Go to main content

Kunnskapsbasert innovasjon for optimal ressursutnyttelse i leppefiskeriet

— Sluttrapport i prosjekt 272202 - Regionalt forskningsfond Agder

Author(s): Kim Halvorsen , Tonje Knutsen Sørdalen , Torkel Larsen (IMR), Trond Rafoss (Fjordservice Flekkefjord) and Anne Berit Skiftesvik (IMR)

1 - Bakgrunn for prosjektet

I Prosjektet «Kunnskapsbasert innovasjon for optimal ressursutnyttelse i leppefiskeriet» har Havforskningsinstituttet (HI) og Fjordservice Flekkefjord samarbeidet om å øke kunnskapen om ressursgrunnlaget for fiskeriet etter leppefisk i Skagerrak. Prosjektet ble finansiert av Regionalt forskingsfond Agder og Fjordservice Flekkefjord.

Rensefisk benyttes for å kontrollere mengden lakselus i oppdrett av laksefisk i sjø i Norge. Behovet for rensefisk har økt markant siden 2010 på grunn av resistensutvikling mot medikamentelle behandlinger hos lakselus (Skiftesvik et al. 2014; Aaen et al. 2015; Rueness et al. 2019). På tross av at produksjonen av oppdrettet rensefisk, primært rognkjeks, har økt kraftig de siste årene, så har det ikke redusert behovet for villfanget leppefisk som rensefisk. Leppefiskeriet har blitt en svært viktig næring for kystfiskere i Agder. Da ålefisket ble forbudt i 2006, gikk mange over til å fiske leppefisk som kan utføres med samme redskap og fartøy. På Sørlandet har fiskerne leveringsavtaler med oppkjøpere som transporterer og videreselger leppefisken til oppdrettsanlegg hovedsakelig i Midt- og Nord-Norge. Fiskeriet på Skagerrakkysten er ikke jevnt fordelt, hoveddelen (ca 80 %) av fangsten tas i Agder (Figur 1). Fiskepresset på leppefisk anses å være lavt fra Telemark og til Svenskegrensen. Ytterligere informasjon om fangsttall, verdi og fartøy i de ulike regionene finnes på Fiskeridirektoratets nettsider: https://www.fiskeridir.no/Yrkesfiske/Tall-og-analyse/Fangst-og-kvoter/Fangst-av-leppefisk

 

Figur 1: Fangst i 2018 på Skagerrakkysten fordelt på fartøykommune. Her er kun kommuner med fangst over 100.000 leppefisk tatt med. Data fra fiskeridirektoratets sluttseddelstatistikk.

 

Man har inntil nylig hatt lite kunnskap om hvor mye beskatning leppefiskbestandene tåler og hvilke økologiske konsekvenser et eventuelt overfiske kan medføre. På Skagerrakkysten fangstes det på tre ulike leppefiskarter, bergnebb (Ctenolabrus rupestris), grønngylte (Symphodus melops) og berggylte (Labrus bergylta). Grasgylt (Centrolabrus exoletus) og Rødnebb/Blåstål (Labrus mixtus) regnes som bifangst på Sørlandet siden de ikke egner seg for langdistansetransport. Det forekommer noe bruk av disse artene lokalt på Vestlandet. I tillegg tas det en del bifangst av andre fisk og skalldyr, som kan forårsake skade på leppefisken, samt av kyst-torsk og hummer, ikoniske arter som er truet av overfiske på Skagerrak-kysten (Fernández-Chacón et al. 2015; Sørdalen et al. 2018). Taskekrabbe brukes som agn i leppefisket, men må fiskes med egne krabbeteiner. Regelverket pålegger at all bifangst som fanges i leppefiskredskap skal slippes ut på fangststedet.

I Agder er det dokumentert høyere forekomster av leppefisk innad i bevaringsområder sammenliknet med nærliggende områder med åpent fiske, noe som tyder på at fiskeriet kan ha en bestandsregulerende effekt (Figur 2; Halvorsen et al. 2017). HIs råd om kvoter og reguleringer har vært basert på en føre-var-tilnærming for å stoppe en videre ekspansjon i fiskeriet før man har tilstrekkelig kunnskap om bestandenes tåleevne og svingninger. Fiskeridirektoratet forvalter bestandene ved bruk av flere ulike reguleringer, herunder gytetidsfredning, fluktåpninger, artsspesifikke minstemål, fartøykvoter og totalkvoter for ulike regioner. På Sørlandet er totalfangsten begrenset til fire millioner leppefisk årlig. For å gi råd om forsvarlig uttak av bestandene etablerte HI i 2011 et nettverk av referansefiskere som leverte fangstrapporter. Bestandsutviklingen ble representert ved regionale trender i fangst-per-enhet-innsats (Catch per unit effort; CPUE, heretter), men datagrunnlaget var for variabelt til å kunne konkludere med at endringer i CPUE reflekterte faktiske endringer i bestandsstørrelse.

 

Figur 2: Sammenlikning av estimert fangst per enhet innsats i og utenfor marine bevaringsområder i Flødevigen (F), Indre Tvedestrandfjord (TI), Ytre Tvedestrand skjærgård (TO) og Risør (R). Tilpasset fra (Halvorsen et al. 2017).

 

I dette prosjektet har vi fokusert på å ta i bruk ny teknologi og forbedre rapporteringsrutiner i fiskeriavhengig datainnsamling for å få kunnskap om leppefiskens romlige økologi. For fiskeriet på Skagerrak vil dette kunne bidra til mer kunnskap om ressursfordelingen og hvordan de kan utnyttes bedre og mer effektivt, samtidig som at dette muliggjør en bedre bestandsovervåking og grunnlag for å gi mer presise kvoteråd. I Prosjektet har vi også utnyttet tilgjengelige dataserier for å få en oversikt over bestandsutviklingen i Skagerrak. Merkeforsøk har blitt gjennomført for å få bedre kunnskap om romlig adferd og fangbarhet. Resultatene har blitt fortløpende inkludert i HIs kunnskapsstøtte til Fiskeridirektoratet, og det nasjonale referansefiskernettverket har tatt i bruk metodene for fangstrapportering som er utviklet i dette prosjektet. Det arbeides med å ferdigstille publikasjoner for fagfellevurderte tidsskrifter, og i denne rapporten vil det kun gis en kort oppsummering av disse studiene.

2 - Vertikal fordeling av leppefisk i forhold til fangstdyp i fiskeriet

En sentral del målsetning i prosjektet var å undersøke forekomsten av leppefisk langs dybdegradienter. Fisket etter leppefisk var antatt å foregå på 1-7 meters dyp siden fisk fanget på dypere vann får oppblåst eller i verste fall ødelagt svømmeblære når redskapen trekkes (Halvorsen et al. 2016b, 2017). I dagens praksis blir fisk som viser tegn på dette (svimere med buk i været) sluppet ut med ukjent grad av overlevelse. Dybdefordelingen til leppefisk har vært lite undersøkt, men det er rapportert at grønngylte er mest tallrik på 0-10 meters dyp, mens bergnebb og berggylt kan opptre ned til 30 meters dyp (Dipper et al. 1977; Sayer et al. 1995; Sayer and Treasurer 1996). Det er påvist høyere tetthet av bergnebb på 10 og 18 meter enn på 5 meter (Skog et al. 1994). Dette kan tyde på kan være store forekomster av bergnebb og berggylt som ikke beskattes i dagens fiskeri, noe som vil være viktig informasjon for forvaltning av leppefisk. Samtidig vil det kunne avdekkes om det er muligheter for å øke fangsteffektivitet for fiskerne ved å bedre tilpasse fiskedypet.

 

Figur 3. Et av fartøyene som deltok i forsøksfisket.

 

For å undersøke i hvilken grad fiskeriet overlapper med dybdefordelingene til de ulike artene gjennomførte vi et forsøksfiske hvor seks fiskere fra Søgne til Mandal stod for datainnsamlingen (Figur 3 og 4). Fiskerne bruker standard leppefiskteiner (firkantteiner, 70 cm, OK Marine) og fikk utdelt en datalogger (StarOddi DST-centi: https://www.star-oddi.com/products/data-loggers/data-storage-tag-temperature-depth-sensors) som ble programmert til å registrere dyp og temperatur hvert 15 minutt. Loggeren ble festet i innerkammeret på den midterste teinen i en lenke på tre og fangstposisjon ved GPS ble rapportert hver gang lenka ble trukket. Fiskerne registrerte lengde og antall av leppefisk og bifangst. Det ble totalt samlet data fra 1400 teinetrekk over fire forsøksperioder i 2017 og 2018. Fiskerne samlet også inn data fra det kommersielle fisket mellom forsøksperiodene for å få kunnskap om hvilke dyp det ordinære fiskeriet foregår på.

 

Figur 4: Fangstområder i Agder, de ulike fargene henviser til ulike fiskere. Fiskerne valgte selv ut lokalitetene innad områder de fisker i det ordinære fiskeriet.

 

Resultatene viser at de ulike artene har ulik dybdefordeling. Grønngylte og berggylte var mest tallrike på 0-5 meters dyp, bergnebb finnes i like store mengder 0-15 meter. Fangstene av rødnebb/blåstål og grasgylte økte med dybde. (Figur 5). I det kommersielle fisket var gjennomsnittsdypet på 4.5 m, og under 1 % av teinene var satt dypere enn 10 meter. Siden fisket i hovedsak foregår grunnere enn 7 m, vil en del av bergnebb bestanden i praksis ikke beskattes, forutsatt at det ikke er store vertikalmigrasjoner over kort tid (se kapittel 5.2) . Bergnebb har et minstemål satt høyere enn størrelse ved kjønnsmoden alder som gjør den i bedre stand til å tåle fiskepress (Olsen et al. 2018). Det vurderes derfor at fiskeripåvirkningen på denne arten er begrenset under nåværende fiskeripraksis i Skagerrak.

 

Figur 5: Dybdefordeling for leppefisk i Agder 2018. Grafene viser estimert CPUE for de ulike artene som en funksjon av fangstdyp, estimert ved en GLMM modell hvor det er tatt høyde for sesong, bølgeeksponering, ståtid og variasjoner mellom fiskedager og fiskeområder.

 

Et annet viktig funn var at fangstrater i svært ulik grad ble påvirket av fangstdyp. Det var store sesongvariasjoner i fangbarhet. Ståtid hadde liten effekt, mens økning i fangstrater av berggylte sammenfalt med økt eksponering og bølgehøyde. CPUE standardisert for dybde, ståtid og temperatur vurderes som en god indeks for å sammenlikne relativ populasjonstetthet i tid og rom. Videre kan lengdedata gi viktig informasjon om bestandssituasjonen, siden et intensivt fiskeri forventes å forskyve lengdefordelingen mot flere mindre individer og få store individer. Havforskningsinstituttets referanseflåte av leppefiskere har derfor justert metodikken og rapporteringsskjemaet for å kunne standardisere CPUE ved bruk av statistiske modeller (Skiftesvik et al. 2019). Prosjektet har derfor bidratt til en betydelig forbedring av kvaliteten på nasjonal bestandsovervåking for leppefisk. Fiskerne rapporterte at det var uproblematisk å øke fangstdypet uten at fisken viste tegn til utligningsproblemer ved at trekkhastigheten ble justert i forhold til fangstdyp. Det var i utgangspunktet planlagt å gjøre standardiserte forsøk for å finne maksimalthøstningsdyp for de ulike artene, men dette ble ikke gjennomført siden det ikke hadde prioritet for fiskere og transportselskapene.

3 - Bestandstilstand i Skagerrak sammenliknet med andre fangstområder

I prosjektet analyserte vi CPUE og lengdedata for å vurdere om det var regionale forskjeller i bestandstilstand i de tre forvaltningsområdene. Metodikken er beskrevet i større detalj i https://www.hi.no/resources/Regulering-av-fisket-etter-leppefisk-i-2020-forberedelse-til-2020-sesongen.pdf

Bestandssituasjon for de tre fokusartene av leppefisk: Berggylte har signifikant høyere CPUE på Sørlandet sammenliknet med Vestlandet (Figur 6). Det var ingen forskjell i CPUE mellom Midt-Norge og Sørlandet. Lengdefordelingen på Vestlandet var også betydelig mer venstre-forskjøvet i Vest, noe som kan forventes om fiskedødeligheten er høy (Figur 7). Berggylte er arten som etter alt å dømme vil være mest sårbar for fiskeri gitt en kompleks livshistorie med kjønnsskifte og ved at nåværende minstemål som er svært lavt i forhold til størrelse ved kjønnsmodning. Berggylte er mest tallrik på grunt vann (< 5 m) og har antageligvis derfor høy fangbarhet. Bergnebb viser ingen signifikante regionsforskjeller i CPUE, men middelverdien er høyest på Sørlandet. Grønngylte har tilnærmet lik CPUE mellom Sør og Vest. I 2014 rapporterte en studie om 2-3 ganger høyere CPUE på Vestlandet i forhold til Sørlandet (Halvorsen et al. 2016a). I mellomtiden har Havforskningsinstituttets gyteundersøkelser vist økende forekomster av grønngylte i Sør, samtidig som fangstene har gått noe ned i Vest. Grønngylte kjønnsmodnes tidligere og lever lengre på Vestlandet enn på Skagerrak-kysten, og førstnevnte er derfor mer sårbar for høy fiskedødelighet, slik at en ikke kan utelukke fiskeri som årsak til de observerte geografiske mønstrene. Historiske data viser at bestanden av grønngylte i Skagerrak økt betydelig siden 1960 (Knutsen et al. 2013). På Sørlandet benyttes ofte høyere minstemål på grønngylte enn det regelverket tilsier (13-14 cm), og med en livslengde på maks 4 år har grønngylte en livshistorie som er relativt motstandsdyktig mot fiskeri (Halvorsen et al. 2016a).

Basert på CPUE og lengdedata fra referansefiskere vurderes det at tetthet og størrelsessammensetning hos leppefisk er god på Sørlandet sammenliknet med Vestlandet. Det var mindre forskjeller mellom Sør- og Midt-Norge, men her er det såpass store klimatiske forskjeller som kan spille inn på det naturlige populasjonsdynamikken og økologien til disse artene, og sammenlikning mellom disse områdene vektlegges i mindre grad.

 

Figur 6: Venstre; CPUE (95 % konfidensintervall) for de tre artene i de tre regionene i 2019, estimert ved GLMM (tabell 2). Høyre: Fordelingen av de 16 referansefiskerne i 2019.

 

 

Figur 7: Boksplott som viser lengdefordelinger for de ulike artene i 2019 i de tre regionene. Stiplet svart linje indikerer nåværende minstemål, røde linjer marker anbefalte maksimalmål (Berggylte: 28 cm, Bergnebb; 14 cm; Grønngylte: 17 cm) og anbefalt endring i minstemål for berggylte (22 cm).

 

4 - Bestandsutvikling Skagerrak – Strandnotserien

Prosjektet har også undersøkt endringer i antall leppefisk fanget i Strandnotundersøkelsen på Skagerrakkysten. Dette toktet har registrert antall leppefisk på artsnivå siden 1989. Undersøkelsen gir en god indeks på rekruttering, da det først og fremst er 0-gruppe leppefisk som fanges. Lav indeks på høsten tilsier at det er en svak årsklasse som kommer inn i fiskeriet påfølgende år (Figur 8). For de kommersielle artene, bergnebb, grønngylte og berggylte er det ingen tydelige indikasjoner på negativ bestandsutvikling siden fiskeriet ble intensivert i Agder fra 2010. Øst for Agder, viser enkelte av artene foruroligende nedgang de siste fem årene. Årsakene til dette er ukjent, og det fiskes ikke leppefisk i særlig grad i disse områdene.

Berggylte: I vestlige deler av Agder er det ingen tydelig trend og rekrutteringen ser ut til å være over snittet for 2018. I de østlige deler av Agder har det vært en nedgang fra 2014, men indeksen for 2018 ligger omtrent på snittet for hele perioden. Fra og med Telemark og til Svenskegrensen er det en betydelig nedgang i samme periode, noe som er bekymringsverdig (Figur 8). Her foregår det lite fiske etter leppefisk, så årrsaken til dette mønsteret er ukjent og bør undersøkes.  Bergnebb : Bergnebb har et liknende geografisk mønster som berggylte, med spesielt dårlig rekruttering i Telemark og østover. I Agder har trenden vært nedadgående de siste fire årene, selv om 2018 ligger rundt snittet for hele perioden.Grønngylte: Relativ stabil rekruttering rundt langtidsgjennomsnittet for de siste 4-5 årene. Indikasjoner på en økende langtidstrend for rekrutteringen i de fleste av underområdene. Grasgylte : Dårlig rekruttering i Indre og Ytre Oslofjord, og en sterk nedadgående trend i området Kragerø-Larvik de siste fem årene. I Agder er det ikke en entydig trend, men 2018 var et svakt år.

Figur 8: Gjennomsnittlig antall leppefisk i Strandnotundersøkelsene Skagerrak 1989-2018, delt inn i underområder. stiplet linje indikerer middelverdi for hele perioden i alle områdene sett under ett.

5 - Merkeforsøk og romlig adferd

Forsøksfisket på ulike dyp beskrevet i kapittel 1 gav god oversikt over vertikalfordelingen til de ulike artene, men gir ikke kunnskap om leppefisk beveger seg mellom de ulike dypene eller om dypt vann begrenser horisontale vandringer, f. eks mellom øyer. Dette har blitt undersøkt i et merkeforsøk i et område stengt for kommersielt fiske i nærheten av Havforskningsinstituttets forskningsstasjon på Austevoll. Forsøksfiske ble gjennomført med enkle ruser over tre år. Forsøksområdet bestod av tre øyer som ble delt inn i soner med lik innsats i hver merkeperiode. Rusene ble satt fra 0-7 meters dyp. Leppefisk over 10 cm ble merket med PIT merker (RFID merker) og satt ut på fangststedet (for metode, se Halvorsen et al. 2016b). Det har totalt blitt merket 11460 leppefisk og gjort 1531 gjenfangster i perioden 2017-2019 (Figur 9). Grunnet lav gjenfangst (andel) for grasgylt og blåstål ble det besluttet å ikke videreføre merking av disse artene i 2019. Den sannsynlige forklaringen på lav gjenfangst er at disse artene stort sett oppholder seg på større dyp, som vist i kapittel 1. I 2017 og 2018 ble det gjennomført merking på alle tre øyer i områdene, mens den største av øyene (Lambøya) ble utelatt fra og med 2019 grunnet lav andel gjenfangster. Gjenfangster utgjorde 16, 10 og 6 % av den totale fangsten for henholdsvis grønngylte, bergnebb og berggylte.

 

Figur 9: Oversikt over antall merket fisk per art per år i forsøksområdet på Austevoll. Blåstål/rødnebb og Grasgylt ble ikke merket i 2019. Grønn farge viser antall individer som er gjenfangster.

 

5.1 - Horisontale bevegelsesmønstre

Romlige analyse av gjenfangstdata fra 2017-2018 ble gjort av Nicolai Aasen som tok masteroppgave på dette temaet. Et sentralt funn var at ingen av artene beveget seg mellom de tre øyene – den korteste avstanden mellom to av øyene var 270 meter med maksdyp på 25 meter. Grønngylte hadde den lengste registrerte horisontal vandringen (maks. 592 m, snitt 121 m), etterfulgt av bergnebb (maks. 386, snitt 42 m) og berggylte (maks 336 m, snitt 105 m). Dette gir klare indikasjoner på at selv små dyp (25 m) begrenser horisontal bevegelse for leppefisk (Figur 10).

 

Figur 10: Vandringer av leppefisk på de tre øyene i forskningsområdet på Austevoll. Fra (Aasen 2019) .

 

5.2 - Vertikal bevegelse hos bergnebb

Vertikal bevegelse hos bergnebb ble undersøkt ved et forsøksfiske med teiner fra 0-20 meter i Oktober 2018. Vi benyttet tilnærmet likt oppsett som i forsøksfisket beskrevet i kapittel 2. Det ble fanget 759 bergnebb, hvorav 29 var gjenfangster, og andel gjenfangster var negativt korrelert med dybde (Figur 11). Siden leppefiskene i utgangspunktet var merket på 1-6 meters dyp, tyder det på at det i liten grad har foregått vertikal vandringer; bergnebben holder seg stort sett på samme dyp gjennom sesongen.

 

Figur 11: Gjenfangstandel hos bergnebb fanget i teine som en funksjon av fangstdyp. Predikert verdi fra en logistisk regresjonsmodell og 95 % konfidensintervall.

 

5.3 - Nedfiskingsforsøk og fangbarhet

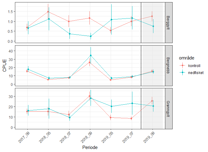
For å undersøke hvor stor andel av bestanden som tas ut under et intensivt teinefiskeri, ble det gjennomført et eksperimentelt fiske på den minste av øyene (Bleikjo, 320 m kystlinje) i August 2019. Det ble fisket med totalt 240 teiner over to uker og alle leppefisk over minstemål (grønngylte, berggylte og bergnebb) ble fjernet fra populasjonen (totalt 992 individer). Vi benyttet et BACI-design (before-after, control-impact) for å undersøke endringer i CPUE, før og etter nedfiskingen, hvor den andre øye som ikke ble fisket var kontrollområde. Det var relativt små endringer i CPUE, dog i forventet retning for alle tre arter (relativt lavere CPUE på den nedfiskede øya; Figur 12). De største forskjellene ble observert for grønngylte og berggylte.

Av grønngylte og bergnebb var omtrent 20 % av individene som ble fanget i teinefisket merket fra før i det ordinære merkeforsøket i fangstperiodene forut for nedfiskingen (i Mai og Juli 2018; Tabell 1). 19 berggylter ble fanget, men ingen av dem var blant de 23 individene som var merket og observert i rusefisket i månedene forut. På tross av begrenset tallmateriale gir dette klare indikasjoner på svært lav fangbarhet for berggylte. Naturlig dødelighet mellom merking og nedfisking må tas med i betraktning, men i dette tilfellet var perioden mellom merking og utfisking relativ kort (1-4 måneder). så vi forventer ikke at dette påvirket resultatene nevneverdig. Berggylte lever lenge (opptil 29 år), og har derfor en lav naturlig dødelighet. I forvaltningsperspektiv er lav fangbarhet hos berggylte fordelaktig siden denne arten har en livshistorie som er spesielt sårbar for høy fiskeri-dødelighet. Lav fangbarhet vil derfor kunne hindre at uttaket blir for høyt av denne arten. Gjenfangstandelen for grønngylte og bergnebb var også lavere enn forventet. Grønngylt lever betydelig kortere enn bergnebb (henholdsvis 8 og 20 år) og berggylte, så for grønngylte er det sannsynlig at det en viss andel døde av naturlige årsaker i tiden mellom merking og teinefisket. Likevel anses det at den lave gjenfangst-andelen i hovedsak skyldes lav fangbarhet, noe som understøttes av den relativt lave forskjellen i CPUE mellom kontroll- og fisket område før og etter nedfiskingen. 

Forsøket ble gjennomført under gode fangstforhold (sjøtemperatur på 17-19 ̊C). Det arbeides med videre statistiske analyser av påvirkning på lengde og CPUE, samt størrelsesselektivitet. Forsøket vil også bli replikert i 2021, for å få et bedre tallgrunnlag for å trekke endelige konklusjoner.

 

Figur 12: Utvikling i CPUE (fangst-per-ruse) i forsøksfisket på Austevoll. Det ble gjennomført en kontrollert nedfisking i August 2019 på den ene øya, og kan derfor sammenlikne CPUE før og etter (skravert område) nedfiskingen skjedde. 992 leppefisk ble fjernet med 240 teiner. Det var ingen uttak av fisk fra 2017 til nedfiskingen ble utført.

 

Tabell 1: Leppefisk merket i vår 2018, og antall og andel gjenfanget i nedfisking med teiner i August 2018.

ArtN Merket i ruse 2018N Gjenfanget i teine% gjenfangst
Bergnebb1463021
Grønngylte4408419
Berggylte2300
Sum60911419

5.4 - Videre bruk av merkedata-settet

Det er kun gjort innledende analyser av merkedataene. I løpet 2020 vil de benyttes til å beregne endringer i bestandsstørrelser og vekst og undersøke tetthets-avhengighet og temperatur- og årstidsvariasjon. Merking-gjenfangst modellering vil brukes til å estimere naturlig- og fiskeri-dødelighet for de ulike artene.

6 - Nytteverdi for forvaltning og verdiskapning:

Prosjektet har resultert i ny og viktig kunnskap om leppefiskbestandene som danner grunnlag for en mer bærekraftig og dynamisk forvaltning. Vertikalfordelingen av leppefisk viser at bergnebb, som er den økonomisk viktigste leppefiskarten i Skagerrak-regionen, finnes i store forekomster på større dyp enn hvor fiskeriet foregår. Denne kunnskapen kan benyttes av fiskere som i større grad ønsker å målrette fangsten etter bergnebb ved å fiske dypere. Erfaringer fra forsøksfisket viste at det var fullt mulig å utvide fangstdypet ved en liten reduksjon i trekkhastigheten.

Merkeforsøkene som ble gjort tyder på at bergnebb i liten grad foretar vertikalvandringer, slik at bestanden per i dag oppnår delvis beskyttelse ved at fiskeriet foregår på grunt vann. Berggylte og grønngylte har stor habitat-overlapp med fiskeriet noe som isolert sett tilsier at disse artene har større sannsynlighet til å bli fanget i fisket enn bergnebb. De foreløpige resultatene fra nedfiskingsforsøket tyder derimot på at alle tre arter leppefisk har relativ lav fangbarhet i teiner, men det er behov for mer forskning på dette området, for eksempel bør det gjøres forsøk med ulike agntyper – her ble det kun benyttet reker i teinene.

De ulike artenes sårbarhet til fiskeriet påvirkes også av deres livshistorie. Bergnebb vokser sent og kan leve lenge, men minstemålet er satt slik at de fleste individer rekker å gyte opptil flere ganger før de når fangbar størrelse. Den slanke kroppsformen gjør også at bergnebb over minstemålet kan slippe ut gjennom fluktåpningene (Jørgensen et al. 2017). Grønngylte er tallrik på Sørlandet og ser ut til å øke i forekomst og har en livshistorie (kort livslengde og rask vekst Sør for Jæren) som tilsier at den tåler et relativt høyt fisketrykk i dette området. Berggylte er ansett som å være mest sårbar for fiske av disse artene gitt at den skifter kjønn og lever opptil 29 år (Darwall et al. 1992). Havforskningsinstituttet har gitt råd om at det bør innføres reguleringer som reduserer fangst av berggylte over 28 cm (Halvorsen et al. 2019). Fiskeridirektoratet har bestemt at inngangen på teiner må være sirkulære og ha en diameter på maks 6 cm fra 1.1.2021. Dette tiltaket vil redusere sannsynligheten for et overfiske på berggylte betydelig.

Antall leppefisk fanget i Strandnotundersøkelsen er variabelt fra år til år, og vi ser vi ingen entydige trender som skulle tilsi en tydelig reduksjon etter fiskeriet ble intensivert fra 2010 og utover. Dette tyder på at rekrutteringen hos leppefisk ikke har blitt negativt påvirket fiskeriet på Skagerrak-kysten.

Mange reguleringstiltak er innført i de senere årene, blant annet kvoter, gytetidsfredning, redskapsbegrensinger, fluktåpninger og lukking av fiske. Samlet har disse tiltakene redusert risikoen for at fiskeriet medfører negative konsekvenser for bestandene og økosystemet, men kvoterådene har ikke blitt endret siden det har manglet gode kvantitative data og analyser av bestandsutviklingen. Et viktig bidrag fra prosjektet er derfor en ny metodikk for fiskeri-avhengig datainnsamling som nå benyttes i HIs referanseflåte nasjonalt. Disse dataene forventes å kunne gi en mer presis bestandsovervåking fra og med 2020, som vil kunne bety at kvoterådene kan følge de naturlige bestandssvingningene .

7 - Leveranser i prosjektet:

Primærleveransene i prosjektet var å fremskaffe et bedre kunnskapsgrunnlag om leppefisk langs Skagerrak-kysten som ble formidlet i HIs rådgivning til Fiskeridirektoratet. Resultatene fra prosjektet er dokumentert i HIs rapporter til fiskeridirektoratet.

Rådgivning og rapporter:

Kunnskapsstøtte, Fiskeridirektoratet 2019: https://www.hi.no/resources/Regulering-av-fisket-etter-leppefisk-i-2020-forberedelse-til-2020-sesongen.pdf

Kunnskapsstøtte, fiskeridirektoratet 2018: https://www.hi.no/resources/2018_Bestilling_Leppefisk_Rapport.pdf

KUNNSKAPSINNHENTING LEPPEFISK – BIOLOGI OG FISKERI 2013-2018 https://www.hi.no/templates/reporteditor/report-pdf?id=20504&46964890

Vitenskapelige publikasjoner under utarbeidelse

The vertical dimension of small-scale fisheries shape selectivity: Implications for a developing wrasse fishery supplying cleaner fish to salmon farms. Halvorsen, Sørdalen, Larsen, Browman, Rafoss & Skiftesvik. Sendes til den fagfellevurderte journalen Marine and Coastal fisheries i løpet av februar 2020.

Det arbeides med å publisere ytterligere tre vitenskaplige artikler fra merkeforsøkene iløpet av 2020 og 2021 som vil kreditere finansering fra prosjektet.

Populærvitenskapelige artikler

https://listernyskaping.no/2018/05/31/fiskere-og-forskere/

 

Illustrasjon: Tonje K. Sørdalen

8 - Referanser

Aaen, S.M., Helgesen, K.O., Bakke, M.J., Kaur, K. and Horsberg, T.E. (2015) Drug resistance in sea lice: a threat to salmonid aquaculture. Trends in Parasitology 31 , 72–81.

Aasen, N.L. (2019) The movement of five wrasse species (Labridae) on the Norwegian west coast.

Darwall, W.R.T., Costello, M.J., Donnelly, R. and Lysaght, S. (1992) Implications of life-history strategies for a new wrasse fishery. Journal of Fish Biology 41 , 111–123.

Dipper, F.A., Bridges, C.R. and Menz, A. (1977) Age , growth and feeding in the ballan wrasse Labrus bergylta Ascanius 1767. Journal of Fish Biology , 105–120.

Fernández-Chacón, A., Moland, E., Espeland, S.H. and Olsen, E.M. (2015) Demographic effects of full vs. partial protection from harvesting: inference from an empirical before-after control-impact study on Atlantic cod. Journal of Applied Ecology 52, 1206–1215.

Halvorsen, K., Skiftesvik, A.B. and Jørgensen, T. (2019) Kunnskapsstøtte – anbefaling om redusert inngangsstørrelse i teiner i fisket etter leppefisk.

Halvorsen, K.T., Larsen, T., Sørdalen, T.K., Vøllestad, L.A., Knutsen, H. and Olsen, E.M. (2017) Impact of harvesting cleaner fish for salmonid aquaculture assessed from replicated coastal marine protected areas. Marine Biology Research 13 , 359–369.

Halvorsen, K.T., Sørdalen, T.K., Durif, C., et al. (2016a) Male-biased sexual size dimorphism in the nest building corkwing wrasse ( Symphodus melops ): implications for a size regulated fishery. ICES Journal of Marine Science: Journal du Conseil 73 , 2586–2594.

Halvorsen, K.T., Sørdalen, T.K., Vøllestad, L.A., Skiftesvik, A.B., Espeland, S.H. and Olsen, E.M. (2016b) Sex- and size-selective harvesting of corkwing wrasse ( Symphodus melops )—a cleaner fish used in salmonid aquaculture. ICES Journal of Marine Science: Journal du Conseil 107 , 660–669.

Jørgensen, T., Bjelland, R., Halvorsen, K., Durif, C., Shema, S. and Skiftesvik, A.B. (2017) Seleksjon i leppefiskredskap. Fisken og Havet .

Knutsen, H., Jorde, P.E., Gonzalez, E.B., Robalo, J., Albretsen, J. and Almada, V. (2013) Climate Change and Genetic Structure of Leading Edge and Rear End Populations in a Northwards Shifting Marine Fish Species, the Corkwing Wrasse (Symphodus melops). PloS one 8 , e67492.

Olsen, E.M., Halvorsen, K.T., Larsen, T. and Kuparinen, A. (2018) Potential for managing life history diversity in a commercially exploited intermediate predator, the goldsinny wrasse ( Ctenolabrus rupestris ). ICES Journal of Marine Science 76 , 357–357.

Rueness, E., Berg, P.R., Gulla, S., et al. (2019) Assessment of the risk to Norwegian biodiversity from import of wrasses and other cleaner fish for use in aquaculture , (Vol. 15). Oslo.

Sayer, M.D.J., Gibson, R.N. and Atkinson, R.J.A. (1995) Growth, diet and condition of goldsinny on the west coast of Scotland. Journal of Fish Biology 46 , 317–340.

Sayer, M.D.J. and Treasurer, J.W. (1996) North European wrasse: identification, distribution and habitat. In: Wrasse: biology and use in Aquaculture. (eds M.D.J. Sayer, M.J. Costello and J.W. Treasurer). Oxford: Fishing News Books, pp 3–12.

Skiftesvik, A.B., Blom, G., Agnalt, A.-L., et al. (2014) Wrasse (Labridae) as cleaner fish in salmonid aquaculture – The Hardangerfjord as a case study. Marine Biology Research 10, 289–300.

Skiftesvik, A.B., Halvorsen, K. and Larsen, T. (2019) KUNNSKAPSINNHENTING LEPPEFISK – BIOLOGI OG FISKERI 2013-2018. Rapport fra Havforskningen, 1–17.

Skog, K., Mikkelsen, K.O. and Bjordal, Å. (1994) Leppefisk – Tilgjengelighet og fangstmuligheter i perioden februar - juni. Fisken og Havet, 1–34.

Sørdalen, T.K., Halvorsen, K.T., Harrison, H.B., et al. (2018) Harvesting changes mating behaviour in European lobster. Evolutionary Applications 11, 963–977.