Go to main content

Aktiv forvaltning av marine ressurser - Frøya og Hitra

— Sluttrapport

Author(s): Alf Ring Kleiven , Sigurd Heiberg Espeland , Guldborg Søvik , Jon Albretsen , Portia Joy Nillos Kleiven , Fabian Zimmermann , Ellen Sofie Grefsrud , Kim Aleksander Tallaksen Halvorsen (IMR) and Ola Vie (Guri Kunna VGS / Trøndelag fylkeskommune)

1 - Innledning

Prosjektet ‘Aktiv forvaltning av marine ressurser- Frøya og Hitra’ ble formelt startet opp høsten 2017. Den overordnete målsetningen med prosjektet er å etablere en solid kunnskapsplattform for å sikre de marine verdiene og verdiskapningsmulighetene i de to kommunene. Et viktig element i dette arbeidet er å styrke grunnlagsdataene for kommunene for en kunnskapsbasert forvaltning av kystsonen og studere effekten av menneskelig påvirkning på marine bestander ved bruk av soneforvaltning. I 2019 ble det publisert en arbeidsrapport for prosjektet (Kleiven mfl. 2019). I rapporten ble det presentert strøm- og eksponeringsmodeller, naturtypedata, gytefeltkartlegging, marine grunnkart, målarter, innsamlede biologiske data og en brukerundersøkelse. Denne rapporten bygger videre på datagrunnlaget presentert i arbeidsrapporten og presenterer også nye data.

Det har vært et mål at informasjon som er samlet inn skal bidra til å styrke kunnskapsgrunnlaget for kommunene i kystsoneplanleggingen. En bedre oversikt over ulike naturtyper og bruk av sjøområdene kan komme til nytte i videre planlegging av kystområdene. Kunnskapen skal også legge grunnlag for videre arbeid med å identifisere og utpeke mulige bevaringsområder på Hitra og Frøya. Det var et mål å jobbe med denne prosessen i 2020. Pandemien gjorde det vanskelig å gjennomføre dette, da en slik prosess fordrer tett dialog med brukerne. Det ble derfor ikke arrangert møter med ulike aktører og folkemøter som planlagt. Rapporten vil presentere ulike forslag til bevaringsområder som har kommet frem og som kan brukes som utgangspunkt for en videre arbeid. I prosjektet har det også blitt nedsatt en ekspertgruppe som har gitt faglige kriterier for etablering av marine bevaringsområder for målartene i prosjektet. I en eventuell videre prosess vil dette være det faglige grunnlaget for hvordan eventuelle bevaringsområder skal designes.

Prosjektet ble avsluttet i 2020 og det er nå opp til prosjektpartnerne å avgjøre om man ønsker å videreføre prosjektet. Det vil da være hovedfokus på målet om å etablere bevaringsområder. Dette vil kunne legge grunnlag for langtidsovervåkning av de lokale ressursene og styrke kunnskapsgrunnlaget for en bærekraftig forvaltning av de lokale fiskeriressursene på Frøya og Hitra.

2 - Datainnsamling

2.1 Brukerundersøkelse

Et viktig arbeid i prosjektet har vært å kartlegge og verdisette fiskeområder, både for yrkesfiske, turistfiske og fritidsfiske. Dette ble utført i samarbeid med University of California, Santa Barbara, som har utviklet det web-baserte kartleggingsverktøyet «Seasketch» (www.seasketch.org). Dette kan brukes både for å kartlegge bruk og for å analysere mulige bevaringsområder. Brukerne kan selv gå inn på nettsiden, fylle ut skjema og markere sine fiskeplasser. Denne muligheten ble markedsført bredt på Facebook og i lokalaviser. Det var derimot utfordrende å få mange til å fylle ut skjemaene. Sommeren 2018 ble det leid inn to studenter som intervjuet turistfiskebedrifter og også markedsførte undersøkelsen på Hitra og Frøya. Sommeren 2019 ble det også leid inn 2 studenter som hovedsakelig intervjuet yrkesfiskere.

Totalt ble det gjennomført 38 intervjuer av yrkesfiskere, 34 for fritidsbruk, 11 turistfiskebedrifter og 5 innenfor annen næring, totalt 88 intervjuer. Data ble analysert på to måter: i) ikke skalert for areal: viser områdene der flest har tegnet inn fiskeområde (Figur 1) og i) skalert for areal: Fiskere som har tegnet inn små områder medfører at områdene får høyere verdi enn for fiskere som har tegnet inn store områder (Figur 2). Kartene for all samlet aktivitet er gitt i figur 1 og 2. Kart som viser aktivitet for yrkesfiske, fritidsfiske og turistfiske er vist i vedlegg.

Figur 1. Tetthetskart for fiske, ikke skalert for areal. Mørk rød er de mest populære fiskeplassene, mens blå er de minst populære fiskeplassene.

Figur 2. Tetthetskart for fiske, skalert for areal. Mørk rød er de mest populære fiskeplassene, mens blå viser de minst populære fiskeplassene.

2.2 Kartlegging gytefelt

Metodikken for gytefeltkartlegging ble beskrevet i arbeidsrapporten 2019 (Kleiven m.fl. 2019). De verifiserte gytefeltene er nå inntegnet i Fiskeridirektoratets kartverktøy. Som vist i Figur 3 har ikke hele studieområdet blitt undersøkt. I de områdene som ikke er dekket er derfor gytefelt tegnet basert på intervjuer av fiskere den beste tilgjengelige kunnskapen.

Figur 3. Verifiserte gytefelt (rosa) og intervjubaserte gytefelt i områder der det ikke har blitt foretatt feltundersøkelser (blått).

2.3 Kartlegging fiskesamfunn

I perioden 1.-16. mai 2019 ble det gjennomført tokt for å kartlegge fiskesamfunn i prosjektområdet. Formålet med undersøkelsene var å skaffe før-data om tilstanden til fiskebestandene, samt teste ulike datainnsamlingsmetoder for å vurdere hvordan metodene fanger opp tetthet og størrelse på torsk. Det ble benyttet såkalte agnede stereo-video rigger (stereo-BRUV, baited remote underwater video) og havteiner. Marit Bull, masterstudent ved NTNU og HI, var med på toktet og har stått for mye av analysearbeidet.

Det ble filmet på i alt 147 stasjoner og teiner ble satt på 81 stasjoner. På 78 av stasjonene ble det både gjort videopptak og satt havteiner (Figur 4). Følgende sammendrag ble presentert i Marit Bulls masteroppgave:

Innsamlet materiale med stereo-BRUVs registrerte høyere antall arter (19 arter fra 9 familier) og artsrikdom per lokalitet (2.60 ± 0.60 SE), sammenlignet med teinene (15 arter fra 7 familier; 1.00 ± 0.18 SE). Stereo-BRUVs ville vært en bedre metode enn teiner for overvåkning av fiskesamfunn

på grunn av den høyere artsrikdommen og utbredelsen av arter. Fisketeinene viste bedre potensial enn stereo-BRUVs til å fange kryptiske arter, f.eks. lomre, og ville derfor hatt en høyere nøyaktighet når det kommer til identifikasjon av arter sammenlignet med stereo-BRUVs. Stereo-BRUVs viste en større rekkevidde på lengdemål hos torsk, men hadde få individ over 70 cm sammenlignet med teinene (se Figur 5). Lengdemål ble utført i synsfeltet til kameraet med det maksimale antallet individer til en art. Resultater fra denne studien indikerer at biaser oppstår når fisk svømmer inn og ut av synsfeltet, og at enkelte fisk vil ikke bli tatt lengdemål av. Dette vil kunne påvirke estimater av artsutbredelse, gjennomsnitt for lengdemål og frekvensen av lengdemål. Resultater fra denne studien fastslår at stereo-BRUVs kan være et verdifullt verktøy i overvåkning av temporale endringer i artsrikdom og artsutbredelse i tempererte farvann med lav diversitet i kystområdene til Frøya og Hitra.

Figur 4. Oversikt over alle stasjoner som både hadde BRUVs og havteiner i 2019. Fargene representerer ulike områder (Bull, 2019).

Figur 5: Lengdefordeling av torsk observert i havteiner (A) og stereo-video-rigger (B). Bull (2019).

Det har blitt gjennomført 3 år (2018-2020) med feltundersøkelser på fiskesamfunn ved bruk av stereo-video rigger, 2 år med teiner og 2 år med miljø-DNA (Tabell 1). Figur 6 viser hvilke områder som har blitt dekket i de ulike årene. Datainnsamlingen gir et godt grunnlag for å følge utviklingen i fiskebestander på Hitra og Frøya i fremtiden.

Figur 6. Kartet viser stasjoner for 2018, 2019 og 2020 der det har blitt filmet med stereo-video på Hitra og Frøya. På mange av stasjonene har det også blitt fisket med havteiner i 2019 og 2020.

    Stasjoner
2018 BRUVS 69
Miljø-DNA 10
2019 BRUVS 146
Havteiner 81
2020 BRUVS 128
Havteiner 136
Miljø-DNA 20
Tabell 1. Årlig antall stasjoner for stereo-video rigger (BRUVS), havteiner og miljø-DNA.

Figur 7 viser observasjoner av torsk med stereo-video fra feltarbeidet i 2020. For å unngå risikoen for at et individ telles mer enn en gang brukes MaxN (videobildet der flest individer av samme art observeres samtidig). Mens observasjoner av torsk, leppefisk og lyr er relativt jevnt fordelt i de ulike områdene, ble det registrert spesielt mye pigghå i Froan.

Figur 7. Observasjoner av torsk fra stereo-video rigger. Fargeskala viser gjennomsnittslengde (i mm), og MaxN viser maks antall individer sett på stasjon. Større kart og flere arter ligger som vedlegg til rapporten.

2.3.1 Miljø-DNA

Ved hjelp av filtrerte vannprøver kan man analysere arvestoff som ulike arter har avgitt i vannmassene. Slike miljø-DNA prøver kan identifisere hvilke arter som har vært i området prøven hentes fra. Metoden har de seneste årene hatt en stor utvikling, men det er fortsatt store forskningsbehov for å bruke dette målrettet i det marine miljø. I 2018 ble det gjennomført pilotundersøkelser med prøvetaking av miljø-DNA i forbindelse med feltarbeidet med stereo-video rigger. På 10 stasjoner nord-øst for Frøya ble det gjennomført både opptak med stereo-video rigger og vannprøvetagning til miljø-DNA (se figur 8). Dette ble gjort i samarbeid med Norsk Institutt for Naturforskning (NINA). Vannet ble tatt ved hjelp av en vannhenter 0,5 til 1 meter over bunnen. Dette ble så filtrert og analysert ved DNA-metastrekkoding ved hjelp av en generell primer for fisk (12S) og en generell primer for evertebrater (COI). Mens stereo-video rigger til sammen registrerte 6 fiskearter, registrerte analysene fra miljø-DNA 34 arter av fisk, inkludert mange arter som er godt gjemt på bunnen (for eksempel kvabber, kutlinger og ulker) som det er lite sannsynlig å oppdage og artsidentifisere med video-rigger (Figur 9). Det ble også registrert en mangfoldig bredde av taxa knyttet til bentiske samfunn. Ved å skille prøvene på dyp kom det frem klare mønstre. Grunnere stasjoner hadde en større mangfold og tetthet av røde og brune alger sammenlignet med dypere stasjoner. Det var en struktur i tilstedeværelse, diversitet og tetthet mellom dybdesoner for børstemarker, skjell, bivalver (snegler o.l.), fisk, pigghuder og nesledyr. Dette reflekterer mest sannsynlig endringene i bunnsubstrat og habitat med økende dyp.

Erfaringene fra piloten i 2018 var svært positive og det ble på ny samlet inn miljø-DNA under feltarbeidet i mai 2020. Da ble det fokusert på å samle inn data i et transekt fra innerst i Strømfjorden på Hitra og ut i Frøyfjorden. Disse prøvene er ikke opparbeidet enda.

Mulighetene for bruk av miljø-DNA for å evaluere effekten av bevaringsområder er potensielt stor. I samarbeid har derfor NTNU, NINA og Havforskningsinstituttet søkt Norges Forskningsråd om et prosjekt for å jobbe videre med dette. Hitra og Frøya kan potensielt bli et viktig område for denne forskningen hvis dette blir finansiert.

Figur 8: Filtrering av vannprøve for prøvetaking av miljø-DNA

Figur 9: Arter av fisk detektert med miljø-DNA (eDNA-COI eDNA-12s) og stereo-video rigger (BRUV). Ved overlapp av ringer ble artene detektert av flere ulike metoder. Analysert av Glen Dunshea, NTNU.

2.4 Sjøkreps

Sjøkreps er en av artene det har vært fokus på i prosjektet. Sjøkreps opptrer ikke i samme områder som de andre målartene (torsk, leppefisk og kamskjell) i prosjektet. I samarbeid med representanter fra Fiskarlaget har hovedfiskeområder for sjøkreps blitt kartlagt (Fig 10). Frohavet er et av Norges viktigste områder for fiske av sjøkreps. Det forekommer ikke tråling i området, så derfor fiskes all sjøkreps med teiner. Det har vært dialog med Hitra og Frøya Fiskarlag for å identifisere og nominere et mulig fredningsområde for sjøkreps.

I oktober 2019 ble det gjennomført en pilotstudie på fiske og merking av sjøkreps i samarbeid med Guri Kunna VGS. Skolefartøyet «Fru Inger» ble brukt i fisket. Den første uken var personell fra Havforskningsinstituttet med på prøvefisket. Det ble fisket med teinelenkene som Guri Kunna VGS allerede hadde stående i Frohavet. Formålet med prøvefisket var å teste gjennomføring av fangstregistrering, måling, kjønnsbestemmelse, bestemmelse av modning, genetisk prøvetakning og merking. Det har aldri før vært gjennomført individmerking av sjøkreps i Norge, og det var derfor nyttig å teste ut merking og mulig gjenfangst.

Figur 10. Sjøkrepsfiskeområde på Frohavet inntegnet ved intervju med Hitra og Frøya Fiskarlag.

Bilder fra forsøksfiske etter sjøkreps om bord på skoleskipet «Fru Inger» ved Guri Kunna VGS.

I 2019 ble teinene til Guri Kunna VGS benyttet, da innkjøpte teiner ikke var ferdig rigget. Teinene til skolen har lenker på 60 teiner. Skolen agnet opp og satte teinene fredag 4. oktober. Teinene som ble røktet tirsdag 15. oktober 2019 (tre lenker), hadde derfor stått ute i 12 dager, mens de som ble røktet torsdag 17. oktober (tre lenker), hadde stått ute i 14 dager. Agn var «modnet» fiskeavkapp av ymse arter. Det ble montert en temperaturlogger på alle teinelenkene, inne i en endeteine, festet med strips til en av kalvene. Totalt ble det trukket 9 lenker og 340 teiner. Det ble tatt genetikkprøver av de første 200 sjøkrepsene som ble fangstet. Basert på opplæring fra HI fortsatte Guri Kunna VGS prøvefisket videre utover høsten. To lærere har gjennomført forsøksdyrlære og kunne derfor også videreføre merkingen.

Totalt ble det registrert over 2300 sjøkreps under prøvefisket og 880 sjøkreps ble merket. Det har blitt gjenfanget 35 sjøkreps (november 2020). Guri Kunna VGS har stått for de fleste gjenfangstene, men det har også kommet rapporter fra andre fiskere. Noen rapporter har kommet fra personer som har kjøpt sjøkreps (for eksempel Røros og Oslo), der de så har oppdaget merket og rapportert inn til HI. Det er derfor grunn til å forvente at gjenfangsten kan være høyere enn antall rapporter mottatt.

Basert på erfaringene fra pilotstudiet i 2019 ble det gjennomført et standardisert prøvefiske i perioden 12-23 oktober 2020. Det ble rigget 10 lenker med 20 teiner per lenke. Avstand mellom hver teine på lenken var 20 meter. Fem lenker ble satt i et foreslått fredningsområde, mens fem lenker ble satt i et kontrollområde. For å se hvordan fangst per teinedøgn påvirker fangsten ble det trukket teinelenker som hadde stått fra 1 til 4 døgn. Totalt ble det trukket 27 lenker og merket 1306 sjøkreps.

Figur 11. Fangst per teinedøgn (CPUE) for hver lenke under sjøkrepsfisket i 2019 (øverst) og 2020 (nederst), samt kjønnsfordeling i fangstene. CPUE er ikke direkte sammenlignbart mellom årene da teinene hadde lengre ståtid i 2019 og litt forskjellige områder ble dekket.

2.5 Eksponeringsmodell

I arbeidsrapporten (Kleiven mfl. 2019) ble strømmodeller for Frøya og Hitra presentert. Det har også blitt utviklet en eksponeringsmodell. Kartet (Figur 12) som viser langtidsmidlet signifikant bølgehøyde for området rundt Hitra og Frøya, er hentet fra simulering med bølgemodellen SWAN. Denne modellen er utviklet ved Delft University of Technology i Nederland og er satt opp med en romlig oppløsning på 200m x 200m. Bølgehøyden inkluderer både vindinduserte (lokale) bølger med kort periode og dønninger fra storhavet med lengre bølgeperioder.

Figur 12. Bølgeeksponering rundt Frøya og Hitra. Rød farge antyder størst bølgehøyde, mens blått/mørkeblått er lavest bølgehøyde (se skala til høyre i figur). Større bilde i vedlegg.

2.6 Frigivelse av batymetriske data fra Frøya øst

Det ble i august 2020 søkt forsvaret om at detaljerte dybdedata (oppløsning to meter) fra et område ved Sistranda, øst for Frøya, Trøndelag, kunne frigis for offentlig bruk. Dette området har blitt kartlagt av NGU i prosjektet. Ønsket har vært at brukere (som forvaltning og næringsliv) skal få tilgang til dette og at spesielt Guri Kunna VGS som bruker dette området aktivt i undervisningen.

Følgende svar ble gitt fra forsvaret (FOH):

Med henvisning til forrige mail, kan det ikke gis tillatelse til at data deles med "alle som har interesser i området". Det skal spesifiseres hvem som skal motta data. Forvaltning og næringsliv skal ved behov for slike data selv søke om dette. Det gis ikke anledning for fri publisering av data. Søknaden kan godkjennes, men da bare for deling med Guri Kunna for bruk i undervisning.

Det blir derfor opp til andre aktører enn Guri Kunna VGS å søke forsvaret hvis man ønsker tilgang til detaljerte dybdedata utenfor Sistranda.

2.7 Oppsummering datainnsamling

I prosjektet er det blitt samlet inn store mengder data for sjøområdene rundt Hitra og Frøya:

  • Kartlegging av gytefelt

  • Strøm- og eksponeringsmodeller

  • Brukerdata, kartlegging fiskeri

  • Marine grunnkart for utvalgte områder

  • Biologiske data:

    • Sjøkreps

    • Fiskesamfunn

Det er et mål at dette skal kunne bidra til å styrke kunnskapsgrunnlaget for kommunenes kystsoneplanlegging. Datainnsamlingen kan også gi en god oversikt over status for fiskesamfunnet rundt Frøya og Hitra. Denne kunnskapen gir en god basis for å følge utviklingen fremover og kartlegge eventuelle endringer av fiskebestandene. Videre er dataene viktige for å evaluere effekten av eventuelle nye forvaltningstiltak, som for eksempel bevaringsområder.

3 - Marine bevaringsområder

Kunnskapsgrunnlaget om mange kommersielle og ikke-kommersielle kystbestander er svært begrenset, og det er store utfordringer knyttet til forvaltningen av kystområdene i Norge. I mai 2020 kom Havforskningsinstituttet med en ny rapport som foreslår en ny gjenoppbyggingsplan for kysttorsk nord for Stad (Aglen mfl. 2020). Statusen for kysttorskbestanden truer MSC-merkingen (Marine Stewardship Council) på torsk og det pågår nå en større debatt om hvilke tiltak som skal iverksettes. Videre er det et stort kunnskapsbehov for sjøkreps. Tidligere ble sjøkreps i hovedsak fisket som bifangst i reketrål. Teinefisket etter sjøkreps startet opp på begynnelsen av 2000-tallet. De siste 10 årene har offisielle landinger på sjøkreps vært dominert av teinefiske og landingene er i kontinuerlig vekst (Figur 13). Det har også vært en betydelig vekst i fritidsfisket etter sjøkreps, men for dette eksisterer det ikke offisielle landingsdata. For å sikre et fremtidig bærekraftig fiske av sjøkreps er det viktig å få økt kunnskap om bestanden og fiskeriet.

Figur 13. Offisielle landinger av sjøkreps i Norge fordelt på trål og teiner.

Fisket etter leppefisk har blitt et viktig kystfiskeri de seneste årene og det har vært stor etterspørsel etter kunnskap fra forvaltningen. Dette fiskeriet er krevende å forvalte da det fiskes på en rekke ulike leppefiskarter med ulik livshistorie og det vil være et stort behov for mer kunnskap i årene som kommer.

På Hitra og Frøya ser det ut til at fangstene av kamskjell har holdt seg stabile gjennom flere år med høsting. Det er derimot begrenset kunnskap om hvor mye høsting bestanden tåler. Ved et mulig økt fangsttrykk kan det være risiko for overbeskatning. Spesielt kan dette inntreffe hvis det blir en overgang fra dykking til autonome høstingsteknikker med lengre operasjonstid og på større vanndyp.

Både forskning og forvaltning har lett for å fokusere på enkeltarter til tross for at det er et mål om en mer økosystembasert tilnærming. Et godt eksempel på økosystemeffekter av fiskeri er en nylig publisert studie (Norderhaug mfl. 2020) som har funnet en sammenheng mellom overbeskatning på steinbit, hyse og torsk og en vekst i bestanden av kråkeboller med påfølgende dramatisk nedbeiting av tareskogen.

Et viktig spørsmål er hvordan fiskeriet påvirker bestander og kystøkosystemene sammenlignet med naturlige variasjoner, klimaendringer og menneskelig påvirkning. Det er en utfordring å studere fiskeriets påvirkning på bestander og økosystemer når det forekommer fiskeri tilnærmet overalt. Studiene på effekter av fredningsområder for hummer (etablert i 2006 i Skagerrak) har hatt en viktig betydning for en mer kunnskapsbasert forvaltning av hummer i Norge (se Kleiven mfl. 2017). Områdene gir informasjon om hvor stor påvirkning fisket har på bestanden både i tetthet og størrelsessammensetning. Men fredningsområdene har også gitt unik kunnskap om blant annet rollen store individer spiller i ivaretakelse av bestanden (Sørdalen mfl. 2018, Sørdalen mfl. 2020). Denne kunnskapen bidro til innføring av maksimalmål på hummer i Skagerrak i 2017.

Bevaringsområder, der det blir gjennomført forskningsoppfølging, kan gi sårt tiltrengt og viktig informasjon om hvordan bestander og økosystemer bør forvaltes i fremtiden. Både hvordan bevaringsområder fungerer som et bevarings- og forvaltningsverktøy og som referanseområde for å gjøre kunnskapsbaserte forvaltningstiltak i områder der fiske pågår.

Norge har forpliktet seg til å verne 10% av sjøområdene innen 2020. Dette har ikke blitt nådd, i dag er rundt 3-4% vernet. I tillegg er det svært begrensede (om noen) reguleringer på fiskeri i disse verneområdene. I så måte ligger Norge langt bak i utvikling og bruk av bevaringsområder som forvaltningsverktøy. Det er også et stort behov for kunnskap om hvor stor effekt slike områder har for bevaring, fiskeriforvaltning og økosystem. Videre vil forskning i et utvalg av bevaringsområder gi bedre kunnskap om hvordan slike områder bør designes (størrelse, habitater osv.) ved fremtidige etableringer.

Hitra og Frøya har et levende fiskerimiljø og rike marine fiskeriressurser og Guri Kunna VGS landsledende på fiskeriutdanning. Det vil være svært nyttig for kommunene, fiskeriene og skolen med økt forskningsaktivitet på de lokale ressursene på Hitra og Frøya. Etablering av marine bevaringsområder på Hitra og Frøya vil legge til rette for betydelig økt forskningsaktivitet og et bedre kunnskapsgrunnlag om ressursene i området, noe som vil bidra til en kunnskapsbasert forvaltning for å sikre et bærekraftig fiske for fremtiden. Ved å etablere forskningsbaserte bevaringsområder vil kommunene stille seg i front for kunnskapsoppbygging om ivaretakelse av kystressurser i Norge.

3.1 Målarter

Gjennom prosjektet har det blitt valgt ut ulike målarter. Med målarter menes her arter/artsgrupper som har et ekstra fokus når marine bevaringsområder skal etableres og i forskningen på effekten av tiltakene. Målartene i prosjektet er torsk, kamskjell, sjøkreps og leppefisk (en samlebetegnelse av flere arter). Disse artene er knyttet til økosystemer og habitater. Det er derfor nødvendig å tenke helhetlig når bevaring av disse artene skal vurderes.

3.2 Kartlegging

I prosjektet er det etablert et samarbeid med University of California, Santa Barbara, der kartverktøyet SeaSketch ( www.seasketch.org ) benyttes både i kartlegging av bruk av områder og i prosessen for å identifisere potensielle marine bevaringsområder. I kartgrunnlaget ligger det informasjon om marine naturtyper, slik som tareskog, gytefelt for torsk, kamskjellområder osv. Det har det gjennom prosjektet også blitt gjennomført en brukerundersøkelse for å kartlegge bruken (i hovedsak høsting) i området. Det har blitt gjennomført totalt 88 intervjuer (yrkesfiskere; 38, fritidsbruk; 34, turistfiske; 11, annen næring; 5). Undersøkelsen gir gode informasjon om de mest brukte fiskeområdene på Hitra og Frøya (Figur 1 og 2).

Norges Geologiske Undersøkelse (NGU) har gjennom prosjektet kartlagt rundt 100 km2 og utarbeidet marine grunnkart (Kleiven mfl. 2019). Dette gir unik kunnskap om bunnforholdene. De marine grunnkartene er publisert på NGUs hjemmesider: http://geo.ngu.no/kart/marin_mobil/

3.3 Forskning på marine bevaringsområder

Områdebasert forvaltning, eller soneforvaltning, har de siste årene fått økt oppmerksomhet som et supplement til mer tekniske og tradisjonelle forvaltningsverktøy (minstemål, redskapsreguleringer, sesong, kvoter osv.). Geografiske områder som har en høyere grad av beskyttelse enn omkringliggende områder, vil vi her kalle «marine bevaringsområder». Effektene av marine bevaringsområder har blitt studert i mange land og vist positive resultater om økning i tetthet, størrelse og artsmangfold (Claudet mfl. 2018, Halpern mfl. 2003, Lester mfl. 2009). I Norge har marine bevaringsområder blitt grundig studert som et forvaltningsverktøy for hummer (Pettersen mfl. 2009, Moland mfl. 2013, Nillos Kleiven mfl. 2019). Innenfor områdene, der det kun er lov å fiske med stang og snøre, har det blitt betydelig flere og større hummer. Effektene av bevaringsområder for hummer har blitt vurdert til å være så positive at Fiskeridirektoratet har inkludert bevaringsområder som et verktøy i forvaltningen av hummer (Fiskeridirektoratet 2014). I dag er det 50 fredningsområder for hummer i Norge, der de fleste av disse har samme reguleringer som de første områdene som ble etablert i 2006. Samlet størrelse på bevaringsområdene for hummer er på rundt 90 km 2 .

Kunnskapen om hvordan andre arter og bestander svarer på vern i Norge, er begrenset. Internasjonale studier viser at de fleste arter som blir fisket, har en positiv respons der det blir en økning i biomasse, tetthet og gjennomsnittsstørrelse. I tillegg er det observert en økning i biodiversitet innenfor områdene (Figur 14, Fenberg, mfl. 2012).

Figur 14. Global og Europeisk endring i biomasse, tetthet, størrelse og artsdiversitet i bevaringsområder (Fenberg, m.fl. 2012).

Det er også observert at økosystemene kan endre seg og at for eksempel områder som tidligere har vært dominert av kråkeboller får tilbake tareskog fordi det blir mer stor fisk som beiter på kråkebollene (Hamilton og Caselle 2015). Hvis det blir mer og større fisk i et bevaringsområde er det forventet at dette også kan ha positive effekter på omkringliggende områder der det foregår fiske. Voksen fisk kan vandre ut av området og bli fanget på utsiden. Samtidig vil mer og større fisk føre til større produksjon av egg og larver. Såfremt det er gyteaktivitet innenfor bevaringsområdet, kan egg og larver drive ut og vokse opp i omkringliggende fiskede områder (Figur 15). Det er derimot få studier på effekter av bevaringsområder i Norge og det er et stort kunnskapsbehov. Bevaringsområder har potensiale til å være et verktøy for både bevaring av natur og som et fiskeriforvaltningsverktøy (Rice mfl. 2012).

Figur 15. Illustrasjon av de forventede effekter av bevaringsområder, her illustrert med et område der det ikke foregår fiske (0-fiske) og et område som er åpent for regulært fiske. Kilde: Havforskningsinstituttet.

3.4 Mål for etablering av marine bevaringsområder

Kunnskapen om kystnære bestander er begrenset. Det er både behov for økt kunnskap om de ulike arters livshistorie (vekst, utvikling, forplantning og død), samspillet mellom arter og hvordan disse kan forvaltes. Marine bevaringsområder gir muligheten til å forske på arter der fiske ikke forekommer og man kan studere hvordan arter og økosystemer reagerer på vern.

For å kunne vite hvor god effekt marine bevaringsområder kan ha langs norskekysten er det viktig å forske på effektene. Hvordan responderer ulike arter? Hvilken effekt har dette på de omkringliggende områdene? Videre kan bevaringsområdene brukes som en referanse for å vurdere tilstanden for bestandene i omkringliggende områder som er åpent for fiske.

Dette er viktige forskningsspørsmål i prosjektet «Aktiv forvaltning av marine ressurser, Hitra og Frøya». Det har vært et mål at det skal etableres marine bevaringsområder i prosjektet og at det skal forskes på hvilken effekt dette har på de lokale bestandene. Bevaringsområdene må ha forankring lokalt og det er derfor svært viktig at lokale brukere og andre interesserte er aktivt med i planleggingen.

3.5 Etableringsprosess

Brukernes aksept og eierskapsfølelse til marine bevaringsområder er viktige faktorer for positive effekter av bevaringsområdene (Pollnac mfl. 2010). Legitimiteten til de marine bevaringsområdene kan bli styrket hvis brukere og forvaltning har forståelse for de underliggende økologiske prinsippene som støtter opp om design av marine bevaringsområder. Vitenskapelige innspill og veiledning er derfor viktige komponenter i en suksessfull etableringsprosess av marine bevaringsområder og øker sannsynligheten for at bevaringsområdene når definerte mål (Saarman mfl. 2013). Kartverktøyet SeaSketch skal benyttes til å identifisere mulige marine bevaringsområder på Hitra og Frøya. Målet er at det er brukerne selv som skal foreslå og tegne inn områder. Gjennom SeaSketch vil disse områdene bli umiddelbart analysert og gi svar på hva slags effekt det foreslåtte området har på kriteriene for bevaringsområdene og hvordan dette går ut over fiskeriene. Basert på dette resultatet kan man velge å gjøre justeringer hvis det skulle være behov. Det er lagt til rette for at brukere selv eller gjennom deltakelse på møter og workshops kan foreslå områder som blir tegnet inn i kart og deretter analysert og diskutert.

3.6 Faglige kriterier for etablering av marine bevaringsområder

Internasjonale studier har vist at en etableringsprosess har større sannsynlighet for å lykkes hvis det er gitt klare og lett forståelige faglige anbefalinger for hvilke kriterier som skal ligge til grunn for bevaringsområdene. De faglige anbefalingene skal være bygget på den beste tilgjengelige kunnskap. Med utgangspunkt i målartene er det derfor hentet inn fageksperter som har brukt beste tilgjengelig kunnskap i tillegg til å gi sine ekspertvurderinger. Ekspertgruppen fra Havforskningsinstituttet har bestått av Sigurd Heiberg Espeland, Guldborg Søvik, Kim Halvorsen, Even Moland, Terje van der Meeren, Øivind Strand, Esben Moland Olsen, Ellen Sofie Grefsrud, Jan Egil Skjæråsen, Portia Joy Nillos-Kleiven og Alf Ring Kleiven.

Mandatet er å gi råd basert på følgende problemstilling: Hva må et bevaringsområde inneholde for å kunne svare på forskningsspørsmålene om de ulike målartene?

Forskningsspørsmålene:

  1. Blir det mer av målartene over tid i bevaringsområder sammenlignet med kontrollområder?

  2. Blir målartene større over tid i bevaringsområder sammenlignet med kontrollområder?

  3. Blir det økt produksjon av egg og larver i bevaringsområder sammenlignet med kontrollområder?

  4. Vil totalt sett de omkringliggende fiskeriene ha et positivt utbytte av bevaringsområder?

Innenfor dette må de faglige kriteriene svare på spørsmål som:

  1. Hvor stort må et bevaringsområde være for å ivareta livshistorien til målartene?

  2. Hva slags leveområder/habitat bør bevaringsområder inneholde for å kunne svare på forskningsspørsmålene?

  3. Hva slags forventet påvirkning har annen menneskelig aktivitet (som havner og akvakultur), og kan slik aktivitet forekomme innenfor bevaringsområder? Eventuelt hvor langt unna bør bevaringsområder ligge fra større menneskelig aktivitet?

  4. Hva slags reguleringsnivå bør bevaringsområdene ha for å svare på forskningsspørsmålene?

3.6.1 Hvor stort bør et bevaringsområde være?

Hjemmeområdet (engelsk: Home range) til en art er det området hvor et individ bruker mesteparten av sin tid til rutineaktiviteter slik som å finne mat og hvile. Noen arter foretar også vandringer til faste gyteområder, noe som blir vurdert som innenfor «hjemmeområdet», mens lange vandringer til gyteområder blir vurdert som utenfor individets «hjemmeområde» (Green mfl. 2015). Størrelsen på «hjemmeområder» varierer både mellom og innenfor arter. Større/eldre individer innenfor en art har ofte større hjemmeområder enn mindre/yngre individer. Små bevaringsområder kan derfor beskytte yngre og mindre individer bedre enn større. For at marine bevaringsområder skal bidra til en økning i en bestand som blir fisket på må området være i stand til å dekke målartens utbredelse både som ung og voksen fisk. Green mfl. (2015) anbefaler at marine bevaringsområder bør være dobbelt så stort, i alle retninger, som hjemmeområdet.

3.6.2 Torsk (Gadus morhua)

Torsk består av mange ulike bestander, slik som norsk-arktisk torsk (skrei) og Nordsjøtorsk. Langs norskekysten finner vi kysttorsken som opptrer i mange ulike varianter der også utseendet kan forandre seg fra sted til sted og også innenfor samme område. Det er vanskelig å si hvor mange bestander det er av kysttorsk og kanskje er det heller ikke mulig å gi et tall siden grensene er flytende. Den typiske kysttorsken lever og gyter ved kysten. Det har vært mye oppmerksomhet rundt kysttorsken da den samlet sett er vurdert å være i tilbakegang. De tiltakene som er satt i verk for å redusere fiskedødeligheten på kysttorsk har ikke hatt den ønskede effekten. Det trengs derfor mer effektive reguleringstiltak om målsettingen i gjenoppbyggingsplanen skal bli nådd (ICES råd). Ut fra dette er det iverksatt en rekke forvaltningstiltak for å ivareta kysttorskbestanden(e). Men siden kysttorsken kan ha ulik livshistorie fra sted til sted langs kysten, og fisket kan variere likeså, er det ikke enkelt å innføre effektive reguleringer for ivaretakelse av kysttorsken som helhet. Det vil derfor være svært nyttig å få mer kunnskap om kysttorsken ved å studere den lokalt over lengre tid innenfor og rundt bevaringsområder.

Gyting og larvespredning

Torsken rundt Hitra og Frøya gyter i hovedsak i perioden februar til april. Gytefelt er kartlagt og verifisert i området. Ved hjelp av strømmodellering kan man undersøke i hvor stor grad egg og larver er forventet å spres i vannmassene. Et gytefelt i et strømrikt og eksponert område har gjerne større grad av spredning enn et gytefelt i en fjord eller i en skjærgård med mindre strøm og høyere grad av bakevjer. I Figur 16 er det brukt eksempler fra tre gytefelt rundt Hitra og Frøya. For et gyteområde som ligger ved Mausund (A) er det forventet stor spredning av egg og larver. Strømfjorden på Hitra står i sterk kontrast til dette, der det er forventet en høy grad av retensjon (eggene blir igjen i området, B). Midt mellom dette ligger gyteområdet utenfor Dyrvika. Her ser det ut til å være både noe retensjon og noe spredning. Er det ønskelig med lokal rekruttering i et bevaringsområde bør man derfor vurdere å legge et bevaringsområde der det er et gytefelt med lokal retensjon.

Figur 16. Kartlagte gytefelt på Hitra og Frøya (blå pil peker på gytefelt i A, B og C) og forventet spredning basert på strømmodellering. Fra gytefelt A (syd-øst av Mausund) spres ide fleste av eggene helt ut til kanten av modelleringsområdet i nord-øst. Modellen hindrer eggene i å drifte lenger, noe de ville gjort i naturen. I B (Strømfjorden) er det lokal retensjon av egg, men i C (Sistranda) er det både lokal retensjon og spredning. Prikker på kartet representerer mulig posisjon for enkeltegg 30 dager etter gyting. Egg på en rett linje mot nordøst representerer egg som nådde grensen på driftsmodellen. Konturene og gradert blåfarge representerer sannsynlighet for å finne egg 30 dager etter gyting, der den ytterste røde linjen omfatter områdene der man forventer å finne 100% av eller eggene sluppet ut på de angitte gytefeltene.

Habitat

Torskelarver er observert å slå seg ned på helt grunt vann i tangbeltet i mai -juni når de blir 4-5 cm lange yngel. Årsyngel lever gjennom sommeren og høsten på grunt vann, typisk 1-6 m dyp, på ulike bunntyper. I de nordlige landsdelene er det påvist at årsyngel av skrei trekker ned i dypet av fjordene på høsten, mens kysttorsken blir igjen på grunt vann. Det har vist seg at ålegressenger ofte huser mye torskeyngel, men også på en variert bunn med sukkertare og andre tarearter finner man en god del yngel og ungtorsk. Områder med løstliggende kalkalger er også rapportert som oppvekstområder for torsk. Overraskende nok er det også funnet torskeyngel på relativt naken bunn av sand og grus, men med noe forekomst av rødalger. De grunne områdene ser altså ut til å være viktige oppvekstområder for kysttorsken. Større torsk vandrer også inn på grunt vann sommer og høst, trolig for å beite på yngel av torskefisk, leppefisk og kutlinger.

Eldre torsk kan finnes på de fleste dyp og enkeltindividenes plassering i vannmassene kan variere med alder, årstid og temperatur. Et variert, friskt og kupert kysthabitat med tareskog og skjellsandbanker vil normalt sett være et sted der torsk trives. Det vil være en styrke at det også finnes dypere områder innenfor bevaringsområdet.

Vandring og bevegelse

Studier av kysttorsk har vist at noen torsk vandrer mye mens andre beveger seg svært lite. Om dette representerer ulike kysttorskbestander eller mer individforskjeller innenfor en bestand er uklart. I prosjektet gjennomføres det merkeforsøk på torsk. I mai 2019 ble 77 torsk merket og 85 i 2020. Det er foreløpig kommet inn for lite data til å si noe om torskens vandring i disse undersøkelsene. Over flere år er det derimot gjennomført merkestudier på torsk på Smøla, like syd for Hitra og Frøya. I dette studiet er det per november 2019 meldt inn 74 gjenfangster av fiskere. Det er stor variasjon i hvor langt de ulike torskene har blitt fanget fra merkestedet (Figur 17), men det er verdt å merke seg at 2/3 av torsken ble gjenfanget mindre enn 4 kilometer fra der de ble sluppet ut.

.

Figur 17. Avstand mellom slippsted og gjenfangststed for torsk merket på Smøla i perioden 2017-2019.

Hjemmeområde (home range)

Det er tidligere gjennomført tidligere undersøkelser på torskens hjemmeområde. I null-fiskeområdet i Tvedestrand har torsk blitt fulgt over flere år med akustiske merker som er operert inn i bukhulen. Det er observert stor variasjon i de ulike torskeindividenes hjemmeområder; noen torsk er svært aktive og dekker et større område, men andre torsk er mer sedate og har små hjemmeområder (Figur 18). Det som kjennetegner Tvedestrandsfjorden er at de fleste torskene har svært små hjemmeområder. Kunnskap fra Tvedestrand er ikke direkte overførbart til Hitra og Frøya der det kan forventes at torsken vandrer mer i åpnere kystlandskap.

Figur 18. Hjemmeområde for torsk i Tvedestrandsfjorden. De fleste torsk har hjemmeområder på under en halv km 2 (a). I c, d og e vises eksempler på enkeltindividers hjemmeområder, der torsken i c har et mye mindre hjemmeområde enn d og e. Området er så lite at den er beskyttet til enhver tid av null-fiskeområdet. Kilde: Villegas-Rios mfl. 2016.

Vi kan velge å grovt definere torsk som har vandret under fire kilometer som «lokal» mens torsk som vandret mer enn fire kilometer kan defineres da som «vandrende». Et lokalt bevaringsområde kan ikke ha som mål å kunne beskytte en vandrende torsk i hele dens livssyklus, men bør kunne beskytte en større andel av torsken som har en lokal adferd. Det er derfor fornuftig å fokusere på «lokal» torsk i dette arbeidet.

I Figur 19 er alle gjenfangster der torsken ble fanget mindre enn 4 kilometer fra utslippsstedet (der 0-punktene for x- og Y-aksen treffes) plottet. Ved å se på alle gjenfangstene som om det skulle være samme individ som hadde vært observert flere ganger, kan man beregne et hjemmeområde. Ut fra dette kan vi si at et bevaringsområde på 24 km2 vil gi beskyttelse for 2/3 av torsken i området (den resterende 1/3 er de som vandrer lenger). Med et bevaringsområde på 11 km2 vil man derimot gi 50% beskyttelse for disse fiskene.

Figur 19. Romlig oversikt over alle gjenfangster der alle torsk ble sluppet ut ved 0-punktet. Tallverdier er kilometer fra 0-punkt.

For den lokale torsken var gjennomsnittlig vandring 1,6 kilometer. Green m. fl. (2015) anbefaler at arealet til et bevaringsområde bør minimum være det dobbelte av et hjemmeområde for den gitte arten. Det kan derfor argumenteres for at et bevaringsområde for torsk bør være minst 3,2 kilometer bredt. Hvis området er kvadratisk bør det da være minst 10,2 km2. Dette samsvarer godt med modellen i figur 19. En slik størrelse vil øke sannsynligheten for at tetthet og størrelse av fisken øker innenfor bevaringsområdet. Hvis området er mindre, vil det redusere sannsynligheten for en positiv effekt av bevaringsområdet. Dette behøver ikke å bety at man ikke kan spore en effekt av tiltak, men sannsynligheten vil synke.

Basert på disse to analysene anbefales det at et bevaringsområde for torsk bør være på mellom 10 og 24 km2.

Anbefalte karakteristikker og størrelse på et bevaringsområde for torsk
  1. Inneha et habitat med variert topografi med både dype og grunne områder

  2. Ha representative kysthabitater som tareskog og skjellsandbanker.

  3. Området bør både kunne dekke oppvekstområder for juvenil og ung torsk og områder for større og eldre torsk.

  4. Et gyteområde bør helst ligge inne i bevaringsområdet eller i nær tilknytning.

  5. Anbefalt størrelse bør være mellom 10-24 km2 der minste bredde bør være minst 3,2 kilometer.

3.6.3 Leppefisk

Seks ulike arter leppefisk finnes naturlig i Norge: berggylt, grønngylt, bergnebb, grasgylt, rødnebb/blåstål og brungylt. Leppefisk er kommersielt viktige arter som benyttes som rensefisk i lakseoppdrett og er tallrike nord til Trondheimsfjorden (Halvorsen 2017, Rueness mfl. 2019). Berggylt er den arten som er høyest verdsatt som rensefisk med en verdi per individ på rundt 30 kr, som er omtrent det dobbelte av prisen for de andre artene. Grønngylt og bergnebb er mest tallrike og utgjør rundt 90 % av fangstene nasjonalt. Rødnebb/blåstål og grasgylt brukes sjeldent som rensefisk, mens brungylt lever dypere og fanges ikke i dette fiskeriet. Leppefisk spiller en viktig rolle i kystøkosystemet og føden består av små krepsdyr, snegler og skjell, mens flere av de mindre artene er viktige byttedyr for større fisk, sel og sjøfugl (Halvorsen mfl. 2017). Leppefiskene er territoriehevdende og har en sårbar reproduksjon hvor flere av artene har yngelpleie (berggylt, grønngylt og rødnebb/blåstål). Genetiske studier viser at bestandene av berggylt og grønngylt sør og nord for Jæren er svært ulike, noe som kan forklares med bentiske egg og at pelagisk spredning er begrenset til larvestadiet (Faust mfl. 2018; Seljestad 2019). Bergnebb gyter fritt og har til dels pelagiske egg og har også en svakere genetisk differensiering (Jansson mfl. 2017).

Fisket etter leppefisk foregår med teiner og ruser satt på grunt vann (< 7 m, Halvorsen mfl. 2016). Av reguleringer er det innført artsspesifikke minstemål, gytetidsfredning, begrensinger på antall redskap, samt individuelle kvoter til fiskere med deltageradgang. Det er også innført regionale kvoter, og for områdene nord for 62o N er den satt til 4 millioner individer årlig. Havforskningsinstituttet har gitt råd om økning i minstemål og innføring av maksimalmål for enkelte av artene. Berggylt er den arten som man anser er mest sårbar for høy fiskedødelighet; den kjønnsmodnes relativt sent, er lang-livet og skifter kjønn fra hunn til hann mellom 32-40 cm, og minstemålet er dårlig tilpasset størrelsen ved kjønnsmodning (Tabell 2).

Tabell 2: Livshistorietrekk og minstemål for leppefisk som fanges i kommersielt fiske i Norge.


Habitatklassifisering

Grunnet høy stedbundenhet vil selv små marine bevaringsområder kunne være effektive for leppefisk, og positive effekter av vern er dokumentert på Skagerrak-kysten og Vestlandet (Halvorsen mfl. 2016, 2017). I dette prosjektet har vi valgt å fokusere på berggylt, siden den har den mest sårbare livshistorien, er høyt skattet i fiskeriet og samtidig er den eneste av leppefiskartene hvor det eksisterer publiserte estimater på størrelse av hjemmeområde. Merkestudier på grønngylt og bergnebb tyder på at de har tilsvarende eller mindre horisontal bevegelse (Hilldén 1981, Sayer 1999, Halvorsen mfl. 2016), og vil derfor ha lignende behov til horisontal utbredelse av verneområde som berggylt. Disse tre artene har også relativt stort overlapp av habitater (Skiftesvik mfl. 2014), så områder som verner gode habitater for berggylt vil i stor grad også beskytte grønngylt og bergnebb.

Havforskningsinstituttet bruker fangstdata fra referansefiskere til å undersøke hvordan forekomsten av leppefisk endres i tid og rom i ulike landsdeler. Det har blitt utarbeidet en statistisk modell som kan benyttes for å se hvordan romlige miljøparametere påvirker fangstraten. Bølgehøyde (eksponering) og dyp kan forklare en stor del av fangstratene for berggylt og kan derfor også brukes som en indikator for habitat (Halvorsen mfl. 2020).

Ved fiske etter leppefisk benytter referansefiskerne to standardteiner med påmontert datalogger som registrerer dyp og temperatur hvert 15 minutt. Teinene inngår som en vanlig teine i fiskeriet og det rapporteres GPS-posisjon for hver teine for hvert trekk. Den geografiske fordelingen av referansefiskerne som leverte data i 2019 er gitt i figur 20. Det var relativt høye fangster av berggylt i Midt-Norge (Figur 20), og snitt-størrelsen er også høyere enn i region Sør og Vest (Figur 21). Fangstratene synker med økende vanndybde og øker med bølgeeksponering (Figur 22). Basert på beregnede verdier laget vi tre habitatkategorier for berggylt som kan brukes i habitatklassifisering i forbindelse med planlegging av marine bevaringsområder på Hitra og Frøya (Tabell 3).

Figur 20. Venstre; Fangst per enhet innsats (CPUE) med 95 % konfidensintervall for de tre artene i de tre regionene i 2019, estimert ved GLMM. Høyre: Fordelingen av de 16 referansefiskerne i 2019.

Figur 21. Boksplott som viser lengdefordelinger for de ulike artene i 2019 i de tre regionene. Stiplet svart linje indikerer nåværende minstemål, røde linjer marker anbefalte maksimalmål (Berggylte: 28 cm, Bergnebb; 14 cm; Grønngylte: 17 cm) og anbefalt endring i minstemål for berggylte (fra 14 til 22 cm).

 

Figur 22. Korrelasjoner mellom estimert fangstrate av berggylt (antall) og bølgeeksponering (øvre diagram) og fangstdyp (nedre diagram). Basert på disse kurvene har vi klassifisert optimalt, medium og sub-optimalt habitat.

Tabell 3. Tabell for egnet habitat for berggylt. Et optimalt habitat er et område med mer enn 1 meter gjennomsnittlig bølgehøyde og mindre enn 5 meter vanndyp (grønt). Medium habitat er gult og sub-optimalt er rødt.


Ved å kombinere bølgehøyde (eksponering) og dyp kan man lage et habitatkart for berggylt med 3 kategorier (optimalt, medium optimalt og sub-optimalt).

Home range / hjemmeområde

Leppefisk er som nevnt svært stedbundne. Akustisk telemetri er en velegnet metode for å studere bevegelser. Grønngylt og bergnebb er små av størrelse, noe som vanskeliggjør studier med de tilgjengelige merkemetodene. I Nord-Spania er det benyttet akustisk telemetri på 25 individer av berggylt hvor hjemmeområde ble estimert til 0.091 km2 (Villegas-Rios mfl. 2013). Det legges til grunn at disse funnene er overførbare til berggylt i Norge. Gitt et sirkulært hjemmeområde på 0,1 km2 (diameter på 0,36 km), så vil et dobbelt så stort (lineært) område som hjemmeområdet ha en diameter på 0,72 kilometer. Dette vil da utgjøre et areal på 0,4 km2. Et bevaringsområde for berggylt anbefales derfor å være på minst 0,4 km2 med optimalt habitat. For medium optimalt habitat bør området være 0,8 km2. Et bevaringsområde kan derfor bestå av en kombinasjon av optimalt og medium optimalt habitat. For eksempel vil minimum anbefalt størrelse der det er 50 % optimalt og 50 % medium optimalt være 0,6 km2. Det er en fordel om dette er et større sammenhengende område med optimalt og medium optimalt habitat og at minst 50 % av området har optimalt habitat.

Anbefalt karakteristikk og størrelse på et bevaringsområde for berggylt (leppefisk)
  1. Berggylt brukes som utgangspunkt for design av bevaringsområder for leppefisk. Dette medfører at også andre arter leppefisk med overlappende habitat får beskyttelse.

  2. Minimum 0,4 km2 av optimalt habitat. Medium optimalt habitat bør være dobbelt så stort som optimalt habitat, der optimalt habitat utgjør minst 0,2 km2

  3. Bevaringsområde for berggylt og andre leppefisk kan integreres i et større bevaringsområde for flere arter. Da vil maksimum anbefalt størrelse være mindre enn for torsk og derfor ikke være begrensende for total størrelse.

  4. Siden berggylt kan respondere positivt i relativt små bevaringsområder kan det også være en mulighet å etablere et nettverk av flere mindre bevaringsområder for berggylt. For at dette skal kunne fungere i relasjon til fiskeriet, anbefales det maksimal størrelse på 1 km2 optimalt habitat.

3.6.4 Sjøkreps (Nephrops norvegicus)

Sjøkreps finnes langs hele norskekysten til Troms. Den lever på 20-800 meters dyp, på bløtbunn av sandblandet mudder eller leire hvor den graver huler 20-30 centimeter ned i sedimentet. Voksne sjøkreps er stedbundne. Sjøkrepsen tilbringer mye tid i hulene sine. Dette gjelder spesielt hunner med rogn og unge individer. I hvor stor grad de frittflytende larvene spres mellom bestandene vet man lite om. Hunnen gyter om sommeren og bærer de 1000-5000 eggene (avhengig av sjøkrepsens størrelse) under halen i 8-9 måneder. Larvene driver opp til 60 dager i sjøen før de bunnslår.

Det er ingen kvoter på sjøkreps i Norge, men et minstemål for fangst på 13 centimeter totallengde. Tidligere ble sjøkreps i Norge hovedsaklig fanget som bifangst i reketrål, men de senere årene har det vært en betydelig vekst i bruk av sjøkrepsteiner både i yrkes- og fritidsfisket. Fiske med teiner etter sjøkreps kan anses som en mer skånsom fiskemetode enn trål. På Hitra og Frøya fiskes i hovedsak sjøkreps på Frohavet og i Fillfjorden. Frohavet er en av de største fiskefeltene for sjøkreps i Norge. Det er forbud mot trålfiske i området og det er et betydelig fiske på sjøkreps med teiner. Sjøkrepsen fiskes i hovedsak på 150-300 meters dyp i dette området. I samarbeid med fiskere har hovedområdet for fiske av sjøkreps blitt kartlagt i prosjektet (Figur 9).

I 2019 iverksatte Havforskningsinstituttet, i samarbeid med Guri Kunna VGS, et prøvefiske etter sjøkreps i Frohavet. All fangst ble målt og kjønnsbestemt. Det ble også gjennomført individmerking for å få mer kunnskap om overlevelse og vandring. Det har kommet inn rundt 35 gjenfangster. Forsøksfisket ble utført for å kunne følge opp eventuelle bevaringsområder for sjøkreps.

I Figur 11 vises fangstraten (gjennomsnittlig antall sjøkreps per teine) per lenk under forsøksfisket utført med Fru Inger i 2019 og 2020. Hannene dominerer i fangstene og det er svært sjeldent innslag av rognbærende hunner. Hannene har også en betydelig høyere gjennomsnittsstørrelse enn hunnene.

Home range / hjemmeområde

Som nevnt er voksne sjøkreps stedbundne og nært knyttet til sine huler. Derfor trenger ikke nødvendigvis bevaringsområder å være så store for å kunne beskytte et gitt antall sjøkreps. Et bevaringsområde bør derimot være av en slik størrelse at ikke midtområdet er påvirket av fisket på grensene. Det bør også være såpass stort at det er mulig å gjennomføre forskningsoppfølging. Planlagt forskningsoppfølging innebærer å kunne ha rundt 120 teiner innenfor bevaringsområdet under forsøksfisket. Det er tenkt 20 teiner per lenk og da i alt 6 lenker for både bevaringsområde og kontrollområde. Avstand mellom hver teine på lenk vil være 20-25 meter, slik at hver lenk er rundt 500 meter. Totalt vil det da bli satt 3 000 meter med sjøkrepsteiner. Lenkene bør minst ha en avstand på 500 meter fra hverandre. Det bør også være en viss avstand fra grensen til første lenk innenfor bevaringsområdet for å unngå potensiell konflikt med fiskeredskap satt av fiskere rett på utsiden av grensen. For å kunne utføre et godt forsøksoppsett bør bevaringsområdet være på minst 3 km2 (Figur 23).

Figur 23. Illustrasjon av bevaringsområde (grense grønn) med forsøksoppsett av 6 lenker (sorte linjer) med 20 teiner (500 meter) på hver. Stiplede linjer viser avstander der det er minimum 300 meter fra grensen og inn til første lenk og 500 meter mellom hver lenk.

Anbefalt karakteristikk og størrelse på et bevaringsområde for sjøkreps
  1. Bevaringsområdet må ligge i kartlagt område for sjøkreps og det må være representativt for områdene på Frohavet der det fiskes sjøkreps.

  2. Området bør ha et dyp på mellom 130 og 250 meter.

  3. Det bør være tilgjengelig for forsøksfiske med skolefartøyet Fru Inger med utgangspunkt på Sistranda.

  4. For å få et effektivt forsøksfiske bør det være plass til 6 lenker av 500 meter samtidig innenfor bevaringsområdet. Området bør derfor være på minst 3 km2.

3.6.5 Kamskjell (Pecten maximus)

Stort kamskjell (Pecten maximus) er utbredt langs norskekysten helt nord til Vestfjorden. Skjellet finnes fra like under tidevannssonen og ned til mer enn 100 meters dyp. I norske farvann er de største forekomstene registrert på dyp mellom 5 og 30 meter i Trøndelagsfylkene og Nordland.

Kamskjellet finnes helst i strømrike områder og på bunn av ulik sammensetning; fra fin til grov grus, med eller uten innblanding av mudder og organisk materiale. Kamskjellet ligger vanligvis i en fordypning i bunnsedimentet med den flate siden vendt opp, i flukt med bunnoverflaten og dekket av sediment.

Stort kamskjell i Norge er vurdert som en livskraftig bestand og loggbøker fra fangstselskapene indikerer et bærekraftig fiske. Bestanden er karakterisert som livskraftig (LC) i norsk rødliste for arter.

Områdene rundt Hitra og Frøya er de viktigste høstingsområdene i Norge og bidrar betydelig til lokal fiskeriaktivitet og handel. Disse områdene er derfor svært interessant å følge opp for å få en bedre forståelse av hvordan høsting påvirker bestanden og om bevaringsområder kan være et nyttig verktøy i forvaltningen av kamskjell.

I Norge fangstes stort kamskjell ved dykking fra merkeregistrerte spesialfartøy. Kjerneområdet er i Sør-Trøndelag (Hitra og Frøya) og totalfangsten har siden 2000 variert fra 500 til 900 tonn rundvekt per år. Havforskningsinstituttet har i enkelte år siden midt på 1990-tallet undersøkt alders-sammensetning hos stort kamskjell fra bestander i området det høstes fra. Resultatene som representerer en periode på mer enn 20 år tyder på at reproduksjonsevne og rekruttering i bestanden er god. Beregnet årsmiddel for daglig fangsteffektivitet hos dykkerne i perioden 2003-2011 var 190-290 kg kamskjell per dag per dykker, mens gjennomsnittet for perioden var over 200 kg kamskjell per dag per dykker (Strand mfl. 2016).

Figur 24. Verdisetting av større forekomster av stort kamskjell i området Hitra og Frøya kartlagt gjennom Nasjonalt program for kartlegging av marine naturtyper. Avgrensingen er på 0-50 meters dyp

Figur 24 viser avgrensing av områdene som ble vurdert å ha de høyeste tetthetene av stort kamskjell i områdene rundt Hitra og Frøya kartlagt gjennom nasjonalt program for kartlegging av marine naturtyper. Forekomstene av stort kamskjell er gjerne flekkvis og tettheten vil derfor i stor grad variere innen de avgrensede områdene. Det vil også være områder utenfor de avmerkede arealene som har kamskjell, men med lavere tetthet.

Ved en tidligere utredning av en forvaltningsmodell for kamskjell (Strand mfl. 2006) ble det blant annet foreslått at det på sikt burde vurderes stengte områder. Det ble også diskutert en rotasjonsordning, dette med bakgrunn i at eksisterende høsting foregår basert på rotasjon mellom områder som har høye nok tettheter for høsting. Studier av effekten av marine bevaringsområder hvor høsting stenges over lang tid vil kunne gi kunnskap om hvordan rotasjonsområder kan fungere i forvaltningsøyemed.

Hjemmeområde og størrelse på bevaringsområde

Generelt er stort kamskjell en stedbunden art og som voksen beveger den seg i liten grad ut over fluktrespons fra ulike predatorer. Det har vært spekulert i om stort kamskjell beveger seg fra dypere til grunnere områder da man etter høsting ser at området fylles opp igjen av skjell, til dels ganske raskt. Det finnes ingen studier eller observasjoner som kan bekrefte disse spekulasjonene. En alternativ forklaring er at det er mye skjell i området som blir oversett under dykkingen og som beveger seg ut i de høstede områdene eller at små skjell vokser og kommer inn i størrelseskategoriene som kan høstes. Kunnskapen rundt repopulasjon av høstede områder er mangelfull og det vil være ønskelig å øke kunnskapen rundt dette temaet.

Det vil derfor være fordelaktig at bevaringsområdet inneholder et sammenhengende kamskjellhabitat på både dype og grunnere områder. For å kunne gjennomføre kartlegging av effekter på kamskjell i bevaringsområder bør områdene være i skala 1-5 km2.

Kamskjellområder bør kunne integreres i større områder der også leppefisk og torsk inngår. Videotransekter kan i noen grad brukes for å få en indikator på utviklingen i tetthet. Men detaljert oppfølging av bestandsutvikling på kamskjell vil være mer ressurskrevende, der det vil være behov for dykking for å få en helhetlig oversikt over tetthet, størrelses- og alderssammensetning.

Anbefalt karakteristikk og størrelse på et bevaringsområde for kamskjell
  1. Optimalt habitat er kartlagte/modellerte kamskjellhabitat på Hitra og Frøya. Medium habitat er områder med kartlagt skjellsand, men uten registrerte «større kamskjellforekomster»

  2. Hjemmeområdet til kamskjell forventes å være relativt lite. Men for å unngå for stor påvirkning fra omkringliggende høsting og for å kunne gjennomføre effektiv forskning anbefales det at områdene er på minst 1-5 km2

  3. Bevaringsområde for kamskjell kan integreres i et større bevaringsområde for flere arter. Da vil maksimum anbefalt størrelse være mindre enn for torsk og derfor ikke være begrensende for total størrelse, såfremt det er god representasjon av kamskjellhabitat i området.

3.6.6 Helhetlige faglige råd om etablering av bevaringsområder på Hitra og Frøya

Både torsk, leppefisk og kamskjell opptrer i typiske kysthabitater på Hitra og Frøya. Det kan derfor være nyttig å se disse målartene i sammenheng og se om det vil være mulig å etablere bevaringsområder som inkluderer alle disse målartene innenfor samme område. Det er torsken som krever mest plass (større hjemmeområde enn de andre målartene) og vil derfor være retningsgivende for anbefalinger om minimum størrelse på bevaringsområdet. Dette forutsetter samtidig at de faglige anbefalingene for leppefisk og kamskjell blir innfridd innenfor det gitte området.

Hvordan de ulike målartene responderer på vern kan variere fra sted til sted. Erfaringer fra fredningsområder for hummer i Skagerrak viser at hvert fredningsområde har utviklet seg forskjellig. Det har blitt flere og større hummer i alle områdene og noen områder har fått betydelig høyere tetthet enn andre områder. For å få et godt vitenskapelig grunnlag til å vurdere effekten av bevaringsområder vil det derfor være en styrke å ha replikater. Det anbefales derfor at det etableres minst 3 bevaringsområder for de typiske kysthabitatene som inneholder målartene torsk, leppefisk og kamskjell.

For å forstå effektene av bevaringsområdene er det viktig å ha kontroll på fiskedødeligheten. Det bør derfor forutsettes at det ikke er lov å fangste på eller benytte redskap som kan fange målartene i bevaringsområdet. Målartene lever i et samspill med andre arter i økosystemet og det er også svært nyttig å få kunnskap om hvordan andre arter og det helhetlige økosystemet responderer på vern. Det anbefales derfor at bevaringsområder der både torsk, leppefisk og kamskjell er målart etableres som null-fiskeområder der ingen høsting er tillatt.

Sjøkreps lever i et helt annet habitat og på mye større vanndyp enn de andre målartene. Det vil derfor være vanskelig å integrere sjøkrepshabitater i samme område som de andre målartene. Det er også et større behov for å utvikle en overvåkningsmetodikk for å følge opp et bevaringsområde for sjøkreps. Det anbefales derfor at ett enkelt område etableres, slik at man kan høste erfaringer (både metodiske og resultatmessige) fra dette området før man eventuelt vurderer andre områder. I et bevaringsområde for sjøkreps kan det vurderes om det skal benyttes samme type regulering som for hummer, der det er forbud mot faststående redskap, men at stang- og snørefiske tillates.

3.6.7 Bevaringsområder og tilknytning til annen menneskelig aktivitet

Menneskelig påvirkning som havner og akvakulturanlegg vil påvirke de omkringliggende økosystemene. Oppdrettsanlegg påvirker atferd, diett og energitilgang hos bl.a. torsk og sei ved at villfisk og andre organismer trekkes til anlegget, og ved at spillfôr er tilgjengelig for disse. Endret diett og energitilgang kan påvirke reproduksjon og vandringsmønstre hos torsk. De eventuelle bestandsmessige følger av dette er imidlertid så langt ukjente, men slike studier pågår. Oppdrettsanlegg kan påvirke vill marin fisk ved smittespredning og påvirke oppveksthabitater nær anleggene, men det mangler konkret dokumentasjon på forekomst og omfang av slike mulige effekter (Karlsen og van der Meeren, 2013). Verdens naturvernunion (IUCN) anbefaler at industribasert oppdrett ikke bør forekomme innenfor marine bevaringsområder (Day mfl. 2019). Som en føre-var tilnærming anbefales det at større havner, akvakulturanlegg og annen infrastruktur ikke ligger innenfor bevaringsområder. Det bør undersøkes hvordan slike tekniske infrastrukturer kan påvirke bevaringsområder.

3.6.8 Reguleringer av marine bevaringsområder

Det er Fiskeridirektoratet og Nærings- og Fiskeridepartementet som fastsetter den endelige forskrift for bevaringsområdene gjennom Havressursloven (Lov om forvaltning av viltlevende marine ressurser). Anbefalinger om reguleringer i denne rapporten er knyttet opp mot forskning; hvilke reguleringer trengs for å kunne svare på forskningsspørsmålene.

Bevaringsområdene skal gi økt kunnskap om bruken av slike områder som forvaltningsverktøy langs norskekysten. Forskningen må ha høy kvalitet og skal vanligvis bli fagfellevurdert. Dette forutsetter at restriksjonsnivået kan være høyere enn det som normalt sett forvaltningen hadde valgt som hensiktsmessig.

Det er nødvendig at det ikke foregår fiske på den gitte målarten innenfor bevaringsområdet. Bevaringsområder med lavere restriksjonsnivå har normalt sett lavere effekt enn helt beskyttede områder (Sciberras mfl. 2013, Fernandez-Chacon mfl. 2015, Giakoumi mfl. 2017). Hvis det forekommer noe fiske på målarten innenfor bevaringsområdet vil det vanskeliggjøre vurderingen av hvor stort dette uttaket er og hvordan dette påvirker bestanden i bevaringsområdet. Selv et fiske der målarten blir satt ut igjen kan ha en effekt på enkeltindivider og bestanden. Individet kan bli skadet, endre adferd eller dø.

For et område som er satt av til å beskytte kamskjell, kan det muligens være nok å ha et forbud mot høsting av kamskjell. Det hører til sjeldenhetene av kamskjell blir fangstet i andre fiskerier. Torsk og leppefisk kan derimot bli fanget i de fleste fiskeredskaper. Selv krabbeteiner kan oppleve bifangst av torsk og leppefisk.

Det er viktig å poengtere at hver art ikke lever isolerte liv, men er en del av et økosystem der de ulike arter påvirker hverandre. Endring hos en art kan påvirke en annen art med tanke på tetthet, størrelse osv. Derfor kan det være grunn til å forvente at høsting av andre arter enn målarten også kan påvirke målarten. Et eksempel kan være at veksten i kråkeboller er knyttet til fravær av fisk (for eksempel steinbit) som beiter på disse (Norderhaug mfl. 2020).

I et bevaringsområde der torsk og leppefisk er målarter bør det ikke forekomme fiske eller annen type høsting, for å få godt forankrede vitenskapelige resultater. Da kan det også være mulig å forstå bedre hvordan økosystemet responderer på vern. I så henseende er det også viktig å samle inn data om flere deler av økosystemet og ikke bare om målartene.

Torsk, leppefisk og kamskjell opptrer til en viss grad i de samme områdene eller i habitater med nær tilknytning til hverandre. Derfor bør det være et mål å etablere bevaringsområder hvor alle disse tre artene opptrer. For å sikre best mulig data anbefales det derfor at det ikke skal forekomme høsting (fiske og sanking) i disse områdene.

Sjøkreps fiskes i hovedsak på 150-250 meters dyp. Det er lite annet fiske med faste redskap som foregår i det meste av sjøkrepsområdet. Breiflabbfiske med garn er nok det som er mest nærliggende. Men basert på samtaler med fiskere så settes breiflabbgarn vanligvis nærmere kanter/skråninger og ikke langt ute på flatene. Det er dokumentert at sjøkreps inngår i dietten til breiflabb (Crozier 2006). Slik sett kan fiske av breiflabb indirekte påvirke sjøkrepsbestanden. Hvor mye dette utgjør rundt Hitra og Frøya er uvisst. Når man skal identifisere potensielle bevaringsområder for sjøkreps bør man prøve å finne områder som er minst mulig i konflikt med blant annet breiflabbfisket. Det er ikke grunn til å forvente at stang- og snørefiske påvirker sjøkrepsbestanden. I et bevaringsområde for sjøkreps vil det også være behov for oppfølging gjennom året. Hvis det står annen faststående redskap i området vil det gjøre det vanskeligere å gjennomføre et effektivt forsøksfiske. Oppsyn kan også være krevende i et fiskeri på dypt vann hvis noen faststående redskaper er tillatt. For å få pålitelige data er det viktig at det er god kontroll og at regelverket følges. Det anbefales derfor at det innføres forbud mot faststående redskap i et bevaringsområde for sjøkreps.

3.7 Forskningsoppfølging av marine bevaringsområder

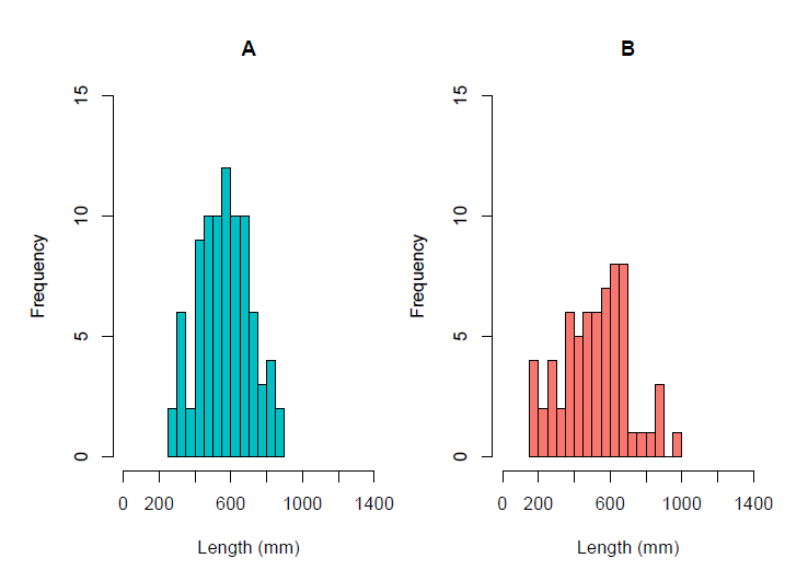
Det er viktig at forskningsmetodene har en lavest mulig sannsynlighet for dødelighet på artene som blir studert. Det bør derfor unngås å bruke redskap som garn og lignende når målartene i områdene skal følges opp med forskning. En undersøkelse gjennomført i prosjektet har sammenlignet datainnsamling ved bruk av havteiner og agnede stereo-video rigger (Bull 2019). Studien viser at disse to ulike metodene for datainnsamling gir solide data for torsk, men at det var noe forskjell i gjennomsnittsstørrelsen. I havteiner var snittstørrelsen 569 ± 27 mm og i stereo-video rigger var snittstørrelsen 516 ± 20 mm. Stereo-video riggene registrerte derimot flere arter (19) enn havteiner (15) samtidig som stereo-video riggene også registrerte ulike arter oftere enn havteiner. Stereo-video rigger vil derfor fange opp endringer i fiskesamfunnet bedre enn havteiner, samtidig som de er like effektive til å fange opp endringer i torskebestanden. Styrken til havteinene er at man får en sikrere artsbestemmelse av all fangst. Det er også behov for å bruke havteiner hvis det skal gjennomføres merke-forsøk for å få bedre kunnskap om vandring og fiskedødelighet. Det anbefales derfor at begge metoder benyttes i fremtidige undersøkelser for å følge opp torsk og andre fiskearter i bevaringsområdene.

Stereo-video rigger har også potensial til å fange opp leppefisk. Inntil nå har undersøkelser med stereo-video blitt benyttet i mars-mai. Da er leppefiskene mindre aktive og ikke så lett å fange opp. Hvis leppefisk skal kunne bli fanget opp i torskeundersøkelsene må disse gjennomføres senere på året når vannet har blitt varmere (for eksempel juni). Men det kan resultere i mindre observasjoner av torsk. Det bør derfor gjøres egne undersøkelser på leppefisk i løpet av sommermånedene med både teiner og video.

I 2019 ble det utført et forskningsfiske på sjøkreps i samarbeid med Guri Kunna VGS. Det ble fisket med standardoppsettet til skolen, der hver lenk har 50 teiner. Dette er arbeidskrevende å håndtere når all sjøkreps skal registreres og merkes. Derfor måtte det tas prøver fra et utvalg av teinene. Dette medfører en statistisk utfordring, da en teine i lenk ikke kan anses som statistisk uavhengig av de andre teinene i samme lenk. Dette medfører at antall stasjoner blir lavt. Ved fremtidige undersøkelser bør derfor hver lenk ha færre teiner (20-25) med større avstand mellom hver teine for å gjøre de mer uavhengige av hverandre. Et slikt forsøksoppsett ble gjennomført i 2020. Det har blitt registrert over 35 gjenfangster allerede kort tid etter at merkingen ble gjennomført (oktober-november 2019). Dette indikerer at merking av sjøkreps kan være en god metode for å få bedre kunnskap om vekst, vandring, dødelighet og populasjonsstørrelse.

Det vil være et mål å innhente informasjon om tetthet av kamskjell ved bruk av video. Hvis det blir aktuelt med egne bevaringsområder for kamskjell bør det i dialog med næringen utarbeides en plan om oppfølging av disse, der dykking tas i bruk for å få høy datakvalitet på kamskjellbestanden.

For fiskebestander har det allerede blitt samlet inn data i 3 år ved bruk av agnede stereo-video rigger (2018-2020) og havteiner (2019 og 2020). Store områder rundt Hitra og Frøya har blitt dekket. Disse dataene er å anse som før-data for tilstanden før eventuelle bevaringsområder er etablert. Når det kommer signaler om hvor bevaringsområder skal etableres, anbefales det å undersøke disse områdene for å sikre solide før-data før etablering. I tillegg anbefales det å velge ut kontrollområder der det gjennomføres samme type datainnsamling. Det anbefales derfor en såkalt BACI-design (Before-After-Control-Impact, før-etter-kontroll-behandling) der data samles inn både i kontrollområder og bevaringsområder før og etter at bevaringsområder blir etablert.

Det bør være et mål å følge opp potensielle økosystemendringer av marine bevaringsområder. Målartene vil være hovedfokus for studiene, men det kan være grunn til å forvente effekter både på andre kommersielle og ikke-kommersielle arter. Stereo-video rigger og havteiner registrerer en rekke andre arter enn målartene og er derfor egnet til denne datainnsamlingen. Videre har det gjennom prosjektet blitt testet ut prøvetagning av miljø-DNA som metode for å observere endringer i økosystemet. Pilotundersøkelsene viser at man med miljø-DNA kan fange opp et bredt spekter av både kommersielle og ikke-kommersielle arter. Det gjenstår en del metodeutvikling for analyse av prøver, men metodikken for prøvetakning er etablert og kan gjennomføres før eventuelle bevaringsområder blir etablert for å sikre før-data.

3.8 Status for etablering av bevaringsområder

Det var planlagt å arrangere en rekke møter på Hitra og Frøya i 2020 for å diskutere mulige bevaringsområder med ulike interessegrupper. Dette ble vanskelig å gjennomføre grunnet pandemien. Det har gjennom prosessen blitt diskutert ulike forslag om etablering av bevaringsområder for torsk, leppefisk og kamskjell. Et konkret forslag for et bevaringsområde for sjøkreps har blitt diskutert med Hitra og Frøya Fiskarlag.

Prosjektet har kun hatt et mandat til å sondere mulighetene for å etablere bevaringsområder. Datagrunnlaget om fiske og naturverdier er innhentet og sammenstilt. Det er også utarbeidet faglige anbefalinger for etablering av bevaringsområder på Hitra og Frøya.

Gjennom folkemøter, møter med Hitra og Frøya Fiskarlag og akvakulturnæringen har ulike alternativer blitt diskutert. Konkrete områder har også blitt luftet og diskutert, uten at det har blitt enighet om noen av de ulike forslagene. Det var planlagt å ha nye møter vom aktuelle områder i løpet av 2020, men disse har ikke vært mulig å gjennomføre. Vi vil derfor legge frem aktuelle områder som vi mener møter faglige råd for etablering av bevaringsområder.

Det har vært flere møter med Hitra og Frøya Fiskarlag og inntrykket er at fiskerne har stor interesse av prosjektet. Lokalkunnskap har blitt delt. Det har også vært et inntrykk at fiskerne gjerne vil bidra til å få etablert bevaringsområder. Men når konkrete forslag kommer opp kommer det frem at enkelte fiskere vil bli berørt av de foreslåtte områdene. Dette er forventet og noe av formålet med prosjektet; å undersøke hvordan arter og økosystem reagerer på fravær av fiske. Men for representanter fra fiskerinæringen er det krevende å støtte konkrete forslag, da dette alltid vil gå utover noen i næringen. Dette til tross for at prosjektet har forsøkt å identifisere områder som har minst mulig brukerkonflikt og samtidig tilfredsstiller biologiske råd med tanke på naturverdier og design. Så til tross for en generell interesse for å etablere bevaringsområder har det til nå ikke vært kommet frem et felles forslag med fiskerlaget. Siden det var umulig å gjennomføre flere møter i 2020 vil denne rapporten derfor kun legge frem ulike alternativer som har blitt diskutert. Disse eksemplene kan brukes som utgangspunkt for en eventuell videre diskusjon.

3.8.1 Torsk, leppefisk og kamskjell

Det har ikke vært diskutert valg av egne områder for leppefisk og kamskjell. Av praktiske årsaker har disse blitt sett på som en integrert del av utformingen av bevaringsområder for torsk. Det er torsk som avgjør størrelsen på bevaringsområdet og man kan utforme dette slik at også habitater for leppefisk og kamskjell blir inkludert.

Det er tre aktuelle områder som har blitt kommet frem under sonderingene.

Froan naturreservat. I møte med akvakulturnæringen ble det foreslått å etablere et bevaringsområde i Froan naturreservat. Argumentet for dette var at det der er liten konflikt med akvakultur og at det har vært lite forskning på de marine ressursene av naturreservatet. Et bevaringsområde vil styrke kunnskapen om de marine livet i Froan naturreservat. Dette forslaget har ikke blitt diskutert med Fiskarlaget og det er heller ikke tegnet inn et konkret forslag. Fordeler ved dette forslaget er at området allerede har et betydelig vern gjennom Naturmangfoldloven (Froan naturreservat og landskapsvernområde) og er følgelig i liten konflikt med akvakulturindustrien. Det er også gode habitater for både leppefisk og kamskjell i området. Ulempene ved forslaget er at det ikke er noen verifiserte gyteområder med lokal retensjon for torsk innenfor området. Kartlegging i 2020 viste også noe lave tettheter av torsk. Det ble derimot observert en del pigghå (se kart i vedlegg). Pigghå står på den norske rødlisten som kritisk truet. Men i utgangspunktet er ikke pigghå en av målartene i prosjektet. Froan er et område det er logistisk krevende og kostnadsdrivende å drive forskningsoppfølging i. Området er værutsatt og det er relativt stor avstand til større havner og Guri Kunna VGS på Sistranda.

 

Figur 25. Berggylthabitat, gytefelt torsk og kamskjellhabitat i Froan.

 

Sistranda-Uttian-Inntian (Frøya). Forslaget om dette bevaringsområdet har blitt diskutert både med Fiskarlaget og Guri Kunna VGS. Det skisserte forslaget har et areal på 14,5 km2 (Figur 26). Området dekker et gytefelt for torsk der det også er forventet (modellert) en del lokal retensjon (egg og larver blir igjen i området). Området er svært gunstig for Guri Kunna VGS, da det er lett tilgjengelig for å kunne integreres i undervisningen og kan dermed også gi mer kontinuerlig forskningsoppfølging. Det er begrenset med gunstige berggylthabitat i området, men noe mer middels gunstige områder finnes. Lokalkunnskap og testfiske med leppefiskteiner indikerer at det er en god bestand av blant annet bergnebb i området. Det er ikke kartlagte kamskjellområder innenfor området, men vi har fått informasjon om at det er flere plasser i området med god tetthet av kamskjell. Området dekker både grunne og dype områder (0-20 meter: 4,9km2 (34%), 20-50 meter: 5.5 km2 (38%), 50-100 meter: 3 km2 (21 %) og dypere enn 100 meter: 0,2 km2 (1%). Det ligger akvakulturanlegg for laks like utenfor området. Det ligger også et akvakulturanlegg inne i området. Det ligger også et anlegg for oppdrett av tare inne i området, og blir vurdert til å ha mindre effekt på naturmiljøet enn oppdrett av fisk (Visch mfl. 2020). Ifølge brukerundersøkelsen forekommer det noe fiske i området (se figur 27). 0,2 % av turistfisket, 0,4 % av fritidsfisket og 1,4 % av yrkesfisket på Hitra og Frøya vil bli berørt av et slikt bevaringsområde.

Figur 26. Forslag til mulig bevaringsområde for torsk, kamskjell og leppefisk i området Sistranda-Uttian-Inntian (grense sort linje). A: Optimale berggylthabitat, B: Akvakulturlokaliteter (gult) og verifisert gytefelt torsk (rosa).

Figur 27. Intensitetskart av yrkesfiske i området Sistranda-Uttian-Inntian. Skala gitt til høyre der høyt tall viser høy fiskeriverdi og lavt tall lav fiskeriverdi.

Torsøya-Langøya (Hitra). Det grovt skisserte forslaget har et areal på 15,3 km2. Området har blitt forelagt og diskutert med Fiskarlaget. Området har et gytefelt for torsk som overlapper med gytefeltet i Strømfjorden, der det er forventet høy grad av retensjon av egg og larver. Området har større felt med optimalt og medium optimalt habitat for berggylt og det finnes større områder med kamskjellforekomster (Figur 29). Området dekker både grunne og dype områder (0-20 meter: 5,2 km2 (34%), 20-50 meter: 4.5 km2 (30%), 50-100 meter: 3,8 km2 (25 %) og dypere enn 100 meter: 1 km2 (7%). Ut fra brukerundersøkelsen er det ikke en viktig plass for fiskeriene, men noe fiske forekommer. 0,8 % av turistfisket, 0,2 % av fritidsfisket og 1,5 % av yrkesfisket på Hitra og Frøya vil bli berørt av bevaringsområdet (Figur 30).

Figur 28. Forslag til bevaringsområde Tosøya-Langøya (grenser sort linje). A: Optimale habitat for berggylt B: Verifiserte gyteområder for torsk (rosa) og akvakulturlokaliteter (gult). Akvakulturlokalitet midt i området skal ikke være aktivt.

Figur 29. Modellerte kamskjellforekomster i og rundt foreslått bevaringsområde Tosøya-Langøya (grenser sort linje).

Figur 30. Intensitetskart av yrkesfiske i og rundt foreslått bevaringsområde Tosøya-Langøya (grenser sort linje). Skala gitt til høyre der høyt tall viser høy fiskeriverdi og lavt tall lav fiskeriverdi.

3.8.2 Sjøkreps

Det har vært gjennomført flere møter med Hitra og Frøya Fiskarlag for å identifisere et potensielt område for sjøkreps. Et viktig element har vært at området har nærhet til Sistranda, slik at det kan gjennomføres et effektivt forsøksfiske med base på Guri Kunna VGS. Forsøksfiske etter sjøkreps, inkludert individmerking, har blitt gjennomført i 2019 og 2020. Det har vært god dialog med Hitra og Frøya Fiskarlag og som har uttrykt interesse for å få til dette.

Et kandidatområde var blitt pekt ut og tegnet inn i møte med representanter fra Fiskarlaget. Det kom senere frem at det burde gjøres en justering på området da det kom noe i konflikt med kanten i vest der det forekommer breiflabbfiske. Det skulle bli oversendt et nytt forslag. Men til slutt ble det gitt beskjed fra Fiskarlaget at de ikke kunne støtte forslaget. Etter dette har det ikke vært mulig å gjennomføre flere møter.

Figur 31. Grovt skissert forslag til bevaringsområde (sort linje) for sjøkreps på Frohavet. Rød grense indikerer fiskefeltet for sjøkreps,

Figur 32. Intensitetskart av yrkesfiske i området Sistranda-Uttian-Inntian. Fiske i og rundt området Tosøya-Langøya. Skala gitt til høyre der høyt tall viser høy fiskeriverdi og lavt tall lav fiskeriverdi.

3.8.3 Oppsummering, etablering av bevaringsområder

Gjennom prosjektet har det blitt samlet inn et godt datagrunnlag for å utforme og vurdere alternative bevaringsområder. Prosjektet har også jobbet med lokale interessenter og grupper for å få innspill om mulige områder for lokalisering av bevaringsområder. I sluttfasen ble arbeidet med utforming og utvelgelse av bevaringsområder vanskelig grunnet pandemien som hindret videre møter. Det er derfor ikke lagt frem noen omforente og endelige forslag til bevaringsområder i denne rapporten. Vi har derfor lagt frem forslag på ulike alternative bevaringsområder som har blitt diskutert gjennom prosjektperioden.

Det vil nå være opp til prosjektdeltakerne (spesielt kommunene og fylkeskommunen) å avgjøre om man ønsker å gå videre med prosjektet. I en eventuell ny fase av prosjektet bør det være et tydeligere mål (for eksempel antall bevaringsområder man ønsker å etablere) og at de faglige rådene for utforming av bevaringsområder ligger til grunn. Med dette mandatet kan prosjektgruppen gå i gang med nye sonderinger for å finne frem til konkrete forslag. Eventuelle forslag vil deretter bli overlevert til kommunene for videre behandling.

4 - Kilder

Bull, M. (2019). Comparing Baited Remote Underwater Video Systems with Fish Traps Along the Coast of Frøya and Hitra. Master’s thesis in Ocean resources, Department of Biology, Faculty of Natural Sciences, Norwegian University of Science and Technology.

Claudet, J., Osenberg, C. W., Bendetti-Cecchi, L., mfl. (2008). Marine reserves: Size and age do matter. Ecology letters 11(5), 481-489.

Crozier, W. W. (2006). Observations on food and feeding of the angler-fish, Lophim piscatorius L., in the northern Irish Sea. Journal of Fish Biology 27(5)655-665.

Day, J., Dudley, N., Hockings, M, mfl. (2019). Guidelines for applying the IUCN protected area management categories to marine protected areas. Second edition. Gland. Switzerland: IUCN – International Union for Conservation of Nature.

Faust, E., Halvorsen, K.T., Andersen, P., Knutsen, H. & André, C. (2018). Cleaner fish escape salmon farms and hybridize with local wrasse populations. Royal Society Open Science 5, 171752.

Fenberg, P. B., Caselle, J. E., mfl. (2012). The science of European marine reserves: Status, efficacy, and future needs. Marine Policy, 36(5), 1012-1021.

Fernandes-Chacon, A., Moland, E., Espeland, S., & Olsen, E. M. (2015), Demographic effects of full vs. Partial protection from harvesting: inference from an empirical before-after control. Journal of Applied Ecology, 52, 1206-1215.

Fiskeridirektoratet (2014). Ønsker at flere kommuner etablerer nye fredningsområder for hummer. https://www.fiskeridir.no/Fritidsfiske/Artar-med-saerlege-reglar/Hummarfiske/Fredings-og-bevaringsomraade/OEnsker-at-flere-kommuner-etablerer-nye-fredningsomraader-for-hummer

Giakoumi, S., Scianna, C., Plass-Johnson, mfl. (2017). Ecological effects of full and partial protection in the crowded Mediterranean Sea: a regional meta-analysis. Scientific Reports, 7:8940.

Green, A. L., Maypa, A. P., Almany, G. R. (2015). Larval dispersal and movement patterns of coral reef fishes, and implications for marine reserve network design. Biological Reviews 90(4), 1215-1247.

Halpern, B.S. (2003). The impact of marine reserves: Do reserves work and does reserve size matter? Ecological applications 13(sp1), 117-137.

Hamilton, S. L. og Caselle, J. E. (2015). Exploitation and recovery of a sea urchin predator has implications for the resilience of southern California kelp forets. Proceedings of the Royal Society for Biological Sciences, 22: 282(1799):20141817.

Halvorsen, K.T. (2017). Selective harvesting and life history variability of corkwing and goldsinny wrasse in Norway: Implications for management and conservation. PhD synthesis, Centre for Ecological and Evolutionary Synthesis, Department of Biosciences, Faculty of Mathematics and Natural Sciences, University of Oslo.

Halvorsen, K.T., Larsen, T., Sørdalen, T.K., Vøllestad, L.A., Knutsen, H. & Olsen, E.M. (2017). Impact of harvesting cleaner fish for salmonid aquaculture assessed from replicated coastal marine protected areas. Marine Biology Research, 13(4), 359-369.

Halvorsen, K.T., Sørdalen, T.K., Vøllestad, L.A., Skiftesvik, A.B., Espeland, S.H. & Olsen, E.M. (2016). Sex- and size-selective harvesting of corkwing wrasse ( Symphodus melops )—a cleaner fish used in salmonid aquaculture. ICES Journal of Marine Science, 73(3), 660-669.

Halvorsen KT, Sørdalen TK, Larsen T, Browman HI, Rafoss T, Albretsen J, Skiftesvik AB (2020). Mind the depth: The vertical dimension of a small-scale fishery shapes selection on species, size and sex in wrasses. Marine and Coastal Fisheries, 12: 404-422. https://doi.org/10.1002/mcf2.10131

Hilldén, N.O. (1981). Territoriality and reproductive behaviour in the goldsinny, Ctenolabrus rupestris L. Behavioural Processes 6, 207–221.

Jansson, E., Quintela, M., Dahle, G., mfl. (2017). Genetic analysis of goldsinny wrasse reveals evolutionary insights into population connectivity and potential evidence of inadvertent translocation via aquaculture. ICES Journal of Marine Science 74(8), 2135-2147.

Karlsen, Ø., og van der Meeren, T. (2013). Kunnskapsstatus – plassering av oppdrettsanlegg og mulige interaksjoner med gytefelt og oppvekstområder for marin fisk og vandringsruter for laks. Fisken og Havet, nr. 6/2013. Havforskningsinstintituttet.

Kleiven, A.R., Moland, E., Sørdalen, T.K., Esepeland, S.H. og van der Meeren, G.I. 2017. Evaluering av effekten av forvaltningstiltak på hummer og forslag til tiltak. Rapport fra Havforskningen, nr. 15. https://www.hi.no/hi/nettrapporter/rapport-fra-havforskningen/2017/15-2017_hummerrapport_ark.

Kleiven, A. R., Espeland, S. H., Albretsen, J., mfl. (2019). Aktiv forvaltning av marine ressurser – Frøya og Hitra – Arbeidsrapport 2017-2018. Rapport fra Havforskningen 2019-14. ISSN: 1893-4536. https://www.hi.no/hi/nettrapporter/rapport-fra-havforskningen-2019-14

Lester, S. E., Halpern, B. S., Grorud-Colvert, K., mfl. (2009). Biological effects within no-take marine reserves: a global synthesis. Marine Ecology Progress Series, 384, 33-46.

Moland, E., Olsen, E. M., Knutsen, H. mfl. (2013). Lobster and cod benefit from small-scale northern marine protected areas: inference from an empirical before – after control – impact study. Proceedings of the Royal Society for Biological Sciences, 280: 20122679.

Nillos Kleiven, P., Espeland, S. H., Olsen, E. M. mfl. (2019). F ishing pressure impacts the

abundance gradient of European lobsters across the borders of a newly established marine protected area. Proceedings of the Royal Society for Biological Sciences, 286: 20182455.

Norderhaug, K. M., Nedreaas, K., Huserbråten, M., & Moland, E. (2020). Depletion of coastal predatory fish sub-stocks coincided with the largest sea urchin grazing event observed in the NE Atlantic. Ambio. https://doi.org/10.1007/s13280-020-01362-4

Pettersen, A. R., Moland, E, Olsen E. M. & Knutsen J. A. (2009). Lobster reserves in coastal Skagerrak – an integrated analysis of the implementation process. In: Integrated coastal zone management (eds E Dahl, E Moksness, J Støttrup), pp. 178–188. London, UK: Wiley-Blackwell Publishing.

Pollnac, R., Christie, P., Cinner, J. E., mfl. (2010). Marine reserves as linked social–ecological systems. Proceedings of the National Academy of Sciences,  107 (43), 18262-18265.

Rice, J., Moksness, E., Attwood, C., mfl. (2012). The role of MPAs in reconciling fisheries management with conservation of biological diversity. Ocean & Coastal Management 69: 217-230.

Rueness, E., Berg, P.R., Gulla, S., mfl. (2019). Assessment of the risk to Norwegian biodiversity from import of wrasses and other cleaner fish for use in aquaculture, (Vol. 15). Oslo.

Saarman, E., Gleason, M., Ugoretz, J., Airame, S., Carr, M., Fox, E., Frimodig, A., Mason, T., & Vasques, J. (2013). The role of science in supporting marine protected area network planning and design in California. Ocean & Coastal Management 74, 45-56.

Sayer, M.D.J. (1999). Duration of refuge residence by goldsinny, Ctenolabrus rupestris . Journal of the Marine Biological Association of the UK 79(3), 571–572.

Sciberras, M., Jenkins, S. R., Kaiser, M. J., mfl. (2013). Evaluating the biological effectiveness of fully and partially protected marine areas. Environmental Evidence, 2 (1), 1-31.

Seljestad, G.W. (2019). “A cleaner break” - Genetic analysis identifies two major groups of ballan wrasse ( Labrus bergylta ) within Scandinavia and evidence of phenotype derived divergence. Master thesis. Department of Biological Science, University of Bergen.

Skiftesvik, A.B., Durif, C.M.F., Bjelland, R.M., & Browman, H.I. (2014). Distribution and habitat preferences of five species of wrasse (family Labridae) in a Norwegian fjord. ICES Journal of Marine Science 72, 890–899.

Strand, Ø., Strohmeier, T., & Mortensen, S. (2006). Strategi for utnyttelse av stort kamskjell, Pecten maximus. Forslag til forvaltningsmodell. Havforskningsinstituttet. Pp. 17.

Strand, Ø., Strohmeier, T., Hjelset, A. M., & Grefsrud, E. S. (2016). Fangsteffektivitet i dykkebasert fiske etter stort kamskjell (Pecten maximus) i Sør-Trøndelag. Fisken og Havet, nr. 1/2016.

Sørdalen, T.K., Halvorsen, K.T., Harrison, H.B., Ellis, C., Vøllestad, L.A., Knutsen, H., Moland, E., & Olsen E.M. (2018). Harvesting changes mating behaviour in European lobster. Evolutionary Applications 11(6), 963-977.

Sørdalen, T.K., Halvorsen, K.T., Vøllestad, L.A., Moland, E., & Olsen E.M. (2020). Marine protected areas rescue a sexually selected trait in European lobster. Evolutionary Applications, 13 (9), 2222-2233.

Villegas-Ríos, D., Alós, J., March, D., Palmer, M., Mucientes, G. & Saborido-Rey, F. (2013). Home range and diel behavior of the ballan wrasse, Labrus bergylta , determined by acoustic telemetry. Journal of Sea Research 80, 61–71.

Villegas-Rios, D., Moland, E., & Olsen, E. M. (2016). Potential of contemporary evolution to erode fishery benefits from marine reserves. Fish and Fisheries 18(3), 571-577.

Visch, W., Kononets, M., Hall, P.O.J., M. Nylund, G.M. og Pavia, H. (2020). Environmental impact of kelp ( Saccharina latissima ) aquaculture, Marine Pollution Bulletin, 155.

5 - Vedlegg

  1. Fiske, intensitetskart, uskalert fra brukerundersøkelsen. Med uskalert menes at store og små områder har fått samme verdi. Fiskere er bedt å fylle ut og verdisette sine fiskeområder. Det var opp til respondent å definere verdi. Skala fra lav (1) til høy (15) verdi.

    1. Uskalert yrkesfiske, n=38 fiskere intervjuet

    2. Uskalert Turistfiske, n=11 turistfiskebedrifter intervjuet

    3. Uskalert Fritidsfiske, n=34 fritidsbrukere intervjuet

  2. Fiske, intensitetskart, skalert fra brukerundersøkelsen. Med skalert menes at store inntegnede områder får lavere verdi enn små områder per arealenhet. Fiskere er bedt å fylle ut og verdisette sine fiskeområder. Det var opp til respondent å definere verdi. Skala fra lav (1) til høy (15) verdi.

    1. Uskalert yrkesfiske, n=38 fiskere intervjuet

    2. Uskalert Turistfiske, n=11 turistfiskebedrifter intervjuet

    3. Uskalert Fritidsfiske, n=34 fritidsbrukere intervjuet

  3. Fiskesamfunn. Kartlegging med stereo-video rigger. Data fra 2020. Farge angir gjennomsnittslengde per stasjon og størrelsen på punkt angir antall observasjoner per stasjon. MaxN = Maks antall individ av art registrert i samme bilde.

    1. Torsk, Gadus morhua

    2. Kveite, Hippoglossus hippoglossus

    3. Leppfisk, Labridae

    4. Lyr, Pollachius pollachius

    5. Pigghå, Squalus acanthias

  4. Eksponeringsmodell. Mørkerødt er størst bølgehøyde, mens mørkeblått er lavest bølgehøyde (se skala i figur).

  5. Illustrasjon av forventede effekter av marine bevaringsområder

1.a Yrkesfiske , uskalert

1.b. Turistfiske, uskalert

1.c. Fritidsfiske, uskalert

2.a. Yrkesfiske, skalert

2.b. Turistfiske, skalert

2.c. Fritidsfiske, skalert

3.a. Torsk, Gadus Morhua

3.b. Kveite, Hippoglossus hippoglossus

3.b. Leppefisk, Labridae

3.d. Lyr, Pollachius pollachius

3.e. Pigghå, Squalus acanthias

 

 

 

 

 

 

 

 

  1. Eksponeringsmodell

  1. Illustrasjon av forventede effekter av marine bevaringsområder