Go to main content

Survey report (Part 1) from the joint Norwegian/Russian Ecosystem Survey in the Barents Sea and the adjacent waters August-October 2023

— Covering Survey Execution, Data Management, Plankton Community, Fish Recruitment, Commercial Pelagic Fish and Fish Biodiversity

Author(s): Elena Eriksen (IMR), Dmitry Prozorkevich (VNIRO-PINRO), Stine Karlson , Sarah Joanne Lerch (IMR), Tatiana Prokhorova (VNIRO-PINRO), Berengere Husson (IMR), Andrey Dolgov (VNIRO-PINRO) and Georg Skaret (IMR)
Editor(s): Dmitry Prozorkevich (VNIRO-PINRO) and Gro van der Meeren (IMR)

Summary

The aim of the joint Norwegian/Russian ecosystem survey in the Barents Sea and adjacent waters, August-October (BESS) is to monitor the status and changes in the Barents Sea ecosystem and provide data to support stock advice and research. The survey has since 2004 been conducted annually in the autumn, as a collaboration between the Institute of Marine Research (IMR) in Norway and the Polar branch of the VNIRO (PINRO) in Russia. The general survey plan and tasks were agreed upon at the annual IMR-PINRO Meeting in March 2023. Ship routes and other technical details are agreed on by correspondence between the survey coordinators. BESS aims at covering the entire Barents Sea. Ecosystem stations are distributed in a 35×35 nautical mile regular grid, and the ship tracks follow this design. Exceptions are the area around Svalbard/Spitsbergen, some additional bottom trawl hauls for demersal fish survey indices estimation, and additional acoustic transects for the capelin stock size estimation.  
The 20-th BESS was carried out during the period from 10th August to 7th October by the Norwegian research vessels “Kronprins Haakon”, “G.O. Sars” and “Johan Hjort”, and the Russian vessels “Vilnyus”.

This is a first part of the survey report summarising the observations and status assessments based on the survey data. The information obtained in BESS 2023 will be further used for the implementation of various international and national projects, assessment of fish and invertebrate stocks, environmental monitoring, etc.

1 - Background

The aim of the joint Norwegian/Russian ecosystem survey in the Barents Sea and adjacent waters, August-October (BESS) is to monitor the status and changes of in the Barents Sea ecosystem. The survey has since 2004 been conducted annually in the autumn, as a collaboration between the IMR in Norway and the Polar Branch of VNIRO (PINRO) in Russia. The general survey plan, tasks, and sailings routes are usually agreed at the annual PINRO-IMR Meeting in March, but in 2023, due to external factors making physical meetings between Norwegian and Russian researchers difficult, they were agreed by correspondence. Survey coordinators in 2023 was Dmitry Prozorkevich (PINRO) and Geir Odd Johansen (IMR). No exchange of Russian and Norwegian experts between their respective ships in 2023. The 20-th BESS was carried out during the period from 10th August to 7th October by the Norwegian research vessels “Kronprins Haakon”, “G.O. Sars” and “Johan Hjort”, and the Russian vessels “Vilnyus”. The scientists and technicians taking part in the survey onboard the research vessels are listed in Table 1.

As always, we would like to express our sincere gratitude to all the crew and scientific personnel onboard RVs “Vilnyus”, “G.O. Sars”, “Kronprins Haakon” and “Johan Hjort” and for their dedicated work, as well as all the people involved in planning and reporting of BESS 2023.

This is a first part of the survey report summarising the observations and status assessments based on the survey data. The information obtained in BESS 2023 will be further used for the implementation of various international and national projects, assessment of fish and invertebrate stocks, environmental monitoring, etc.

 

Table 1.1  Vessels, participants and experts on each survey leg.

Research vessel

Participants

”Vilnyus” (10.08–28.09)

Pavel Krivosheya (Cruise leader, Pelagic fish), Alexey Amelkin (Demersal fish), Alexandr Pronuk (Pelagic fish), Alexey Rolsky (Demersal fish), Timofeu Mishin (Demersal fish), Denis Okatov (Instrumentation),  Sergey Harlin (Instrumentation), Maksim Gubanishchev (Hydrologist), Alexey Kanischev (Hydrologist), Roman Klepikovsky (Sea birds and mammals), Marina Kalashnikova (Parasitologist), Kristina Hachaturova (Plankton, benthos), Alexandra Kudryashova (Plankton, Benthos).

“Kronprins Haakon” (15.09-6.10)

(15.09-06.10)

Elena Eriksen (Cruise leader), Heidi Gabrielsen (Benthos), Silje Seim (Demersal fish), Åse Husebø (Demersal fish), Susanne Tonheim (Pelagic fish), Erling Boge (Pelagic fish), Jan Henrik Simonsen (Plankton), Ragni Olssøn (Benthos), Elise Eidset (Demersal fish), Celina Eriksson Bjånes (Demersal fish), George McCallum (Marine mammals observer), Anna Tiu Kristina Simlia (Marine mammals observer), Asgeir Steinsland (Instrument chef ation), Hans Kristian Eide (Instrumentation), Monica Martinussen (Plankton), Berengere Husson (cruise leader under training), Arild Folkvord (Scientist guest, UiB), Jacob Max Christensen (Scientist guest, UiT), Joan Soto-Angel (Scientist guest, UiB), Jon Ford (Sea bird observer)

”G.O. Sars” (19.08–17.09)

Part 1 (19.08-01.09)

Edvin Fuglebakk (Cruise leader), Alexander Plotkin (Benthos), Else Holm (Demersal fish), Magne Olsen (Demersal fish), Adam Custer (Pelagic fish), Stine Karlson (Pelagic fish), Monica Martinussen (Plankton), Ida Vee (Benthos), Irene Huse (Demersal fish), Vidar Fauskanger (Demersal fish), Thomas André Sivertsen (Marine mammals observer), Lars Kleivane (Marine mammals observer), Sverre Waardal Heum (Instrumentation), Jan Frode Wilhelmsen (Instrumentation), Eli Gustad (Plankton), Gary Elton (sea bird observer)

 

Part 2 (01.09-17.9)

Rupert Wienerroither (Cruise leader), Mette Strand (Benthos), Anne Kari Sveistrup (Benthos), Sigmund Grønnevik (Demersal fish), Arne Storaker (Demersal fish), Thomas André Sivertsen (Marine mammal observer), Lars Kleivane (Marine mammal observer), Jan Frode Wilhelmsen (Instrument chef), Egil Frøyen (Instrumentation), Hilde Arnesen (Plankton), Irene Huse (Demersal fish), Else Holm (Demersal fish), Vilde Regine Bjørdal (Pelagic fish), Inger Henriksen (Pelagic fish), Hege Skaar (Plankton), Thomas André Sivertsen (Marine mammals observer), Lars Kleivane (Marine mammals observer), Gary Elton (sea bird observer).

”Johan Hjort” (24.08-7.10)

Part 1 (24.08-12.09)

Knut Korsbrekke (Cruise leader), Andrey Voronkov (Benthos), Halvard Aas Midtun (Demersal fish), Grethe Beate Thorsheim (Demersal fish), Audun Hjertager (Demersal fish), Erlend Lindau Langhelle (Demersal fish), Lage Drivenes (Instrument chef), Jarle Kristiansen (Instrumentation), Erling Boge (Pelagic fish), Tommy Gorm-Hansen Tøsdal (Pelagic fish), Ann-Kristin Olsen (Plankton), Marianne Petersen (Plankton), Penny Lee Liebig (Benthos), Yasmin Hunt (Marine Mammal observer), Frederike Boehm (Marine Mammal observer), Victoria Marja Sofia Ollus (sea bird observer).

 

Part 2 (12.09-07.10)

Georg Skaret (Cruise leader), Andrey Voronkov (Benthos), Frode Holen (Sea Mammals), Felicia Keulder-Stenevik (Benthos), Atle Børje Rolland (Demersal fish), Vidar Fauskanger (Demersal fish), Anne Hege Straume (Demersal fish), Magnar Mjanger (Instrument chef), Sindre Nygård Larsen (Instrumentation), Timo Meissner (Pelagic fish), Frøydis Tousgaard Rist (Pelagic fish), Markus Skadal (Demersal fish), Terje Berge (Plankton), Jon Rønning (Plankton), Nils Øien (Marine Mammal observer), Frode Holen (Marine Mammal observer).

2 - Survey Execution 2023

 

Figures by: S. Karlson and E. Bagøien

BESS aims to cover the entire ice-free area of the Barents Sea, from south to north. The ecosystem stations are distributed on a regular 35×35 nautical mile regular grid with the exception of the slope around Svalbard/Spitsbergen, with additional bottom trawl hauls for demersal fish indices estimation and additional acoustic transects east for Svalbard/Spitsbergen for the capelin stock size estimation. The planned vessel tracks for BESS 2023 are given in figure 2.1.

According to the plan, BESS 2023 was largely implemented. The realized tracks of the research vessel with the sampling taken are shown in Figures 2.2 and 2.3. The execution of BESS 2023 did not reveal any major changes or irregularities. The Russian vessel did not have enough allocated vessel-days to cover the region east of Franz Josef Land and in the north-eastern part of the survey area (Figures 2.2 and 2.3). A relatively large part of the Russian EEZ west of the Novaya Zemlya was closed for fishing at the request of the Russian Ministry of Defence, so survey area along the archipelago coast was not fully covered (Figure 2.2). For the same reason, some of the coverage of the Loophole has been moved from G.O. Sars part 1 to G.O. Sars part 2. A decrease in the number of standard pelagic trawls and reduced area coverage west of the Novaya Zemlya may lead to some underestimation of 0-group of cod, and significant underestimation of the polar cod stock size, including 0-group and juvenile Greenland halibut numbers. BESS 2023 was largely conducted according to the planned time schedule. In recent years, the number of ship days for a Russian vessel has been reduced with 10 %, while additional tasks (such as microplastic samples) have been added, leading to a reduction in survey area coverage. The planned schedule for BESS 2023 was 148 days (98 NOR+50 RUS), while the effective vessel days (time between first and last sample in the vessel logs) was 129 days (83 NOR+46 RUS). The difference between the two is as expected, as vessels need time for sailing to and from the harbor and preparation before sampling. The temporal and spatial progression during the survey was good (Figure 2.4). Weather conditions were very good for most of the period. Note that in reports from earlier years, only the planned schedule is reported.

The ecosystem survey in 2023 was similar to previous years, covering most ecosystem components. In addition to the standard coverage of most ecosystem components, the Norwegian vessels covered the oceanography sections “Vardø-Nord”, “Sørkapp-Vest”, and “Hinlopen” and the Russian vessel covered “Kola” section twice (Figure 2.3). During the BESS, a total of 362 pelagic hauls and 337 demersal were taken.

Figure 2.1. BESS 2023, planned survey map with ecosystem stations and vessel tracks.
Figure 2.1. BESS 2023, planned survey map with ecosystem stations and vessel tracks.

 

Figure 2.2. BESS 2023, realized vessel tracks with pelagic and bottom trawl sampling stations, note that some trawl stations are taken in addition to the regular ecosystem stations.
Figure 2.2. BESS 2023, realized vessel tracks with pelagic and bottom trawl sampling stations, note that some trawl stations are taken in addition to the regular ecosystem stations.
Figure 2.3. BESS 2023, realized vessel tracks with hydrography and plankton samples at ecosystem stations.
Figure 2.3. BESS 2023, realized vessel tracks with hydrography and plankton samples at ecosystem stations.

 

Figure 2.4. Progression of BESS 2023 in space and time. Points represent samples taken at ecosystem stations during the survey. The point’s colour indicates the number of Julian days between the first and last day of the survey. The colours scale from blue (early in the survey) to red (late in the survey).
Figure 2.4. Progression of BESS 2023 in space and time. Points represent samples taken at ecosystem stations during the survey. The point’s colour indicates the number of Julian days between the first and last day of the survey. The colours scale from blue (early in the survey) to red (late in the survey).

 


2.1 Sampling methods

In 2023, compared to 2022, there were no changes in sampling gear. Manta trawl was included as standard equipment for monitoring microplastics at BESS in 2022 and was also used in 2023. 47 samples were collected on Russian vessel and 25 on board Norwegian vessels. A new length stratified individual sampling of haddock, consisting of two fish taken for each 5 cm group, was started in 2022 and continued in 2023.

Plankton stations were carried out within the entire survey water area with sampling in the bottom-0 m layer. On the Kola hydrological section, plankton sampling collected separate for the layers: bottom-0 m, 100-0 m and 50-0 m.

The survey sampling manuals can be obtained by contacting the survey coordinators.

These manuals include methodological and technical descriptions of equipment, the trawling and capture procedures by the sampling tools, sampling and registration of the catch in the lab, and the methods that are used for calculating the abundance and biomass of the biota.

 

2.2 Special investigations

BESS is a useful platform for conducting additional studies in the Barents Sea. These studies can be testing of new methodology, sampling of data additional to the standard monitoring, or sampling of other types of data. It is imperative that the special investigations do not influence the standard monitoring activities at the survey. The special investigations vary from year to year, and below is a list of special investigation conducted on Russian and Norwegian vessels at BESS 2023, with contact persons. This chapter also briefly mentions some investigations that are typical during survey but not described in the main text of the BESS Report.

2.2.1   Annual monitoring of pollution levels

In 2023 PINRO continued the annual monitoring of pollution levels in the Barents Sea in accordance with a national program. Samples of seawater, sediments, fish and invertebrates was collected and analysed for persistent organic pollutants (POPs, e.g. PCBs, DDTs, HCHs, HCB) and heavy metals (e.g. lead, cadmium, mercury) and arsenic. The samples were collected at RV "Vilnyus" during BESS in the southern and eastern parts of the Barents Sea. The results from chemical analyses are available in the annual PINRO report “Status of biological resources…”.

Contact: Andrey Zhilin, PINRO (zhilin@pinro.vniro.ru)

 

 2.2.2     Collection of samples for biochemical studies

Frozen samples of commercial and non-commercial fish and invertebrates were collected for biochemical studies (ratio of body parts, chemical composition of nutrients, molecular weight of muscle proteins, amino acids and lipid fractions composition) in accordance with a research program. Samples were frozen at a temperature  -18°C immediately after catching before rigor mortis.

Contact: Kira Rysakova, PINRO-VNIRO (rysakova@pinro.vniro.ru)

 

 2.2.3    Fish pathology research

PINRO undertakes yearly investigations of fish diseases in the Barents Sea (mainly in REEZ). 10 commercially important fish species (total 10 710 ind.) were studied. Red king crabs and snow crabs (total 387 ind.)  were examined  also for define  “shell disease of crustaceans”. The main purpose of the pathology research is annual estimation of epizootic state of commercial fish and crabs species. The observations are entered into a database on pathology. This investigation was started by PINRO in 1999. Results are available in the annual PINRO report “Status of biological resources…”

Contact: Tatyana Karaseva, PINRO-VNIRO (karaseva@pinro.vniro.ru)

 

 2.2.4  Parasitological study

In 2023, observations of the infestation of commercial fish species with helminths that are hazardous to human health continued on board the RV Vilnyus. Cod, haddock, polar cod, capelin, Atlantic herring place and LRD were examined in order to identify hazardous parasites. The results will be published later in PINRO annual report. Moreover, parasite larvae Pseudoterranova sp. from different areas of the Barents Sea were collected and fixed for further genetic studies.

Contact: Irina Mukhina, PINRO-VNIRO (imukhina@pinro.vniro.ru)

 

2.2.5 Plankton and fish calorie content investigation

Plankton (copepods, hepreiids and euphausiids ) was also collected from a trawl net, which was attached to the upper frame of a mid-water trawl to assess the caloric content of prey items of commercial fish. Juvenile fish and macroplankton were also colled from pelagic trawl catches.

Contact: Anna Boyko, PINRO-VNIRO (syromolot@pinro.vniro.ru)

 

2.2.6 Hydrochemical observations

In August and September, hydrochemical observations were made onboard RV “Vilnyus” in the Kola section. Dissolved oxygen in the surface and bottom layers as well as biochemical oxygen demand during 5 days in the bottom layer were measured.

Contact: Alexander Trofimov, PINRO-VNIRO (trofimov@pinro.vniro.ru)

 

2.2.7 Fish diet study

Since 2004, investigations of diet of most abundant pelagic and demersal fish have been conducted annually during the BESS. In 2023 survey, onboard of Russian vessels stomachs of polar cod (374 stomachs), capelin (375 stomachs), cod (69 stomachs), haddock (203 stomachs), Greenland halibut (62 stomachs) and thorny skate (66 stomachs) were collected and frozen for detail analysis. In addition, express quantitative analysis of 3292 stomachs of 13 fish species (Atlantic herring, Kanin herring, capelin, polar cod, cod, haddock, long rough dab, Greenland halibut, plaice, deep-water redfish, golden redfish, thorny skate and spotted wolffish) was carried out. This analysis was done onboard RV “Vilnyus” during the cruise. Onboard of Norwegian vessels 706 stomachs of cod were collected and frozen for detailed analysis. In addition samples were collected and frozen for capelin, polar cod and Atlantic herring

Contact: Andrey Dolgov, PINRO-VNIRO (dolgov@pinro.vniro.ru), Irina Prokopchuk, PINRO-VNIRO (irene_pr@pinro.vniro.ru), Bjarte Bogstad, IMR (bjarte.bogstad@hi.no)

Overview over special investigation taken on Norwegian vessels will be given in part 2 of the survey report.

 

3 - Data Management

3.1 Databases

A wide variety of data are collected during the ecosystem surveys. All data collected during the BESS are quality controlled and verified by experts Herdis Langøy Mørk and Elena Eriksen (IMR) and Tatyana Prokhorova (PINRO-VNIRO) during and after the survey. The data are stored in IMR and PINRO national databases, with different formats. However, the data are exchanged so that both sides have access to each other’s data and use equal joint data.

3.2  Data applications

The BESS aim to cover the whole Barents Sea ecosystem geographically and provide survey data for commercial fish and shellfish stock estimation. Stock estimation is particularly important for capelin, because capelin TAC is based on the survey result, and the Norwegian-Russian Fishery Commission determines TAC immediately after the survey. In addition, a broad spectrum of physical variables, ecosystem components and pollution are monitored and reported. The survey data will be used by each party for various purposes within the framework of national and international programs.

This survey report is based on joint data and contains the main results of the monitoring. The survey report will come in two parts and will be published in the IMR/PINRO Joint Report series.

All reports from BESS from 2004 until the latest are available at this web site: https://imr.brage.unit.no/imr-xmlui/handle/11250/2658167. This report is published in the IMR digital report series Joint  IMR/PINRO Reports.

3.3  Time series of distribution maps

The redesigned IMR web site for the joint Norwegian/Russian Barents Sea Ecosystem Surveys is still not finished. The maps from this report series are to be made public in this map site when ready.

 

4 - Marine Environment

Ch. 4 Marine Environment is published in

Survey report (Part 2) from the joint Norwegian/Russian Ecosystem Survey in the Barents Sea and the adjacent waters August-October 2023

5 - Plankton Community

 

5.1  Phytoplankton

Text by S.J. Lerch

Figures by S.J. Lerch

Samples used to characterize phytoplankton community composition and abundance were collected from a total of 108 stations over the course of four separate cruises. Samples were collected from Hinlopen and Vardø-Nord Utvidet during the ecosystem cruise (cruise numbers: 2023007016, 2023002011) between September and October, and Fugløya-Bjørnøya during transect cruises conducted in April (2023006008), May (2023002007), and August (2023002010). Microscopy was used to identify and quantify taxa in 39 preselected stations along the transects, covering multiple ICES sub-regions (Figure 5.1.1). Algae-net and metabarcoding samples were also collected which can be used to qualitatively assess community composition. In total, 28 Algae-net and 67 metabarcoding samples were collected. 

Samples for algal cell counts (100 ml) were taken from 10 m CTD collected water and fixed in Neutral Lugol. Microscope counts were performed following the Utermöhl (1958) method on CTD samples to quantify abundance and community composition at the IMR Flødevigen Plankton Laboratory. Qualitative Algae-net samples were collected using a vertical net tow (10 μm mesh; 0.1 m2 opening; 30-0 m), fixed with 2 ml 20% formalin and stored for future use. Metabarcoding samples were collected by filtering approximately 2 L of seawater, pre-filtered with 180 µm mesh, on to 25 mm filters with a pore size of 5 µm. Samples were then stored at -80 °C for future DNA extraction and sequencing. 

Microscopy algal counts include heterotrophic and autotrophic groups, these communities will therefore be referred to as microplankton in the summarized results below.

 

5.1.1 Results and discussion

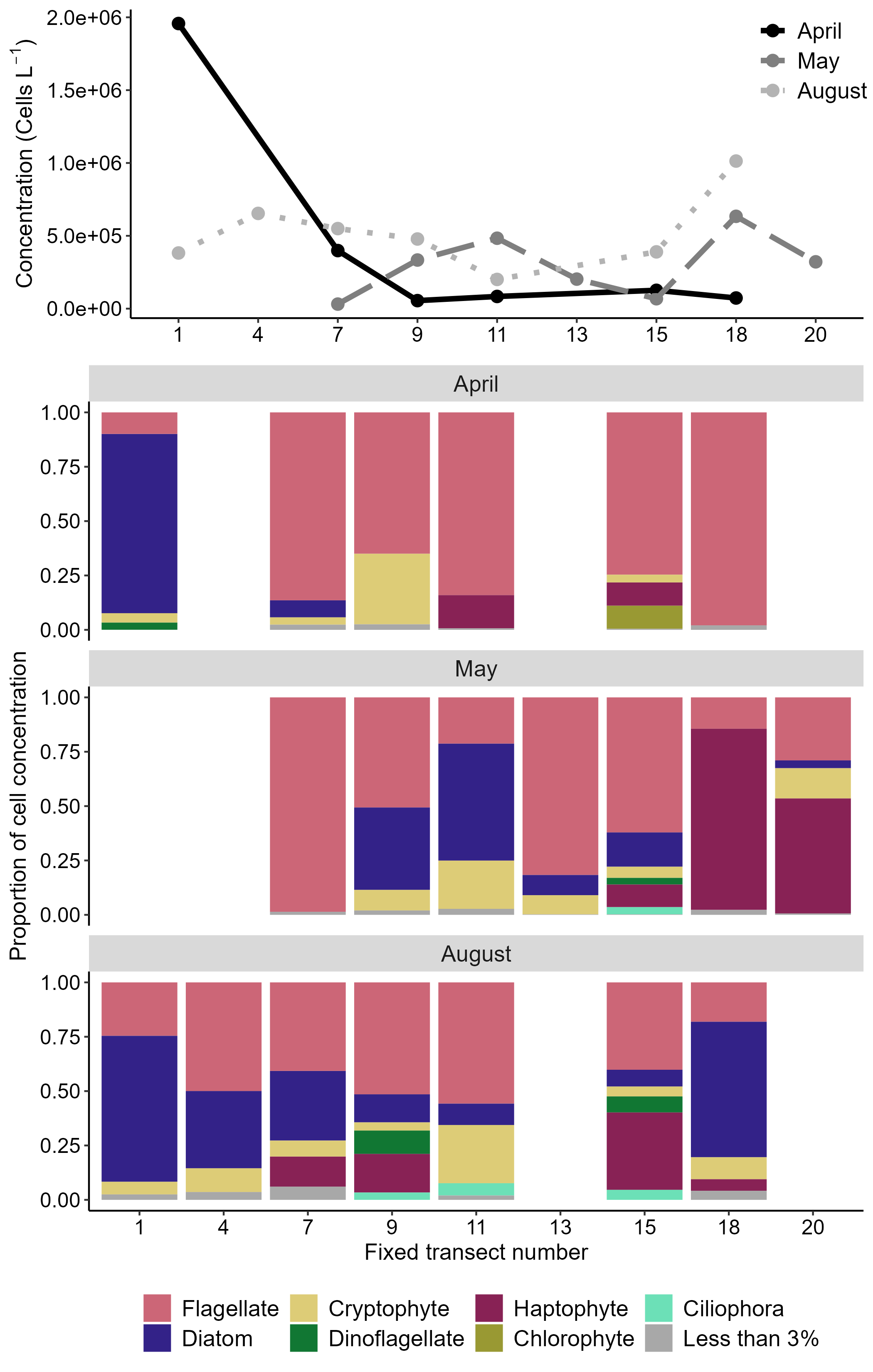
Based on microscopy counts, the average concentration of Barents Sea microplankton in the late summer/ early fall (August-October) was 3.41×105 ± 2.25×105 cells L-1. The average community was numerically dominated by flagellates (55%, 1.86×105 ± 1.11×105 cells L-1), diatoms (19%, 6.47×104 ± 1.40×105 cells L-1), and cryptophytes (15%, 5.10×104 ± 4.24×104 cells L-1).

Microplankton abundances and communities varied spatially across the Barents Sea in the late summer/ early fall (Figure 5.1.2). Cell concentrations varied by nearly two orders of magnitude between stations with a minimum concentration of 3.50×104 cells L-1 and maximum of 1.01×106 cells L-1. Higher concentration stations were generally found south of 74°N. The majority of Vardø-Nord and Hinlopen communities were flagellates and cryptophytes, while the Fugløya-Bjørnøya stations had large contributions from diatoms in addition to flagellates.

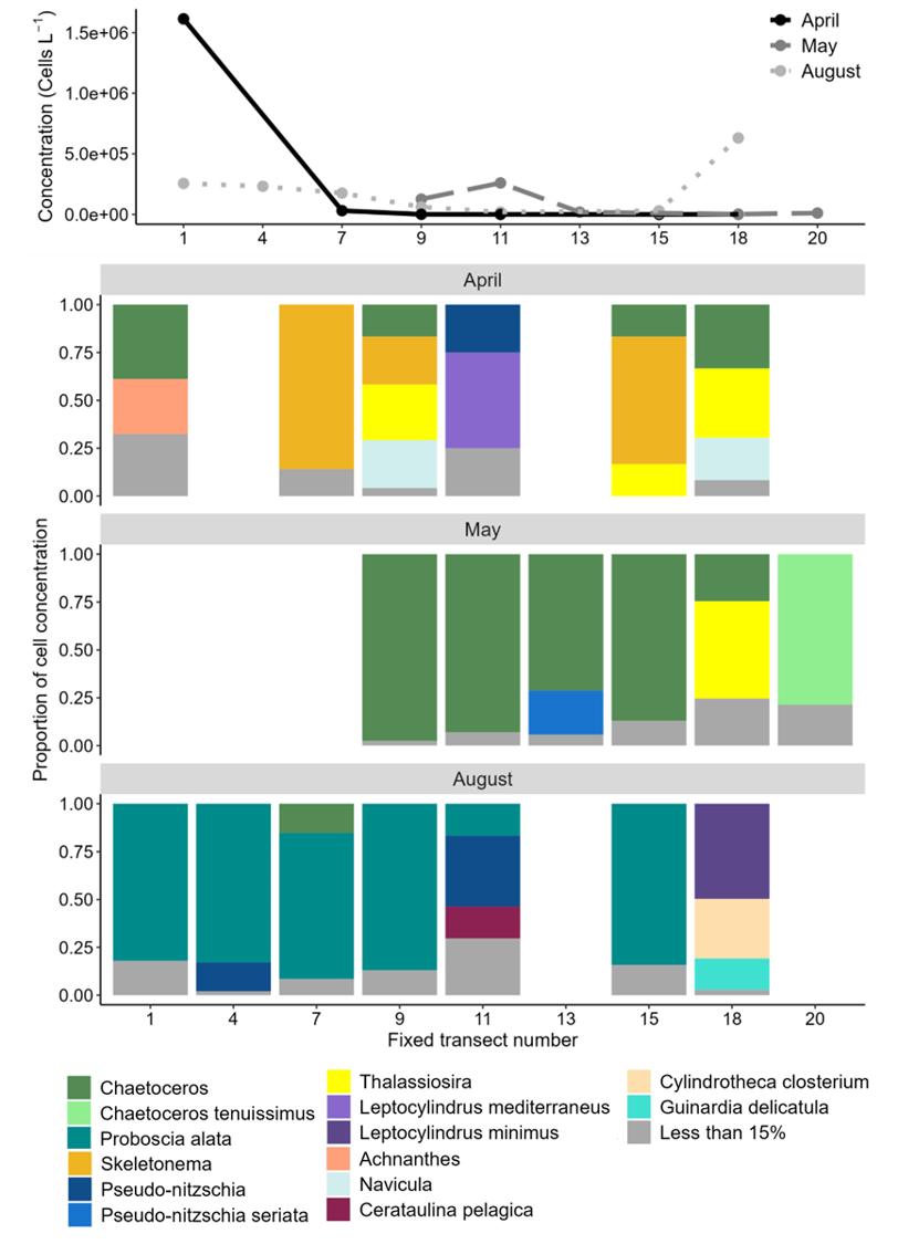
Within these data, diatoms are the only purely photosynthetic group described at a high taxonomic level. During the late summer/ early fall, diatom abundance was greatest near Bear Island and diatom community composition varied spatially (Figure 5.1.3). Leptocylindrus minimus comprised a large proportion of the community at multiple stations in Vardø-Nord and Fugløya-Bjørnøya. In addition, Probosica alata, Cylindrotheca Closterium and Pseudonitzschia are numerically important at some of the other stations with high diatom concentrations.

The combination of August and spring sampling along the Fugløya-Bjørnøya transect allows us to describe seasonal differences in microplankton cell concentrations and community composition.  Average cell concentrations measured were the same order of magnitude in August (5.24×105 ± 2.59×105 cells L-1) and in the Spring (3.67×105 ± 5.14×105 cells L-1), although Spring samples were characterized by greater intra-station variability with particularly high cell concentrations at fixed station 1 in April (Figure 5.1.4). At the broad taxonomic group level, the Fugløya-Bjørnøya transect communities were variable with the only seasonal pattern being greater diversity and presence of diatoms across samples in August relative to the Spring (Figure 5.1.4). Diatom community composition shows clearer seasonal patterns (Figure 5.1.5). Chaetoceros and Thalassiosira were found almost exclusively in the spring and Skeletonema was found only in April. In contrast the August community was dominated by Proboscia alata and contained the only detection of Cerataulina pelagica, Cylindrotheca Closterium, and Guinardia delicatula.  

Figure 5.1.1. Map showing stations where phytoplankton samples were collected. Shapes indicate sampling activities at a given station: circle- metabarcoding sample collection, square- microscopy sample collection and analysis, star: algae-net sample collection.
Figure 5.1.1. Map showing stations where phytoplankton samples were collected. Shapes indicate sampling activities at a given station: circle- metabarcoding sample collection, square- microscopy sample collection and analysis, star: algae-net sample collection. Color indicates the cruise when sampling occurred, blue: ecosystem, black: April transect cruise, dark gray: May transect cruise, and light gray: August transect cruise. Italicized labels indicate fixed transects. Outlined and labeled areas indicate ICES sub-regions. Sval-N: Svalbard North, Franz-Vic: Franz Victoria Trough, Sval-S: Svalbard South, HD: Hopen Deep, BI: Bear Island Trench, Th-Iv: Thor Iversen Bank, SW: South West. Station locations along Fugløya-Bjørnøya are shifted to reduce overlap of samples collected during separate cruises.

Figure 5.1.2. Maps showing microplankton community composition and abundance for samples collected August-October 2023. Pie chart radii scale to cell concentrations in cells per liter based on key. Divisions within pie charts show the contributions from broad taxonomic groups. Italicized labels indicate fixed transects. All groups which comprised < 3% of the community are summed.
Figure 5.1.2. Maps showing microplankton community composition and abundance for samples collected August-October 2023. Pie chart radii scale to cell concentrations in cells per liter based on key. Divisions within pie charts show the contributions from broad taxonomic groups. Italicized labels indicate fixed transects. All groups which comprised < 3% of the community are summed.

 

Figure 5.1.3. Maps showing diatom community composition and abundance for samples collected August-October 2023. A) Samples collected along Vardø-Nord and Hinlopen transects. B) Inset from A showing samples collected along Fugløya-Bjørnøya. Divisions within pie charts show taxonomic groups to the highest possible resolution. Pie chart radii scale to cell concentrations in cells per liter based on key. All groups which comprised < 3% of the community are summed.
Figure 5.1.3. Maps showing diatom community composition and abundance for samples collected August-October 2023. A) Samples collected along Vardø-Nord and Hinlopen transects. B) Inset from A showing samples collected along Fugløya-Bjørnøya. Divisions within pie charts show taxonomic groups to the highest possible resolution. Pie chart radii scale to cell concentrations in cells per liter based on key. All groups which comprised < 3% of the community are summed.

 

 

Figure 5.1.4. Plots showing patterns in microplankton abundance (top) and community composition (bottom) along the Fugløya-Bjørnøya transect over three months in 2023. All groups which comprised < 3% of the community at a given station are summed for ease of visualization. Fixed station numbers increase as station locations move north.
Figure 5.1.4. Plots showing patterns in microplankton abundance (top) and community composition (bottom) along the Fugløya-Bjørnøya transect over three months in 2023. All groups which comprised < 3% of the community at a given station are summed for ease of visualization. Fixed station numbers increase as station locations move north.

 

 

Figure 5.1.5. Plots showing patterns in diatom abundance (top) and community composition (bottom) along the Fugløya-Bjørnøya transect over three months in 2023. Taxonomy is shown at the highest possible resolution. All groups which comprised < 15% of the community at a given station are summed for ease of visualization. Fixed station numbers increase as station locations move north.
Figure 5.1.5. Plots showing patterns in diatom abundance (top) and community composition (bottom) along the Fugløya-Bjørnøya transect over three months in 2023. Taxonomy is shown at the highest possible resolution. All groups which comprised < 15% of the community at a given station are summed for ease of visualization. Fixed station numbers increase as station locations move north.

 


5.2     Distribution and biomass indices of jellyfish

Text by E. Eriksen, D. Prozorkevich, T. Prokhorova and A. Dolgov

Figures by E. Eriksen

The biomass of gelatinous zooplankton was calculated using SAS (for the new 23 fisheries subareas, 1980-2017). The new 13 subareas, based on environmental status and bathymetry, were used from 2018 (Figure 6.2) to present spatial variation of jellyfish abundance and biomass. The R-script has been developed during the last three years, and during the last year some mistakes in the calculations were corrected. Thus, the biomass shown in previous reports may slightly differ from the latest one.

Here, we present the time series for biomass indices calculated by SAS (1980-2017) and by R (2018-2023). Spatial biomass indices calculated by R for 2004-2023.

In August-October 2023, lion’s mane jellyfish (Cyanea capillata; Scyphozoa) was the most common jellyfish species, both with respect to weight (average density of 15.8 tonnes per nautical miles (nmi) and occurrence (found at 261 of 276 stations) (Figure 5.2.3.1). Higher densities (> 10 tonnes per sq nmi) were found widely in the Barents Sea (Figure 5.2.3.1).

 

Figure 5.3.3.1. Distribution of Cyanea capillata (wet weight; kg per nmi) in the Barents Sea, August-October 2023.
Figure 5.2.3.1. Distribution of Cyanea capillata (wet weight; kg per nmi) in the Barents Sea, August-October 2023.

Moon jellyfish Aurelia aurita was found at 82 stations in the southern Barents Sea with an average biomass of 1 416 kg per nmi (Figure 5.2.3.2). Some few catches were also taken further north (3 stations), west (1 station) and east (4 stations).

Figure 5.3.3.2. Distribution of Aurelia aurita in the surveyed area in August-October 2023.
Figure 5.2.3.2. Distribution of Aurelia aurita in the surveyed area in August-October 2023.

Blue stinging jellyfish, Cyanea lamarckii, was found at 19 stations in the western Barents Sea with average biomass 87.7 kg per nmi, which indicated an increase from earlier year (Figure 5.2.3.3). C. lamarckii has been observed regularly in the Barents Sea in recent years and the presence of this warm-temperate species may be linked to the inflow of Atlantic water masses.

 

Figure 5.3.3.3. Distribution of other jellyfish in the surveyed area in August-October 2023.
Figure 5.2.3.3. Distribution of other jellyfish in the surveyed area in August-October 2023.

Ctenophores were found at 6 stations in the west and southeastern Barents Sea, with densities below 4 kg per sq nmi (3 stations) and above 80 kg (86, 157 and 233 kg per nmi), that was also unusual. Hyperiid amphipod Hyperia galba living into schiphoid jellyfish was found at 4 stations in southwest and two stations in the north with an average densities of 0.3 kg per nmi.

Biomass indices were calculated as total, for large jellyfish, dominating by C. capillata, small jellyfish dominating by A. aurita and undetermined jellyfish for the period 2004-2023. In 2023, total jellyfish biomass in the Barents Sea was similar to the record high in 2001 and was 4.905 million tonnes (Figure 5.3.3.3). Jellyfish biomasses dominated by biomasses of large jellyfish (4.743 million tonnes), although biomass of small jellyfish (dominated by A. aurita) was the highest recorded (130 thousand tonnes, Figure 5.2.3.4).

Figure 5.3.3.4. Total biomass of jellyfish in the Barents Sea in August-September 1980-2023. Large jellyfish were dominating by C. capillata, small jellyfish dominated by A. aurita, and other jellyfish (found occasionally). Biomass estimates in 2018, 2020 and 2022 were underestimated due to lack of coverage.
Figure 5.2.3.4. Total biomass of jellyfish in the Barents Sea in August-September 1980-2023. Large jellyfish were dominating by Cyana capillata, small jellyfish dominated by Aurelia aurita, and other jellyfish (found occasionally). Biomass estimates in 2018, 2020 and 2022 were underestimated due to lack of coverage.

 

Geographical distribution of jellyfish, mainly C. capillata, showed an increase in central, southern, eastern, and northern areas since 2013 with the widest distribution in 2023, when biomasses reached almost 5 million tonnes (Figure 5.2.3.5).

Figure 5.3.3.5. Geographical distribution of jellyfish, mainly C. capillata in 13 polygons in August-September 2003-2023.
Figure 5.2.3.5. Geographical distribution of jellyfish, mainly Cyana capillata in 13 polygons in August-September 2003-2023.

5.3  Distribution and biomasses of euphasiids and amphipods

5.3.1   Distribution and biomass of euphasiids

Text by E. Eriksen, B. Husson, A. Dolgov, D. Prozorkevich and T. Prokhorova

Figures by B. Husson and S. Karlson

Biomass estimates were calculated by different softwares during the last four decades: Excel (up to 2017) and R (since that). The new 15 subareas, based on similar environmental status, were used since 2018 (Figure 5.3.1.1). These areas were used to get more detailed information about the distribution of the krill within the survey area. The main differences between these two sets of estimates were that Excel used the average biomass of all stations to calculate the total biomass, while R used the average biomass for each of the 15 subareas and thus reducing the impact of single very high catches. In addition, sun elevation was calculated in R using getSunlightPosition script. The biomass estimates do not differ significantly due to the use of different software. The R-script for biomass estimation has been developed during the last three years, and last year some flaws were corrected. Thus the biomass values shown in previous reports may differ slightly from the previous ones.

 

Figure 5.3.1.1. Map showing subdivision of the Barents Sea into 15 subareas (polygons) used to estimate abundance of 0-group fish based on the BESS.
Figure 5.3.1.1. Map showing subdivision of the Barents Sea into 15 subareas (polygons) used to estimate abundance of 0-group fish based on the BESS.

 

In 2023, euphausiids, also known as krill, were widely distributed in the western and central Barents Sea with higher abundance in the southwest (Figure 5.3.1.2). The biomass values in the upper 60 m are presented as grams (wet weight) per square meter (g/m2). In 2023, the night catches (mean 1.97 g/m2), were much lower than long term mean (7.3 g/m2).

Figure 5.3.1.2 Krill distribution, based on pelagic trawl stations covering the upper water layers (0-60 m), in the Barents Sea in August-October 2023.
Figure 5.3.1.2. Krill distribution, based on pelagic trawl stations covering the upper water layers (0-60 m), in the Barents Sea in August-October 2023.

Based on the euphausiid species identification in 2023, Meganyctiphanes norvegica and were mostly restricted to the Atlantic waters in the southwest, while Thysanoessa inermis were mainly observed in the central and northern areas. Two catches of Thysanoessa raschii were taken in the southwest and one in the Great Bank (Figure 5.3.1.3). The smaller T. longicaudata were not found in 2023.

Figure 5.3.1.3. Krill species distribution, based on pelagic trawl catches covering 0-60 m, in the Barents Sea in August-October 2023.
Figure 5.3.1.3. Krill species distribution, based on pelagic trawl catches covering 0-60 m, in the Barents Sea in August-October 2023.

 

The number of night stations in 2023 was 108, while the day stations was 177. During the night, a majority of the krill populations migrate to the upper water layer for feeding and are therefore more available for the trawl. In the southwest one catch of 865.5 kg (corrected for trawl capture efficiency) was extremely high and thus influenced estimates of the total biomass of krill in the Barents Sea in 2023. The calculated total biomass of krill was 10.7 million tonnes with this catch (indicated with stars in Figure 5.3.1.4) and 2.3 million tonnes without this catch.

Krill were captured at fewer number of trawl stations than in previous years, and especially east of Svalbard/Spitsbergen and in the southern Barents Sea, indicating possible high predation pressure from capelin and young herring respectively.

Figure 5.3.1.4 Estimated total biomass of krill in the Barents Sea in August-October 1980-2023 based on pelagic night trawl catches covering the upper water layers (0-60 m).
Figure 5.3.1.4. Estimated total biomass of krill in the Barents Sea in August-October 1980-2023 based on pelagic night trawl catches covering the upper water layers (0-60 m). Estimates in 1980-2001 were calculated based on average night catches of all night stations and total surveyed area. Estimates in 2003-2022 were calculated based on an subarea average night catches and covered area within the subarea (Fig. 5.3.1.1). Estimates for 2002 are missing due to mistakes with the weight of krill. In 2023, one catch makes a big difference in estimates: total biomass with this catch (red star) and without blue line are shown.

 

5.3.2   Distribution and biomass indices of pelagic amphipods (mainly Hyeriids)

Text by E. Eriksen, B. Husson, A. Dolgov, D. Prozorkevich and T. Prokhorova

Figures by B. Husson and S. Karlson

Estimation of pelagic amphipods biomass for the Barents Sea was performed in R (see above) and presented here for the period 2003-2023.

In 2023, amphipods generally occurred east off Svalbard/Spitsbergen and in the southwestern area (Figure 5.3.2.1).

Figure 5.3.2.1. Amphipods distribution, based on trawl stations covering the upper water layers (0-60 m), in the Barents Sea in August-October 2023.
Figure 5.3.2.1. Amphipods distribution, based on trawl stations covering the upper water layers (0-60 m), in the Barents Sea in August-October 2023.

In 2023, amphipods taken east of Svalbard/Spitsbergen were mostly represented by the Arctic species Themisto libellula, while amphipods taken in southwest were mostly represented by subarctic Themisto compressa and Themisto abyssorum (Figure 5.3.2.2). The cosmopolitan species Hyperia galba were found in both areas. Smaller T. compressa (with max measured length of 13.0 mm) and T. abyssorum (with max measured length of 15.0 mm) are less captured by the trawl than larger T. libellula (with max measured length of 35.0 mm).

Figure 5.3.2.2. Distribution of pelagic amphipod species, based on pelagic trawl catches covering 0-60m, in the Barents Sea in August-October 2023.
Figure 5.3.2.2. Distribution of pelagic amphipod species, based on pelagic trawl catches covering 0-60 m, in the Barents Sea in August-October 2023.

In the southwest, at one station, where the krill catch of 865.5 kg was taken, extremely high catch of amphipods of 389 kg (corrected for trawl capture efficiency) was also taken. This catch will have an impact on the total amphipod biomass in the Barents Sea in 2023, similar to the krill estimates. The calculated total biomass of amphipods in 2023 in the upper 60 m was 15.7 thousand tonnes with this catch and 1.08 thousand tonnes without this catch (Figure 5.3.2.3).

Figure 5.3.2.2 Estimated total biomass of pelagic amphipods in the Barents Sea in August-October 2023 based on pelagic trawl catches covering the upper water layers (0-60 m). Estimates in 2003-2022) were calculated based on a subarea’s average catches and covered area within the subareas (Fig. 5.3.1.1). In 2023, one catch makes a big difference in estimates: total biomass with this catch (red star) and without (blue line) are shown.
Figure 5.3.2.2. Estimated total biomass of pelagic amphipods in the Barents Sea in August-October 2023 based on pelagic trawl catches covering the upper water layers (0-60 m). Estimates in 2003-2022) were calculated based on a subarea’s average catches and covered area within the subareas (Figure 5.3.1.1). In 2023, one catch makes a big difference in estimates: total biomass with this catch (red star) and without (blue line) are shown.

 

6 - Fish Recruitment (young of the year)

Figures by: D. Prozorkevich

Area coverage and estimations

In 2023, the 0-group fish distribution was quite well covered by the survey (Figure 6.1).

Figure 6.1. Map showing spatial coverage of the 0-group fish in the Barents Sea in 2023
Figure 6.1. Map showing spatial coverage of the 0-group fish in the Barents Sea in 2023. Dots indicate sampling stations colored according to research vessel, while grey lines denote the 15 subareas (polygons) used in the estimations.

Abundance and biomass estimates were calculated by different softwares during the last four decades: SAS (up to 2017), MatLab and R. The new 15 subareas, based on similar environmental status, was used from 2018 (Figure 6.2). They were included to get more detailed information about the distribution of the 0-group fish within the survey area. The abundance estimates do not differ significantly due to the use of different softwares. The R-script for abundance estimation has been developed during the last three years, and last year some mistakes in the calculations were corrected. Thus, the numbers and biomass shown in previous reports may slightly differ from the latest ones. Here, we present numbers of 0-group fish in million (106), billion (109) and trillion (1012).

Figure 6.2. Map showing subdivision of the Barents Sea into 15 subareas (polygons) used to estimate abundance of 0-group fish based on the BESS.
Figure 6.2. Map showing subdivision of the Barents Sea into 15 subareas (polygons) used to estimate abundance of 0-group fish based on the BESS.

 

Total biomass

Zero-group fish are important consumers of plankton and are prey for predators (adult fish, sea birds and marine mammals) and, therefore, are important for the transfer of energy between trophic levels in the ecosystem. Estimated total biomass of 0-group fish species (cod, haddock, herring, capelin, polar cod, and redfish) varied from a low of 165 thousand tonnes in 2001 to a peak of 3.3 million tonnes in 2023, with a long-term average of 1.1 million tonnes for the period 1993-2023 (Figure 6.3). The estimated total biomass of 3.3 million tonnes in 2023 was record high. In 2023 like in 2004 and 2022, 0-group fish biomass was dominated by herring, and biomasses were higher than the long-term mean (period 1980-2023) for all species, except for redfish.

Figure 6.3. Biomass of 0-group fish species in the Barents Sea, August–October 1980–2023.
Figure 6.3. Biomass of 0-group fish species in the Barents Sea, August–October 1980–2023. The biomass of 0-group fish for the period 1980-1992 was estimated based on indices of total abundance and overall mean fish weight, and since then it has been estimated directly. Indices were calculated in SAS for the period 1980-2017 and in R since that. Biomass estimates for 2018, 2020 and 2022 were adjusted due to lack of survey coverage.

6.1   Capelin (Mallotus villosus)

The highest average abundance was found in the Svalbard South (181 billion ind.), Great Bank (157 billion ind.), and Central Bank (139 billion ind.) polygons. The distribution of the 0-group capelin with little fish in the southeastern Barents Sea looks quite unusual compared to the long-term average (Figure 6.1.1). The lack of capelin in the southeast could be due to predation from the large number of juvenile herring in the area in 2023.

The 0-group capelin body length varied from 2.0 to 7.4 cm in 2023, while most of capelin (70%) were medium size with body length of 4.5-5.5 cm, which is similar to the length distribution in 2022. Larger individuals (with an average length above 5 cm) were found mainly in southeastern and northern areas, most likely indicating early spawning and drift to the rich feeding areas on the banks. The smallest capelin with average length close to 3 cm were found in the southwestern areas.

Figure 6.1.1. Distribution of 0-group capelin, August-September 2023. Abundance is corrected for capture efficiency (Keff). Dots indicate sampling locations.
Figure 6.1.1. Distribution of 0-group capelin, August-September 2023. Abundance is corrected for capture efficiency (Keff). Dots indicate sampling locations.

Two very strong year classes of capelin occurred in 2019 and 2020, followed by two below average year classes in 2021 and 2022, and now an above average year class in 2023. Estimated abundance of 0-group capelin has varied from 1 billion in 1993 to 1.8 trillion individuals in 2020 with a long-term average of 387 billion individuals for the 1980-2023 period (Figure 6.1.2). In 2023, the total 0-group capelin abundnace index (corrected for capture efficiency of the trawl) was 574 billion individuals which is above the long-term mean (Figure 6.1.2). The estimated biomass of 0-group capelin at 233 thousand tonnes was twice as high as the long-term mean. Therefore, the 2023 year-class of capelin seems to be middle-strong. 

Figure 6.1.2. Estimated abundance of 0-group capelin corrected for capture efficiency (Keff) for the period 1980-2023. Red dotted line shows the long-term average. The abundance indices for 2018, 2020 and 2022 were adjusted due to lack of survey coverage and are shown in orange colour.
Figure 6.1.2. Estimated abundance of 0-group capelin corrected for capture efficiency (Keff) for the period 1980-2023. Red dotted line shows the long-term average. The abundance indices for 2018, 2020 and 2022 were adjusted due to lack of survey coverage and are shown in orange colour.

6.2     Cod (Gadus morhua)

0-group cod were distributed widely in the BS, but the highest abundance was found in the southeastern (95 billion in Pechora) and north central (46 billion in Svalbard South) areas (Figure 6.2.1).

Figure 6.2.1. Distribution of 0-group cod, August-September 2023. Abundance is corrected for capture efficiency (Keff). Dots indicate sampling locations.
Figure 6.2.1. Distribution of 0-group cod, August-September 2023. Abundance is corrected for capture efficiency (Keff). Dots indicate sampling locations.


In 2023, 0-group cod were smaller than in 2022 and were dominated by fish of 5.0-7.4 cm length. The largest cod (with an average close to 8.0 cm) were observed in the northern polygons. Cod below 1.5 cm were found in the South West, Hopen Deep and Central Bank polygons.

Estimated abundance of 0-group cod varied from 276 million in 1980 to 464 billion individuals in 2014 with a long-term average of 116 billion individuals for the 1980-2023 period (Figure 6.2.2). In 2023, the total 0-group cod abundance index (corrected for capture efficiency) was twice high as the long term mean and was 231 billion individuals. Cod estimated biomass in 2023 (440 thousand tonnes) was highest since 2017. Therefore, the 2023 year-class of cod could be characterized as strong.

Figure 6.2.2. 0-group cod abundance estimates corrected for capture efficiency (Keff) for the period 1980-2023. Red line shows the long-term average. Abundance indices for 2018, 2020 and 2022 were corrected for lack of coverage and shown by orange columns.
Figure 6.2.2. 0-group cod abundance estimates corrected for capture efficiency (Keff) for the period 1980-2023. Red line shows the long-term average. Abundance indices for 2018, 2020 and 2022 were corrected for lack of coverage and shown by orange columns.

6.3    Haddock (Melanogrammus aeglefinus)

The 0-group haddock were found over a large area, with main abundance in the western areas – 15 billion in South West, and 10 billion in the Bear Island and in Thor Iversen Bank (Figure 6.3.1.).

Figure 6.3.1. Distribution of 0-group haddock, August-September 2023. Abundance are corrected for capture efficiency (Keff). Dots indicate sampling locations.
Figure 6.3.1. Distribution of 0-group haddock, August-September 2023. Abundance are corrected for capture efficiency (Keff). Dots indicate sampling locations.


In 2023, 0-group haddock were dominated by fish from 7.0 to 9.4 cm. The largest haddock (with average length > 10 cm) were observed in the Central Bank and Svalbard North polygons, while smaller haddock were found in the Pechora and Franz Victoria Trough (with an average length < 8 cm). A very small 0-group haddock (below 2 cm) were found central areas, indicating later spawning.

Estimated abundance of 0-group haddock varied from 75 million in 1981 to 91.6 billion individuals in 2005 with a long-term average of 12.9 billion individuals for the 1980-2023 period (Figure 6.3.2). 

Figure 6.3.2. 0-group haddock estimates corrected for capture efficiency (Keff) for the period 1980-2023. Red line shows the long-term average. Abundance indices for 2018, 2020 and 2022 were corrected for lack of coverage and shown by orange columns.
Figure 6.3.2. 0-group haddock estimates corrected for capture efficiency (Keff) for the period 1980-2023. Red line shows the long-term average. Abundance indices for 2018, 2020 and 2022 were corrected for lack of coverage and shown by orange columns.


In 2023, the total 0-group haddock abundance estimates (corrected for capture efficiency of trawl) were higher than the long term mean and was 50 billion individuals. Haddock 0-group biomass in 2023 was estimated to 367 thousand tonnes and was the highest since 2009. Thus, the 2023-year class may be characterized as very strong.


6.4    Herring (Clupea harengus)

0-group herring were widely distributed in the covered area, except in the eastern Barents Sea (Figure 6.4.1). The highest average abundance per station within a polygon was found in the Hopen Deep (2.3 trillion individuals). Relatively high abundance were also found in Svalbard South and Svalbard North and the Central Bank (with an average of 319-446 billion individuals).

Figure 6.4.1. Distribution of 0-group herring, August-September 2023. Abundance is corrected for capture efficiency (Keff). Dots indicate sampling locations.
Figure 6.4.1. Distribution of 0-group herring, August-September 2023. Abundance is corrected for capture efficiency (Keff). Dots indicate sampling locations.


The majority of 0-group herring (86%) had lengths in the range 4.5-6.5 cm, which is smaller than in 2022. Larger individuals were observed in Southeastern Basin with an average of 7.2 cm, while the smallest were found in the north central areas, where abundance was highest.

Figure 6.4.2. Estimated abundance of 0-group herring corrected for capture efficiency (Keff) for the period 1980-2023. Red dotted line shows the long-term average. Abundance indices for 2018, 2020 and 2022 were adjusted due to lack of survey coverage and are shown in orange colour.
Figure 6.4.2. Estimated abundance of 0-group herring corrected for capture efficiency (Keff) for the period 1980-2023. Red dotted line shows the long-term average. Abundance indices for 2018, 2020 and 2022 were adjusted due to lack of survey coverage and are shown in orange colour.

Estimated abundance of 0-group herring varied from 37 billion in 1982 to a record high 3.6 trillion individuals in 2023 (Figure 6.4.2). Estimated biomass of 0-group herring at close to 1.7 million tonnes was lower than in 2022 and almost four times higher than the long-term mean (411 thousand tonnes). Therefore, the 2023-year class of herring may be characterized as record strong. Half of the 0-group herring abundance was distributed north of Svalbard/Spitsbergen and therefore their survival during the first winter is highly unknown.


6.5    Polar cod (Boreogadus saida)

Polar cod 0-group were mainly found around Svalbard/Spitsbergen in 2023 which indicates that most of the spawning took place near this archipelago (Figure 6.5.1). The highest abundance was found in the Svalbard South polygon (with an average per station within the polygon of 2.4 billion individuals) and Great Bank polygon (with an average per station within the polygon of 3.6 billion individuals). A few polar cod were sampled in the southeastern Barents Sea, which indicated some spawning also there. For many years there was little or no spawning of polar cod in the Pechora area. 

Figure 6.5.1. Distribution of 0-group polar cod, August-September 2023. Abundance is corrected for capture efficiency (Keff). Dots indicate sampling locations.
Figure 6.5.1. Distribution of 0-group polar cod, August-September 2023. Abundance is corrected for capture efficiency (Keff). Dots indicate sampling locations.


The length of 0-group polar cod varied between 0.5 and 8.0 cm, with fish in the length range 3.5-5.9 cm dominating. Average length was 5.1 cm. Average length varied between polygons and larger fish were found in the North East polygon (average of 6.5 cm), and smaller fish in the Pechora polygon (average of 3.6 cm). 

Estimated abundance of 0-group polar cod varied from 201 million in 1995 to a record high 7.6 trillion in 2023 with a long-term average of 470 billion individuals for the 1980-2023 period. In 2023, the total abundance index for 0-group polar cod was the highest observed (Figure 6.5.2). 

Figure 6.5.2. Estimated abundance of 0-group polar cod corrected for capture efficiency (Keff) for the period 1980-2022. Red dotted line shows the long-term average. Abundance indices for 2018, 2020 and 2022 were adjusted due to lack of survey coverage and are shown in orange colour.
Figure 6.5.2. Estimated abundance of 0-group polar cod corrected for capture efficiency (Keff) for the period 1980-2022. Red dotted line shows the long-term average. Abundance indices for 2018, 2020 and 2022 were adjusted due to lack of survey coverage and are shown in orange colour.

In 2023, the estimated biomass of 0-group polar cod at 681 thousand tonnes was the second highest after 1994 and was more than four times higher than the long term mean of 147 thousand tonnes (1980-2023). For the first time since the observations started in 1980, the record strong year class originated mainly from the Svalbard/Spitsbegen sub-component. 

 


6.6    Saithe (Pollachius virens)

Saithe distribution and abundance varied a lot between years. In 2023, saithe were widely distributed, which is seldom observed (Figure 6.6.1). 

Figure 6.6.1. Distribution of 0-group saithe in August-September 2023. Abundance is corrected for capture efficiency. Dots indicate sampling locations.
Figure 6.6.1. Distribution of 0-group saithe in August-September 2023. Abundance is corrected for capture efficiency. Dots indicate sampling locations.


The largest saithe with an average of 11-12 cm were observed further north, while smaller fish (with an average of 8.6 cm) fish were found in the North East polygon. 

Saithe abundance indices varied from some few hundred (1980 and 2020) up to 1 million individuals in 2004.  During the last two years abundance of saithe were high and were 672 million (2022) and 342 million (2023), which are higher than in long term mean of 445 million individuals (Figure 6.6.1). 

Figure 6.6.2. 0-group saithe abundance estimates corrected for capture efficiency for the period 1980-2023. Red line shows the long-term average.
Figure 6.6.2. 0-group saithe abundance estimates corrected for capture efficiency for the period 1980-2023. Red line shows the long-term average.

6.7    Redfish (mostly Sebastes mentella)

In 2023, 0-group redfish was distributed from north of Norwegian coast to Svalbard/Spitsbergen and around the archipelago, which is similar to the 2022 distribution (Figure 6.7.1). The highest abundance was found in Svalbard North (67 billion ind.) and Svalbard South (26 billion ind.) polygons. The largest fish with an average of 4.5 cm were found in the north, while smallest with an average of 2-3 cm were found in the south.

Figure 6.7.1. Distribution of 0-group redfishes (mostly Sebastes mentella) in August-September 2023. Abundance corrected for capture efficiency. Dots indicate sampling locations.
Figure 6.7.1. Distribution of 0-group redfishes (mostly Sebastes mentella) in August-September 2023. Abundance corrected for capture efficiency. Dots indicate sampling locations.


Estimated abundance of 0-group deepwater redfish varied from 23 billion individuals in 2001 to 1.6 trillion ind. in 1985, and long-term abundance was 229 billion individuals for the 1980-2023 period (Figure 6.7.2). In 2023, the total abundance index for 0-group deepwater redfish was half of the long term mean and was 102 billion individuals. The total biomass was close to 31 thousand tonnes. Thus the 2022-year class may be characterized as weak. 

Figure 6.7.2. 0-group deepwater redfish abundance (corrected for trawl efficiency) in the Barents Sea during 1980-2023. Red line shows the long-term average.
Figure 6.7.2. 0-group deepwater redfish abundance (corrected for trawl efficiency) in the Barents Sea during 1980-2023. Red line shows the long-term average.

6.9    Greenland halibut (Reinhardtius hippoglossoides)

0-group Greenland halibut were found distributed around Svalbard/Spitsbergen in 2023, similar to the distribution in 2018-2022 (Figure 6.8.1). Highest abundance was found further north in Franz Victoria Trough polygon per square nautical miles.

An annual average length of 0-group Greenland halibut length was 6 cm than lower it in 2022 (7 cm). Fish length varied from 2.0 to 10 cm. The larger fish were found in Svalbard South with an average of 8 cm and smaller fish were found in the Franz Victoria Trough with an average of 5 cm. 

Figure 6.8.1. Distribution of 0-group Greenland halibut, August-September 2023. Dots indicate sampling locations. Abundance not corrected for capture efficiency.
Figure 6.8.1. Distribution of 0-group Greenland halibut, August-September 2023. Dots indicate sampling locations. Abundance not corrected for capture efficiency.


In 2023, the total abundance index for 0-group fish was 26 million individuals, that was lower than the last five years, and the long term mean of 30 million individuals. Estimated biomass was also lower than long term mean (of 80 tonnes) and was 35 tonnes. 

Figure 6.8.2. 0-group Greenland halibut abundance estimates were not corrected for capture efficiency for the period 1980-2023. Red line shows the long-term average.
Figure 6.8.2. 0-group Greenland halibut abundance estimates were not corrected for capture efficiency for the period 1980-2023. Red line shows the long-term average.


0-group Greenland halibut distributes widely in the North Atlantic and Svalbard/Spitsbergen fjords, therefore, abundance indices may not represent year classes strength, but give an indication of abundance in the Barents Sea. The 2022-year class may be characterized as weak but this is connected to high uncertainty due to the distribution pattern. 


6.9    Long rough dab (Hippoglossoides platessoides)

In 2023, 0-group long rough dab were widely distributed in the Barents Sea (Figure 6.9.1). The highest densities were found in North East (an average of 51 thousand per square nautical miles) and the Southeastern Basin (an average of 46 thousand individuals per square nautical miles). 

Figure 6.9.1. Distribution of 0-group long rough dab, August-September 2023. Dots indicate sampling locations. Abundance not corrected for capture efficiency.
Figure 6.9.1. Distribution of 0-group long rough dab, August-September 2023. Dots indicate sampling locations. Abundance not corrected for capture efficiency.

The annual average length for 0-group long rough dab was 3.5 cm and was larger than the previous seven years. Fish length varied from 1 cm to 5.0 cm and larger fish (> 4 cm) were found in Great Bank and Franz Victoria Trough, while smaller fish (2.0 cm) in Pechora and North East.

In 2023, the total abundance index for 0-group fish was 2.4 billion individuals that was the largest since 2019 (Figure 6.9.2). Estimated biomass was higher than long term mean (of 297 tonnes) and was 720 tonnes.

Figure 6.9.2. 0-group long rough dab abundance estimates were not corrected for capture efficiency for the period 1980-2023. Red line shows the long-term average.
Figure 6.9.2. 0-group long rough dab abundance estimates were not corrected for capture efficiency for the period 1980-2023. Red line shows the long-term average.

Thus the 2023-year class of long rough dab could be characterized as strong. 

7 - Commercial Pelagic Fish

Figures by S. Karlson, F. Rist, G. Skaret

7.1    Capelin (Mallotus villosus)

The coverage of the capelin distribution was synoptic and considered to be close to complete for 2023 (see Figure 7.1.1.1). A summary of the capelin stock assessment for 2023 is given in Advice on fishing opportunities for Barents Sea capelin in 2024 | Havforskningsinstituttet with more details provided in Barents Sea Capelin - Report of the Joint Russian-Norwegian Working Group on Arctic Fisheries (JRN-AFWG) 2023 | Havforskningsinstituttet (hi.no).

7.1.1    Geographical distribution

The geographical distribution of capelin recorded acoustically is shown in Figure 7.1.1.1. Similar to last year, the capelin was distributed far north. The main distribution area was the Great Bank, which is typical late in the feeding season. Significant recordings were also made north and west of Svalbard/Spitsbergen, which is very unusual. The capelin recordings stretched towards east and north-east, and the recordings suggested that the distribution stretched even further north on the eastern side. Some capelin were recorded in the south-east, but apart from that, very little capelin were recorded south of 73°N.

Figure. 7.1.1.1 Geographical distribution of capelin in autumn 2023 based on acoustic recordings. Circle sizes correspond to NASC values (m2/nmi2) per nautical mile.
Figure. 7.1.1.1 Geographical distribution of capelin in autumn 2023 based on acoustic recordings. Circle sizes correspond to NASC values (m2/nmi2) per nautical mile.

 

7.1.2    Abundance by size and age

A detailed summary of the acoustic stock estimate is given in Table 7.1.2.1, and the time series of abundance estimates is summarized in Table 7.1.2.2. A comparison between the estimates in 2023 and 2022 is given in Table 7.1.2.3 with the 2022 estimate shown on a shaded background. 

The total stock in the covered area was estimated to about 2.95 million tons, which is slightly above the long-term average level (2.79 million tons). About 44 % (1.29 million tons) of the 2023 stock had length above 14 cm and was therefore considered to be maturing. The 3-year-olds (2020 year-class) dominated the biomass of the capelin stock, and the biomass of 3-year-olds was the highest since 2012. The biomass of 4-year-olds was the highest since 1980. Average weight at age was low for the age groups 2-4. For 3-year-olds it was the lowest since 1975 (Figure 7.1.2.1 and Table 7.1.2.3). 


Table 7.1.2.1. Barents Sea capelin. Summary of results from the acoustic estimate in August-September 2023. The table is generated from the baseline estimate from StoX 2.7.

Length (cm)

Age/year class

Sum (109)

Biomass (103 t)

Mean weight (g)

1

2

3

4

5

2022

2021

2020

2019

2018

6.5-7.0

0.173

 

 

 

 

0.173

0.197

1.14

7.0-7.5

1.053

0.168

 

 

 

1.220

1.732

1.42

7.5-8.0

2.935

0.197

 

 

 

3.132

6.226

1.99

8.0-8.5

7.824

0.821

 

 

 

8.645

19.166

2.22

8.5-9.0

10.031

0.441

 

 

 

10.472

28.753

2.75

9.0-9.5

11.895

0.343

 

 

 

12.239

38.300

3.13

9.5-10.0

15.166

0.100

 

 

 

15.266

58.947

3.86

10.0-10.5

15.113

0.237

 

 

 

15.350

66.819

4.35

10.5-11.0

14.850

0.210

 

 

 

15.060

75.302

5.00

11.0-11.5

14.627

2.217

 

 

 

16.844

96.126

5.71

11.5-12.0

9.244

11.066

1.106

 

 

21.416

142.779

6.67

12.0-12.5

2.476

14.645

8.525

0.120

 

25.766

190.014

7.37

12.5-13.0

2.061

20.894

15.808

0.451

 

39.214

319.756

8.15

13.0-13.5

0.534

10.955

16.114

1.694

 

29.297

284.996

9.73

13.5-14.0

0.449

7.195

20.654

1.733

 

30.031

336.677

11.21

14.0-14.5

0.077

2.821

11.868

1.824

 

16.590

210.570

12.69

14.5-15.0

 

4.040

13.968

4.695

0.026

22.728

326.778

14.38

15.0-15.5

 

1.427

7.052

2.905

 

11.384

188.548

16.56

15.5-16.0

 

0.834

3.502

2.346

0.050

6.732

124.438

18.48

16.0-16.5

 

1.263

5.046

3.908

0.078

10.296

212.606

20.65

16.5-17.0

 

0.323

2.099

1.609

0.046

4.077

98.024

24.05

17.0-17.5

 

0.087

0.974

1.431

 

2.492

67.225

26.98

17.5-18.0

 

 

0.409

0.789

 

1.198

35.026

29.23

18.0-18.5

 

 

0.214

0.271

 

0.484

15.342

31.68

18.5-19.0

 

 

0.094

0.085

 

0.179

6.115

34.13

19.0-19.5

 

 

 

0.030

 

0.030

1.219

41.00

TSN (109)

108.509

80.283

107.433

23.890

0.200

320.315

 

 

TSB (103 t)

480.567

723.410

1324.193

419.405

4.103

 

2951.679

 

Mean length (cm)

9.90

12.58

13.73

15.08

15.80

12.246

 

 

Mean weight (g)

4.43

9.01

12.33

17.56

20.51

 

 

9.21

 Estimates based on Target strength (TS) Length (L) relationship: TS= 19.1 log (L) – 74.0

 

 

Figure 7.1.2.1. Weight at age for capelin from capelin surveys (prior to 2003) and BESS.
Figure 7.1.2.1. Weight at age for capelin from capelin surveys (prior to 2003) and BESS.

Table 7.1.2.2. Barents Sea capelin. Summary of acoustic estimates by age in autumn 1973- 2023. Biomass (B) in tons *106 and average weight (AW) in grams.

Year

Age

Sum

1

2

3

4

5

BM1

W1

BM2

W2

BM3

W3

BM4

W4

BM5

W5

TSB

1973

1.71

3.2

2.29

6.1

0.73

18.4

0.41

23.9

+

27.3

5.14

1974

1.08

3.6

3.06

5.6

1.52

8.8

0.07

20.7

+

25.1

5.73

1975

0.66

3.4

244

7.0

3.24

10.9

1.48

17.1

0.01

28.1

7.81

1976

0.79

3.7

1.95

8.4

2.08

12.8

1.34

17.5

0.26

21.3

6.42

1977

0.72

2.0

1.43

8.2

1.64

16.7

0.84

20.9

0.17

23.3

4.80

1978

0.24

2.9

2.62

6.7

1.19

15.7

0.18

20.6

0.02

25.7

4.25

1979

0.06

4.7

2.48

7.4

1.52

13.3

0.10

21.1

+

24.1

4.16

1980

1.22

4.5

1.84

9.4

2.82

18.2

0.83

25.1

0.01

21.8

6.71

1981

0.92

2.3

1.81

9.2

0.82

17.1

0.33

24.2

0.01

29.1

3.90

1982

1.22

2.3

1.33

9.0

1.18

20.8

0.05

25.0

 

 

3.78

1983

1.61

3.1

1.89

9.4

0.73

19.0

0.01

22.2

 

 

4.23

1984

0.57

3.7

1.42

7.6

0.89

18.4

0.09

28.3

 

 

2.96

1985

0.17

4.4

0.40

8.4

0.27

12.9

0.01

16.3

 

 

0.86

1986

0.02

3.8

0.05

10.1

0.05

13.6

+

16.2

 

 

0.12

1987

0.08

2.1

0.02

12.2

+

14.1

+

34.0

 

 

0.10

1988

0.07

3.4

0.35

12.2

+

16.6

 

 

 

 

0.43

1989

0.62

3.3

0.20

11.4

0.05

19.5

+

22.4

 

 

0.86

1990

2.67

3.8

2.71

15.3

0.45

27.6

+

22.2

 

 

5.83

1991

1.53

3.8

5.07

8.7

0.64

19.4

0.04

29.5

 

 

7.29

1992

1.25

3.6

1.70

8.6

2.17

16.8

0.04

28.6

 

 

5.15

1993

0.01

3.4

0.49

9.1

0.26

14.9

0.04

18.5

 

 

0.80

1994

0.09

4.4

0.04

11.1

0.07

16.5

+

18.1

 

 

0.20

1995

0.05

6.7

0.11

13.8

0.03

16.7

0.01

23.0

 

 

0.19

1996

0.24

2.9

0.21

18.6

0.05

23.8

+

26.7

 

 

0.50

1997

0.41

4.2

0.45

11.5

0.04

23.2

+

23.5

 

 

0.91

1998

0.81

4.5

0.97

13.3

0.26

24.3

0.02

27.8

+

29.9

2.06

1999

0.65

4.2

1.38

13.6

0.72

27.0

0.03

30.3

 

 

2.77

2000

1.71

3.8

1.59

14.3

0.95

27.9

0.03

36.1

+

20.1

4.27

2001

0.38

3.3

2.40

11.0

0.81

26.7

0.04

35.5

+

41.3

3.63

2002

0.23

3.9

0.92

10.1

1.04

20.7

0.02

35.0

 

 

2.21

2003

0.20

2.4

0.10

10.2

0.20

18.3

0.03

23.3

 

 

0.53

2004

0.20

3.2

0.21

12.2

0.09

20.9

0.01

21.1

+

25.4

0.51

2005

0.08

3.4

0.33

15.7

0.08

22.0

0.01

18.2

+

19.6

0.50

2006

0.24

4.2

0.27

16.4

0.12

23.2

+

28.0

+

25.4

0.64

2007

0.83

4.3

0.81

16.2

0.16

28.3

0.01

29.6

 

 

1.82

2008

0.89

3.0

2.46

12.4

0.59

24.6

0.01

27.9

 

 

3.95

2009

0.47

2.7

1.63

11.0

1.15

23.9

+

25.9

 

 

3.25

2010

0.76

3.1

1.41

10.3

1.60

23.9

0.05

28.3

 

 

3.82

2011

0.47

2.4

1.72

9.9

1.19

20.7

0.21

27.5

 

 

3.60

2012

0.57

3.2

1.03

8.8

1.77

20.1

0.08

27.5

 

 

3.46

2013

0.99

3.1

1.58

8.0

1.11

16.5

0.28

23.7

+

28.7

3.97

2014

0.32

3.1

0.73

9.0

0.60

16.1

0.04

22.0

 

 

1.69

2015

0.16

4.3

0.46

11.0

0.23

18.0

0.02

22.4

 

 

0.88

2016

0.14

4.3

0.12

14.6

0.06

24.9

+

25.4

 

 

0.32

2017

0.47

4.1

1.61

13.5

0.34

24.5

0.01

27.0

 

 

2.43

2018

0.28

4.8

0.84

13.8

0.51

22.6

0.01

29.8

+

34.0

1.64

2019

0.09

4.8

0.14

14.3

0.16

23.2

0.03

25.0

+

18.9

0.41

2020

1.27

3.4

0.49

15.8

0.10

25.1

0.02

29.6

+

23.3

1.89

2021

0.75

3.4

3.07

9.4

0.16

22.0

+

26.0

 

 

3.99

2022

0.32

4.3

0.96

7.1

0.86

14.9

0.02

19.2

+

24.0

2.17

2023

0.48

4.4

0.72

9.0

1.32

12.3

0.42

17.6

+

20.5

2.95

Average

0.62

3.6

1.26

10.9

0.76

19.6

0.14

24.7

0.01

25.6

2.79

    Note:«+»  <0.005*106 tons


Table 7.1.2.3. Summary of acoustic stock size estimates for capelin in 2022-2023. A comparison between the estimates this year and last year (yellow background).

Year class

Age

Numbers (109)

Mean weight (g)

Biomass (103 t)

2022

2021

1

108.5

75.5

4.43

4.30

480.6

324.7

2021

2020

2

80.3

135.8

9.01

7.10

723.4

964.1

2020

2019

3

107.4

57.7

12.33

14.92

1324.2

860.7

2019

2018

4

23.9

1.2

17.56

19.25

419.4

24.1

Total stock in:

 

 

 

 

 

 

 

 

2023

2022

1-4

320.3

270.2

 

8.04

2951.7

 2173.


7.2   Polar cod (Boreogadus saida)

7.2.1  Geographical distribution

The acoustic recordings of polar cod are shown in Figure 7.2.1.1. The concentrations east of the Great Bank dominated, but there were also significant recordings on the westside of the Great Bank and northwest of Kvitøya. A spot with high polar cod concentrations was also recorded near the Kara Strait. It is very likely that some of the polar cod were distributed further to the north and northeast outside of the survey area. Thus, the polar cod estimate must be considered an underestimate of the population.

Figure 7.2.1.1 Geographical distribution of polar cod in autumn 2023 based on acoustic data. Circle sizes correspond to NASC values (m2/nmi2) per nautical mile.
Figure 7.2.1.1 Geographical distribution of polar cod in autumn 2023 based on acoustic data. Circle sizes correspond to NASC values (m2/nmi2) per nautical mile.

 

7.2.2. Abundance estimation

The stock abundance estimates by age, number and weight in 2023 is given in Table 7.2.2.1 and the time series of abundance estimates are summarized in Table 7.2.2.2. The estimated means are from 1000 bootstrap replicas made in StoX 3.6.

The total estimated biomass of polar cod in 2023 is slightly below the long-term mean and less than 40% of the biomass estimated in 2021. All age groups from 1 to 4 were quite well represented in the population, with 1-year-olds being most abundant. 3-year-olds (2020 year-class) dominated in biomass, while there was a significant contribution in biomass also from 4-year-olds (2019-year class). The abundance of both these year classes were above the long-term average and they were observed as strong also in the 2021 survey. There was no polar cod estimation in 2022 due to poor survey coverage.


Table 7.2.2.1. Barents Sea polar cod. Summary of results from the acoustic estimate in August- October 2023. All values in the table are derived from average number and biomass at length and age from 1000 bootstrap runs in StoX 3.6.

Length (cm)

Age/year class

Sum (109)

Biomass (103 t)

Mean weight (g)

1

2

3

 4

5

6

2022

2021

2020

2019

2018

2017

7-8

0.959

0.034

 

 

 

 

0.993

2.362

2.38

8-9

0.744

0.211

 

 

 

 

0.955

3.791

3.97

9-10

1.632

0.344

 

 

 

 

1.976

10.827

5.48

10-11

2.493

0.505

0.012

 

 

 

3.011

21.837

7.25

11-12

2.433

0.710

0.033

 

 

 

3.175

30.468

9.60

12-13

0.756

0.214

0.052

0.009

 

 

1.030

12.965

12.58

13-14

0.505

0.304

0.213

0.010

 

 

1.032

16.648

16.13

14-15

0.083

0.188

0.113

0.015

 

 

0.399

8.129

20.36

15-16

0.029

0.304

0.149

0.022

0.002

 

0.506

13.351

26.38

16-17

0.005

0.202

0.341

0.031

 

 

0.579

17.879

30.88

17-18

 

0.364

3.551

0.759

 

 

4.674

154.798

33.12

18-19

 

0.032

0.461

0.251

 

 

0.744

29.189

39.25

19-20

 

0.025

0.532

0.507

 

 

1.063

45.174

42.48

20-21

 

0.018

0.267

0.626

 

 

0.911

44.836

49.21

21-22

 

0.012

0.392

0.261

 

 

0.665

36.175

54.37

22-23

 

 

0.085

0.211

 

 

0.296

18.523

62.60

23-24

 

 

0.039

0.100

 

 

0.139

9.203

66.18

24-25

 

 

 

0.061

0.052

 

0.113

9.030

79.93

25-26

 

 

 

0.050

0.015

 

0.064

4.992

77.48

26-27

 

 

 

 

0.001

 

0.001

0.160

108.22

27-28

 

 

 

 

 

0.000

0.000

0.023

115.00

TSN (109)

9.640

3.465

6.240

2.912

0.070

0.000

22.328

 

 

TSB (103 t)

75.890

54.869

221.876

132.218

5.484

0.023

 

490.360

 

Mean length (cm)

10.497

12.81

17.85

19.72

24.48

27.50

15.46

 

 

Mean weight (g)

7.872

15.83

35.56

45.40

78.39

115.00

 

 

21.96

Estimates based on Target strength (TS) Length (L) relationship: TS= 21.8 log (L) – 72.7


Table 7.2.2.2. Barents Sea polar cod. Summary of acoustic estimates by age in August-October 2023. TSN and TSB are total stock numbers (109) and total stock biomass (103 tons) respectively.

Year

Age 1

Age 2

Age 3

Age 4+

Total

TSN

TSB

TSN

TSB

TSN

TSB

TSN

TSB

TSN

TSB

1986

24.038

169.6

6.263

104.3

1.058

31.5

0.082

3.4

31.441

308.8

1987

15.041

125.1

10.142

184.2

3.111

72.2

0.039

1.2

28.333

382.8

1988

4.314

37.1

1.469

27.1

0.727

20.1

0.052

1.7

6.562

86.0

1989

13.540

154.9

1.777

41.7

0.236

8.6

0.060

2.6

15.613

207.8

1990

3.834

39.3

2.221

56.8

0.650

25.3

0.094

6.9

6.799

127.3

1991

23.670

214.2

4.159

93.8

1.922

67.0

0.152

6.4

29.903

381.5

1992

22.902

194.4

13.992

376.5

0.832

20.9

0.064

2.9

37.790

594.9

1993

16.269

131.6

18.919

367.1

2.965

103.3

0.147

7.7

38.300

609.7

1994

27.466

189.7

9.297

161.0

5.044

154.0

0.790

35.8

42.597

540.5

1995

30.697

249.6

6.493

127.8

1.610

41.0

0.175

7.9

38.975

426.2

1996

19.438

144.9

10.056

230.6

3.287

103.1

0.212

8.0

33.012

487.4

1997

15.848

136.7

7.755

124.5

3.139

86.4

0.992

39.3

28.012

400.7

1998

89.947

505.5

7.634

174.5

3.965

119.3

0.598

23.0

102.435

839.5

1999

59.434

399.6

22.760

426.0

8.803

286.8

0.435

25.9

91.463

1141.9

2000

33.825

269.4

19.999

432.4

14.598

597.6

0.840

48.4

69.262

1347.8

2001

77.144

709.0

15.694

434.5

12.499

589.3

2.271

132.1

107.713

1869.6

2002

8.431

56.8

34.824

875.9

6.350

282.2

2.322

143.2

52.218

1377.2

2003*

32.804

242.7

3.255

59.9

15.374

481.2

1.739

87.6

53.172

871.4

2004

99.404

627.1

22.777

404.9

2.627

82.2

0.510

32.7

125.319

1143.8

2005

71.675

626.6

57.053

1028.2

3.703

120.2

0.407

28.3

132.859

1803.0

2006

16.190

180.8

45.063

1277.4

12.083

445.9

0.698

37.2

74.033

1941.2

2007

29.483

321.2

25.778

743.4

3.230

145.8

0.315

19.8

58.807

1230.1

2008

41.693

421.8

18.114

522.0

5.905

247.8

0.415

27.8

66.127

1219.4

2009

13.276

100.2

22.213

492.5

8.265

280.0

0.336

16.6

44.090

889.3

2010

27.285

234.2

18.257

543.1

12.982

594.6

1.253

58.6

59.777

1430.5

2011

34.460

282.3

14.455

304.4

4.728

237.1

0.514

36.7

54.158

860.5

2012

13.521

113.6

4.696

104.3

2.121

93.0

0.119

8.0

20.457

318.9

2013

2.216

18.1

4.317

102.2

5.243

210.3

0.180

9.9

11.956

340.5

2014

0.687

6.5

4.439

110.0

3.196

121.0

0.080

5.3

8.402

243.2

2015

10.866

97.1

1.995

45.1

0.167

5.3

0.008

0.5

13.036

148.0

2016

95.919

792.7

6.380

139.1

0.207

6.9

0.023

0.7

102.529

939.4

2017

13.810

121.8

8.269

200.8

1.112

34.3

0.003

0.1

23.195

357.1

2018**

1.900

16.4

0.980

23.1

0.240

9.4

0.014

0.6

3.124

49.6

2019**

6.109

49.8

1.217

30.3

0.214

6.3

0.014

0.8

7.555

87.2

2020

115.139

988.3

20.133

386.8

8.217

299.3

0.647

42.8

144.171

1720.8

2021

45.340

375.5

44.020

819.9

2.190

90.4

0.210

13.3

91.760

1299.0

2022

No data

 

 

 

 

 

 

 

 

 

2023

9.640

75.9

3.465

54.9

6.240

221.9

2.983

137.7

22.328

490.4

Average

31.550

254.6

14.060

314.4

4.560

171.4

0.530

28.7

50.740

770.6

* numbers partly based on VPA estimates 

** incomplete survey coverage


7.3    Herring (Clupea harengus)

7.3.1  Geographical distribution

The main distribution of young Norwegian spring spawning herring (NSSH) was in the south-east (Figure 7.3.1.1). In addition, there were concentrations of young herring in the Central Bank area and the south-west.

Figure 7.3.1.1 Geographical distribution of herring in autumn 2023 based on acoustic recordings. Circle sizes correspond to NASC values (m2/nmi2) per nautical mile.
Figure 7.3.1.1 Geographical distribution of herring in autumn 2023 based on acoustic recordings. Circle sizes correspond to NASC values (m2/nmi2) per nautical mile.
    1.  

 7.3.2  Abundance estimation

The estimated total number and biomass of NSSH in the Barents Sea in the autumn 2023 is shown in Table 7.3.2.1, and the time series of abundance estimates is summarized in Table 7.3.2.2. Total numbers in 2023 was estimated at ca. 104·109 individuals (Table 7.3.2.1). This is four times above the long-term average (Table 7.3.2.2). Abundance of all age groups 1-4+ were above the long-term average. In particular, the 1 and 2-year-olds were abundant. 1-year-olds are dominating in abundance while 2-year-olds are dominating the biomass estimate (Table 7.3.2.1). The abundance of both 1-year-olds and 2-year-olds were the second highest on record. While the high abundance of 1-year-olds follows from a year of very high 0-group abundance in 2022, the high abundance of 2-year-olds and relatively high abundance of 3-year-olds was not expected from previous BESS surveys. However, it should be noted that last year the eastern area was covered late and not included in the estimate. 


 

Table 7.3.2.1. NSSH. Acoustic estimate in the Barents Sea in August-October 2023. All values in the table are derived from average number and biomass at length and age from 1000 bootstrap runs in StoX 3.6.

Length (cm)

Age/year class

Sum

(109)

Biomass

 (103 t)

Mean

 weight (g)

1

2

3

4

5

6

7

8

9

10

11

2022

2021

2020

2019

2018

2017

2016

2015

2014

2013

2012

7-8

0.683

 

 

 

 

 

 

 

 

 

 

0.683

1.367

2.00

8-9

0.450

 

 

 

 

 

 

 

 

 

 

0.450

1.487

3.31

9-10

3.030

 

 

 

 

 

 

 

 

 

 

3.030

15.056

4.97

10-11

2.793

 

 

 

 

 

 

 

 

 

 

2.793

20.823

7.45

11-12

5.683

 

 

 

 

 

 

 

 

 

 

5.683

56.132

9.88

12-13

13.582

 

 

 

 

 

 

 

 

 

 

13.582

171.034

12.59

13-14

20.162

 

 

 

 

 

 

 

 

 

 

20.162

297.378

14.75

14-15

12.880

0.184

 

 

 

 

 

 

 

 

 

13.063

232.500

17.80

15-16

2.767

1.134

 

 

 

 

 

 

 

 

 

3.901

87.321

22.38

16-17

1.103

3.611

 

 

 

 

 

 

 

 

 

4.714

129.007

27.37

17-18

0.499

6.621

 

 

 

 

 

 

 

 

 

7.120

235.625

33.09

18-19

0.193

8.433

 

 

 

 

 

 

 

 

 

8.626

345.932

40.10

19-20

0.121

4.118

 

 

 

 

 

 

 

 

 

4.239

206.942

48.81

20-21

0.151

2.926

 

 

 

 

 

 

 

 

 

3.077

187.537

60.95

21-22

0.017

3.307

0.049

 

 

 

 

 

 

 

 

3.374

229.971

68.17

22-23

 

0.489

 

 

 

 

 

 

 

 

 

0.489

36.000

73.57

23-24

 

0.499

0.071

 

 

 

 

 

 

 

 

0.570

54.251

95.23

24-25

 

0.931

0.977

 

 

 

 

 

 

 

 

1.908

201.204

105.45

25-26

 

0.524

2.311

 

 

 

 

 

 

 

 

2.835

337.016

118.89

26-27

 

 

0.626

0.071

 

 

 

 

 

 

 

0.697

98.565

141.45

27-28

 

0.141

0.394

 

 

 

 

 

 

 

 

0.536

91.284

170.46

28-29

 

0.002

0.005

 

 

 

 

 

 

 

 

0.007

1.470

208.05

29-30

 

 

0.002

 

0.003

0.002

 

 

 

 

 

0.008

1.421

182.57

30-31

 

 

0.007

 

0.008

0.007

 

 

 

 

 

0.022

5.201

231.47

31-32

 

 

 

 

0.029

 

0.010

 

 

 

 

0.040

10.505

264.18

32-33

 

 

 

 

0.345

0.164

0.250

 

 

 

 

0.759

219.956

289.65

33-34

 

 

 

 

 

0.125

0.194

0.011

 

 

 

0.330

104.838

317.41

34-35

 

 

 

 

 

0.032

0.479

 

0.032

0.053

 

0.596

195.126

327.51

35-36

 

 

 

 

 

 

0.255

0.227

 

 

0.160

0.641

208.015

324.44

TSN (109)

64.115

32.920

4.443

0.071

0.386

0.330

1.188

0.237

0.032

0.053

0.160

103.935

 

 

TSB (103 t)

925.193

1558.093

546.748

9.983

110.224

99.714

376.327

76.928

10.581

17.297

51.874

 

3782.962

 

Mean length (cm)

13.11

19.01

25.54

26.50

32.36

33.01

34.10

35.41

34.50

34.50

35.50

17.427

 

 

Mean weight (g)

14.43

47.33

123.07

141.45

285.62

301.84

316.68

324.12

327.51

327.51

324.44

 

 

36.40

Estimates based on Target strength (TS) Length (L) relationship: TS= 20.0 log (L) – 71.9


 

Table 7.3.2.2. NSSH. Summary of acoustic estimates of herring by age in autumn 1999-2023. TSN and TSB are total stock numbers (109) and total stock biomass (103 tons) respectively.

Year

Age 1

Age 2

Age 3

Age 4+

Total

TSN

TSB

TSN

TSB

TSN

TSB

TSN

TSB

TSN

TSB

1999

48.759

716.0

0.986

31.0

0.051

2.0

 

 

49.795

749.0

2000

14.731

383.0

11.499

560.0

 

 

 

 

26.230

943.0

2001

0.525

12.0

10.544

604.0

1.714

160.0

 

 

12.783

776.0

2002

No data

 

 

 

 

 

 

 

 

 

2003

99.786

3090.0

4.336

220.0

2.476

326.0

 

 

106.597

3636.0

2004

14.265

406.0

36.495

2725.0

0.901

107.0

 

 

51.717

3252.0

2005

46.380

984.0

16.167

1055.0

6.973

795.0

 

 

69.520

2833.0

2006

1.618

34.0

5.535

398.0

1.620

211.0

 

 

8.773

643.0

2007

3.941

148.0

2.595

218.0

6.378

810.0

0.250

46.0

13.164

1221.0

2008

0.030

1.0

1.626

77.0

3.987*

287*

3.223*

373*

8.866*

738*

2009

1.538

48.0

0.433

52.0

1.807

287.0

1.686

393.0

5.577

815.0

2010

1.047

35.0

0.315

34.0

0.234

37.0

0.428

104.0

2.025

207.0

2011

0.095

3.0

1.504

106.0

0.006

1.0

 

 

1.605

109.0

2012

2.031

36.0

1.078

66.0

1.285

195.0

 

 

4.394

296.0

2013

7.657

202.0

5.029

322.0

0.092

13.0

0.057

9.0

12.835

546.0

2014

4.188

62.0

1.822

126.0

6.825

842.0

0.162

25.0

13.011

1058.0

2015

1.183

6.0

9.023

530.0

3.214

285.0

0.149

24.0

13.569

845.0

2016

7.760

131.0

1.573

126.0

3.089

389.0

0.029

6.0

12.452

652.0

2017

34.950

820.0

2.138

141.0

3.465

412.0

0.982

210.0

41.537

1583.0

2018

No data

 

 

 

 

 

 

 

 

 

2019

13.650

172.0

0.209

15.1

6.000

756.0

1.600

487.0

21.460

1430.0

2020

 

 

0.231

13.0

1.816

189.0

11.59*

2796*

13.636*

2998*

2021

1.410

80.8

0.120

10.1

0.360

39.5

0.720

144.7

2.610

275.1

2022**

4.442

155.2

0.882

76.6

0.000

0.0

1.459

412.3

6.783

645.7

2023

64.115

925.2

32.920

1558.1

4.443

546.7

2.458

752.9

103.935

3783.0

Average

17.000

384.1

6.390

394.1

2.580

304.1

1.770

413.1

26.210

1305.8

       *in mix with Kanin herring in the south-eastern part of the coverage area

     **survey coverage only on Norwegian (western) side

  1.  

7.4   Blue whiting (Micromesistius poutassou)

7.4.1  Geographical distribution

Blue whiting contributes to the mid-trophic pelagic component in the south-western part of the Barents Sea ecosystem. The Barents Sea is on the border of the distribution area for the blue whiting, but with incoming strong year-classes, increased abundance of young blue whiting in the Barents Sea is normally observed. The distribution of blue whiting from the BESS 2023 is shown in Figure 7.4.1.1. The distribution follows the shelf edge north to Svalbard/Spitsbergen and some low recordings were even found north of Svalbard/Spitsbergen.

Figure 7.4.1.1. Geographical distribution of blue whiting in autumn 2023 based on acoustic recordings. Circle sizes correspond to NASC values (m2/nmi2) per nautical mile.
Figure 7.4.1.1. Geographical distribution of blue whiting in autumn 2023 based on acoustic recordings. Circle sizes correspond to NASC values (m2/nmi2) per nautical mile. 

 

7.4.2  Abundance by size and age

The estimated total number and biomass of blue whiting in the Barents Sea in the autumn 2023 is shown in Table 7.4.2.1, and the time series of abundance estimates is summarized in Table 7.4.2.2.

From 2004-2007 estimated biomass of blue whiting in the Barents Sea was between 200 000 and 350 000 tons (Table 7.4.2.2). In 2008 the estimated biomass dropped abruptly to only about 18% of the estimated biomass in the previous year, and it stayed low until 2012. From 2012 onwards it was variable, but the last six years it has been quite stable at a lower-than-average level despite that recruitment (abundance at age 1) in both 2021 and 2022 were high. This year estimated biomass was similar to the estimate from last year (Table 7.4.2.3).

The 2020 year class (3-year olds) dominated in both abundance and biomass, but all age groups are below average in abundance (Table 7.4.2.2).


Table 7.4.2.1. Blue whiting. Acoustic estimate in the Barents Sea in August-October 2023. All values in the table are derived from average number and biomass at length and age from 1000 bootstrap runs in StoX 3.6.

Length (cm)

Age/year class

Sum (106)

Biomass (103 t)

Mean weight (g)

1

2

3

4

5

6

7

8

9

10

11

12

13

14

2022

2021

2020

2019

2018

2017

2016

2015

2014

2013

2012

2011

2010

2009

18-19

0.2

 

 

 

 

 

 

 

 

 

 

 

 

 

0.2

0.0

33.69

19-20

0.7

0.1

 

 

 

 

 

 

 

 

 

 

 

 

0.8

0.0

36.12

20-21

3.6

1.6

 

 

 

 

 

 

 

 

 

 

 

 

5.2

0.2

42.58

21-22

12.3

4.1

 

 

 

 

 

 

 

 

 

 

 

 

16.5

0.8

49.78

22-23

6.9

0.7

5.3

 

 

 

 

 

 

 

 

 

 

 

12.8

0.8

59.51

23-24

1.4

10.8

6.1

 

 

 

 

 

 

 

 

 

 

 

18.3

1.3

71.64

24-25

4.2

13.9

3.6

 

 

 

 

 

 

 

 

 

 

 

21.7

1.8

84.09

25-26

 

16.3

12.3

1.8

 

 

 

 

 

 

 

 

 

 

30.4

3.0

97.47

26-27

 

9.5

12.0

7.9

 

 

 

 

 

 

 

 

 

 

29.5

3.3

111.33

27-28

 

4.3

18.6

8.4

7.5

0.7

0.3

 

 

 

 

 

 

 

39.8

5.1

126.99

28-29

 

 

14.9

6.7

1.8

0.8

6.1

 

 

 

 

 

 

 

30.3

4.3

141.73

29-30

 

 

7.7

2.9

5.4

 

1.0

0.7

1.3

 

 

 

 

 

19.1

3.0

158.65

30-31

 

 

3.2

1.8

1.4

2.3

0.1

0.5

0.9

 

0.2

 

 

 

10.4

1.8

169.02

31-32

 

 

 

1.5

1.2

2.8

 

1.4

1.2

 

 

 

 

 

8.2

1.5

185.80

32-33

 

 

0.2

 

1.6

2.5

1.4

2.2

0.6

 

 

 

 

 

8.5

1.8

207.61

33-34

 

 

 

0.4

1.1

 

3.1

 

4.3

 

 

 

0.7

 

9.6

2.2

226.45

34-35

 

 

 

0.4

 

1.0

0.6

5.4

0.6

 

 

 

 

 

7.9

2.0

255.50

35-36

 

 

 

 

0.8

0.5

1.1

0.4

1.0

 

0.0

 

0.1

 

3.8

1.0

274.15

36-37

 

 

 

 

 

0.3

 

 

0.4

 

 

0.4

0.1

 

1.2

0.3

302.89

37-38

 

 

 

 

 

 

 

 

0.1

0.1

 

 

0.1

0.1

0.3

0.1

362.40

38-39

 

 

 

 

 

 

 

 

0.2

 

 

 

0.1

 

0.3

0.1

305.66

39-40

 

 

 

 

 

 

 

 

 

 

 

 

 

0.0

0.0

0.0

326.00

TSN (106)

29.3

61.3

84.0

31.8

20.7

10.9

13.7

10.6

10.7

0.1

0.2

0.4

1.1

0.1

274.8

 

 

TSB (103 t)

1.7

5.4

9.9

4.3

3.3

2.1

2.5

2.4

2.3

0.0

0.0

0.1

0.3

0.0

 

34.5

 

Mean length (cm)

22.07

24.77

26.82

28.06

29.52

31.66

30.88

33.19

32.92

37.50

31.59

36.50

34.63

37.95

27.61

 

 

Mean weight (g)

56.73

88.93

117.61

135.55

159.36

194.21

183.46

226.21

218.64

362.40

191.84

302.89

253.66

354.19

 

 

125.37

Estimates based on Target strength (TS) Length (L) relationship: TS=20 log (L) - 65.2


Table 7.4.2.2 Blue whiting. Acoustic estimates by age in autumn 2004-2023. TSN and TSB are total stock numbers (106) and total stock biomass (103 tons).

Year

Age 1

Age 2

Age 3

Age 4+

Total

TSN

TSB

TSN

TSB

TSN

TSB

TSN

TSB

TSN

TSB

2004

669

26

439

33

1056

98

1211

159

3575

327

2005

649

20

523

36

1051

86

809

102

3039

244

2006

47

2

478

34

730

70

922

129

2177

235

2007

+

+

116

11

892

92

743

107

1757

210

2008

+

+

+

+

10

1

238

36

247

37

2009

1

+

+

+

6

1

359

637

366

65

2010

 

 

2

 

5

1

155

31

163

33

2011

2

+

2

+

13

2

93

22

109

25

2012

583

27

64

8

58

9

321

77

1025

121

2013

1

 

349

28

135

13

175

42

664

84

2014

111

5

19

2

185

20

127

28

443

55

2015

1768

71

340

29

134

15

286

44

2529

159

2016

277

13

1224

82

588

48

216

36

2351

188

2017

43

2

253

22

503

49

269

38

1143

115

2018

 

 

18

1

74

8

215

29

332

40

2019

54

2

64

5

66

8

162

27

347

43

2020

110

5

19

2

11

1

56

11

196

18

2021

406

17

58

5

39

5

67

13

584

40

2022

195

8

143

12

41

4

58

10

437

34

2023

29

2

61

5

84

10

100

17

275

34

Average

309

15

232

20

284

27

329

80

1088

105

Estimates based on Target strength (TS) Length (L) relationship: TS = 20 log (L) - 65.2 (Recalculation by Åge Høines, IMR 2017)

Note:«+»  <0.5


Table 7.4.2.3 Summary of stock size estimates for blue whiting in 2022-2023. A comparison between the estimates this year and last year (yellow background).

Year class

Age

Numbers (106)

Mean weight (g)

Biomass (103 t)

2022

2021

1

29.3

194.6

56.52

40.13

1.7

7.8

2021

2020

2

61.3

143.2

88.57

86.31

5.4

12.4

2020

2019

3

84.0

40.7

118.40

103.31

9.9

4.2

2019

2018

4+

100.2

58.4

136.44

169.04

17.4

9.6

Total stock in:

 

 

 

 

 

 

 

 

2023

2022

Total

274.8

436.9

125.37

78.38

34.5

 34.2

 

 

 

8 - Commercial Demersal Fish

This chapter is published in

Survey report (Part 2) from the joint Norwegian/Russian Ecosystem Survey in the Barents Sea and the adjacent waters August-October 2023

9 - Fish Biodiversity

9.1 Small non-target fish species

By E. Eriksen, T. Prokhorova, D. Prozorkevic and A. Dolgov 
Figures by E. Eriksen 

Despite the distribution and biology of the non-commercial fish species and their role in the Barents Sea ecosystem being investigated since mid-1990s (e.g. Dolgov, 1995; Wienerrother et al., 2011; Wienerrother et al., 2013 etc), their distribution patterns, abundance and biomass are still poorly studied. Since 2012 abundance and biomass of pelagically distributed juveniles of fish species from the families Agonidae, Ammodytidae, Cottidae, Liparidae, Myctophidae and Stichaeidae (called “small fishes” here) were calculated and presented in the Survey report (Figure 9.1.1). Calculation of the abundance and biomass was done using the same method as the calculation of the abundance of the 0-group of commercial species described in Chapter 6. The same polygons were used (Figure 6.2).

 

Figure 9.1.1. Total biomass of small non-commercial fishes in the Barents Sea in 1990-2023
Figure 9.1.1. Total biomass of small non-commercial fishes in the Barents Sea in 1990-2023

In 2023, the total biomass of small fishes (9 317 tonnes for all these families) was higher than in 2021-2022 (Table 9.1.1). Total biomass of small non-commercial fishes was dominated by species from families Ammodytidae and Stichaeidae. Long term mean (LTM) for the period 1990-2023 is also presented. Time series for abundance and biomass indices calculated in SAS (1990-2003) and in R (2004-2023).

Composition of small fish biomasses varied between areas, the south-eastern and south-western polygons dominated by Ammodytidae, the northern and central polygons dominated by Stichaeidae and Liparidae.


Table 9.1.1. Abundance indices (AIc, in million individuals) and biomass (B, in tonnes) of pelagic juveniles of species from families Agonidae, Ammodytidae, Liparidae, Cottidae, Myctophidae and Stichaeidae in 1990-2023.

Year

Agonidae

Ammodytidae

Cottidae

Liparidae

Myctophidae

Stichaeidae

Total biomass, tonnes

AIc

B

AIc

B

AIc

B

AIc

B

AIc

B

AIc

B

1990

37

11

2099

1050

195

58

0

0

40

18

830

415

1552

1991

179

54

1733

866

2799

840

404

141

6

3

1565

783

2686

1992

85

25

1367

683

230

69

36

12

293

132

456

228

1150

1993

10

3

3425

1712

71

21

15

5

1536

691

0

0

2433

1994

808

242

33168

16584

3992

1198

11

4

13

6

0

0

18034

1995

39

12

4562

2281

93

28

2

1

40

18

3

2

2341

1996

117

35

7791

3895

310

93

35

12

274

123

0

0

4159

1997

32

9

3393

1697

282

85

184

65

12

5

1591

796

2656

1998

112

33

471

236

289

87

99

35

14

6

805

403

799

1999

388

116

1630

815

2460

738

865

303

12

5

1062

531

2508

2000

336

101

8549

4274

887

266

464

163

219

98

2129

1065

5967

2001

75

23

1052

526

206

62

97

34

153

69

681

340

1053

2002

20

6

3259

1630

37

11

46

16

17

8

0

0

1670

2003

27

12

389

140

435

216

24

21

0

0

1592

851

1241

2004

255

80

114

221

446

191

311

1213

76

42

1199

584

2330

2005

344

102

13848

18336

1012

609

3630

7185

12

5

1240

762

26999

2006

432

119

22368

11879

924

600

5639

2697

0

0

4856

1969

17264

2007

308

86

4364

7472

583

282

3540

1297

1

1

1558

830

9968

2008

124

44

255

244

18

12

51

88

38

24

337

181

593

2009

479

71

10578

2734

3182

833

953

274

263

126

4951

2701

6739

2010

244

59

378

164

146

78

268

132

6

6

3904

1293

1733

2011

139

52

955

507

315

146

907

426

4

2

4532

3014

4148

2012

175

60

8742

4907

272

170

1270

849

0

0

9933

4202

10188

2013

8

2

2118

2869

54

32

37

18

0

0

187

73

2993

2014

30

9

787

447

11

6

13

7

0

0

1301

641

1110

2015

65

27

2291

3139

929

525

442

196

0

0

3899

1932

5819

2016

108

38

10850

4129

880

535

3255

942

0

0

2148

970

6614

2017

29

11

2805

6986

4

12

881

153

0

0

541

271

7433

2018

633

259

1449

579

2675

2174

4010

2124

0

0

1382

819

5955

2019

766

228

587

390

1465

624

891

263

0

0

5452

2168

3673

2020

762

227

1884

18264

328

142

7316

2578

0,3

0

757

563

21774

2021

99

20

409

293

27

16

842

282

0

0

920

427

1037

2022

19

7

21

54

109

58

19

7

0

0

325

184

311

2023

34

10

8138

7842

3

4

10

21

0

0

2849

1440

9317

LTM

227

 

 


Agonidae were represented by Atlantic poacher Leptagonus decagonus. L. decagonus was distributed mostly in the northern area (Figure 9.1.2). The estimated indices in 2023 showed that their total abundance (34 million ind.) and biomass (10 tonnes) was lower than long-term mean values (227 million ind. and 68 tonnes (Table 9.1.1). 

Figure 9.1.2. Spatial distribution of Agonidae in August-September 2023.
Figure 9.1.2. Spatial distribution of Agonidae in August-September 2023.

Abundance and biomass of Agonidae were calculated in R for the period of 2003-2023 for 15 WGIBAR-polygons (Figure 9.1.2). The highest densities of Agonidae were found in the North East during 2004-2007, 2009, and 2011, in the Great Bank in the 2013, 2016-2017 and in 2021, in the Central Bank 2008, 2015, 2018-2020, and in the Svalbard South in 2023 (Figure 9.1.3).

Figure 9.1.3. Spatial distribution of mean Agonidae densities by polygons in August-September 2003-2023.
Figure 9.1.3. Spatial distribution of mean Agonidae densities by polygons in August-September 2003-2023.

Ammodytidae were represented by sandeel Ammodytes marinus and were widely distributed in the Barents Sea (Figure 9.1.4). In 2023, estimated abundance and biomass was almost twice higher than the long-term mean (4927 million ind. and 3.7 thousand tonnes correspondently) and was 8 138 million individuals and 7.8 tonnes, respectively (Table 9.1.1).

 

Figure 9.1.4. Spatial distribution of Ammodytidae in August-September 2023.
Figure 9.1.4. Spatial distribution of Ammodytidae in August-September 2023.

Total abundance and biomass of Ammodytidae calculated in R for the period of 2003-2023 for 15 polygons (Figure 6.2.). The highest densities of Ammodytidae were found in the Pechora during 2003, 2005-07, 2009-16, 2021 and 2023, in the Thor Iversen Bank during 2004 and 2008, in the South West in 2022, and in the Svalbard South during 2016-18 and 2020 (Figure 9.1.5).

Figure 9.1.5. Spatial distribution of mean polygon densities of Ammodytidae in August-September 2003-2023.
Figure 9.1.5. Spatial distribution of mean polygon densities of Ammodytidae in August-September 2003-2023.


Stichaeidae were represented by snakeblenny Lumpenus lampraetaeformis, daubed shanny Leptoclinus maculatus, and stout eelblenny Anisarchus medius (Figure 9.3.6). In 2023, Stichaeidae were observed in the two separated ares in the north west and in the south east. In 2023, total abundance (2 849 million ind.) and biomass (1.4 thousand tonnes) of Stichaeidae was highest since 2019 and was higher than the long-term mean values of 1 869 million ind. (abundance) and 900 tonnes (biomass) (Table 9.1.1).

Figure 9.1.6. Spatial distribution of Stichaeidae in August-September 2023.
Figure 9.1.6. Spatial distribution of Stichaeidae in August-September 2023.

Total abundance of Stichaeidae calculated in R for the period of 2003-2023 for 15 polygons (Figure 6.2.). The highest densities of Stichaeidae were found in the Svalbard North and Svalbard South during almost all years (Figure 9.1.6). Other polygons contributed to the total abundance in lesser degree. While in last decades higher densities were found in Pechora (2017, 2021), Fr. Victoria Trough (2021) and Southeastern basin in 2023 (Figure 9.1.7).

Figure 9.1.7. Spatial distribution of mean polygon densities of Stichaeidae in August-September 2003-2023.
Figure 9.1.7. Spatial distribution of mean polygon densities of Stichaeidae in August-September 2003-2023.


Cottidae were mostly represented by shorthorn sculpin Myoxocephalus scorpius, bigeye sculpin Triglops nybelini, ribbed sculpin Triglops pingelii and moustache sculpin Triglops murrayi. In 2023, Cottidae were restricted to some few stations in the north west, and their distribution was smaller than previous years (Figure 9.1.8). Total abundance (3 million ind.) and biomass (4 tonnes) was very low and was more than 200 times lower than the long term mean values of 799 million ind. (abundance) and 336 tonnes (biomass) (Table 9.1.1).

Figure 9.1.8. Spatial distribution of Cottidae and Liparidae in August-September 2023.
Figure 9.1.8. Spatial distribution of Cottidae and Liparidae in August-September 2023.


Total abundance of Cottidae calculated in R for the period of 2003-2023 for the same 15 polygons (Figure 6.2). The highest densities of Cottidae were found in the Fr. Victoria Trough during almost all years, in the Svalbard North in 2003-2005 and 2008, and in the Great Bank in 2018-2019 (Figure 9.1.9). Other polygons contributed to the total abundance in lesser degree.

Figure 9.1.9. Spatial distribution of mean polygon densities of Cottidae in August-September 2003-2023.
Figure 9.1.9. Spatial distribution of mean polygon densities of Cottidae in August-September 2003-2023.


Liparidae were represented by gelatinous snailfish Liparis fabricii and nebulous snailfish Liparis bathyarcticus. In 2023, Liparidae distributed east and north-east for Svalbard/Spitsbergen (Figure 9.1.8). In 2023, estimated abundance and biomass were 10 million ind. and 21 tonnes, respectively. That is lower than the long-term mean values (1142 million ind. and 673 tonnes) (Table 9.3.1). 

Total abundance of Liparidae calculated in R for the period of 2003-2023 for the same 15 polygons (Figure 6.2). The highest densities of Liparidae were found in the Great bank in 2004-2005, 2007 and 2019, and in the Fr. Victoria Trough during almost all years (Figure 9.1.10). Other polygons contributed to the total abundance in lesser degree.

Figure 9.1.10. Spatial distribution of mean polygon densities of Liparidae in August-September 2003-2023.
Figure 9.1.10. Spatial distribution of mean polygon densities of Liparidae in August-September 2003-2023.

 

The following subchapters is published in

Survey report (Part 2) from the joint Norwegian/Russian Ecosystem Survey in the Barents Sea and the adjacent waters August-October 2023

9.2         Small non-target fish species

9.3         Fish biodiversity in the demersal compartment

9.4          Zoogeographic groups

10 - Commercial Shellfish

Ch 10 Commercial Shellfish is published in

Survey report (Part 2) from the joint Norwegian/Russian Ecosystem Survey in the Barents Sea and the adjacent waters August-October 2023

11 - Benthic Invertebrate Community

Ch 11 Benthic Invertebrate Community is published in 

Survey report (Part 2) from the joint Norwegian/Russian Ecosystem Survey in the Barents Sea and the adjacent waters August-October 2023

12 - Marine Mammals and Seabirds

Ch 12 Marine Mammals and Seabirds is published in

Survey report (Part 2) from the joint Norwegian/Russian Ecosystem Survey in the Barents Sea and the adjacent waters August-October 2023