Go to main content

Kunnskapsinnhenting Leppefisk – biologi og fiskeri 2013-2018

— Rapport til Fiskeridirektoratet for 2018 sesongen

1 Innledning

For å kunne gi presise bestandsvurderinger og råd er det behov for gode og komplementære fiskeri-avhengige og fiskeri-uavhengige data og forsøk. Her oppsummeres Havforskningsinstituttets forskningsaktiviteter på leppefisk i 2018 med delfinansiering fra Fiskeridirektoratet. I 2018 ble det brukt mye ressurser på å sette i gang større prosjekter og årlige tokt som skal dekke viktige kunnskapshull for forvaltning av leppefisk:

For å få bedre kunnskap om bestandenes tåleevne og produktivitet er det er svært viktig å kjenne populasjonsdynamikk, livshistorietrekk og reproduksjon for de ulike artene. Videre er informasjon om fangbarhet, selektivitet og fiskedødelighet viktig for å forstå hvordan fiskeriet på virker arts-, kjønn- og størrelse-sammensetningen i bestandene. Dette er avhengig av interaksjonen mellom fiskeredskapene, lengdesortering og de ulike artenes adferd og dybdefordeling. Leppefisk har sårbar reproduksjon og bør ikke fiskes under gyteperioden. HI har kartlagt hvordan gyteperioden varierer mellom ulike områder og år. For å danne et bilde av bestandsutviklingen har ulike fiskeriavhengige og fiskeri-uavhengige bestandsindikatorer blir brukt, men det har også blitt avdekket utfordringer rundt bruk av CPUE som indikator på endringer i bestandsstørrelse. Marine verneområder blir benyttet som feltlaboratorier for å studere effekter av fiske. Det har vært utført prosjekter på redskapsutvikling for fangstreduksjon av stor berggylte. I tillegg har det blitt gjort kartlegging av genetisk struktur. Kunnskapsoverføring og formidling har blitt prioritert for å sikre god informasjonsflyt mellom forskningsmiljøene, forvaltning og media. Rapporten er inndelt i delprosjekter.

2 Populasjonsdynamikk og fiskerieffekter

Bakgrunn: Formålet med dette delprosjektet er å få en grundig forståelse av de naturlige populasjonsdynamiske prosessene hos leppefiskartene, samt å undersøke hvordan bestandene og økosystemet responderer på ulike regimer for størrelses-selektivt fiske. Hvordan fiskeriet, gjennom redskap og sortering er selektivt på art, størrelse og kjønn er grunnleggende viktig kunnskap for å evaluere bestandene og effekten av ulike forvaltningstiltak.

Figur 1: Forskningsområdet for leppefisk i Austevoll

Gjennomføring 2018: Det er igangsatt et omfattende merkeforsøk i et nylig etablert forskningsområde for leppefisk i Austevoll, hvor tre øyer er avstengt for fiske etter leppefisk til og med 2021. Fem arter leppefisk merkes med PIT merker (tabell 1). Det er lagt opp til tre merke-gjenfangst perioder per år (vår-sommer-høst), hvor det i hver periode fiskes med 64 ruser over 8 dagers fiske. Forsøket startet opp høst 2017 og varer til høst 2021. For å undersøke hvilke direkte og indirekte bestandseffekter fisket etter leppefisk har, vil den ene av øyene fiskes ned tilsvarende et intensivt kommersielt fiskeri i 2019. Her vil vi estimere selektivitet og fangbarhet i fiskeriet. Reetablering vil følges opp frem til 2021. I tillegg til merkeforsøkene, vil vi undersøke gyteadferd og effekter på andre arter. Vi kartlegger derfor området grundig før vi innfører påvirkning av ulike fiskeregimer, og ved å måle tilsvarende parametere som før påvirkning har man et robust statistisk utgangspunkt for å måle effekter. Merking-gjenfangst forsøket fortsetter som før etter nedfiskingen.


Tabell 1: Oversikt over antall leppefisk merket i forskningsområdene for leppefisk i Austevoll (2017-2018).

  2017 2018 Totalt
Art Merket Gjenfangst Merket Gjenfangst Merket Gjenfangst
Berggylt 105 3 131 10 236 13
Bergnebb 1249 37 1366 138 2615 175
Grasgylt 234 1 1085 16 1319 17
Grønngylt 1805 233 2129 420 3934 653
Rødnebb/blåstål 435 3 222 2 657 5
Total 3828 277 4933 586 8761 863

Fremtidige leveranser:

Bevegelse og habitatvalg - 1 masterstudent UiO, Nicolai Aasen, ferdig Juni 2019.

Vekst - 1 masterstudent UIO, Ylva Vik, ferdig Juni 2019.

Publikasjon vekst og bevegelse 2020.

Vinter- og sommeroverlevelse – Publikasjon i 2020.

Fangbarhet og selektivitet (art, størrelse kjønn) – 1 masterstudent UiA, Marthe Ruud ferdig 2020.

Effekter på andre arter og økosystemet. Rapport/publikasjon i 2020.

3 Livshistorie og økologi

Bakgrunn: For å kunne vurdere bestandstilstanden og sårbarhet samt gi anbefalinger om minste og maksimal-mål er det helt avgjørende å ha god kunnskap om livshistorietrekk (vekstrate, alder/størrelse ved kjønnsmodning/kjønnsskifte, fekunditet, dødelighet (naturlig og fiskeri indusert) og livslengde). Minstemål er et sentralt forvaltningsverktøy hos leppefisk – og HI foreslo i 2017 at det også bør innføres maksimalmål for å sikre en kjønnsbalanse i bestandene (hannene er større enn hunnene), samt at det vil ta vare på store, eldre individer med høy fekunditet. Det er også behov for bedre kunnskap om de ulike artenes posisjon i næringskjeden.

Gjennomføring 2018: Det er samlet inn otolitter av bergnebb og grønngylt fra det Nordlige utbredelsesområdet (Smøla og Flatanger). Videre er det lest alder på skjell og otolitter samlet inn fra Flødevigen og Austevoll i 2017 fra bergnebb, grønngylt og grasgylt, samt gjort vekstanalyser. Foreløpige resultater tyder på at skjell kan benyttes til alder istedenfor otolitter hos grønngylt og berggylt, men ikke for bergnebb. Det er tatt stabile isotop-analyser av grønngylt, bergnebb og grasgylt for å undersøke leppefiskenes posisjon i næringsnettet og om dette endrer seg med størrelse/kjønn. Disse viser seperasjon mellom de ulike artene, og også at trofisk nivå varierer med fiskens størrelse. En publikasjon på finskala livshistorievariasjon hos bergnebb: Olsen, E.M., K.T. Halvorsen, Larsen & A. Kuparinen. 2019. Potential for managing life history diversity in a commercially exploited intermediate predator, the goldsinny wrasse (Ctenolabrus rupestris). ICES Journal of Marine Science

Fremtidige leveranser:

Validering av skjell som alderslesingsverktøy ferdigstilles i 2019 – publikasjon 2020.

Publikasjon på stabile isotoper sendes til journal i løpet av 2019.

Publisering av vekstkurver for bergnebb, grasgylt og berggylt 2019/2020.

Simulering/modellering vil benyttes til å utforske effekter og gi råd til beste tilpassede minste/maksmål for ved ulik grad av beskatning. Planlagt publisering løpet av 2019 sammen med Holly Kindsvater og Suzanne Alonzo. Benytter livshistoriedata som utgangspunkt.

4 Gytetid

Bakgrunn: Gytetid har vært omfattende kartlagt ved ukentlig forsøksfiske siden 2013 i Flødevigen og Austevoll, med enkelte stikkprøver i andre områder Gytetidsundersøkelsene har blitt brukt direkte til fastsetting av åpningsdato av fisket. I dette delprosjektet vil de innsamlede dataene analyseres for å se på hvilken måte temperatur og andre fysiske og biologiske faktorer har på start og lengde på gyteperioden.

Gjennomføring 2018: Gjennomført i Flødevigen og Austevoll. 2018 vil bli siste år dette blir gjort – noe som gir fem år med data. Dataene viser at det er betydelige år-år variasjoner, men at det ikke er noen klar forskjell mellom Sør- og Vestlandet. Artene gyter stort sett i samme periode, men vi har for lite kunnskap om berggylte, som ikke lar seg stryke like enkelt som de andre artene.

Fremtidige leveranser: Analyse av effekt av temperatur, samt forskjeller mellom Sør- og Vestlandet. Publikasjon sendes inn sent i 2019 eller begynnelsen av 2020.

5 Vertikalatferd og dybdefordeling av leppefisk

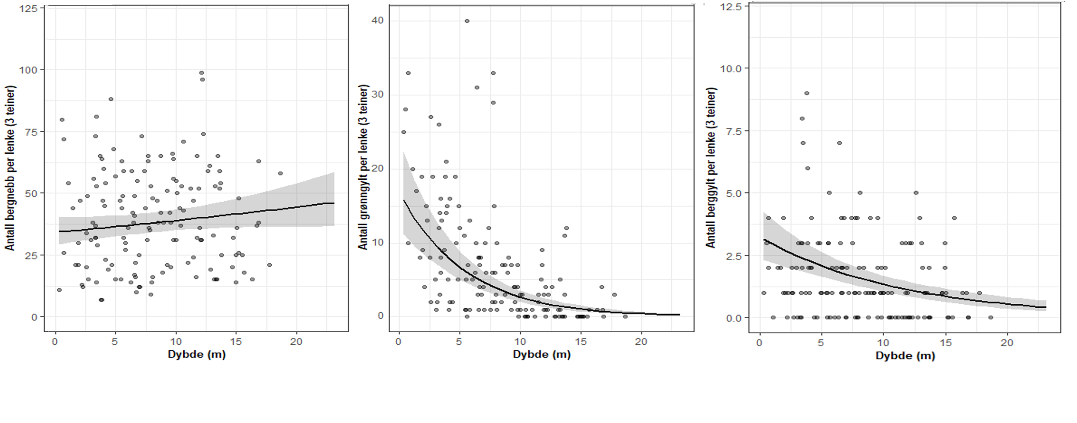
Målsetning: Leppefiskeriet foregår på grunt vann (<6 meter), men man kjenner lite hvordan de ulike leppefiskartene fordeler seg på ulike dyp gjennom sesongen, og hvilken grad de vandrer vertikalt. Denne kunnskapen vil ha stor betydning for i hvor stor grad fiskeriet påvirker bestandene. Dette delprosjektet har tittelen «Kunnskapsbasert innovasjon for optimal ressursutnyttelse i leppefiskeriet» og blir finansiert av Regionalt forskingsfond AGDER og utføres i samarbeid med Fjordservice Flekkefjord. Resultatene fra prosjektet har stor verdi for bestandsvurdering og forvalting, om det viser seg at noen av artene har høy tetthet på større dyp enn der fisket nå foregår (se figur 2).

Gjennomføring 2018: Et teineforsøk ble gjennomført av 6 fiskere i Mandals området i 2018, hvor variasjoner i fangst og størrelse hos leppefisk fra 0-15 meter ble kartlagt på vår sommer og høst. Teiner var utstyrt med data loggere for dyp og temperatur. I tillegg samles det inn data på hvilke dyp det høstes på i det kommersielle fiskeriet, og 7 fiskere har blitt utstyrt med dybde- og temperaturloggere og skal rapportere fra fiskeriet i 2017-2020 mot kompensasjon. Foreløpige resultater viser at fangst av bergnebb øker med dybde, mens berggylte og grønngylt forekommer i størst grad grunnere enn fem meter. I 2019 vil det bli gjennomført et merke-gjenfangstforsøk i forskningsområdene med merket fisk i Austevoll (delprosjekt 1) for å se på vertikaladferd hos leppefisk. Det vil bli brukt teiner utstyrt med dybde-temperatur loggere i dette forsøket.

 

Figur 2: Endring i fangstrater (teiner) som en funksjon av fiskedyp i Juni og September. Bygger fra data fra seks fiskere i Juni (2018) og fire i september (2017 & 2018). Foreløpige resultater fra prosjektet «Kunnskapsbasert innovasjon for optimal ressursutnyttelse i leppefiskeriet» (2017-2019 RFF AGDER – Fjordservice AS/HI).

 

Fremtidige leveranser: Det vil utarbeides en publikasjon på dybdefordeling i 2019.

6 Bestandsutvikling

Bakgrunn: Formålet i dette delprosjektet er å for å fange opp bestandssvingninger og hva som forårsaker dem. Dette skjer ved årlige tokt, innsamling av fiskeriavhengige data, og analyser av tilgjengelige tidsserier. Disse datakildene kan gi en indikasjon på effekten av fiskeri/beskatningsgrad og danne grunnlag for rådgivning basert på endringer i bestandsstørrelse og rekruttering. Målsetningen er videre å finne ulike, robuste bestandsindikatorer som kan brukes som såkalte høstingsregler (harvest control rules); som er forhåndsdefinerte kontrollregler for forvaltningstiltak (innsatsbegrensninger, endring i minstemål/maksmål). For eksempel kan man bruke tidsserier av CPUE og lengdefordelinger fra fiskeriet som en indikator på om fiskeinnsatsen må reduseres med en faktor. Her kan man sette en grense for hvor langt denne kan reduseres før man anbefaler tiltak. Marine verneområder er viktige referanseområder for å undersøke effekter av fiskeri. I 2014 ble fire verneområder og kontrollområder blitt undersøkt langs Skagerak-kysten, hvor det ble påvist betydelig høyere forekomst av grønngylt og bergnebb i verneområdene.

Gjennomføring 2018:

Fiskeriavhengige data: HI har fulgt utviklingen i fangst per enhet innsats hos referansefiskere i alle de tre reguleringsområdene siden 2011. I 2018 ble det gjort en grundig evaluering av dette datagrunnlaget. Fangst per enhet innsats (CPUE) er en mye brukt indikator for å vurdere endringer i bestandsstørrelse over tid når direkte tallrikhetsestimat ikke er mulig å skaffe til veie, slik tilfellet er for leppefisk. Metodikken antar at CPUE er proporsjonal med bestandsstørrelsen og at proporsjonalitetsfaktoren (fangbarhetskoeffisienten) er konstant mellom år. En gjennomgang av dataene fra referansefiskerne tilsier at den siste antagelsen ikke er oppfylt for denne tidsserien med fangst og innsatsdata:

Fangstratene kan opprettholdes ved at fiskerne flytter seg fra områder med lav fangstrate (nedfisket) til nye områder. Leppefisken er svært stedbunden og det er påvist store forskjeller i fangstrater, og artssammensetning over små avstander.

Fangstratene er svært temperatursensitive (øker generelt med temperatur). Om fangstratene øker fra et år til ett annet, kan det ikke konkluderes med at dette reflekterer bestanden om man ikke tar hensyn til temperatur.

Fangstratene er svært dybdesensitive. Endringer i fangstrater kan skje som en følge av endringer dybden som redskapen settes. Fiskedyp har ikke blitt rapportert av referansefiskere.

HI vurderer at samlet så betyr disse usikkerhetsfaktorene at man ikke kan konkludere med at endringer i fangstrater alene tilsier endringer i bestandsstørrelse. Likevel, man kan anta at en betydelig nedgang i bestandene vil gi utslag i reduserte fangstrater for flere fiskere som opererer i samme områder. Det er ingen tydelige indikasjoner i datamaterialet på at denne situasjonen har inntruffet.

For leppefisk vurderer HI lengdefordelinger og kjønnsandel som nødvendige supplerende bestandsindikatorer til fangst per enhet innsats. Dette fordi de gir informasjon både om bestandsutvikling, rekruttering og total fekunditet. I motsetning til fangst per enhet innsats, påvirkes bestandens lengdefordeling lite av værforhold og temperatur. I 2018 har utvalgte fiskere registrert art, lengde, kjønn, samt antall leppefisk og bifangst. Tidsserier med lengdedata er en god indikator på bestandssituasjonen, siden et intensivt fiskeri forventes å forskyve lengdefordelingen mot mindre individer. Berggylte er størst i fangstene hos fiskeren i Agder, men mindre blant fiskerne som har rapporter fra Vestlandet og i Midt Norge. Dette kan indikere at fiskeriet har redusert lengden på berggylte i disse områdene og at kjønnsfordelingen er endret, men med kun data fra en sesong kan man ikke konkludere at dette konsekvenser av fiskeri, gitt at størrelsesfordelingene kan variere mellom områder. Gjennomføringen har gitt gode erfaringer med denne ordningen, og den er planlagt å utvides betraktelig fra og med neste sesong. I tillegg er fiskernes teiner utstyrt med en dybde- og temperaturlogger. Sammenhengen mellom fiskedyp og naturlig dybdefordeling for de ulike artene vil ha mye å si for beskatningstrykket og bestandsvurderinger.

Figur 3: Andel bifangst (inkludert grasgylt og rødnebb/blåstål) og omsettbar leppefisk (grønngylt, bergnebb og berggylt) skilt på over og under offisielle minstemål. Hos 9 av 11 fiskere bestod fangsten av minst 50 % (stiplet linje) omsettbar leppefisk.

Fiskeriuavhengige data: Strandnotserien for Skagerrakkysten: har registrert antall leppefisk på artsnivå siden 1989. I 2018 ble det gjort en omfattende revisjon av datagrunnlaget og via StoX produsert en tidserie for leppefisk fra 1989.Undersøkelsen gir en god indeks på rekruttering, da det først og fremst er 0-gruppe leppefisk som fanges. Lav indeks på høsten tilsier at det er en svak årsklasse som kommer inn i fiskeriet påfølgende år. Standnotundersøkelsen dekker kun Skagerrak, og kan ikke brukes til å vurdere bestandsutviklingen på Vestlandet og i Midt-Norge. For hele Skagerrak sett under ett, er det en nedadgående trend for berggylte, bergnebb og til dels grasgylte for årene etter 2014, mens indeksen for grønngylte i disse årene har ligget rundt middelverdien for hele perioden (se figur 3). Sett i sammenheng med den økte fiskeinnsatsen fra 2012 til 2017, kan man ikke utelukke at svakere rekruttering kan skyldes uttaket. Senere åpning av fisket (gytetidsfredning) kan bidratt til å dempe negative effekter på rekrutteringen. Generasjonstiden er lengst for berggylte og bergnebb, og vi forventer derfor at disse artene vil bli mest negativt påvirket av et intensivt fiske. Grønngylte har kort generasjonstid på Sørlandet, og vil derfor ha potensial til å hente seg inn raskere enn bergnebb og berggylte.

Geografiske trender:

Berggylte: Nedgangen for berggylte er først og fremst betydelig fra og med Telemark og til Svenskegrensen (Vedlegg 2). Det er også en nedadgående trend i de østlige deler av Agder fra 2014, men indeksen for 2018 ligger omtrent på snittet for hele perioden. I vestlige deler av Agder er det ingen tilsvarende negativ trend og rekrutteringen ser ut til å være over snittet for 2018.

Bergnebb: Bergnebb har et liknende geografisk mønster som berggylte, med spesielt dårlig rekruttering i Telemark og østover. Også i Agder har trenden vært nedadgående de siste fire årene, selv om 2018 rekrutteringen ligger rundt snittet for hele perioden.

Grasgylte: Dårlig rekruttering i Indre og Ytre Oslofjord, og en sterk nedadgående trend i området Kragerø-Larvik de siste fem årene. I Agder er det ikke en entydig trend, men 2018 var et svakt år.

Grønngylte: Relativ stabil rekruttering rundt langtidsgjennomsnittet for de siste 4-5 årene. Indikasjoner på en økende langtidstrend for rekrutteringen i de fleste av underområdene.

Geografisk fordeling av uttaket: Per 18.10 er 79 % av rapportert fangst på Sørlandet tatt i Agderfylkene, mens 29 % er tatt fra og med Telemark og til Svenskegrensen. Med andre ord, rekrutteringen er i grove trekk bedre i Agder, hvor også fisketrykket er høyest.

Figur 4 Gjennomsnittlig antall leppefisk i Strandnotundersøkelsene Skagerrak 1989-2018, delt inn i underområder. Stiplet linje indikerer middelverdi for hele perioden i alle områdene sett under ett.

 


Verneområder: Det er etablert et verneområde i Austevoll i 2018 hvor det ble samlet inn før-data med ruser, noe som vil videreføres årlig, for å kunne følge opp utviklingen i fisket (se figur 5). Videre skal det etablereres verneområde(r) på Hitra og Frøya, hvor leppefisk er valgt ut som en av fokusartene. Det er ønskelig med et årlig forsøksfiske i disse områdene for en før-etter studie i fra og med 2019.

Fremtidige Leveranser:

Analysere data fra referansefiskere/fiskeri – Årlig datainnsamling gjennom sesongen ved bruk av enkelteier med dybde-temperatur loggere som vil framskaffe informasjon om CPUE, dybde og størrelse/kjønnssammensetning i ulike områder. (2017-)

Figur 5: Oversikt over fangst med ruse i området som ble etablert som verneområde i Austevoll i 2018.

Analysere strandnotserien – rekruttering; vinter/sommertemperatur effekter. Fiskerieffekter. (2018-2019) (se figur 4).

Analysere våre tidsserier fra forsøksfiske gytetid Flødevigen/Austevoll gjennomført i 2013-2018. (2017-2020).

Årlig oppfølging av MPA i Austevoll.

2019, utvidet innsamling Austevoll, Flødevigen og Tvedestrand – Stereo video analyser.

7 Redskapsutvikling

Bakgrunn: Fiskeridirektoratet har bestilt forskningsstøtte fra Havforskningsinstituttet for å utrede muligheten for å unngå fangst av fisk av uønsket art og størrelse ved redskapstilpasninger i fiske etter leppefisk.

 

Figur 5: Resultat av dropptest av berggylt gjennom de forskjellige inngangsstørrelsene (cm). Seleksjonskurver for lengde av berggylt for de forskjellige inngangsstørrelsene.

Gjennomføring 2018: HI utførte vi forsøk for å finne optimal størrelse på innganger i redskap for fangst av leppefisk for å unngå fangst av stor berggylte (>28 cm) samt redusere bifangst av sårbare arter, som kysttorsk og hummer. Det ble gjennomført dropptester av berggylt for å finne en optimal størrelse på inngangen til teinene (se figur 5), før en utvalgt inngangsstørrelse ble testet ut i et kontrollert forsøk.

Fremtidige leveranser: Resultatene fra dette forsøket vil bli videreført i år ved at utvalgte fiskere vil benytte teiner med mindre størrelse på inngangen under fisket i 2019 for å finne en endelig størrelse/utforming på optimale innganger i teinene.

Resultatene vil bli brukt i forbindelse med rådet til Fiskeridirektoratet høsten 2019.

Resultatene vil bli skrevet opp i en rapport/publikasjon i 2020.

8 Genetikk/sykdom

Bakgrunn: Det er nå sterke indisier på at rømt leppefisk har endret genetisk sammensetning i bestandene av bergnebb og grønngylt i Trøndelag. Det er også påvist stedegne sykdommer og virus. Flytting og rømming av leppefisk kan derfor både være en trussel mot genetiske tilpasninger og føre til sykdomsspredning.

Gjennomføring 2018: Det er i 2017-2018 samlet inn et materiale på bergnebb, grønngylt og berggylte i Nord-Trøndelag. Flere faggrupper vil samarbeide for knytte genetikk og sykdom opp mot vekst og andre livshistorie-trekk.

Publikasjon: Faust, E., K.T. Halvorsen, P. Andersen, H. Knutsen & C. André. 2018. Cleaner fish escape salmon farms and hybridize with local wrasse populations. Royal Society Open Science

Fremtidige leveranser: Videre arbeid vil undersøke om rømt fisk/hybrider skiller seg fra stedegen fisk i livshistorietrekk og sykdommer, for å kunne vurdere videre konsekvenser for bestandene i områdene hvor leppefisken rømmer.

9 Kunnskapsoverføring og formidling

Et Nordisk samarbeidsprosjekt 2017-2019 RENSEFISK — Etablering av et felles nordisk faglig grunnlag for forvaltning av rensefisk. Prosjektmålet er å etablere en nordisk arbeidsgruppe som skal arrangere en møtearena mellom forskning og forvaltning, og utarbeide skisser for relevante fellesnordiske prosjektaktiviteter og formidlingstiltak. Prosjektet skal sikre erfaringsutveksling, kunnskapsoverføring, samarbeid og nettverksbygging, slik at forsknings- og utviklingsprosjekter i de nordiske landene blir koblet. Prosjektleder er Stein Mortensen.

I 2018 ble det gjennomført planleggingsmøte i København mellom de nordiske landenes deltagerne i prosjektet. I regi av prosjektet møttes forskere og forvaltere av rensefisk fra de nordiske landene på Solstrand begynnelsen av juni samme år for å diskutere problemstillinger rundt fangst og bruk av leppefisk og rognkjeks. Hensikten med møte var å gi en status på forskning knyttet til leppefisk, bruk av rensefisk, og forvaltningsmessige utfordringer knyttet til dette. Det var også viktig at forvaltningen fikk kjennskap til hverandre og eventuelt finne samarbeidsområder. I 2018 ble det påbegynt en rapport som dekker forskning på rensefisk og utviklingen av forvaltningen av rensefisk. Rapporten vil bli utgitt i løpet av 2019.

Videre vil vi fortsette å prioritere kontinuerlig formidlingsaktivitet fra de andre delprosjektene. Dette både gjennom egne kanaler (fishlarvae.org, imr.no), samt lokale, regionale, nasjonale og internasjonale medier. Forskningsresultater som er relevant for rådgivning og forvaltning vil rapporteres fortløpende til Fiskeridirektoratet. Det er planlagt å samle de ulike forskningsmiljøene i og utenfor HI som har tilgrensning til leppefisk (genetikk, sykdom) for å sikre en mer integrert og koordinert forskningsaktivitet.