A spatial model predicting Laminaria hyperborea biomass is developed in a pilot area with high quality data and with a high resolution. The model predicts a total kelp biomass of 457 000 tons within this area. The correlation between the model and independent evaluation data was 0.85 and the model therefore predicted the biomass in the area well. The pilot model is the first step in the development of a resource model for kelp biomass of Norway. This model can provide the management and industry with knowledge about the distribution of kelp resources and represent a basis for sustainable harvesting of this rich resource.
Sammendrag
En romlig biomassemodell for stortare er utviklet i et pilotområde med gode data for bunn-, dyp- og miljøforhold og med høy oppløsning. Modellen predikerer en total stortarebiomasse på 457 000 tonn innenfor området. Korrelasjonen mellom modellen og uavhengige data var på hele 0,85 og stemte dermed svært godt overens med virkeligheten. Pilotmodellen er første skritt i utviklingen av en ressursmodell for hele Norge som kan gi forvaltning og næring en oversikt over stortareressursene og legge til rette for bærekraftig høsting av denne rike ressursen.
1 - Bakgrunn
Det er behov for mer kunnskap om mengde og fordeling av stortareressursene langs norskekysten. Havforskningsinstituttet (HI) utarbeidet derfor, i samarbeid med NGU, Meteorologisk institutt, Statens Kartverk og Dupont (tidligere FMC biopolymer), en biomassemodell for stortare. Prosjektet ble startet i 2016 i et pilotområde på Sunnmøre der høyoppløselige kartlag var tilgjengelige for bunn-, dyp- og miljøforhold. I 2017 startet arbeidet med innhenting av feltobservasjoner av tare og utarbeidelse av en fullmodell for pilotområdet med alle viktige variabler. Denne modellen ble videre verifisert med uavhengige data innsamlet i forbindelse med Nasjonalt program for kartlegging av naturtyper samt ved dykking. I 2018 ble modellen ferdigstilt og kan nå brukes i forvaltning av tarehøsting og for industrien, blant annet til analyse av høstbarhet innenfor pilotområdet.
I prosjektgruppen har bestått av Trond Helgerud, Harald Bredahl, Tor Arthur Halvorsen (alle Dupont), Henning Steen, Thijs van Son, Nikolaos Nikolioudakis, Frithjof Moy og Kjell Magnus Norderhaug (Havforskningsinstituttet). Trond Helgerud og Jan Atle Knutsen har utgjort referansegruppen og prosjektet har vært ledet av Kjell Magnus Norderhaug. Sigrid Elvenes (NGU) har vært kontaktperson for marine grunnkart, men har ikke deltatt aktivt i prosjektet i 2017 og 2018.
2 - Behovet for en ressursmodell for stortare
Stortareskogene langs norskekysten representerer rike, fornybare ressurser som er viktige økosystem, og det er derfor behov for god kunnskap om konsekvensene av menneskelig aktivitet som tarehøsting. Fiskeridirektoratet er forvaltningsmyndighet for stortare. Det høstes årlig omtrent 150 000 tonn stortare på kyststrekningen mellom Rogaland og Trøndelag vha. grindtrål (Steen 2017, 2018). Høstingen reguleres gjennom fylkesvise forvaltningsplaner og foregår i avgrensede felt som vekselsvis høstes hvert femte år. Forvaltningsplanene er oppe til revisjon hvert femte år, og i 2019 startet en omlegging av forvaltningsregimene for tarehøsting i Møre og Romsdal og Trøndelag. Effektene av tarehøsting vil avhenge av hvor mye som høstes, og hvor mye tare som står igjen på feltene etter hver høsterunde. Tareskogene forsyner kysten med en rekke økosystemtjenester som leveområder, oppvekstområder for fisk og fødested for sjøfugl og sjøpattedyr (Norderhaug et al. 2005, 2011, Lorentsen et al. 2010). Hvor mye tare som høstes vil derfor kunne ha konsekvenser for de andre økosystemtjenester som tareskogen gir.
Figur 1. Tareskog ved Runde (foto: Jonas Thormar, Havforskningsintituttet)
Det finnes per dags dato ingen begrensninger i regelverket på høsteuttaket, og man kan i prinsippet høste all stortaren i et felt. Dette skjer imidlertid neppe, både på grunn av begrensninger i dagens høsteredskap og på grunn av få operative aktører. Det er sannsynlig at det i fremtiden vil komme flere aktører til, og at det utvikles mer effektive fangstredskap som vil gi økt press på tareressursene. Det er derfor behov for kvantitative data på hvor mye stortare som finnes på høstefeltene slik at det kan settes bærekraftige rammer for uttaket. Dette vil også hjelpe næringen med å finne gode områder for høsting. Per i dag gjennomføres høstingen basert på erfaring, men uten systematisk analyse av ressursgrunnlaget.
Målsetningen med dette prosjektet har vært å utvikle en romlig biomassemodell for et begrenset område med gode data. Men pilotmodellen er bare første skritt. Det endelige målet er en ressursmodell for hele Norge som kan gi forvaltning og næring en oversikt over stortareressursene og legge til rette for høsting av denne rike ressursen slik at man kan optimalisere høstingen og samtidig unngå for hard beskatning av enkeltfelt. På denne måten skal ressursmodellen for stortare skaffe Fiskeridirektoratet et kunnskapsbasert grunnlag for bærekraftig og adaptiv forvaltning av tareressursene og bedre oversikt over ressursene for industrien.
3 - Datagrunnlag og metoder
Tarens størrelse varierer med det fysiske miljøet (Bekkby et al. 2014). Vannbevegelse fra bølger og strøm og lysforhold er viktig for størrelsen og dermed hvordan tarens biomasse varierer ulike steder. Taren er også avhengig av hard bunn for å få feste. I et pilotområde på Sunnmøre hadde prosjektet tilgjengelig høyoppløselige kartlag for dyp, bølgebevegelse og bunnforhold. I tillegg til målinger av tarens størrelse og biomasse i hele området representerte disse kartlagene datagrunnlaget for modellen.
Feltarbeidet ble gjennomført i april og juni 2017 og det ble innsamlet 145 biomasseobservasjoner innenfor et pilotområde på Sunnmøre (Figur 2). Det totale pilotområdet hadde en utstrekning på ca 1 150 km2. I dette området har man meget gode dybdedata som er tillatt vist i høy oppløsning, marine grunnkart i målestokk 1:20 000 samt gode bølgemodeller som gjør det spesielt godt egnet for denne type modellstudier.
Figur 2 Oversikt over pilotområdet på Søre Sunnmøre. Kartet viser dybden i området basert på modell med 2 m oppløsning.
En god statistisk modell er avhengig av en god og nøye gjennomtenkt innsamling av statistisk uavhengige data. Det er viktig å samle inn data som dekker alle mulige kombinasjoner av miljøforhold. Den beste måten å oppnå dette på er å stratifisere studieområdet i områder som har like miljøforhold. Deretter kan man allokere stasjoner tilfeldig til disse områdene. Antallet stasjoner for hvert slikt område bestemmes av hvor store de er og hvor variable de er. Store og variable områder allokeres flere stasjoner enn små og lite variable områder. På den måten kan man fange opp mest mulig av den naturlige variasjonen som finnes i studieområdet.
En av de beste metodene tilgjengelig for å tilfeldig allokere stasjoner er Generalized Random Tesselation Strategy (GRTS). Denne metoden etterstreber at stasjonsplasseringene er romlig balanserte, de vil si at de ikke opptrer i grupper, men at de sprer seg relativt jevnt utover i studieområdet. På den måten gir GRTS en mellomting mellom helt tilfeldig plassering av stasjoner og et regulært grid av stasjoner. Kombinasjonen av god stratifisering og GRTS bidrar normalt til at man dekker den romlige variabiliteten i studieområdet på en svært effektiv måte. Vi hadde fire kovariater (miljøvariabler) tilgjengelige til både stratifiseringen av studieområdet og til selve den statistiske modelleringen og predikeringen. Disse dekket alle de viktigste miljøforholdene som bestemmer stortarens størrelse og utbredelse: dyp, andel hardbunn, bølgeeksponering og strømforhold. Kovariatene var tilgjengelige som heldekkende rastere (dvs, et pikselbilde der hver piksel har en verdi og en geografisk referanse), noe som er nødvendig for å kunne predikere stortare i heldekkende kart. Kovariatene er vist i Figur 3:
Dyp. Vi brukte en dybdemodell med 2 m oppløsning fra Kartverket.
Andel hardbunn. Norges Geologiske Undersøkelse har laget et detaljert kart over sedimenttyper for det aktuelle området i Søre Sunnmøre. Dette er et kategorisk kart, men for den type predikeringer vi ønsker å gjøre er et kontinuerlig kart bedre egnet. Det har derfor blitt utviklet en metode som kan konvertere disse kartene til kontinuerlige kart over de ulike sedimentfraksjonene. Stortare trenger hardbunn for å feste seg og vokse, derfor har vi laget et kontinuerlig kart som viser andel hardbunn som tar verdier mellom 0 (ingen hardbunn) og 1 (bare hardbunn).
Bølgeeksponering på havbunnen og Signifikant bølgehøyde. På Havforskningsinstituttet bruker man en open-source bølgemodell (SWAN) som er utviklet ved Delft University of Technology i Nederland. Denne modellen kan simulere den kombinerte effekten av vindgenererte bølger og dønninger. Ved hjelp av SWAN laget man en modell over Signifikant bølgehøyde med 50 m oppløsning. Denne modellen sier noe om bølgeeksponeringen på havoverflaten. Bølgeeksponeringen avtar med dyp og stortare vokser ned til ca 35 m dyp. Vi utviklet derfor også en modell som estimerte bølgeeksponeringen på havbunnen. Denne modellen hadde også 50 m oppløsning.
Bunnstrøm. Ved hjelp av ROMS modellen laget vi en modell over bunnstrøm som hadde en oppløsning på 160 m.
Figur 3 Kartlag av kovariater brukt til å modellere den statistiske og romlig fordelingen av stortarebiomasse på Søre Sunnmøre.
De 145 biomasseobservasjonene av stortare ble innsamlet mellom 3 og 35 m dybde. Observasjonene ble utført ved hjelp av et nedsenkbart kamera (droppkamera) med innebygd dybdesensor. I tillegg hadde vi et uavhengig datasett på 80 observasjoner. Dette datasettet er samlet inn innenfor det samme studieområdet, i samme år, men med et annet formål. Datasettet hadde et eget felt design og ble derfor ansett som uavhengig av våre 145 observasjoner. Det uavhengige datasettet ble senere brukt til å verifisere hvor god vår romlige modell for biomasse av stortare er.
Figur 4. Oversikt over romlig plassering av stasjoner på et kart over andel hardbunn. Blå verdier representerer henholdsvis lav observert biomasse (punkter) og lav andel hardbunn (kart). Rødt representerer høye verdier av observert biomasse og andel hardbunn. Høstesoner er også lagt på som kartlag.
Ved hjelp av droppkameraet målte vi dekning, tetthet og høyde av stortarevegetasjonen innenfor et område på en m2 på hver stasjon. Disse målingene ble senere omregnet til biomasse av stortare per m2 ved å multiplisere den observerte plantetettheten med gjennomsnittlig vekt per plante. Stortareplantenes vekt ble beregnet utifra plantehøyden ved å benytte en relasjon (korrelasjonskoeffisient = 0,88) mellom plantehøyde og vekt utviklet gjennom målinger av innsamlede stortareplanter. Biomasseregistreringene ble ytterligere verifisert ved hjelp av dykking på 11 av de 145 videostasjonene. På hver av disse 11 stasjonene ble alle planter fjernet fra 1 m2 av havbunnen og senere målt og veid og deretter sammenlignet med biomasseberegninger fra video. Korrelasjonen mellom videoobservasjoner og dykkeobservasjoner var på 0,77, som anses som svært bra.
4 - Statistisk modellering av biomasse av stortare
Valgene for den statistiske modellen bestemmer hvor godt biomassemodellen «forstår» variasjonen i tarebiomassen og hvor godt den predikerer tarens biomasse i ruter der denne ikke er målt.
Vi brukte Generalized Additive Models (GAMs) med Tweedie-fordeling for å modellere sammenhenger mellom biomasse av stortare og kovariatene (se van Son et al. In press). Tweedie-fordelingen er egnet for å håndtere kombinasjonen av mange nullobservasjoner og ellers utelukkende positive, kontinuerlige verdier. Denne fordelingen predikerer ikke negative verdier for tarens biomasse, noe som ville vært et problem ved bruk av for eksempel en vanlig normalfordeling. Smoothingen av kovariatenes sammenheng med tarebiomasse ble tilpasset i MGCV-pakken i R. Grad av smoothing ble valgt på bakgrunn av dataobservasjonene og restricted maximum likelihood (REML) med et maximum antall frihetsgrader satt til fem for å hindre overtilpasning til dataene. Restricted maximum likelihood er en statistisk metode for å estimere parametre i en modell.
Vi inkluderte ingen interaksjoner mellom kovariatene slik at modellene skulle være enkle å tolke. Modellvalideringen ble gjennomført på standard måte der vi så på residualer mot tilpassede verdier, QQ-plots og residualer mot originale verdier av kovariatene. Vi brukte også residualene til å visuelt sjekke tilstedeværelse av romlig autokorrelasjon.
Vi tilpasset tre GAM-modeller som ble vurdert ved hjelp av verdier av REML og Akaike Information Criterion (AIC). Akaike Information Criteron er en metode for å estimere den relative kvaliteten til alternative statistiske modeller og velge den beste. En fjerde modell ble også tilpasset for å teste om bølgeeffekt på havbunnen-variabelen bidro til å gjøre modellen bedre i forhold til den mer vanlige signifikant bølgehøyde-variabelen. I van Son et al. (in press) er modellenes intervaller for romlige predikeringer av stortarebiomasse, korrelasjoner med det uavhengige datasettet og totalt estimerte stortarebiomasse vist.
Modellen som inneholdt variablene dyp, andel hardbunn og bølgeeffekt på havbunnen hadde de laveste REML og AIC verdiene og var dermed den beste modellen (van Son et al. In press). Bølgeeksponering på havbunnen (som måles som horisontal, orbital hastighet) hadde en positiv effekt på biomasse over 0,5 m/s og en negativ effekt under denne verdien. Dyp hadde en positiv effekt på biomasse grunnere enn 20 m og tilsvarende negativ effekt dypere. For andel hardbunn fant vi en positiv effekt på tarebiomasse når andelen overstiger 0,5 (50%) i modellen. Den beste modellen hadde bare marginalt lavere REML og AIC verdier enn modellen som i tillegg hadde bunnstrøm inkludert. Disse to modellene forklarte omkring 83% av variansen i biomasseobservasjonene. En tredje modell som inneholdt bare dyp og bølgeeffekt på havbunnen hadde mye høyere verdier av REML og AIC og en mye lavere forklaring av variansen. Alle modellene er presentert i van Son et al. (in press).
5 - Biomassemodell for stortare i pilotområdet
Biomassemodellen ga et godt bilde av fordelingen av tarens biomasse i pilotområdet som kan presenteres i kart, og ga ny kvantitativ kunnskap om hvor mye tareressurser som finnes i området.
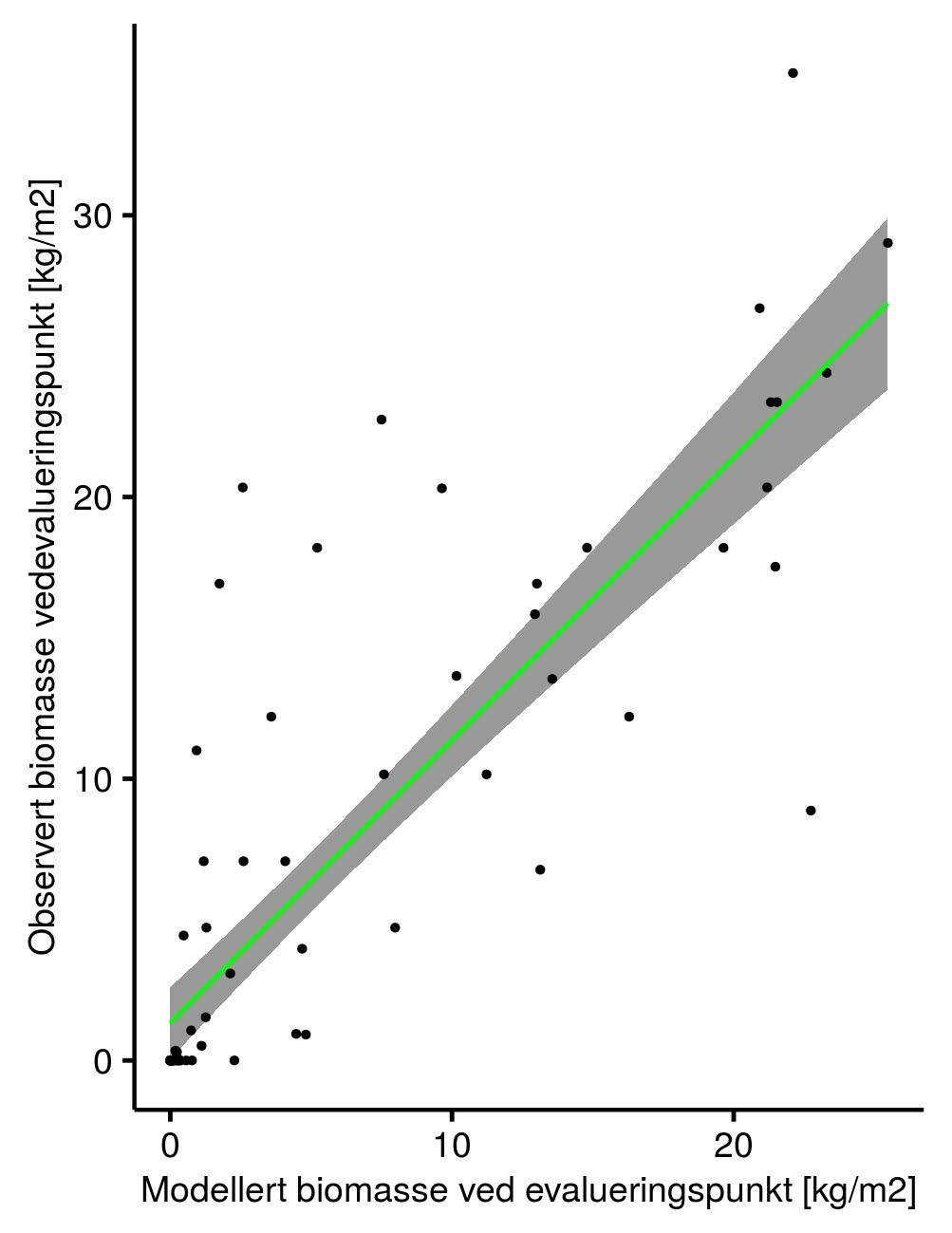
Vi vurderer modellen med dyp, andel hardbunn og bølgeeffekt på havbunnen som den beste da den balanserer modellkompleksitet og prediksjonsstyrke best (se Figur 5 og Figur 6). Den beste modellen predikerer en total stortarebiomasse på 457 000 tonn innenfor studieområdet. Verdiene av de predikterte verdiene var mellom null og 26,6 kg/m2 for modellen. Dette stemmer godt overens med målingene samlet inn med dykking i 1 m2 ruter.
Figur 5. Romlig prediksjon av stortarebiomasse i pilotområdet basert på den modellen som ble vurdert som best.
6 - Modelltesting – hvor god er modellen?
Vi utførte romlige prediksjoner på alle de fire modellene (van Son et al. In press). På den måten kunne vi sammenligne og korrelere prediksjonene av alle modellene med vårt uavhengige datasett. Dette datasettet inneholdt data fra 80 stasjoner samlet inn i studieområdet vårt samme år (2017) og ble brukt til å teste hvor riktig modellen var. De overensstemte svært godt med modellens prediksjoner for tarebiomassen. Dataene var samlet inn i Nasjonalt kartleggingsprogram for naturtyper og basert på en uavhengig innsamlingsstrategi og er derfor helt uavhengige av de observasjonene som ble brukt til å utvikle den statistiske GAM-modellen for biomasse av stortare. Korrelasjonen mellom hva modellen predikerte i disse 80 stasjonen og hva som faktisk ble observert var 0,85, noe som regnes som meget bra (Figur 6). Denne høye korrelasjonen gjør at vi føler oss sikre på at den romlige modellen gir et svært godt estimat for både fordelingen av stortarebiomasse og for total biomasse i pilotområdet. De tre andre modellene korrelerte også alle godt med det uavhengige datasettet med korrelasjoner mellom 0,76 og 0,84.
Figur 6. Korrelasjon mellom observert biomasse i det uavhengige datasettet og predikert biomasse basert på den beste modellen. Grønn linje viser best tilpasset regresjonslinje, de blå området tilsvarer 95% konfidensintervall.
Den fjerde og dårligste modellen var identisk til modellen vi vurderte som best, med unntak av at bølgeeffekt på havbunn-kovariaten ble byttet ut med signifikant bølgehøyde (dvs, bølgeeksponering på havoverflaten). Denne modellen hadde en stor økning i både REML og AIC verdier og en reduksjon i forklart varians. I tillegg, i de romlige prediksjonene, predikerte denne modellen mye høyere maksimum verdier for biomasse av stortare (103,6 kg/m2) og en mye høyere total biomasse (521 000 tonn). Selv om den hadde en ganske høy korrelasjonskoeffisient (0,76) med det uavhengige datasettet var det tydelig at den ofte overpredikerte biomassen.
Gode modeller er avhengig av en rekke faktorer, hvor spesielt god samplingstrategi og god kvalitet på kovariatenes rastere er særs viktige. Det er dog ikke bare kvaliteten på kovariatenes rastere som er viktig, kanskje enda viktigere er tilgjengeligheten av rastere for viktige kovariater. Dyp er noe man ofte har tilgjengelig, dog i ulike kvaliteter, men effekten av bølger på havbunnen og andel hardbunn er sjeldnere tilgjengelige.
Tradisjonelt i romlig modellering av stortare har man brukt ulike varianter av bølgeeksponering på havoverflaten. I denne pilotstudien ble modellen tydelig forbedret av å bruke bølgeeksponering på havbunnen. Dette gir mening fordi tareplantene opplever bølgeenergien på det dypet de faktisk står.
Kontinuerlige rastere av andel hardbunn er avhengig av et godt sedimentkart. Dette er det normalt NGU som lager i Norge, men det er kun noen få steder dette er tilgjengelig langs norskekysten. I slike tilfeller må man ofte ta i bruk kovariater som er proksier for det man egentlig er interessert i. I denne sammenhengen blir ofte grad av helning, sjøbunnens kurvatur og batymetrisk posisjonsindeks ofte brukt. Disse kan alene eller sammen være nyttige prediktorer for å predikere tilstedeværelse og biomasse av stortare, men vil ikke være like nøyaktige som andel hardbunn er.
Den romlige modellen vi har laget for Søre Sunnmøre er et øyeblikksbilde av fordelingen av stortarebiomasse. Biomassen kan endrer seg noe innen et år, for eksempel i forbindelse med bladfelling. Biomassemodellen brukt sammen med overvåkningsdata (data samlet over tid) vil både kunne si noe om slik variasjon, gjenvekst etter taretråling og større endringer langs norskekysten knyttet til klimaendringer og kråkebollers beiting av tareskog langs kysten i Nord-Norge.
7 - Hvor mye tare tråles i pilotområdet?
Biomassemodellen kan være et forvaltningsverktøy for å sikre bærekraftig høsting av tare. Den kan brukes som utgangspunkt for å beregne hvor stort uttaket er i trålesonene og i området som helhet. Ved å sammenligne den predikerte biomassen stortare i ulike områder med høstestatistikk kan vi beregne hvor stor andel tare som høstes i ulike høstesoner hver gang de tråles. Figur 7 viser taremodellen sammen med sporingsdata for taretrålingsfartøyer i pilotområdet.
Figur 7. Taretrålingsaktivitet innenfor pilotområdet. Prikker viser posisjoner for taretrålingsfartøyer. Det mørkeblå området viser arealet der tarebiomasse er modellert. Sorte streker og numre angir trålingssoner. Sporingsdata fra Fiskeridirektoratet.
Totalt predikerer biomassemodellen 457 000 tonn stortarebiomasse for pilotområdet. I høstesesongen 2013 – 2018 ble det høstet totalt 37 540 tonn stortare i høstesonene i dette området (Tabell 1). Det modellerte området overlapper imidlertid ikke fullstendig med høstesonene (Figur 7). Hvis vi bare ser på arealet som både er modellert og er innenfor høstesonene ble det predikert 453 804 tonn tare av modellen. Her ble det høstet 26 836 tonn tare i perioden fra 2013 til 2018 (5 høstesesonger). Dette utgjør totalt litt under 6% i løpet av fem års høsting og i overkant av 1% uttak av stående biomasse per år for hele området. I hver sone er uttaket variabelt og det har vært tatt ut mellom 0 – 11% av den stående tarebiomassen i de ulike årene. Det er også stor variasjon i hvor mye høstetid som brukes innenfor hver sone og hvor effektiv (CPUE) høstingen er (Tabell 1).
Tabell 1. Oversikt over høstesoner (Sone) og mengde prediktert stortarebiomasse av modellen i tonn, hvor mye industrien har høstet i de ulike sonene i høstesesongen i 2013 til 2018 innenfor området modellen dekker, hvor mye industrien har høstet i de ulike sonene totalt, hvor mange prosent uttaket representerer av den totalt estimerte biomassen innenfor området modellen dekker, den totale høstetiden innenfor modellert område og CPUE innefor modellert område.
8 - Videreutvikling av modellen til en nasjonal modell
Tareforvaltningen trenger en nasjonal ressursmodell for stortare som en sentral del av fremtidig adaptiv forvaltning. Kvantitativ kunnskap vil kunne hjelpe forvaltningen til å fatte kunnskapsbaserte beslutninger og redusere brukerkonflikter mellom ulike aktører som utnytter tareskogens økosystemtjenester. I utviklingen av en nasjonal modell blir biomassemodellen i pilotområdet sentral for å teste hvilke formål ressursmodellen egner seg til.
Forvaltningen trenger en ressursmodell for hele landet. Datagrunnlaget utenfor pilotområdet er svakere og varierer fra fylke til fylke. Det er derfor nødvendig å bruke enklere modeller med de data som er tilgjengelig til dette. Pilotmodellen blir en viktig del av dette arbeidet. Modellen vil brukes som «sann» referanse for å teste en enkel modell i pilotområdet. Denne testen vil kunne si noe om hvilke forvaltningsformål en slik enkel modell kan brukes til og levere robuste resultater. Den enkle modellen kan siden etableres for andre områder (resten av landet) der datagrunnlaget er spinkelt og brukes til de formål den er egnet til. I forbindelse med revisjon av tarehøstingsforskriften for Møre og Romsdal som foregår samtidig som denne rapporten skrives, kjøres det en enkel modell for hele fylket. Resultatene vil bli en første test på hvor langt dagens datagrunnlag rekker med tanke på å beregne tareressursene for hele landet.
En ressursmodell som er utviklet her vil også kunne ha andre bruksområder. Modellen vil kunne virke som et viktig verktøy for levering av kunnskap til adaptiv forvaltning. Ved å inkludere overvåkningsdata for tarens biomasse i tiden etter taretråling vil modellen kunne brukes til å analysere gjenvekst og kvantifisere regionale forskjeller i gjenveksthastighet for taren. Da vil forvaltningen kunne overvåke konsekvensene av taretrålingen og regulere uttaket etter disse.
En viktig konsekvens av kunnskapen som bygges gjennom modelleringsarbeidet er å øke forståelsen av hvor stort inngrep taretråling representerer i ulike deler av kysten. Sammen med undersøkelser Havforskningsinstituttet gjør om effektene av taretråling på tareskogens økosystem skal dette skaffe Fiskeridirektoratet et kunnskapsbasert grunnlag for bærekraftig og adaptiv forvaltning av tareressursene (Norderhaug et al. In prep). Slik kunnskap kan i tillegg redusere konflikter mellom ulike aktører som bruker tareskogens mange økosystemtjenester.
Vi har brukt den samme statistiske tilnærmingen i den enkle modellen for hele Møre og Romsdal som for pilotmodellen fra Søre Sunnmøre. Forskjellen ligger i de data vi har hatt tilgjengelig for å modellere. Den prediktoren vi spesielt savner for hele fylket er andel hardbunn. I et forsøk på å fange opp hardbunn brukte vi proksier som helning og batymetrisk posisjonsindeks. En annen viktig begrensning er oppløsningen og kvaliteten på dybdedata som dekker hele fylket. Dybdedata har en oppløsning på 50 m og er ikke samlet inn ved hjelp av multistrålelodd. Dog hadde vi hadde både signifikant bølgehøyde og effekt av bølger på havbunnen tilgjengelig.
Den beste modellen for hele fylket innehold da prediktorene dybde, signifikant bølgehøyde og UTM-koordinatene. Det å bruke UTM-koordinatene er en forenklet måte å ta hensyn til romlig autokorrelasjon på. Denne modellen forklarer 39% av variansen i biomasseobservasjonene. Biomasseobservasjonene for denne modellen kommer fra innsamlinger gjort i forbindelse med Nasjonalt program for naturtypekartlegging.
Noe overraskende inneholdt den beste modellen signifikant bølgehøyde og ikke effekten av bølger på havbunnen. Dette kan skyldes ulike årsaker som artefakter i modellen for effekt av bølger på havbunnen, en ikke-optimalisert samplingstrategi eller generell lavere kvalitet på prediktorene. Det er verdt å merke seg at dersom dybdemodellen er av lavere kvalitet, vil også effekten av bølger på havbunnen ha tilsvarende lavere kvalitet, da denne er avhengig av tilgjengelig dybdemodell i området.
Figur 8. Modell for romlig utbredelse av biomasse av stortare for Møre og Romsdal.
På samme måte som for modellen i Søre Sunnmøre predikerte vi den romlige utbredelsen av biomasse av stortare for hele Møre og Romsdal (Figur 8).
For å få en idé om hvor god denne modellen er sammenlignet vi det denne modellen predikerer i Søre Sunnmøre med pilotmodellen for samme område. Dersom vi anser pilotmodellen fra Søre Sunnmøre som en ”sann” modell over utbredelsen av biomassen til stortare, kan vi se om modellen for hele fylket over- eller underpredikerer. Pilotmodellen for Søre Sunnmøre estimerer en total biomasse på 457 000 tonn. Til sammenligning estimerer modellen basert på data fra hele fylket 620 000 tonn i samme område. For hele Møre og Romsdal predikerer modellen en total biomasse på 4,25 mill tonn. Dersom vi anser pilotmodellen som ”sann” kan vi beregne en omregningsfaktor på 0,74 (basert på 457 000 / 620 000). Ganger man denne omregningsfaktoren med den total biomassen modellen predikerte for hele fylket får vi en total biomasse på 3,14 tonn stortare for hele Møre og Romsdal.
Ved å korrelere prediksjonene av modellen for hele fylket med uavhengige data fikk vi en indikasjon på hvor god den enkle modellen var. Vi brukte observasjonene fra pilotområdet som det uavhengige datasettet i denne sammenhengen. Vi fikk da en korrelasjon på 0,69 noe som er relativt bra (Figur 9). Det betyr at selv om prediksjonene i hver enkelt rute er forbundet med noe usikkerhet, gir selv den enkle modellen mye kunnskap om hvor mye tare det finnes i området som helhet og hvordan biomassen varierer mellom trålfeltene.
Figur 9. Korrelasjon mellom prediktert biomasse basert på modellen for hele Møre og Romsdal og uavhengige observasjoner fra Søre Sunnmøre. Korrelasjonen er 0.69.
9 - Referanser
Bekkby, T, Rinde, Eli, Gundersen, H, Norderhaug, KM, Gitmark, JK, Christie H. 2014. Length, strength and water flow - the relative importance of wave and current exposure on kelp Laminaria hyperborea morphology. Marine Ecology Progress Series 506:61-70.
Lorentsen S-H, Sjøtun K, Grémillet D. 2010. Multi-trophic consequences of kelp harvest. Biol Conserv 143:2054-2062
Norderhaug KM, Christie H, Fosså JH, Fredriksen S. 2005. Fish-macrofauna interactions in a kelp ( Laminaria hyperborea ) forest. J Mar Biol Ass UK. 85:1279-1286.
Norderhaug KM, Christie H. 2011. Secondary production in a Laminaria hyperborea kelp forest and variation according to wave exposure. Est Coast Shelf Sci 95:135-144.
Norderhaug KM, Filbee-Dexter K, Freitas C, Christensen L, Mellerud I, Thormar J, van Son T, Moy F, Vázquez Alonso M, Steen H. Ecosystem-level effects of large-scale disturbance in kelp forests. submitted Mar Ecol Prog Ser.
Steen H. 2017. Tilstandsvurdering av B-felt for tarehøsting i Møre og Romsdal i 2017. Rapport fra Havforskningen Nr. 27-2017.
Steen H. 2018. Tilstandsvurdering av C-felt for tarehøsting i Sør-Trøndelag og Nord-Trøndelag i 2018. Rapport fra Havforskningen Nr. 32-2018.
van Son TC, Nikolioudakis N, Steen H, Albretsen J, Furevik BR, Elvenes S, Moy F, Norderhaug KM. Achieving reliable estimates of the spatial distribution of kelp biomass. Frontiers in Marine Science. In press.