Go to main content

En vurdering av lakselusinfestasjonen i produksjonsområdene 2021

— Basert på data fra den nasjonale overvåkingen av lakselus på vill laksefisk (NALO)

Sammendrag

For å estimere smittepresset i fjordene og langs kysten under smoltutvandringen, gjennomføres årlig en undersøkelse av lakselus på vill laksefisk basert på fangst av sjøørret og sjørøye med garn og ruse i alle de 13 produksjonsområdene. Det er i tillegg trålt i 4 sammenhengende uker under smoltutvandringen i Boknafjorden, Hardangerfjorden og Romsdalsfjorden, 5 sammenhengende uker i Sognefjorden og 8 sammenhengende uker i Trondheimsfjorden. For alle fjordene foruten Trondheimsfjorden er det også gjennomført genetiske analyser for å bestemme hvilken elv fisken har utvandret fra. Det også benyttet vaktbur hvor det settes ut oppdrettssmolt i Hardanger- og Boknafjorden.

Oppsummert viser tråldata liten lakselusrelatert dødelighet i Boknafjorden (PO2), stor i Hardanger (PO3) og Sognefjorden (PO4), moderat i Romsdalsfjorden (PO5) og liten i Trondheimsfjorden (PO6). Fangsten har stort sett vært gode, men noe lavt i Sognefjorden og lavt i Romsdalsfjorden.

Estimert dødelighet på utvandrende postsmolt av laks fanget i ruser viser moderat dødelighet for laks fanget ved Herdla (PO4) og høy dødelighet for laks fanget ved Måløy (PO4).

Det er til dels stor variasjon i estimert dødelighet på ruse og garnfanget sjøørret og sjørøye innen om mellom de ulike produksjonsområdene. Overordnet viser disse dataene liten lakselusrelatert dødelighet i PO1, moderat i PO2, høyt i PO3-PO5, moderat i PO6, høyt i PO7, lavt i PO8, høyt i PO9, lavt i PO10, moderat i PO11, og lavt i PO12-PO13.

Vaktbur indikerer lavt smittepress i Boknafjorden (PO2), og moderat i Hardangerfjorden (PO3).

1 - Innledning

Lakselus er en ektoparasitt som lever av slim, skinn og blod til laksefisk. Er antall lakselus høyt vil dette negativt påvirke vill laksefisk. For å estimere smittepresset av lakselus på vill laksefisk undersøkes smittepresset både med fangst av vill laksefisk samt at smittepresset estimeres basert på koblede biologisk-hydrodynamiske modeller.

På slutten av denne rapporten (vedlegg) har vi sensitivitetstestet noen av forutsetningene som ligger til grunn for beregning av lakselusindusert dødelighet. Dette gjelder tålegrenser, hvor vi har testet effekten av å halvere og doble toleransen laksefisk har for lakselus, vi har endret tråldata til å bare omfatte laks < 50 g (mot tidligere 100 g). I denne rapporten bruker vi all fisk fanget uavhengig av størrelse, vi har vist effekten av å redusere materialet til bare å omfatte ørret < 150 g.

Vurderingene er bygget rundt to usikkerhetskilder, en er den statistiske usikkerheten, den andre er i hvilken grad vi vurderer at tidsperiode og sted for fangsten er representativ for området. Den statistiske usikkerheten er vist ved konfidensintervaller. De konfidensintervallene vi presenterer i denne rapporten angir hvor vi med 95% sannsynlighet ville vært om vi hadde gjentatt prosedyren fra første gang. Denne typen usikkerhet tar med andre ord ikke innover seg usikkerheten skapt ved at en antar at en har fanget fisk representativt i tid og rom. For å vurdere denne usikkerheten, har vi vurdert tidsrom fisket har foregått i forhold til antatt tid for utvandring. Denne siste er basert på vedlegg 1 til ekspertgrupperapporten.

2 - Gjennomføring av overvåkingen

Årlig gjennomføres en undersøkelse av lakselus på vill laksefisk basert på fangst av sjøørret og sjørøye med garn og ruse i alle 13 produksjonsområdene. Ruse og garnfangst er utført enten som en eller to serier av hvor den første serien tas rett i etterkant av smoltutvandringen for å fange opp smittepresset denne opplever, mens den andre perioden tas litt senere med mål om å fange opp smittepresset den beitende sjøørreten og sjørøyen opplever utover sommeren. Også i 2021 har en enkelte steder valgt å holde en lengre løpende serie på 4-6 uker for i større grad kunne bruke dataene for å vurdere når (om) økningen i smittepresset observeres, dette ikke minst da en av responsen til sjøørret som opplever smittepress fra lakselus oppsøker ferskvann. Dette vil da medføre at smittepresset observert utover sesongen kan ha blitt påvirket av at luseinfestert fisk har oppsøkt ferskvann, og at ruse og garnfangsten derfor ikke er representative for akkumulert smittepress.

Tidligere var prøvefisket er delvis basert på en dynamisk tilnærming hvor en har brukt Havforskningsinstituttets hydrodynamiske spredningsmodell for å indikere områdene med høyest smitte, og dette området har da blitt undersøkt. Tilsvarende ble det valgt kontrollområder hvor modellen har indikert lavt smittepress. I 2021 er alle stasjonene valgt uavhengig av estimert smittepress, og er stort sett faste stasjoner. Deres representativitet i rom er som tidligere vurdert i forhold til estimert smittepress basert på den hydrodynamiske smittemodellen, mens i tid er tiden for undersøkelse holdt opp mot estimert utvandringstid for laksen.

Det er i tillegg i 2021 trålt i 5 fjordsystemer (Boknafjorden, Hardangerfjorden, Sognefjorden, Romsdalsfjorden og Trondheimsfjorden). Trålingen i Altafjorden tatt ut til fordel for en lengre trålperiode i Trondheimsfjorden, samt at trålperioden er utvidet med en uke i Sognefjorden. Det er i tillegg benyttet en ruse for å fange utvandrende laks i Nordfjord, samt at det er benyttet en lakseruse på Herdla. Trålingen starter noe før og varer til etter forventet tid for utvandring av postsmolt laks i området, og foregår i ytre del av fjordsystemene for å fange opp det akkumulerte smittepresset smolten har opplevd. Smittepresset helt ytterst ved kysten fanges ikke opp. En andel av den trålfangete fisken er tilordnet til hjemelv ved hjelp av genetiske metoder.

Den siste metoden benyttet er bruk av vaktbur hvor det settes ut 30 oppdrettssmolt i hvert bur som står ute i fjordsystemene i 2 uker før de blir erstattet med en ny serie. Burene er posisjonert for å fange opp smittepresset laks som vandrer nær overflaten opplever. Burene brukes for å sammenligne smittepress i tid og rom, samt for å verifisere modellene laget for å predikere smittepress av lakselus. I 2021 er det gjennomført to serier a 14 dager i Boknafjorden (PO2) og Hardangerfjorden (PO3).

Denne rapporten summerer dataene fra 2021, og er i stor grad basert på data innsamlet gjennom NALO (Figur 1), samt modellert overvåking av lakselus vha. Havforskningsinstituttets koblede biologisk-hydrodynamiske spredningsmodell for lakselus (www.lakselus.no). Modellert smittepress omtalt i denne rapporten er presentert i vedlegg HI-Modell til ekspertgrupperapporten 2021. 

Figuren viser plasseringen av stasjonene beskrevet i teksten i ett Norgeskart.
Figur 1. Oversiktskart over stasjonene undersøkt i 2020 og 2021. Posisjonene er veiledende.

2.1 - Tråling etter postsmolt laks

Til trålingen benyttes en pelagisk overflatetrål, ca. 35 m bred og 5 m dyp. Det tråles primært i de ytre delene av fjordene på dagtid med 2-4 knop, både med og motstrøms, oftest to hal per dag. Det er montert en skillerist i trålen for å separere smolten inn i et akvarium for å redusere skjell og lusetap. Effektiviteten til denne varierer. I analysene inkluderes derfor fisk som ikke har blitt sortert til akvariet. Da det trolig også tapes lus i forbindelse med håndteringen av fisk, vil det derfor trolig være en viss underestimering av antall lakselus.

Alle redskaper som brukes til fangst av fisk er selektive. Når det gjelder trål er det spesielt vurdert i hvilken grad trålingen fanger opp et representativt utvalg av fisken, dvs. fisk med representativ størrelse, luseinfestasjon, samt at de ulike elvene i hvert produksjonsområde er representert. Det har vært diskutert at laksesmolt smittet med lus kan ha en avvikende atferd ved at de svekkes, bryter stimstrukturen og dermed fanges lettere i trålen enn fisk som ikke er infestert. Trålunnvikelse baserer seg da på evne til å oppfatte og svømme bort fra trålåpningen. Effekten av lus på laksens kritiske svømmehastighet (et mål på maksimal svømmehastighet og utholdenhet) har vist at infestert laks har noe lavere verdier (Wagner mfl. 2003), og at det er en økende effekt også for de tidligste stadiene av lus med økende infestasjon (Bui mfl. 2016). Om de relativt små forskjellene har noen praktisk betydning i forhold til trålunnvikelse vites ikke. På den andre siden kan de samme forholdene øke risikoen for predasjon. Dette betyr at laks infestert inne i fjordene kan ha en høyere risiko for predasjon, og derfor bli underrepresentert i trålfangstene.

Nylig har Havforskningsinstituttet utviklet en metode for å bestemme hvilken elv den trålfangete fisken kommer fra (Harvey mfl. 2019). Dette gir oss anledning til å vurdere effekten av elveposisjon. Metoden er ikke i stand til å bestemme all fisken, men vi antar at utvalget som kan bestemmes er representativt for elvene. I dette arbeidet ble det også funnet at antall fisk fanget med trål fra de ulike elvene i Hardangerfjorden samsvarte med teoretisk smoltproduksjon i disse elvene.

Trålfangstene tas primært i de ytre delene av fjordene, men fisken fanges uansett alltid før den har fullført vandringen i fjordene og langs kysten. Derfor vil antall lakselus på fisken være underestimater på den totale lusemengden smolten får på seg i løpet av vandringen fra elvemunning til åpent hav.

Bare fisk mindre eller lik 50 g benyttes i analysene (tidligere benyttes 100 g som en grense, jfr. vedlegg A i denne rapporten), all merket fisk som vi ikke vet er merket villfisk tas ut, det brukes bare laks, samt at fisk med store skjelltap eller som har dødd i trålen inkluderes ikke.

2.2 - Vaktbur

Vaktbur er ca. 1 m3 lukkede merder som henger fra 0,5-1,5 m dybde (Bjørn mfl. 2011). Vaktburene er forankret på bunn, og henger fra blåser rett under overflaten. I burene settes 30 oppdrettet laksesmolt som står ute i 14 dager før fisken tas ut og lus telles. Normalt settes det ut 18-20 vaktbur i hvert fjordsystem på relativt faste stasjoner hvor de er ment å fange opp smittepresset i systemet. Oppdrettsmolten benyttet er betydelig større enn villsmolt, og smittepresset vurderes derfor ut ifra antall lus per fisk, og ikke antall lus per gram fiskevekt.

Undersøkelser indikerer at det er mest lus i de øverste vannlagene, og siden vill utvandrende postsmolt laks oftest svømmer på 1-3 m dybde fanger burene opp smitte på denne dybden. Hvis området er sterkt influert av ferskvann, noe lakselus vil unngå, vil dette reflekteres i lusepåslagene i vaktburene.

Påslag vil variere med transport av vann gjennom buret da fisken her er låst i tid og rom. I naturen vil fisk bevege seg og kontakten mellom fisk og lus er trolig høyere. Det er gjort undersøkelser av variasjon i påslag av lakselus i burene ved å sette to og to bur sammen like ved siden av hverandre (50-100 m avstand) i indre og ytre deler av Hardangerfjorden i 2010, totalt 13 slike par. I 7 av disse parene var infestasjonen nær 0, mens de øvrige settene viste samme trend, men det var en signifikant forskjell i 4 av settene (Bjørn mfl. 2011). Årsaken til denne forskjellen kan skyldes lokale strømmer, begroing av bur som reduserer gjennomstrømmingen, ulik atferd til fisken i burene eller annet. Burene dekker normalt ikke de midtre delene av fjorden, burene representerer derfor smittepresset relativt nært land. Resultatene fra vaktburene brukes primært for å sammenligne smittepress i tid og rom, og ikke som et direkte estimat av infestasjonen på villfisk.

2.3 - Ruse og garnfiske

Det foretas prøvefiske med ruse og garn i alle produksjonsområdene. Ruse er det foretrukne redskap. Rusene er utstyrt med ledegarn som strekker seg fra land og leder fisken ut til et fangskammer hvor fisken fanges levende. Fangstkammeret står 30-50 m fra land, med toppen nær overflaten. Rusene sjekkes minst en gang i døgnet. Fiskene løftes over i kar med bedøvelse, fiskens lengde og vekt registreres, og lus i de ulike stadiene telles. Garnfiske supplerer rusene der rusefiske er utfordrende, slik som områder med sterk strøm eller stor tidevannsforskjell. Garnene som benyttes er 25 m lange, 1,5-2,5 m dype monofilament flytegarn med maskevidder fra 17-26 mm, som settes fra land og utover. Garnene røktes mens fisket pågår for å unngå at fisken dør i garnene da mobile lus kan hoppe av om verten dør. Fisk som fanges klippes ut, avlives, og lus i de ulike stadiene telles umiddelbart. Fiskens lengde og vekt registreres. Alle som utfører lusetellinger har bestått kurs i artsidentifikasjon, stadiumbestemmelse og telling av lakselus. For å estimere effekten av den observerte lusesmitten, benyttes grenseverdiene beskrevet nedenfor og i Taranger mfl. (2012). For hver fisk regnes antall lus i alle stadier per gram fiskevekt. Det skilles ikke på sjøørret og sjørøye. Dødelighetsestimatene presenteres som estimat med konfidensintervaller.

Alle redskaper som benyttes for å fange fisk er selektive, og kan påvirke utfallet av de målingene som foretas. Ruse har den fordelen at fisken fanges levende, og at den ikke setter seg fast i garnmasker. Tap av lus er generelt mindre, og sammenligninger indikerer at antall lus på rusefanget sjøørret er høyere enn på garnfanget (Grøn 2016). Vi har valgt å utelukkende benytte tellinger av fisk i felt da sammenligninger indikerer ett betydelig tap av lus, spesielt de minste stadiene, på fisk som er frosset og tas inn til lab for telling av lus. Undersøkelser indikerer at en andel av de minste stadiene av lus på sjøørret og sjørøye er skottelus. Disse kan vanskelig skilles fra lakselus, og selv om en vanligvis får økte tettheter med skottelus på oppdrettsfisk først utover høsten, kan det medføre at spesielt i nordlige fylkene overestimeres antall lakselus. Foreløpige data kan indikere at innslaget av skottelus i de fastsittende stadiene utgjorde opptil 12 % i de nordlige fylkene (Elvik mfl. 2016).

Både garn og ruser er passive redskaper hvor fangsten påvirkes av svømmeaktiviteten til fisken. Lus kan påvirke svømmeaktiviteten til infisert fisk, og infisert fisk holder seg også mer i brakkvann. Infestert fisk har en preferanse for lavere saltholdigheter, og tenderer derfor til enten å returnere til elv, eller forbli i brakkvannsområdet i estuariet. Siden det ikke fiskes i disse områdene, kan luseinfestert fisk bli underestimert i fangstene. I tillegg kan svært lusesmittet fisk dø, som da ikke lenger er tilgjengelig for fangst, som igjen da kan medføre at fangsten underrepresenterer smittepresset. Til sist, luseinfestert fisk som oppsøker ferskvann for å kvitte seg med lus kan vandre ut igjen i fjorden etterpå hvor de kan bli fanget, og derfor maskere det reelle smittepresset fisken har opplevd. Derfor anser vi at luseinfestasjonene målt på fangstet fisk i ruse og garn vil være minimumsverdier.

I tidligere risikovurderinger av oppdrett (Svåsand mfl. 2016), har lakselus på sjøørret mindre enn 150 gram fanget rett etter forventet median smoltutvandring blitt brukt som en indikator på potensielle effekter på utvandrende laksesmolt. I et nylig arbeid ble lakselussmitte på sjøørret og laksesmolt fanget samtidig i trål de siste 10 årene studert for å evaluere hvor god en slik tilnærming er til å forutse mengder lus på laksesmolt, dvs. om det er en korrelasjon mellom lus på sjøørret og laksesmolt. Studiet tilsier at det er en klar sammenheng mellom smittepresset på de to artene, men at det generelt sett er mindre lus på laksesmolt enn på sjøørret (Vollset mfl. 2017). Vi vurderer derfor at lakselus på sjøørret ikke kan brukes til å direkte estimere lakselusindusert dødelighet på laksesmolt, men i tilfeller der det observeres store mengder lus på sjøørret er dette en klar indikasjon på at også utvandrende laksesmolt er mer utsatt for lusesmitte i et gitt område. Laks og sjøørret viser liten forskjell i mottakelighet for lus (Dawson mfl. 1997, Bui mfl. 2017). At det er mer lus på sjøørret enn laks kan derfor skyldes at ørret normalt oppholder seg mer litoralt enn laksen, og at en antar at det er mer lus langs land enn midtfjords, eller at sjøørreten har utvandret tidligere fra elven og derfor opplevd en lengre periode med smittepress.

2.4 - Estimering av smittepress og dødelighet

Effekten på fanget sjøørret er vurdert ut fra antall lus per gram fiskevekt og forventet dødelighet slik det er beskrevet i Taranger mfl. (2012). Estimert dødelighet er beregnet som beskrevet for utvandrende smolt, dvs. at grensene for forventet dødelighet er satt slik at < 0,1 lus/g fiskevekt ikke gir dødelighet, 0,1-0,2 lus/g 20 % dødelighet, 0,2-0,3 lus/g 50% dødelighet og > 0,3 lus/g 100% dødelighet. I årets rapport har vi også sensitivitetstestet toleransegrensene ved å beregne dødelighet med andre grenser (halvert og doblet toleranse), figurene er presentert i vedleggene.

For tråldata sorteres materialet på størrelse (inkluderer bare fisk < 50 g), all merket fisk hvor vi ikke er sikre på at dette er merket villfisk ekskluderes da dette kan være utsatt kultivert fisk eller inngå i forsøk. Tidligere har vi satt grensen ved 100 g, men grunnet usikkerhet knyttet til utsett av kultivert fisk har vi satt ned denne grensen. Dette har ingen reell betydning for de vurderingene som er gjort (jfr. vedlegg A i denne rapporten). Data for sjøørret brukes ikke. Det er presentert to analyser, den ene inkluderer all fisk fanget, og er beregnet ut fra snitt per uke. Den andre er basert på at en andel av fisken er tilordnet elv med genetiske metoder. Estimert dødelighet er her presentert for elver fra de ulike regionene da antall fisk fanget per elv oftest blir lavt. Data for sjøørret i trålfangstene er oppgitt i NALO rapportene.

For ruse og garnfanget skilles det ikke på sjøørret og sjørøye. Laks brukes ikke med unntak av for stasjonene Herdla og Måløy hvor data presenteres. Data for prevalens, intensitet, fiskestørrelsene samt antall fanget er oppgitt i NALO rapportene. Figurene inkluderer antall.

Risiko med konfidensintervaller er beregnet basert på BCa (bias-corrected and accelerated) bootstrap (Efron & Tibshirani 1993).

Tiden for smoltutvandring er tatt fra appendiks «Utvandringstidspunkt for laksesmolt i Norge ved vurdering av lakselusindusert dødelighet på smolt av villaks», og inneholder to datosett, et modellert basert på en publisert modell for utvandring (her er snittet 2014-2018 benyttet), samt en tabulert slik det er gjort tidligere år (jfr vedlegg 1 til ekspertgrupperapporten for ytterlige informasjon om disse estimatene). Her er de modellerte datoene benyttet. Smittekartene som det refereres til i denne rapporten er hentet fra appendiks HI-Modell til ekspertgrupperapporten for 2021, og gjengis ikke her.

3 - Status i produksjonsområdene

3.1 - PO 1 Svenskegrensen – Jæren

Effekten av lakselus basert på ruse og garnfangst i PO1 vurderes å være liten. Det er ikke gjort undersøkelser med vaktbur eller tråling. Smittekartene som dekker perioden avdekker ingen større områder med betydelig økte tettheter i forhold til de undersøkte stasjonene noen av årene, samt at utvandringsveiene til laks er korte, og vi anser derfor at konklusjonen har liten usikkerhet.

I produksjonsområde 1 er to stasjoner undersøkt med ruse, Sandnesfjord og Flekkefjord (Figur 2), det er ikke trålet eller utvandrende postsmolt av laks, eller satt ut vaktbur. I PO1 regner en at median smoltutvandring er 11. mai (uke 19).

Figuren viser stasjonene omtalt i teksten på et kart.
Figur 2. Stasjonene undersøkt med ruse eller garn i PO1 i 2021.

Ruse og garnfangst

På begge stasjonene er både andel av luseinfisert fisk og intensitet lav i 2021, med prevalens på 4 og 24 %, intensitet 2 og 7 lus/fisk. På begge stasjonene estimeres liten lakselusindusert dødelighet for rusefanget sjøørret, Sandnesfjord (0 [0-7] %) og Flekkefjord (0 [0-10] %) (Figur 3). Smittekartene som dekker perioden avdekker ingen større områder med betydelig økte tettheter i forhold til de undersøkte stasjonene, og Sandnesfjord antas derfor å representere områder uten oppdrett, mens Flekkefjord representerer det eneste området i PO1 med oppdrettsaktivitet. Området med oppdrettsaktivitet er begrenset i omfang, og det antas derfor at det ikke er områder med høyere smittepress enn hva som er observert ved Flekkefjord.

Figuren viser resultatene beskrevet i teksten ovenfor.
Figur 3. Estimert luseindusert dødelighet på rusefanget sjøørret med 95% konfidensintervaller. Alle beregningene er basert på all fisk fanget og alle lusestadier.

Antar en at laks vandrer ut i kyststrømmen når den forlater elvemunningene, vil utvandringsrutene for laks være korte, og oppholdstiden for laks i området med forhøyet lusepress blir kort. Det forventes derfor liten effekt av lakselus på utvandrende laks i dette produksjonsområdet, inkludert området ved Flekkefjord. Det skal gjøres oppmerksom på at det ble i 2020 fanget noen fisk genetisk bestemt til å være fra elver på Jæren/Dalane (Figgjo, Håelva, Ogna, Bjerkreimselva og Sokndals) under trålingen i Boknafjorden (jfr. PO2). Antallet er relativt lavt (N = 17), men det estimeres moderat dødelighet på denne smolten (område «Kyst» i PO). I 2021 ble bare en fisk fra dette området (samt 3 fra Figgjo) fanget i trål i Boknafjorden.

3.2 - PO 2 Ryfylke

Data fra ruse og garnfangst i 2021 indikerer moderat dødelighet i Ytre Årdalsfjord ukene 21 og 23, høy i Nedstrand uke 21, moderat i uke 23. Ruse og garnfangst indikerer derfor en kategorisering i moderat lakselusindusert dødelighet. Ruseundersøkelsene er foretatt ca. 2 uker etter median utvandring, og er i tid derfor relativt dekkende for smoltutvandringen. Området med høyt lakseluspress omfatter relativt store deler av de østlige og nordlige områdene. Usikkerheten anses som stor da det er lavere smittepress på sørsiden, samt at smittepresset avtok også på nordsiden i en periode som vil dekke sent utvandrende laks.

Tråldata indikerer lav lakselusindusert dødelighet i 2021. Samlet sett for alle ukene var estimert dødelighet lav. Det estimeres lav, men på grensen til moderat dødelighet for regionene øst og nord, og lav for elvene på sørsiden. Antall fisk fanget fra elvene på øst og nordsiden var betydelig lavere enn antall fisk fra de sørlige elvene. Den lavere dødeligheten siste uken kan forklares fra at fisken i siste uken nesten utelukkende var tatt på sørsiden, området med minst lusepress, selv om trålinnstasen i de ulike regionene var den samme alle ukene trålt. Usikkerheten vurderes som middels. Fangstene har vært gode, spesielt ukene 19-20, hvilket indikerer at trålperioden har vært dekkende for utvandringen, selv om det trolig har utvandret noe fisk både før og etter.

Burdata indikerer lav lakselusindusert dødelighet i 2021. Det er gjennomført to serier med vaktbur i Boknafjorden i 2021. Burene har stått ute i 2 runder hver på 14 dager, hvor første serie startet midten av mai, noe i etterkant av estimert median utvandring for området. Det var lave antall lus (< 2 lus/fisk) på alle burene i begge periodene, men høyest smitte observeres på nordsiden (data ikke vist). Mønsteret er derfor som forventet ut ifra smittkartene, men det er lavere smitte på burfisken enn hva en skulle forvente ut ifra smittekartene. Usikkerheten vurderes som liten da burene dekker hele fjordsystemet, og første serie dekker fra median estimert utvandring, samt at det er gjennomgående lave verdier på vaktburene i begge de undersøkte periodene.

I produksjonsområde 2 er stasjonene Ytre Årdalsfjord på sørsiden og Nedstrand på nordsiden undersøkt i 2021 (Figur 4), det er trålt i 4 uker, og benyttet vaktbur i to perioder. I dette området er estimert midtpunkt for utvandring 10. mai (uke 19).

Figuren viser stasjonene omtalt i teksten på et kart.
Figur 4. Stasjonene undersøkt med ruse eller garn i PO2 i 2021

Ruse og garnfangst

Stasjonene Ytre Årdalsfjord og Nedstrand er undersøkt uke 21 og 23. Ruseundersøkelsene er derfor foretatt ca. 2 uker etter median utvandring, og er i tid derfor relativt dekkende for smoltutvandringen, og anses derfor som dekkende for smittepresset i Boknafjorden.

I uke 21 hadde hhv. 79 og 92% av fisken lus, og intensiteten var 8 og 26 lus/fisk. Andelen av fisk med lus økte på begge stasjonene til uke 23, men intensiteten noe høyere ved Ytre Årdalsfjord (13 lus/fisk), men lavere i Nedstrand (14 lus/fisk). Estimert dødelighet i 2021 var 11 [6-20] og 15 [9-24] % de undersøkte ukene i Ytre Årdalsfjord (Figur 5), og 67 [55-78] og 28 [18-39] % for de to undersøkte ukene i Nedstrand. Dette er sammenfallende med at smittekartene viser at det er høyest smitte på nordsiden.

Figuren viser resultatene beskrevet i teksten ovenfor.
Figur 5. Estimert luseindusert dødelighet på rusefanget sjøørret med 95% konfidensintervaller. Alle beregningene er basert på all fisk fanget og alle lusestadier.

Tråldata

Det er i 2021 trålt i Boknafjorden ukene 18-21, 27. april - 24. mai. Trålingen har vært inndelt i 3 soner (Figur 6). Fangstene har vært gode, spesielt ukene 19-20, og på sørsiden av fjorden.

Figuren viser kart over Boknafjorden hvor områdene det skal tråles i er skravert, samt fangstresultatene
Figur 6. Områdene trålt etter utvandrende postsmolt laks i Boknafjorden, innsatsen i område 1 og 2 er identisk (hver med 3 dager/uke), noe lavere i område 3 (1 dag/uke), samt kumulativ fangst av utvandrende postsmolt av laks i hvert fangstområde.

Andelen av fisk med lus (prevalens) var mellom 23 og 27 % de 3 første ukene, noe lavere siste uken (8%), mens intensitet økte fra 2 til 6 lus/fisk ukene 18-20, men var lavere (1 lus/fisk) siste tråluken. Estimert dødelighet var 1 og 0% ukene 18 og 21, 4 [2-6] og 5 [3-8] % ukene 19 og 20 (Figur 7). Samlet sett for alle ukene var estimert dødelighet 3 [2-5] % i 2021. Den lavere dødeligheten siste uken kan forklares fra at fisken i siste uken nesten utelukkende var tatt på sørsiden (93% av all fisken fanget siste uken ble tatt i sone 2), området med minst lusepress. Observasjonen er derfor i tråd med forventningene fra beregnet smittepress.

Figuren viser resultatene beskrevet i teksten ovenfor.
Figur 7. Risiko for lakselusrelatert dødelighet (med konfidensintervaller) på trålfanget vill postsmolt av laks (venstre), og estimert for all fisken uavhengig av uke fanget (høyre). Antall undersøkt hver uke er angitt i figuren.

I Boknafjorden er det analysert hvilken elv den fangede fisken kommer fra (hjemelv). En er ikke i stand til å bestemme alle, og derfor er antallet genetisk bestemt til elv lavere enn totalantallet fanget. Ser en på lus på fisk fra de ulike elvene (delt dette inn i regioner da antallet fra elvene oftest er lavt), estimeres det lav, men på grensen til moderat dødelighet for regionene øst 8 [1-25] og nord 9 [0-22] %, og lav 0 [0-1] % for elvene på sørsiden i 2021 (Figur 8). Antall fisk fanget fra elvene på øst og nordsiden var betydelig lavere enn antall fisk fra de sørlige elvene.

Figuren viser resultatene beskrevet i teksten, samt kart over Boknafjorden med lakseførende elver.
Figur 8. Risiko for lakselusrelatert dødelighet (med konfidensintervaller) på trålfanget vill postsmolt av laks tilordnet hjemelv. Elver som kan tilordnes er vist i kartet til høyre. Antall er angitt i figuren. Elvene er gruppert i regioner. Kyst inkluderer bare Figgjo 2017-2019, men også andre elver nedover Jæren/Dalane i 2020-2021 (jfr. PO1).

Fangstene har vært gode, spesielt ukene 19-20. Gitt antatt midtpunkt for utvandring 10. mai (uke 19), indikerer dette at trålperioden har vært dekkende for utvandringen, selv om det trolig har utvandret noe fisk både før og etter.

Vaktbur

Det er gjennomført to serier med vaktbur i Boknafjorden i 2021, 18-31. mai og 1-16. juni. Det var lave antall lus (< 2 lus/fisk) på alle burene i begge periodene (Figur 9), men høyest smitte observeres på nordsiden (data ikke vist).

Figuren viser kart over Boknafjorden hvor burenes posisjon er markert.
Figur 9. Snitt antall lakselus normalisert til 14 dager på laks i vaktburene i Boknafjorden 2021. Punktene viser burposisjonene, grønt angir < 2, gult 2-6 og rødt > 6 lus/fisk.

Burene har stått ute i 2 runder hver på 14 dager, hvor første serie startet midten av mai, noe i etterkant av estimert median utvandring for området, mens andre periode dekker første halvdel av juni. Første periode dekker derfor siste del av smoltutvandringen, mens andre periode vil bare dekke sent utvandrende laks, eller laks som har brukt lang tid på vandringen gjennom fjorden. Mønsteret med noe høyere smittepress på nordsiden som forventet ut ifra smittkartene, men gjennomgående er det noe lavere smitte på burfisken enn hva en skulle forvente ut ifra smittekartene.

3.3 - PO 3 Karmøy til Sotra

Data fra ruse og garnfangst i 2021 indikerer høy dødelighet i Ålvik ukene 22-23, høy i Rosendal ukene 22-24, og i Etne høy uke 21, lav/moderat ukene 22-24, høy ukene 25-26. Ruse og garnfangst indikerer derfor en kategorisering i høy lakselusindusert dødelighet. Usikkerheten anses som middels da det er en økning i lakselusindusert dødelighet i ukene etterpå, hvilket indikerer høyere smittepress på sent utvandrende fisk, men det mangler data fra Bjørnafjorden, ett område som smittekartene indikerer kan ha høy lakselusindusert dødelighet.

Tråldata viser høyt smittepress ukene 19-21, moderat uke 22. Estimert dødelighet for fisk tilordnet hjemelv var høy for alle elvene fra de indre til de ytre regionene. Tråldata fra 2021 indikerer høy lakselusindusert dødelighet for de 3 første ukene, og høy regnet som snitt av alle fisken. Estimert dødelighet for elvene indikerer høy dødelighet for alle regionene. Tråldata indikerer derfor en kategorisering i høy lakselusindusert dødelighet. Usikkerheten vurderes som liten. Dette da trålfangsten er gode de tre første ukene, som gjør at vi antar at trålingen er dekkende for utvandringen, selv om noe fisk kan ha vandret ut før trålingen ble igangsatt, men trålingen dekker ikke Bjørnafjorden.

Vaktbur indikerer lavt smittepress i ytre deler, moderat/høy i indre deler siste halvdel av mai, noe lavere i indre deler i begynnelsen av juni (her mangler data fra ytre deler). Burdata indikerer derfor en kategorisering av området i moderat lakselusindusert dødelighet. Usikkerheten vurderes som middels da burundersøkelsene ikke dekker ukene før median tid for smoltutvandring, det mangler data fra periode 2 i runde 2, og dekker ikke Bjørnafjorden.

I 2021 er tre stasjoner i Hardangerfjorden undersøkt, Ålvik, Rosendal og Etne (Figur 10), det er satt ut vaktbur i 2 perioder med 2 ukers varighet, og det er trålt i 4 sammenhengende uker etter utvandrende postsmolt av laks. Det er gjort tilhørighet til elv analyser på trålfanget laks fra Hardangerfjorden. I dette området regner en at 50% av fisken har utvandret i uke 19 (14. mai).

Figuren viser stasjonene omtalt i teksten på et kart.
Figur 10. Stasjonene undersøkt med ruse eller garn i PO3 i 2021.

Ruse og garnfangst

I 2021 ble Ålvik ble undersøkt ukene 22-25, men fangstene de to siste ukene var lave. De to første ukene estimeres det høy dødelighet med 77 [67-85] og 89 [71-97] % (Figur 14). Rosendal ble undersøkt ukene 22-24, og det estimeres høy dødelighet alle ukene, fra 35 [21-51], 58 [43-72] og 85 [69-94] % dødelighet. Etne ble undersøkt ukene 21-26, hvor det estimeres høy dødelighet første uken, deretter lav i uke 22, som øker til moderat ukene 23-24 og høy ukene 25-26 (Figur 11).

Figuren viser resultatene beskrevet i teksten ovenfor.
Figur 11. Estimert luseindusert dødelighet på rusefanget sjøørret med 95% konfidensintervaller. Alle beregningene er basert på all fisk fanget og alle lusestadier.

Ruse og garnundersøkelsene er tatt fra uke 22 (Ålvik og Rosendal) eller uke 21 (Etne), ca. 2-3 uker etter median utvandring for området. Stasjonene anses dekkende i tid og rom for å fange opp smittepresset for utvandrende postsmolt av laks. Smittekartene sentrert rundt estimert median tid for smoltutvandring indikerer høyest smittepress i midtre deler av Hardangerfjorden og i Bjørnafjorden, med lavere smittepress i indre og ytre deler av Hardangerfjorden. Da det er en betydelig økning av lus utover overvåkningsperioden, vil laks som vandrer ut sent, eller ankommer sent i de ytre delene på grunn av lang vandringsrute, trolig oppleve et høyt smittepress. Det var ingen stasjoner i Bjørnafjorden, men smittepresskartene indikerer like høyt smittepress i utvandringsruten for fisk fra de to lakseførende elvene i dette området som i Hardangerfjorden.

Tråldata

Fangstene av utvandrende postsmolt laks var gode alle de 4 ukene 19-22 det ble trålt, høyest antall ble fanget de to første ukene, deretter falt fangstene de to neste (Figur 12). Trålingen startet noe sent, 10. mai, i forhold til estimert median utvandring for området (14. mai), hvilket kan indikere at noe fisk, spesielt fra de ytre elvene med kort avstand fra elv til trålområdet, kan ha gått ut før trålingen ble igangsatt. Uke 19 er sammenfallende med tiden hvor utslipp av klekte nauplier økte.

Figuren viser kart over Hardangerfjorden hvor områdene det skal tråles i er skravert, samt fangstresultatene.
Figur 12. Områdene trålt etter utvandrende postsmolt laks i Hardangerfjorden, høyest innsats i område 1 (5 dager/uke), lavere i område 2 og 3 (1 dag/uke), samt kumulativ fangst av utvandrende postsmolt av laks i hvert fangstområde.

Estimert dødelighet på utvandrende postsmolt av laks var høy alle ukene 19-21, moderat uke 22 (Figur 13). Se forklaring på dette under omtalen av de enkelte elvene nedenfor. Regnet som snitt av all fisken fanget estimeres høy lakselusindusert dødelighet i 2021, 60 [57-63] % (Figur 13). Dødeligheten estimert i 2021 er høyere enn tidligere år. I Hardangerfjorden er det fra 2016 oftest observert en økning i estimert dødelighet utover perioden det tråles, men oftest er høyest antall fisk fanget observert i eller rundt uke 20, tilsvarende som observert i 2021.

Figuren viser resultatene beskrevet i teksten ovenfor.
Figur 13. Risiko for lakselusrelatert dødelighet (med konfidensintervaller) på trålfanget vill postsmolt av laks (venstre), og estimert for all fisken uavhengig av uke fanget (høyre). Antall undersøkt hver uke er angitt i figuren.

Inndeles trålfangsten opp i forhold til hjemelv, og disse blir kategorisert som indre (Steinsdal – Opo), midtre (Uskedal – Ænes) og ytre (Etne – Ådland) elver, er estimert dødelighet i 2021 høy for alle regionene, inkludert Etne som ligger i ytre deler (Figur 14). I forhold til tidligere år er estimert dødelighet det høyeste som er observert (Figur 14). Av fisk som kan bestemmes til hjemelv domineres fangstene av Etne (N = 294) og Uskedal (N = 84). Fra de indre elvene (N = 24) er det størst fangst uke 20 og 21 (17.- 30. mai), mens fra de midtre er det størst fangst uke 19 (10.-16. mai), deretter fallende til bare 2 fisk siste tråluke. Fangstene fra Etne er høy alle ukene 19-21, høyest uke 20 (17. - 23. mai) (N = 132), og lavest uke 22 (N = 10). Hovedutvandringen i Etne registret på en smoltruse er 4.-14. mai, med utvandring i hele tidsperioden 14. april-28. mai. Hovedutvandringen fra PIT merket fisk i Uskedal er 9.-19. mai, og gitt ca. 4-5 dagers utvandringstid fra elv til trålområde vil trålingen trolig dekke utvandringen fra dette tidsrommet. Estimert dødelighet for fisk fra de midtre elven er 80%, og selv om det er mulig trålperioden ikke fanger opp utvandringen til de ca. 25% først utvandrende fiskene, vil dette ikke kunne endre kategoriseringen. Fisken fra de indre elvene ble stort sett tatt ukene 20 og 21 (18 av 21 fisk), og det ser ut til å sammenfalle med en relativt konsentrert utvandring observert fra akustisk merket fisk i Eio, hvor hovedutvandringen var mellom 11-17. mai (Bjerck & Urke, 2021). Fra Granvin er det både akustisk og PIT merket fisk, disse har hovedutvandring hhv. 5-14. mai og 5.-17. mai. Det kan derfor indikere at de indre og ytre elvene er godt dekket av trålperioden, mens for de midtre elvene kan en andel av fisken ha vandret ut før trålingen ble igangsatt.

Figuren viser resultatene beskrevet i teksten, samt kart over Hardangerfjorden med lakseførende elver.
Figur 14. Risiko for lakselusrelatert dødelighet (med konfidensintervaller) på trålfanget vill postsmolt av laks tilordnet hjemelv. Elver som kan tilordnes er vist i kartet til høyre. Antall er angitt i figuren. Elvene er gruppert i regioner.

Vaktbur

Vaktburene var i 2021 satt ut i Hardangerfjorden i 2 perioder, 20. mai-3. juni og 3-17. juni (Figur 15). Vaktburene plassert i Hardangerfjorden viste at i 2021 var det generelt høyere smittepress i de midtre delene, og at smittepresset var høyere lengre innover i den første enn den andre perioden. Grunnet tekniske problemer ble det ikke satt fisk i bur i de ytre delene i andre runde.

Figuren viser kart over Hardangerfjorden hvor burenes posisjon er markert.
Figur 15. Snitt antall lakselus normalisert til 14 dager på vaktburene i Hardangerfjorden 2018-2021. Punktene viser burposisjonene, grønt angir < 2, gult 2-6 og rødt > 6 lus/fisk.

Gitt en median utvandring av laks i uke 19 (14. mai) dekker første perioden siste del av utvandringen, mens den andre perioden dekker bare sent utvandrende laks, og laks som bruker lang tid på vandringen gjennom fjorden.

3.4 - PO 4 Nordhordland til Stadt

Infestasjonen på sjøørret i Nordhordland i 2021 indikerer høy risiko for dødelighet under utvandringen av smolt. I Sognefjorden estimeres det fra lav til moderat dødelighet i uke 22, men høy i ytre deler uke 24. I Nordfjord estimeres moderat dødelighet frem til median tid for utvandring, deretter høyt. Data fra ruse og garnfangst indikerer derfor en kategorisering av produksjonsområdet i høy lakselusindusert dødelighet. Usikkerheten vurderes som middels, selv om det er relativt god romlig og tidsmessig dekning, mangler det data fra Sunnfjord.

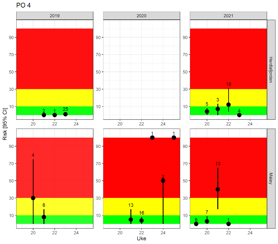
Laks (N=28) ble fanget i rusen ved Herdla ukene 20-23, høyest fangst var uke 22 (N=16), hvor det estimeres moderat dødelighet. I Måløy ble det fanget 27 laks i ruse ukene 19-22. Det ble estimert lav dødelighet ukene 19-20, høy uke 22, uken med høyest fangst (N=13).

Tråldata indikerer høy dødelighet på laksen de tre første ukene trålt. Data fra trål og lakseruse indikerer derfor en kategorisering av området i høy lakselusindusert dødelighet. Usikkerheten er vurdert som middels da fangstene var dårlige de to siste ukene, og høyest fangst andre uken trålt. Dette kan indikere at trålperioden er dekkende for utvandringen av fisk i Sognefjorden, da den burde dekke opp fisk fra de indre elvene som har vandret fra ca. 1. mai. Derimot dekker ikke trålingen de viktige elvene i Nordhordland, Sunn- eller Nordfjord.

I produksjonsområde 4 er i 2021 Herdlafjorden og Austefjorden (Herøyosen) undersøkt i Nordhordland, Balestrand og Bjordal i Sognefjorden og Maurstadvika i Nordfjord (Figur 16), tilsvarende som i 2020. Det er trålt etter utvandrende postsmolt laks i Sognefjorden i 5 sammenhengende uker. I Nordfjord (Måløy) er det benyttet en ruse for fangst av utvandrende postsmolt av laks. Trålfangstene for Sognefjorden er analysert for hjemelv. I dette området regner en at 50% av fisken har utvandret i uke 19 (15. mai).

Figuren viser stasjonene omtalt i teksten på et kart.
Figur 16. Stasjonene undersøkt med ruse eller garn i PO4 i 2021. Merk at det er benyttet lakseruse ved Herdla og Måløy.

Ruse og garnfangst

To stasjoner i Nordhordland ble undersøkt (Herdlafjorden uke 20-23, Herøysosen fra uke 21 til uke 26, i Sognefjorden Balestrand og Bjordal ukene 22 og 24, og i Nordfjord (Måløy) sammenhengende ukene 19-22. I Nordhordland ble det estimert høy dødelighet på sjøørret begge stasjonene alle ukene undersøkt (Figur 17). På den innerste stasjonen i Sognefjorden (Balestrand) ble det estimert høy 58 [46-69] % dødelighet, betydelig høyere enn i 2020. På den ytterste stasjonen (Bjordal) ble det estimert fra høy, 41 [31-52] % dødelighet uke 22 og moderat 26 [19-35] % dødelighet uke 24. I Nordfjord (Måløy) ble det estimert høy dødelighet alle ukene, hvor estimatene økte fra 48 [23-71] til 86 [73-93] % ukene 19-22. Utslippene av klekte nauplier i hele PO4 var relativt konstante frem til uke 19, deretter økte de kraftig til uke 24. Smittepresskartene indikerer høyest smittepress i Nordhordland, men fanger ikke opp smittepresset helt inn til Balestrand, og selv om utviklingen i smittepress følger observasjonene, virker smittepresset å være lavere enn observasjonene skulle tilsi.

Figuren viser resultatene beskrevet i teksten ovenfor.
Figur 17. Estimert luseindusert dødelighet på rusefanget sjøørret med 95% konfidensintervaller. Alle beregningene er basert på all fisk fanget og alle lusestadier.

Tråldata

Trålingen etter smolt ble gjort i 5 uker, ukene 19-23. Fangstene var nesten utelukkende fra ukene 19-21 (Figur 18), det bare ble fanget 1 fisk i hver av ukene 22 og 23.

Figuren viser kart over Sognefjorden hvor områdene det skal tråles i er skravert, samt fangstresultatene
Figur 18. Områdene trålt etter utvandrende postsmolt laks i Sognefjorden, høyest innsats i område 1 (5 dager/uke), lavere i område 2 og 3 (1 dag/uke), samt kumulativ fangst av utvandrende postsmolt av laks i hvert fangstområde.

I alle de tre første ukene estimeres det høy dødelighet, og for hele tidsperioden estimeres det høy dødelighet på utvandrende postsmolt i 2021 (Figur 19). Estimatene er betydelig høyere enn i 2020, men på høyde med estimatene fra 2019. Første trålhal ble gjort 10. mai, og siste 13. juni i 2021. Det betyr at trålingen startet nesten 1 uke før estimert utvandring for området (uke 19, 15. mai). Siden fisk fra de store indre elvene i tillegg trenger ca. 10 dager på vandringen fra elv til trålområde, betyr det at trålingen bør fange opp fisk som har vandret fra ca. 1. mai. Vi anser derfor at trålperioden er dekkende for utvandringen, ikke minst siden trålingen varte til 13. juni, slik at fisk vandret før ca. 3. juni vil dekkes av trålperioden.

Figuren viser resultatene beskrevet i teksten ovenfor.
Figur 19. Risiko for lakselusrelatert dødelighet (med konfidensintervaller) på trålfanget vill postsmolt av laks (venstre), og estimert for all fisken uavhengig av uke fanget (høyre). Antall undersøkt hver uke er angitt i figuren.

Det er gjennomført tilhørighet til elv analyser for Sognefjorden også i 2021. Elvene er delt i indre (fra Vikja og innover) og midtre (Ytredals og Dale) regioner. Størst fangst fås av fisk fra Lærdal og Nærøy, men i 2021 var noe uventet fangstene dominert av fisk fra Nærøy (N = 61), og ikke Lærdal (N = 25) som var forventet basert på fangst tidligere år. Fangsten fra Nærøy var noe høyere enn i 2019 og 2020 (hhv. 51 og 39), mens fangstene fra Lærdal var betydelig lavere enn i 2019 og 2020 (hhv. 128 og 101). Det estimeres høy dødelighet på trålfanget smolt fra både de indre og midtre elvene i 2021 (Figur 20).

Figuren viser resultatene beskrevet i teksten, samt kart over Sognefjorden med lakseførende elver.
Figur 20. Risiko for lakselusrelatert dødelighet (med konfidensintervaller) på trålfanget vill postsmolt av laks tilordnet hjemelv. Elver som kan tilordnes er vist i kartet til høyre. Antall er angitt i figuren. Elvene er gruppert i regioner.

Laks fanget i ruse

Fra 2019 ble det satt ruser med formål om å fange utvandrende postsmolt av laks i ytre deler av Nordfjord, samt ved Herdla. I Herdlafjorden estimeres det lav dødelighet ukene 20-21 og 23, moderat i uke 21 (Figur 21), som også var uken med størst fangst (N=16). Ved Måløy estimeres det lav dødelighet ukene 19-20, høy i uke 21 (Figur 21), uken med størst fangst (N=13).

Figuren viser resultatene beskrevet i teksten ovenfor.
Figur 21. Risiko for lakselusrelatert dødelighet (med konfidensintervaller) på rusefanget vill postsmolt av laks i Herdlafjorden (øverst) og Måløy i Nordfjord (nederst). Antall undersøkt hver uke er angitt i figuren. Merk lavt antall enkelte uker.

3.5 - PO 5 Stadt til Hustadvika

Ruse og garnfangst av sjøørret i 2021 indikerte moderat smittepress i ytre deler av Storfjorden i uke 21 og 26. I utkanten av Romsdalsfjorden ble det estimert høyt smittepress på sørsiden (Vatnefjorden) i uke 22 og 23, mens på nordsiden (Frænfjorden) ble det estimert høy lakselusindusert dødelighet uke 24 og 26. Data fra ruse og garnfangst støtter derfor en kategorisering i høy lakselusindusert dødelighet. Siden median utvandring i dette området er estimert til uke 20, er tidsrommet for undersøkelsene i Ørsta og Vatnefjorden dekkende for utvandringen, mens Frænfjorden er undersøkt noe sent, og er dekkende bare for sent utvandrende fisk. Usikkerheten vurderes som stor, basert på begrenset antall stasjoner i Storfjorden, undersøkelsen er noe sen i Frænfjorden.

Tråldata fra Romsdalsfjorden støtter en kategorisering i moderat lakselusindusert dødelighet. Usikkerheten vurderes som stor da antall fanget var lavt, og 75% av fisken ble fanget første fangstuke, samt at når elvene ble inndelt i regioner, er estimert dødelighet for elvene fra nordsiden moderat/høy. I tillegg tråles det ikke i Storfjorden hvor smittekartene indikerer høyere smittepress enn i Romsdalsfjorden, samt at fisken har ett stykke vandring etter trålingen før den er ute ved kysten.

I produksjonsområde 5 er Ørsta i Storfjorden, samt Vatne- og Frænfjorden i Romsdalsfjorden undersøkt med ruse og garn (Figur 22). Det er trålt etter utvandrende postsmolt laks, og det er gjort genetiske analyser av tilhørighet til elv. I dette området regner en at 50% av fisken har utvandret i uke 20 (17. mai).

Figuren viser stasjonene omtalt i teksten på et kart.
Figur 22. Stasjonene undersøkt med ruse eller garn i PO5 i 2021.

Ruse og garnfangst

Ørsta i Storfjorden ble undersøkt ukene 22 og 26. Estimert dødelighet var moderat begge ukene med hhv. 21 [13-32] og 18 [10-28] % (Figur 23). I Romsdalsfjorden er Vatne på sørsiden undersøkt ukene 22 til 27, og Frænfjorden på nordsiden ukene 24 og 26. I Vatnefjorden ble det estimert høy dødelighet de to første ukene (22-23) med hhv. 61 [46-73] og 78 [55-91] %. Selv om det også ble estimert høy dødelighet de neste to ukene, var antall fanget svært lavt med hhv. 2 og 4 fisk. I Frænfjord ble det estimert høy dødelighet begge ukene 24 og 26 (hhv. 71 [54-86] og 32 [16-51] %).

Figuren viser resultatene beskrevet i teksten ovenfor.
Figur 23. Estimert luseindusert dødelighet på rusefanget sjøørret med 95% konfidensintervaller. Alle beregningene er basert på all fisk fanget og alle lusestadier.

Siden median utvandring i dette området er estimert til uke 20, er tidsrommet for undersøkelsene i Ørsta og Vatnefjorden dekkende for utvandringen, mens Frænfjorden er undersøkt noe sent, og er dekkende bare for sent utvandrende fisk. Utslippene av klekte nauplier i produksjonsområdet viste en relativt liten økning frem til uke 21, men økte deretter. Formen på utslippene følger 2019 (men er noe lavere), og er høyere etter uke 21 enn i 2018 og 2020. Smittepresskartene sentrert rundt median smoltutvandring viste et begrenset område med forhøyet smittepress i Storfjorden og Romsdalsfjorden, og etter hvert i ytre deler av begge fjordsystemene.

Tråldata

Det ble trålt i Romsdalsfjorden fra 19. mai til 13. juni, ukene 20-23. Trålhalene ble tatt i ytre deler (Figur 24), og anses som relativt godt egnet til å vurdere smittepress på laksesmolten. Antall fangstet var lavt, totalt 40 laks, og hovedsakelig fanget den første tråluken N = 30.

Figuren viser kart over Romsdalsfjorden hvor områdene det skal tråles i er skravert, samt fangstresultatene
Figur 24. Områdene trålt etter utvandrende postsmolt laks i Romsdalsfjorden, høyest innsats i område 1 (5 dager/uke), lavere i område 2 (2 dag/uke), samt kumulativ fangst av utvandrende postsmolt av laks i hvert fangstområde.

Dødeligheten uke 20 estimeres til moderat, 16 [6-30] % og for hele trålperioden uavhengig av uke fanget til moderat, 19 [9-31] % (Figur 25).

Figuren viser resultatene beskrevet i teksten ovenfor.
Figur 25. Risiko for lakselusrelatert dødelighet (med konfidensintervaller) på trålfanget vill postsmolt av laks (venstre), og estimert for all fisken uavhengig av uke fanget (høyre). Antall undersøkt hver uke er angitt i figuren.

Det er gjort genetisk tilhørighetsanalyse også i 2021. Basert på tilhørighetsanalysene estimeres det lav 8 [0-17] % (N = 12), for de østlige (Eira, Mittet, Visa) elvene, og moderat/høy 30 [9-57] (N=14) for de nordlige (Oppdøls, Os, Røa) (Figur 26). Det ble ikke fanget fisk som ble genetisk bestemt til de sørlige (Skorge, Tressa) elvene i 2021.

Figuren viser resultatene beskrevet i teksten, samt kart over Romsdalsfjorden med lakseførende elver.
Figur 26. Risiko for lakselusrelatert dødelighet (med konfidensintervaller) på trålfanget vill postsmolt av laks tilordnet hjemelv. Elver som kan tilordnes er vist i kartet til høyre. Antall er angitt i figuren. Elvene er gruppert i regioner.

3.6 - PO 6 Nordmøre og Sør-Trøndelag

Data fra ruse og garnfangst like etter smoltutvandringen indikerer lav dødelighet for sjøørret fanget ved Agdenes uke 22, men økende til moderat og senere høy, og høy ved Hitra uke 24. Rusedata fra Agdenes anses relativt dekkende for utvandringsperioden for laksen fra Trondheimsfjorden, mens stasjonen på Hitra er undersøkt sent, 4 uker etter estimert median utvandring og vil derfor bare dekke sent utvandrende laks. Ruse og garndata tilser derfor en kategorisering i moderat lakselusrelatert dødelighet, men usikkerheten anses som stor da det bare er undersøkt to stasjoner, og disse dekker ikke Nordmøre, området hvor smittekartene sentrert rundt median smoltutvandring viser høyest smittepress. I tillegg viser både smittepresskartene og observasjonen av lus på garn og rusefanget fisk økende smittepress nordover utover mai og juni.

Det ble trålt i Trondheimsfjorden fra 10. mai til 4. juli, ukene 19-26. Tråldata indikerer lav dødelighet basert på infestasjonen frem til der det er trålt i Trondheimsfjorden, moderat i uke 24. Det er trålt lengre ute enn tidligere, men laksen vil kunne pådra seg ytterligere smitte utenfor der det er trålt. Trålperioden ser derfor ut til å ha dekket smoltutvandringen i området. Usikkerheten i vurderingen vurdert både fra manglende dekning av hele utvandringsruten med trål, og at den ikke dekker Nordmøre, at vi for området som helhet vurderer usikkerheten som middels.

I produksjonsområde 6 har vi undersøkt Agdenes sammenhengende ukene 22 til 27 og Hitra uke 24 og 26 (Figur 27). Det er trålt etter utvandrende postsmolt laks i 8 uker, men det er ikke gjort genetiske analyser av hjemelv. I dette området regner en at 50% av fisken har utvandret i uke 20 (21. mai).

Figuren viser stasjonene omtalt i teksten på et kart.
Figur 27. Stasjonene undersøkt med ruse eller garn i PO6 i 2021.

Ruse og garnfangst

Dødelighetsestimatene ved Agdenes indikerer økende dødelighet fra lav i uke 22 (3 [1-5] %), moderat i uke 23 (17 [11-27] %), til høy i ukene 24 til 27 (Figur 28). Mønsteret er mye tilsvarende hva som er observert årene 2016-2020. Hitra ble undersøkt i uke 24, hvor det estimeres høy dødelighet (39 [24-56] %), mens i uke 26 estimeres moderat dødelighet (22 [15-31] %). Smittekartene sentrert rundt median smoltutvandring viser at smittepresset da er høyest i sørlige deler, men også enkelte områder ved Hitra. Utover mai og juni øker smittepresset også oppover mot Agdenes, sammenfallende med observasjonen av lus på garn og rusefanget fisk.

Figuren viser resultatene beskrevet i teksten ovenfor.
Figur 28. Estimert luseindusert dødelighet på rusefanget sjøørret med 95% konfidensintervaller. Alle beregningene er basert på all fisk fanget og alle lusestadier.

Tråldata

Det ble trålt i Trondheimsfjorden fra 10. mai til 4. juli, ukene 19-26. I tillegg har en større andel av trålhalene vært gjort lengre ut enn tidligere. Det er ikke tilgjengelig genetiske analyser av hjemelv for Trondheimsfjorden. Størst fangster ble oppnådd ukene 20-21, dernest uke 22 (N = 144) (Figur 29). Fangstene avtok deretter, og bare ett fåtall fisk ble fanget de to siste ukene (hhv. 10 og 9 fisk). Trålperioden ser derfor ut til å ha truffet godt på smoltutvandringen i området.

Figuren viser kart over Trondheimsfjorden hvor områdene det skal tråles i er skravert, samt fangstresultatene
Figur 29. Områdene trålt etter utvandrende postsmolt laks i Trondheimsfjorden, innsatsen i område 3 er prioritert, men når været ikke tillot det tråles det i sone 1 og 2.

I ukene 19-23 ble det estimert lav dødelighet, moderat i uke 24, deretter lav dødelighet de to siste ukene (Figur 30).

Figuren viser resultatene beskrevet i teksten ovenfor.
Figur 30. Risiko for lakselusrelatert dødelighet (med konfidensintervaller) på trålfanget vill postsmolt av laks (venstre), og estimert for all fisken uavhengig av uke fanget (høyre). Antall undersøkt hver uke er angitt i figuren.

Det er ikke gjort analyser av tilhørighet til elv, men de lave lusetallene på all fisken indikerer at dette ikke ville endret konklusjonen.

3.7 - PO 7 Nord-Trøndelag med Bindal

I 2021 ble Sitter undersøkt ukene 23 og 25, samt på sørsiden av Vikna uke 25. Estimert dødelighet var høy begge ukene, og på begge lokalitetene, og indikerer en kategorisering i høy lakselusindusert dødelighet. Det er stor usikkerhet knyttet til estimatene pga. lavt antall fanget ved Sitter i uke 23, mens uke 25 er noe sent i forhold til median dato for utvandring. Mye av lusen på fisken fanget var fastsittende, og estimatene uke 25 vil derfor fange opp smittepresset fra estimert dato for median utvandring.

I dette området har vi undersøkt Sitter rett sør for innløpet til Namsenfjorden, samt Vikna (Figur 31). I dette området regner en at 50% av fisken har utvandret i uke 21 (29. mai).

Figuren viser stasjonene omtalt i teksten på et kart.
Figur 31. Stasjonene undersøkt med ruse eller garn i PO7 i 2021.

Ruse og garnfangst

Estimert dødelighet ved Sitter var høy begge ukene (23 og 25) undersøkt med hhv. 68 [20-84] og 79 [65-89] % (Figur 32), men antall fisk fanget første uken var lavt (N=5), og det hefter derfor stor usikkerhet til estimatene. For stasjonen Vikna Sør estimeres det høy dødelighet, 45 [27-66] % i uke 25.

Figuren viser resultatene beskrevet i teksten ovenfor.
Figur 32. Estimert luseindusert dødelighet på rusefanget sjøørret med 95% konfidensintervaller. Alle beregningene er basert på all fisk fanget og alle lusestadier.

Første undersøkelse ved Sitter i uke 23 vil dekket opp smoltutvandringen, mens undersøkelsene i uke 25 vil dekke opp utvandringen fra omtrent median dato for utvandring. Tettheten av kopepoditter i PO7 er nær de samme som i 2020, hvor det ses en svak økning hele mai og frem til midten av juni (uke 24). Fisken vil derfor være utsatt for ett noe høyere smittepress etter median utvandring enn før. Smittepresskartene indikerer at høyest tetthet observeres sør for Namsen, og nord for Vikna.

3.8 - PO 8 Helgeland til Bodø

I 2021 er bare en stasjon undersøkt, Leirfjord i uke 24. Det estimeres da lav dødelighet. Selv om smittepresskartene indikerer at situasjonen er tilsvarende tidligere år med noen begrensede området med høyt smittepress, anses usikkerheten stor da det er få stasjoner, og det er området med høyt smittepress som ikke er undersøkt.

Det er foretatt ruse og garnfiske på stasjonen Leirfjord (Figur 33). Det er ikke benyttet vaktbur eller trålt etter utvandrende laksesmolt. Her regner en at 50% av fisken har utvandret i uke 22 (4. juni).

Figuren viser stasjonene omtalt i teksten på et kart.
Figur 33. Stasjonene undersøkt med ruse eller garn i PO8 i 2021.

Ruse og garnfangst

I Leirfjord var det lite lus på fisken i uke 24, og det estimeres lav (3 [0-9] %) lakselusrelatert dødelighet (Figur 34). Estimert dødelighet er tilsvarende som tidligere år på denne stasjonen. Tettheten av kopepoditter var relativt uendret i hele mai og juni i dette området, og smittpresskartene sentrert rundt estimert dato for median utvandring viser bare enkelte området med forhøyet smittepress.

Figuren viser resultatene beskrevet i teksten ovenfor.
Figur 34. Estimert luseindusert dødelighet på rusefanget sjøørret/sjørøye med 95% konfidensintervaller. Alle beregningene er basert på all fisk fanget og alle lusestadier.

Stasjonen er undersøkt ca. 2 uker etter estimert median utvandring, og tidsperioden undersøkt anses som dekkende for smoltutvandringen i området.

3.9 - PO 9 Vestfjorden og Vesterålen

Det er foretatt garn og rusefangst i Steigen ukene 24 og 25, begge ukene estimeres det høy lakselusindusert dødelighet. Smittekartene sentrert rundt median tid for utvandring indikerer enkelte områder med forhøyet smittepress. Steigen dekker ett slikt område. Undersøkelsene ble utført 1-2 uker etter median utvandring, og vurderes som dekkende for utvandrende laksesmolt. Estimatene indikerer en kategorisering i høy lakselusrelatert dødelighet i 2021, mens usikkerheten vurderes som stor grunnet begrenset data, og en har ikke undersøkt stasjoner med lavt estimert lusepress.

I dette området har vi undersøkt stasjonen Steigen (Figur 35) med ruse og garn ukene 24 og 25. Det er ikke benyttet vaktbur eller trålt etter utvandrende laksesmolt. I dette området regner en at 50% av fisken har utvandret i uke 23 (6. juni).

Figuren viser stasjonene omtalt i teksten på et kart.
Figur 35. Stasjonene undersøkt med ruse eller garn i PO9 i 2021.

Ruse og garnfangst

I 2021 estimeres det høy lakselusrelatert dødelighet på fisken fanget i Steigen ukene 24-25, med hhv. 50 [38-63] og 44 [33-56] % (Figur 36). Både smittekartene sentrert rundt median utvandring uke 23, og fra median utvandring indikerer enkelte områder med forhøyet smittepress, inkludert Steigen og enkelte fjorder på sørsiden av Vesterålen.

Figuren viser resultatene beskrevet i teksten ovenfor.
Figur 36. Estimert luseindusert dødelighet på rusefanget sjøørret/sjørøye med 95% konfidensintervaller. Alle beregningene er basert på all fisk fanget og alle lusestadier.

3.10 - PO 10 Andøya til Senja

I 2021 indikerte data fra garn og rusefangst en kategorisering av området i lav lakselusrelatert dødelighet. Det estimeres lav dødelighet ved stasjonen i Malangen, lav og moderat ved Finnsnes og lav i Løksebotn. Observasjonene sammenfaller med smittekartene som viser fra ett relativt begrenset påvirket område sør for Senja sentrert rundt median utvandring, til økende tetthet av lus sør for Senja og oppover mot Finnsnes på østsiden av Senja etter median utvandring. Usikkerheten vurderes som middels da stasjonene dekker områdene som smittekartene estimerer til å ha lavt og moderat smittepress, men det er relativt få stasjoner for ett så stort område.

I dette området har vi undersøkt stasjoner i Løksebotn, Finnsnes og Malangen med ruse og garn (Figur 37). I dette området regner en at 50% av fisken har utvandret i uke 23 (9. juni). Det er ikke satt ut vaktbur eller trålt etter utvandrende postsmolt av laks.

Figuren viser stasjonene omtalt i teksten på et kart.
Figur 37. Stasjonene undersøkt med ruse eller garn i PO10 i 2021.

Ruse og garnfangst

I 2021 estimeres lav dødelighet i ukene 24-26 i Løksebotn (Figur 38), i Finnsnes lav uke 24, moderat uke 25 og lav uke 26, og lav i Malangen ukene 25-26. Verdiene for Malangen og Finnsnes er omtrent som i tidligere år, mens for Løksebotn er estimatene lavere enn i 2019.

Figuren viser resultatene beskrevet i teksten ovenfor.
Figur 38. Estimert luseindusert dødelighet på rusefanget sjøørret/sjørøye med 95% konfidensintervaller. Alle beregningene er basert på all fisk fanget og alle lusestadier.

Smittekartene som dekker median utvandring indikerer få områder med forhøyet smittepress, mens smittekartene fra median utvandring indikerer at området sør for Senja har førhøyet smittepress. Tettheten av kopepoditter i området er noe høyere enn i 2020, og det er en jevn svak økning fra midten av mai og gjennom juni.

3.11 - PO 11 Kvaløya til Loppa

I 2021 er en stasjon i Reisa undersøkt sammenhengende ukene 25-30 med ruse og garn. Denne ligger i den nasjonale laksefjorden Reisafjorden. Estimatene indikerer en kategorisering i moderat lakselusrelatert dødelighet. Modell indikerer ikke større områder med forhøyet smittepress. Usikkerheten vurderes til stor da det bare er undersøkt 1 stasjon, smittekartene indikerer begrensede områder med forhøyet smittepress som ikke dekkes av undersøkelsene.

I dette området har vi undersøkt to nærliggende stasjoner i Reisa, Straumfjord og Oksfjord (Figur 39), de er her omtalt samlet. Reisa er undersøkt med ruse og garn sammenhengende ukene 25-30. Det er ikke benyttet vaktbur eller trålt etter utvandrende laksesmolt. I dette området regner en at 50% av fisken har utvandret i uke 24 (15. juni).

Figuren viser stasjonene omtalt i teksten på et kart.
Figur 39. Stasjonene undersøkt med ruse eller garn i PO11 i 2021.

Ruse og garnfangst

Undersøkelsen med ruse og garn i Reisa uke 25-26 viste lav prevalens og intensitet, og det estimeres lav lakselusrelatert dødelighet (Figur 40). Ukene 27-28 estimeres moderat dødelighet, mens ukene 29-30 estimeres det lav dødelighet.

Figuren viser resultatene beskrevet i teksten ovenfor.
Figur 40. Estimert luseindusert dødelighet på rusefanget sjøørret/sjørøye med 95% konfidensintervaller. Alle beregningene er basert på all fisk fanget og alle lusestadier.

Da median utvandring for dette området er estimert til uke 24 (15. juni), dekker overvåkingen storparten av utvandringen. Størst fangst var ukene 27-29 (Figur 40). Smittekartene sentrert rundt, og i perioden etter median smoltutvandring indikerer enkelte begrensede området med forhøyet smittepress. Stasjonen ligger i en nasjonal laksefjord, hvor smittekartene indikerer lavt smittepress. Observasjonene i 2021 er i tråd med tidligere observasjoner i dette området (Nordreisa). Utslippene av klekte nauplier er lave i denne tidsperiode, og med en marginal økning utover sesongen.

3.12 - PO 12 Vest Finnmark

Ruse og garn undersøkelsene i PO12 indikerer liten dødelighet i Talvik ukene 27 og moderat uke 30, og Handelsbukt liten i uke 29. Observasjonene indikerer derfor en kategorisering av området i liten lakselus relatert dødelighet i 2021. Modell indikerer lav tetthet av kopepoditter i det aktuelle tidsrommet, men med unntak. Grunnet få stasjoner, og at de ikke dekker områder med høyest modellert tetthet av lakselus, vurderes usikkerheten som stor.

I dette området er det i 2021 undersøkt Talvik i Altafjorden samt Handelsbukt i Porsangerfjorden med ruse og garn (Figur 41). Begge stasjonene ligger i nasjonale laksefjorder. Det er ikke trålt i Altafjorden i 2021, eller benyttet vaktbur. I dette området regner en at 50% av fisken har utvandret uke 25 (24. juni).

Figuren viser stasjonene omtalt i teksten på et kart.
Figur 41. Stasjonene undersøkt med ruse eller garn i PO12 i 2021.

Ruse og garnfangst

I Talvik estimeres liten dødelighet uke 27 (Figur 42), økende til moderat i uke 30. På stasjonen i Porsangerfjorden (Handelsbukt) estimeres liten dødelighet uke 29. Garn og rusefangst indikerer at det er lav lakselusrelatert dødelighet i 2021.

Figuren viser resultatene beskrevet i teksten ovenfor.
Figur 42. Estimert luseindusert dødelighet på rusefanget sjøørret/sjørøye med 95% konfidensintervaller. Alle beregningene er basert på all fisk fanget og alle lusestadier.

I dette regner en at 50% av fisken har utvandret i uke 25 (24. juni), og undersøkelsene er derfor tatt 2-4 uker etter utvandringen. Da det er de fastsittende stadiene som dominerer, fanger stasjonen i Talvik opp hovedutvandringen, mens stasjonen i Handelsbukt fanger opp smittepresset fra median utvandring. Utslippene av nauplier er lave også i 2021, men det estimeres en jevn økning under smoltutvandringen Smittekartene sentret rundt median smoltutvandring indikerer enkelte begrensede områder med forhøyet smittepress. Stasjonene dekker ikke opp de områdene som smittekartene indikerer har høyest smittepress.

3.13 - PO 13 Øst Finnmark

I dette området har vi undersøkt Jarfjorden med garn, undersøkelsen indikerer lav dødelighet i området. Undersøkelsen er foretatt nesten 4 uker etter de oppdaterte tidene for utvandring. Det er ingen økning i utslipp av klekte nauplier fra anlegg i ukene 20-30, og smittekartene indikerer ikke områder med forhøyet smittepress hverken analysert rundt median utvandring eller i perioden etter median utvandring. Usikkerheten vurderes derfor som liten, selv om det bare er undersøkt en stasjon i dette relativt store området.

I dette området er det i 2021 undersøkt stasjoner i Jarfjord med ruse og garn (Figur 43). Det er ikke benyttet vaktbur eller trålt etter utvandrende laksesmolt. I dette området regner en at 50% av fisken har utvandret i uke 25 (23. juni).

Figuren viser stasjonene omtalt i teksten på et kart.
Figur 43. Stasjonene undersøkt med ruse eller garn i PO13 i 2021.

Ruse og garnfangst

I 2021 ble bare Jarfjord undersøkt uke 29. Det estimeres liten dødelighet (8 [3-13] %) (Figur 44).

Figuren viser resultatene beskrevet i teksten ovenfor.
Figur 44. Estimert luseindusert dødelighet på rusefanget sjøørret/sjørøye med 95% konfidensintervaller. Alle beregningene er basert på all fisk fanget og alle lusestadier.

Undersøkelsen er foretatt nesten 4 uker etter de oppdaterte tidene for utvandring, men da det er ingen økning i utslipp av klekte nauplier fra anlegg i ukene 20-30, og smittekartene ikke indikerer områder med forhøyet smittepress hverken analysert rundt median utvandring eller i perioden etter median utvandring, vurderes det at stasjonen er representativ for området.

4 - Referanser

Bjørn, P. A., Finstad, B., Asplin, L., Skilbrei, O., Nilsen, R., Serra-Llinares, R. M. & Boxaspen, K. K. (2011). Metodeutvikling for overvåkning og telling av lakselus på viltlevende laksefisk. Rapport fra Havforskningen, nr. 8-2011, 58 s.

Bui, S., Dempster, T., Remen, M. & Oppedal, F. (2016). Effect of ectoparasite infestation density and life‑history stages on the swimming performance of Atlantic salmon Salmo salar . Aquaculture Environment Interactions 8, 387-395.

Dawson, L. H. J., Pike, A. W., Houlihan, D. F. & McVicar, A. H. (1997). Comparison of the susceptibility of sea trout ( Salmo trutta L.) and Atlantic salmon ( Salmo salar L.) to sea lice ( Lepeophtheirus salmonis (Krøyer, 1837)) infections. ICES Journal of Marine Science 54, 1129-1139.

Efron, B. & Tibshirani, R. (1993). An introduction to the bootstrap: Chapman & Hall, London.

Grøn, H. H. (2016). Comparison of gillnet and trap in relation to retention of salmon lice ( Lepeophtheirus salmonis ), size selection of sea trout ( Salmo trutta ) and catch efficiency. - Comparing the two most used fishing gear in National Salmon lice monitoring Program. Master thesis, Universitetet i Tromsø.

Harvey, A. C., Quintela, M., Glover, K. A., Karlsen, Ø., Nilsen, R., Skaala, Ø., Sægrov, H., Kålås, S., Knutar, S. & Wennevik, V. (2019). Inferring Atlantic salmon post-smolt migration patterns using genetic assignment. Royal Society Open Science 6, 190426.

Nilsen, R., Serra-Llinares, R. M., Sandvik, A. D., Johnsen, I.A., Mohn, A.M., Karlsen, Ø., Lehmann, G. B., Birkeland, I.B., Stöger, E., Lennox, R., Uglem, I. & Berg, M. (2020). Lakselusinfestasjon på vill laksefisk langs norskekysten i 2020 - Sluttrapport til Mattilsynet. Rapport fra Havforskningen nr. 46-2020, 81 s.

Nilsen, R., Serra-Llinares, R. M., Sandvik, A. D., Mohn, A.M., Johnsen, I.A., Karlsen, Ø., Uglem, I. & Lehmann, G. B. (2021). Lakselusinfestasjon på vill laksefisk våren 2021 - Fremdriftsrapport til Mattilsynet. Rapport fra Havforskningen nr. 29-2021, 27 s.

Svåsand, T., Karlsen, Ø., Kvamme, B. O., Stien, L. H., Taranger, G. L. & Boxaspen, K. K. (2016). Risikovurdering norsk fiskeoppdrett 2016. Fisken og Havet, særnummer 2-2016, 190 s.

Taranger, G. L., Svåsand, T., Bjørn, P. A., Jansen, P. A., Heuch, P. A., Grøntvedt, R. N., Asplin, L., Skilbrei, O. T., Glover, K. A., Skaala, Ø., Wennevik, V. & Boxaspen, K. K. (2012). Forslag til førstegangs målemetode for miljøeffekt (effektindikatorer) med hensyn til genetisk påvirkning fra oppdrettslaks til villaks, og påvirkning av lakselus fra oppdrett på viltlevende laksefiskbestander Rapport fra Havforskningen nr. 13-2012 / Veterinærinstituttets rapportserie nr. 7-2012, 40 s.

Vollset, K. W., Halttunen, E., Finstad, B., Karlsen, Ø., Bjørn, P. A. & Dohoo, I. (2017). Salmon lice infestations on sea trout predicts infestations on migrating salmon post-smolts. ICES Journal of Marine Science 74, 2354-2363.

Wagner, G. N., McKinley, R. S., Bjørn, P. A. & Finstad, B. (2003). Physiological impact of sea lice on swimming performance of Atlantic salmon. Journal of Fish Biology 62, 1000-1009.

5 - Vedlegg A. Reduksjon av størrelse for laks fra 100 til 50g

Tidligere har en tatt bort fisk som er større enn 100 gram fra alle analysene (i tillegg til at merket fisk er ekskludert). Da det settes ut en del kultivert fisk som er behandlet mot lakselus, og det forekommer rømming av oppdrettsfisk, er det en risiko for at datasettene vil inkludere fisk som ikke er representative. Selv om denne laksen normalt tas ut pga. at den er merket, fettfinneklippet, eller bærer tydelig tegn på ett liv i oppdrett, har vi valgt å redusere størrelsen slik at all fisk > 50 g tas ut av analysene. Venstre panel i figurene nedenfor viser størrelsesfordelingen av all fisk fanget som er < 200 g med trål årene 2017-2020 for hovedområdene det tråles i.

Ved å redusere størrelsen for fisk brukt i analysene fra maksimalt 100 g til maksimalt 50 g reduseres antall fisk med 88 av en total på 8241 fisk (1%). Alle risikoberegningen forblir uendret.

Figuren viser antall trålfanget laks i ulike størrelsesgrupper, og viser at fisk som er merket er større enn umerket fisk.
Figur A1. Venstre panel i figurene viser størrelsesfordelingen som andel av all fisk fanget av umerket laks, høyre panel tilsvarende for umerkede (røde areal, tagged = 0) og merkede (blå areal, tagged = 1) fanget med trål i Boknafjorden for årene 2017-2020. Stiplete linjer markerer 50 (ny grense) og 100 g (tidligere grense).
Figuren viser antall trålfanget laks i ulike størrelsesgrupper, og viser at fisk som er merket er større enn umerket fisk.
Figur A2. Venstre panel i figurene viser størrelsesfordelingen som andel av all fisk fanget av umerket laks, høyre panel tilsvarende for umerkede (røde areal, tagged = 0) og merkede (blå areal, tagged = 1) fanget med trål i Hardangerfjorden for årene 2017-2020. Stiplete linjer markerer 50 (ny grense) og 100 g (tidligere grense).

 

Figuren viser antall trålfanget laks i ulike størrelsesgrupper, og viser at fisk som er merket er større enn umerket fisk.
Figur A3. Venstre panel i figurene viser størrelsesfordelingen som andel av all fisk fanget av umerket laks, høyre panel tilsvarende for umerkede (røde areal, tagged = 0) og merkede (blå areal, tagged = 1) fanget med trål i Sognefjorden for årene 2017-2020. Stiplete linjer markerer 50 (ny grense) og 100 g (tidligere grense).

 

Figuren viser antall trålfanget laks i ulike størrelsesgrupper, og viser at fisk som er merket er større enn umerket fisk.
Figur A4. Venstre panel i figurene viser størrelsesfordelingen som andel av all fisk fanget av umerket laks, høyre panel tilsvarende for umerkede (røde areal, tagged = 0) og merkede (blå areal, tagged = 1) fanget med trål i Romsdalsfjorden for årene 2017-2020. Stiplete linjer markerer 50 (ny grense) og 100 g (tidligere grense).

 

Figuren viser antall trålfanget laks i ulike størrelsesgrupper, og viser at fisk som er merket er større enn umerket fisk.
Figur A5. Venstre panel i figurene viser størrelsesfordelingen som andel av all fisk fanget av umerket laks, høyre panel tilsvarende for umerkede (røde areal, tagged = 0) og merkede (blå areal, tagged = 1) fanget med trål i Trondheimsfjorden for årene 2017-2020. Stiplete linjer markerer 50 (ny grense) og 100 g (tidligere grense).

 

Figuren viser antall trålfanget laks i ulike størrelsesgrupper, og viser at fisk som er merket er større enn umerket fisk.
Figur A6. Venstre panel i figurene viser størrelsesfordelingen som andel av all fisk fanget av umerket laks, høyre panel tilsvarende for umerkede (røde areal, tagged = 0) og merkede (blå areal, tagged = 1) fanget med trål i Altafjorden for årene 2017-2020. Stiplete linjer markerer 50 (ny grense) og 100 g (tidligere grense).

 

6 - Vedlegg B. Effekt av toleransegrenser for lus på garn og rusefanget sjøørret

For å vurdere hvilken effekt endrede toleransegrenser har på estimert dødelighet på garn og rusefanget sjøørret og sjørøye har vi reanalysert dataene med å sette toleransegrensene til hhv. halvparten og dobbelt så høy (Tabell B1), og grafene viser derfor estimert dødelighet med følgende toleransegrenser.

Dødelighet Lav toleranse Normal toleranse Høy toleranse
0 % RI ≤ 0,05 RI ≤ 0,1 RI ≤ 0,2
20 % 0,05 < RI ≤0,1 0,1 < RI ≤ 0,2 0,2 < RI ≤ 0,3
50 % 0,1< RI ≤ 0,15 0,2 < RI ≤ 0,3 0,4 < RI ≤ 0,6
100 % RI > 0,15 RI > 0,3 RI > 0,6
Tabell B1. Toleransegrenser brukt for i sensitivitetstesten, normal referer til toleransegrensene som er benyttet. RI er relativ infestasjon, dvs. antall lus per g fiskevekt.

 

Figur
Figur B1. Estimert risiko for dødelighet med konfidensintervaller for sjøørret fanget på stasjonene i PO1 beregnet ved å benytte standard (sirkler), lav (trekanter) eller høy (firkanter) toleransegrenser (Tabell B1). Alle beregningene er basert på all sjøørret/sjørøye fanget

 

Figur
Figur B2. Estimert risiko for dødelighet med konfidensintervaller for sjøørret fanget på stasjonene i PO2 beregnet ved å benytte standard (sirkler), lav (trekanter) eller høy (firkanter) toleransegrenser (Tabell B1). Alle beregningene er basert på all sjøørret/sjørøye fanget.

 

Figur
Figur B3. Estimert risiko for dødelighet med konfidensintervaller for sjøørret fanget på stasjonene i PO3 beregnet ved å benytte standard (sirkler), lav (trekanter) eller høy (firkanter) toleransegrenser (Tabell B1). Alle beregningene er basert på all sjøørret/sjørøye fanget.

 

Figur
Figur B4. Estimert risiko for dødelighet med konfidensintervaller for sjøørret fanget på stasjonene i PO4 beregnet ved å benytte standard (sirkler), lav (trekanter) eller høy (firkanter) toleransegrenser (Tabell B1). Alle beregningene er basert på all sjøørret/sjørøye fanget.

 

Figur
Figur B5. Estimert risiko for dødelighet med konfidensintervaller for sjøørret fanget på stasjonene i PO5 beregnet ved å benytte standard (sirkler), lav (trekanter) eller høy (firkanter) toleransegrenser (Tabell B1). Alle beregningene er basert på all sjøørret/sjørøye fanget.

 

Figur
Figur B6. Estimert risiko for dødelighet med konfidensintervaller for sjøørret fanget på stasjonene i PO6 beregnet ved å benytte standard (sirkler), lav (trekanter) eller høy (firkanter) toleransegrenser (Tabell B1). Alle beregningene er basert på all sjøørret/sjørøye fanget.

 

Figur
Figur B7. Estimert risiko for dødelighet med konfidensintervaller for sjøørret fanget på stasjonene i PO7 beregnet ved å benytte standard (sirkler), lav (trekanter) eller høy (firkanter) toleransegrenser (Tabell B1). Alle beregningene er basert på all sjøørret/sjørøye fanget.

 

Figur
Figur B8. Estimert risiko for dødelighet med konfidensintervaller for sjøørret fanget på stasjonene i PO8 beregnet ved å benytte standard (sirkler), lav (trekanter) eller høy (firkanter) toleransegrenser (Tabell B1). Alle beregningene er basert på all sjøørret/sjørøye fanget.

 

Figur
Figur B9. Estimert risiko for dødelighet med konfidensintervaller for sjøørret/sjørøye fanget på stasjonene i PO9 beregnet ved å benytte standard (sirkler), lav (trekanter) eller høy (firkanter) toleransegrenser (Tabell B1). Alle beregningene er basert på all sjøørret/sjørøye fanget.

 

Figur
Figur B10. Estimert risiko for dødelighet med konfidensintervaller for sjøørret/sjørøye fanget på stasjonene i PO10 beregnet ved å benytte standard (sirkler), lav (trekanter) eller høy (firkanter) toleransegrenser (Tabell B1). Alle beregningene er basert på all sjøørret/sjørøye fanget.

 

Figur
Figur B11. Estimert risiko for dødelighet med konfidensintervaller for sjøørret/sjørøye fanget på stasjonene i PO11 beregnet ved å benytte standard (sirkler), lav (trekanter) eller høy (firkanter) toleransegrenser (Tabell B1). Alle beregningene er basert på all sjøørret/sjørøye fanget.

 

Figur
Figur B12. Estimert risiko for dødelighet med konfidensintervaller for sjøørret/sjørøye fanget på stasjonene i PO12 beregnet ved å benytte standard (sirkler), lav (trekanter) eller høy (firkanter) toleransegrenser (Tabell B1). Alle beregningene er basert på all sjøørret/sjørøye fanget.

 

Figur
Figur B13. Estimert risiko for dødelighet med konfidensintervaller for sjøørret/sjørøye fanget på stasjonene i PO13 beregnet ved å benytte standard (sirkler), lav (trekanter) eller høy (firkanter) toleransegrenser (Tabell B1). Alle beregningene er basert på all sjøørret/sjørøye fanget.

7 - Vedlegg C. Effekt av toleransegrenser for lus på trålfanget laks

For å vurdere hvilken effekt endrede toleransegrenser har på estimert dødelighet på trålfanget utvandrende postsmolt av laks har vi reanalysert dataene med å sette toleransegrensene til hhv. halvparten og dobbelt så høy (Tabell C1), og grafene viser derfor estimert dødelighet med følgende toleransegrenser:

Dødelighet Lav toleranse Normal toleranse Høy toleranse
0 % RI ≤ 0,05 RI ≤ 0,1 RI ≤ 0,2
20 % 0,05 < RI ≤0,1 0,1 < RI ≤ 0,2 0,2 < RI ≤ 0,3
50 % 0,1< RI ≤ 0,15 0,2 < RI ≤ 0,3 0,4 < RI ≤ 0,6
100 % RI > 0,15 RI > 0,3 RI > 0,6
Tabell C1. Toleransegrenser brukt for i sensitivitetstesten, normal referer til toleransegrensene som er benyttet. RI er relativ infestasjon, dvs. antall lus per g fiskevekt.

 

Figur
Figur C1. Estimert risiko for dødelighet med konfidensintervaller for trålfanget laks i Boknafjorden 2017-2021 beregnet ved å benytte standard (sirkler), lav (trekanter) eller høy (firkanter) toleransegrense slik de er definert i tabell C1.

 

Figur
Figur C2. Estimert risiko for dødelighet med konfidensintervaller for trålfanget laks i Hardangerfjorden 2017-2021 beregnet ved å benytte standard (sirkler), lav (trekanter) eller høy (firkanter) toleransegrense slik de er definert i tabell C1.

 

Figur
Figur C3. Estimert risiko for dødelighet med konfidensintervaller for trålfanget laks i Sognefjorden 2017-2021 beregnet ved å benytte standard (sirkler), lav (trekanter) eller høy (firkanter) toleransegrense slik de er definert i tabell C1.

 

Figur
Figur C4. Estimert risiko for dødelighet med konfidensintervaller for trålfanget laks i Romsdalsfjorden 2017-2021 beregnet ved å benytte standard (sirkler), lav (trekanter) eller høy (firkanter) toleransegrense slik de er definert i tabell C1.

8 - Vedlegg D. Effekt av størrelse sjøørret

I rapporten har vi estimert dødelighet for all sjøørret fanget. Her viser vi effekten av å bare bruke data fra fisk < 150 g.

Figur
Figur D1. Estimert risiko for dødelighet med konfidensintervaller for sjøørret/sjørøye fanget på stasjonene i PO1 beregnet enten ved å bare inkludere fisk < 150 g, eller all sjøørret/sjørøye fanget.

 

Figur
Figur D2. Estimert risiko for dødelighet med konfidensintervaller for sjøørret/sjørøye fanget på stasjonene i PO2 beregnet enten ved å bare inkludere fisk < 150 g, eller all sjøørret/sjørøye fanget.

 

Figur
Figur D3. Estimert risiko for dødelighet med konfidensintervaller for sjøørret/sjørøye fanget på stasjonene i PO3 beregnet enten ved å bare inkludere fisk < 150 g, eller all sjøørret/sjørøye fanget.

 

Figur
Figur D4. Estimert risiko for dødelighet med konfidensintervaller for sjøørret/sjørøye fanget på stasjonene i PO4 beregnet enten ved å bare inkludere fisk < 150 g, eller all sjøørret/sjørøye fanget.

 

Figur
Figur D5. Estimert risiko for dødelighet med konfidensintervaller for sjøørret/sjørøye fanget på stasjonene i PO5 beregnet enten ved å bare inkludere fisk < 150 g, eller all sjøørret/sjørøye fanget.

 

Figur
Figur D6. Estimert risiko for dødelighet med konfidensintervaller for sjøørret/sjørøye fanget på stasjonene i PO6 beregnet enten ved å bare inkludere fisk < 150 g, eller all sjøørret/sjørøye fanget.

 

Figur
Figur D7. Estimert risiko for dødelighet med konfidensintervaller for sjøørret/sjørøye fanget på stasjonene i PO7 beregnet enten ved å bare inkludere fisk < 150 g, eller all sjøørret/sjørøye fanget.

 

Figur
Figur D8. Estimert risiko for dødelighet med konfidensintervaller for sjøørret/sjørøye fanget på stasjonene i PO8 beregnet enten ved å bare inkludere fisk < 150 g, eller all sjøørret/sjørøye fanget.

 

Figur
Figur D9. Estimert risiko for dødelighet med konfidensintervaller for sjøørret/sjørøye fanget på stasjonene i PO9 beregnet enten ved å bare inkludere fisk < 150 g, eller all sjøørret/sjørøye fanget.

 

Figur
Figur D10. Estimert risiko for dødelighet med konfidensintervaller for sjøørret/sjørøye fanget på stasjonene i PO10 beregnet enten ved å bare inkludere fisk < 150 g, eller all sjøørret/sjørøye fanget.

 

Figur
Figur D11. Estimert risiko for dødelighet med konfidensintervaller for sjøørret/sjørøye fanget på stasjonene i PO11 beregnet enten ved å bare inkludere fisk < 150 g, eller all sjøørret/sjørøye fanget.

 

Figur
Figur D12. Estimert risiko for dødelighet med konfidensintervaller for sjøørret/sjørøye fanget på stasjonene i PO12 beregnet enten ved å bare inkludere fisk < 150 g, eller all sjøørret/sjørøye fanget.

 

Figur
Figur D13. Estimert risiko for dødelighet med konfidensintervaller for sjøørret/sjørøye fanget på stasjonene i PO13 beregnet enten ved å bare inkludere fisk < 150 g, eller all sjøørret/sjørøye fanget.