Gå til hovedinnhold

Lakselusinfestasjon på vill laksefisk langs Norskekysten i 2022

— Sluttrapport til Mattilsynet

Forfatter(e): Rune Nilsen , Rosa Maria Serra-Llinares , Anne Dagrun Sandvik , Alison Harvey (HI), Astrid Tonstad (NINA), Ingebrigt Uglem (NINA), Gunnar Bekke Lehmann (Norce) og Ørjan Karlsen (HI)

Sammendrag

Overvåkingsprogrammet for lakselus på vill laksefisk (NALO) er i 2022 gjennomført på oppdrag fra Mattilsynet (MT) og Nærings- og Fiskeridepartementet (NFD). Innsatsen på overvåking av utvandrende postsmolt laks er holdt på omtrent samme nivå som de siste årene og inkluderer også Altafjorden som ikke var undersøkt i 2021. På sjøørret er innsatsen i overvåkingen i 2022 fremdeles differensiert mellom tradisjonell tilstandsbekreftelse og utvidet overvåking i fem fokusområder. Det er undersøkt samme antall stasjoner som i 2021, og med samme innsats i fokusområdene som kombinerer  tilstøtende aktivitet på anadrom laksefisk, både intern og ekstern. Vaktbur ble i 2022 benyttet i Boknafjorden, Hardangerfjorden og Sognefjorden. Spesialbygde ruser for fangst av utvandrende laks ble ble ikke videreført i 2022. Det ble gjort undersøkelser med en eller flere av ovennevnte metoder i samtlige 13 produksjonsområder langs kysten. I det sørligste og de nordligste produksjonsområdene var innsatsen lavere enn på Vestlandet og i Trøndelag. En hydrodynamisk spredningsmodell som beregner tetthet av infektive lakseluskopepoditter i vannmassene ble som tidligere år kjørt ukentlig for hele Norskekysten. Feltarbeidet i NALO startet 2. mai i Sør-Norge og ble avsluttet 24. juli i Finnmark. 

 

Resultatene er presentert med kart, tabeller og figurer for hvert av de 13 produksjonsområdene fra sør til nord. I oppsummeringen er det gjort en enkel helhetlig vurdering av lusesituasjonene på vill laksefisk langs hele kysten både i 2022 og i et litt lengre perspektiv. Vurdering av risiko for vill laksefisk er ikke gjort i denne rapporten. Begrepene lite, moderat og mye benyttes for å illustrere forskjeller i tid og rom og er derfor ikke definert kvantitativt. Resultatene er vist for hvert av de 13 produksjonsområdene, mens oppsummeringen er mer generell. I tillegg blir det gitt en kort statusoppdatering om utvikling av effektindikator for lakselus på sjøørret i fokusområdene for 2022. 

1 - Mål

Havforskningsinstituttet (HI) har på oppdrag fra Mattilsynet (MT) og Nærings- og fiskeridepartementet (NFD) ansvaret for å koordinere overvåking, forskning og rådgivning som gjelder lakselusinfestasjon på vill laksefisk langs norskekysten. MTs OK-program 56827 «Lakselusovervåking» har som mål at lakselus skal overvåkes og kartlegges med hensyn til påvirkning og effekt av lakselus på ville bestander av laksefisk (laks, sjøørret og sjørøye). Overvåkingen inngår i et større NFD prosjekt som til sammen skal dekke produksjonsområdene langs Norskekysten generelt, i nasjonale laksefjorder spesielt og på laks i utvalgte elver. Lakselusovervåkingen ved HI skal skaffe datagrunnlag til rådgivning i forbindelse med vurdering av bærekraft for havbruksnæringen (produksjonsområdeforskriften), for å evaluere effekten av forvaltningstiltak som nasjonale laksefjorder og andre relevante problemstillinger i forbindelse med lakselus på vill laksefisk.

2 - Innledning

I perioden 2012 til 2017 ble overvåkingsprogrammet for lakselus på vill laksefisk (NALO) videreutviklet og styrket basert på anbefalingene i «indikatorrapporten» (Taranger mfl., 2012a), og i forbindelse med andre relevante forsknings- og rådgivningsoppgaver. Feltinnsatsen ble betydelig utvidet fra tidligere, og det har blitt lagt mer vekt på økt systemforståelse (hydrografi og oppdrettsdata m.m.). Infestasjonsdata fra villfisk ble i større grad satt i sammenheng med hydrodynamiske spredningsmodeller for lakselus (Taranger mfl., 2012b; 2013; 2014; 2015; Nilsen mfl., 2014; 2016; Svåsand mfl., 2015; 2016). Kombinasjonen av overvåkning med tradisjonelle observasjoner og ulike modellprodukt gir bedre innsikt i problemstillingen samt øker kvaliteten og reduserer usikkerheten i leveransene.

Spredningsmodellen, som er basert på rapporterte luseverdier og biomassetall fra oppdrett som kildedata, gir informasjon om risikoen for smitte av lakselus på vill laksefisk. Fra 2015 ble overvåkingen styrket av at tettheten av infektive kopepoditter beregnet med spredningsmodellen for lakselus. Tilstandsbekreftelsen fra de undersøkte lokalitetene viste samsvar med forventningene fra spredningsmodellen (Nilsen mfl., 2014). I en periode (2015-2019) ble dette benyttet for en risikobasert (dvs. at en undersøkte spesielt områder hvor modellen tilsa en høy risiko for lakselussmitte, samt ett nærliggende kontrollområde) overvåking i enkelte områder.

I løpet av de siste årene har det blitt gjort betydelige fremskritt i arbeidet med å koble modellresultater med reelle smittetall på vill laksefisk (Asplin m.fl., 2014; Johnsen m.fl., 2014, 2016, 2020a Sandvik m.fl., 2016, 2020; Myksvoll m.fl. 2018; Bøhn m.fl. 2022), og fra 2020 er stasjonene valgt basert på tidsserier, overvåkingen av de nasjonale laksefjordene, og de to seneste årene også for videreutvikling av overvåkingsmetodene, samt en effektindikator for sjøørret ved bruk av 5 fokusområder.

I 2022 var tidsperiodene for datainnsamling på postsmolt laks uendret fra de siste årene og inkluderer også Altafjorden i Finnmark som i 2021 ble tatt ut for å gjennomføre en utvidet tråling i Trøndelag. Flere års data viser et stabilt lavt påslag av lus på postsmolt laks fra Altafjorden (Nilsen m.fl., 2017, 2018, 2019, 2020).

For sjøørret og sjørøye ble antall undersøkte stasjoner holdt på omtrent samme nivå som tidligere år. Omlegging til fokusområder med større innsats over et lengre tidsrom ble også opprettholdt på samme nivå som i 2021 med totalt fem fokusområder fra Hardangerfjorden i sør til Reisafjorden i nord. I tillegg ble det undersøkt minst en stasjon i hvert av de resterende produksjonsområdene. Feltinnsatsen i fokusområdene ble lagt til tidsrommet like etter forventet smoltutvandring fra elvene i området. I de resterende områdene for tilstandsbekreftelse på sjøørret og sjørøye ble innsatsen lagt til tidsrommet hvor tidligere års data har vist gode fangster. For de aller fleste områdene blir dette noen uker etter forventet utvandringstopp fra elvene i området. Undersøkelser med vaktbur ble i 2022 gjennomført tre fjordsystemer, Boknafjorden, Hardangerfjorden og Sognefjorden. Som i 2021 ble det gjennomført ukentlig tilsyn med burfisk.

Ekspertgruppen for Trafikklyssystemet har siden 2016 gjort en vurdering av luseindusert dødelighet på utvandrende postsmolt av laks i hver av de 13 produksjonsområdene. Alle data fra NALO-programmet er tilgjengelig for denne ekspertgruppen, og er viktige bidrag i denne prosessen. For en vurdering av status i hvert produksjonsområde, henvises til vedlegg II til denne ekspertgruppen for Trafikklyssystemet. Resultatene i denne rapporten blir derfor presentert med mindre tekst og beskrivelser enn tidligere år (Nilsen m.fl. 2019, 2020, 2022). Det blir likevel gjort en kort og generell oppsummering i siste del av rapporten hvor resultatene sees i et større perspektiv. Rapporten vil heller ikke vurdere samsvar mellom observerte lusemengder på villfisk og modellert tetthet av smittsomme lakselus. Det er likevel mulig å vurdere data som presenteres her med data fra spredningsmodell for samtlige områder og perioder på nettsiden www.lakselus.no. Analyser og beregninger av dose (smittepress) og respons (infeksjonsbelastning) på villfisk blir presentert i Havforskningsinstituttets risikovurdering av norsk fiskeoppdrett og i mer spesifikke vitenskapelige artikler i tiden fremover (Sandvik m.fl. 2016, 2020a; Myksvoll m.fl. 2018; Johnsen m.fl., 2020a; Bøhn m.fl. 2022).

Overvåkingen ble i 2022 gjennomført i samarbeid med Norsk institutt for naturforskning (NINA) og NORCE Norwegian Research Centre AS. Feltarbeidet i overvåkingsprogrammet ble utført fra slutten av april til slutten av juli.

Data fra de ulike metodene i NALO-programmet blir presentert kronologisk for hvert produksjonsområde (1-13) fra sør til nord langs kysten. Resultatene for lakseluspåslag illustreres i figurer og tabeller. Kartene for hvert produksjonsområde viser omtrentlig område for postsmolttråling, vaktbur og undersøkte stasjoner for ruse/garnfangst av sjøørret og sjørøye. Tabeller og figurer oppsummerer antall fisk, antall lus, fordeling mellom fastsittende og bevegelige stadier og relativ infestasjonsgrad for hver undersøkt stasjon. Tilgjengelige litteratur, både fra undersøkelser i Norge og internasjonale studier, underbygger at 0,1 lus per gram kroppsvekt kan påføre laksefisk begynnende fysiologiske problemer. Derfor brukes ofte denne verdi som grense negativ effekt på individnivå. Vi har derfor valgt å illustrere denne grensen i figurene. Alle rådata fra NALO 2022 blir tilgjengelig og kan lastes ned på hjemmesiden til Norsk Marint Datasenter, www.nmdc.no. Ekstra tabeller er derfor ikke inkludert som appendiks til rapporten.

Lusedata fra fokusområdene blir presentert kronologisk sammen med de andre undersøkte områdene. Status på utvikling av effektindikator for sjøørret/sjørøye og flere detaljer fokusområdene blir presentert i et eget kapittel.

3 - Metoder

3.1 - Feltobservasjoner

Både under forberedelser og gjennomføring av feltarbeid ved overvåkingsprogrammet er det lagt stor vekt på å ivareta kvalitet, og metodene i NALO-programmet har blitt betydelig forbedret i løpet av de siste årene. For å kunne dokumentere høy kvalitet på lusetellinger på villfisk er det innført krav om bestått kurs i identifikasjon av lakselus (og forvekslingsarter) for alle aktuelle deltakere. Kurset har både praktisk og teoretisk eksamen. I tillegg er det gjennomført flere feltkurs og runder med opplæring for å sikre standardisering av feltmetodikk (valg av fiskeplass, fangst, håndtering, lusetelling og andre registreringer). Metodene som involverer håndtering av levende fisk (vaktbur og rusefangst) er søknadspliktig hos forsøksdyrsutvalget og gjennomføres utelukkende av kvalifisert personell i henhold til forsøksdyrforskriften. Forsøket er godkjent i FOTS med Id 28803.

Som tidligere år utgjør lusetellinger på ruse- og garnfanget ørret og røye fremdeles hovedtyngden av feltinnsamlingen i NALO-programmet. Vi har som mål at flest mulig fisk som undersøkes skal settes levende tilbake i sjøen etter endt lusetelling. For å imøtekomme dette brukes sjøørretruser ved de aller fleste stasjoner. På mange stasjoner må likevel fangstene suppleres ved bruk av tradisjonelle flytegarn. Dette kan være på grunn av dårlig fangst i rusene, dårlig tid eller andre forhold som gjør det vanskelig å benytte sjøørretrusene.

De fleste feltteam var i 2022 utstyrt med sjøørretruser med pelagisk ledegarn som ble satt på aktuelle fiskeplasser ved stasjonene. Rusene fanger all fisk levende i et fangstkammer ca. 30-50 meter fra strandlinjen og på ca. 1-2 meters dyp. Rusene blir sjekket minimum en gang i døgnet, ved store fangster oftere. Eventuell laksefisk blir skånsomt løftet ut av fangstkammer og over i et oppbevaringskar i båten ved hjelp av en finmasket håv. Deretter blir fisken bedøvd med Benzokain (200 mg/ml) hvorpå lusetelling og annen registrering gjennomføres før fisken legges til oppvåkning i et annet kar. Lusetellingene foregår i en hvit plastbakke med vann i og under kraftig lys. All fisk settes tilbake ved strandsonen i nærheten av fiskeplassen etter registrering. Tidligere merkeforsøk viser at andel gjenfangst i rusene normalt ligger på under 5 prosent (Arechavala-Lopez m.fl. 2016). Dette betyr at vi risikerer å registrere enkelte fisk mer enn en gang i løpet av perioden. Dette kunne imidlertid vært unngått hvis hver fisk ble merket ved rusefangst. Vi har likevel valgt å kun merke fisk i fokusområdene. Eventuelle feilvurderinger på grunn av lusetellinger av samme individ to eller flere ganger på de andre stasjonene blir vurdert som ubetydelig i denne sammenhengen.

Ved garnfiske blir et antall flytegarn (16-26 millimeter maskevidde) satt fra strandsonen og ca. 30 meter ut i fjorden i det aktuelle fiskeområdet. Garnene blir kontinuerlig røktet gjennom hele fiskeperioden for å redusere sannsynligheten for at fisk dør i garnene og lus faller/hopper av. All garnfangst av sjøørret/røye blir skånsomt klippet løs, avlivet og overført til en hvit plastbakke med vann for lusetelling. Lusetelling på garnfanget fisk gjøres umiddelbart etter fangst for å forhindre tap av lus. Etter lusetelling blir garnfanget fisk oppbevart i separate merkede plastposer for videre prøvetaking etter endt fiske.

Feltinstruks for minimum antall undersøkt fisk per lokalitet blir oppdatert jevnlig på bakgrunn av analyser av tidligere års overvåkingsdata. Analysene viste hvor mange fisk som bør undersøkes på hver lokalitet for at de skulle representere situasjonen hos villfisk med tilstrekkelig høy sannsynlighet. I 2022 ble det anbefalt å undersøke minst 40 fisk per runde per stasjon. Stor variasjon i tetthet av ørret i det aktuelle området resulterer likevel i perioder med lav fangst.

Utvandrende postsmolt av laks ble i 2022 fanget med pelagisk trål i ytre deler av flere større fjordsystemer. I trålen ble postsmolten fanget levende med en spesialbygget pelagisk trål (fish-lift, Holst & McDonald 2000), og lusepåslag og andre parametere ble registrert umiddelbart etter fangst og med samme metode som for garn- og rusefanget fisk. All trålfanget laksesmolt ble avlivet og frosset ned for ytterligere prøvetakning ved laboratorier etter endt feltarbeid. I Sognefjorden ble det i forbindelse med trålingen startet opp et forsøk på å forbedre trålmetoden. Det ble ikke gjort forsøk på fangst av laks med spesialtilpassede ruser i 2022. Erfaringer fra 2019-2021 viser at det er krevende å fange laks på ruser tilsvarende de som benyttes for sjøørret, og en større tilpasning er nødvendig for at dette skal fungere tilfredsstillende.

Vaktbur med oppdrettsfisk ble i tillegg benyttet som en alternativ metode for å måle smittepress på spesifikke posisjoner i bestemte tidsperioder. I 2022 ble vaktbur satt ut i Boknafjorden, Hardangerfjorden og Sognefjorden. I hvert bur ble det plassert ca. 30 fisk i ca. 14 dager. Hvert bur er på ca. 1 kubikkmeter og består av to plastringer som er dekket med knuteløst 14 mm nett, og er plassert 1-2 meter under overflaten. Når burene tømmes blir lusetelling gjennomført umiddelbart etter avlivning. Det blir brukt samme metodikk som ved telling på vill laksefisk med kraftig lys og med fisken liggende i vann i et hvitt kar. Alle bur ble sjekket etter omtrent 7 dager hvor eventuelt skadd eller død fisk ble plukket ut.

3.2 - Operasjonell modellovervåking

Spredningsmodellen for lakselus kjøres ukentlig gjennom hele året, og er tilgjengelig for alle på HIs nettsider (www.lakselus.no). Modellen er nyttig verktøy da den gir en god generell oversikt over lusesituasjonen langs kysten også på steder og tidspunkter som ikke blir fysisk overvåket.

Spredningsmodellen for frittlevende stadier av lakselus kombinerer data om utslipp av nauplielarver fra oppdrettsanlegg (antall voksne hunnlus, antall fisk og sjøtemperatur) med hydrodynamiske modeller som beskriver vannstrømmer, temperatur og saltholdighet. I tillegg benyttes informasjon om luselarvenes utviklingstid, vertikale adferd og forventet dødelighet. Modellen oppdateres fortløpende når ny relevant kunnskap blir tilgjengelig (Sandvik m.fl. 2020b, Johnsen m.fl. 2020b).

Resultatet fra spredningsmodellen er timesverdier av posisjonen og alder til alle lakselus produsert ved operative oppdrettsanlegg. Videre er tettheten av smittsomme kopepoditter per kvadratmeter summert til daglige verdier. Lakselusene har gjerne fulgt strømmen i 5–10 dager før de når det infektive stadiet (avhenger av vanntemperaturen), og kan i løpet av denne tiden potensielt ha blitt transportert mange km bort fra den opprinnelige utslippsposisjonen (Asplin m.fl. 2014). Hvor lang denne transporten er avhenger av de hydrografiske forholdene og den temperaturstyrte utviklingen lakselusa har hatt til det infektive kopepodittstadiet. Typisk vil lakselus i nord og om våren oppleve lavere temperatur enn i sør og om sommeren, og dermed bruke lenger tid på å utvikle seg til smittsom kopepoditt. Denne tidsdifferansen i utvikling medfører potensielt en lengre transport bort fra utslippspunktet, men også større dødelighet før den når det infektive kopepodittstadiet.

For å gi et mer gjennomsnittlig bilde av lusepresset er timesverdiene fra modellen summert over 10 dager før de publiseres på lakselus.no. Når modellen kjøres ukentlig med oppdatert informasjon om utslipp vil den kunne indikere områder med høy tetthet av kopepoditter, her eksemplifisert for produksjonsområde 10, hvor området med høyere tetthet av pelagiske kopepoditter er indikert med gul farge i kartet (figur 1).

 

Kart over Troms som viser modellert tetthet av smittsomme lakselus
Figur 1. Resultater fra den hydrodynamiske spredningsmodellen for lakselus. Figuren viser tetthet av kopepoditter på en skala fra 0-2 (antall per kvadratmeter), summert over perioden som står i tittelen. Fargene kan ikke direkte overføres til effekt på vill laksefisk.

 

3.3 - Databehandling og presentasjon

I denne rapporten er alle infeksjonsparametere beregnet og beskrevet etter anbefalinger fra Rozsa m.fl. (2000) for presentasjon av kvantitative parasittologiske data.

Alle infeksjonsparametere (prevalens, intensitet, median etc.) oppgitt med 95 % konfidensintervall. Konfidensintervall for prevalens (andel av fisken som har lus) er beregnet basert på binomisk fordeling (Bush m.fl. 1997). Intensitet (gjennomsnittlig antall lus på fisken som har lus) med konfidensintervall er beregnet med BCa (bias-corrected and accelerated) bootstrap som anbefalt av Efron & Tibshirani (1993), mens median er oppgitt med distribusjonsfritt konfidensintervall.

I tabellene blir antall fisk, prevalens, gjennomsnittlig intensitet og prosentandel med mer enn 0,1 lus per gram kroppsvekt presentert. Prevalens er definert som andelen av det undersøkte materialet som blir funnet med en eller flere lakselus og oppgis i prosent. Gjennomsnittlig intensitet er gjennomsnittlig antall lakselus på den andelen av materialet hvor lakselus ble registrert. I figurene benyttes hovedsakelig boksplott som viser medianfordelingen av lakselus på de ulike stasjoner og uker. For å visualisere fordelingen av verdiene langs y-aksen er disse merket som mørke punkter. Figurene viser medianfordeling av alle lus, av fastsittende og bevegelige stadier og medianfordeling av relativt antall lakselus (antall lus/gram). I tillegg illustreres fordelingen av relativ intensitet (lus/kroppsvekt) i fire kategorier; mindre enn 0,1 lus per gram, 0,1-0,2 lus per gram, 0,2-0,3 lus per gram og mer enn 0,3 lus per gram (figur 4 og tilsvarende). Merk at disse kun inkluderer fisk under 150 gram.

3.4 - Geografisk dekning 2022

Alle 13 produksjonsområder har blitt undersøkt med én eller flere metoder i overvåkingsprogrammet i 2022. Størst aktivitet har som tidligere år vært på Vestlandet, fra Rogaland til og med Trøndelag. På Sørlandet og i Nord-Norge er aktiviteten dominert av ruse/garn stasjoner. Valget av område/metodikk blir gjort gjennom en samlet vurdering av smittepress og sårbarhet for vill laksefisk, områdets generelle egnethet, tidligere undersøkelser (tidsserier) og geografisk dekning. Omtrentlig plassering av undersøkte områder for de ulike metodene er illustrert i oversiktskartet (figur 2). Flere detaljer om tidsrom og posisjon er vist i tabell 1.

Fangst av sjøørret og sjørøye med garn og etter hvert også ruser har dominert NALO helt siden overvåkingen ble startet for mer enn 30 år siden. En rekke stasjoner har i løpet av årene vært undersøkt én eller flere ganger. Noen av disse blir fulgt opp gjennom flere år. Det gjelder de aller fleste av de totalt 28 stasjonene som ble undersøkt i 2022. Tidspunktene for de aktuelle undersøkelsene er valgt for å både dekke perioden for smoltutvandring og en senere periode lengre ut i den forventede marine perioden for sjøørret og sjørøye. I fokusområdene dekker overvåkingen en lengre periode på inntil seks sammenhengende uker. En oversikt over alle stasjonene undersøkt med garn/ruse i 2022 er gitt i tabell 1.

Siden 2017 har fangst av utvandrende postsmolt laks med trål blitt gjennomført i flere større fjordsystemer langs kysten. I 2022 ble det trålet i ytre del av 6 fjordsystemer; Boknafjorden, Hardangerfjorden, Sognefjorden, Romsdalsfjorden, Trondheimsfjorden og Altafjorden. Det ble trålt i 4 uker (28 døgn) i hvert av fjordsystemene. Tidsrommet for trålingen er delvis bestemt på bakgrunn av tidligere års erfaring med hensyn på fangst, men først og fremst på forventet utvandringstid for laksesmolt i nærliggende elver. Informasjon om forventet utvandringstid er for alle trålområder hentet fra Ugedal m.fl. (2021a).

Vaktbur ble i 2022 benyttet i 3 fjordsystemer på Vestlandet; Boknafjorden, Hardangerfjorden og Sognefjorden. I begynnelsen av mai ble det lagt ut 16-18 forankringer til vaktbur i hvert av disse fjordsystemene. Forankringene ble satt på faste posisjoner i ytre og midtre deler av fjordsystemet. De samme posisjonene har vært benyttet i NALO gjennom flere år. Bur med fisk ble satt ut i forankringene i to perioder på omtrent 14 dager, og med tilsyn etter ca. 7 dager.

 

Kart over Norge som viser hvor det har vært overvåket lakselus i 2022 med forskjellige metoder
Figur 2. Geografisk dekning av ulike metoder i NALO 2022. Blå sirkler indikerer områder med postsmoltråling, gule sirkler indikerer områder med vaktbur og røde sirkler indikerer stasjoner for ruse/garnfangst av sjøørret/sjørøye.

 

 

 

        Tidsrom Nasj.  
PO Stasjon Redskap Kommune Dato Uke Laksefj. Posisjon
1 Sandnesfjord ruse/garn Risør 24-26/5 6-9/6 21 og 23 Nei 58,69506 N - 9,19088 Ø
Flekkefjord ruse/garn Flekkefjord 27-30/5 10-12/6 21 og 23 Nei 58,26341 N - 6,68306 Ø
2 Ytre Årdalsfjord ruse Hjelmeland 25/5-6/6 21-23 Nei 59,14066 N - 6,01844 Ø
Nedstrand ruse/garn Tysvær 27-30/5 2-3/6 9-10/6 21-23 Nei 59,33763 N - 5,85743 Ø
Forsand garn Sandnes 31/5-1/6 22 Nei 58,88383 N - 6,10844 Ø
3 Etne ruse Etne 24/5-30/6 21-26 Ja 59,65107 N - 5,8228 Ø
Indre Etne ruse Etne 24/5-21/6 21-25 Ja 59,67526 N - 5,91935 Ø
Rosendal ruse/garn Kvinnherad 3-4/6 24-27/6 22 og 25/26 Nei 59,95638 N - 5,972386 Ø
Ålvik ruse/garn Kvam 7-8/6 26-27/6 23 og 26 Nei 60,43206 N - 6,44865 Ø
4 Herøyosen ruse Alvøy 23/5-1/7 21-26 Nei 60,81627 N - 5,23938 Ø
Herdlafjord ruse Askøy 11/5-27/6 19-26 Nei 60,57144 N - 4,95714 Ø
Bjordal ruse/garn Høyanger 24-25/5 14/15/6 21 og 24 Nei 61,07396 N - 5,81823 Ø
Balestrand ruse/garn Sogndal 26-28/5 16-18/6 21 og 24 Ja 61,21356 N - 6,545769 Ø
Måløy ruse/garn Kinn 1-3/6 19-24/6 22 og 25 Nei 61,91817 N - 5,36070 Ø
5 Vatnefjord ruse Ålesund 30/5-10/7 22-27 Nei 62,58667 N - 6,60684 Ø
Frænfjord ruse Hustadvika 6-7/6 20-21/6 23 og 25 Nei 62,84474 N - 7,16105 Ø
6 Agdenes ruse Orkland 30/5-6/7 22-27 Nei 63,62261 N - 9,65060 Ø
Hitra ruse/garn Hitra 9-10/6 23-24/6 23 og 25 Nei 63,56319 N - 8,70812 Ø
7 Sitter ruse/garn Flatanger 15-16/6 28-29/6 24 og 26 Nei 64,53967 N - 10,97042 Ø
8 Leirfjord ruse/garn Leirfjord 17-18/6 1-2/7 24 og 26 Ja 66,06082 N - 12,94809 Ø
9 Steigen ruse/garn Steigen 21-22/6 4-5/7 25 og 27 Nei 67,86513 N - 15,07319 Ø
10 Finnsnes ruse/garn Senja 23-24/6 7-9/7 25 og 27 Nei 69,21674 N - 17,89088 Ø
Løksebotn garn Salangen 7-8/6 27 Nei 68,93002 N - 17,71783 Ø
11 Oksfjord ruse Nordreisa 15/6-19/7 24-29 Ja 69,89929 N - 21,23187 Ø
Straumfjord ruse Nordreisa 17/6-21/7 24-29 Ja 69,82108 N - 21,1586 Ø
12 Talvik garn Alta 1-2/7 13-14/7 26 og 28 Ja 70,02092 N - 23,04554 Ø
Handelsbukt garn Porsanger 17-19/7 29 Ja 70,08874 N - 25,20533 Ø
13 Jarfjord ruse/garn Sør-Varanger 21-23/7 29 Nei 69,72548 N - 30,45019 Ø
Tabell 1: Lokalisering og tidsrom for undersøkelser med ruse og garn i hvert produksjonsområde (PO) i NALO 2022. Oppgitt posisjon (desimalgrader) er for ruse eller et representativt garn der ruser ikke er benyttet

4 - Resultater

4.1 - Sørlandet (PO 1, Svenskegrensen – Jæren)

I dette sørligste produksjonsområdet ble stasjonene Sandnesfjord ved Risør og Flekkefjord (figur 3) undersøkt med ruser/garn to ganger hver. Begge stasjonene er undersøkt gjennom flere år i NALO. Sandnesfjord ble i 2022 undersøkt 24-26. mai (uke 21) og 6-9. juni (uke 23). Flekkefjord ble undersøkt 27-30. mai (uke 21) og 10-12. juni (uke 23). Det er ikke trålt etter utvandrende postsmolt av laks i PO 1, eller satt ut vaktbur. I PO1 regner en at median smoltutvandring er 11. mai (uke 19).

 

Kart som viser overvåkingslokaliteter på Sørlandet
Figur 3. Stasjonene undersøkt med ruse eller garn (røde prikker) i PO1 i 2022.

 

Ruse og garnfangst

I Sandnesfjord hadde sjøørreten lite lus, mens det som tidligere år var mer lus på sjøørreten ved Flekkefjord, med prevalens på 95 og 100%, intensitet 6 og 17 lus/fisk i ukene 21 og 23 (tabell 2) . I Sandnesfjord viste undersøkelsen i ukene 21 og 23 lite lus på fisken (figurene 4 og 5). Dette er tilsvarende som tidligere år i samme periode. I Flekkefjord hadde en større andel av fiskene lus, og lusepåslag økte fra uke 21 til uke 23 (figurene 4 og 5). Ved Flekkefjord var antall lus på ørreten begge ukene dominert av de fastsittende stadiene (dvs. kopepoditter, samt chalimus 1 og 2), som indikerer relativt høyt smittepress på sjøørreten under og etter median smoltutvandring (figur 5).

Stasjon Uke n Vekt (range) Prevalens [KI] Intensitet [KI] % >0.1 rel.int.
Sandnesfjord 21 18 193 (29-604) 11 [3-33] 3 [2-4] 0 [0-18]
23 22 209 (36-621) 68 [47-84] 3 [2-4] 0 [0-15]
Flekkefjord 21 20 115 (39-1050) 95 [76-100] 6 [4-10] 20 [8-42]
23 20 191 (40-1100) 100 [84-100] 17 [13-22] 70 [48-85]
Tabell 2. Infestasjon av lakselus på sjøørret i PO 1. n angir antall undersøkte fisk i hver uke. Prevalens viser hvor stor andel av de undersøkte fiskene som ble funnet med en eller flere lakselus og oppgis i prosent. 95 % konfidensintervall er oppgitt i klammer bak. Intensitet angir gjennomsnittlig antall lakselus på den andelen av materialet som ble funnet med lus med 95 % konfidensintervall i klammer bak. % > 0,1 lus/ g viser andelen av det undersøkte materialet hvor infestasjonen var høyere enn 0,1 lus per gram kroppsvekt. 95 % konfidensintervall er oppgitt i klammer bak.

 

Figur som viser fordeling av ulike nivåer av lakselus
Figur 4. Fordeling av relativ intensitet (lus/kroppsvekt i g) i kategoriene mindre enn 0,1 (gul), 0,1-1,2 (grønn), 0,2-0,3 (blå) og mer enn 0,3 (lilla) hos fisk under 150 gram i de aktuelle ukene/stasjonene.

 

 

Figurer som viser mengde lakselus på sjøørret i 2022
Figur 5. Antall lakselus (A), relativt antall lus (antall lus/gram kroppsvekt) (B) og antall lakselus fordelt på fastsittende og bevegelige stadier (C) fra sjøørret på stasjonene undersøkt i PO 1.

 

4.2 - PO 2 Ryfylke

I Boknafjorden i Rogaland ble tre stasjoner undersøkt med ruser og garn (figur 6) i 2022. Alle stasjonene har tidligere vært undersøkt i NALO. Ytre Årdalsfjord ble i 2022 undersøkt i perioden 25. mai til 6. juni (uke 21-23). Nedstrand ble undersøkt 27-30. mai (uke 21), 2-3. juni (uke 22) og 9-10. juni (uke 23). Forsand ble undersøkt én gang 31. mai – 1. juni.

Det ble trålt etter utvandrende laksesmolt i sentrale og vestlige deler av Boknafjorden, og godt utenfor fjordarmene som strekker seg lengre innover i Ryfylket (figur 6). Det ble gjennomført omtrent samme innsats i den sørlige og den nordlige delen av fjordbassenget (3 dager per uke). I tillegg ble det trålt lengre vest omtrent én dag per uke. I Boknafjorden (PO 2) er median smoltutvandring beregnet til 10. mai. Postsmolttråling ble gjennomført med leieskipet Havsund fra og med 2. mai til og med 29. mai, og vil derfor dekke toppen av utvandring fra de fleste elvene i området.

Det ble også gjennomført 2 runder med vaktbur i Boknafjorden i 2022, 13-31. mai og 31. mai-10. juni (figur 6). De samme burposisjonene har vært benyttet i NALO gjennom flere år. Burene sto ute i 2 runder hver på ca. 14 dager, hvor første serie startet midten av mai, noe i etterkant av estimert median utvandring for området, mens andre periode dekker første del av juni. Gitt en utvandring ca. 10. mai, dekker første periode siste del av smoltutvandringen, mens andre periode vil dekke sent utvandrende laks, eller laks som har brukt lang tid på vandringen gjennom fjorden.

 

Kart som viser område for rpusestasjoner og eventuelt område for tråling og vaktbur i 2022
Figur 6. Stasjonene undersøkt med ruse eller garn (røde prikker), område for postsmolttråling (røde polygoner) og plassering av vaktburene (svarte prikker) i PO2 i 2022

 

Ruse og garnfangst

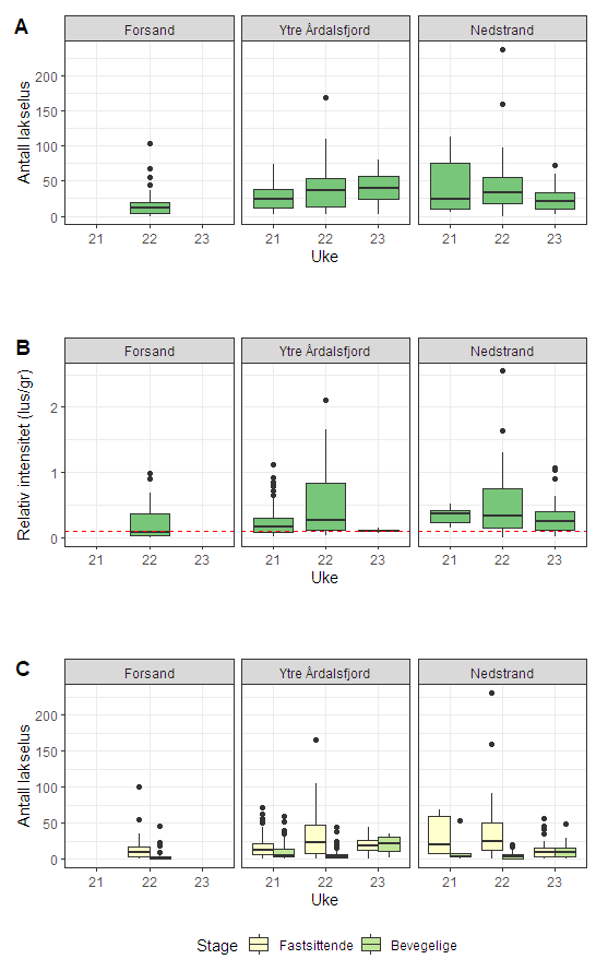
For sammenlignbare uker var det minst lus i Forsand, mens de to andre stasjonen var relativt like selv om det var noe mer lus på sjøørreten fanget ved Nedstrand. Prevalens var på alle stasjonene høy alle ukene, > 89% av fisken hadde lus, oftest hadde all fisken lus (tabell 3). Intensiteten var mellom 19 og 46 lus/fisk, noe høyere i Nedstrand enn i Ytre Årdalsfjord uke 21. Lusepåslag var høy i alle stasjoner alle uker (bortsett fra i Ytre Årdalsfjord i uke 23, men her var det svær lav n) (figurene 7 og 8). Bildet er omtrent som i fjor, men da var det noe mer lus på sørsiden av fjorden. Fordelingen av lus viser at de fastsittende stadiene dominerer i ukene 21 og 22, mens andelen av bevegelige har økt på begge stasjonene i uke 23, samtidig som antall fastsittende er redusert (figur 8).

Stasjon Uke n Vekt (range) Prevalens [KI] Intensitet [KI] % >0.1 rel.int.
Forsand 22 56 225 (34-2184) 89 [79-95] 19 [15-25] 45 [32-58]
Ytre Årdalsfjord 21 110 195 (24-1256) 100 [97-100] 27 [23-30] 70 [61-78]
22 51 182 (40-1346) 100 [93-100] 40 [32-50] 76 [63-86]
23 4 333 (46-550) 100 [51-100] 41 [10-64] 75 [30-99]
Nedstrand 21 5 156 (30-482) 100 [57-100] 46 [13-87] 100 [57-100]
22 44 141 (38-792) 98 [88-100] 46 [36-63] 84 [71-92]
23 29 126 (40-542) 100 [88-100] 25 [19-32] 76 [58-88]
Tabell 3. Infestasjon av lakselus på sjøørret i PO 2. Se Tabell 2 for forklaring av verdiene. Merk lav n enkelte uker.

 

Figur som viser fordeling av ulike nivåer av lakselus
Figur 7. Fordeling av relativ intensitet (lus/kroppsvekt i g) i kategoriene mindre enn 0,1 (gul), 0,1-1,2 (grønn), 0,2-0,3 (blå) og mer enn 0,3 (lilla) hos fisk under 150 gram i de aktuelle ukene/stasjonene

 

 

Figurer som viser mengde lakselus på sjøørret i 2022
Figur 8. Antall lakselus (A), relativt antall lus (antall lus/gram kroppsvekt) (B) og antall lakselus fordelt på fastsittende og bevegelige stadier (C) fra sjøørret på stasjonene undersøkt i PO2.

 

Postsmolttråling

Det er i 2022 trålt i Boknafjorden ukene 18-21, 2. - 29. mai. Trålingen har vært inndelt i 3 soner (figur 9, venstre). Fangstene har som i 2021 vært gode, spesielt på sørsiden av fjorden (sone 2) (figur 9, høyre) og med en klar topp i uke 19, hvilket indikerer at trålperioden har vært dekkende for utvandringen.

 

Kart over trålområder og figur over fangst i områdene for 2022
Figur 9. Områdene trålt etter utvandrende postsmolt laks i Boknafjorden (venstre), samt kumulativ fangst av utvandrende postsmolt av laks i hvert fangstområde (høyre). Høyest antall laks ble fanget uke 19. Innsatsen i område 1 og 2 er identisk (hver med 3 dager/uke), noe lavere i område 3 (1 dag/uke).

 

Andelen av laks med lus (prevalens) var 53% i begynnelsen av trålingen for deretter å falle til i overkant av 40% i de neste to ukene. I siste uke (uke 21) økte prevalens til 68%. Gjennomsnittlig intensitet lå mellom 2 og 6 lus/fisk gjennom hele perioden (tabell 4).

Uke n Vekt (range) Prevalens [KI] Intensitet [KI] % >0.1 rel.int. [KI]
18 64 23 (12-38) 53 [41-65] 6 [4-11] 28 [19-40]
19 266 21 (10-46) 42 [36-48] 4 [2-8] 11 [7-15]
20 70 21 (14-35) 41 [31-53] 2 [1-2] 10 [5-19]
21 38 20 (11-32) 68 [53-81] 4 [3-6] 45 [30-60]
Tabell 4. Infestasjon av lakselus på utvandrende laksesmolt i Boknafjorden. Se Tabell 2 for forklaring av verdiene.

L usepåslag var generelt lavt under hele perioden , men noe høyere i de første og siste ukene ( figurene 10 og 11), og høyere enn i 2021.

 

Figur over mengde lakselus på vill postsmolt laks i 2022
Figur 10. Antall lakselus hos utvandrende postsmolt laks i Boknafjorden i uke 18-21.

 

 

Figur som viser fordeling av ulike nivåer av lakselus
Figur 11. Fordeling av relativ intensitet (lus/kroppsvekt i g) i kategoriene mindre enn 0,1 (gul), 0,1-1,2 (grønn), 0,2-0,3 (blå) og mer enn 0,3 (lilla) hos fisk under 150 gram i de aktuelle ukene/stasjonene

 

Vaktbur

Det er gjennomført to serier med vaktbur i Boknafjorden i 2022, 13-31. mai og 31. mai-10. juni. Det var generelt stor dødelighet på fisken i vaktburene i første periode grunnet problemer under transporten. Det mangler derfor data fra burene i ytre deler i den første runden. I de resterende burene var det med ett unntak lave antall lus (< 2 lus/fisk) på fisken (figur 12) i runde 1. I runde 2 var det lave antall lus på fisken i de indre og nordøstlige delene, mens det var moderat med lus på fisken i de sentrale delene, samt i ett bur i Høgsfjorden på sørsiden (figur 12).

 

Lusemengde på fisk i vaktbur i 2022
Figur 12. Snitt antall lakselus normalisert til 14 dager på laks i vaktburene i Boknafjorden i 2022 i periode 1 og 2 (eksakt datoer er angitt i figuren). Punktene viser burposisjonene, grønt angir < 2, gult 2-6 og rødt > 6 lus/fisk. Bur hvor antall fisk < 5 er tatt bort.

 

4.3 - PO 3 Karmøy til Sotra

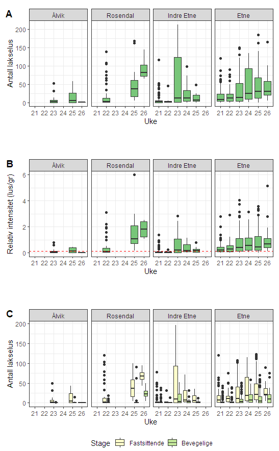
I Hardangerfjorden, som utgjør en betydelig del av produksjonsområdet 3, ble tre stasjoner undersøkt med ruser og garn i 2022 (figur 13). Den ytre stasjonen i dette fjordsystemet er Etne, som i tillegg er en nasjonal laksefjord og inngår som et av de fem fokusområdene med lengre sammenhengende overvåking over flere uker. I tillegg ble Rosendal i midtre del av fjorden og Ålvik i indre del av fjorden undersøkt. Overvåkingen i Etne ble gjennomført fra 24. mai til 30. juni. Det ble i perioder fisket med to ruser på denne stasjonen, både ved den vanlige lokaliteten (Etne) og ved en midlertidig lokalitet lengre inn i fjorden (Indre Etne). I Rosendal ble det gjort undersøkelser 3-4. juni og 24-27. juni. Ålvik ble også undersøkt to ganger, 7-8. juni og 26-27. juni.

Postmolttrålingen i Hardangerfjorden ble i hovedsak gjennomført i ytre del av fjordens hovedløp og i Bømlafjorden (figur 13). I tillegg ble det trålt i Langenuen og midtre del av Hardangerfjorden ca. en dag hver per uke. Dette ble gjort for å fange opp postsmolt som velger andre ruter ut av fjordsystemet og eventuell fisk fra indre elver som bruker lengre tid på utvandringen gjennom fjorden. I Hardangerfjorden (PO 3) er median smoltutvandring beregnet til 14. mai. I 2022 ble trålingen i Hardangerfjorden gjennomført med leieskipet Fangst i fra 9. mai til og med 5. juni. Tidsperioden er dekkende for toppen av utvandring fra de fleste aktuelle elver i området.

Det ble også gjennomført 2 runder med vaktbur i Hardangerfjorden i 2022, 12. - 26. mai og 26. mai – 9. juni (figur 13). De samme burposisjonene har vært benyttet i NALO gjennom flere år. Burene stod ute i 2 runder på ca. 14 dager hver, hvor første serie startet midten av mai, noe i etterkant av estimert median utvandring for området, mens andre periode dekker første del av juni. Gitt en median utvandring av laks i uke 19 (13. mai) dekker første runden fra median dato for utvandring og de to neste ukene. Den andre perioden dekker bare sent utvandrende laks, og laks som bruker lang tid på vandringen gjennom fjorden.

 

Kart som viser stasjoner for ruse og eventuelt område for tråling og og vaktbur i 2022
Figur 13. Stasjonene undersøkt med ruse eller garn (røde prikker), område for postsmolttråling (røde polygoner) og plassering av vaktburene (svarte prikker) i PO3 i 2022

 

Ruse og garnfangst

Stasjonen i Ålvik er undersøkt uke 23 og 25/26, Rosendal ukene 22, 25 og 26, mens Etne er undersøkt sammenhengende ukene 21-26. I tillegg er det undersøkt en stasjon nærmere Etne (Indre Etne) ukene 21-25 (tabell 5). Ruseundersøkelsene startet ca. 2 uker etter median utvandring, og er i tid derfor relativt dekkende fra 1-2 uker før median smoltutvandring.

I Ålvik har over 50% av fisken lus, med intensitet i uke 23 på 10 lus/fisk, som øker til 33 i uke 25 (merk lav n i ukene 25-26) (tabell 5). I Rosendal øker prevalens fra 79 til 100% fra uke 22 til uke 25, mens intensiteten øker fra 23 til 49 lus/fisk (uke 26 har lav n). I den innerste stasjonen i Etnefjord (Indre Etne) er prevalens 71-74 % de tre første ukene, deretter 88-94 % de påfølgende to ukene. Intensitet øker fra 9 til 81 lus/fisk ukene 21-23, men faller deretter igjen de to neste ukene til 16 lus/fisk i uke 25. I stasjonen utenfor (Etne) er prevalens jevnt over høyere (89-100 %), mens intensiteten øker fra uke 21 til uke 24, og ligger på 46-49 lus/fisk i de tre siste ukene.

Stasjon Uke n Vekt (range) Prevalens [KI] Intensitet [KI] % >0.1 rel.int.
Ålvik 23 24 88 (22-908) 62 [43-79] 10 [5-21] 33 [18-53]
25 6 83 (40-154) 50 [19-81] 33 [10-49] 50 [19-81]
26 3 162 (50-370) 67 [21-98] 1 [1-2] 0 [0-56]
Rosendal 22 47 39 (14-304) 79 [65-88] 23 [13-38] 40 [28-55]
25 20 34 (20-72) 100 [84-100] 49 [34-75] 100 [84-100]
26 4 62 (26-114) 100 [51-100] 94 [70-131] 100 [51-100]
Indre Etne 21 107 56 (20-320) 72 [63-80] 9 [6-15] 23 [16-32]
22 7 123 (22-458) 71 [36-92] 11 [2-36] 14 [1-51]
23 23 71 (23-261) 74 [54-87] 81 [50-114] 61 [41-78]
24 18 58 (28-112) 94 [74-100] 27 [16-44] 67 [44-84]
25 8 54 (24-84) 88 [53-99] 16 [7-31] 62 [31-86]
Etne 21 99 70 (20-654) 98 [93-99] 18 [14-23] 67 [57-75]
22 90 57 (18-916) 89 [81-94] 19 [15-23] 73 [63-81]
23 163 43 (12-196) 93 [88-96] 35 [30-42] 74 [67-80]
24 32 58 (22-166) 100 [89-100] 49 [34-66] 81 [65-91]
25 78 86 (28-1248) 97 [91-99] 46 [38-57] 87 [78-93]
26 16 49 (32-70) 100 [81-100] 47 [32-74] 100 [81-100]
Tabell 5. Infestasjon av lakselus på sjøørret i PO 3. Se Tabell 2 for forklaring av verdiene.

 

Figur som viser fordeling av ulike nivåer av lakselus
Figur 14. Fordeling av relativ intensitet (lus/kroppsvekt i g) i kategoriene mindre enn 0,1 (gul), 0,1-1,2 (grønn), 0,2-0,3 (blå) og mer enn 0,3 (lilla) hos fisk under 150 gram i de aktuelle ukene/stasjonene

 

Ser en på stadiefordelingen av lus utgjør de fastsittende stadiene hovedtyngden av lus første uken stasjonen er undersøkt, og dominerer også senere, selv om en da også ser en økning i antall bevegelige lus (figur 15). Dette indikerer at det har vært ett økende smittepress i Ålvik og Rosendal, mens for Indre Etne er det en økning fram til ca. uke 23, deretter forblir smittepresset på samme nivå. For Etne er det en svak økning i smittepresset i tidsperioden undersøkt.

 

Figurer som viser mengde lakselus på sjøørret i 2022
Figur 15. Antall lakselus (A), relativt antall lus (antall lus/gram kroppsvekt) (B) og antall lakselus fordelt på fastsittende og bevegelige stadier (C) fra sjøørret på stasjonene undersøkt i PO 3.

 

Postsmolttråling

I 2022 ble det trålt i perioden 10. mai - 4. juni. Fangstene av utvandrende postsmolt laks var gode alle de 4 ukene (19-22) det ble trålt. Høyest antall ble fanget uke 20, dernest uke 19. Fangstene var betydelig lavere siste uken (22) hvor det bare ble fanget 16 laks (tabell 6). Trålingen startet noe sent, 10. mai, i forhold til estimert median utvandring for området (13. mai), hvilket kan indikere at noe fisk, spesielt fra de ytre elvene med kort avstand fra elv til trålområdet, kan ha gått ut før trålingen ble igangsatt. Hovedtyngden av laksen ble tatt i sone 1 (figur 16).

 

Kart over trålområder og figur over fangst i områdene for 2022
Figur 16. Områdene trålt etter utvandrende postsmolt laks i Hardangerfjorden, høyest innsats i område 1 (5 dager/uke), lavere i område 2 og 3 (1 dag/uke), samt kumulativ fangst av utvandrende postsmolt av laks i hvert fangstområde.

 

Andelen av laks med lus (prevalens) var på 30 % i begynnelsen av trålingen for deretter å øke til 100 % siste uken (tabell 6). Gjennomsnittlig intensitet lå mellom 3 og 15 lus/fisk, med høyest intensitet uke 21.

Uke n Vekt (range) Prevalens [KI] Intensitet [KI] % >0.1 rel.int. [KI]
19 194 20 (10-45) 30 [24-37] 3 [2-9] 8 [5-12]
20 329 22 (10-44) 69 [64-74] 4 [3-4] 40 [35-46]
21 115 24 (12-40) 94 [88-97] 15 [13-17] 86 [79-91]
22 16 24 (12-43) 100 [81-100] 9 [6-14] 94 [72-100]
Tabell 6. Infestasjon av lakselus på utvandrende laksesmolt i Hardangerfjorden. Se Tabell 2 for forklaring av verdiene.

Tråldata indikerer lavt lusepåslag den første uken, moderat den andre uken og høy de to siste ukene (figur 17). I ukene 21 og 22 hadde ca. 70% av de utvandrende postsmolt laks en relativ intensitet over 0,3 lus/g (figur 18). Merk lav n i uke 22.

 

Figur over mengde lakselus på vill postsmolt laks i 2022
Figur 17. Antall lakselus hos utvandrende postsmolt laks i Hardangerfjorden i uke 19-22.

 

 

Figur som viser fordeling av ulike nivåer av lakselus
Figur 18. Fordeling av relativ intensitet (lus/kroppsvekt i g) i kategoriene mindre enn 0,1 (gul), 0,1-1,2 (grønn), 0,2-0,3 (blå) og mer enn 0,3 (lilla) hos fisk under 150 gram i de aktuelle ukene/stasjonene

 

Vaktbur

Vaktburene var i 2022 satt ut i Hardangerfjorden i 2 perioder, 12. - 26. mai og 26. mai – 9. juni (figur 19). Det var generelt stor dødelighet på fisken i vaktburene i første periode grunnet problemer under transporten. Det mangler derfor data fra burene i ytre deler i den første runden. Vaktburene viste at i 2022 var det generelt lavt smittepress i de midtre og indre delene i den første runden (det mangler bur i de ytre delene i denne runden). I den andre runder var det generelt ett høyere smittepress, og dette inkluderer de midtre delene av fjorden.

 

Lusemengde på fisk i vaktbur i 2022
Figur 19. Snitt antall lakselus normalisert til 14 dager på vaktburene i Hardangerfjorden 2022. Punktene viser burposisjonene, grønt angir < 2, gult 2-6 og rødt > 6 lus/fisk.

 

4.4 - PO 4 Nordhordland til Stadt

I dette produksjonsområdet ble fem stasjoner undersøkt med ruser og garn i 2022 (figur 20). To av stasjonene ble undersøkt med ruser som en del av samarbeidet med Norce, henholdsvis Herdlafjorden og Herøyosen. Stasjonen Herøyosen inngår som en av fokusområdene og undersøkes derfor over et lengre tidsrom. I Sognefjorden ble stasjonene Bjordal og Balestrand undersøkt to ganger hver. Sistnevnte ligger i den nasjonale laksefjorden i Sognefjorden. I tillegg ble stasjonen Måløy, helt nord i produksjonsområdet, undersøkt to ganger. Samtlige stasjoner har vært undersøkt tidligere i NALO. Ved Herdlafjorden ble det gjort flere undersøkelser i tidsrommet 11. mai - 27. juni. I Herøyosen ble det gjort sammenhengende undersøkelser fra 23. mai til 1. juli. Bjordal ble undersøkt 24-25. mai og 14-15. juni. Balestrand ble undersøkt 26-28. mai og 16-18. juni. I Måløy ble undersøkelsene med ruser og garn gjennomført 1-3. juni og 19-24. juni.

Tråling i Sognefjorden ble utelukkende gjennomført i ytre del av fjordsystemet (figur 20). All utvandrende postsmolt fra elver lengre inn i Sognefjorden må passere dette området på vei ut til åpent hav. I Sognefjorden (PO 4) er median smoltutvandring beregnet til 15. mai. I 2022 ble trålingen i Sognefjorden gjennomført med Havforskningsinstituttets eget fartøy G.M. Dannevig i perioden 10. mai til 5. juni. Perioden er dekkende for de fleste aktuelle elver i Sognefjorden.

Det ble også gjennomført 2 runder med vaktbur i Sognefjord i 2022, 15-28. mai og 28. mai - 14. juni (figur 20). Burene sto ute i 2 runder hver på ca. 14 dager. Gitt en median utvandring av laks i uke 19 (14. mai) dekker første runden fra median dato for utvandring og de to neste ukene. Den andre perioden dekker bare sent utvandrende laks, og laks som bruker lang tid på vandringen gjennom fjorden.

 

Kart som viser stasjoner for ruser og område for tråling og vaktbur i 2022
Figur 20. Stasjonene undersøkt med ruse eller garn (røde prikker), område for postsmolttråling (røde polygoner) og plassering av vaktburene (svarte prikker) i PO4 i 2022

 

Ruse og garnfangst

I Nordhordland er stasjonen Herøyosen undersøkt sammenhengende ukene 21-26, Herdlafjorden ukene 19-26 (utenom uke 22). I Herøysosen økte prevalens fra 66 % uke 21 (tabell 7), til 100 % alle øvrige uker, mens i Herdlafjorden hadde nær all (96-100 %) ørreten lus alle de undersøkte ukene. Intensiteten økte fra 9 til 126 lus/fisk i Herøyosen ukene 21-24, var 114 uken derpå og 40 lus/fisk siste uken. Fra og med uke 23 var fangsten i Herøyosen dominert av fisk med relativ intensiteter >0.3 lus gr-1 (figur 21). I Herdlafjorden var intensiteten høyest med 60 lus/fisk første uken (19), og 48 og 51 lus/fisk de to neste ukene, og noe lavere de siste undersøkte ukene.

I Sognefjorden økte andelen av fisk med lus i Balestrand fra 33 til 57% i ukene 21 og 24 (tabell 7), mens intensiteten økte fra 17 til 40 lus/fisk. I uke 24 hadde ca. 30% av ørreten en relativ intensitet over 0,3 lus/g (figur 21). Lengre ute i fjorden, i Bjordal, hadde nær all fisken lus i ukene 21 og 24, samtidig som intensiteten var høy, 41 og 34 lus/fisk de samme ukene. Andel fisk med relativ intensitet over 0.3 lus/g var høyt begge ukene (figur 21).

Nordfjord (Måløy) ble i 2022 undersøkt ukene 22, 24 og 25. Høyest smittetrykk var i uke 22, med 100% prevalens og intensitet på 93 lus/fisk (tabell 7). I uke 24 var både prevalens og intensitet relativt lav, men begge økte igjen til uke 25.

Stasjon Uke n Vekt (range) Prevalens [KI] Intensitet [KI] % >0.1 rel.int.
Herøyosen 21 98 125 (29-561) 66 [57-75] 9 [7-12] 12 [7-20]
22 45 183 (29-1480) 100 [92-100] 25 [20-42] 67 [52-79]
23 146 123 (25-878) 100 [97-100] 63 [57-69] 96 [91-98]
24 124 109 (18-1474) 100 [97-100] 126 [113-141] 96 [91-98]
25 45 180 (22-1020) 100 [92-100] 114 [91-141] 87 [74-94]
26 48 115 (31-534) 100 [93-100] 40 [33-57] 79 [66-88]
Herdlafjorden 19 17 498 (175-2200) 100 [82-100] 60 [42-85] 59 [36-78]
20 37 364 (122-930) 100 [91-100] 48 [35-70] 51 [36-67]
21 12 511 (99-1104) 100 [76-100] 51 [28-91] 17 [5-45]
23 25 318 (16-744) 96 [80-100] 26 [18-38] 24 [11-43]
24 23 486 (40-1430) 100 [86-100] 22 [15-32] 13 [5-32]
25 12 199 (47-612) 100 [76-100] 26 [17-45] 67 [39-86]
26 5 701 (293-1430) 100 [57-100] 37 [16-55] 40 [12-77]
Balestrand 21 6 46 (38-56) 33 [10-70] 17 [2-18] 17 [1-56]
24 28 157 (18-1662) 57 [39-73] 40 [22-68] 36 [21-54]
Bjordal 21 19 179 (34-896) 100 [83-100] 41 [26-81] 74 [51-88]
24 53 157 (24-1016) 98 [90-100] 34 [26-54] 75 [62-85]
Måløy 22 13 236 (23-780) 100 [77-100] 93 [58-163] 85 [58-96]
24 14 113 (32-260) 57 [33-79] 3 [2-5] 7 [0-31]
25 69 181 (27-1402) 86 [75-92] 25 [15-56] 39 [28-51]
Tabell 7. Infestasjon av lakselus på sjøørret i PO 4. Se Tabell 2 for forklaring av verdiene.

 

Figur som viser fordeling av ulike nivåer av lakselus
Figur 21. Fordeling av relativ intensitet (lus/kroppsvekt i g) i kategoriene mindre enn 0,1 (gul), 0,1-1,2 (grønn), 0,2-0,3 (blå) og mer enn 0,3 (lilla) hos fisk under 150 gram i de aktuelle ukene/stasjonene

 

Ser en på stadiefordelingen av lus utgjør de fastsittende stadiene hovedtyngden av lus første uken stasjonen er undersøkt, og dominerer oftest også senere, selv om en da også ser en økning i antall bevegelige lus (figur 22).

 

Figurer som viser mengde lakselus på sjøørret i 2022
Figur 22. Antall lakselus (A), relativt antall lus (antall lus/gram kroppsvekt) (B) og antall lakselus fordelt på fastsittende og bevegelige stadier (C) fra sjøørret på stasjonene i PO4.

 

Postsmolttråling

Det ble i 2022 trålt etter postsmolt av laks i Sognefjorden over 4 uker fra 10. mai til 3. juni, ukene 19-22. Størst fangst var i uke 21 (n=74), noe lavere de øvrige ukene (n mellom 28 og 39) (figur 23). Fangsten var derfor noe bedre enn i 2021. Det ble bare trålt i område 1 i 2022.

 

Kart over trålområder og figur over fangst i områdene for 2022
Figur 23. Områdene trålt etter utvandrende postsmolt laks i Sognefjorden, samt kumulativ fangst av utvandrende postsmolt av laks. I 2022 ble det bare trålt i område 1.

 

Andelen av laks med lus (prevalens) var over 90 % i begynnelsen av trålingen for deretter å falle til 72 % uke 21, men økte deretter til 100% siste uken (tabell 8). Gjennomsnittlig intensitet lå mellom 25 og 18 lus/fisk de to første ukene, og 4-8 lus/fisk de to siste ukene.

Uke n Vekt (range) Prevalens [KI] Intensitet [KI] % >0.1 rel.int. [KI]
19 39 22 (14-38) 92 [80-97] 25 [19-32] 85 [70-93]
20 28 20 (14-32) 96 [82-100] 18 [12-28] 89 [73-96]
21 74 21 (12-40) 72 [60-81] 4 [3-6] 35 [25-46]
22 36 22 (12-33) 100 [90-100] 8 [6-10] 92 [78-97]
Tabell 8. Infestasjon av lakselus på utvandrende laksesmolt i Sognefjorden. Se Tabell 2 for forklaring av verdiene.

Tråldata indikerer et høyt lusepåslag i de to første samt siste uken (19-20, 22), moderat i uke 21 (figur 24 og 25). Første trålhal ble som i 2021 gjort 10. mai, men avsluttet 3. juni (siste var 13. juni i 2021). Det betyr at trålingen startet omtrent 4 dager før estimert median utvandring for området (uke 19, 14. mai). Siden fisk fra de store indre elvene i tillegg trenger ca. 10 dager på vandringen fra elv til trålområde, betyr det at trålingen bør fange opp fisk som har vandret fra ca. 1. mai. Vi anser derfor at trålperioden er dekkende for utvandringen. Da trålingen er avsluttet 3. juni, vil utvandring frem til ca. 24. mai trolig dekkes av trålperioden.

 

Figur over mengde lakselus på vill postsmolt laks i 2022
Figur 24. Antall lakselus hos utvandrende postsmolt laks i Sognefjorden i uke 19-22.

 

 

Figur som viser fordeling av ulike nivåer av lakselus
Figur 25. Fordeling av relativ intensitet (lus/kroppsvekt i g) i kategoriene mindre enn 0,1 (gul), 0,1-1,2 (grønn), 0,2-0,3 (blå) og mer enn 0,3 (lilla) hos fisk under 150 gram i de aktuelle ukene/stasjonene

 

Vaktbur

Vaktburene var i 2022 satt ut i Sognefjorden i 2 perioder, 15-28. mai og 28. mai - 14. juni (figur 26). Vaktburene i Sognefjorden viste et generelt høyt smittepress i de midtre og indre delene i den første runden. I den andre runder var det generelt moderat smittepress, og lavt i de ytre delene, men det observeres høyt smittepress på ett av de innerste burene.

 

Lusemengde på fisk i vaktbur i 2022
Figur 26. Snitt antall lakselus normalisert til 14 dager på vaktburene i Sognefjorden 2022. Punktene viser burposisjonene, grønt angir < 2, gult 2-6 og rødt > 6 lus/fisk.

 

4.5 - PO 5 Stadt til Hustadvika

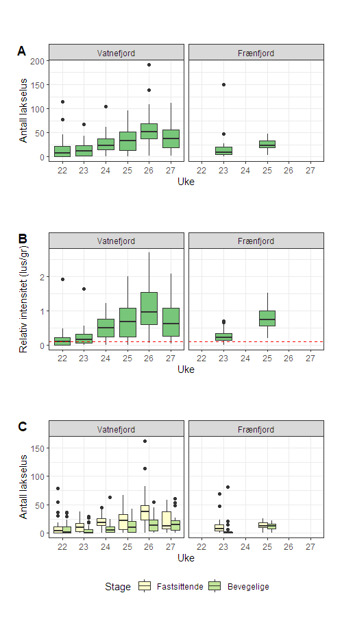
I dette produksjonsområdet ble to stasjoner undersøkt med ruser og garn i 2022 (figur 27). Begge stasjonene er lokalisert i den nordlige delen av området i forbindelse med Romsdalsfjorden. Overvåkingen av begge stasjonene inngår som en del av samarbeidet med Norsk institutt for naturforskning (NINA). Vatnefjorden i Ålesund kommune er den sørligste av disse stasjonene og inngår også som en av fokusområdene med lengre sammenhengende overvåking. Frænfjorden nord for Molde ble i tillegg undersøkt med ruse/garn to ganger. Begge stasjonene er tidligere undersøkt i forbindelse med NALO. Overvåkingen i Vatnefjorden ble gjennomført fra 30. mai til 10. juli. I Frænfjorden ble det gjort undersøkelser 6-7. juni og 20-21. juni.

Det ble trålt etter utvandrende postsmolt av laks i ytre del av Romsdalsfjorden, hovedsakelig vest for Molde og i Midsundet på sørsiden av Otrøya (figur 27). To dager per uke ble det også trålt i Julsundet på østsiden av Otrøya. Området skal til sammen dekke ytre del av vandringsrutene for aktuelle bestander fra fjordene innenfor. I Romsdalsfjorden (PO 5) er median smoltutvandring beregnet til 17. mai. I 2022 ble trålingen i Romsdalsfjorden gjennomført med leieskipet Brattholmen fra 19. mai til 13. juni. Perioden er dekkende for de fleste aktuelle elver i denne delen av produksjonsområdet. Tidlig utvandrende fisk fra de ytre elvene blir imidlertid ikke fanget opp ved tråling i dette tidsrommet.

 

Kart over områder for postsmolttråling i 2022
Figur 27. Stasjonene undersøkt med ruse eller garn (røde prikker), område for postsmolttråling (røde polygoner) og plassering av vaktburene (svarte prikker) i PO5 i 2022.

 

Ruse og garnfangst

I 2022 er Vatnefjorden undersøkt sammenhengende ukene 22-27, og Frænfjorden i ukene 23 og 25. Prevalens på ørreten fanget i Vatnefjord økte gradvis fra 71% i uke 22, med høyest prevalens (100%) i ukene 26-27 (tabell 9). Prevalens var også høy i Frænfjorden begge ukene. Lusepåslaget var generelt høyt i begge stasjonene alle ukene (figur 28 og 29). Stadiefordelingen av lus på den rusefangete sjøørreten viser at de fastsittende stadiene dominerer i alle uttakene (figur 29).

Stasjon Uke n Vekt (range) Prevalens [KI] Intensitet [KI] % >0.1 rel.int
Vatnefjord 22 31 133 (22-933) 71 [53-84] 25 [16-42] 50 [33-67]
23 36 88 (10-771) 89 [75-96] 17 [12-23] 64 [48-78]
24 32 71 (23-611) 94 [80-98] 31 [24-40] 88 [72-95]
25 58 68 (24-765) 90 [79-95] 38 [32-45] 79 [67-88]
26 49 73 (25-340) 100 [93-100] 56 [48-67] 96 [86-99]
27 23 68 (29-283) 100 [86-100] 39 [28-53] 87 [68-95]
Frænfjord 23 58 73 (12-894) 97 [88-99] 15 [11-24] 79 [67-88]
25 33 33 (15-56) 100 [90-100] 25 [21-28] 100 [90-100]
Tabell 9. Infestasjon av lakselus på sjøørret i PO 5. Se Tabell 2 for forklaring av verdiene.

 

Figur som viser fordeling av ulike nivåer av lakselus
Figur 28. Fordeling av relativ intensitet (lus/kroppsvekt i g) i kategoriene mindre enn 0,1 (gul), 0,1-1,2 (grønn), 0,2-0,3 (blå) og mer enn 0,3 (lilla) hos fisk under 150 gram i de aktuelle ukene/stasjonene

 

 

Figurer som viser mengde lakselus på sjøørret i 2022
Figur 29. Antall lakselus (A), relativt antall lus (antall lus/gram kroppsvekt) (B) og antall lakselus fordelt på fastsittende og bevegelige stadier (C) fra sjøørret på stasjonene i PO5.

 

Postsmolttråling

Det ble trålt i Romsdalsfjorden fra 19. mai til 13. juni, ukene 20-23. Trålhalene ble tatt i ytre deler (figur 30), og anses som relativt godt egnet til å vurdere smittepress på laksesmolten. Antall fangstet var lavt, totalt 46 laks.

 

Kart over trålområder og figur over fangst i områdene for 2022
Figur 30. Områdene trålt etter utvandrende postsmolt laks i Romsdalsfjorden, høyest innsats i område 1 (5 dager/uke), lavere i område 2 (2 dag/uke), samt kumulativ fangst av utvandrende postsmolt av laks i hvert fangstområde.

 

Prevalens på den trålfangete fisken var mellom 25 og 62%, høyest siste tråluke (tabell 10). Intensitet var relativt lav alle ukene (2-3 lus/fisk).

Uke n Vekt (range) Prevalens [KI] Intensitet [KI] % >0.1 rel.int. [KI]
20 17 20 (15-33) 35 [17-59] 2 [1-2] 6 [0-27]
21 12 18 (11-31) 42 [19-68] 2 [1-2] 17 [5-45]
22 4 20 (18-21) 25 [1-70] 3 [3-3] 25 [1-70]
23 13 21 (16-29) 62 [36-82] 2 [2-4] 15 [4-42]
Tabell 10. Infestasjon av lakselus på utvandrende laksesmolt i Romsdalsfjorden. Se Tabell 2 for forklaring av verdiene.

Lusepåslag i ukene 20-22 estimeres til lavt, litt høyere i siste tråluken (figur 31 og 32). Det observerte lusepåslaget er lavere enn i 2021, og omtrent som estimatene i 2020.

 

Figur over mengde lakselus på vill postsmolt laks i 2022
Figur 31. Antall lakselus hos utvandrende postsmolt laks i Romsdalsfjorden i uke 20-23.

 

 

Figur som viser fordeling av ulike nivåer av lakselus
Figur 32. Fordeling av relativ intensitet (lus/kroppsvekt i g) i kategoriene mindre enn 0,1 (gul), 0,1-1,2 (grønn), 0,2-0,3 (blå) og mer enn 0,3 (lilla) hos fisk under 150 gram i de aktuelle ukene/stasjonene

 

4.6 - PO 6 Nordmøre og Sør-Trøndelag

I dette produksjonsområdet ble to stasjoner undersøkt med ruser og garn i 2022 (figur 33). Den ene stasjonen, Agdenes, er lokalisert i ytre del av Trondheimsfjorden. Den andre stasjonen er lokalisert på Hitra noe lengre vest. Overvåkingen av begge stasjonene inngår som en del av samarbeidet med Norsk institutt for naturforskning (NINA). Stasjonen Agdenes er en av fokusområdene med lengre sammenhengende overvåking. Stasjonen på Hitra ble undersøkt med ruse/garn to ganger. Ingen av stasjonene er lokalisert i en nasjonal laksefjord, men Agdenes ligger like utenfor den store nasjonale laksefjorden i Trondheimsfjorden. Begge stasjonene er undersøkt tidligere i NALO. Overvåkingen ved Agdenes ble gjennomført fra 30. mai til 6. juli. På Hitra ble det gjort undersøkelser 9-10. juni og 23-24. juni.

Det ble trålt etter utvandrende postsmolt av laks i ytre delen av Trondheimsfjorden, noe lengre ut på kysten enn tidligere år for å fange opp eventuell smitte i de mest utsatte områdene utenfor selve fjordsystemet (figur 33). Når forholdene tillater det, foregår trålingen hovedsakelig i sørlige del av Frohavet øst for Hitra og Frøya. Dette området fanger opp utvandrende postsmolt fra et større område inkludert elvene i Trondheimsfjorden, men også potensielt fra elver på Nordmøre. I Trøndelag (PO 6) er median smoltutvandring beregnet til 21. mai. I 2022 ble trålingen gjennomført med leieskipet Sandy fra 19. mai til 13 juni. Perioden er dekkende for de fleste aktuelle elver i dette området. Tidlig utvandrende fisk fra de ytre elvene blir imidlertid ikke fanget opp ved tråling i denne perioden.

 

Kart over områder for postsmolttråling i 2022
Figur 33. Stasjonene undersøkt med ruse eller garn (røde prikker) og område for postsmolttråling (røde polygoner) i PO6 i 2022.

 

Ruse og garnfangst

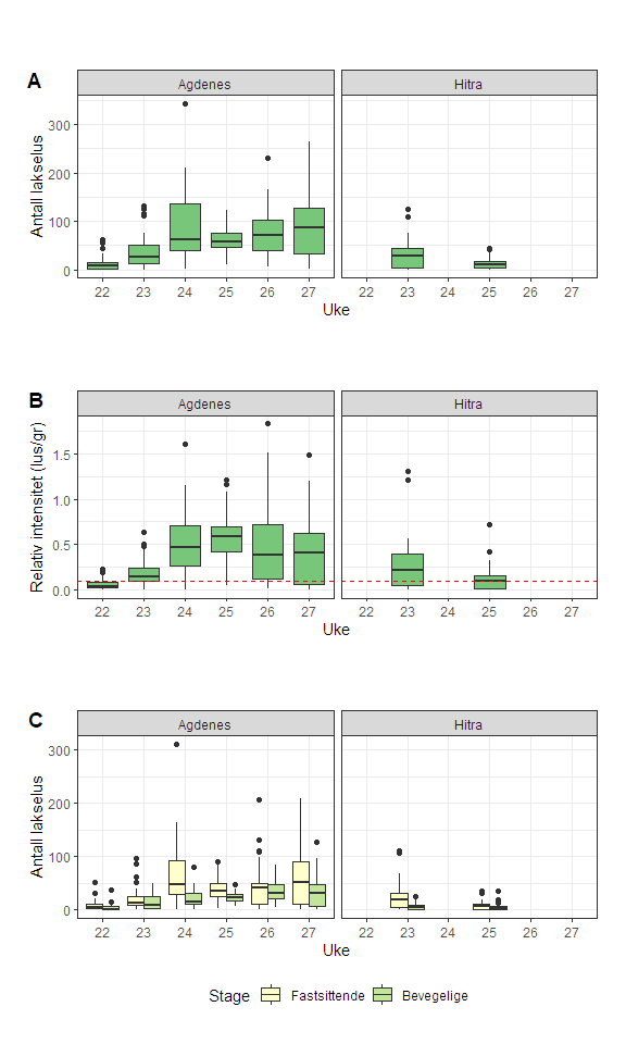
Agdenes er som tidligere år undersøkt, i 2022 ukene 22-27, i tillegg er Hitra undersøkt ukene 23 og 25. Ved Agdenes økte prevalens fra 86 til 100 % i løpet av to uker (tabell 11), mens intensiteten økte fra 15 til 88 lus/fisk, og forble høy deretter (mellom 63 og 90 lus/fisk). Ved Hitra var prevalens 93-97%, og intensiteten avtok fra 33 lus/fisk uke 23 til 13 lus/fisk uke 25.

Stasjon Uke n Vekt (range) Prevalens [KI] Intensitet [KI] % >0.1 rel.int.
Agdenes 22 29 284 (36-1503) 86 [69-95] 15 [10-24] 21 [10-38]
23 39 207 (48-725) 97 [87-100] 38 [29-51] 69 [54-81]
24 34 245 (38-1072) 100 [90-100] 88 [69-118] 91 [77-97]
25 51 151 (24-2220) 100 [93-100] 63 [56-71] 98 [90-100]
26 52 333 (28-2250) 100 [93-100] 76 [64-91] 76 [62-85]
27 42 396 (49-3867) 100 [92-100] 90 [71-112] 62 [47-75]
Hitra 23 30 133 (30-500) 97 [83-100] 33 [23-47] 66 [47-80]
25 56 196 (55-1436) 93 [83-97] 13 [11-17] 44 [31-57]
Tabell 11. Infestasjon av lakselus på sjøørret i PO 6. Se Tabell 2 for forklaring av verdiene.

Lusepåslag ved Agdenes var moderat i uke 22 og høy i ukene 23 til 27 (figurene 34 og 35). Mønsteret er mye tilsvarende hva som er observert årene 2016-2021. Ved Hitra var lusepåslag høy i uke 23 og noe mer moderat i uke 25 (figurene 34 og 35). Fordelingen av lus på sjøørreten fanget med ruse og garn viser en økning i fastsittende stadier fra uke 24 (figur 35). Ved Hitra dominerer de fastsittende stadiene i første undersøkte uke.

 

Figur som viser fordeling av ulike nivåer av lakselus
Figur 34. Fordeling av relativ intensitet (lus/kroppsvekt i g) i kategoriene mindre enn 0,1 (gul), 0,1-1,2 (grønn), 0,2-0,3 (blå) og mer enn 0,3 (lilla) hos fisk under 150 gram i de aktuelle ukene/stasjonene

 

 

Figurer som viser mengde lakselus på sjøørret i 2022
Figur 35. Antall lakselus (A), relativt antall lus (antall lus/gram kroppsvekt) (B) og antall lakselus fordelt på fastsittende og bevegelige stadier (C) fra sjøørret på stasjonene i PO6.

 

Postsmolttråling

Det ble trålt i Trondheimsfjorden fra 18. mai til 12. juni, ukene 20-23. Median dato for utvandring i dette området er uke 20, sammenfallende med start på trålingen. Fangstene var jevnt gode ukene 20, 22 og 23 med mellom 101 og 141 laks, lavere uke 21 (figur 36). Tidligere undersøkelser viser at størst fangst oppnås oftest i ukene 21-22, men enkelte år (2021) i uke 20. Trålperioden ser derfor ut til å ha truffet relativt godt på smoltutvandringen i området, men fangstdata indikerer at de tidligst utvandrende kan ha gått ut før trålingen ble igangsatt.

 

Kart over trålområder og figur over fangst i områdene for 2022
Figur 36. Områdene trålt etter utvandrende postsmolt laks i Trondheimsfjorden, innsatsen i område 3 er prioritert, men når været ikke tillot det tråles det i sone 1 og 2.

 

Prevalens på den trålfangete laksen var relativt lav ukene 20-22 (5-9 %), noe høyere (23%) siste uken (tabell 12). Intensiteten var lav alle ukene (1-2 lus/fisk), men også her høyest siste uken.

Uke n Vekt (range) Prevalens [KI] Intensitet [KI] % >0.1 rel.int. [KI]
20 101 17 (8-47) 6 [3-12] 1 [1-2] 2 [1-7]
21 37 15 (8-24) 5 [1-18] 1 [1-1] 3 [0-14]
22 141 17 (9-45) 9 [5-15] 1 [1-1] 1 [0-4]
23 131 15 (7-34) 23 [17-31] 2 [2-3] 10 [6-16]
Tabell 12. Infestasjon av lakselus på utvandrende laksesmolt i Trondheimsfjorden. Se Tabell 2 for forklaring av verdiene.

Lusepåslag på utvandrende postsmolt var lav i alle de trålte ukene (figurene 39 og 40), men noe høyere siste tråluken. Dette er tilsvarende som undersøkelsene 2016-2021 for samme tidsperiode.

 

Figur over mengde lakselus på vill postsmolt laks i 2022
Figur 37. Antall lakselus hos utvandrende postsmolt laks i Trondheimsfjorden i uke 20-23.

 

 

Figur som viser fordeling av ulike nivåer av lakselus
Figur 38. Fordeling av relativ intensitet (lus/kroppsvekt i g) i kategoriene mindre enn 0,1 (gul), 0,1-1,2 (grønn), 0,2-0,3 (blå) og mer enn 0,3 (lilla) hos fisk under 150 gram i de aktuelle ukene/stasjonene

 

4.7 - PO 7 Nord-Trøndelag med Bindal

Én stasjon ble undersøkt med ruse/garn i dette produksjonsområdet i 2022. Stasjonen Sitter i Flatanger kommune (figur 39) er lokalisert sør for den nasjonale laksefjorden Namsenfjorden og har vært undersøkt i NALO tidligere år. I 2022 ble det gjennomført undersøkelser med ruser/garn 15-16. juni og 28-29. juni. Det er ikke benyttet vaktbur eller trålt etter utvandrende laksesmolt i PO 7. I dette området regner en at 50% av fisken har utvandret i uke 21 (29. mai).

 

Kart over rusestasjoner i 2022
Figur 39. Stasjonene undersøkt med ruse eller garn (røde prikker) i PO7 i 2022.

 

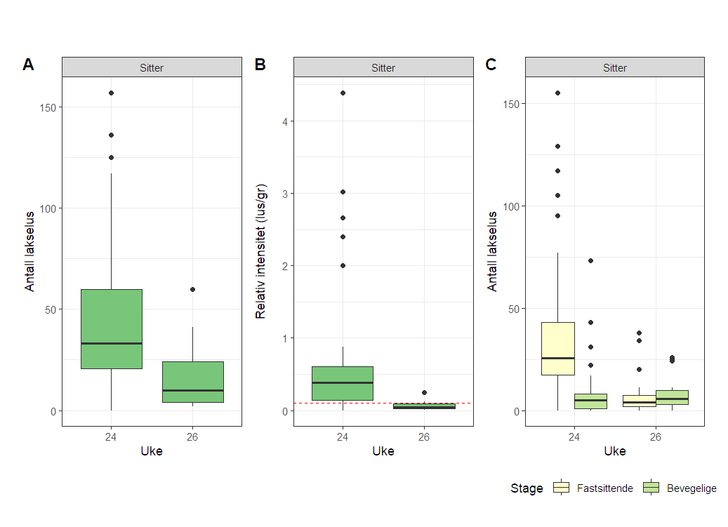
Stasjonen Sitter sør for innløpet til Namsfjorden ble undersøkt i ukene 24 og 26. Prevalens var høy begge ukene (93-100 %) (tabell 13). Intensiteten var 48 lus/fisk uke 24, noe lavere uke 26 (16 lus/fisk).

Stasjon Uke n Vekt (range) Prevalens [KI] Intensitet [KI] % >0.1 rel.int.
Sitter 24 46 191 (29-1275) 93 [82-98] 48 [39-61] 83 [69-91]
26 22 419 (40-1184) 100 [85-100] 16 [11-23] 18 [7-39]
Tabell 13. Infestasjon av lakselus på sjøørret i PO 7. Se Tabell 1 for forklaring av verdiene.

Data fra garn/ruse indikerer høyt lusepåslag i første periode (uke 24) og moderat i andre periode (uke 26) (figurene 40 og 41). I uke 24 var fordelingen av lus på sjøørreten dominert av de fastsittende stadiene (figur 41), mens i uke 26 var det jevnere fordelt mellom fastsittende og bevegelige stadier. Dette indikere relativt høyere smittepress uke 24 enn i uke 26.

 

Figur som viser fordeling av ulike nivåer av lakselus
Figur 40. Fordeling av relativ intensitet (lus/kroppsvekt i g) i kategoriene mindre enn 0,1 (gul), 0,1-1,2 (grønn), 0,2-0,3 (blå) og mer enn 0,3 (lilla) hos fisk under 150 gram i de aktuelle ukene/stasjonene

 

 

Figurer som viser mengde lakselus på sjøørret i 2022
Figur 41. Antall lakselus (A), relativt antall lus (antall lus/gram kroppsvekt) (B) og antall lakselus fordelt på fastsittende og bevegelige stadier (C) fra sjøørret på stasjonene i PO7.

 

4.8 - PO 8 Helgeland til Bodø

Én stasjon ble undersøkt med ruse/garn i dette produksjonsområdet i 2022. Stasjonen Leirfjord er lokalisert øst for Sandnessjøen og ligger inne i den nasjonale laksefjorden Vefsnfjorden (figur 42). Leirfjord har vært undersøkt i NALO tidligere år. I 2022 ble det gjennomført undersøkelser med ruser/garn 17-18. juni og 1-2. juli. Det er ikke benyttet vaktbur eller trålt etter utvandrende laksesmolt i PO 8. Her regner en at 50% av fisken har utvandret i uke 22 (3. juni).

 

Kart over rusestasjoner i 2022
Figur 42. Stasjonene undersøkt med ruse eller garn (røde prikker) i PO8 i 2022.

 

Ruse og garnfangst

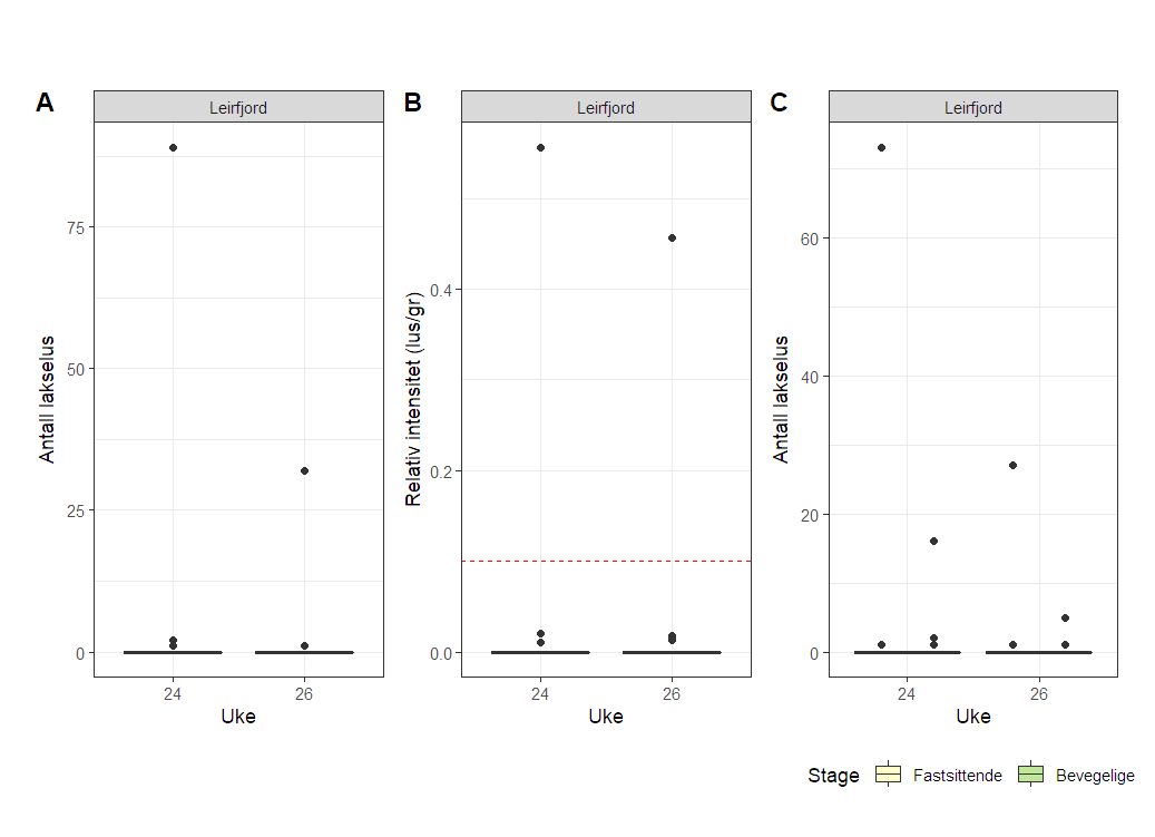
Prevalens på fisken fanget i Leirfjord var begge de undersøkte ukene lav, 12-15%, mens intensitet var 9-23 lus/fisk (tabell 14).

Stasjon Uke n Vekt (range) Prevalens [KI] Intensitet [KI] % >0.1 rel.int.
Leirfjord 24 33 102 (28-1197) 12 [5-27] 23 [1-67] 3 [0-15]
26 26 121 (22-742) 15 [6-34] 9 [1-16] 4 [0-19]
Tabell 14. Infestasjon av lakselus på sjøørret i PO 8. Se Tabell 2 for forklaring av verdiene.

Data fra garn/ruse indikerer lavt lusepåslag i begge periodene (uke 24 og 26) (figurene 43 og 44). Det er få fisk med lus, og fordelingen av lus på fisk er svært variabel, men indikerer lavt smittepress i perioden undersøkt (figur 44). Dette er tilsvarende som tidligere år på denne stasjonen.

 

Figur som viser fordeling av ulike nivåer av lakselus
Figur 43. Fordeling av relativ intensitet (lus/kroppsvekt i g) i kategoriene mindre enn 0,1 (gul), 0,1-1,2 (grønn), 0,2-0,3 (blå) og mer enn 0,3 (lilla) hos fisk under 150 gram i de aktuelle ukene/stasjonene

 

 

Figurer som viser mengde lakselus på sjøørret i 2022
Figur 44. Antall lakselus (A), relativt antall lus (antall lus/gram kroppsvekt) (B) og antall lakselus fordelt på fastsittende og bevegelige stadier (C) fra sjøørret på stasjonene i PO8.

 

4.9 - PO 9 Vestfjorden og Vesterålen

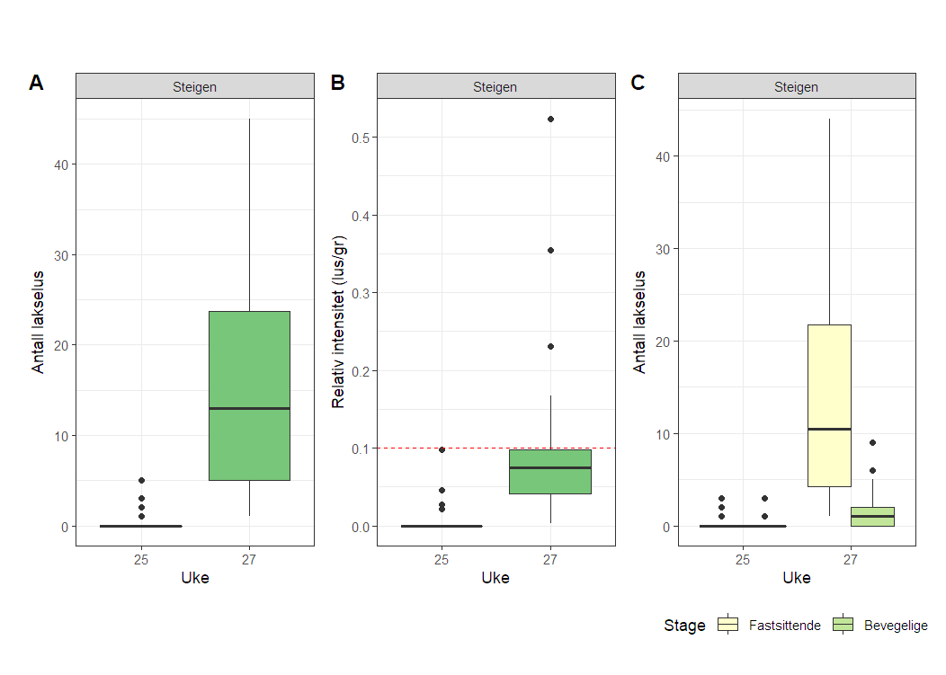
Én stasjon ble undersøkt med ruse/garn i dette produksjonsområdet i 2022. Stasjonen Steigen er lokalisert i Skottfjorden i den vestlige delen av kommunen Steigen (figur 45). Stasjonen ligger ikke i eller i nærheten av noen nasjonale laksefjorder. Stasjonen er undersøkt tidligere i forbindelse med NALO. I 2022 ble det gjennomført undersøkelser med ruser/garn i Steigen 20-21. juni og 4-5. juli. Det er ikke benyttet vaktbur eller trålt etter utvandrende laksesmolt i PO 9. I dette området regner en at 50% av laksesmolt har utvandret i uke 22 (5. juni).

 

Kart over rusestasjoner i 2022
Figur 45. Stasjonene undersøkt med ruse eller garn (røde prikker) i PO9 i 2022.

 

Ruse og garnfangst

Første fangstuken (uke 25) hadde 22% av fisken lus, og intensiteten var 3 lus/fisk (tabell 15). To uker senere hadde all fisken lus, og intensiteten var økt til 16 lus/fisk.

Stasjon Uke n Vekt (range) Prevalens [KI] Intensitet [KI] % >0.1 rel.int.
Steigen 25 23 50 (30-74) 22 [10-42] 3 [2-4] 0 [0-14]
27 34 259 (36-1248) 100 [90-100] 16 [12-21] 24 [12-40]
Tabell 15. Infestasjon av lakselus på sjøørret i PO 9. Se Tabell 1 for forklaring av verdiene.

Data fra garn/ruse indikerer lavt lusepåslag i første periode (uke 25) og moderat i andre periode (uke 27) (figurene 46 og 47). Fordelingen av lus viser at de fastsittende stadiene dominerer lusepopulasjonen i uke 27 (figur 47), som indikerer et høyt smittepress noe etter smoltutvandringen.

 

Figur som viser fordeling av ulike nivåer av lakselus
Figur 46. Fordeling av relativ intensitet (lus/kroppsvekt i g) i kategoriene mindre enn 0,1 (gul), 0,1-1,2 (grønn), 0,2-0,3 (blå) og mer enn 0,3 (lilla) hos fisk under 150 gram i de aktuelle ukene/stasjonene

 

 

Figurer som viser mengde lakselus på sjøørret i 2022
Figur 47. Antall lakselus (A), relativt antall lus (antall lus/gram kroppsvekt) (B) og antall lakselus fordelt på fastsittende og bevegelige stadier (C) fra sjøørret på stasjonene i PO9.

 

4.10 - PO 10 Andøya til Senja

To stasjoner ble undersøkt med ruse/garn i dette produksjonsområdet i 2022. Stasjonen Finnsnes er lokalisert i Laksfjorden i Senja kommune (figur 48). Stasjonen Løksebotn er innerst i Astafjorden i Salangen kommune. Ingen av stasjonene ligger i eller i nærheten av noen nasjonale laksefjorder. Begge er undersøkt tidligere i forbindelse med NALO. I 2022 ble det gjennomført undersøkelser med ruser/garn ved Finnsnes 23-24. juni og 7-9. juli. Løksebotn ble kun undersøkt 7-8 juli. Det er ikke satt ut vaktbur eller trålt etter utvandrende postsmolt av laks i PO 10. I dette området regner en at 50% av fisken har utvandret i uke 23 (8. juni).

 

Kart over rusestasjoner i 2022
Figur 48. Stasjonene undersøkt med ruse eller garn (røde prikker) i PO10 i 2022.

 

Ruse og garnfangst

Lusepåslaget var lavt i uke 27 i Løksebotn (tabell 16; figurene 49 og 50). I Finnsnes var lusepåslaget lavt i uke 25 og høyt i uke 27 (tabell 16; figurene 49 og 50). Fordelingen av lus på fisken fanget i uke 27 i Løksebotn viser at de fastsittende stadiene dominerer, mens ved Finnsnes er det noe mer fastsittende enn bevegelige uke 27 (figur 50).

Stasjon Uke n Vekt (range) Prevalens [KI] Intensitet [KI] % >0.1 rel.int.
Løksebotn 27 31 196 (38-1408) 48 [32-65] 5 [3-10] 3 [0-16]
Finnsnes 25 31 78 (37-202) 3 [0-16] 1 [1-1] 0 [0-11]
27 60 225 (14-1436) 100 [94-100] 24 [18-30] 50 [38-62]
Tabell 16. Infestasjon av lakselus på sjøørret i PO 10. Se Tabell 2 for forklaring av verdiene.

 

Figur som viser fordeling av ulike nivåer av lakselus
Figur 49. Fordeling av relativ intensitet (lus/kroppsvekt i g) i kategoriene mindre enn 0,1 (gul), 0,1-1,2 (grønn), 0,2-0,3 (blå) og mer enn 0,3 (lilla) hos fisk under 150 gram i de aktuelle ukene/stasjonene

 

 

Figurer som viser mengde lakselus på sjøørret i 2022
Figur 50. Antall lakselus (A), relativt antall lus (antall lus/gram kroppsvekt) (B) og antall lakselus fordelt på fastsittende og bevegelige stadier (C) fra sjøørret på stasjonene i PO10.

 

4.11 - PO 11 Kvaløya til Loppa

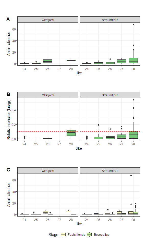
To stasjoner innenfor et mindre område ble undersøkt i dette produksjonsområdet i 2022. Begge stasjonene var inkludert det nordlige fokusområdet Reisa, og var lokalisert i Oksfjorden og Straumfjorden, begge i Nordreisa kommune (figur 51). Stasjonene ble undersøkt mer eller mindre sammenhengende over en periode på flere uker. Begge stasjonene er lokalisert innenfor den nasjonale laksefjorden Reisafjorden og har vært undersøkt i NALO tidligere år. I Oksfjorden ble det gjort undersøkelser i tidsrommet 15. juni - 19. Juli, Straumfjorden 17. juni - 21 juli. Det er ikke benyttet vaktbur eller trålt etter utvandrende laksesmolt i PO 11. I dette området regner en at 50% av fisken har utvandret i uke 24 (15. juni).

 

Kart over rusestasjoner i 2022
Figur 51. Stasjonene undersøkt med ruse eller garn (røde prikker) i PO11 i 2022.

 

Ruse og garnfangst

I Oksfjord økte prevalens ukene 24-28 fra 15 til 100 % (men merk svært lav N), mens intensiteten økte fra 1 til 6 lus/fisk (tabell 17). I Straumfjord økte prevalens i ukene 24-28 fra 16 til 78%, mens intensiteten økte fra 1 til 9 lus/fisk.

Stasjon Uke n Vekt (range) Prevalens [KI] Intensitet [KI] % >0.1 rel.int.
Oksfjord 24 13 103 (20-286) 15 [4-42] 1 [1-1] 0 [0-23]
25 7 299 (77-871) 43 [16-75] 2 [1-2] 0 [0-35]
26 6 638 (190-1400) 100 [61-100] 5 [3-7] 0 [0-39]
28 3 424 (46-1175) 100 [44-100] 6 [4-7] 33 [2-79]
Straumfjord 24 98 154 (24-3880) 16 [10-25] 1 [1-2] 0 [0-4]
25 92 150 (21-3040) 57 [46-66] 2 [2-2] 2 [1-8]
26 36 149 (36-1416) 69 [53-82] 3 [2-4] 3 [0-15]
27 17 157 (42-1060) 76 [53-90] 5 [3-7] 12 [3-34]
28 67 131 (33-2400) 78 [66-86] 9 [7-14] 27 [18-39]
Tabell 17. Infestasjon av lakselus på sjøørret i PO 11. Se Tabell 1 for forklaring av verdiene. Merk lav n enkelte uker.

Data fra begge stasjoner indikerer lavt men økende lusepåslag fra uke 24 (figurene 52 og 53). I uke 28 indikerer data fra Straumfjorden et moderat lusepåslag. Dette ble ikke observert i Oksfjorden, men antall undersøkte fisk fra dette området var svært lavt. Fordelingen av lus viser at de fastsittende stadiene dominerer i ukene 26 og 28 i Oksfjord, ellers er fordelingen av fastsittende og mobile relativt like (figur 53). Dette indikerer at det høyeste smittepresset er relativt sent.

 

Figur som viser fordeling av ulike nivåer av lakselus
Figur 52. Fordeling av relativ intensitet (lus/kroppsvekt i g) i kategoriene mindre enn 0,1 (gul), 0,1-1,2 (grønn), 0,2-0,3 (blå) og mer enn 0,3 (lilla) hos fisk under 150 gram i de aktuelle ukene/stasjonene

 

 

Figurer som viser mengde lakselus på sjøørret i 2022
Figur 53. Antall lakselus (A), relativt antall lus (antall lus/gram kroppsvekt) (B) og antall lakselus fordelt på fastsittende og bevegelige stadier (C) fra sjøørret på stasjonene i PO11.

 

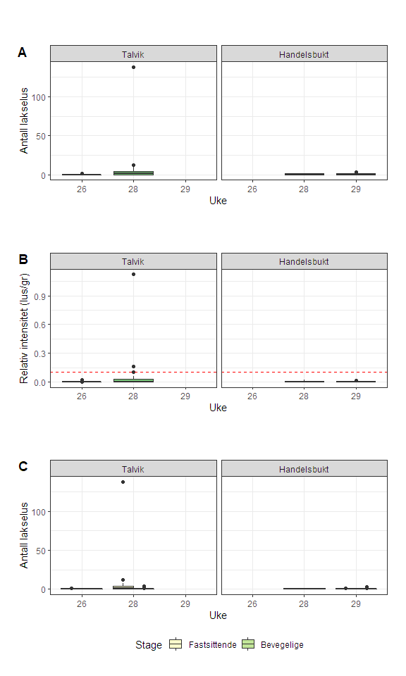
4.12 - PO 12 Vest Finnmark

To stasjoner ble undersøkt med ruse/garn i dette produksjonsområdet i 2022. Stasjonen Talvik er lokalisert i indre del av Altafjorden i Alta kommune (figur 54). Stasjonen Handelsbukt er lokalisert i indre del av Porsangerfjorden i Porsanger kommune. Talvik er inne i den nasjonale laksefjorden Altafjorden og Handelsbukt er i den nasjonale laksefjorden Porsanger. Begge stasjoner er undersøkt tidligere i forbindelse med NALO. I 2022 ble det gjennomført to undersøkelser med garn i Talvik, henholdsvis 1-2. juli og 13-14. juli. I Handelsbukt ble det kun gjennomført én undersøkelse med garn, 17-19 juli.

Det ble trålt etter utvandrende laks i ytre del av Altafjorden (figur 54). Dette blir vanligvis gjennomført i Stjernsundet, Rognsundet og Vargsundet, de tre aktuelle vandringsrutene for laks fra elver lengre inn i Altafjorden. Data fra undersøkelser av vandringsruter for Altalasen indikerer at Stjernsundet er mest benyttet (Jensen m.fl. 2022). Innsatsen i 2022 ble derfor konsentrert til dette sundet. I Altafjorden (PO12) er median smoltutvandring beregnet til 24. juni. I 2022 ble trålingen gjennomført med leieskipet Sandy i perioden 21. juni til 18. juli. Perioden er dekkende for de fleste aktuelle elver i dette området. Tidlig utvandrende fisk fra de ytre elvene blir imidlertid ikke fanget opp ved tråling i denne perioden.

 

Kart over rusestasjoner i 2022
Figur 54. Stasjonene undersøkt med ruse eller garn (røde prikker) og område for postsmolttråling (røde polygoner) i PO12 i 2022.

 

Ruse og garnfangst

Sjøørret/røye fanget ved Talvik i Altafjorden hadde lav prevalens uke 26, men denne økte til 58% to uker etterpå (tabell 18). Intensiteten var hhv. 7 og 10 lus/fisk (men merk relativt høye snittvekter på fisken). I Handelsbukt i Porsangerfjorden var prevalens 38-29 % ukene 28 og 29, mens intensiteten var lav (1-2 lus/fisk) begge ukene.

Stasjon Uke n Vekt (range) Prevalens [KI] Intensitet [KI] % >0.1 rel.int.
Talvik 26 30 317 (35-1735) 7 [2-21] 1 [1-1] 0 [0-11]
28 43 333 (40-1737) 58 [43-72] 10 [4-32] 5 [1-15]
Handelsbukt 28 8 152 (50-346) 38 [14-69] 1 [1-1] 0 [0-32]
29 25 224 (60-590) 28 [14-48] 2 [1-2] 0 [0-13]
Tabell 18. Infestasjon av lakselus på sjøørret i PO 12. Se Tabell 1 for forklaring av verdiene. Merk lav n enkelte uker.

Observasjonene fra ruse og garn indikerer et generelt lavt lusepåslag i Talvik og Handelsbukt i 2022 (figurene 55 og 56). Fordelingen av lus på fisken i Talvik domineres av de fastsittende uke 28 (figur 56).

 

Figur som viser fordeling av ulike nivåer av lakselus
Figur 55. Fordeling av relativ intensitet (lus/kroppsvekt i g) i kategoriene mindre enn 0,1 (gul), 0,1-1,2 (grønn), 0,2-0,3 (blå) og mer enn 0,3 (lilla) hos fisk under 150 gram i de aktuelle ukene/stasjonene

 

 

Figurer som viser mengde lakselus på sjøørret i 2022
Figur 56. Antall lakselus (A), relativt antall lus (antall lus/gram kroppsvekt) (B) og antall lakselus fordelt på fastsittende og bevegelige stadier (C) fra sjøørret på stasjonene i PO12.

 

Postsmolttråling

Trålingen i Altafjorden foregikk fra 21. juni til 18. juli (ukene 25-28, samt en dag i uke 29). Størst fangst var de to første ukene, og det var lite fisk i uke 28 (figur 57; tabell 19). Både prevalens (2-12 %) og intensitet (1-2 lus/fisk) var lav (tabell 19), og det var generelt lavt lusepåslag alle ukene (figurene 58 og 59), tilsvarende som alle tidligere dataserier fra Altafjorden.

 

Kart over trålområder og figur over fangst i områdene for 2022
Figur 57. Områdene trålt etter utvandrende postsmolt laks i Altafjord, samt kumulativ fangst av utvandrende postsmolt av laks. I 2022 ble det bare trålt i område 1.

 

Uke n Vekt (range) Prevalens [KI] Intensitet [KI] % >0.1 rel.int. [KI]
25 61 21 (12-34) 3 [1-11] 2 [1-2] 0 [0-6]
26 58 19 (12-37) 2 [0-9] 1 [1-1] 0 [0-6]
27 25 26 (17-44) 12 [4-30] 1 [1-2] 0 [0-13]
28 2 16 (13-20) 50 [3-97] 2 [2-2] 50 [3-97]
Tabell 19. Infestasjon av lakselus på utvandrende laksesmolt i Altafjorden. Se Tabell 1 for forklaring av verdiene.

 

Figur over mengde lakselus på vill postsmolt laks i 2022
Figur 58. Antall lakselus hos utvandrende postsmolt laks i Altafjorden i uke 25-29.

 

 

Figur som viser fordeling av ulike nivåer av lakselus
Figur 59. Fordeling av relativ intensitet (lus/kroppsvekt i g) i kategoriene mindre enn 0,1 (gul), 0,1-1,2 (grønn), 0,2-0,3 (blå) og mer enn 0,3 (lilla) hos fisk under 150 gram i de aktuelle ukene/stasjonene

 

4.13 - PO 13 Øst Finnmark

Én stasjon ble undersøkt med ruse/garn i dette produksjonsområdet i 2022. Stasjonen Jarfjord er lokalisert øst for Kirkenes i Sør-Varanger kommune (figur 60). Jarfjord er ikke nasjonal laksefjord og har vært undersøkt i NALO tidligere år. I 2022 ble stasjonen undersøkt 21-23. juli. Det er ikke benyttet vaktbur eller trålt etter utvandrende laksesmolt i PO 13. I dette området regner en at 50% av fisken har utvandret i uke 25 (22. juni).

 

Kart over rusestasjoner i 2022
Figur 60. Stasjonene undersøkt med ruse eller garn (røde prikker) i PO 13 i 2022.

 

Ruse og garnfangst

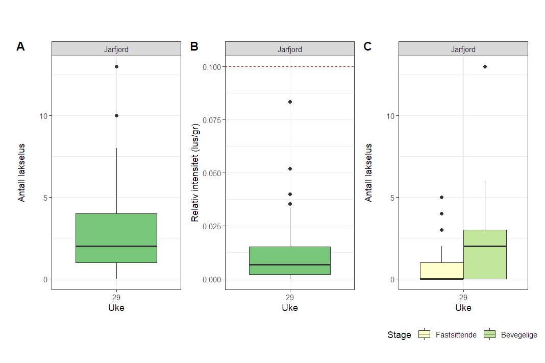
I 2021 ble bare Jarfjord undersøkt uke 29. Prevalens var da 76%, mens intensiteten var 4 [3-4] lus/fisk (tabell 20). Lusepåslag var lav hvor de bevegelige stadiene dominerer, hvilket indikerer et jevnt, men her lavt smittepress (figurene 61 og 62).

Stasjon Uke n Vekt (range) Prevalens [KI] Intensitet [KI] % >0.1 rel.int.
Jarfjord 29 66 309 (48-830) 76 [64-84] 4 [3-4] 0 [0-6]
Tabell 20. Infestasjon av lakselus på sjøørret i PO 13. Se Tabell 2 for forklaring av verdiene.

 

Figur som viser fordeling av ulike nivåer av lakselus
Figur 61. Fordeling av relativ intensitet (lus/kroppsvekt i g) i kategoriene mindre enn 0,1 (gul), 0,1-1,2 (grønn), 0,2-0,3 (blå) og mer enn 0,3 (lilla) hos fisk under 150 gram i de aktuelle ukene/stasjonene

 

 

Figurer som viser mengde lakselus på sjøørret i 2022
Figur 62. Antall lakselus (A), relativt antall lus (antall lus/gram kroppsvekt) (B) og antall lakselus fordelt på fastsittende og bevegelige stadier (C) fra sjøørret på stasjonene i PO13.

 

5 - Kort oppsummering av lakselusinfestasjon på vill laksefisk 2022

Kort oppsummert indikerer data fra 2022 på utvandrende postsmolt laks lite lus i Boknafjorden, mye i Hardangerfjorden og Sognefjorden, og lite i Romsdals-, Trondheims- og Altafjorden. I forhold til 2021 var det en svak økning i Boknafjorden og en reduksjon i Hardanger. Romsdalsfjorden har noe mindre enn i 2021, men fremdeles er det lite data fra dette fjordområdet. Trondheimsfjorden og Altafjorden er lavt og på samme nivå som tidligere år.

Resultatene fra ruse og garnfanget sjøørret viser i 2022 generelt lite lus på Sørlandet, mens fra Rogaland til Trøndelag er det som generelt mye lus på fisken, spesielt utover i sesongen. Fra Nordland og nordover er det generelt mindre lus på fisken, selv om det observeres enkelte området med forhøyet antall lus også i disse områdene.

Vaktbur indikerer lavt smittepress i Boknafjorden og Hardangerfjorden i første periode, men grunnet høy dødelighet i burene er dette forbundet med stor usikkerhet. I påfølgende periode indikerer data fra vaktbur moderat smittepress i begge disse fjordene. Vaktburene i Sognefjorden indikerer høyt smittepress, spesielt i periode 1 som er mest relevant for smoltutvandringen.

Data fra spredningsmodellen indikerer et tilsvarende mønster når tetthet av kopepoditter illustreres på et nasjonalt nivå i den aktuelle perioden fra uke 18 til uke 27 (figur 63). Modellen indikerer lav tetthet på Sørlandet og i store deler av Nord-Norge, mens det på Vestlandet og i Trøndelag er tydelig langt større tetthet av kopepoditter, spesielt utover i perioden.

 

Kart som viser utviklingen i mengde lakselus langs kysten i flere uker våren 2022
Figur 63. Modellert tetthet av lakseluskopepoditter langs Norskekysten i uke 18, 21, 24 og 27 i 2022. Grønn farge angir lav tetthet og blå farge angir høyere tetthet.

 

Datamaterialet fra overvåkingsprogrammet i 2022 skiller seg ikke mye fra tidligere års observasjoner på villfisk i de samme områdene (Bjørn mfl. 2012, 2013; Nilsen mfl. 2014, 2016, 2017, 2018, 2019, 2020 og 2022). Vestlandet og Trøndelag har gjentatte ganger vist seg som de områdene hvor lusepåslag på villfisk er høyest. Dette har resultert i økt fokus på overvåkingen i disse områdene, med blant annet mer tråling etter utvandrende laks og fortsatt bruk av vaktbur. Dette øker sikkerheten i observasjonene fra overvåkingen, noe som vurderes som viktig der lakselus sannsynligvis er et problem for både villfisk og oppdrettsnæring. Det blir likevel også viktig å følge utviklingen fremover både på Sørlandet og nordover langs kysten da både klimaendringer og strukturelle endringen i oppdrettsnæringen kan forventes i tiden fremover.

6 - Utvikling av effektindikator for påvirkning av lakselus

Med en effektindikator menes her en metode for å kunne forutsi grad av negativ effekt av lakselus på sjøørret og sjørøye.

Sjøørret har en komplisert livshistorie, som også kan påvirkes av lakselus. Normalt vandrer sjøørret og røye ut fra elvene som smolt på våren, noenlunde sammenfallende i tid med laks, men utvandringen er ofte noe mer ustrakt. Den beiter deretter i fjordene og langs kysten i 2-4 måneder før den vandrer tilbake til ferskvann. En del av populasjonen, spesielt i de sørlige delene av landet, kan også overvintre i sjøen. Utviklingen av en effektindikator må ta hensyn til den kompliserte livssyklusen for å kunne si noe om effekt av lakselus ved gitte infeksjonsnivåer.

I NALO programmet arbeides det med to tilnærminger. Den første er innhenting av empiriske data på andel av populasjon som er smittet med lakselus og antall lakselus disse har. Dette gjøres ved hjelp av fangst med ruse eller garn, og utføres i deler av perioden sjøørret beiter i fjordene. Den andre tilnærmingen er beregning av tetthet av lakseluslarver i vannmassene ved hjelp av av den bio-hydrodynamiske lakselusmodellen som er utviklet ved HI, og videre estimering av redusert marint leveområde og redusert marin oppholdstid som begge med stor sannsynlighet vil ha negativ effekt på sjøørret/sjørøye.

Vi ser ofte at antall lus avtar utover sommeren selv om det er mer lus i sjøen. Det kan være flere årsaker til dette, som at den mest infiserte fisken dør, at den trekker opp i ferskvann, at avlust fisk returnerer til sjøen, eller at lusa dør. Vi ønsker å belyse årsakssammenhengen som er essensiell for en korrekt tolkning av data. Derfor ble det fra og med 2020 etablert en utvidet overvåking på sjøørret og sjørøye i 6 fokusområder. I fokusområdene overvåkes det i 6 forløpende uker, fisken PIT-merkes, det tas prøver til genetiske analyser, skjellprøver for vekstanalyser, samt at PIT antenner plasseres i enkelte elver i noen av disse fokusområdene for deteksjon av oppvandrende fisk. Det vil etter hvert igangsettes merking av fisk i elv for deteksjon av utvandring, samt at det skal etableres en genetisk baseline som muliggjør bestemmelse av hvilken elv fisken som fanges i sjøen kommer fra.

Basert på at en forventer at modeller vil få stadig større betydning for å vurdere effekten av lakselus, har en de senere år utviklet en modell som benyttes for å estimere tetthet av lakselus langs kysten basert på rapporterte data fra oppdrett (jfr.lakselus.no). I Finstad mfl. 2021 er det foreslått at redusert marint leveområde (RML) og redusert marin tid (RMT) bør være indikatorer for påvirkning av lakselus på sjøørret postsmolt (i stedet for dødelighet).

I utviklingen av denne metoden for prediksjon av effekten lakselus har på postsmolt av sjøørret og sjørøye ble en rekke parametere, slik som leveområde, ut- og oppvandringstider, størrelse på utvandrende smolt og vekst i sjøen, prematur tilbakevandring, og hvordan disse påvirkes av lakselus, satt etter beste gjeldende kunnskap. Formålet med arbeidet som gjøres i fokusområdene er å innhente data som kan brukes for å gi et bedre estimat av disse parameterne. På sikt vil dette øke kunnskapen og dermed presisjonen på modell estimatene for effekt av lakselus på anadrom sjøørret og sjørøye, slik at dette kan beregnes med tilstrekkelige detaljer for at gitt område hvor som helst langs kysten og i fjorden.

7 - Fokusområder

7.1 - Generell innledning

Sjøørret viser et mangfold av marine vandringsmønstre og livshistoriestrategier. En stor utfordring når man analyserer lusefordelingen fra feltdata er at sjøørret som fanges kan ha vært i sjøen i varierende tid, de kan ha brukt eller flyttet seg mellom forskjellige habitater med varierende tetthet av luselarver, og de kan stamme fra ulike populasjoner med ulike utvandringshistorier. I tillegg kan lakselus endre atferden til luseinfiserte individer ved å indusere prematur tilbakevandring til fersk- eller brakkvann. Fangstdata består derfor av flere underpopulasjoner med mulig veldig forskjellige lusepåslag. Hvis bidragene fra de ulike gruppene til en fangstprøve er representative for situasjonen for hele sjøørretbestanden, både med hensyn på romlig variasjon i luselarvetetthet og individuell variasjon i sjøørretens vandringsatferd, kan konklusjoner trekkes direkte fra fangstdata. Men uten en dypere innsikt i individuelle fiskebevegelser og vandringshistorie, kan det være vanskelig å vurdere om prøven er representativ for det lokale lusepresset. Å identifisere de forskjellige gruppene som utgjør en fangstprøve er derfor avgjørende for en robust tolkning av feltdata, og for korrekt evaluering av lakseluspåvirkningen for sjøørretbestander.

I 2022 ble de fem NALO stasjonene Etne, Herøyosen, Vatnefjord, Agdenes og Reisa (figur 64) videreført som «fokusområder». Målet med disse var å kunne teste og utvikle komplementære metoder for å identifisere de ulike faktorer som kan påvirke den observerte lusefordelingen i fangstprøvene, med hensikt å redusere skjevhet og usikkerhet i tolkningen av feltdata . I disse 5 fokusområder ble innsatsen betydelig økt utover det som inngår i det standard NALO programmet, både i form av en utvidet fangst i sjøen, med bruk av tilleggsmetoder og gjennom tett samarbeid både intern og på tvers av forskningsinstitusjoner med feltaktivitet i de nevnte områder. Dette inkluderer informasjon om tidspunkt og varighet av smoltutvandring, tilbakevandringrate, prematur tilbakevandring til ferskvann og elvetilhørighet samt hvor lenge sjøfanget fisk har vært i sjøen

Ved valget av fokusområder ble verdien av lange tidsserier vektlagt, samt god kjennskap til området og synergi mellom flere ulike aktiviteter og forskningsgrupper. Av de 5 fokusområdene undersøkt i 2022 hadde Havforskningsinstituttet ansvar for 2 av dem, mens de resterende 3 var fordelt på samarbeidspartnere NINA og NORCE (figur 64). I disse områdene ble den tradisjonelle overvåkningen med rusefiske (standard datainnsamling på NALO) utvidet til inntil 6 kontinuerlige uker. Tanken var å dermed kunne få et mer fullstendig bilde på dynamikken i luseinfestasjonen gjennom den marine oppholdstiden. I tillegg ble metoder som PIT merking av fisk i elv og i havet, sammen med installasjon av PIT-antenne i elvene, brukt for å undersøke tidspunkt for og varighet av smoltutvandring, tilbakevandringsrate og eventuelt prematur tilbakevandring til ferskvann. Genetiske prøver ble samlet inn i alle fokusområdene med hensikt å bygge opp en genetisk baseline. I de tilfellene det var mulig ble genetiske metoder brukt for å spore fisk fanget i sjø tilbake til sin opphavselv. I noen områder ble også lesing av skjellprøver brukt til å estimere marin vekst og varighet av marin oppholdstid for førstegangsvandrere. Metodebruken vil variere mellom de ulike områdene avhengig av infrastruktur, ressurser og parallelle aktiviteter.

 

Kart som viser fokusområder i NALO i 2022
Figur 64. Plasseringen av de 5 fokusområdene.

 

7.2 - Fokusområde Etne – Statusoppdatering 2022

Etnefjorden ble opprettholdt som det sørligste fokusområde i NALO i 2022 og med omtrent samme innsats som i 2020 og 2021 (figur 65). I Etneelva ble utvandrende smolt av ørret fanget og merket med 12 mm PIT-merker i smoltfelle over flere uker i løpet av mai. I Oselva i Ølen ble ørret presmolt merket med tilsvarende merker ved hjelp av elektrofiske i april og mai. Utvandring ble registrert på PIT-merke antenne i nedre del av vassdraget. I Etnefjorden ble sjøørret fanget med ruser i en periode over seks sammenhengende uker fra og med uke 21 til og med uke 26. Det ble i perioder benyttet to ruser, henholdsvis på tradisjonell plass ytterst i fjorden (Etne), og noe lengre inn i fjorden (Indre-Etne). I tillegg til lusetelling på all laksefisk ble all sjøørret skannet for tidligere merker. Umerket fisk ble merket med 12 mm PIT-merker. Skjellprøver og vevsprøver til genetisk analyse ble samlet inn fra alle individer.

 

Kart over ruser, antenner og feller i Etne/Ølen i 2022
Figur 65. Plassering av Etnefelle i Etnevassdraget, PIT-antenna i Oselva og ørretrusene i Seldalsvika (Etne) og i Bekkjavika (Indre Etne). Grønn felt viser grensene for den Nasjonale Laksefjorden Etnefjorden-Ølensfjorden.

 

Vevsprøver for genetikk er planlagt analysert samlet for 2022/2023 tilsvarende 2020/2021 (Nilsen m.fl. 2022). Alle skjellprøver fra både ferskvannsfangst, sjøfangst og eventuell gjenfangst er under opparbeiding og vil bli analysert for å studere alderssammensetning generelt, og med spesiell vekt på smoltalder ved utvandring og beregning av oppholdstid i sjø. Antall fisk håndtert med de ulike metodene i 2022 er vist i tabell 21.

Sted/metodikk Fangst Merket Gjenfangst
Smoltfelle Etneelva 247 247 110*
El-fiske Oselva 139 128 9
Ruse Etne 492 440 18
Ruse Indre Etne 165 151 7
Tabell 21. Fangst viser antall fisk fanget før og under utvandring fra elvene og under rusefiske i fjorden. Hvor mange av disse som ble merket og eventuelt var gjenfangst er indikert i kolonnene Merket og Gjenfangst. **Gjenfangst i Etneelva inkluderer flere årsklasser og merkeforsøk.

Tilbakevandring av merket fisk ble registrert på PIT-merke antenne i nedre del av Oselva fram til midten av oktober. I etneelva ble tilbakevandret fisk over en viss størrelse fanget i oppvandringsfella (Skaala m.fl. 2015) og sjekket for eventuelle merker. I tillegg er det en dobbel bunnmontert PIT-merke antenne i Etneelva som fanger opp individer som ikke registreres i oppvandringsfella. I Oselva ble vanntemperatur og vannføring (vannhøyde) registrert med egne loggere. Disse ble tatt inn sammen med antennen i midten av oktober. I Etneelva registreres vanntemperatur med egen logger. For vannføring i vassdraget benyttes målinger fra NVE (sildre.nve.no).

Videre opparbeiding og analyser av materialet blir gjennomført gjennom vinteren 22/23 og vil inngå i en endelig evaluering etter neste felt sesong. Se Nilsen m.fl. (2022) for mer detaljer om metoder i fokusområdet Etne.

7.3 - Fokusområde Herøyosen – Statusoppdatering 2022

LFI har siden 2015 årlig vært engasjert av Havforskningsinstituttet for å gjennomføre undersøkelser av lakselus på sjøaure i PO4, region Sogn Sør, i et område i Vestland fylke der Austfjorden møter Fensfjorden. Undersøkelsene i Herøyosen har foregått i mai og juni, og er del av NALO-programmet. Det har også vært gjennomført supplerende undersøkelser av lakselusinfestasjon på sjøaure som fanges ved Herdla i Askøy kommune.

Herøyosen (figur 66) er en av fokuslokalitetene i NALO-programmet. Den ligger langs nordsiden av Fensfjorden/Austfjorden i Masfjorden kommune. Den innrammes mot øst, sør og vest av en rekke øyer og holmer, og i nord ligger fastlandet ved Hosteland. Knapt 5 km innenfor Herøyosen har Yndesdalsvassdraget sitt utløp til sjø i Frøyset. Vassdraget har bestander av laks og sjøaure, og i tillegg resident aure, trepigget stingsild og ål. Utvandringsveien til sjø for anadrom fisk fra Yndesdalsvassdraget går gjennom smale sund forbi Risnes, Dragøyosen og Herøyosen. I Yndesdalsvassdraget har LFI montert et nettbasert overvåkingskamera i fisketrappen, og en PIT-antenne for registrering av merket fisk i elvemunningen.

Kort oppsummert er Herøyosen valgt som overvåkingsområde fordi:

  • Området ligger i PO4, Sogn Sør, like ved fjorder med flere store oppdrettsanlegg.

  • Området har vist seg å ha ganske høy tetthet av sjøaure.

  • De to ruselokalitetene i Herøyosen er svært godt egnet for fangst av aure med storruser.

  • Lokal grunneier har gitt tilgang til brygge og naust med innlagt strøm som felt-arbeidsplass.

  • Nærheten til Yndesdalsvassdraget, der det kunne settes ut både kamera og PIT-antenne, også her etter avtale med lokale grunneiere - inkl. tilgang til bygninger og tilførsel av strøm til installasjonene.

 
Kart over ruser i Herøyosen i 2022
Figur 66: Lokalisering av storruser i Aurehølen (A) og Baldersvågen (B) i Herøyosen er vist med blå punkter. Utløpet av Yndesdalsvassdraget ved Frøyset er vist med rødt punkt. Avstanden mellom Frøyset og Herøyosen målt i sjø er 5 km. Kart og foto fra norgeskart.no og norgeibilder.no (© Kartverket).

Fangst

Fisken fanges i storruser. Dette flytende fangstredskapet har en del til felles med kilenot, både i størrelse og virkemåte. Storrusen forankres i 7 punkter i sjø, vanligvis med i alt 10-12 dregger á 8-15 kg. Fra inngangen til fangstenheten går det et ca. 50 m langt ledegarn som er festet i land. Fisk som møter dette ledegarnet føres først inn mellom et par «sidevinger» (ekstra ledegarn), og går derfra videre innover i redskapet gjennom en sekvens av ruseformede fangstrom. Maskevidden til noten i fangstrommene er liten, slik at også nyutvandret smolt på 14-15 cm fanges. I kanten av storrusen henger det en salinitetslogger som måler vannets ledningsevne på 1 m dyp.

Rusene tømmes fra båt. Fisken håves da ut fra fangstrom og over i kar med vann i båten. Vannpåfylling og -utskifting i karene gjøres på dette stadiet vha. bøtter. Så kjøres fisken til land, og karene tas inn i et naust. Friskt sjøvann tilføres deretter kontinuerlig vha. et pumpe-/slangesystem. Vannet hentes opp fra ca. 3-5 m dyp, der vanntemperaturen oftest er noen grader lavere enn i overflaten. Det settes også opp et kar med bedøvelsesvann, et hvitt undersøkelseskar og et recovery-kar der fisken våkner opp etter at den er ferdig kontrollert, prøvetatt og merket.

Bedøvelse

Fiskene bedøves enkeltvis, dvs. at bare en fisk ligger i bedøvelseskaret om gangen. Bedøvelsesmiddelet som benyttes er Finquel vet. (Trikainmesilat). Dosering følger anvisningene som er gitt for rask anestesi av laks og regnbueørret i Veterinærkatalogen (felleskatalogen.no). Bedøvelsesvannet skiftes regelmessig. Oksygenmetning og temperatur i bedøvelseskaret overvåkes kontinuerlig. I recovery-karet sjekkes også dette ved jevne mellomrom, selv om karet får tilførsel av friskt vann.

Undersøkelse, prøvetaking og merking av fisk

Bedøvet fisk tas over i undersøkelseskaret, der antall og stadier av lakselus kontrolleres og registreres i hh.t. prosedyrer gjennomgått på kurs hos Havforskningsinstituttet. Det benyttes hodelykt som ekstralys ved kontrollen. Fisken veies til nærmeste gram og lengdemåles (total- og gaffellengde) til nærmeste mm. Det tas skjellprøve (noen få skjell fra bakre ryggside) som legges i skjellkonvolutt, og vevsprøve (bit av fettfinne) som legges i rør med 100 % etanol. Saks som benyttes til vevsprøve glødes med gassbrenner før en ny prøve tas. Tilstanden til ryggfinnen mht. beiteskade fra lakselus registreres (kategorier: OK, litt skadet, skadet). Fisken blir også merket med half duplex PIT-merker. Merket er på forhånd desinfisert i 100 % etanol. Det settes inn i bukhulen via et kort snitt i bukveggen, som utføres med skalpell. I 2021 og 2022 ble det benyttet 23 mm lange PIT-merker til fisk med gaffellengde ≥ 14 cm, og 12 mm lange merker til mindre fisk, og til fisk som av annen grunn ble vurdert til å skulle ha 12 mm heller enn 23 mm. Merker på 23 mm har noe større deteksjonsavstand ved PIT-antenner enn det 12 mm merker har. Denne forskjellen kan være avgjørende under vanskelige deteksjonsforhold. Når fisken har våknet fra bedøvelsen, settes den ut i strandsonen. Utsettingsstedet innerst i Byrkjevågen på Holsøy ligger hhv. 550 m fra Aurehølen og 1150 m fra Baldersvågen. Data noteres på vannfast skriveblokk i felt, og overføres hver dag til Excel-fil som ligger på server hos NORCE. Excel-filen oversendes til HI med jevne mellomrom i feltsesongen.

Kameraovervåking og PIT-antenne i Frøyset

I slutten av juni 2020 ble det montert et videokamera fra Mohn Technology øverst i fisketrappen som ligger 700 m oppstrøms nedre bro i Frøyset (Figur 2). Kameraets AI-teknologi gjenkjenner form/utseende til fisk, og kan skille dette fra de fleste andre objekter som passerer forbi. Når en fisk detekteres, lagres et kort videoopptak som sendes over internett til en server. Derfra kan opptaket lastes ned og analyseres. Det er i tillegg mulig å se video fra fisketrappen i sann tid. Kameraets kontrollenhet sitter i et elektronikkskap i en driftsbygning ved elvebredden. Kameraet har også vært benyttet i trappen i 2021 og 2022.

For å få registrert PIT-merket fisk som returnerer til Yndesdalsvassdraget ble det i begynnelsen av mai 2021 lagt ut en standard, 12 meter lang PIT-antenne i elvens brakkvannssone i Frøyset (figur 67). Antennens lese- og lagringsenhet sitter i et elektronikkskap i en driftsbygning ved elvebredden. Data sendes foreløpig ikke over internett, men lastes ned til pc på stedet.

Hensikten med å etablere kamera og PIT har vært å legge til rette for å få informasjon om f.eks. prematur tilbakevandring av sjøaure til elv, lakselusskader på fisken og individers overlevelse over tid. I nåværende avtale mellom HI og LFI inngår data fra kamera- og PIT-overvåkingen som aktuell, støttende informasjon til luseovervåkningen i Herøyosen.

PIT-antennen har helt siden oppstarten i 2021 fungert svært bra. I løpet av 2022 har det blitt detektert aure fra alle merkeår, dvs. 2019-2022. Kameraet i fisketrappen har hittil vært under utprøving. I 2021 registrerte det imidlertid mer enn 500 oppvandrende sjøaure og 85 laks. Gjennomgangen av videoopptakene viste at over 70 % av sjøaurene hadde varierende grad av luseskader og/eller -påslag. Data fra PIT-antenne og fra kameraovervåkningen i 2022 er fortsatt under opparbeidelse.

Kart over antenner og feller i Herøyosen i 2022
Figur 67: PIT-antenne i brakkvannssone (blå sirkel) og videokamera i fisketrapp (rød sirkel) i Frøyset. Kart fra norgeskart.no (© Kartverket).

Framdrift 2022

Data fra lakselusovervåkingen i 2022 for Herøyosen og Herdla ble levert i juli, umiddelbart etter avsluttet feltarbeid. Rusene ble samtidig tatt på land, vasket med høytrykksspylere, og lagret for 2023-sesongen. Data fra kamera og PIT-antenner i Frøyset er under opparbeidelse.

7.4 - Fokusområde Agdenes – Statusoppdatering 2022

Fremstadvassdraget er et kystnært vassdrag på Agdenes i Trøndelag (Figur 68). Elvesystemet består av to innsjøer, Storvatnet og Litlvatnet, som er bundet sammen av en kort elvestrekning (Fremstadelva), samt en elvestrekning går fra Litlvatnet ut i sjøen (Heggaelva). I Fremstadelva ble utvandrende smolt av ørret fanget i smoltfelle og merket med 12 mm PIT-merker i perioden mars-juni 2022. Utvandringstidspunkt ble registrert på PIT-antenna ved utløpet av Heggaelva. I Mølnbukt ble sjøørret fanget med ruser i en periode over seks sammenhengende uker fra og med uke 22 til og med uke 27. Det ble benyttet tre småruser, som ble plassert basert på erfaringsmessige gode sjøørretlokasjoner fra tidligere år. All fanget laksefisk ble talt lus på, og all sjøørret ble scannet for tidligere merker. Umerket sjøørret ble merket med 12 mm PIT-tags. Skjellprøver og nåler fra PIT-merking ble samlet inn for henholdsvis alder og genetisk analyse for alle individer.

 

Kart over ruser, antenner og feller ved Agdenes i 2022
Figur 68: Oversikt over Fremstadvassdraget og Mølnbukt. Plassering av felle i Fremstadelva, PIT-antenne ved utløpet av Heggaelva og ørretruser i Mølnbukt, Agdenes (rusene er nummerert fra 1-3) er markert.

 

Antall fisk merket i fjorden, catch per unit effort (CPUE) og gjenfangster av fisk merket i fjord og elv er oppgitt i tabell 22. Analyse av fiskemerking i Fremstadelva for 2021 og 2022 gjenstår, og er derfor utelatt fra tabellen.

År Antall merket i elva Dato for 50% utvandring Antall merket i sjø CPUE (pr ruse pr dag) Gjenfangst av fisk merket i sjø samme år Gjenfangst av fisk merket i elv samme år
2022 - - 211 4,6 16 1
2021 - - 329 6,6 10 7
2020 265 18.05 211 5,3 9 0
2019 526 26.05 50 - 0 0
2018 153 18.05 - - - 0
2017 249 10.05 - - - 7
2016 335 11.05 - - - 3
Tabell 22: Oversikt over antall fisk merket i sjø, CPUE og gjenfangster fra fisk merket i sjø og elv. Analysering av data fra Fremstadelva gjenstår.

7.5 - Fokusområde Vatne – Statusoppdatering 2022

Storelva/Vatnevassdraget er lokalisert i Haram kommune i Møre og Romsdal og har sitt utløp innerst i Vatnefjorden (figur 69). Vassdraget består av to elveavsnitt som er adskilt av Vatnevatnet. Storelva, som er det øvre elveavsnittet, drenerer ut i Vatnevatnet fra øst, mens Oselva dreneres ut mot nord og utgjør de siste 400 meterne fra Vatnevatnet til sjøen. Storelva er den viktigste elvestrekningen med hensyn på tilgjengelige gyte- og oppvekstarealer for laksefisk. I Oselva, ved utløpet av Vatnevatnet, ble utvandrende smolt av ørret merket med 12 mm PIT-tags på våren i perioden mai-juni. Utvandringen til sjø ble registrert ved hjelp av PIT-antenne ved elveutløpet i nedre del av Oselva. Sjøørret ble fanget ved hjelp av tre småruser i 6 sammenhengende uker fra uke 22 til 28. All fanget laksefisk ble talt lus på, og all sjøørret ble scannet for tidligere merker. Umerket sjøørret ble merket med 12 mm PIT-tags. Skjellprøver og nåler fra PIT-merking ble samlet inn for genetisk analyse for alle individer.

 

Kart over ruser, antenner og feller i Vatnefjorden i 2022
Figur 69 . Oversikt over Vatnevassdraget og Vatnefjorden. Plassering av Vatnefelle i Vatnevassdraget, PIT-antenne ved utløpet av Oselva og ørretruser i Vatnefjorden (rusene nummerert fra 1-3) er markert.

 

Antall fisk merket i fjorden, catch per unit effort (CPUE) og gjenfangster av fisk merket i fjord og elv er oppgitt i tabell 23. Analyse av fiskemerking i Oselva for 2021 og 2022 gjenstår, og er derfor utelatt fra tabellen.

År Antall merket i elva Dato for 50% utvandring Antall merket i sjø CPUE (pr ruse pr dag) Gjenfangst av fisk merket i sjø samme år Gjenfangst av fisk merket i elv samme år
2022 - - 230 2,3 1 18*
2021 - - 71 1,3 0 9
2020 432 20.05 190 3,8 3 8
2019 745 03.05 188 3,2 4 11
2018 730 19.05 143 4,3 6 19
2017 540 07.05 144 3 1 13
2016 785 13.05 335 5,3 7 9
2015 121 09.05 138 - - 2
2014 831 - 113 - - 5
Tabell 23: Oversikt over antall fisk merket i sjø, CPUE og gjenfangster fra fisk merket i sjø og elv. Analyse av data fra merking i Oselva gjenstår. *Totalt antall gjenfangster, men usikkert merkeår, derfor blir tallet muligens justert ned etter videre analyser.

7.6 - Fokusområde Nordreisa

Nordreisa ble opprettholdt som det nordligste fokusområde i NALO i 2022, og med omtrent samme innsats som i 2021 (figur 70). I elva Runga innerst i Straumfjorden ble utvandrende smolt av ørret og røye fanget og merket med 12 mm PIT-tags i smoltfelle over noen uker i løpet av juni. De fleste individene ble inkludert i et smitteforsøk, men representerer likevel naturlig utvandringstid for området. Elektrofiske av presmolt i Runga er ikke mulig på grunn av isdekke helt fram til utvandring, gjerne i kombinasjon med vårflom. I sjøen ble sjøørret og sjørøye fanget med ruser i en periode over flere sammenhengende uker fra og med uke 24 til og med uke 29. Det ble i perioder benyttet to ruser, henholdsvis på tradisjonell plass i Oksfjorden, og inne i selve Straumfjorden. I tillegg til lusetelling ble all sjøørret og sjørøye skannet for tidligere merker. Umerket fisk ble merket med 12 mm PIT-tags. Skjellprøver og vevsprøver til genetisk analyse ble samlet inn hos samtlige individer.

 

Kart over ruser, antenner og feller i Nordreisa i 2022
Figur 70. Plassering av smoltfelle og PIT-tag antenne i Rungavassdraget og rusene i fjorden (Straumfjord og Oksfjord). Grønn felt viser grensene for den nasjonale laksefjorden Reisafjorden.

 

Vevsprøver for genetikk er planlagt opparbeidet gjennom vinteren 2022 og vil videre bli analysert sammen med materialet fra 2021 tilsvarende det som gjøres i fokusområde Etne (Nilsen m.fl. 2021). Alle skjellprøver fra både ferskvannsfangst, sjøfangst og eventuell gjenfangst vil bli opparbeidet samtidig og analysert for å studere alderssammensetning generelt, og med spesiell vekt på smoltalder ved utvandring og beregning av oppholdstid i sjø. Antall fisk håndtert med de ulike metodene i 2022 er vist i tabell 24.

Sted/metodikk Fangst Merket Gjenfangst
Smoltfelle Runga 65 56 9*
El-fiske Runga** 12 12 0
Ruse Oksfjord 29 29 0
Ruse Straumfjord 329 297 30
Tabell 24. Fangst viser antall fisk fanget under utvandring fra Runga og under rusefiske i fjorden. Hvor mange av disse som ble merket og eventuelt var gjenfangst er indikert i kolonnene Merket og Gjenfangst. *Gjenfangst Runga inkluderer flere årsklasser. **Elfiske Runga ble kun gjennomført i nedre del av vassdraget i september.

Tilbakevandring av merket fisk ble registrert på PIT-tag antenne i nedre del av Runga fram til midten av september. Det er ikke gjort større forsøk på gjenfangst i elv (med felle etc.), men det ble gjennomført et begrenset elfiske i nedre del av elva i begynnelsen av desember. I Runga ble vanntemperatur og vannføring (vannhøyde) registrert med egne loggere (som i 2021) fra tidlig juni til midten av september.

Fullstendig opparbeiding og analyser av materialet blir gjennomført gjennom vinteren 22/23 og vil inngå i en endelig evaluering etter neste feltsesong. Se Nilsen m.fl. 2022 for mer detaljer om metoder i fokusområdet Reisa.

7.7 - Videre arbeid i fokusområdene

Foreløpige analyser av data samlet inn i fokusområder i 2020 og 2021 har vist lovende resultater med hensyn på å svare opp manglende og etterspurt kunnskap (Nilsen m.fl. 2022).

Systematisk overvåkning over tid og for ulike lokasjoner/bestander i fokusområder i NALO er derfor avgjørende for å kunne bruke modellbaserte tålegrenser som effektindikatorer for sjøørret. Fokusområdene i NALO vil derfor videreføres i 2023. Etter sesongen planlegges en samlet analyse av alt tilgjengelige materiale og data fra hele perioden (2020-2023). Analysene vil vektlegge ny kunnskap som kan benyttes direkte til videreutvikling og styrking av aktuell effektindikator for lakselus på sjøørret og sjørøye langs hele kysten. Både som selvstendige vitenskapelige publikasjoner og som en del av en utfyllende sluttrapport.

8 - Referanser

Anon. (2019) Klassifisering av tilstanden til 430 norske sjøørretbestander. Temarapport fra Vitenskapelig råd for lakseforvaltning nr 7. ISBN: 978-82-93038-27-6

Anon. (2021) Status for norske laksebestander i 2021. Rapport fra Vitenskapelig råd for lakseforvaltning nr 16. ISBN: 978-82-93038-32-0

Arechavala-Lopez, P., Uglem, I., Berg, M., Bjørn, P. A. & Finstad, B. (2016). Large-scale use of fish traps for monitoring sea trout (Salmo trutta) smolts and sea lice (Lepeophtheirus salmonis) infestations: efficiency and reliability. Marine Biology Research 12, 76-84.

Asplin, L., Johnsen, I. A., Sandvik, A. D., Albretsen, J., Sundfjord, V., Aure, J. & Boxaspen, K. K. (2014). Dispersion of salmon lice in the Hardangerfjord. Marine Biology Research 10, 216-225.

Berntsen, H., Finstad, B., Berg, M., & Næsje, T. F. (2019a). PIT-prosjektet i Fremstadelva, Agdenes – 2016-2019, fremdriftsnotat for 2019. 3-16, NINA.

Bjørn, P. A., Finstad, B., Asplin, L., Skilbrei, O., Nilsen, R., Serra-Llinares, R. M. & Boxaspen, K. K. (2011). Metodeutvikling for overvåkning og telling av lakselus på viltlevende laksefisk. Rapport fra Havforskningen, nr. 8-2011. 58 s.

Bjørn, P. A., Nilsen, R., Serra-Llinares, R. M., Asplin, L og Boxaspen, K. K. (Havforskningsinstituttet), Finstad, B., Uglem, I. og Berg, M. (NINA), Kålås, S. (Rådgivende Biologer) og Barlaup, B. og Wiik-Vollset, K. (UNI-Miljø) (2012). Lakselusinfeksjonen på vill laksefisk langs Norskekysten i 2012. Sluttrapport til Mattilsynet. Rapport fra Havforskningen nr. 31-2012.

Bjørn, P. A., Nilsen, R., Serra-Llinares, R. M., Asplin, L., Johnsen, I. A., Karlsen, Ø. (Havforskningsinstituttet), Finstad, B., Berg, M., Uglem, I. (NINA), Barlaup, B., Wiik-Vollset, K. (UNI-Miljø) (2013). Lakselusinfeksjonen på vill laksefisk langs Norskekysten i 2013. Sluttrapport til Mattilsynet. Rapport fra Havforskningen. Nr. 32-2013.

Bøhn T, Nilsen R, Gjelland KØ, Biuw M, Sandvik A, Primicerio R, Karlsen Ø & Serra-Llinares RM (2022). Salmon louse infestation levels on sea trout can be predicted from a hydrodynamic lice dispersal model. Journal of Applied Ecology 59, 704-714.

Bush, A. O., Lafferty, K. D., Lotz, J. M. & Shostak, A. W. (1997). Parasitology meets ecology on its own terms: Margolis et al. revisited. Journal of Parasitology 83, 575-583.

Dahl K (1910) Alder og vekst hos laks og ørret belyst ved studiet av deres skjæl (p. 115). Kristiania: Centraltrykkeriet.

Efron, B. & Tibshirani, R. (1993). An introduction to the bootstrap: Chapman & Hall, London, U.K.

Finstad B, Sandvik AD, Ugedal O, Vollset KW & others (2021) Development of a risk assessment method for sea trout in coastal areas exploited for aquaculture. Aquacult Environ Interact 13:133-144. https://doi.org/10.3354/aei00391

Harvey AC, Quintela M, Glover KA, Karlsen Ø, Nilsen R, Skaala Ø, Sægrov H, Kålås S, Knutar S & Wennevik V (2019) Inferring Atlantic salmon post-smolt migration patterns using genetic assignment. Royal Society open science, 6(10), 190426.

Hellen BA, Hulbak MA, Irgens C & Skår S (2021) Habitatkartlegging og forslag til tiltak for sjøørret i vassdrag i Vindafjord kommune. Rapport fra Rådgivende Biologer nr 3306. ISBN: 978-82-8308-806-9

Holst, J. C. & McDonald, A. (2000). FISH-LIFT: a device for sampling live fish with trawls. Fisheries Research 48, 87-91.

Jensen JLA, Strøm JF, Nikolopoulos A, Primicerio R, Skardhamar J, Atencio BJ, Strand JET, Bjørn PA og Bøhn T (2022) Micro- and macro-habitat selection of Atlantic salmon, Salmo salar , post-smolts in relation to marine environmental cues. ICES Journal of Marine Science 79, 1394-1407

Johnsen IA, Stien LH, Sandvik AD, Asplin L, Oppedal F (2020b) Optimal estimation of lice release from aquaculture based on ambient temperatures. Aquaculture Environment Interactions 12:179-191. https://doi.org/10.3354/aei00358 

Johnsen IA, Harvey A, Sævik PN, Sandvik AD, Ugedal O, Ådlandsvik B, Wennevik V, Glover KA, Karlsen Ø (2020a) Salmon lice induced mortality of Atlantic salmon during post-smolt migration in Norway. ICES Journal of Marine Science, In press DOI: 10.1093/icesjms/fsaa202

Johnsen, I. A., Asplin, L. C., Sandvik, A. D. & Serra-Llinares, R. M. (2016). Salmon lice dispersion in a northern Norwegian fjord system and the impact of vertical movements. Aquaculture Environment Interactions 8, 99-116.

Johnsen, I. A., Fiksen, Ø., Sandvik, A. D. & Asplin, L. (2014). Vertical salmon lice behaviour as a response to environmental conditions and its influence on regional dispersion in a fjord system. Aquaculture Environment Interactions 5, 127-141.

Kalinowski ST, Manlove KR & Taper ML (2007) ONCOR: a computer program for genetic stock identification. Bozeman, MT: Department of Ecology, Montana State University.

Lea, E. (1910). On the methods used in herring investigations. Publications de Circonstance Conceil permanent International pour l'exploration de la Mer, 53, 7–25.

Lindenmayer, D. B. & Likens, G. E. (2009). Adaptive monitoring: a new paradigm for long-term research and monitoring. Trends in Ecology & Evolution 24, 482-486.

Moran BM & Anderson EC (2018) Bayesian inference from the conditional genetic stock identification model. Canadian Journal of Fisheries and Aquatic Sciences 76(4): 551-560. https://doi.org/10.1139/cjfas-2018-0016

Myksvoll MS, Sandvik AD, Albretsen J, Asplin L, Johnsen IA, Karlsen Ø, et al. (2018) Evaluation of a national operational salmon lice monitoring system—From physics to fish. PLoS ONE 13(7): e0201338. https://doi.org/10.1371/journal.pone.0201338

Nilsen, R., Bjørn, P. A., Serra-Llinares, R. M., Asplin, L., Johnsen, I. A., Skulstad, O. F., Karlsen, Ø., Finstad, B., Berg, M., Uglem, I., Barlaup, B. & Vollset, K. W. (2014). Sluttrapport til Mattilsynet - Lakselusinfeksjonen på vill laksefisk langs norskekysten i 2014. Rapport fra Havforskningen, Nr. 36-2014.

Nilsen, R., Bjørn, P. A., Serra-Llinares, R. M., Asplin, L., Sandvik, A. D., Johnsen, I. A., Karlsen, Ø., Finstad, B., Berg, M., Uglem, I., Barlaup, B., Vollset, K. W. & Lehmann, G. B. (2016). Lakselusinfeksjonen på vill laksefisk langs norskekysten i 2015. En fullskala test av modellbasert varsling og tilstandsbekreftelse. Rapport fra Havforskningen, Nr. 2-2016.

Nilsen, R., Serra-Llinares, R. S., Sandvik, A. D., Schrøder-Elvik, K. M., Asplin, L., Bjørn, P. A., Johnsen, I. A. og Karlsen, Ø. (Havforskningsinstituttet), Finstad, B., Berg, M., Uglem, I. (Norsk institutt for naturforskning), Wiik-Vollset, K., Lehmann, G. B. (UNI Research – Miljø) (2017). Lakselusinfestasjon på vill laksefisk langs Norskekysten i 2016. Med vekt på modellbassert varsling og tilstandsbekreftelse. Rapport fra Havforskningen. Nr. 1-2017.

Nilsen, R., Schrøder-Elvik, K. M., Serra-Llinares, R. M., Sandvik, A. D., Asplin, L., Johnsen, I. A., Bjørn, P. A., Karlsen, Ø. (Havforskningsinstituttet), Finstad, B., Berg, M., Uglem, I (Norsk institutt for naturforskning), Lehmann, G. B. Og Wiik-Vollset, K. (UNI Research – Miljø) (2018). Lakselusinfestasjon på vill laksefisk langs Norskekysten i 2017. Rapport fra Havforskningen. Nr. 4-2018. ISSN 1893-4536 (online)

Nilsen, R., Schrøder-Elvik, K. M., Serra-Llinares, R. M., Sandvik, A. D., Kjær, R., Karlsen, Ø. (Havforskningsinstituttet), Finstad, B., Berg, M., (Norsk institutt for naturforskning), Lehmann, G. B. (NORCE) (2019). Lakselusinfestasjon på vill laksefisk langs Norskekysten i 2018. Sluttrapport til Mattilsynet. Rapport fra Havforskningen. Nr. 2019-22. ISSN: 1893-4536.

Nilsen R, Serra-Llinares RM, Sandvik AD, Johnsen IA, Mohn AM, Karlsen Ø, Lehmann GB, Birkeland IB, Stöger E, Lennox R, Uglem I & Berg M (2020) Lakselusinfestasjon på vill laksefisk langs Norskekysten i 2020. Sluttrapport til Mattilsynet. Rapport fra Havforskningen. Nr. 2020-46. ISSN :1893-4536.

Nilsen R, Serra-Llinares, R. M., Sandvik, A.D., Mohn, A.M., Harvey, A., Uglem, I., Bekke Lehmann, G. Og Karlsen, Ø. (2022). Lakselusinfestasjon på vill laksefisk langs Norskekysten i 2021. Med foreløpige data fra fokusområder. Rapport fra Havforskningen Nr.2021-56. ISSN: 1893-4536.

Rikardsen, A.H., Amundsen, P.-A., Bjørn, P.A. and Johansen, M. (2000), Comparison of growth, diet and food consumption of sea-run and lake-dwelling Arctic charr. Journal of Fish Biology, 57: 1172-1188. https://doi.org/10.1111/j.1095-8649.2000.tb00479.x

Rozsa, L., Reiczigen, J. & Majoros, G. (2000). Quantifying parasites in samples of host. Journal of Parasitology 86, 228-232.

Sandvik AD, Johnsen IA, Myksvoll MS, Sævik PN, Skogen MD (2020a) Prediction of the salmon lice infestation pressure in a Norwegian fjord. ICES Journal of Marine Science 77:746-756

Sandvik AD, Ådlandsvik B, Asplin L, Johnsen IA, Myksvoll MS, Albretsen J (2020b) Lakselus LADiM V2, https://doi.org/10.21335/NMDC-410516615

Sandvik, A. D., Bjørn, Pål A., Ådlandsvik, B., Asplin, L., Skarðhamar, J., Johnsen, I. A., Myksvoll, M. S. & Skogen, M. D. (2016). Toward a model-based prediction system for salmon lice infestation pressure. Aquaculture Environment Interactions 8, 527-542.

Skaala Ø, Knutar S, Østebø B, Holmedal TE, Skilbrei O, Abdullah S, Barlaup B, Urdal K (2015). Erfaringar med Resistance Board Weir-fangstsystemet i Etnevassdraget 2013–2014. Rapport fra Havforskningen nr 6-2015. ISSN:1893-4536

Svåsand, T., Boxaspen, K. K., Karlsen, Ø., Kvamme, B. O., Stien, L. H. & Taranger, G. L. (2015). Risikovurdering norsk fiskeoppdrett 2014. Fisken og Havet, særnummer 2-2015, 172 s.

Svåsand, T., Karlsen, Ø., Kvamme, B. O., Stien, L. H., Taranger, G. L. & Boxaspen, K. K. (2016). Risikovurdering norsk fiskeoppdrett 2016. Fisken og Havet, særnummer 2-2016, 190 s.

Taranger, G. L., Karlsen, Ø., Bannister, R. J., Glover, K. A., Husa, V., Karlsbakk, E., Kvamme, B. O., Boxaspen, K. K., Bjørn, P. A., Finstad, B., Madhun, A. S., Morton, H. C. & Svåsand, T. (2015). Risk assessment of the environmental impact of Norwegian Atlantic salmon farming. ICES Journal of Marine Science 72, 997-1021.

Taranger, G. L., Svåsand, T., Bjørn, P. A., Jansen, P. A., Heuch, P. A., Grøntvedt, R. N., Asplin, L., Skilbrei, O. T., Glover, K. A., Skaala, Ø., Wennevik, V. & Boxaspen, K. K. (2012a). Forslag til førstegangs målemetode for miljøeffekt (effektindikatorer) med hensyn til genetisk påvirkning fra oppdrettslaks til villaks, og påvirkning av lakselus fra oppdrett på viltlevende laksefiskbestander. Fisken og Havet 13-2012, Veterinærinstituttets rapportserie Nr. 7-2012.

Taranger, G. L., Svåsand, T., Kvamme, B. O., Kristiansen, T. S. & Boxaspen, K. K. (2012b). Risikovurdering norsk fiskeoppdrett. Fisken og havet, Særnummer 2-2012. 131 s.

Taranger, G. L., Svåsand, T., Kvamme, B. O., Kristiansen, T. S. & Boxaspen, K. K. (2013). Risikovurdering norsk fiskeoppdrett 2012. Fisken og Havet, særnummer 2-2013, 164 s.

Taranger, G. L., Svåsand, T., Kvamme, B. O., Kristiansen, T. S. & Boxaspen, K. (2014). Risikovurdering norsk fiskeoppdrett 2013. Fisken og havet, Særnummer 2-2014.

Ugedal O, Fiske P, Finstad B (2021a) Appendiks I a: Oversikt over laksevassdrag. I: Vollset KW, Nilsen F, Ellingsen I, Finstad B, Karlsen Ø, Myksvoll M, Stige LC, Sægrov H, Ugedal O, Qviller L & Dalvin S (2021) Vurdering av lakselusindusert villfiskdødelighet per produksjonsområde i 2021. Rapport fra ekspertgruppe for vurdering av lusepåvirkning. ISBN: 978-82-93932-00-0

Ugedal O, Vollset KW, Sægrov H, Karlsen Ø (2021b) Appendiks I b: Utvandringstidspunkt for laksesmolt i Norge ved vurdering av lakselusindusert dødelighet på smolt av villaks. I: Vollset KW, Nilsen F, Ellingsen I, Finstad B, Karlsen Ø, Myksvoll M, Stige LC, Sægrov H, Ugedal O, Qviller L & Dalvin S (2021) Vurdering av lakselusindusert villfiskdødelighet per produksjonsområde i 2021. Rapport fra ekspertgruppe for vurdering av lusepåvirkning. ISBN: 978-82-93932-00-0