Sandeel fishery advice in the Norwegian exclusive economic zone in 2025
The Institute of Marine Research advices a zero catch of sandeel in 2025 in the Norwegian economic zone due to low biomass of sandeel in all management areas. The results from the acoustic trawl survey in 2025 shows that the total biomass of sandeel is very low.
Sammendrag
Havforskningsinstituttet tilrår nullfangst av tobis i 2025 i norsk økonomisk sone grunnet lav biomasse av tobis i alle forvaltningsområder. Resultatene fra HI sitt akustiske tråltokt i 2025 viser at totalbiomassen av tobis er svært liten.
1 - Havforskningsinstituttets råd på fiskeri
Havforskningsinstituttet tilrår nullfangst av tobis i 2025 i norsk økonomisk sone grunnet lav biomasse av tobis i alle forvaltningsområder. Resultatene fra HI sitt akustiske tråltokt i 2025 viser at totalbiomassen av tobis er svært liten.
2 - Bestandsutvikling over tid
Figur 1. Tobis (Ammodytes marinus) i norsk økonomisk sone, Forvaltningsområde 1-4. Oppsummering av bestandsvurderingen. Fangst, rekruttering (alder 1), høstingsrate og biomasse av alder 1 og eldre (gjennomsnitt med 95% konfidens intervall). Høstingsrate er fangst delt på biomassegjennomsnitt.
3 - Bestand og beskatning – status
Bestanden er på et historisk lavt nivå, og har avtatt kontinuerlig fra toppnivået i 2020 selv med svært lave fangster de to siste årene. 2024-årsklassen er svak.
4 - Fangstscenarier
Estimat
Biomasse (tonn)
Biomasse alder 1+ (gjennomsnitt)
9270
Biomasse alder 1+ (40 persentil)
7868
Biomasse alder 2+ (gjennomsnitt)
6394
Biomasse alder 2+ (40 persentil)
2876
Tabell 1. Tobis (Ammodytes marinus) i norsk økonomisk sone (forvaltningsområde 1-4). Grunnlag for fangstscenariene. Alle estimatene er basert på det akustiske tråltoktet i april-mai 2025.
Basis
Fangst 2025
Høstingsrate 2025
Bestand alder 2+ 2026
Endring i bestand 2+ *
Forvaltningsplan
0 tonn
0
8 043 tonn
27 %
Andre scenarier
Bruk av høstingsregelformel
3 000 tonn
0,4
5 346 tonn
-16 %
Tabell 2. Tobis (Ammodytes marinus) i norsk økonomisk sone (forvaltningsområde 1-4). Fangstscenarier.
* Biomasse alder 2+ i 2026 relativt til 2025
5 - Grunnlag for råd
Grunnlag for råd
Forvaltningsplan
Forvaltningsplan
Høstingsregel for endelig kvote: der hr er høstingsgraden (0,4) og B40est,1+ er 40 persentilen av toktestimatet av biomasse av ett år og eldre (1+) tobis i forvaltningsområdene 1-4. Kvoten blir avrundet ned til nærmeste 1000 tonn. Biomassen er under kritisk grense (25 000 tonn) i alle forvaltningsområder, og i henhold til forvaltningsplanen er kvoterådet derfor et nullråd.
Tabell 3. Tobis (Ammodytes marinus) i norsk økonomisk sone (forvaltningsområde 1-4). Grunnlag for rådet.
6 - Kvalitet på bestandsvurderingen
Estimert biomasse av ett år og eldre tobis i forvaltningsområdene 1-4 er vist i Figur 1. Biomassen er beregnet basert på det akustiske toktresultatet, der gjennomsnitt og konfidensintervall er beregnet basert på 1000 bootstrap kjøringer. Presisjonen i tidsserien er generelt god (Tabell 7), men den relative standardfeilen i 2025 er 41% - det høyeste i tidsserien. Den dårlige presisjonen har sammenheng med at det kun var 12 toktdøgn tilgjengelig mot omtrent 20 døgn tidligere år.
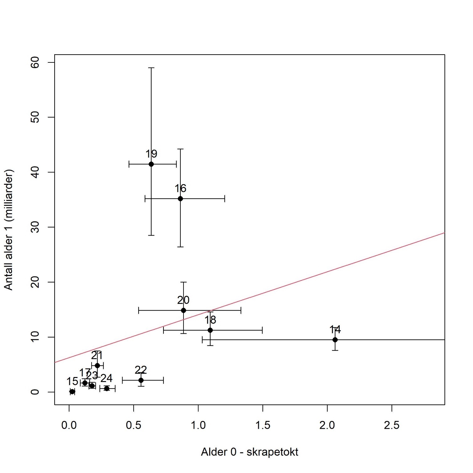
Det foreløpige rådet baserte seg på prediksjonen av biomasse av alder 2+ beregnet basert på tidligere akustiske tokt og fangstdata, og biomasse alder 1 beregnet basert på skrapetoktet (Figur 3). For 2025, så er både prediksjonen og biomassestimatet av alder 2+ (Figur 2) begge svært lave, og estimatet er omtrent 1/3 av prediksjon. Også skrapetoktet predikerte en større mengde 1-åringer enn hva som ble målt under toktet i april-mai (Figur 3). Store mengder hyse og en del hvitting på tobisfeltene de siste årene ser ut til å redusere overlevelsen av tobis, og den naturlige dødeligheten hos tobis ser ut til å ha økt betydelig de siste tre årene (Figur 2 og 3).
Figur 2. Tobis (Ammodytes marinus) i norsk økonomisk sone (forvaltningsområde 1-4). Predikert og observert biomasse av 2 år og eldre tobis.
Figur 3. Tobis (Ammodytes marinus) i norsk økonomisk sone (forvaltningsområde 1-4). Mengdeindeks av nullåringer fra skrapetokt («Alder 0 – skrapetokt») versus akustisk mengdeestimat av ettåringer året etter med 5-95% konfidensintervall (feillinjer rundt punktene) for årsklassene 2014-2024 (14-24 i figuren). Den røde linjen er en lineær regresjon basert på punktestimatene - en modell som brukes for å forutsi antall ettåringer i det akustiske toktet (april-mai) basert på skrapetoktet i november-desember året før.
7 - Problemstillinger relevante for rådet
I 2011 innførte Norge en områdebasert forvaltningsplan for tobis i norsk økonomisk sone av Nordsjøen (NØS-NS), etter en prøvefase i 2010. Hovedmålsettingen med planen er å bygge opp tilstrekkelig gytebiomasse (alder 2+) av tobis på alle historisk viktige tobisfelt i NØS-NS for å sikre et langsiktig bærekraftig tobisfiske. En slik forvaltning vil øke rekrutteringspotensialet for denne nøkkelarten i økosystemet, og dermed gi økt mattilgang for arter i Nordsjøen som beiter på tobislarver og eldre tobis samt danne et grunnlag for et bærekraftig fiske. Forvaltningsmodellen ble evaluert av Fiskeridirektoratet, HI og fiskerinæringen i 2014, 2016, 2020 og på nytt i 2024. Kart over gjeldende forvaltningsområder (1-5) og deres underområder (a-c) er vist i Figur 5. Se Johnsen og Kvamme (2024) for detaljer om endringene i forvaltningsområdene.
De årene beregningene tilsier at biomassen innen et forvaltningsområde (1-5) er for lav til å sikre full reproduksjonskapasitet for tobisbestanden vil hele dette forvaltningsområdet være stengt for tobisfiske. Det er foreløpig ikke definert et klart grensenivå, men HI vurderer at et forvaltningsområde bør stenges for fiske dersom biomassen av alder 1+ i området er lavere enn 25 000 tonn. I 2025 var den totale biomassen summert over alle forvaltningsområdene (1-4) kun 9270 tonn.
I henhold til forvaltningsmodellen skal HI forut for fiskerisesongen både gi råd om totalkvote og hvilke områder som kan åpnes. I løpet av april-mai skal HI hvert år gjennomføre et akustisk tokt for å måle bestanden av tobis med et særlig fokus på rekrutteringen (antall 1-åringer). Basert på disse undersøkelsene skal HI gi et oppdatert råd om åpning eller stenging av områder, og en eventuell kvoteøkning. Estimert biomasse per forvaltningsområde er vist i Figur 4, og i 2025 er biomassen kritisk lav i alle områder.
Det foreløpige rådet fra Havforskningsinstituttet for 2025 (Johnsen and Kvamme 2025) var nullfangst av tobis i norsk økonomisk sone grunnet kritisk lav biomasse i alle forvaltningsområder. Toktresultatet i 2025 ga ikke grunnlag for hverken en kvoteøkning eller åpning av stengte områder.
Det er behov for å vurdere om høstingsregelen bør modifiseres for lave bestandsnivå, slik at høstingsraten da blir redusert. Dette gjelder både regelen for foreløpig og endelig kvoteråd.
Figur 5. Forvaltningsområdene i norsk sone (Områdeinndelingen er gyldig f.o.m. 2024). Bokstavene a, b og c viser til de forskjellige underområdene. De oransje feltene inni forvaltningsområdene viser de viktigste tobisfeltene.
8 - Referansepunkt
Det er ikke definert referansepunkter for tobis i disse forvaltningsområdene.
9 - Grunnlag for bestandsvurderingen
Bestanden vurderes to ganger årlig, i februar og mai, og den endelige bestandsvurderingen baserer seg på et akustisk tråltokt som gjennomføres i fiskerisesongen. Basert på dette toktet gir HI et oppdatert råd om en eventuell åpning av nye områder, og en eventuell økt kvote i henhold til formelen
der hr er høstingsgraden (0,4) og B40est,1+ er 40-persentilen av toktestimatet av biomasse av 1+ år gammel tobis i forvaltningsområdene 1-4 avrundet ned til nærmeste 1000 tonn.
Toktresultatene i 2025 ga ikke grunnlag for å anbefale en kvoteøkning, og svært lav biomasse av tobis målt i forvaltningsområdene 1- 4 tilsier at alle disse områdene stenges for fiske i 2025. Det var ikke tilstrekkelig tokttid til å overvåke Vikingbanken i 2025, men toktet har i alle tidligere år vist svært lave biomasser i dette området (Figur 6). Dette tilsier at også forvaltningsområde 5 må holdes stengt i 2025.
Vurderingsmetode
Toktestimat
Input data
Akustiske toktindekser (alder 1+) og 0-gruppe indeks fra skrapetokt (forvaltningsomr.1-4), fangststatistikk
Utkast og bifangst
Utkast vurderes som neglisjerbart. Stor bifangst av hyse og hvitting har vært en utfordring de siste fire årene, noe som skyldes at det for tiden er svært store mengder av disse to bestandene i Nordsjøen.
Indikatorer
Ingen
Annen informasjon
Havforskningsinstituttet har gitt råd for fisket av tobis i norsk sone fra og med 2010
Bestandsansvarlig forsker
Espen Johnsen (espen.johnsen@hi.no)
Tabell 4. Tobis (Ammodytes marinus) i norsk økonomisk sone (forvaltningsområde 1-5). Grunnlag for bestandsvurderingen og rådet.
10 - Historie – råd, fangst og forvaltning
Foreløpig råd i februar
Endelig råd i mai
År
Kvoteråd
Åpne underområder
Kvoteråd
Åpne underområder
Fangst
2010
20 000
1b, 2b, 3b
50 000
1b, 2b, 3b
50 471
2011
60 000
1a, 2a, 3a
90 000
1a, 2a, 3a
88 424
2012
40 000
1b, 2b, 3b
40 000
1b, 2b, 3b
40 889
2013
20 000
3a
20 000
3a
9 052
2014
15 000
3b, 3c
90 000
2a, 3b, 3c, 4b
82 499
2015
100 000
2b, 3b, 3a
100 000
1b, 2b, 3a, 3b, 4a
100 858
2016
40 000
1b, 2a, 3a, 3b
40 000
1b, 2a, 3a, 3b, 4a
40 836
2017
50 000
1b, 1c, 2b, 2c, 3c, 3b, 4a
120 000
1b, 1c, 2b, 2c, 3c, 3b, 4a
119 975
2018
70 000
1b, 1c, 2a, 2c, 3a, 3b, 4b
70 000
1b, 1c, 2a, 2c, 3a, 3b, 4b
69 531
2019
55 000
1b, 1c, 2b, 2c, 3b, 3c, 4a
125 000
1b, 1c, 2b, 2c, 3b, 3c, 4a
123 958
2020
70 000
1a, 1c, 2b, 2c, 3b, 3c, 4a
250 000
1a, 1c, 2b, 2c, 3b, 3c, 4a
234 754
2021
110 000
1b, 1c, 2a, 2c, 3a, 3c, 4b
145 000
1b, 1c, 2a, 2c, 3a, 3c, 4b
146 442
2022
60 000
1a,1c, 2b, 2c, 3b, 3c, 4a
95 000
1a,1c, 2b, 2c, 3b, 3c
81 676
2023
60 000
1b, 1c, 2a, 2c, 3a, 3c
60 000
1b, 1c, 2a, 2c, 3a, 3c
15 948
2024
19 000
1a,1c, 2b, 2c, 3b, 3c
19 000
3b, 3c
3 938
2025
0
-
0
-
0*
Tabell 5. Tobis (Ammodytes marinus) i norsk økonomisk sone. Kvoteråd og fangster 2010-2025. Alle kvoter og fangster i tonn.
*Fangst per 10.05.2025, kilde: sildelaget.no
11 - Historiske fangster og landinger
Fangst (2024)
Landinger
Utkast
3938
100% trål
Utkast neglisjerbart
3 938
Tabell 6. Tobis (Ammodytes marinus) i norsk økonomisk sone (forvaltningsområde 1-4). Fangstfordeling per flåte i 2024. Alle vekter er gitt i tonn.
12 - Sammendrag av bestandsvurderingen
År
Biomasse gjennomsnitt
Biomasse40-persentil
RSE
Rekruttering
Fangst
Høstingsrate
2009
225 460
209 564
0,24
8 436
0
0
2010
353 115
330 369
0,21
16 232
50 471
0,14
2011
146 119
135348
0,20
954
88 424
0,61
2012
104 916
99 936
0,19
168
40 889
0,39
2013
30 251
27 582
0,28
2 154
9 052
0,30
2014
404 807
384 499
0,20
21 958
82 499
0,20
2015
170 161
163 869
0,12
9 514
100 858
0,59
2016
117 780
110 135
0,20
74
40 836
0,35
2017
363 980
352 154
0,14
35 208
119 975
0,33
2018
141 939
138 614
0,09
1 658
69 531
0,49
2019
327 518
316 165
0,12
11 257
123 958
0,38
2020
653 184
615 941
0,18
41 473
234 754
0,36
2021
372 707
358 825
0,14
14 838
146 442
0,39
2022
275 160
252 704
0,23
4 810
81 676
0,30
2023
105 480
100 422
0,16
2 121
15 948
0,15
2024
31 133
28 535
0,25
1 108
3 938
0,13
2025
9 270
7 868
0,42
644
0
0
Tabell 7. Tobis (Ammodytes marinus) i norsk økonomisk sone (forvaltningsområde 1-4). Biomasse-gjennomsnitt og 40-persentilen (alder 1+) (tonn) med relativ standard feil (RSE) og rekruttering (alder 1) (antall i millioner) estimert fra det akustiske tråltoktet. Fangst i tonn og høstingsrate per år. Høstingsrate er fangst delt på biomasse-gjennomsnitt.
I forvaltningsområde 5 (Vikingbanken) er biomassen av tobis fremdeles antatt å være kritisk lav (Figur 6). Grunnet få toktdøgn tilgjengelig, var det ikke tid til å dekke Vikingbanken i 2025. Under toktet i 2024 ble biomassen estimert til 548 tonn. Dette er en økning fra 2021-2023, men likevel blant de laveste estimatene i tidsserien 2009-2024.
Figur 6. Tobis (Ammodytes marinus) i norsk økonomisk sone, Forvaltningsområde 5 (Vikingbanken). Biomasse av alder 1 og eldre (gjennomsnitt med 95% konfidens intervall). *I 2025 er ikke Vikingbanken dekket.
13 - Referanser
Johnsen, E., and Kvamme, C. 2024. Foreløpig råd for tobisfiske i norsk økonomisk sone i 2024 – Faglig grunnlag. Rapport fra havforskningen 2024-7 ISSN: 1893-4536
Johnsen, E., and Kvamme, C. 2025. Foreløpig råd for tobisfiske i norsk økonomisk sone i 2025. Rapport fra havforskningen 2025-9 ISSN: 1893-4536