som kommer fra andre vassdrag. Andelen fisk som er i live ett år etter første sjøvandring har i Vatnevassdraget variert mellom 25 og 55% (Berntsen mfl. 2019b). Fangst pr innsats for fangst i ruser (CPUE) har variert mellom 1,3 og 5,3 fisk pr ruse pr dag. I så måte var 2021 et avvikende år der fangstene i sjøen var betydelig lavere enn foregående år. Dette medførte at fisket også ble utført ved hjelp av garn i den siste perioden for å sikre et materiale for NALO.

 

Tabell 25. Oversikt over fisk merket i elv og sjø fokusområde Vatne (Bernsen mfl. 2019b og Berntsen pers kom) og i sjø (data fra NALO).

 

Tabell utvandring mm Romsdal

 

Fangstene i 2021 var svært varierende i Vatne (Figur 69). Det ble fanget 43 og 22 fisk de første to ukene. Det ble deretter nesten ikke fanget fisk i ruser. Det var derfor kun mulig å beregne påslag av ulike lusestadier for ukene 22, 23 og 27, noe som også gjør det vanskelig å vurdere trender i utvikling av ulike stadier (Figur 70). Årsaken til små fangster er uklar og var ikke forventet siden det ble merket et normalt antall fisk i elva i 2021. Foreløpige vurderinger tyder også på at et relativt høyt antall av fisken som ble merket i elva vandret tilbake. Av 71 fisk som ble merket i sjøen ble 6 registrert i elva. Videre analyser og sammenligning resultater fra 2021 med resultater fra foregående år kan bidra til å forklare hvorfor fangstene i ruser i sjøen nærmest kollapset de fire siste ukene i 2021.

Fangst av sjøørret
Figur 69. Kumulativ fangst av sjøørret i ruser og garn i Vatne i 2021.

 

Lakselus på sjøørret
Figur 70. Gjennomsnittlig antall av ulike lusestadier pr gram (+/- 2xSE) på sjøørret i Vatne i 2021. Det ble kun fanget et tilstrekkelig antall fisk i ukene 22, 23 og 23 for å beregne gjennomsnittlige lusepåslag pr vekt.

 

7.5 - Fokusområde Agdenes

7.5.1 - Områdebeskrivelse

Agdenes er en halvøy ytterst i Trondheimsfjorden like utenfor grensa til den nasjonale laksefjorden. Agdenes har vært brukt som tilstandsbekreftelsesområde i NALO de siste 15 årene. Området huser en god sjøørretbestand som trolig kommer både fra lokale elver/bekker, samt også elver som drenerer ut i Trondheimsfjorden. NINA har hatt en PIT-antenne i Fremstadvassdraget siden 2016. Fremstadvassdraget drenerer ut i sjøen i Vassbygda på Agdenes i Trøndelag og er et kystnært vassdrag (Figur 71). Elvesystemet består av to innsjøer, Storvatnet og Litlvatnet, som er bundet sammen av en kort elvestrekning. Fra Storvatnet kan anadrom laksefisk vandre opp i Musdalselva og Vollaelva, som begge har egnede gyte og oppvekstområder, samt mesohabitat for laks og ørret. Anadrom strekning i Fremstadelva er oppgitt til 8 kilometer (kilde: Lakseregisteret). Litlvatnet ble fredet som naturreservat i 1983, for å bevare ett av svært få eutrofe vann i Sør-Trøndelag. Litlvatnet har siden den gang hatt en negativ utvikling med hensyn til gjengroing, noe som hovedsakelig er en følge av tilførsel av næringssalter fra landbruk. Foruten laks og ørret finnes røye, ål og tre-pigget stingsild i vassdraget.

 

Kart fokusområde Agdnenes
Figur 71. Kartutsnitt som viser Agdenes ytterst i Trondheimsfjoden og anadrom strekning i Fremstadvassdraget (© Lakseregisteret).

 

7.5.2 - Metode

Heggelva i nedre del av Fremstadvassdraget er forholdsvis grunn og stabil, og dermed god egnet til registrering av PIT-merket fisk. Det ble derfor i 2016 installert en dobbelt PIT-antenne i elva like ovenfor utløpet til sjøen. Antennen gjør det mulig å følge vandringene til PIT-merket sjøørret som enten er fanget i elva eller i sjøen. De fleste av fiskene som er merket i elva har blitt fanget i en elveruse i utløpet av Storvatnet, men fisk er også fanget med elektrofiskeapparat i sideelvene Musdalselva og Vollaelva, samt med ruse i sjøen utenfor elveutløpet som beskrevet tidligere i denne rapporten. All merket fisk har vært >12 cm og har blitt merket med 12,5 mm FDX PIT-merker.

7.5.3 - Resultater

I denne rapporten vil oppsummerende data fra tidligere merking og registrering av sjøørret fanget i elv og i sjøen i NALO programmet, samt mer detaljerte resultater fra 2021 bli presentert. Merking av fisk i elv er finansiert av Miljødirektoratet og resultater fra merking og registrering i 2021 vil bli presentert i neste års rapport fordi registreringen for 2021 ennå ikke er avsluttet og fordi disse resultatene først skal rapporteres til oppdragsgiver.

I perioden 2016 til 2020 har det totalt blitt merket 1528 sjøørret i Fremstadvassdraget (Tabell 24) (Berntsen mfl. 2019a). Merking av fisk fanget i sjøen i NALO-programmet startet i 2019, men det er kun de to siste årene at det er systematisk gjennomført merking over en lengre periode ved at Agdenes har blitt definert som et fokusområde. Ikke all fisk som merkes i elva går ut i sjøen og antall gjenfangster i sjøen kan derfor ikke relateres direkte til antall merket fisk. Andelen merket fisk som gjenfanges i sjøen har generelt vært lav. Dette kan skyldes høy dødelighet i den marine fasen, men den lave gjenfangsten kan også indikere at fangsten i sjøen foregår på blandede bestander med umerket sjøørret som kommer fra andre vassdrag. Andelen fisk som er i live ett år etter første sjøvandring har i Fremstadvassdraget variert mellom 18 og 38% (Berntsen mfl. 2019). Fangst pr innsats (CPUE) har kun være registrert for de to siste årene i dette fokusområdet siden fangsten tidligere år har forgått med ulike typer redskap. I gjennomsnitt har det i 2020 og 2021 blitt fanget 5-6 sjøørret pr ruse pr dag, men variasjonen er stor (Figur 72).

 

 

Tabell 24. Oversikt over fisk merket i elv og sjø fokusområde Agdenes (Bernsen mfl. 2019a og Berntsen pers kom.) og i sjø (data fra NALO)

Tabell vandring mm Agdenes

Lusepåslaget på sjøørret fanget i sjøen ved Agdenes var i 2021 lavt i uke 21 og 22, før antallet kopepoditter økte betydelig i uke 24 (Figur 77). Dette reflekteres i høye antall chalimus, samt også preadulte og adulte stadier de påfølgende ukene. Antall kopepoditter var imidlertid lavt de tre siste ukene i overvåkningsperioden. Disse resultatene kan indikere kortvarig, men høyt infeksjonspress i uke 24 i området rundt Agdenes.

A

Figur. Fangst av sjøørret
Figur 72. Venstre figur: Fangst per innsats (CPUE) for Agdenes i 2021. Høyre figur: Kumulativ fangst av sjøørret i ruser på Agdenes i 2021.

 

Av totalt 329 sjøørret merket i sjøen utenfor Fremstadvassdraget i 2021 ble 55 (16,7%) registrert på PIT-antennen i Fremstadelva. Det kan være flere forklaringer på at kun hver femte merkede fisk gikk tilbake til elva. En årsak kan være dødelighet i sjøen, enten på grunn av predasjon eller lus. En annen kan være at fisken ikke har vandret opp i elva pr oktober 2021. Det er videre grunn til å tro at fisk som ikke hører hjemme i Fremstadvassdraget også blir fanget og merket. Agdenes ligger i utløpet av Trondheimsfjorden, som huser mange sjøørretbestander, og smolt fra disse bestandene vil trolig passere forbi Agdenes dersom de vandrer ut fra fjorden. Mange av de tilbakevandrende fiskene ble merket i løpet av de tre første ukene (71 %, Figur 73), til tross for at fangstene de tre siste ukene var større enn de tre første. Dette kan indikere at det også ble fanget og merket flere sjøørret fra andre vassdrag enn Fremstadelva i den siste delen av perioden fordi en ellers skulle forvente at andelen tilbakevandrende fisk skulle vært lik gjennom hele perioden.

 

Lus på sjøørret
Figur 73. Gjennomsnittlig antall av ulike lusestadier pr gram (+/- 2xSE) på Agdenes i 2021.

 

Av de 55 fiskene som ble registrert i ferskvann fram til slutten av oktober ble 64 % registrert før uke 26 (Figur 74). Siden typisk median utvandringstidspunkt i Fremstadselva er medio mai (Tabell 24) indikerer dette at en høy andel av bestanden vil ha en svært kort vekstperiode i sjøen. Om lag en fjerdedel vandret opp i elva for en kortere eller lengre periode i slutten av juni, før de igjen vandret ut i sjøen. Årsaken til dette vandringsmønsteret er uklar, men det er ikke forenelig med det som antas å være optimalt for å maksimere vekst. Tidspunktet for tilbakevandring til elva for en høy andel av sjøørreten er sammenfallende med perioden der smittepresset økte brått (Figur 74). Det er derfor tenkelig at årsaken til tilbakevandring og kort vekstperiode kan knyttes til økt smittepress og avlusning i ferskvann. Det observerte mønsteret i tilbakevandring kan imidlertid også være knyttet til andre faktorer enn smittepress. Det er mulig at tidlig tilbakevandring er normalt for en høy andel av sjøørreten i Fremstadvassdraget, for eksempel som en tilpasning for å redusere predasjonsrisiko eller for å optimalisere andre livshistoriefaktorer. Observasjoner i enkeltår på kun en lokalitet kan være tilfeldige og det er derfor viktig å analysere representative data samlet inn over år og på flere lokaliteter for å kunne konkludere om enkeltstående observasjoner er valide.

 

Tabell bevegelse merket sjøørret
Figur 74. Oversikt over ferskvannsopphold i Fremstadsvassdraget for sjøørret som ble merket i sjøen på Agdenes i 2021. Blå ruter angir uke for merking i sjøen. Grønne ruter angir uker der fisken har oppholdt seg i elva. Kun data til slutten av oktober er inkludert i de foreløpige analysene.

 

7.6 - Fokusområde Nordreisa

7.6.1 - Områdebeskrivelse

Nordreisa er en kommune i fylket Troms og Finnmark, og det andre området der Havforskningsinstituttet valgte å etablere fokusområde. Bakgrunnen for dette var at vi ønsket et mindre påvirket område, til kontrast fra fokusområdene lengre sør. Da var Nord-Norge et naturlig valg.

Videre har vi hatt mye aktivitet i Altafjorden, og hadde i utgangspunktet ambisjoner om å etablere fokusområde her. Det viste seg imidlertid å bli for uoversiktlig. I tillegg er systemet veldig dominert av Altaelva, som er av for stor dimensjon for våre metoder. I jakten på et mer kontrollerbart område falt valget dermed på Nordreisa og den nasjonale laksefjorden Reisafjorden (Figur 75), som faller innenfor produksjonsområde 10 Luseovervåkingen i sjøen er plassert til Oksfjordhamn, som har vært en fast stasjon på NALO gjennom en rekke år (Figur 76). De siste 3 ukene av årets feltarbeid ble det i tillegg fisket med ruse ved en lokalitet i Straumfjorden.

 

Kart over fokusområdet i PO11
Figur 75. Plassering av fokusområde ( © Kartverket ). Skravert felt på fjorden er området som er vernet som nasjonal laksefjord, og de oransje strekene og skraveringen viser lakseførende strekning i sentrale vassdrag.

For å kunne svare opp hensikten med fokusområdet må man også studere fisken i ferkvannsfasen. Da er man avhengig av et passende elvesystem for de aktuelle undersøkelsene. Når man skal velge seg et slikt system er det flere hensyn å ta. Elva må blant annet være av en håndterbar størrelse, og samtidig ha en god populasjon av fisk. På bakgrunn av det første kriteriet ble større elver som Reisaelva og Oksfjordvassdraget ekskludert på et tidlig stadie. Rungaelva derimot passer beskrivelsen bedre. Elva ligger innerst i fjordarmen Straumfjorden. Fjordens innløp fra Reisafjorden går gjennom et smalt sund kalt Straumen, 9 kilometer fra elvemunningen. Elva slynger seg oppover i landskapet i 3,5 km opp til et lite vann, Rungavatn (Rikardsen mfl. 2000). Hele denne strekningen, i tillegg til et elvestrekk på 2 km over vannet er tilgjengelig for migrerende fisk.

I tillegg til å være passende for langtidsovervåkning er også elva av en slik karakter som egner seg godt for andre studier på tilstøtende prosjekter, som legger til rette for synergi mellom ulike aktiviteter.

7.6.2 - Metode

Gjennom 6 uker (uke 25 til 30) ble det fisket med ruse i Oksfjordhamn, i tillegg til 3 uker (uke 28 til 30) i Straumfjorden (Figur 76). All ørret ble merket med PIT-merker (12 mm), og det ble tatt prøver både av skjell og genetikk. I tillegg ble det registrert gjenfangst av allerede merket fisk. Grunnet manglende kapasitet er ikke analysen av skjell- eller genetikkprøvene ferdigstilt til denne rapporten.

I Rungaelva var planen å PIT-merke presmolt på våren, før utvandringen. Tidspunkt for utvandring ble videre observert ved hjelp av en dobbel PIT-antenne. Antennene ble installert i nedre del av elva med ca 15 meter avstand mellom. Det ble også lagt ut dataloggere for måling av vannstand og temperatur på timesoppløsning i elva. I tillegg hadde vi et parallelt, internt, smitteforsøk i samme område som var avhengig av fangst av utvandrende smolt (Figur 76). Det ble derfor også installert en heldekkende utvandringsfelle mellom de to PIT-antenne i perioden 25. juni til 2. juli, der all fisk ble PIT-merket og tatt genetikk av. Videre ble det ved flere anledninger gjennom de 6 ukene el-fisket i elva for å styrke den genetiske baselinen, samt øke andel merket fisk i systemet.

 

Detaljert kart over fokusområdet i PO 11
Figur 76. Ruseplassering markert med rødt. Stjerne viser plassering av antenne og utvandringsfelle i Rungaelva (© Kartverket).

7.6.3 - Resultater

Fangst i sjø

Rusefangsten varierte mye fra dag til dag, og noe mellom ukene (Figur 77). Generelt sett var fangsten noe lavere i Straumfjord enn i Oksfjordhamn. I Oksfjordhamn ble det i løpet av de 6 vekene fanget totalt 117 fisk (totallengde på 267 ± 116mm), fordelt på 77 ørret (totallengde på 255 ± 125mm) og 40 røyer (totallengde på 289 +/- 93mm). I løpet av 3 uker med fiske i Straumfjorden ble det fanget 31 fisk (totallengde på 213 ± 67mm), fordelt på 23 ørret (totallengde på 214 ± 76mm) og 8 røyer (totallengde på 210 ± 34mm).

 

Fangst sjøørret Troms
Figur 77. «Catch per unit effort” (CPUE) for de to ulike rusene, i Oksfjordhamn og Straumfjord. Tallene viser totalt antall fisk fanget i løpet av den aktuelle uken.

 

Den røde linjen i Figur 81 illustrerer tidspunktet der rusa ble tatt opp, vasket og satt ut igjen. Fangsten tar seg litt opp i ukene etter dette. Det er ikke lett å si om dette har en sammenheng med vasken, eller om det er en del av den naturlige utviklingen av tilstedeværelse av ørret og røye i området. Vasken ser likevel ikke ut til å ha påvirket fangsten negativt. En slik operasjon ble ikke gjort i Straumfjorden, da rusa kun sto ute i 3 uker totalt.

Lusestatus/utvikling i lus

Figur 78 viser utvikling i fordelingen av relativ intensitet gjennom de 6 ukene. Den relative intensiteten var generelt relativt lav, noe som er forventet av et nordlig område som også er beskyttet som nasjonal laksefjord.

 

Fordeling av lusepåslag
Figur 78. Utvikling i fordeling av relativ intensitet i Fokusområde Nordreisa for hele tidsperioden.

 

Likevel er det en liten økning i andelen av individer med relativ intensitet > 0.2 ut mot uke 28, før den igjen avtar mot uke 30. I uke 28 startet også prøvefisket i Straumfjorden. Kan det være slik at dette er årsaken til denne utviklingen? Figur 79 avkrefter dette. Her ser man at fangsten fra Straumfjorden ikke bidrar til variasjonen i den relative intensiteten, med unntak av i uke 29.

 

Fordeling av lusepåslag
Figur 79. Utvikling i fordeling av relativ intensitet, fordel på Oksfjordhamn og Straumfjord.

 

Variasjonen i den relative intensiteten sammenfaller i stor grad med fangsten (Figur 77). Med bakgrunn kun i årets data er det altså vanskelig å si om variasjonen reflekterer en reell variasjon hos fisken eller bare generelt økt fangstsuksess.

Endring i vannstand og temperatur

På grunn av krevende forhold kom ikke dataloggeren ut før installering av PIT-antennen og utvandringsfellen. Dette var etter den største flommen, noe man også ser av figuren (Figur 80). Videre økte vannstanden betraktelig mot slutten av juli, og så igjen i slutten av august og begynnelsen av september. Temperaturen varierer mye, noe som naturlig for slike små vassdrag. Man ser likevel at det er en generell økning i temperaturen i begynnelsen av juni, og deretter igjen i begynnelsen av august før den synker utover sesongen, på tross av en liten stigning igjen i oktober. Økningen i temperatur sammenfaller noe med perioder med lav vannstand. Dette er da perioder på denne årstiden med lite nedbør gjerne også er varmere. Samtidig er elva mer utsatt for temperaturøkning ved lav vannstand, som forsterker denne effekten.

 

Vannstand og temp i Runga
Figur 80. Variasjon i vannstand (m) og temperatur (C) i Rungaelva mellom 1. juli og 12. oktober.

 

Utvandring

Grunnet dårlige værforhold ble resultatet av den opprinnelige metoden , med merking av presmolt på våren, dessverre kun 2 individer . Utvandringsdataen fra Runga er derfor begrenset til fangstdataen fra den heldekkende smoltfellen som i tidsperioden den sto ute fanget totalt 59 smolt (164 ± 20mm) (Figur 81) , fordelt på 52 ørret (totallengde på 164 ± 16mm) og 7 røyer (totallengde på 160 ± 41mm).

 

Størrelsesfordeling sjøørret og sjørøye
Figur 81. Daglig fangst i utvandringsfelle fra 25. juni til 4. juli 2021.

 

Fangsten starter godt og avtar utover perioden, med unntak av en økning igjen 1. juli. Basert på denne dataen kan det se ut som om vi kun fanget halen av utvandringsperioden. Det er kjent at utvandringen gjerne sammenfaller med vårflom og økt vannstand. Figur 82 viser vannstanden som en linje over fangstdataen.

 

Vandring av merket sjøørret/sjørøye
Figur 82. Daglig fangst i utvandringsfelle fra 25. juni til 4. juli 2021. Linje viser endring i vannstand.

 

Basert på årets data er det vanskelig å si om det er noen sammenheng. Dette skyldes for kort periode med datainnsamling i utvandringsperioden, som kan spores tilbake til en noe sen oppstart.

Tilbakevandring

Kombinasjonen av manglende suksess med opprinnelig plan og at all fisk fanget i utvandringsfelle ble brukt i smitteforsøk gjør at vi i år også har noe begrenset data på tilbakevandring. Etter undersøkelser av fiskene ble det besluttet å inkludere data fra de 18 kontrollfiskene (totallengde på 160 ± 27mm) som ble brukt i smitteforsøket. Av disse ble 4 fisk (totallengde på 135 ± 19mm) registrert på antenna. I tillegg til disse ble også 13 fisk ( totallengde på 220 ± 75mm) fra NALO materialet registrert på antennene ved oppvandring. Dataen fra de 17 individene kan sees i figuren under (Figur 83).

 

Tilbakevandring registrert på antenne i Runga
Figur 83. Akkumulert tilbakevandring av fisk til Rungaelva. 25% av de aktuelle individene ble registrert på antennen innen 8. juni. Den 31. august var 50% av fisken tilbake, og 75% den 3. september.
 

Figur 84 viser disse antenneregistreringene lagt på toppen av figurene for temperatur og vannstand. I begynnelsen av september er det en kraftig økning i vannstand samtidig som en del av individene blir registrert på antennen. Basert på dataen fra i år alene kan man likevel ikke avdekke noen sammenheng her, da antallet tilbakevandrende fisk er noe lavt.

 

Vannstand, temp og registreringer av merket fisk
Figur 84. Variasjon i vannstand (m) og temperatur (C) i Rungaelva mellom 1. juli og 12. oktober. Røde prikker er antennedeteksjon for tilbakevandrende fisk.

 

 

7.7 - Generell diskusjon

Ørret finnes langs hele norskekysten. Livshistorien til ulike ørretpopulasjoner er svært variable, typisk vil en andel av en populasjon være anadrom, hvor de gyter i ferskvann og har en beiteperiode i sjøvann (sjøørret), mens en andel vil forbli i ferskvann. Sjøørret vandrer typisk ut på våren, beiter i fjordene gjennom sommeren før de vandrer opp igjen i ferskvann eller trekker mot brakkvannsområder, men dette varierer. Mange sjøørret oppholder seg i nærheten av elveutløpet, men en del vander betydelig lengre, og vandringer på 20-30 km er ikke uvanlig. Beiteområdet til sjøørret overlapper i stor grad med områdene hvor det drives oppdrett, i fjordene og langs kysten, og de er derfor utsatt for smitte fra lakselus i hele beiteperioden. Ørret kan motvirke lakseluspåslaget ved å trekke tilbake til brakk- eller ferskvann, hvor de både blir beskyttet mot nye påslag, og hvor lusen etter hvert vil dø og falle av. Effekten av denne tidlige tilbakevandringen (kalt prematur tilbakevandring) er at ørreten får redusert både beiteperiode, og gitt at den unngår områder med mye lus, vil den også få redusert tilgjengelig beiteområde. Disse to forholdene, redusert marint leveområde og redusert marin beiteperiode, er foreslått å bruke som effektindikator på effekten av lakselus på sjøørret (Finstad mfl. 2021). Fokusområdene er rettet inn mot å svare opp alle eller enkelte deler av disse forholdene.

Påvirkningen av lakselus på sjøørret er derfor annerledes enn for laks. Mens effekten av lakselus på laks vil trolig i vesentlig grad manifesteres som redusert sjøoverlevelse, vil effekten på sjøørret i større grad bestå i endringer av livshistorien. Det er vist at betydelige påslag av lakselus på sjøørret vil føre til at artens sjøopphold vil bli kortere enn det som er optimalt for å maksimere vekst og reproduktivt potensiale, fordi sjøørreten vandrer tidlig tilbake til ferskvann for å avluse seg. Dette kan over tid føre til betydelige endringer i bestandssammensetning hos sjøørret, og i verste fall at sjøørreten utvikler livshistoriemønster som ikke involverer sjøopphold. Forskjellen i påvirkning betyr også at andre effektindikatorer må utvikles for sjøørret for å vurdere påvirkning fra lakselus enn for laks. Tap av marint leveområde og tid vil reflektere tapt vekst og tap av reproduktivt potensiale, samt endringer i livshistorie. Livshistoriemønsteret til sjøørret er svært variabelt og komplekst, og det er behov for mer kunnskap for kunne definere pålitelige og realistiske effektindikatorer. I artikkelen til Finstad mfl. (2021) oppsummeres de viktigste faktorene en må ha kjennskap til for at en slik metode kan benyttes, dette inkluderer fiskens størrelse, spesielt for førstegangsutvandrende sjøørret, tid for utvandring, oppholdstid i sjøen, både naturlig, og prematur tilbakevandring, marint leveområde, toleransegrenser for lakselus, både i forhold til lusetettheter i sjøen, og antall lus på en fisk av en gitt størrelse samt at en kan estimere tetthet av lakselus i ulike deler av sjøørretens leveområde.

For å kunne utvikle pålitelige effektindikatorer for sjøørret må en derfor ha kunnskap om hvordan arten responderer på variasjoner i infeksjonstrykk fra lakselus i sjøen. Overvåkning i fokusområder kan bidra til å generere slik kunnskap. Dette kan eksemplifiseres med resultatene fra fokusområde Agdenes i 2021 der påslaget av kopepoditter på sjøørret økte brått i uke 24, og en høy andel av fisken vandret tilbake til ferskvann samme eller påfølgende uke. Foreløpig modellestimat av infeksjonstrykket i dette området indikerer også at infeksjonstrykket i sjøen økte i denne perioden (Figur 85). Dette er informasjon som kun kan genereres ved å overvåke sjøørret over tid i naturen og ved å registrere vandringsmønster gjennom merking. Slik kunnskap kan også gjøre det mulig å estimere modellbaserte tålegrenser for sjøørret, i form av utvikling og omfang av infeksjonstrykk i sjøen, som kanskje kan brukes for å, kalibrere modellert infeksjonspress mot respons.

 

Utvikling i tetthet av lakseluskopepoditter
Figur 85. Foreløpige modellestimat for infeksjonstrykk fra lakselus i PO6 i 2021 (fra NN) . Ukenumrene som er angitt er omtrentlige og mer detaljert modellering er nødvendig for å kunne gi mer presise estimat for de ulike ukene.

 

I tillegg til å generere kunnskap som kan brukes til å utvikle effektindikatorer for sjøørret vil også overvåkning i fokusområder gi informasjon som vil være viktig for å kartlegge utviklingen av infeksjonstrykket på sjøørret over tid. Overvåkning i kun to perioder slik som det blir gjort for tilstandsbekreftelses-lokalitetene vil i mindre grad generere empiriske data over utvikling av bestandene av lakselus på vill laksefisk, som kan sammenholdes med infeksjonstrykk.

Både fisk som er merket i ferskvann før utvandring og som er merket i sjøen under overvåkningsfiske blir gjenfanget. Siden all fisk som blir fanget i sjøen blir scannet for merker og lusetelt vil dette gjøre det mulig å etablere et datamateriale der en kjenner perioden mellom to lusetellinger eller mellom utvandring fra ferskvann og lusetelling. Skjellmateriale fra gjenfanget fisk vil også være verdifullt siden det kan brukes til å kalibrere skjellanalysemetodikk i forhold til sikker bestemmelse av vekstperioder i sjø. Dette er viktig siden metodikken for analyse av skjell fra sjøørret er mindre utviklet enn for skjellanalyser for laks. Andelen fisk som gjenfanges pr år er imidlertid relativt lav og det vil være nødvendig gjenta slike studier over en årrekke for å kunne opparbeide et materiale som er statistisk valid.

Materiale som kan brukes til genetiske analyser blir samlet inn for all merket fisk i fokusområdene, enten ved at det blir tatt skjellprøver eller ved at nåla som brukes til å injisere PIT-merker preserveres. Dette vil gjøre det mulig å estimere hvilken elv fisken kommer fra. Foreløpige analyser kan indikerer at det i NALO fanges sjøørret fra flere bestander på hver enkelt overvåkningslokasjon. Fisken har dermed høyst trolig oppholdt seg i ulike områder i sjøen i forskjellige perioder, noe som også kan ha hatt betydning for observert lusepåslag. Utvikling av en metode for genetisk sporing av sjøørret som inngår i NALO vil være viktig for å kunne estimere lusepåslag i naturen på en mer nøyaktig måte, samt at det også vil kunne ha betydning for å evaluere effekt av lakselus for bestander med ulik sårbarhetsstatus.

Dette vil igjen gjøre det mulig å kalibrere smittetrykk per tid i naturen mot observert antall lus, og sammenholdt med informasjon om hvilken elv fisken kommer fra og hvor lenge den har vørt i sjøen, vil være svært verdifulle data for utvikling av en effektindikator. Overvåkning i fokusområder har dermed vist seg å ha et stort potensiale for å gi data og kunnskap som i tillegg til være statusbekreftelser for ulike produksjonsområder også vil være viktige for å kunne generere mer nøyaktig informasjon om statusen. Denne typen overvåking vil videre gi verdifull informasjon for framtidig utvikling av bedre effektindikatorer for sjøørret.

Kunnskap om hvordan ulike sjøørretbestander med ulike livshistorier påvirkes av lakselus i naturen vil være essensielt. Sjøørretens livshistorie påvirkes imidlertid av en rekke andre faktorer enn lakselus, og systematisk overvåkning over år og for flere lokaliteter vil derfor være essensielt for å kunne utløse overvåkningens fulle potensiale. Dyrs livshistorie påvirkes av mange faktorer, både biotiske og abiotiske, og det vil være nødvendig å samle inn data over flere år og for flere bestander for å kunne skille effekter av de ulike påvirkningsfaktorene. Dette vil vi ha mulighet til ved å foreta flerårig overvåkning i fokusområder i NALO, siden denne typen overvåkning muliggjør etablering av tidsserier samtidig som den bidrar med data på årlig status for lusepåvirkning i de forskjellige produksjonsområdene. Systematisk overvåkning over tid og for ulike lokasjoner/bestander i fokusområder i NALO er derfor avgjørende for å kunne bruke modellbaserte tålegrenser som effektindikatorer for sjøørret.

8 - Takk

Overvåking av lakselus på vill laksefisk langs hele Norskekysten er en krevende oppgave. Også i 2021 var dette, som mye annet i Norge og verden, påvirket av koronapandemien. På tross av dette fikk vi likevel gjennomført all planlagt feltinnsamling på en tilfredsstillende måte. Det skyldes først og fremst en fantastisk innsats fra utrolig mange dyktige og engasjerte mennesker.

Takket være dere kan vi nok en gang levere overvåkingsdata av god kvalitet til våre oppdragsgivere.

9 - Referanser

Anon. (2019) Klassifisering av tilstanden til 430 norske sjøørretbestander. Temarapport fra Vitenskapelig råd for lakseforvaltning nr 7. ISBN: 978-82-93038-27-6

Anon. (2021) Status for norske laksebestander i 2021. Rapport fra Vitenskapelig råd for lakseforvaltning nr 16. ISBN: 978-82-93038-32-0

Arechavala-Lopez, P., Uglem, I., Berg, M., Bjørn, P. A. & Finstad, B. (2016). Large-scale use of fish traps for monitoring sea trout (Salmo trutta) smolts and sea lice (Lepeophtheirus salmonis) infestations: efficiency and reliability. Marine Biology Research 12, 76-84.

Asplin, L., Johnsen, I. A., Sandvik, A. D., Albretsen, J., Sundfjord, V., Aure, J. & Boxaspen, K. K. (2014). Dispersion of salmon lice in the Hardangerfjord. Marine Biology Research 10, 216-225.

Berntsen, H., Finstad, B., Berg, M., & Næsje, T. F. (2019a). PIT-prosjektet i Fremstadelva, Agdenes – 2016-2019, fremdriftsnotat for 2019. 3-16, NINA.

Bjørn, P. A., Finstad, B., Asplin, L., Skilbrei, O., Nilsen, R., Serra-Llinares, R. M. & Boxaspen, K. K. (2011). Metodeutvikling for overvåkning og telling av lakselus på viltlevende laksefisk. Rapport fra Havforskningen, nr. 8-2011. 58 s.

Bjørn, P. A., Nilsen, R., Serra-Llinares, R. M., Asplin, L og Boxaspen, K. K. (Havforskningsinstituttet), Finstad, B., Uglem, I. og Berg, M. (NINA), Kålås, S. (Rådgivende Biologer) og Barlaup, B. og Wiik-Vollset, K. (UNI-Miljø) (2012). Lakselusinfeksjonen på vill laksefisk langs Norskekysten i 2012. Sluttrapport til Mattilsynet. Rapport fra Havforskningen nr. 31-2012.

Bjørn, P. A., Nilsen, R., Serra-Llinares, R. M., Asplin, L., Johnsen, I. A., Karlsen, Ø. (Havforskningsinstituttet), Finstad, B., Berg, M., Uglem, I. (NINA), Barlaup, B., Wiik-Vollset, K. (UNI-Miljø) (2013). Lakselusinfeksjonen på vill laksefisk langs Norskekysten i 2013. Sluttrapport til Mattilsynet. Rapport fra Havforskningen. Nr. 32-2013.

Bøhn T, Nilsen R, Gjelland KØ, Biuw M, Sandvik A, Primicerio R, Karlsen Ø & Serra-Llinares RM (2021). Salmon louse infestation levels on sea trout can be predicted from a hydrodynamic lice dispersal model. Journal of Applied Ecology (til trykking).

Bush, A. O., Lafferty, K. D., Lotz, J. M. & Shostak, A. W. (1997). Parasitology meets ecology on its own terms: Margolis et al. revisited. Journal of Parasitology 83, 575-583.

Dahl K (1910) Alder og vekst hos laks og ørret belyst ved studiet av deres skjæl (p. 115). Kristiania: Centraltrykkeriet.

Efron, B. & Tibshirani, R. (1993). An introduction to the bootstrap: Chapman & Hall, London, U.K.

Finstad B, Sandvik AD, Ugedal O, Vollset KW & others (2021) Development of a risk assessment method for sea trout in coastal areas exploited for aquaculture. Aquacult Environ Interact 13:133-144. https://doi.org/10.3354/aei00391

Harvey AC, Quintela M, Glover KA, Karlsen Ø, Nilsen R, Skaala Ø, Sægrov H, Kålås S, Knutar S & Wennevik V (2019) Inferring Atlantic salmon post-smolt migration patterns using genetic assignment. Royal Society open science, 6(10), 190426.

Hellen BA, Hulbak MA, Irgens C & Skår S (2021) Habitatkartlegging og forslag til tiltak for sjøørret i vassdrag i Vindafjord kommune. Rapport fra Rådgivende Biologer nr 3306. ISBN: 978-82-8308-806-9

Holst, J. C. & McDonald, A. (2000). FISH-LIFT: a device for sampling live fish with trawls. Fisheries Research 48, 87-91.

Johnsen IA, Stien LH, Sandvik AD, Asplin L, Oppedal F (2020b) Optimal estimation of lice release from aquaculture based on ambient temperatures. Aquaculture Environment Interactions 12:179-191. https://doi.org/10.3354/aei00358 

Johnsen IA, Harvey A, Sævik PN, Sandvik AD, Ugedal O, Ådlandsvik B, Wennevik V, Glover KA, Karlsen Ø (2020a) Salmon lice induced mortality of Atlantic salmon during post-smolt migration in Norway. ICES Journal of Marine Science, In press DOI: 10.1093/icesjms/fsaa202

Johnsen, I. A., Asplin, L. C., Sandvik, A. D. & Serra-Llinares, R. M. (2016). Salmon lice dispersion in a northern Norwegian fjord system and the impact of vertical movements. Aquaculture Environment Interactions 8, 99-116.

Johnsen, I. A., Fiksen, Ø., Sandvik, A. D. & Asplin, L. (2014). Vertical salmon lice behaviour as a response to environmental conditions and its influence on regional dispersion in a fjord system. Aquaculture Environment Interactions 5, 127-141.

Kalinowski ST, Manlove KR & Taper ML (2007) ONCOR: a computer program for genetic stock identification. Bozeman, MT: Department of Ecology, Montana State University.

Lea, E. (1910). On the methods used in herring investigations. Publications de Circonstance Conceil permanent International pour l'exploration de la Mer, 53, 7–25.

Lindenmayer, D. B. & Likens, G. E. (2009). Adaptive monitoring: a new paradigm for long-term research and monitoring. Trends in Ecology & Evolution 24, 482-486.

Moran BM & Anderson EC (2018) Bayesian inference from the conditional genetic stock identification model. Canadian Journal of Fisheries and Aquatic Sciences 76(4): 551-560. https://doi.org/10.1139/cjfas-2018-0016

Myksvoll MS, Sandvik AD, Albretsen J, Asplin L, Johnsen IA, Karlsen Ø, et al. (2018) Evaluation of a national operational salmon lice monitoring system—From physics to fish. PLoS ONE 13(7): e0201338. https://doi.org/10.1371/journal.pone.0201338

Nilsen, R., Bjørn, P. A., Serra-Llinares, R. M., Asplin, L., Johnsen, I. A., Skulstad, O. F., Karlsen, Ø., Finstad, B., Berg, M., Uglem, I., Barlaup, B. & Vollset, K. W. (2014). Sluttrapport til Mattilsynet - Lakselusinfeksjonen på vill laksefisk langs norskekysten i 2014. Rapport fra Havforskningen, Nr. 36-2014.

Nilsen, R., Bjørn, P. A., Serra-Llinares, R. M., Asplin, L., Sandvik, A. D., Johnsen, I. A., Karlsen, Ø., Finstad, B., Berg, M., Uglem, I., Barlaup, B., Vollset, K. W. & Lehmann, G. B. (2016). Lakselusinfeksjonen på vill laksefisk langs norskekysten i 2015. En fullskala test av modellbasert varsling og tilstandsbekreftelse. Rapport fra Havforskningen, Nr. 2-2016.

Nilsen, R., Serra-Llinares, R. S., Sandvik, A. D., Schrøder-Elvik, K. M., Asplin, L., Bjørn, P. A., Johnsen, I. A. og Karlsen, Ø. (Havforskningsinstituttet), Finstad, B., Berg, M., Uglem, I. (Norsk institutt for naturforskning), Wiik-Vollset, K., Lehmann, G. B. (UNI Research – Miljø) (2017). Lakselusinfestasjon på vill laksefisk langs Norskekysten i 2016. Med vekt på modellbassert varsling og tilstandsbekreftelse. Rapport fra Havforskningen. Nr. 1-2017.

Nilsen, R., Schrøder-Elvik, K. M., Serra-Llinares, R. M., Sandvik, A. D., Asplin, L., Johnsen, I. A., Bjørn, P. A., Karlsen, Ø. (Havforskningsinstituttet), Finstad, B., Berg, M., Uglem, I (Norsk institutt for naturforskning), Lehmann, G. B. Og Wiik-Vollset, K. (UNI Research – Miljø) (2018). Lakselusinfestasjon på vill laksefisk langs Norskekysten i 2017. Rapport fra Havforskningen. Nr. 4-2018. ISSN 1893-4536 (online)

Nilsen, R., Schrøder-Elvik, K. M., Serra-Llinares, R. M., Sandvik, A. D., Kjær, R., Karlsen, Ø. (Havforskningsinstituttet), Finstad, B., Berg, M., (Norsk institutt for naturforskning), Lehmann, G. B. (NORCE) (2019). Lakselusinfestasjon på vill laksefisk langs Norskekysten i 2018. Sluttrapport til Mattilsynet. Rapport fra Havforskningen. Nr. 2019-22. ISSN 1893-4536.

Nilsen R, Serra-Llinares RM, Sandvik AD, Johnsen IA, Mohn AM, Karlsen Ø, Lehmann GB, Birkeland IB, Stöger E, Lennox R, Uglem I & Berg M (2020) Lakselusinfestasjon på vill laksefisk langs Norskekysten i 2020. Sluttrapport til Mattilsynet. Rapport fra Havforskningen. Nr. 2020-46. ISSN :1893-4536 .

Rikardsen, A.H., Amundsen, P.-A., Bjørn, P.A. and Johansen, M. (2000), Comparison of growth, diet and food consumption of sea-run and lake-dwelling Arctic charr. Journal of Fish Biology, 57: 1172-1188. https://doi.org/10.1111/j.1095-8649.2000.tb00479.x

Rozsa, L., Reiczigen, J. & Majoros, G. (2000). Quantifying parasites in samples of host. Journal of Parasitology 86, 228-232.

Sandvik AD, Johnsen IA, Myksvoll MS, Sævik PN, Skogen MD (2020a) Prediction of the salmon lice infestation pressure in a Norwegian fjord. ICES Journal of Marine Science 77:746-756

Sandvik AD, Ådlandsvik B, Asplin L, Johnsen IA, Myksvoll MS, Albretsen J (2020b) Lakselus LADiM V2, https://doi.org/10.21335/NMDC-410516615

Sandvik, A. D., Bjørn, Pål A., Ådlandsvik, B., Asplin, L., Skarðhamar, J., Johnsen, I. A., Myksvoll, M. S. & Skogen, M. D. (2016). Toward a model-based prediction system for salmon lice infestation pressure. Aquaculture Environment Interactions 8, 527-542.

Skaala Ø, Knutar S, Østebø B, Holmedal TE, Skilbrei O, Abdullah S, Barlaup B, Urdal K (2015). Erfaringar med Resistance Board Weir-fangstsystemet i Etnevassdraget 2013–2014. Rapport fra Havforskningen nr 6-2015. ISSN:1893-4536

Svåsand, T., Boxaspen, K. K., Karlsen, Ø., Kvamme, B. O., Stien, L. H. & Taranger, G. L. (2015). Risikovurdering norsk fiskeoppdrett 2014. Fisken og Havet, særnummer 2-2015, 172 s.

Svåsand, T., Karlsen, Ø., Kvamme, B. O., Stien, L. H., Taranger, G. L. & Boxaspen, K. K. (2016). Risikovurdering norsk fiskeoppdrett 2016. Fisken og Havet, særnummer 2-2016, 190 s.

Taranger, G. L., Karlsen, Ø., Bannister, R. J., Glover, K. A., Husa, V., Karlsbakk, E., Kvamme, B. O., Boxaspen, K. K., Bjørn, P. A., Finstad, B., Madhun, A. S., Morton, H. C. & Svåsand, T. (2015). Risk assessment of the environmental impact of Norwegian Atlantic salmon farming. ICES Journal of Marine Science 72, 997-1021.

Taranger, G. L., Svåsand, T., Bjørn, P. A., Jansen, P. A., Heuch, P. A., Grøntvedt, R. N., Asplin, L., Skilbrei, O. T., Glover, K. A., Skaala, Ø., Wennevik, V. & Boxaspen, K. K. (2012a). Forslag til førstegangs målemetode for miljøeffekt (effektindikatorer) med hensyn til genetisk påvirkning fra oppdrettslaks til villaks, og påvirkning av lakselus fra oppdrett på viltlevende laksefiskbestander. Fisken og Havet 13-2012, Veterinærinstituttets rapportserie Nr. 7-2012.

Taranger, G. L., Svåsand, T., Kvamme, B. O., Kristiansen, T. S. & Boxaspen, K. K. (2012b). Risikovurdering norsk fiskeoppdrett. Fisken og havet, Særnummer 2-2012. 131 s.

Taranger, G. L., Svåsand, T., Kvamme, B. O., Kristiansen, T. S. & Boxaspen, K. K. (2013). Risikovurdering norsk fiskeoppdrett 2012. Fisken og Havet, særnummer 2-2013, 164 s.

Taranger, G. L., Svåsand, T., Kvamme, B. O., Kristiansen, T. S. & Boxaspen, K. (2014). Risikovurdering norsk fiskeoppdrett 2013. Fisken og havet, Særnummer 2-2014.

Ugedal O, Fiske P, Finstad B (2021) Appendiks I a: Oversikt over laksevassdrag. In: Vollset KW, Nilsen F, Ellingsen I, Finstad B, Karlsen Ø, Myksvoll M, Stige LC, Sægrov H, Ugedal O, Qviller L & Dalvin S (2021) Vurdering av lakselusindusert villfiskdødelighet per produksjonsområde i 2021. Rapport fra ekspertgruppe for vurdering av lusepåvirkning. ISBN: 978-82-93932-00-0