Go to main content

Foreløpige råd for tobisfiskeriet i norsk økonomisk sone 2023

Author(s): Espen Johnsen (IMR)

1 - Råd

I henhold til målsetningen i den norske forvaltningsmodellen for tobis tilrår Havforskningsinstituttet (HI) en foreløpig kvote i NØS på inntil 60 000 tonn i 2023, der underområdene 1b,1c, 2a, 2c, 3a og 3c åpnes for tobisfiske i perioden 15. april – 23. juni. Forvaltningsområdene 4 og 5 anbefales stengt grunnet liten bestand av tobis i disse områdene. Resultatene fra HI sitt akustiske tokt i 2023 vil bli brukt til å lage et oppdatert råd på tobis som vil foreligge senest 15. mai 2023.

År Foreløpig råd Endelig råd i mai
Kvoteråd (tonn) Åpne underområder Kvoteråd (tonn) Åpne underområder
2010 20 000 1b, 2b, 3b 50 000 1b, 2b, 3b
2011 60 000 1a, 2a, 3a 90 000 1a, 2a, 3a
2012 40 000 1b, 2b, 3b 40 000 1b, 2b, 3b
2013 20 000 3a 20 000 3a
2014 15 000 3b, 3c 90 000 2a, 3b, 3c, 4b
2015 100 000 2b, 3b, 3a 100 000 1b, 2b, 3a, 3b, 4a
2016 40 000 1b, 2a, 3a, 3b 40 000 1b, 2a, 3a, 3b, 4a
2017 50 000 1b, 1c, 2b, 2c, 3c, 3b, 4a 120 000 1b, 1c, 2b, 2c, 3c, 3b, 4a
2018 70 000 1b, 1c, 2a, 2c, 3a, 3b, 4b 70 000 1b, 1c, 2a, 2c, 3a, 3b, 4b
2019 55 000 1b, 1c, 2b, 2c, 3b, 3c, 4a 125 000 1b, 1c, 2b, 2c, 3b, 3c, 4a
2020 70 000 1a, 1c, 2b, 2c,3b,3c, 4a 250 000 1a, 1c, 2b, 2c,3b,3c, 4a
2021 110 000 1b,1c, 2a, 2c, 3a, 3c, 4b 145 000 1b,1c, 2a, 2c, 3a, 3c, 4b
2022 60 000 1a,1c, 2b, 2c, 3b, 3c, 4a 95 000 1a,1c, 2b, 2c, 3b, 3c
2023 60 000 1b, 1c, 2a, 2c, 3a,3c    
Tabell 1. Kvoteråd 2010-2023 i norsk økonomisk sone.

2 - Oppsummering bestandssituasjon

Gytebiomassen av havsil (tobis) i forvaltningsområdene 1-3 er vurdert til å være god i 2023, men den har sunket betraktelig siden 2020 da bestanden var rekordstor. I forvaltningsområde 4 er bestanden vurdert til å være for lav til å kunne åpnes for fiske, og dette området ble også stengt for fiske i siste del av sesongen 2022. Gytebiomassen er fortsatt kritisk lav i forvaltningsområde 5 (Vikingbanken).

Mengdeindeksen fra skrapetoktet gjennomført i november-desember 2022 indikerer at 2022-årsklassen er under middels, men det er heftet stor usikkerhet til denne indeksen. Et langt mer sikkert estimat på årsklassestyrken og dermed totalbestanden (alder 1+) vil være tilgjengelig når man har gjennomført det akustiske toktet i april-mai 2023.

Voksen havsil lever av dyreplankton. I 2022 har mattilgangen for havsil vært god, og den individuelle vekten middels høy.

3 - Metode for prediksjon av total biomasse i 2023

For å predikere mengde og antall av 1 år og eldre tobis i april 2023 er følgende beregninger og modellantagelser brukt:

  1. Antall individer som har overlevd fiskeriet i 2022:

    • Estimert antall per lengdegruppe fra akustikktoktet 2022 minus estimert antall individer fanget av flåten per lengdegruppe.

  2. Antall individer som dør naturlig i perioden mellom to akustiske tokt (i løpet av ett år).

    • Våre beregninger antyder at i gjennomsnitt dør 50 % av hver årsklasse naturlig per år. I våre prediksjoner brukes derfor en naturlig dødelighet på M=0,7 (ca. 50%) for alle aldersgrupper.

  3. Lengdeveksten hos individene mellom to tokt (dvs. ett år) blir predikert i henhold til følgende modell:

    • Formel der økningen i lengde (dL) er omvendt proporsjonal med lengden (Ls). dL minker dermed mot maksimum lengde Lmax. k øker med gode vekstvilkår. I den nåværende framskrivningen antas k konstant. I vår modell har vi brukt parameterverdiene k=0.25 og Lmax=26 cm (Hamre et al. 2014).

  4. Beregnet individvekt (w) per lengdegruppe (Ls) i 2023:

    • Formel der a og b er estimert fra 2022 toktdata. Antagelsen er at vekstforholdene i 2023 vil ligne på de i 2022. Analyser viser at prediksjonsfeilen er mindre når man bruker denne antagelsen enn å bruke gjennomsnittlig lengde-vekt relasjon for tidsserien. Man bruker 0.5 cm lengdegrupper.

  5. Et forsiktig anslag på rekrutteringen av ettåringer i 2023 predikeres ved hjelp av skrapetoktet som ble gjennomført i desember 2022. Tidligere tokt viser at antall ettåringer estimert under akustikktoktet om våren og mengdeindeksen av 0-åringer fra skrapetoktet i desember er korrelert. Denne korrelasjonen tilpasses en lineær modell som brukes til å predikere antall ettåringer i akustikktoktet som funksjon av skrapetoktindeksen for nullåringer året før (kalt regresjonslinjen). For å ta hensyn til usikkerheten i skrapetoktindeksene, estimatene av antall ettåringer fra akustikktoktet, og parameterne i den lineære modellen er predikert rekruttering beregnet som det antall ettåringer som framkommer fra skjæringspunktet mellom regresjonslinjen og 5-persentilen til skrapetoktindeksen av 0-åringene.

    • Lengdefordelingen av ettåringene i 2023 antas å være lik lengdefordelingen av ettåringer i det toktåret der estimert antall ettåringer er nærmest det antall som er predikert for 2023 (siden det antas at individveksten er tetthetsavhengig). For 2023 brukes den samme lengdefordelingen for ettåringer som observert i 2022.

4 - Prediksjon og treffsikkerhet

Tilsvarende prediksjon som beskrevet over (med unntak av punkt e) er beregnet for alle toktår etter 2009. Predikert individvekt er beregnet ved å bruke a og b parameterne i lengde-vekt funksjonen estimert fra toktdata året før prediksjonsåret. Figur 1 viser predikert og estimert (toktresultat) antall per lengdegruppe for 2 år og eldre individer per toktår. Det er noe avvik mellom predikert og estimert antall individer, og for de fleste årene har det blitt estimert flere individer under toktene enn predikert. I 2018-2020 ble det målt vesentlig flere individer enn predikert, mens toktestimatene i 2021 og 2022 kun var henholdsvis 2,5% og 1,6% lavere enn predikert. I 2019 og 2020 var også biomasse-estimatene vesentlig høyere enn predikert biomasse (Figur 2). I 2018 medførte en oppsiktsvekkende svak individvekt i 2018 (se Johnsen 2018) til at prediksjonen av biomasse var hele 51% høyere enn toktestimatet, på tross av et høyt antallsestimat (Figur 2 og Tabell 2). Dette viser at det er vanskelig å predikere fremtidig toktestimat ettersom både dødelighet og individvekst varierer mellom år. Det er i tillegg en del usikkerhet i selve toktestimatet.

Estimatene fra akustikktoktet er beregnet med StoX (Johnsen et. al 2019), og hele tidsserien ble utregnet på nytt høsten 2022 etter en grundig evaluering i forbindelse med et pågående arbeid med tobisassessmentet i ICES (metoderevisjon, såkalt benchmark). Alle toktestimatene i denne rapporten er beregnet som gjennomsnittet av bootstrap av 1000 kjøringer.

 

Sort linje viser prediksjon (ett år frem i tid) av antall per lengdegruppe for 2 år og eldre individer. Rød linje viser estimat av antall per lengdegruppe av fisk 2 år og eldre fra det akustiske toktet. For 2022 foreligger det ikke noe toktestimat før i mai.
Figur 1 . Sort linje viser prediksjon (ett år frem i tid) av antall per lengdegruppe for 2 år og eldre individer. Rød linje viser estimat av antall per lengdegruppe av fisk 2 år og eldre fra det akustiske toktet. For 2023 foreligger det ikke noe toktestimat før i mai.

 

Predikert biomasse versus estimert biomasse av 2 år og eldre tobis i det akustiske toktet i mai per år. Den stiplede linjen viser kurven der predikert og estimert biomasse er lik. Årstallene viser til toktår (da biomassen ble estimert).
Figur 2 . Predikert biomasse versus estimert biomasse av 2 år og eldre tobis i det akustiske toktet i mai per år. Den stiplede linjen viser kurven der predikert og estimert biomasse er lik. Årstallene viser til toktår (da biomassen ble estimert).

 

4.1 - Prediksjonsfeil av biomasse av to år og eldre tobis

Ettersom prediksjonen (Figur 2, Tabell 2) innehar en del usikkerhet er det nødvendig å legge på en sikkerhetsbuffer i det foreløpige rådet i tilfelle prediksjonen av biomassen i 2023 er for optimistisk.

Prediksjonsfeilen per år (y) er beregnet som:

prediskjonfeil

der formel er biomasse predikert for alder 2 år og eldre tobis, og  formel er estimert biomasse fra de akustiske toktene for alder 2 år og eldre tobis. Prediksjonsfeilen viser hvor mye man har over- eller undervurdert bestanden i prediksjonen i forhold til estimatet. De historiske prediksjonsfeilene gir viktig informasjon om hvor forsiktig eller føre-var man bør være når anbefalt kvote baseres på prediksjonen av biomasse. For fastsettelsen av det foreløpige kvoterådet er det fokus på de årene der prediksjonen er høyere enn de toktestimatene siden det vil være uforsvarlig å gi en høyere foreløpig kvote enn det toktestimatet for biomasse skulle tilsi. I henhold til forvaltningsmodellen er det mulig å øke rådet i etterkant av toktet – men det er ikke mulig å redusere kvoterådet. Med dette som utgangspunkt beregnes den gjeldende prediksjonsfeilen som snittet av prediksjonsfeilene i 2011, 2013, 2018 og 2021 (58%). For disse årene er toktestimatet lavere enn predikert biomasse (Tabell 2). På grunn av vanskelige måleforhold og underestimering i 2015 (Johnsen 2016) er dette 2015-toktet ekskludert fra utregningen av prediksjonsfeilen brukt i kvoterådet.

År Estimert Predikert Prediksjonsfeil %
2010 211 077 171 885 -19
2011 144 802 203 723 41
2012 104 825 52 228 -50
2013 21 699 46 470 114
2014 168 751 18 873 -89
2015 101 446 242 636 139
2016 130 112 47 876 -63
2017 106 588 48 660 -54
2018 137 846 212 600 54
2019 257 883 83 928 -67
2020 379 364 174 650 -54
2021 297 180 363 027 22
2022 237 804 205 064 -14
2023 - 154 525 -
Tabell 1 . Predikert og estimert (fra tokt) biomasse (tonn) av 2 år og eldre tobis. Positiv prediksjonsfeil betyr at prediksjonsmodellen gir et høyere biomasse-anslag enn toktestimatet.

4.2 - Prediksjon av rekruttering

I 2014 startet man med årlige tobisskrapetokt i november-desember i sørlige del av norsk sone av Nordsjøen. Hensikten var å få en tidlig indikasjon på rekrutteringen av ettåringer om våren. Detaljer om skrapetoktet er beskrevet senere i rapporten.

Mengdeindeksen av 0-åringer fra skrapetoktet er kun svakt korrelert (r2=0.28) med toktestimatet av ettåringene våren året etter (Figur 3). Skrapetoktet gir lekevel en god indikasjon når rekrutteringen er dårlig. Dette er tydelig for både 2015-,2017- og 2021-årsklassene som alle ble estimert til å være svake i både skrapetoktene og de akustiske toktene. Skrapetoktet klarer imidlertid ikke å estimere med en høy presisjon om en årsklasse er middels eller sterk når individene er ett år om våren (Figur 3). Denne store usikkerheten i prediksjonen av antall ettåringer blir tatt hensyn til ved at man bruker et forsiktig anslag på rekrutteringen, der antall ettåringer framkommer fra skjæringspunktet mellom regresjonslinjen og 5-persentilen til skrapetoktindeksen av 0-åringene (Figur 3). Biomassen av disse ettåringer beregnes ved å anta at den relative lengdefordelingen til ettåringene er lik den relative lengdefordelingen observert i det året som hadde et tilnærmet likt antall ettåringer som predikert for 2023. Utgangspunktet for å bruke en slik lengdefordelingen er at lengdeveksten antas å være tetthetsavhengig. For 2023 brukes den samme lengdefordelingen for ettåringer som observert i 2022. Individvekten per lengdegruppe beregnes ved å bruke Formel der a og b er estimert fra toktdata fra 2022. Biomassen blir individvekt ganger antall per lengdegruppe summert over alle lengdegruppene.

Mengdeindeks av nullåringer fra skrapetokt («Age 0 – dredge index») versus akustisk mengdeestimat av ettåringer året etter (Antall, Alder 1) med 5-95% konfidensintervall (feillinjer rundt punktene) for årsklassene 2014-2021 (14-21 i figuren). Blå linje viser median rekrutteringsindeks fra skrapetoktet høsten 2022, og prikkete blå linjer viser de tilhørende 5- og 95- persentilene. Den røde linjen er en lineær regresjon basert på punktestimatene, altså en modell for å forutsi antall ettåringer i det akustiske toktet (mai) basert på skrapetoktet i november-desember året før.
Figur 3 . Mengdeindeks av nullåringer fra skrapetokt («Age 0 – dredge index») versus akustisk mengdeestimat av ettåringer året etter (Antall, Alder 1) med 5-95% konfidensintervall (feillinjer rundt punktene) for årsklassene 2014-2021 (14-21 i figuren). Blå linje viser median rekrutteringsindeks fra skrapetoktet høsten 2022, og prikkete blå linjer viser de tilhørende 5- og 95-persentilene. Den røde linjen er en lineær regresjon basert på punktestimatene, altså en modell for å forutsi antall ettåringer i det akustiske toktet (mai) basert på skrapetoktet i november-desember året før.

5 - Høstingsregel

I 2018 ble det introdusert en regel for kvotefastsettelse for tobis i den norske forvaltningsmodellen. Regelen baserer seg på prediksjonene vist i Figur 1 og Figur 2 i kombinasjon med rekrutteringsindeksen estimert fra skrapetoktet. Dette gjør kvoterådet for tobis mer forutsigbart og objektivt. I 2019 ble det også utarbeidet en regel for hvordan skrapetoktindeksen kan brukes mer direkte til å utarbeide det foreløpige rådet.

Utgangspunktet for regelen er at gjennomsnittlig årlig høstingsgrad (definert som fangst i tonn dividert på estimert biomasse av alder 1+ fra det akustiske toktet) har vært ca. 40 % for perioden 2010 til 2021 (Tabell 3). En slik høstingsrate synes å gi en langsiktig god balanse mellom overlevelse av tobis og et stabilt godt fiskeri.

År Biomasse RSE *Fangst %Høstingsgrad
2009 225 460 0.24 0 0
2010 353 115 0.21 50 471 14
2011 146 119 0.20 88 424 61
2012 104 916 0.19 40 889 39
2013 30 251 0.28 9 052 30
2014 404 807 0.20 82 499 20
2015 170 161 0.12 100 858 59
2016 117 780 0.20 40 836 35
2017 363 980 0.14 119 975 33
2018 141 939 0.09 69 531 49
2019 327 518 0.12 123 958 38
2020 653 184 0.18 234 754 36
2021 372 707 0.14 146 442 39
2022 275 160 0.23 81 676 30
Tabell 2 . Estimert biomasse alder 1+, tonn) fra det akustiske toktet med relativ standard feil (RSE). Fangst i tonn og høstingsgrad per år.

* Disse fangstene avviker litt fra offisielle landingsdata da de er beregnet fra fangstdagbøkene for å få en høyere romlig oppløsning.

Høstingsregel for å sette en foreløpig kvote:

kvote

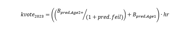
der formel er biomasse predikert for alder 2 år og eldre tobis, og formel er biomasse predikert for alder 1 fra rekrutteringsindeksen fra skrapetoktet (Totalt antall individer ≈ 6,52 mrd., og gjennomsnittlig indvidvekt 7,76) (se punkt e på side 2 og Figur 3) og hr er høstingsgraden (0,4, dvs. 40%). Forsiktighetsbufferen er satt til (1+pred.feil) dvs. (1+0,58).

Prediksjonsusikkerheten er større for alder 1, men denne usikkerheten er tatt hensyn til ved å bruke 5-persentilen av skrapetoktindeksen (Figur 3).

Den predikerte biomassen av 2 år og eldre tobis i 2023 er 154 525 tonn, og den predikerte biomassen (basert på 5-persentilen fra skrapetoktet, Figur 3) av ettåringer i 2023 er 50 582 tonn. Dette gir et foreløpig kvoteråd på 60 000 tonn (i henhold til ligningen over avrundet til nærmeste 5000 tonn).

Et fiske på 60 000 tonn i 2023 gir i henhold til videre framskrivinger en biomasse av tobis (2 år og eldre) på ca. 150 000 tonn i 2024.

6 - Forvaltningsmodell av tobis

Etter en prøvefase i 2010 innførte Norge fra 2011 en områdebasert forvaltning av tobis i norsk økonomisk sone av Nordsjøen (NØSNS). Hovedmålsettingen med planen er å bygge opp tilstrekkelig gytebiomasse av tobis på alle historisk viktige tobisfelt i NØSNS for å sikre et langsiktig bærekraftig tobisfiske. En slik forvaltning vil øke rekrutteringspotensialet for denne nøkkelarten i økosystemet, og dermed gi økt mattilgang for arter i Nordsjøen som beiter på tobislarver og eldre tobis samt danne et grunnlag for et bærekraftig fiske. Forvaltningsmodellen ble evaluert av Fiskeridirektoratet, HI og fiskerinæringen i 2014, 2016 og 2020. Kart over gjeldende forvaltningsområder og underområder er vist i Figur 4. Posisjonene til de gjeldende områdegrensene er gitt i Vedlegg 1. Tidligere inndelinger av forvaltningsområdene og detaljer i forvaltningsmodellen er vist i Vedlegg 2.

Når beregningene tilsier at gytebiomassen er for lav til å sikre en full reproduksjonskapasitet for den lokale tobisbestanden vil området være stengt for tobisfiskeri. Dette har vært situasjonen i Forvaltningsområde 5 (Vikingbanken) siden 2010. I henhold til forvaltningsmodellen skal HI forut for fiskerisesongen gi råd om totalkvote og hvilke områder som kan åpnes. I løpet av april-mai 2023 skal HI gjennomføre et akustisk tokt for å validere tidligere bestandsprognoser med et særlig fokus på rekrutteringen (1-åringer). Basert på disse undersøkelsene skal HI gi et oppdatert råd om en eventuell åpning av nye områder, og en eventuell økt kvote.

 

Tobisområdene i NØSNS og inndeling av de norske forvaltningsområdene. Gyldig f.o.m 2020.
Figur 4 . Tobisområdene i NØSNS og inndeling av de norske forvaltningsområdene. Gyldig f.o.m 2020.

7 - Akustikktokt

Havforskningsinstituttet har utviklet akustisk metodikk for å måle utbredelse og mengde av tobis, og i nært samarbeid med tobisfiskerne er de sentrale og historisk viktige tobisområdene i norsk sone definert. For hvert toktområde (strata) (Figur 5) blir det brukt et toktdesign som enten baserer seg på parallelle eller sikksakk-kurser med tilfeldig startpunkt. Dette tillater beregning av sampling-usikkerheten. Med ny kunnskap om geografisk fordeling av tobis har noen av toktområdene blitt noe endret mellom tokt. Se Johnsen (2022) for detaljer.

Strata (grå polygoner) dekket under tobistoktet 2022. Et stratum kan dekke flere mindre tobisfelt.
Figur 5 Strata (grå polygoner) dekket under tobistoktet 2022. Et stratum kan dekke flere mindre tobisfelt.

8 - Skrapetokt

Danmarks Tekniske Universitet, Institutt for Akvatiske Ressurser (DTU-Aqua) har gjennomført et utvidet skrapetokt i november-desember i 2014-2022 i områdene 1-4 i norsk sone. Målsettingen med dette toktet er å måle mengden 0-åringer i november-desember for å ha et mål på rekrutteringen før fiskeriet starter i april året etter.

Fra 2014 ble skrapetoktet utvidet med flere stasjoner i norsk sone med økonomisk støtte fra norsk fiskerinæring. Fra 2018 har Havforskningsinstituttet finansiert dette toktet. Det knyttes en del usikkerhet til hvor godt fangstratene i skrapetoktet kan forutsi mengden 1-åringer om våren, men resultatene fra 2014-2021 indikerer at man i alle fall kan bruke skrapetoktdataene til å forutsi om en årsklasse er svak eller sterk.

Figur 6 gir en oversikt over den geografiske fordelingen av skrapestasjoner og fangstratene for 0- og 1-åringer per år i NØSNS. Rekrutteringsindeksen er beregnet ved å bruke arealvektet delta-lognormal fordeling grunnet mange nullstasjoner og skjev fordeling av fangstratene (Pennington, 1983). Konfidensintervallene ble estimert ved hjelp av bootstrap (1000 kjøringer). Rekrutteringsindeksen for 2022-årsklassen indikerer at denne årsklassen er under middels sterk (Figur 7 og Tabell 4).

Skrapeposisjoner i norsk økonomisk sone (NØSNS) 2022. Størrelse på sirklene indikerer fangstrate (antall per tauemeter). Nullfangstene er indikert med røde kryss.

Skrapeposisjoner i norsk økonomisk sone (NØSNS) 2021. Størrelse på sirklene indikerer fangstrate (antall per tauemeter). Nullfangstene er indikert med røde kryss.

Skrapeposisjoner i norsk økonomisk sone (NØSNS) 2020. Størrelse på sirklene indikerer fangstrate (antall per tauemeter). Nullfangstene er indikert med røde kryss.

Skrapeposisjoner i norsk økonomisk sone (NØSNS) 2019. Størrelse på sirklene indikerer fangstrate (antall per tauemeter). Nullfangstene er indikert med røde kryss.

Skrapeposisjoner i norsk økonomisk sone (NØSNS) 2018. Størrelse på sirklene indikerer fangstrate (antall per tauemeter). Nullfangstene er indikert med røde kryss.

Skrapeposisjoner i norsk økonomisk sone (NØSNS) 2017. Størrelse på sirklene indikerer fangstrate (antall per tauemeter). Nullfangstene er indikert med røde kryss.

Skrapeposisjoner i norsk økonomisk sone (NØSNS) 2016. Størrelse på sirklene indikerer fangstrate (antall per tauemeter). Nullfangstene er indikert med røde kryss.

Skrapeposisjoner i norsk økonomisk sone (NØSNS) 2015. Størrelse på sirklene indikerer fangstrate (antall per tauemeter). Nullfangstene er indikert med røde kryss.

 

Skrapeposisjoner i norsk økonomisk sone (NØSNS) 2014. Størrelse på sirklene indikerer fangstrate (antall per tauemeter). Nullfangstene er indikert med røde kryss.
Figur 6 . Skrapeposisjoner i norsk økonomisk sone (NØSNS) 2014-2022. Størrelse på sirklene indikerer fangstrate (antall per tauemeter). Nullfangstene er indikert med røde kryss.

 

Rekrutteringsindeksen (Alder 0) fra skrapetoktet. Indeksen er vist med median og konfidensintervall (5-95%).
Figur 7 . Rekrutteringsindeksen (Alder 0) fra skrapetoktet. Indeksen er vist med median og konfidensintervall (5-95%).

 

År 5 % Snitt 95 %
2014 0.431 1.357 2.906
2015 0.003 0.014 0.035
2016 0.472 0.835 1.337
2017 0.061 0.106 0.157
2018 0.507 0.996 1.591
2019 0.431 1.284 2.376
2020 0.429 1.148 2.280
2021 0.145 0.205 0.268
2022 0.258 0.406 0.583
Tabell 3 . Rekrutteringsindeks (Alder 0) fra skrapetoktet.

9 - Fiskeridata

Tobis holder seg på avgrensede områder med bunnforhold der den kan grave seg ned i sanden. Det er i disse avgrensede tobisområdene flåten tråler (Johnsen et al. 2021). Figur 8 viser hvilke underområder som var åpne for fiskeri i 2022. Totalt ble det fra norsk sone landet over nesten 82 000 tonn av norske fartøy.

Stengte (røde) og åpne (gjennomsiktige) områder for tobisfiskeriet i NØSNS 2022. Område 4a er markert med oransje striper for å indikere at dette området ble stengt midt i sesongen etter at resultatene fro tobistoktet forelå. Grønt indikerer tobisområdene. Stiplede linjer viser ICES-ruter, og rutenavn er gitt på topp- og høyreakse.
Figur 8 . Stengte (røde) og åpne (gjennomsiktige) områder for tobisfiskeriet i NØSNS 2022. Område 4a er markert med oransje striper for å indikere at dette området ble stengt midt i sesongen etter at resultatene fro tobistoktet forelå. Grønt indikerer tobisområdene. Stiplede linjer viser ICES-ruter, og rutenavn er gitt på topp- og høyreakse.

 

(c)

Tabell 5 viser fordelingen av tobisfangstene per forvaltningsområde og måned. Det ble fanget mest tobis i område 2 og 3, mens det i område 1 ble fanget 7 500 tonn. I 2002 ble det omtrent ikke fanget noe i område 4, og dette området ble stengt i løpet av sesongen daman målte bestanden her til å være svært lav under tobistoktet i april-mai. Over halvparten av fangsten ble tatt i mai. Et lite kvantum (ca. 670 tonn) ble fanget utenfor forvaltningsområdene (like nord av område 3).

  Forvaltningsområde  
Måned 1 2 3 4 Totalt
April 3 906 110 12 372 - 16 388
Mai 2 453 23 855 19 377 370 46 055
Juni 1 156 497 16 531 - 18 183
Totalt 7 515 24 461 48 280 370 80 626
Tabell 4 . Norske landinger av tobis (tonn) per forvaltningsområde og måned i 2022.

 

Aldersfordeling i de kommersielle fangstene av tobis fra NØSNS for perioden 2010-2022.
Figur 9 . Aldersfordeling i de kommersielle fangstene av tobis fra NØSNS for perioden 2010-2022.

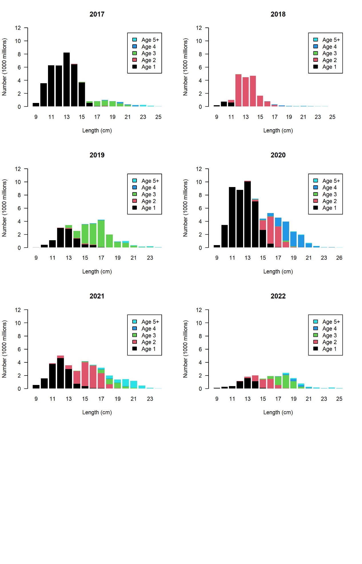
Analyser viser at lengdefordelingene fra toktene og de norske fangstene er like, noe som gir en sterk indikasjon på at både toktdata og fangstdata reflekterer den reelle lengdestrukturen i bestanden. Ved høy rekruttering, som av 2019-årsklassen i 2020-fisket, dominerer 1-åringer i fangstene (Figur 9). I 2022 ble det fanget jevnt med 1-, 2-, 3- og 6-åringer.

10 - Resultat fra akustikktokt og bestandsutvikling

10.1 - Forvaltningsområdene 1-4

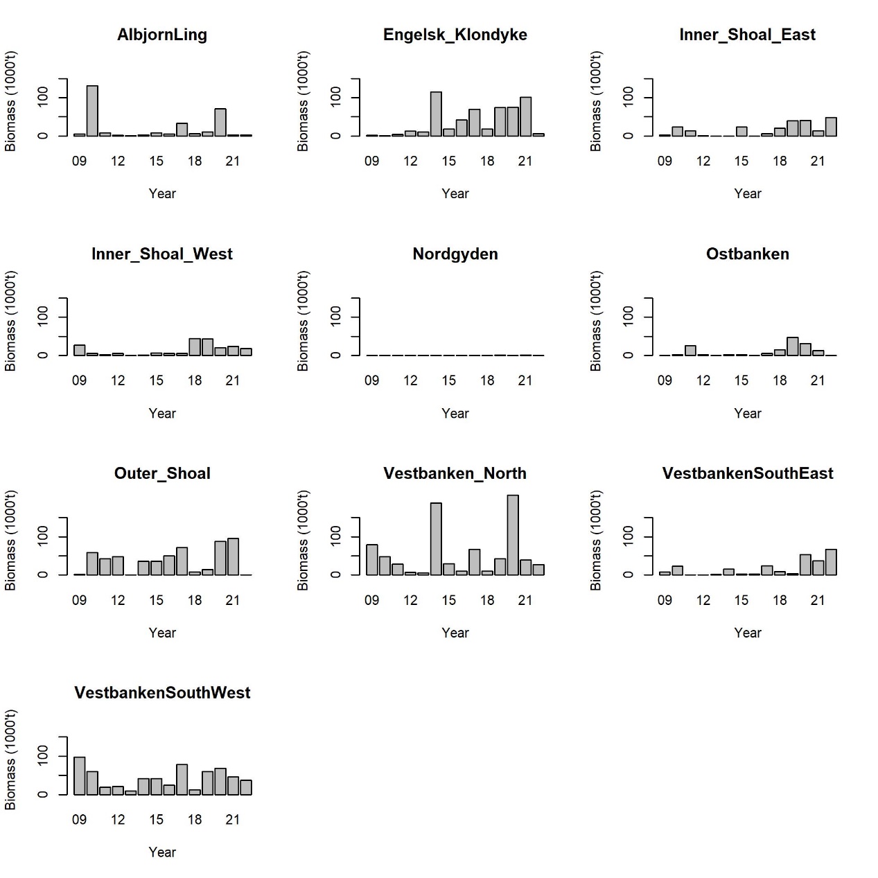
Figur 10 viser estimert biomasse per år og toktområde for perioden 2009-2022 (toktområdene er vist i Figur 5). Selv om det er knyttet noe usikkerhet til estimatene (Figur 11), viser Figur 12 og 13 at man følger årsklassene godt gjennom flere år. Antall tobis per lengde- og aldersgruppe i forvaltningsområdene 1-4 (Figur 12-13) viser hvor stor variasjon det er i årsklassestyrke for tobis. Rekrutteringen har variert mye de siste årene der 2017-årsklassen var svært svak, 2018-årsklassen middels sterk, 2019-årsklassen særdeles sterk og 2020-årsklassen sterk. Rekrutteringen av 2021-årsklassen var svak.

 

Biomasseestimat (alder 1+) per stratum i perioden 2009-2022.
Figur 10 . Biomasseestimat (alder 1+) per stratum i perioden 2009-2022.

 

 

Total biomasse (alder 1+) med konfidensintervall (5-95%) for alle toktområder i forvaltningsområdene 1-4 (ekskl. Nordgyden) per år estimert fra de akustiske tobistoktene i Nordsjøen.
Figur 11 . Total biomasse (alder 1+) med konfidensintervall (5-95%) for alle toktområder i forvaltningsområdene 1-4 (ekskl. Nordgyden) per år estimert fra de akustiske tobistoktene i Nordsjøen.

 

Fra toktoppstart har bestanden variert mye.  Rekrutteringen av 2009-årsklassen bidro sterkt til en høy total biomasse (alder 1+) i 2010, men de to påfølgende årsklassene var meget svake (Figur 13). I tillegg var 2012-årsklassen kun middels sterk slik at gytebestanden var lav ved gyting i årsskiftet 2013/2014 (Figur 11). Denne bestandsnedgangen fikk også store konsekvenser for den geografiske spredningen av bestanden (Figur 15). En sterk rekruttering av 2013-årsklassen medførte et kraftig løft i den totale tobisbestanden i område 2 og 3 i 2014, men det akustiske toktet, skrapetoktet og de kommersielle fangstene viste at rekrutteringen av 2013-årsklassen varierte mye mellom områdene (Figur 15). Store mengder toåringer var forventet i område 2 og 3 under akustikktoktet i 2015, men dette slo ikke til. Det er derfor knyttet noe usikkerhet til hvor sterk 2013-årsklassen faktisk var. På tross av et stort fiskeri i norsk sone i 2015 (omtrent 100 000 tonn) viste akustikktoktet i 2016 kun en moderat nedgang i både 2013- og 2014-årsklassen på tross av det ble fisket mye av disse to årsklassene i 2015. Dette tyder på at toktet i 2015 ga et bestandsanslag som var for lavt, altså et underestimat. En mulig årsak til dette er at toktet i 2015 var preget av dårlig vær, noe som igjen kan ha forårsaket en ugunstig tobisadferd for akustisk måling. Den moderate nedgangen av 2013- og 2014-årsklassen fra 2015 til 2016 tyder på at fisketrykket på tobis i 2015, tross et moderat biomasseestimat, ikke var for høyt. Været under toktet i 2016 var meget bra, noe som trolig gjorde at det var enklere å måle tobismengden i vannsøylen. Selv med disse gode forholdene ble 2015-årsklassen estimert til å være den historisk svakeste, og skrapetoktene i 2015 og 2016 estimerte også 2015-årsklassen til å være meget svak.

Været var også bra under 2017-toktet, og som forventet fra observasjoner av 0-åringer fra både akustikktoktet og skrapetoktet i 2016 ble det målt store forekomster av 1-åringer i 2017 (Figur 12 og 13). I tillegg var denne årsklassen godt spredd i område 1-4 (Figur 15). Skrapetoktet antydet at 2017-årsklassen var svak (Figur 6 og 7; Tabell 4). Dette ble bekreftet i løpet av akustikktoktet i 2018, da den sterke 2016-årsklassen dominerte både i toktresultatene og i fiskeriet. På tross av et høyt antall tobis var den totale biomassen mye lavere enn forventet (predikert) siden den individuelle veksten hadde vært svært liten. Lav sjøtemperatur og liten tilgang på dyreplankton er sannsynlige forklaringer på den dårlige veksten. Individvekten av 2-åringene, som i 2018 var aldersgruppen som klart dominerte i antall, var ca. 50% lavere enn gjennomsnittet av denne aldersgruppen i perioden 2009-2017. Biologiske prøver fra fiskeriet viste at individvekten økte raskt, og rundt 15. mai hadde individvekten (for 2-åringene) økt til et stabilt nivå og var i snitt ca. 90 % høyere enn vekten målt i midten av april.

En stor 2018-årsklasse, og historisk sterke 2016- og 2019-årsklasser medførte at biomassen ble meget høy i 2020. Også 2020-årsklassen er sterk, og tobisen har hatt en god geografisk spredning i perioden 2019-2021 (Figur 15). Den økte geografiske spredningen har medført at fiskeriet har flyttet seg inn i områder der tobis ikke har blitt fisket tidligere. Denne endringen i utbredelse har medført at toktområdene har blitt noe større i løpet av de siste årene. I 2022 krympet i midlertidig utbredelsen, og tettheten av tobis var liten i forvaltningsområde 4 (Figur 14).

Skrapetoktet i 2022 indikerer at 2022-årsklassen er under middels, og noe høyere enn de svake 2015-.2017 og 2021-årsklassene. L

Totalantall per lengde- og aldersgruppe for perioden 2017-2022 (ekskl. Nordgyden og Vikingbanken) estimert fra det akustiske toktet.

Totalantall per lengde- og aldersgruppe for perioden 2009-2016 (ekskl. Nordgyden og Vikingbanken) estimert fra det akustiske toktet.
Figur 12 Totalantall per lengde- og aldersgruppe for perioden 2009-2022 (ekskl. Nordgyden og Vikingbanken) estimert fra det akustiske toktet.

 

 

Antall individer per årsklasse estimert ved alder 1 til 4. Tallene i linjene viser alder på fisken.
Figur 13 Antall individer per årsklasse estimert ved alder 1 til 4. Tallene i linjene viser alder på fisken.

 

 

Geografisk utbredelse av ekkotetthet av tobis per 0,1 n.mi. i 2022. Størrelsen og fargen på sirklene indikerer ekkotettheten (NASC). Nullverdier er angitt som blå prikker.
Figur 14 Geografisk utbredelse av ekkotetthet av tobis per 0,1 n.mi. i 2022. Størrelsen og fargen på sirklene indikerer ekkotettheten (NASC). Nullverdier er angitt som blå prikker.

 

Geografisk utbredelse av ekkotetthet av tobis per 0,1 n.mi. i 2009. Størrelsen og fargen på sirklene indikerer ekkotettheten (NASC). Nullverdier er angitt som blå prikker. Geografisk utbredelse av ekkotetthet av tobis per 0,1 n.mi. i 2010. Størrelsen og fargen på sirklene indikerer ekkotettheten (NASC). Nullverdier er angitt som blå prikker. Geografisk utbredelse av ekkotetthet av tobis per 0,1 n.mi. i 2011. Størrelsen og fargen på sirklene indikerer ekkotettheten (NASC). Nullverdier er angitt som blå prikker. Geografisk utbredelse av ekkotetthet av tobis per 0,1 n.mi. i 2012. Størrelsen og fargen på sirklene indikerer ekkotettheten (NASC). Nullverdier er angitt som blå prikker. Geografisk utbredelse av ekkotetthet av tobis per 0,1 n.mi. i 2013. Størrelsen og fargen på sirklene indikerer ekkotettheten (NASC). Nullverdier er angitt som blå prikker. Geografisk utbredelse av ekkotetthet av tobis per 0,1 n.mi. i 2014. Størrelsen og fargen på sirklene indikerer ekkotettheten (NASC). Nullverdier er angitt som blå prikker. Akustisk tetthet av tobis i 2015 Akustisk tetthet av tobis 2016 Akustisk tetthet av tobis 2017 Akustisk tetthet av tobis 2018 Akustisk tetthet av tobis 2019 Akustisk tetthet av tobis 2020

 

Akustisk tetthet av tobis 2021
Figur 15 Geografisk utbredelse av ekkotetthet av tobis per 0,1 n.mi. for perioden 2009-2021. Størrelsen og fargen på sirklene indikerer ekkotettheten (NASC). Nullverdier er angitt som blå prikker.

 

10.2 - Forvaltningsområde 5

Vikingbanken har blitt undersøkt akustisk i perioden 2009-2022. Mengden tobis i område 5 er kritisk lav og biomassen og er estimert til å være 121 og 71 tonn i henholdsvis 2021 og 2022. Dette er de laveste biomasseestimatene på Vikingbanken siden starten av tidsserien i 2009 (Figur 16).

Figur 16 Biomasse (tonn) ((alder 1+)) for Vikingbanken estimert fra de akustiske tobistoktene i Nordsjøen.
Figur 16 Biomasse (tonn) (alder 1+) for Vikingbanken estimert fra de akustiske tobistoktene i Nordsjøen.

 

11 - Referanser

Hamre, J., Johnsen, E., & Hamre, K. (2014). A new model for simulating growth in fish. PeerJ, 2, e244.

Pennington, M. 1983. Efficient estimators of abundance, for fish and plankton surveys. Biometrics, 281-286.

Johnsen, E. 2016. Råd for tobisfiske i norsk sone i 2016 og rapport for tobistokt i Nordsjøen 25. april – 15. mai. Toktrapport/Havforskningsinstituttet/ISSN 1503 6294/Nr.17–2016.

Johnsen, E., Totland, A., Skålevik, Å., Holmin, A. J., Dingsør, G. E., Fuglebakk, E., and Handegard, N. O. 2019. StoX: An open source software for marine survey analyses. Methods in Ecology and Evolution, 10(9), 1523-1528.

Johnsen, E. 2020. Råd for tobisfiskeriet i norsk sone for 2020 og rapport for tobistokt i Nordsjøen 23. april – 13. mai. Toktrapport/Havforskningsinstituttet/ISSN 1503 6294/Nr.9–2020.

Johnsen,E., Sørhus,E, de Jong, K, Lie K.K. og Grøsvik, B.E. 2021 Kunnskapsstatus for havsil i norsk sone av Nordsjøen. Rapport fra havforskningen 2021-33 ISSN 1893-4536

Johnsen, E. 2022. Råd for tobisfiskeriet i norsk sone for 2022 og rapport for tobistokt i Nordsjøen 27. april – 12. mai. Toktrapport/Havforskningsinstituttet/ISSN 1503-6294/Nr.6–2022.

12 - Vedlegg 1

12.1 - Forvaltningsområde 1

12.1.1 - Underområde 1a. Inner Shoal sør.

Området sør for N56°40’, vest for Ø004°36’ og ellers avgrenset av norsk sektorlinje i sør og vest.

12.1.2 - Underområde 1c. Inner Shoal midt. Vil alltid være åpnet dersom det tillates fiskeri i område 1.

Området nord for N56°40’ og sør for N56°44’, vest for Ø004°36’ og ellers avgrenset av norsk sektorlinje i sør og vest.

12.1.3 - Underområde 1b. Inner Shoal nord.

Området mellom N56°40’ og N57°04’, vest for Ø004°36’ til norsk sektorlinje i vest.

12.2 - Forvaltningsområde 2

12.2.1 - Underområde 2a. Outer Shoal sør, Snurreplassen, Triangel.

Nordlige grense er N57°11’. Vest for Ø004°36’ er sydlige grense N57°04’, og øst for Ø004°36’ er sydlige grense den norske sektorlinjen. Den østlige grensen er Ø005°18’, og den norske sektorlinje er den vestlige grensen mellom N57°04’ og N57°11’. Sør for N57°04’ er den vestlige grensen Ø004°36’.

12.2.2 - Underområde 2c. Outer Shoal midt, Snuplassen. Vil alltid være åpent dersom det tillates fiskeri i område 2.

Området nord for N57˚11’ og sør for N57˚16’, og mellom Ø005˚18’ og norsk sektorlinje i vest.

12.2.3 - Underområde 2b. Outer Shoal nord, Karusellen, Hardangerviden

Området nord for N57˚16’ og sør for N57˚27’, og mellom Ø005˚18’og norsk sektorlinje i vest.

12.3 - Forvaltningsområde 3

12.3.1 - Underområde 3a. Vestbanken vest, Korridoren, Diana.

Området mellom følgende koordinater;

1.       N56˚40’ (Ved sektorlinja); Ø005˚18’

2.       N57˚27’ ; Ø005˚18’

3.       N57˚27’; Ø005˚50’

12.3.2 - Underområde 3c. Vestbanken sentral, Falittene. Vil alltid være åpnet dersom det tillates fiskeri i område 3.

Området mellom følgende koordinater;

1.       N56˚40’ (Ved sektorlinja); Ø005˚18’

2.       N57˚27’ ; Ø005˚50’

3.       N57˚27’ ; Ø006˚14`

4.       N56˚50,5’ (Mot sektorlinje) ; Ø005˚50’

12.3.3 - Underområde 3b; Vestbanken øst.

Området mellom følgende koordinater;

1. N56˚50,5’ (Mot sektorlinje); Ø005˚50’

2. N57˚27’; Ø006˚14’

3. N57°27’; Ø007°49,5’ (Ved sektorlinja)

12.4 - Forvaltningsområde 4

12.4.1 - Underområde 4a. Albjørn og Engelsk Klondyke Sør.

Området mellom norsk sektorlinje i vest og Ø005˚18’ i øst og mellom N57˚27’ og N57˚41’ eksklusiv området mellom N57˚38’ og N57˚41’, og Ø003˚25’ og Ø003˚56’.

12.4.2 - Underområde 4b. Lingbanken, Kadaveret, Minefeltet, Østbanken og Engelsk Klondyke Nord.

Området mellom N57°41’ og N58°15’, og den norsk sektorlinje i vest og Ø005°18’ i øst inklusiv området mellom N57˚38` og N57˚41’, og Ø003˚25’ og Ø003˚56’.

12.5 - Forvaltningsområde 5

12.5.1 - Underområde 5a. Vikingbanken sør.

Området mellom N60°00 og N60°20’, og mellom norsk sektorlinje i vest og Ø003°10’.

12.5.2 - Underområde 5b. Vikingbanken nord.

Området mellom N60°25’ og N60°40’, og mellom norsk sektorlinje i vest og Ø003°10’.

12.5.3 - Underområde 5c. Vikingbanken sentralt. Vil alltid være åpnet dersom det tillates fiskeri i område 5.

Området mellom N60°20’ og N60°25’, og mellom norsk sektorlinje i vest og Ø003°10’.

13 - Vedlegg 2. Norwegian spatial management plan

The spatial management plan was tested in 2010 and fully implemented from 2011 (ICES 2010). The plan was modified in 2014 (ICES 2017) and in 2017 after national reviews, however, the main principles of the management plan have been constant since the beginning.

  • Current management plan and advice process

  • The areas with known sandeel fishing grounds are divided into 5 areas (Figure 1) based on the differences in population developments, differences in recruitment and size at age.

  • An area is closed for fishery unless the abundance of sandeel is relatively high in the area (biomass estimated from the acoustic survey). There is no agreed definition of “high abundance”, but no area has been open with bio-mass estimate has been less than 20000 tonnes.

  • All areas are divided into sub-areas.

  • If an area is open for fishery, one of the associated subareas is closed to prevent a total depletion of sandeel in the area. Typically, the closed subarea will be open the next year if fishing is allowed in the area.

  • A preliminary stock assessment is carried out in January in the TAC year. IMR provides a conservative preliminary TAC advice, and a recommendation of which subareas that should be open. One TAC advice is given for all areas combined. The assessment, prediction and harvest rules are presented below.

  • An in-season acoustic-trawl/dredge survey is carried out around 25 April – 15 May, which is used to estimate the abundance of age 1 and older sandeel. An updated assessment is carried out, and a final advice is presented no later than 15 May in the TAC year. The final TAC advice cannot be lower than the preliminary advice, and no open subareas can be closed. In other word, the TAC can only be adjusted upwards or stay the same, and closed subareas may be opened (see Table 2).

  • To prevent fishing of lean individuals that have not started the growth the fishing season starts 15 April. The individual weight may increase up to 100% in a few weeks.

  • To avoid too high percentage of juveniles (age 0) the fishery ends 23 June. Typically, the 5-9 cm small juveniles aggregates on the sandeel grounds in late June for settlement.

  • If the number of sandeel < 10 cm comprise of more than 10% in a catch, the fishing ground is closed for seven days to prevent a fishery on 0-age fish. The fishing ground is re-open automatically after one week.

 

Map of the five Norwegian management areas in the North Sea for the period 2017-2019. Historically important fishing grounds are depicted in light grey.
Figure A2.1. Map of the five Norwegian management areas in the North Sea for the period 2017-2019. Historically important fishing grounds are depicted in light grey.

 

Map of the five Norwegian management areas in the North Sea for the period 2014-2016. Historically important fishing grounds are depicted in pink, and sandeel grounds in light pink.
Figure A2.2 Map of the five Norwegian management areas in the North Sea for the period 2014-2016. Historically important fishing grounds are depicted in pink, and sandeel grounds in light pink.

Figure A2.3 Map of the six Norwegian management areas in the North Sea for the period 2011-2013. Historically important fishing grounds are depicted in pink, and sandeel grounds in light pink.

HMap of the six Norwegian management areas in the North Sea for the period 2011-2013. Historically important fishing grounds are depicted in pink, and sandeel grounds in light pink. AVFORSKNINGSINSTITUTTET

Postboks 1870 Nordnes

5817 Bergen

Tlf: 55 23 85 00

E-post: post@hi.no

www.hi.no