Gå til hovedinnhold

Minstestørrelse på rensefisk ved utsett i oppdrettsnøter for å hindre rømming. Del 2: Stor grønngylte, oppdrettsberggylte og rognkjeks.

— Svar på bestilling fra Fiskeridirektoratet 11.09.2018.

Forfatter(e): Terje Jørgensen , Manu Sistiaga (HI) og Bent Herrmann (DTU Aqua)

Sammendrag

Minste fiskestørrelse for å unngå rømming ved utsett som rensefisk i oppdrettsnøter er beregnet for oppdrettsrognkjeks, villfanget grønngylte og oppdrettsberggylte. Minstestørrelsen er satt lik lengden som gir 99% tilbakeholdelse for gitt maskestørrelse (L99). For grønngylte og oppdrettsberggylte er minstelengde beregnet fra både trengingsforsøk og FISHSELECT-analyse, mens minstelengde for rognkjeks kun er beregnet basert på FISHSELECT-beregninger. Trengingsforsøkene ble gjort med notposer av uimpregnert polyamid og med notlinet orientert slik at maskene ble kvadratiske (stolperett). Retensjon ble beregnet for nominelle maskeåpninger på hhv 26, 30, 40 og 50 mm. Maskene ble målt i tørr og våt tilstand, og maskeåpningen var ca 10% større i våt enn i tørr tilstand. Ved bruk av FISHSELECT modellen er det gjort prediksjoner for varierende grad av maskestivhet. Simuleringene viste at jo stivere maske, dess lavere blir lengde ved 99% tilbakeholdelse. FISHSELECT-estimatene for 90% åpningsgrad samsvarte generelt best med L99 estimatene fra trengingsforsøkene. Hvilken åpningsgrad masker i ei oppdrettsnot har er ikke undersøkt, men en antagelse om slakke masker vil gi de mest konservative anslagene for lengde ved 99% tilbakeholdelse. Simuleringene viste også at små endringer i maskeåpning gir betydelige endringer i minstestørrelse. Siden faktisk maskeåpning kan avvike fra den nominelle med flere millimeter, bør faktisk maskeåpning derfor alltid måles for nota det skal settes ut rensefisk i. En kan så predikere minstelengde for usett basert de etablerte FISHSELECT-relasjonene.

1 - Innledning

I en bestilling datert 11. september 2018 ba Fiskeridirektoratet Havforskningsinstituttet om å utarbeide en oversikt over minstestørrelsen på rensefisk som bør benyttes ved utsett i oppdrettsnøter av gitt maskeåpning for å unngå at fisk rømmer. I samråd med Fiskeridirektoratet ble det i 2023 bestemt at rapporteringen skulle skje i form av to delrapporter. Den første delrapporten (Jørgensen et al., 2024) omhandler bergnebb og små grønngylte. I tillegg gir rapporten en oversikt over sakshistorikk, omfang av rensefiskbruk og rømming av rensefisk fra merd, gjeldende reguleringer og tidligere undersøkelser og anbefalinger. Det gis også en kortfattet oversikt over nøter som brukes og begreper knyttet til angivelse av størrelsen på masker i en notpose. Disse tema vil derfor ikke bli omtalt på nytt her. Denne rapporten, som utgjør andre delrapport, gir anbefalinger for stor grønngylte, oppdrettsberggylte og rognkjeks. For å skaffe til veie data til beregningene for grønngylte og oppdrettsberggylte, ble det gjennomført feltforsøk i september 2024, mens beregningene for rognkjeks er basert på en tidligere publisert undersøkelse (Hermann et al., 2021). Anslagene for minste fiskelengde for utsett for å unngå rømming er for grønngylte og oppdrettsberggylte basert på to uavhengige metodikker; trengingsforsøk og beregninger ved bruk av FISHSELECT- metoden (Herrmann et al., 2009, 2012), mens anslagene for rognkjeks kun er basert på FISHSELECT-metoden.

2 - Materialer og metoder

2.1 - Biologisk materiale

Oppdrettsberggyltene som ble brukt i forsøket ble levert av Forskningsstasjonen Austevoll og Vest Aqua BASE AS, Fitjar. Berggyltene som ble levert av Forskningsstasjonen var i lengdeintervallet 7-12 cm, mens fisken fra Vest Aqua Base hadde en lengde på 14-20 cm. Oppdrettsberggylte over 20 cm var ikke tilgjengelig i markedet på forsøkstidspunktet.

I tillegg ble det kjøpt inn ca. 100 stk villfanget berggylte. Disse var fanget i teiner av en lokal fisker på Austevoll. Et utvalg av disse berggyltene ble benyttet for å undersøke eventuelle morfometriske forskjeller mellom oppdretts- og villfanget berggylte.

Grønngyltene ble fanget med ruser i nærområdet til forskningsstasjonen Flødevigen. Grønngyltene varierte i lengde fra ca. 8-20 cm. Fiskene ble fanget 1-2 dager før forsøket startet og oppbevart i sjøen i små notposer. I tillegg ble det fanget et mindre antall små (< 8 cm) grønngylter med ei finmasket strandnot.

2.2 - Trengingsforsøk

Trengingsforsøkene ble utført med samme forsøksoppsett som ble benyttet for bergnebb og små grønngylte (delrapport 1). Ved bruk av denne metodikken, settes fisk av et bredt lengdespekter ut i et notbur av den maskeåpningen som tilbakeholdelsessannsynligheten skal beregnes for. Notburet er plassert i et stort transportkar slik at fisk som er små nok til å passere gjennommaskene kan rømme fra posen og ut i karet. Etter avsluttet forsøk fjernes notburet fra karet, og fiskene som er igjen lengdemåles og veies. Deretter samles fiskene som har rømt inn, og også disse lengdemåles og veies. Ofte vil fisk ikke rømme selv om de er små nok til å passere gjennom maskene. Fisk stimuleres derfor til å rømme ved at det benyttes et lite notvolum og ved at notvolumet gradvis minskes (trenging) på slutten av eksponeringstiden.

Seleksjonskurver (sannsynlighet for tilbakeholdelse som funksjon av lengde) ble beregnet for notposer av samme materiale (polyamid) og med de samme maskeåpning som ble benyttet i delforsøk 1, dvs. nominelle maskeåpninger på henholdsvis 26, 30, 40 og 50 mm. Notlinet med 26 mm maskeåpning var laget av tråd nr 24, notlinet med 30 mm av tråd nr 20, notlinet med 40 mm av tråd nr 24 og notlinet med 50 mm maskeåpning av tråd nr 32. Notlinet var montert som kvadratmasker i alle posene. Notposene hadde form som et kvadratisk rett prisme med størrelse 50 cm x 50 cm x 80 cm (b x d x h). Notposen ble spent opp på ei ramme av rustfritt stål som målte 50 cm x 50 cm x 100 cm (b x h x d). Ramma ble så plassert i senter av karet ved hjelp av to tversgående stenger som ble tredd gjennom maskene i toppen av posen (Fig. 1). Avstanden mellom underkant av posen og bunnen av karet var 30 cm. Basert på erfaringene fra forsøkene i 2019 (delrapport 1), ble det ikke benyttet skjul og/eller mat for å stimulere fisken til å svømme ut av notposen.

Fisken ble gitt 15 minutter på å rømme. Notposen ble deretter fjernet fra ramma og snurpet sammen i toppen. Posen ble så forsiktig løftet og senket i ca. 5 min for å stimulere gjenværende fisk til å rømme. Fisk som hadde rømt og fisk som var igjen i posen ble holdt separat og bedøvet før individuell lengde (i millimeter) og vekt (i gram) ble registrert. Lengde ble målt fra snute til halespiss med halen liggende i en naturlig posisjon.

Figur 1 : Trengingsforsøk. Notposen med oppdrettsberggylte.
Figur 1 : Trengingsforsøk. Notposen med oppdrettsberggylte.

Forsøkene med oppdrettet berggylte ble gjennomført på Forskningsstasjonen Austevoll 2. og 3. september 2024, mens forsøkene med grønngylte ble gjennomført på Forskningsstasjonen Flødevigen 5. og 6. september 2024 (Tabell 1). For grønngylte ble det, grunnet et trangt budsjett, ikke gjort forsøk med 26 mm maskeåpning, da resultater for denne maskestørrelsen ble etablert i forsøkene presentert i delrapport 1.

Modellering av retensjon som funksjon av fiskelengde ble gjort ved bruk av programpakken SELNET (Herrmann et al., 2012).

2.3 - Måling av maskeåpning

Måling av maskeåpning ble foretatt i henhold til NS-EN ISO 16663-1:2009. Til målingene ble det benyttet en Omega maskemåler (https://www.marelec.com/industries/marine/omega-mesh-gauge/; Fonteyne et al. (2007); Fig. 2). For alle maskeåpninger ble det benyttet en strekkraft på 10 N (NS 9415:202; B.1.3). Før målingene startet, ble nøyaktigheten til måleren sjekket ved bruk av den tilhørende kalibreringsplata av stål (Fig. 2). For hver målt maske ble begge maskediagonalene målt, og maskeåpningen ble satt til den største av de to målingene. For alle notposene ble det målt 2 serier à 20 masker. Målingene ble gjort i et tilfeldig valgt sidepanel i posen ved at det ble målt 20 sekvensielle masker vertikalt. Målingene startet 4 masker fra nedre kant og 4 masker fra posens sidekant. Det var også 4 masker horisontal avstand mellom maskene i de to maskeseriene. Maskene ble først målt for tørt notlin. Notlinet ble så lagt i en beholder med ferskvann med en temperatur på 20°C. Etter 2 døgn ble det tatt opp og to nye serier med 20 masker ble målt i våt tilstand. Det var en innbyrdes avstand på 4 masker mellom seriene for vått og tørt notlin, og også 4 masker mellom de to måleseriene for vått notlin.

 

Figur 2 : Omega maskemåler med tilhørende kalibreringsplate.
Figur 2 : Omega maskemåler med tilhørende kalibreringsplate.
Art Nominell maskeåpning Antall fisk Størrelsesintervall (mm)
Oppdrettsberggylte 26 171 59-125
  30 125 63-162
  40 133 67-193
  50 114 68-195
Grønngylte 30 195 48-149
  40 149 110-196
  50 222 101-195
Tabell 1 : Antall fisk og størrelsesspenn på fisken brukt i de enkelte trengingsforsøkene.

2.4 - Analyse av rømmingsrisiko ved bruk av datasimulering

For å beregne rømmingsrisikoen for oppdrettet rognkjeks, oppdrettet berggylte og grøngylte, ble FISHSELECT (Herrmann et al., 2009; 2012) anvendt. FISHSELECT er en sammensetting av metoder, verktøy og programvare som er utviklet for å bestemme om en fisk av en gitt art og lengde kan trenge gjennom en gitt maske eller annen åpning av definert form. Først samles det inn data på lengde og vekt, samt målinger av fiskens tverrsnittkonturer. Tverrsnittkonturene modelleres så som funksjon av fiskens lengde. Deretter gjøres det dropptester («fall through») for et stort utvalg åpninger av forskjellig form og størrelse. Basert på fiskens modellerte tverrsnitt og dropptest- resultatene, beregnes fiskens evne til å passere gjennom forskjellige typer masker (seleksjon) som funksjon av fiskens lengde. Til sist etableres en relasjon mellom maskeåpning og fiskelengden for ønsket retensjon (f.eks. middelseleksjonslengden eller som i denne studien lengden ved 99% retensjon) for den gitte masketypen. Metoden er benyttet til å studere ulike fiskeredskapers selektivitet (sannsynligheten for å holde tilbake eller slippe ut undermåls fisk). Se Sistiaga et al. (2021) og Herrmann et al. (2021) for ytterligere informasjon om anvendelsen av FISHSELECT på rensefisk.

Basert på forsøkene ble det etablert lineære relasjoner mellom maskeåpningen og tilhørende fiskelengde som gir 99% retensjon. Relasjonen ble beregnet for slakke, halvslakke og stive kvadratmasker. Ei stiv maske er rigid og kan ikke endre fasong når en fisk prøver å trenge gjennom (Fig. 3a). Ei halvslakk maske er ei maske der de horisontale stolpene kan endre fasong, mens de vertikale holder seg «rette» (Fig. 3b). Halvslakke masker er representert med heksagonale masker i FISHSELECT-simuleringene. For ei slakk maske er alle stolper slakke, og maska vil forme seg helt etter fiskens tverrsnitt (Fig. 3c). Dermed blir selve fasongen på masken uvesentlig for retensjonen.

Figur 3 : Stiv, halv-slakk og slakk maske. Illustrasjon av en rensefisk (ved dens tverrsnitt) som prøver å trenge gjennom ei a) stiv, b) halv-slakk og c) slakk maske. Rød ellipsoide representer en ukomprimert og grønn en maksimalt komprimert fisk. Figur fra Sistiaga et al. (2021) og Herrmann et al. (2021).
Figur 3 : Stiv, halv-slakk og slakk maske. Illustrasjon av en rensefisk (ved dens tverrsnitt) som prøver å trenge gjennom ei a) stiv, b) halv-slakk og c) slakk maske. Rød ellipsoide representer en ukomprimert og grønn en maksimalt komprimert fisk. Figur fra Sistiaga et al. (2021) og Herrmann et al. (2021).

Åpningen av en heksagonal maske kan beskrives av to relaterte parametere: Åpningsgrad eller «Openness» (OP) og åpningsvinkel eller «Opening Angle» (OA) (Fig. 4). Når OP og OA er henholdsvis 100% og 180° blir den heksagonale masken til en kvadratmaske. Parameterne relateres i følgende formel:

OP= 100 x B/A= 100 x sin(OA/2) Eq. 1

 

Figur 4 : Tilnærming av ei halvslakk maske ved bruk av heksagoner. (a) Parametre som definerer en heksagonal maske. (b) Illustrasjon av fisketrenging gjennom halvslakk kvadratmaske. (c) Tilnærming av en forvrengt halvslakk kvadratmaske med en heksagon. (d) Eksempler på heksagoner som representerer forvrengte halvslakke kvadratmasker med forskjellig OP nivå (se Eq. (1)). A = Stolpelengde. B = maskebredde. OA = åpningsvinkel. OP = Relativ maskeåpning. Figur fra Sistiaga et al. (2021) og Herrmann et al. (2021).
Figur 4 : Tilnærming av ei halvslakk maske ved bruk av heksagoner. (a) Parametre som definerer en heksagonal maske. (b) Illustrasjon av fisketrenging gjennom halvslakk kvadratmaske. (c) Tilnærming av en forvrengt halvslakk kvadratmaske med en heksagon. (d) Eksempler på heksagoner som representerer forvrengte halvslakke kvadratmasker med forskjellig OP nivå (se Eq. (1)). A = Stolpelengde. B = maskebredde. OA = åpningsvinkel. OP = Relativ maskeåpning. Figur fra Sistiaga et al. (2021) og Herrmann et al. (2021).

 

3 - Resultater

3.1 - Målinger av maskeåpning

Generelt var det godt samsvar mellom maskeåpning oppgitt i notsertifikatet og målt maskeåpning for tørt notlin (Tabell 2). Det var også liten variasjon i maskeåpning mellom masker i en og samme pose. Maskemålinger gjort på vått notlin viste ca. 10% større åpning i våt sammenlignet med tørr tilstand. (Tabell 2). Forskjellen mellom maskeåpning i tørr og våt tilstand var signifikant for alle notposene (ANOVA; p< 0.0001).

Nominell maskeåpning Tilstand n Middel (mm) SD (mm) Median (mm) Variasjons- bredde (mm) Prosentvis forskjell
26 Tørr 40 27,23 0,07 27 27-28 12,2
  Våt 40 30,55 0,08 31 30-31  
30 Tørr 40 31,43 0,09 31 30-32 10,3
  Våtr 40 34,67 0,09 35    
40 Tørr 40 39,77 0,10 40 39-41 8,0
  Våt 40 43,15 0,06 43 43-44  
50 Tørr 40 51,33 0,08 51 51-52 8,4
  Våt 40 55,62 0,08 55 55-56  
Tabell 2 : Målt maskeåpning i tørr og våt tilstand for notposene som ble brukt i trengingsforsøket. Nominell maskeåpning er maskeåpningen målt av produsent for tørt notlin. n er antall masker som ble målt.

3.2 - Trengingsforsøk

3.2.1 - Oppdrettsbergylte

Oppdrettsberggyltene var generelt lite aktive, både i kar og i notposen. Få fisk prøvde aktivt å rømme mens forsøksposen hang i ro i karet. Hoveddelen av rømmingen skjedde derfor ved trengingen.

De tilpassede modellene for retensjonen til oppdrettsberggylte i de uttestede notposene er vist i Fig. 5. Figuren viser også 95% konfidensregion for hver seleksjonskurve. Logit-modellen hadde lavest BIC for alle de fire maskeåpningene. Basert på de modellerte seleksjonskurvene er lengde for 99% retensjon (L99) og tilhørende 95% konfidensintervall beregnet (Tabell 3). For notposen med 26 mm nominell maskeåpning var estimert L99 10,9 cm, for posen med 30 mm nominell maskeåpning var den 12,8 cm, og for posen med 40 mm nominell maskeåpning 17,2 cm. Bredden på konfidensintervallene varierte fra 0,8 cm for forsøket med notposen med 26 mm til ca. 2 cm for posene med 30 og 40 mm maskeåpning. For posen med maskeåpning på 50 mm var det ikke tilstrekkelig stor fisk i forsøkspopulasjonen til at L99 kunne bestemmes.

3.2.2 - Grønngylte

I motsetning til oppdrettsberggyltene var grønngyltene svært aktive, og alle individer søkte momentant mot maskeåpningene i notposen da de ble satt over i denne. Tilnærmet all fisk som var små nok til å passere gjennom maskene hadde derfor rømt før trengingsfasen.

Som for observasjonene for oppdrettsberggylte, ga en logit-modell best tilpasning også for grønngylte (Fig. 6). Estimert L99 var 12,7 cm for 30 mm maskeåpning, 15,1cm for 40 mm maskeåpning og 19,2 cm for 50 mm nominell maskeåpning. Bredden på 95% konfidensintervall for estimert L99 var 2,0, 1,0 og 2,1 cm for posene med maskeåpning på henholdsvis 30, 40 og 50 mm.

Art Maskeåpning L99 95% CI
Oppdretts-berggylte 26 10,9 10,5-11.3
  30 12,8 11,7-13,6
  40 17,2 16,1-18,1
Grønngylte 30 12,8 11,7-13,7
  40 15,1 14,5-15,5
  50 19,2 18,4-20,5
Tabell 3 : Estimert lengde ved 99% retensjon (L99 ) og tilhørende 95% konfidensintervall.

 

Figur 5 : Oppdrettsberggylte. Modellert retensjon som funksjon av fiskelengde for berggylte for en notpose med 26 mm nominell maskeåpning (øvre venstre panel), 30 mm nominell maskeåpning (øvre høyre panel), 40 mm nominell maskeåpning (nedre venstre panel) og 50 mm nominell maskeåpning (nedre venstre panel). Punktene angir andel fisk som holdes tilbake i hvert lengdeintervall. De stiplede, purpur kurvene angir 95% konfidensregion for den estimerte retensjonskurven. De stiplede, vertikale linjene angir lengde ved 99% retensjon (rød linje) og tilhørende 95% konfidensintervall (purpur linjer). For 50 mm maskeåpning manglet det store nok fisk i forsøkspopulasjonen til å kunne beregne forløpet til øvre del av retensjonskurven og dermed L 99 .
Figur 5 : Oppdrettsberggylte. Modellert retensjon som funksjon av fiskelengde for berggylte for en notpose med 26 mm nominell maskeåpning (øvre venstre panel), 30 mm nominell maskeåpning (øvre høyre panel), 40 mm nominell maskeåpning (nedre venstre panel) og 50 mm nominell maskeåpning (nedre venstre panel). Punktene angir andel fisk som holdes tilbake i hvert lengdeintervall. De stiplede, purpur kurvene angir 95% konfidensregion for den estimerte retensjonskurven. De stiplede, vertikale linjene angir lengde ved 99% retensjon (rød linje) og tilhørende 95% konfidensintervall (purpur linjer). For 50 mm maskeåpning manglet det store nok fisk i forsøkspopulasjonen til å kunne beregne forløpet til øvre del av retensjonskurven og dermed L99 .

 

Figur 6 : Grønngylte. Modellert retensjon som funksjon av fiskelengde for grønngylte for en notpose med 30 mm nominell maskeåpning (øvre venstre panel), 40 mm nominell maskeåpning (øvre høyre panel) og 50 mm nominell maskeåpning (nedre venstre panel). Punktene angir andel fisk som holdes tilbake i hvert 1 cm lengdeintervall. De stiplede, purpur kurvene angir 95% konfidensregion for den estimerte retensjonskurven. De stiplede, vertikale linjene angir lengde ved 99% retensjon (rød linje) og tilhørende 95% konfidensintervall (purpur linjer).
Figur 6 : Grønngylte. Modellert retensjon som funksjon av fiskelengde for grønngylte for en notpose med 30 mm nominell maskeåpning (øvre venstre panel), 40 mm nominell maskeåpning (øvre høyre panel) og 50 mm nominell maskeåpning (nedre venstre panel). Punktene angir andel fisk som holdes tilbake i hvert 1 cm lengdeintervall. De stiplede, purpur kurvene angir 95% konfidensregion for den estimerte retensjonskurven. De stiplede, vertikale linjene angir lengde ved 99% retensjon (rød linje) og tilhørende 95% konfidensintervall (purpur linjer).

 

3.3 - Prediksjon av seleksjon for oppdrettet rognkjeks, oppdrettet berggylte og villfanget grønngylte ved bruk av datasimulering

3.3.1 - Datainnsamling

Alle data presentert her for oppdrettsrognkjeks er hentet fra Herrmann et al. (2021). Innhenting av morfologidata og gjennomfallsforsøkene ble utført i juni 2017 på en oppdrettsstasjon ved Langstein (Trøndelag). For oppdrettet berggylte og villfanget grønngylte ble samme type data innhentet i september 2024, parallelt med trengingsforsøkene. Forsøkene ble gjort på henholdsvis Forskningsstasjonen Austevoll og Forskningsstasjonen Flødevigen. Undersøkelser for villfanget berggylte inngikk ikke i bestillingen, men det ble allikevel målt morfologi på et mindre antall individer av vill berggylte i samme størrel sesorden som de største oppdrettsberggyltene i forsøkspopulasjonen. Formålet var å undersøke potensielle morfologiske likheter mellom begge variantene, og muligheten til å overføre resultatene fra oppdrettet berggylte til vill berggylte.

For alle forsøkene var det i datasamlingsperioden kontinuerlig tilgang til levende fisk slik at målinger kunne gjennomføres før rigor mortis inntraff. I beregningene inngikk data for 100 stk oppdrettet rognkjeks, 80 stk oppdrettet berggylte, 15 stk villfanget berggylte og 100 stk grønngylte.

I tillegg til lengde og vekt for hvert individ, ble det målt konturen av to forskjellige tverrsnitt på fisken, Cross Section 1 (CS1) og Cross Section 2 (CS2). Tverrsnittene ble tatt ved bakkant av gjellelokket og ved den maksimale transversale perimeteren på fisken, ved starten av ryggfinnen (Fig. 7-9). Av erfaring er tverrsnittet av fisken ved disse to punktene avgjørende for hvorvidt den vil kunne trenge seg gjennom en maske eller ikke. Tverrsnittene ble digitaliserte i FISHSELECT-softwaren for videre analyse (Fig. 10).

 

Figur 7 : CS1 og CS2 tverrsnittene målt på oppdrettet rognkjeks.
Figur 7 : CS1 og CS2 tverrsnittene målt på oppdrettet rognkjeks.

 

Figur 8 : CS1 og CS2 tverrsnittene målt på oppdrettet berggylte.
Figur 8 : CS1 og CS2 tverrsnittene målt på oppdrettet berggylte.

 

Figur 9 : CS1 og CS2 tverrsnittene målt på grønngylte.
Figur 9 : CS1 og CS2 tverrsnittene målt på grønngylte.

 

Figur 10 : Illustrasjon av digitalisering av tverrsnitt i FISHSELECT. Eksempelet vist her hører til CS2 hos oppdrettet rognkjeks.
Figur 10 : Illustrasjon av digitalisering av tverrsnitt i FISHSELECT. Eksempelet vist her hører til CS2 hos oppdrettet rognkjeks.

For hver eneste oppdrettsrognkjeks, oppdrettsberggylte og grønngylte ble det gjort dropptester for 478 forskjellige geometriske åpninger. Åpningene, som kan betraktes som rigide masker, inkluderte diamant, kvadrat, rektangulære og heksagonale former (Fig. 11).

Figur 11 : Bildeserie som viser dropptestene gjennomført for oppdrettet rognkjeks (øvre rekke), oppdrettet berggylte (midt rekke) og grønngylte (nedre rekke).
Figur 11 : Bildeserie som viser dropptestene gjennomført for oppdrettet rognkjeks (øvre rekke), oppdrettet berggylte (midt rekke) og grønngylte (nedre rekke).

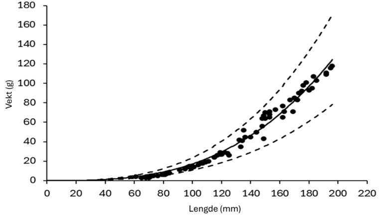
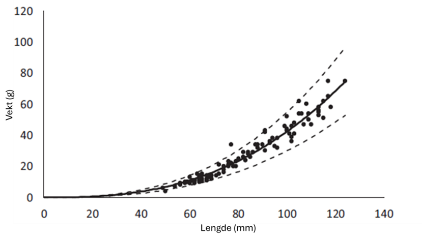
Blant fiskene som var tilgjengelige for forsøkene, ble det for FISHSELECT-beregningene valgt ut individer slik at de dekket det bredest mulige lengdeintervallet for hver art. Lengdeintervallet av oppdrettsrognkjeksen som ble benyttet var mellom 78 til 160 mm (Fig. 12), mens tilsvarende intervall for oppdrettet berggylte og grønngylte var henholdsvis 61 til 196 mm (Fig. 13) og 48 til 200 mm (Fig. 14). Lengdeintervallet til de 15 ville berggyltene inkluderte i forsøkene var mellom 131 og 213 mm (Fig. 15).

Figur 12 : Lengde-vekt forhold for rognkjeks inkludert i forsøkene (W = a × Lb). a = 2,225 × 10-4 og b = 2,64. R2 = 0,949. Stiplede linjene viser 95% konfidensintervall.
Figur 12 : Lengde-vekt forhold for rognkjeks inkludert i forsøkene (W = a × Lb). a = 2,225 × 10-4 og b = 2,64. R2 = 0,949. Stiplede linjene viser 95% konfidensintervall.

 

Figur 13 : Lengde-vekt forhold for oppdrettet berggylte inkludert i forsøkene (W = a × Lb). a = 2,389 × 10-5 og b = 2,93. R2 = 0,981. Stiplede linjene viser 95% konfidensintervall.
Figur 13 : Lengde-vekt forhold for oppdrettet berggylte inkludert i forsøkene (W = a × Lb). a = 2,389 × 10-5 og b = 2,93. R2 = 0,981. Stiplede linjene viser 95% konfidensintervall.

 

Figur 14 : Lengde-vekt forhold for grønngylte inkludert i forsøkene (W = a × Lb). a = 1,549 × 10-5 og b = 2,99. R2 = 0,991. Stiplede linjene viser 95% konfidensintervall.
Figur 14 : Lengde-vekt forhold for grønngylte inkludert i forsøkene (W = a × Lb). a = 1,549 × 10-5 og b = 2,99. R2 = 0,991. Stiplede linjene viser 95% konfidensintervall.

 

 

Figur 15 : Lengde-vekt forhold for vill berggylte inkludert i forsøkene (W = a × Lb). a = 9,620 × 10-6 og b = 3,08. R2 = 0.966. Stiplede linjene viser 95% konfidensintervall.
Figur 15 : Lengde-vekt forhold for vill berggylte inkludert i forsøkene (W = a × Lb). a = 9,620 × 10-6 og b = 3,08. R2 = 0.966. Stiplede linjene viser 95% konfidensintervall.

 

3.3.2 - Prediksjoner

Oppdrettet rognkjeks

Alle prediksjonene presentert her for oppdrettsrognkjeks er hentet fra eller basert på data fra Herrmann et al. (2021).

FISHSELECT-beregnet minstestørrelse ved 99% retensjon (L99) for oppdrettsrognkjeks er gitt i Tabell 4. Beregningene er gjort for fire forskjellige nottilstander (stiv, halvslakk med 75 % maskeåpning, halvslakk med 90 % maskeåpning, og slakke masker) og for maskeåpninger fra 10 til 60 mm, med steg på 10 mm.

Maskeåpning OP
(mm) 100% (Stiv) 75% 90% Slakk
10 12,47 14,60 14,50 16,69
15 20,65 21,63 22,83 27,61
20 27,10 30,24 31,96 37,25
25 36,23 37,25 41,56 47,68
30 45,92 47,25 51,71 61,73
35 52,27 58,15 59,00 73,41
40 62,43 68,73 69,98 84,26
45 69,12 77,01 81,51 98,26
50 81,12 87,95 96,25 110,16
55 91,98 96,85 102,00 126,01
60 99,70 106,57 113,31 136,23
Tabell 4 : Rognkjeks. L99 for rognkjeks med stive firkant masker (100% OP), heksagonale masker som representerer kvadrat masker med hhv 75 % og 90 % OP, og slakke masker. Merk at med slakke masker er fasongen til masken uvesentlig, det er kun størrelsen på masken som avgjør L99 .

Basert på verdiene i Tabell 4 er det etablert relasjoner mellom L99 og maskeåpning for hver nottilstand:

Slakk maske: L99 = 2,4249*maskeåpning –10,3922

90% OP: L99 = 2,0032*maskeåpning – 7,8754

75% OP: L99 = 1,8816*maskeåpning – 7,1066

Stiv maske: L99 = 1,7560*maskeåpning – 7,0076

Relasjonene er vist grafisk i Figur 16.

Figur 16 : Rognkjeks. L 99 som funksjon av maskeåpning for hhv stive firkant masker (100% OP), heksagonale masker som representerer kvadrat masker med 75% og 90 % OP, og slakke masker. Merk at med slakke masker er fasongen til masken uvesentlig, det er kun størrelsen på masken som avgjør L 99 .
Figur 16 : Rognkjeks. L99 som funksjon av maskeåpning for hhv stive firkant masker (100% OP), heksagonale masker som representerer kvadrat masker med 75% og 90 % OP, og slakke masker. Merk at med slakke masker er fasongen til masken uvesentlig, det er kun størrelsen på masken som avgjør L99 .

Resultatene viser tydelig at firkantmasker i stiv tilstand (ikke deformerbare kvadratmasker) tillater sikker bruk av de mindre størrelsene rognkjeks som rensefisk i laksemerdene uten risiko for rømming, mens maskene må reduseres betydelig for å opprettholde samme sikkerhetsnivå hvis maskene er slakke eller halvslakke (Fig. 16; Tabell 3). For eksempel, for å holde rognkjeks ≥150 mm på en sikker måte, må maskeåpningen i nota ikke være større enn ~67 mm dersom maskene til tider er helt slakke. Men hvis maskene alltid er stive, dvs. at de til enhver tid beholder sin firkanta fasong, kan største maskeåpning økes til ~87 mm med 99% sikkerhet for at ingen fisk >150 mm vil rømme. For halvslakke firkantmasker (heksagonale) er rømningsrisiko høyere enn for stive firkant- masker, men lavere enn for slakke masker. Rømningsrisikoen for halvslakke masker er nærmest den for helt slakke masker når førstnevnte har en OP på ca. 90 %. Dette mønsteret var likt for hele maskeåpningsintervallet (10–60 mm) (Fig. 16). Isolinjene i designguiden (DG) (Fig. 17) viser de minste størrelsene av rognkjeks som trygt kan brukes (rømningsrisiko <1%) ved ulike maskeåpninger og OP. DG viser tydelig at større maskestørrelse krever bruk av større rognkjeks, uavhengig av åpningsgrad for maskene, for å unngå rømningsrisiko.

Designguiden (Fig. 17) viser også at rømningsrisikoen for halvslakke masker med høy grad av åpenhet er større enn for stive kvadratmasker (100% åpenhet). For alle maskeåpninger som vurderes, øker rømningsrisikoen med økende åpningsgrad opp til ~90 %, og deretter reduseres med videre åpningsgrad til 100 % åpenhet (firkantede stive masker). Hvis nota i merdene endres fra 30 mm kvadratmasker til 50 mm kvadratmasker, bør minimumsstørrelsen på rognkjeks brukt i merden økes med ~40 mm for å opprettholde rømningsrisikoen <1 %, uavhengig av åpningsgrad (% OP).

Figur 17 : Isolinjer for L 99 for minste maskeåpning og OP som hindrer rømming (< 1 % sjanse) av rognkjeks. Som eksempel, viser de stiplede linjene estimater for 30 og 50 mm masker, som er blant de mest de mest brukte maskeåpningene for henholdsvis smolt og større laks i norsk lakseoppdrett.
Figur 17 : Isolinjer for L99 for minste maskeåpning og OP som hindrer rømming (< 1 % sjanse) av rognkjeks. Som eksempel, viser de stiplede linjene estimater for 30 og 50 mm masker, som er blant de mest de mest brukte maskeåpningene for henholdsvis smolt og større laks i norsk lakseoppdrett.

Oppdrettet berggylte

FISHSELECT-beregnet minstestørrelse ved 99% retensjon (L99) for oppdrettet berggylte er gitt i Tabell 5. Beregningene er gjort for fire forskjellige nottilstander (stiv, halvslakk med 75 % maskeåpning, halvslakk med 90 % maskeåpning, og slakke masker) og for maskeåpninger fra 10 til 60 mm, med steg på 10 mm.

.Maskeåpning OP
(mm) 100% (Stiv) 75% 90% Slakk
10 36,17 45,22 36,55 45,63
15 46,27 55,89 58,99 68,67
20 69,55 79,69 75,27 85,39
25 76,07 94,86 94,91 95,24
30 86,39 110,38 105,01 126,76
35 112,65 124,39 128,85 142,87
40 127,40 141,28 142,14 160,25
45 143,55 150,80 155,69 173,96
50 155,69 164,68 170,75 194,40
55 168,88 175,93 189,63 211,44
60 182,99 190,55 206,62 231,11

Tabell 5 : Oppdrettsberggylte. L99 for oppdrettet berggylte med stive firkant masker (100% OP), heksagonale masker som representerer kvadrat masker med 75% og 90 % OP, og slakke masker. Merk at med slakke masker er fasongen til masken uvesentlig, det er kun størrelsen på masken som avgjør L99 .

Basert på verdiene i tabell 5 er det etablert relasjoner mellom L99 og maskeåpning for hver nottilstand:

Relasjoner (maskeåpning i cm):

Slakk maske: L99 = y = 3.6662* maskeåpning + 11.292

90% OP: L99 = 3,3055* maskeåpning + 8,343

75% OP: L99 = 2,9174* maskeåpning + 19,134

Stiv maske: L99 = 3,0162* maskeåpning + 4,033

Relasjonene er vist grafisk i Figur 18.

Figur 18 : Oppdrettsberggylte. L 99 som funksjon av maskeåpning for oppdrettet berggylte for hhv stive firkantmasker (100% OP), heksagonale masker som representerer kvadratmasker med 75% og 90 % OP, og slakke masker. Merk at med slakke masker er fasongen til masken uvesentlig, det er kun størrelsen på masken som avgjør L 99 .
Figur 18 : Oppdrettsberggylte. L99 som funksjon av maskeåpning for oppdrettet berggylte for hhv stive firkantmasker (100% OP), heksagonale masker som representerer kvadratmasker med 75% og 90 % OP, og slakke masker. Merk at med slakke masker er fasongen til masken uvesentlig, det er kun størrelsen på masken som avgjør L99 .

Resultatene viser at stive (ikke deformerbare) kvadratmasker har betydelig lavere L99 enn halvslakke og slakke masker i samme størrelse. Dermed er det nødvendig å redusere maskeåpningen eller øke størrelsen av berggylten brukt om det er risiko for at fisken skal ha tilgang til deformerte eller deformerbare kvadratmasker (Fig. 18).

Eksempelvis må maskene i ei not der maskene til tider kan bli slakke ha en maksimal størrelse på 35 mm for å holde tilbake oppdrettsberggylter ≥ 150 mm på en sikker måte. Hvis maskene derimot er utelukkende stive, kan maskesåpningen trygt økes til 45 mm. For halvslakke firkant masker (heksagonale) med åpningsgrad på 75 %, er rømmings-risikoen stort sett mindre enn for masker med åpningsgrad på 90 %. Rømmingsrisikoen ved bruk av halvslakke masker med OP mellom 75 % og 100 % ligger mellom rømmingsrisikoen for stive og slakke masker.

Isolinjene i DGen for oppdrettet berggylte (Fig. 19) viser de minste størrelsene av denne arten som trygt kan brukes (rømningsrisiko <1%) ved ulike maskeåpninger og OP. Større maskevidde med samme OP krever bruk av større berggylte for å unngå rømningsrisiko. For alle maskeåpninger i DGen, øker rømningsrisikoen med økende åpningsgrad opp til ~90 %, og deretter reduseres den til 100 % åpenhet (firkantede stive masker). For eksempel, ved å øke maskeåpningen i nota fra 30 til 50 mm må størrelsen på fisken økes med ca. 5 cm for å opprettholde rømningsrisiko <1 %, uavhengig av maskeåpningen. DGen viser også at OP får større betydning for rømningsrisikoen ved bruk av større masker.

Figur 19 : Isolinjer av L 99 for minstemaskeåpning og OP som hindrer rømming (< 1 % sjanse) av oppdrettet berggylte. Som eksempel, viser de stiplede linjene estimater for 30 og 50 mm masker, som er blant de mest de mest brukte maskeåpninger for henholdsvis smolt og større laks i norsk lakseoppdrett.
Figur 19 : Isolinjer av L99 for minstemaskeåpning og OP som hindrer rømming (< 1 % sjanse) av oppdrettet berggylte. Som eksempel, viser de stiplede linjene estimater for 30 og 50 mm masker, som er blant de mest de mest brukte maskeåpninger for henholdsvis smolt og større laks i norsk lakseoppdrett.

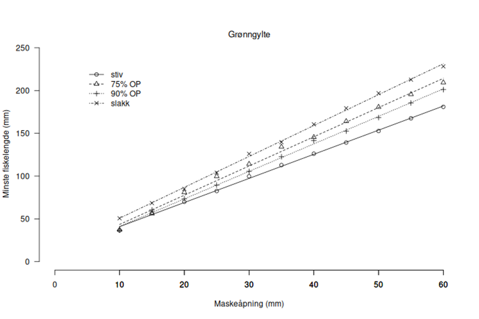
Grønngylte

FISHSELECT-beregnet minstestørrelse ved 99 % retensjon (L99) for grønngylte er gitt i Tabell 6. Beregningene er gjort for fire forskjellige nottilstander (stiv, halvslakk med 75 % maskeåpning, halvslakk med 90 % maskeåpning, og slakke masker) og for maskeåpninger fra 10 til 60 mm, med steg på 10 mm.

Maskeåpning OP
(mm) 100% (Stiv) 75% 90% Slakk
10 36,49 37,22 36,84 50,65
15 57,28 56,01 60,41 68,44
20 69,99 81,01 73,48 84,97
25 82,53 99,72 89,48 104,03
30 99,74 114,12 105,52 126,00
35 112,87 134,24 122,65 139,66
40 126,16 145,49 141,38 160,54
45 139,22 164,06 152,62 179,35
50 152,70 180,78 168,40 196,86
55 167,54 195,62 185,49 212,76
60 180,97 209,40 201,10 228,28

Tabell 6 : Grønngylte. L99 for grønngylte med stive firkant masker (100% OP), heksagonale masker som representerer kvadrat masker med 75% og 90 % OP, og slakke masker. Merk at med slakke masker er fasongen til masken uvesentlig, det er kun størrelsen på masken som avgjør L99 .

Basert på verdiene i Tabell 6 er det etablert relasjoner mellom L99 og maskeåpning for hver nottilstand:

Slakk maske: L99 = 3,6114* maskeåpning + 14,6495

90% OP: L99 = 3,2155* maskeåpning + 9,0369

75% OP: L99 = 3,0721* maskeåpning + 9,3255

Stiv maske: L99 = 2,8207* maskeåpning + 12,6846

Relasjonene er vist grafisk i Figur 20.

Resultatene for grønngylte med stive og slakke masker er veldig like resultatene for oppdrettet berggylte, men når det gjelder halvslakke masker, viser det seg at for grønngylte innebærer masker med 75% OP større rømmingsrisiko enn masker med 90% OP. Som for rognkjeks og oppdrettet berggylt, er det nødvendig å redusere maskeåpningen eller øke størrelsen av grønngylten brukt om det er risiko for at fisken skal ha tilgang til deformerte eller deformerbare kvadratmasker (Fig. 20).

Figur 20 : Grønngylte. L 99 som funksjon av maskeåpning for grønngylte for hhv stive firkant masker (100% OP), heksagonale masker som representerer kvadrat masker med 75% og 90 % OP, og slakke masker. Merk at med slakke masker er fasongen til masken uvesentlig, det er kun størrelsen på masken som avgjør L 99.
Figur 20 : Grønngylte. L99 som funksjon av maskeåpning for grønngylte for hhv stive firkant masker (100% OP), heksagonale masker som representerer kvadrat masker med 75% og 90 % OP, og slakke masker. Merk at med slakke masker er fasongen til masken uvesentlig, det er kun størrelsen på masken som avgjør L99.

DGen for grønngylte (Fig. 21) viser de minste størrelsene av denne arten som trygt kan brukes (rømningsrisiko <1%) ved ulike maskeåpninger og OP. Større maskevidde med samme OP krever bruk av større grønngylte for å unngå rømningsrisiko. For maskeåpninger over 30 mm øker rømningsrisikoen med økende åpningsgrad opp til ~75 %, og deretter reduseres den til 100 % åpenhet (firkantede stive masker). For eksempel, ved å øke maskeåpningen i nota fra 30 til 50 mm må størrelsen på fisken økes med ca. 6 cm for å opprettholde rømningsrisiko <1 %, uavhengig av åpningsgrad. Som for berggylte, viser DGen at OP får større betydning for rømningsrisikoen ved bruk av større masker.

Figur 21 : Isolinjer av L99 for minstemaskeåpning og OP som hindrer rømming (< 1 % sjanse) av grønngylet. Som eksempel, viser de stiplede linjene estimater for 30 og 50 mm masker, som er blant de mest de mest brukte maskeåpninger for henholdsvis smolt og større laks i norsk lakseoppdrett.
Figur 21 : Isolinjer av L99 for minstemaskeåpning og OP som hindrer rømming (< 1 % sjanse) av grønngylet. Som eksempel, viser de stiplede linjene estimater for 30 og 50 mm masker, som er blant de mest de mest brukte maskeåpninger for henholdsvis smolt og større laks i norsk lakseoppdrett.

 

3.3.3 - Oppdrettet berggylte sammenlignet med vill berggylte

Basert på morfologien til de 80 oppdrettsberggyltene og de 15 ville berggyltene målt i Austevoll, ble morfologiske likheter mellom de to variantene studert. Målet var å undersøke om en kan overføre resultatene fra oppdrettet berggylte til vill berggylte.

Fasongen og størrelsen til fem oppdrettede berggylter og fem ville berggylter av samme lengde ble sammenlignet. Resultatene viste at tverrsnittet til vill berggylte mellom 5 og 25 cm kan være opp til 20% mindre enn tilsvarende tverrsnitt for oppdrettet berggylte, i.e. vill berggylte er betydelig slankere enn oppdrettet berggylte (Figur 22).

 

Figur 22: Areal av CS1 og CS2 for fem ville berggylte og fem oppdrettet berggylte mellom 50 og 250 mm. Forholdet (ratio) mellom begge variantene er vist i siste kolonnen. Det to nederste radene illustrerer forskjellen i tversnitsarealet mellom vill berggylte (grønn) og oppdrettet berggylte (blå) samt skala mellom dem.
Figur 22: Areal av CS1 og CS2 for fem ville berggylte og fem oppdrettet berggylte mellom 50 og 250 mm. Forholdet (ratio) mellom begge variantene er vist i siste kolonnen. Det to nederste radene illustrerer forskjellen i tversnitsarealet mellom vill berggylte (grønn) og oppdrettet berggylte (blå) samt skala mellom dem.

 

4 - Diskusjon

I denne studien er det beregnet minste rømmingssikre lengde for oppdrettsrognkjeks, oppdrettsberggylte og villfanget grønngylte ved utsett i oppdrettsnøter. Lengden er fastsatt som den lengden som gir 99% retensjonssannsynlighet (L99) ved tilpasning av en seleksjonsmodell for den aktuelle maskestørrelsen. L99 ble valgt fordi lengde ved 100% retensjon i en modellsammenheng er en asymptotisk verdi og følgelig en ikke-endelig størrelse. Teoretisk vil det derfor være 1% rømmingssannsynlighet ved bruk av den beregnede minstelengden. Beregningene er gjort med to uavhengige metoder, hhv trengingsforsøk og FISHSELECT. Trengingsforsøkene er gjort for de fire mest benyttede (nominelle) maskeåpningene; 26, 30, 40 og 50 mm. For disse maskestørrelsene kan derfor estimatene fra de to metodene sammenlignes.

Trengingsforsøkene ble gjort med poser laget av varmebehandlet, uimpregnert polyamid. Den oppgitte (nominelle) maskeåpningen i notsertifikatet er målt på tørt notlin, men forsøk viste at maskeåpningen er ca. 10% større når notlinet er vått. Samtidig vil notlinet som oftest være impregnert ved utsett. Impregneringen, samt begroing og håndtering vil redusere faktisk maskeåpning. Det er den faktiske maskeåpningen nota har når den står i sjøen som bestemmer retensjon. Maskeåpning bør derfor alltid måles under gjeldende oppdrettsbetingelser, og minstelengde av rensefisk (L99) relateres til denne.

FISHSELECT-metodikken muliggjør prediksjon for en vilkårlig form på maskeåpningen, men i beregningene presentert over er det antatt kvadratmaskeform som er det som er mest benyttet i oppdrettsnøter. Det er så gjort prediksjoner for stive, halvslakke og slakke masker. Halvslakke masker er simulert i form av heksagonale masker. Jo slakkere masken er, dess mer kan den deformeres og forme seg etter tverrsnittet på fisken. Dette reflekteres i de predikerte verdiene som viser betydelig høyere L99 for slakke enn for stive masker. Som diskutert i delrapport 1 (Jørgensen et al., 2024), er det ikke gjort noen direkte studier av hvor deformerbare maskefasongene i oppdrettsnøter er. Estimatene fra trengingsforsøkene stemmer imidlertid best med estimatene for halvslakke masker (90% åpningsgrad) (Tabell 7).

Bruk av FISHSELECT-beregningene for slakke masker vil gi det mest konservative estimatet for minstestørrelse av rensefisk som kan settes ut i oppdrettsnøter uten fare for rømming gjennom maskene i notposen. Uten detaljert kunnskap om hvor deformerbare maskene i ei oppdrettsnot er, bør derfor denne benyttes dersom det er avgjørende å hindre rømming.

Maskeåpning Trengingsforsøk Masketilstand
Nominell (mm) Målt (våt) (mm) (cm) Slakk (cm) 90% OP (cm) 75% OP (cm) Stiv (cm)
         
OPPDRETTSBERGGYLTE        
26 30,56 10,9 12,3 10,9 8,6 9,6
30 34,67 12,8 13,8 12,3 9,5 10,9
40 43,15 17,2 16,9 15,1 11,4 13,4
50 55,62 NA 21,5 19,2 14,1 17,2
             
GRØNNGYLTE        
26 30,56 NA 11,3 9,7 9,3 9,0
30 34,67 12,8 14,0 12,1 11,6 11,0
40 43,15 15,1 17,0 14,8 14,2 13,4
50 55,62 19,2 21,6 18,7 18,0 17,0

Tabell 7 : Sammenstilling av estimert lengde (cm) ved 99% retensjon basert på trengingsforsøk og FISHSELECT-simuleringer. FISHSELECT-estimatene er beregnet for de faktisk målte maskeåpningene i notposene (vått notlin) som ble benyttet i trengingsforsøkene.

Godt samsvar mellom prediksjonene fra FISHSELECT-beregningne og trengingforsøkene tilsier at modelleringen gir pålitelige resultater. Mens trengingsforsøkene kun gir estimat for de testede maskeåpningene, kan FISHSELECT resultatene benyttes for å beregne minste fiskestørrelse for utsett i en not av en vilkårlig maskeåpning. Dette gjøres ved bruk av de lineære sammenhengene som er beregnet for hver art. Om det skulle trenges i fremtiden, vil FISHSELECT dataene som er hentet i disse forsøkene gi muligheten til å beregne seleksjon for disse artene for andre maskefasonger enn kvadratmasker uten ytterligere feltforsøk.

Beregningene med FISHSELECT viser at små endringer i maskåpning kan ha stor innvirkning på den estimerte, rømmingssikre minstelengden. For eksempel vil en økning i maskeåpning fra 30 til 35 mm bety at minstestørrelsen på rognkjeks, berggylte og grønngylte må økes henholdsvis fra 6,2 til 7,3 cm, fra 12,7 til 14,3 cm og fra 12,6 til 14,0 cm (Tabell 4-6). Faktisk maskeåpning bør derfor alltid måles før en beregner minste rømmingssikre størrelse på rensefisken som skal settes ut i ei not med en gitt maskeåpning.

Estimatene fra trengingsforsøkene med oppdrettsberggylte viste at fisk større enn 10,9 cm kan brukes i nøter med en faktisk maskeåpning på 31 mm (26 mm nominell), mens en faktisk maskeåpning på 35 mm (30 mm nominell) krever fisk større enn 12,8 cm. Utsett i ei not med maskeåpning på 43 mm (40 mm nominell) betinger fisk større enn 17,2 cm. Oppdrettsberggylte vokser imidlertid seint, og fisk av sistnevnte størrelse krever flere års produksjonssyklus. Den blir da dyr, og stor oppdrettsberggylte er derfor trolig lite aktuell til bruk som rensefisk.

Resultatene fra trengingsforøkene med grønngylte viser at fisk på og like over lovlig minstestørrelse (12 cm) kun bør settes ut i nøter med faktisk maskeåpning mindre enn ca. 30 mm (nominell 26 mm) (Tabell 2). I delrapport 1 ble det antydet at fisk av lovlig minstestørrelse også kunne benyttes i nøter med 30 mm nominell maskeåpning (35 mm faktisk maskeåpning). Datagrunnlaget for denne konklusjonen var imidlertid svakt og tillot ikke tilpasning av en retensjonsmodell. Villfanget grønngylte over gjeldende minstemål må derfor størrelsessorteres før utsett i nøter med maskeåpning >= 30 mm. Beregningene fra FISHSELECT viser at grønngylte på 12,6 cm kan rømme fra helt slakke (dvs. optimale rømmingsforhold) 30 mm masker, så hvis slike masker skal brukes er det anbefalt å bruke fisk som er litt over minstemålet (e.g. 13 cm).

Beregninger for villfanget berggylte inngikk ikke direkte i prosjektet. Det ble imidlertid innhentet data for et mindre antall fisk. Dette ble gjort for å undersøke hvorvidt prediksjoner for oppdrettsberggylte kunne benyttes også for vill berggylte. Målinger av tverrsnitt viste imidlertid at villfanget berggylte kan ha opp til ca. 20% mindre tverrsnitt en oppdrettsberggylter av samme lengde. Dette viser at relasjonene etablert for oppdrettsberggylte ikke bør benyttes for vill berggylte da det kan resultere i utilsiktet rømming. Dagens minstemål for villfanget berggylte er 22 cm. Dropptester av et mindre antall (8 stk) ville berggylter på 22 cm indikerte at disse ikke kan passere gjennom maskene i notposen med 50 mm nominell (55 mm faktisk) maskeåpning. Med forbehold om en liten prøvestørrelse, indikerer dette at med gjeldende minstemål kan villfanget berggylte benyttes uten rømmingsfare i nøter med maskeåpning mindre eller lik 50 mm nominell.

Kondisjonsfaktor på fisken er en avgjørende parameter for seleksjon. Man kan forvente at oppdrettsberggylten ved utsett har noenlunde lik kondisjon gjennom året fordi den vokser under konstante forhold. For villfanget grønngylte kan det være endring i løpet av fangstsesongen, med noe lavere kondisjon først i sesong, f.eks. for fisk som har gytt. Våre forsøk ble gjennomført i begynnelsen av september, da fisken er antatt å ha god kondisjon. Rensefisk vil også kunne endre kondisjon etter at den har gått en tid i nøtene. Dette er rapportert av oppdrettere for oppdrettsberggylte, som etter 6-8 måneder i sjøen var blitt mer lik villfanget berggylte, trolig på grunn av mer aktivitet og overgang til naturlig føde. Delrapport 1 (Jørgensen et al., 2024) diskuterer ytterligere påvirkningen av kondisjonen i fisken på minstestørrelse anbefalingene.

Beregningene for minste, rømmingssikre størrelse ved utsett av rognkjeks er basert på en tidligere, fagfellevurdert studie gjort ved på bruk av FISHSELECT-metoden (Herrmann et al., 2021). Selv om det ikke er gjort verifiseringsstudier av prediksjonene fra denne studien, tilsier empirien fra forsøkene med bergnebb (Sistiaga et al., 2021; Jørgensen et al., 2024), berggylte og grønngylte at FISHSELECT-beregningene gir nøyaktige prediksjoner.

5 - Konklusjoner

  • Minstelengde for utsett av rensefisk av oppdrettsberggylte, villfanget grønngylte og oppdrettsrognkjeks er beregnet.

  • For villfanget grønngylte bør fisk av minste lovlige størrelse (12 cm) kun settes ut i nøter med faktisk maskeåpning mindre eller lik 30 mm (26 mm nominell).

  • Oppdrettet rensefisk kan få markant lavere kondisjon etter noen måneder i en oppdrettsnot, og dette må hensynstas ved valg av fiskestørrelse/maskeåpning.

  • Trengingsforsøk for oppdrettsberggylte og villfanget grønngylte viser generelt best samsvar med FISHSELECT-beregningene for halvslakke masker (90% maskeåpning).

  • Det er presentert relasjoner mellom minstestørrelse og maskeåpning for slakke maske for alle de tre artene. Disse kan brukes for å beregne minstestørrelse ved utsett for en vilkårlig maskestørrelse.

  • Små endringer i maskeåpningen resulterer i betydelige endringer i minste fiskelengde for rømmingssikkert utsett.

  • Nominell maskeåpning i notsertifikat er som oftest gitt for tørt, uimpregnert notlin. Maskeåpningen for polyamid øker ca. 10% når notlinet blir vått. Impregnering og bruk kan også endre faktisk maskeåpning. Oppdrettere bør derfor alltid måle faktisk maskevidde i nota det skal settes ut rensefisk i, og bruke denne i beregningen av minste fiskelengde.

6 - Referanser

Herrmann, B., Krag, L., Frandsen, R., Madsen, N., Lundgren, B., Stæhr, K.J., 2009. Prediction of selectivity from morphological conditions: methodology and case study on cod ( Gadus morhua ). Fish. Res. 97, 59–71.

Herrmann, B., Sistiaga, M., Jørgensen, T., 2021. Size-dependent escape risk of lumpfish ( Cyclopterus lumpus ) from salmonid farm nets. Mar. Pollut. Bull. 162,111904.

Herrmann, B., Sistiaga, M., Nielsen, K.N., Larsen, R.B., 2012. Understanding the size selectivity of redfish (Sebastes spp.) in North Atlantic trawl codends. J. Northw. Atlant. Fish. Sci. 44, 1–13 (ISSN: 1813–1859).

Jørgensen, T., Halvorsen, K. A. T., Skiftesvik, A. B., Harboe, T., Sistiaga, M., Bjelland, R. M., Kvalvik, L. B. K., 2024. Minstestørrelse på rensefisk ved utsett i oppdrettsnøter for å hindre rømming-Del 1: Bergnebb og små grønngylte. Rapport fra havforskningen, 2024-33. https://www.hi.no/hi/nettrapporter/rapport-fra-havforskningen-2024-33

NS 9415:2021. Flytende akvakulturanlegg - Lokalitetsundersøkelse, prosjektering, utførelse og bruk.

Sistiaga, M., Herrmann, B., Jørgensen, T., 2021. Prediction of goldsinny wrasse ( Ctenolabrus rupestris ) minimum size required to avoid escape through salmon ( Salmo salar ) farm nets. Aquaculture 543, 737024.