Go to main content

Tiltak mot spøkelsesfiske i marine nasjonalparker

— Arbeidsrapport

Author(s): Susanna Huneide Thorbjørnsen , Alf Ring Kleiven (IMR), Tord Aslaksen (Green-Bay AS), Terje Jørgensen (IMR), Kristine Valen Kerlefsen (UiA), Sunniva Rosfjord Loga (UiA) and Sunniva Sandbu Numme (UiA)

1 - Sammendrag

Prosjektet «Tiltak mot spøkelsesfiske i marine nasjonalparker» (2021-2022) har fokusert på kartlegging og fjerning av tapte fiskeredskaper i de fire nasjonalparkene Raet, Jomfruland, Færder og Ytre Hvaler. Prosjektet er en forlengelse av prosjektet «Tiltak mot spøkelsesfiske i Raet nasjonalpark» (2019 – 2021). Inkludert i prosjektet er omfattende arbeid med teknologiutvikling for en mer effektiv opprydding av tapt fiskeredskap, forskning på omfang av redskapstap og effekter av spøkelsesfiske på våre kystarter, samt en forskningsbasert vurdering av mulige tiltak for å forhindre fremtidig redskapstap. Ved utgangen av denne prosjektperioden er følgende resultater oppnådd:

• 3528 tapte fiskeredskap er tatt opp langs Skagerrakkysten i prosjektet (2019-2022). Detaljert informasjon om redskapene er samlet inn og danner datagrunnlag for forskning på omfang og effekter av spøkelsesfiske.

• Gjennomføring av innspillsmøter og minst to opprydningstokt i alle nasjonalparkene.

• Oppstart av rydding av hummerfredningsområder, inkludert prøvefiske til oppfølging i Indre Oslofjord hummerfredningsområde.

• De fleste teinene som ble tatt opp hadde ikke eller hadde ikke hatt råtnetråd (84 %). Dette kan skyldes enten at teinen var mistet før råtnetrådpåbudet trådte i kraft for den gitte teinetypen eller at råtnetrådpåbudet ikke er fulgt.

• Tre masterprosjekter på spøkelsesfiske har gitt kunnskap om effektene fra spøkelsesfiske på lokale bestander av hummer, krabbe, torsk og leppefisk i Raet nasjonalpark, samt effekten av og muligheter knyttet til bruk av råtnetråd.

• Et bachelorprosjekt har gitt innsikt i mengden plastforsøpling fra ulike redskapstyper tapt i Raet Nasjonalpark; dette ble beregnet til å være 8,4 tonn plast fra fire av de vanligste teinetypene.

• Undersøkelse av flyteegenskapen til blåser på fiskeredskap som ble tatt opp viste at massive blåser har høyest sannsynlighet for å bevare flyteegenskapen, etterfulgt av harde, luftfylte blåser. Tap av blåsens flyteegenskap kan være årsaken til tapet av redskapet.

• Analyser av 12.000 fiskeredskap tatt opp og rapportert av frivillige dykkere langs hele norskekysten har gitt en oversikt over faren ulike redskapstyper utgjør langs norskekysten. Skotteteinen står for den største delen av spøkelsesfisket.

• Oppskalering av innsats og effektivitet ved bruk av forskningsfartøyet Johan Ruud med to arbeidsbåter/arbeidslag, inkludert forbedring og effektivisering av arbeidsprosedyrer for ROV-operasjoner.

• Testing av AUV med HISAS-sonar for effektivt søk etter tapte fiskeredskap på større bløtbunnsområder har blitt gjennomført og redskapsfunn verifisert og tatt opp.

• Utvikling av sleperigger med 3 kameraer for effektivt søk etter tapte fiskeredskap på hardbunn, inkludert automatisk gjenkjenning av redskap med maskinsyn. Dette skal nå iverksettes i den operative delen av arbeidet.

• Bistand til andre prosjekter gjennom uttesting av nye ideer, blant annet nødbøyer og sporbare bøyer som skal hindre redskapstap.

• Prosjektet og dets resultater har fått stor oppmerksomhet i lokal og nasjonal media og har bidratt til økt fokus på utfordringene med tapte fiskeredskaper og påfølgende spøkelsesfiske, samt tiltak for å begrense påvirkningen.

 

Bilde: Rydding av tapte fiskeredskaper med ROV.
Bilde: Rydding av tapte fiskeredskaper med ROV.

 

2 - Innledning

Prosjektet «Tiltak mot spøkelsesfiske i Raet nasjonalpark» ble startet opp høsten 2019. I 2021 ble prosjektet utvidet til også å dekke Ytre Hvaler, Færder og Jomfruland nasjonalparker og fikk navnet «Tiltak mot spøkelsesfiske i marine nasjonalparker». Høsten 2022 ble det gitt økte bevilgninger fra Handelens Miljøfond, der det også ble fokusert på rydding av hummerfredningsområder. Siden 2019 har det vært stor aktivitet med søk og berging av tapte fiskeredskaper. Samarbeidet mellom operatører på sjøen som rydder (Green-Bay) og forskning (Havforskningsinstituttet) har gitt økt kunnskap om omfanget av spøkelsesfiske samtidig som store mengder spøkelsesredskaper har blitt fjernet.

Samtidig som det fokuseres på å rydde havbunnen for tapte redskaper har det vært jobbet med nye metoder for å effektivisere arbeidet og for å dekke større og dypere sjøarealer. Dette inkluderer bruk av slepekamera i kombinasjon med maskinlæring for deteksjon av redskap, samt bruk av autonome undervannsfarkoster (AUV) med HISAS-sonar for deteksjon av redskap. Det har også vært høyt fokus på å utvikle kompetanse på personell til å bruke ROV for å berge tapte fiskeredskaper. Dette er krevende undervannsoperasjoner og operatørene må også inneha maritim og teknisk kompetanse for båtoperasjoner og vedlikehold av utstyr. Det har vært logistikkutfordringer når et større team med forskere og ROV-piloter har reist mellom de ulike nasjonalparkene. I juni 2022 anskaffet Green-Bay forskningsfartøyet Johan Ruud. Dette har bidratt til økt sikkerhet, mer profesjonalisering og økt effektivitet i arbeidet. Johan Ruud fungerer som base for overnatting, bespisning, verksted, ladestasjon, lagringsplass for gjenfunnet redskap og reservedeler og base for operasjoner med Havforskningsinstituttets AUV.

Prosjektet har nå fått på plass en infrastruktur av teknologi og kompetanse som gjør oss rustet til videre tiltak mot spøkelsesfiske i årene som kommer. I kombinasjon med nye tiltak fra Fiskeridirektoratet og at flere innovasjonsmiljøer nå jobber med løsninger for å redusere redskapstap og mengden spøkelsesfiske er det grunn til å argumentere for at man har kommet godt i gang med arbeidet for å redusere omfanget av teinetap og spøkelsesfiske i fremtidens fiskerier. Men estimat på tetthet av tapte fiskeredskaper, tapsrate i hummerfisket og beregninger av spøkelsesfiskets uttak av taskekrabbe, hummer, torsk og leppefisk viser allikevel at det fortsatt er mye som gjenstår for å minimere påvirkningen fra tapte fiskeredskaper på våre kystbestander og vårt kystmiljø.

I denne rapporten vil vi presentere gjennomførte tiltak for å fjerne tapte redskaper i nasjonalparkene, forskning på omfang og konsekvenser av spøkelsesfiske, en beskrivelse av den operasjonelle aktiviteten og metodeutvikling, samt forslag til tiltak for å forhindre fremtidig redskapstap og spøkelsesfiske.

3 - Tiltak for å fjerne tapte redskaper i nasjonalparkene

Prosjektet startet i Raet nasjonalpark høsten 2019 og fortsatt er mye aktivitet knyttet til dette området. Utvikling av nye metoder (blant annet slepekamera med maskinlæring og AUV med HISAS-sonar) har blitt utviklet i Raet nasjonalpark før det har blitt brukt i de andre nasjonalparkene. Grunnet den lange tidsperioden med operasjoner i Raet nasjonalpark og nærhet til både Green-Bay og Havforskningsinstituttet er det berget flest redskaper i dette området. Forskning på omfanget av tapte redskaper og spøkelsesfiskets effekt på lokale bestander har også hatt hovedfokus i Raet nasjonalpark. Denne kunnskapen er overførbar til det andre nasjonalparkene.

Det er estimert at det ligger rundt 10 000 tapte redskaper i Raet nasjonalpark og at rundt 2500 av disse fisker aktivt (Kleiven, Thorbjørnsen og Aslaksen, 2021). Fra 2019 og ut 2022 har det blitt berget ca 2600 fiskeredskaper i og rundt Raet nasjonalpark i prosjektet (Figur 1).

 

Figur 1: Posisjoner på redskaper tatt opp i Raet nasjonalpark. Svart boks zoomer inn på området Flødevigen-Mærdø-Torungene-Jerkholmen. En posisjon kan inneholde flere redskap, dersom de ble funnet i lenke. Farge indikerer ulike år.
Figur 1: Posisjoner på redskaper tatt opp i Raet nasjonalpark. Svart boks zoomer inn på området Flødevigen-Mærdø-Torungene-Jerkholmen. En posisjon kan inneholde flere redskap, dersom de ble funnet i lenke. Farge indikerer ulike år.

 

Samtidig er det beregnet et tap på rundt 3000 fiskeredskaper i Raet nasjonalpark i samme periode, gjennom et av prosjektets mastergradsarbeider (se kapittel 4.2) (Kerlefsen, 2022). Informasjonen om redskapstap er hentet fra utvalgsundersøkelser av påmeldte hummerfiskere i 2020. Her rapporterte deltagerne om innsats, fangst og redskapstap. Dette dokumenterer et stort behov for tiltak for å hindre at redskap blir tapt. I Raet nasjonalpark har det blitt gjennomført kampanje på «Teinevett», samtidig som prosjektet har fått stor oppmerksomhet i lokale medier. Gjennom Teinevett-kampanjen ble det gitt tips for å unngå redskapstap knyttet til klargjøring, setting, trekking og eventuell berging av redskap. For å følge opp redskapstap i Raet nasjonalpark ble det trukket et eget utvalg fra kommunene Grimstad, Arendal og Tvedestrand (samt Froland og Vegårshei) i undersøkelsen. Ved å sammenligne resultater fra de nasjonale undersøkelsene (Norge, sør for Stadt) med Raet nasjonalpark, kunne man få en indikasjon på om disse områdene skilte seg fra hverandre. I Raet nasjonalpark ble det mottatt svar fra 134 personer som hadde fisket, mens det i det nasjonale utvalget kom inn svar fra 376 som hadde fisket. I det nasjonale utvalget informerte 21,5 % av fiskerne at de hadde mistet en eller flere redskap mot 28 % i utvalget fra Raet nasjonalpark. Det ser dermed ut som at tapsraten i og rundt Raet nasjonalpark var høyere enn det nasjonale gjennomsnittet etter over ett år med informasjonskampanje. I utvalget for Raet nasjonalpark informerte derimot 44 % at de ikke hadde rapportert redskapstapet mot 67% i det nasjonale utvalget. Vi har dessverre ikke før-data å sammenligne med, men dette kan være en indikasjon på at opplysningskampanjene har hatt en positiv effekt på rapporteringsraten av tapt redskap, men ikke på selve tapsraten av redskap. Teinevett-tipsene ble i 2022 til nettsiden teinevett.no. Formålet med nettsiden er lett tilgjengelige tips til befolkningen for å redusere sannsynligheten for redskapstap.

I 2022 innførte Fiskeridirektoratet krav om merking av selve redskapet med navn og adresse. Når redskap blir funnet registreres det nå også om redskapet er merket. Dette gir nye muligheter til å beregne tilsiget av nye redskap (før og etter 2022), samtidig som merking av redskap kan bidra til å ansvarliggjøre fiskeren som har tapt redskapet. Det blir derfor interessant å følge med på om tapsraten går ned og om rapporteringsraten går opp etter at dette kravet ble innført. Som en forlengelse av ansvarliggjøringen antas det at det på sikt vil innføres et påbud om å rapportere tapt redskap også for fritidsfiskere. Dette vil gi en bedre oversikt over det totale redskapstapet langs norskekysten, hvilket også blir viktig for å videre beregne effekten av spøkelsesfiske på våre kystbestander.

 

Bilde: Oppslag i Kragerø Blad Vestmar 4. juni 2021.
Bilde: Oppslag i Kragerø Blad Vestmar 4. juni 2021.

 

I 2021 ble prosjektet utvidet til å dekke alle fire marine nasjonalparker i Skagerrak. Samtidig som det har vært en kontinuerlig aktivitet i Raet nasjonalpark ble det gjennomført et kartleggingstokt i perioden 24. mai til 4. juni 2021 i Jomfruland, Færder og Ytre Hvaler nasjonalparker. Toktet ble gjennomført for å bli mer kjent i nasjonalparkene og for å promotere prosjektet. Det ble en rekke nyhetsoppslag i blant annet Kragerø blad, NRK Vestfold og Telemark, NRK Oslo og Viken, NRK Supernytt, Fredrikstad Blad og NRK Østfold radio. Nasjonalparkforvaltere fra de respektive nasjonalparkene ble med i felt.

Ved gjennomføring av tokt i nasjonalparkene i Færder og Ytre Hvaler har prosjektet hatt dialog med Skjærgårdstjenesten koordinert av nasjonalparkforvalterne. Begge steder har Skjærgårdstjenesten blitt invitert til å delta på ryddetokt, med hensikt å utveksle erfaringer og demonstrere arbeidsmetoder. På grunn av manglende tid og ressurser i Skjærgårdstjenesten har de ikke hatt anledning til å delta på selve ryddingen. Skjærgårdstjenesten har bidratt med transport og avhending av avfall fra toktene. Samarbeidet med Skjærgårdstjenesten angående avfallshåndtering har fungert veldig bra, og vi opplever at dette passer inn med Skjærgårdstjenestens øvrige oppgaver. Slik har Skjærgårdstjenesten vært en god hjelp for prosjektet de plassene hvor vi har fått til et slikt samarbeid.

Det var fortsatt en rekke restriksjoner knyttet til pandemien på forsommeren 2021. Det ble derfor først gjennomført innspillsmøter på høsttoktene i perioden 30. august til 24. november 2021. Det ble gjennomført ett innspillsmøte i hver nasjonalpark (Skjærhalden, Tjøme og Kragerø) der deltagerne gav kunnskap om typiske plasser for redskapstap. Se vedlegg 7.2 «Aktivitetsoversikt» for tidspunkter for møte- og toktaktivitet i perioden 2021-2022.

 

Bilde: Redskap tatt opp under tokt til Færder nasjonalpark, april 2022.
Bilde: Redskap tatt opp under tokt til Færder nasjonalpark, april 2022.

 

For høsten 2022 fikk prosjektet en tilleggsbevilgning fra Handelens Miljøfond for å øke innsatsen og også rette innsats inn mot fredningsområder for hummer. Denne satsingen ble lansert med et tokt i Indre Oslo havn 29. august til 9. september 2022. I samarbeid med Oslo kommune ble det lagt til rette for søk og berging av redskap i det foreslåtte fredningsområdet for hummer (etablert formelt i slutten av september 2022). Det ble også gjennomført et pilotprosjekt for å evaluere effekten av spøkelsesfiske på fisk- og skalldyrbestander. En del av fredningsområdet ble grundig gjennomgått med ROV og ryddet, mens et område i fredningsområdet og et område utenfor fredningsområdet (kontrollområde) forble uryddet (Figur 2). Med dette forsøksoppsettet vil man kunne skille effekten av vern fra effekten av rydding. Det ble gjennomført forsøksfiske med ulike teiner (leppefiskteiner og skotteteiner av to ulike størrelser) i de tre områdene for å kartlegge flere bestander, deriblant hummer, torsk og leppefisk. Det ble også gjennomført kartlegging med agnede stereo-video rigger i disse tre områdene. Dette gir før-data som følges opp i kommende år for å studere endringer etter at tiltak er iverksatt. Det ble tatt opp 209 redskap i området i denne toktperioden (Figur 3).

Det ble også lagt ned mye innsats for å kunne sjekke ut områder ved å grundig gjennomsøke områder i stedet for å gå etter typiske «hot spots». I tillegg til det 1 km 2 store området der det ble ryddet og gjennomført forsøksfiske, ble ca 1 km 2 av fredningsområdet grundig gjennomsøkt og sjekket ut. Det vil være fokus på å kunne sjekke ut hele områder i det fremtidige ryddearbeidet i hummerfredningsområdene, da det kan antas at redskapstap i disse områdene vil være minimalt. Hummerfredningsområdet i Kragerø sentrum (Jomfruland nasjonalpark) har også blitt nøye gjennomsøkt og sjekket ut. I tillegg har det vært ryddet i hummerfredningsområdene Kvernskjær (Hvaler nasjonalpark), Bolærne (Færder nasjonalpark), Tvedestrand (Raet nasjonalpark), Lillesand (Raet nasjonalpark), Holmestrand, Tønsberg nordlig fredningsområde og Horten.

 

Figur 2: Kartutsnitt fra Indre Oslofjord. Fredningsområdet er markert i oransje (skravert) og de to vernede studieområdene er markert i grønt. Det nordligste området er ikke ryddet, mens det sørligste området er ryddet. Kontrollområdet som ikke er vernet eller ryddet er markert i rødt (heldekkende). Det skraverte røde området viser et tidligere etablert hummerfredningsområde (Nesoddtangen).
Figur 2: Kartutsnitt fra Indre Oslofjord. Fredningsområdet er markert i oransje (skravert) og de to vernede studieområdene er markert i grønt. Det nordligste området er ikke ryddet, mens det sørligste området er ryddet. Kontrollområdet som ikke er vernet eller ryddet er markert i rødt (heldekkende). Det skraverte røde området viser et tidligere etablert hummerfredningsområde (Nesoddtangen).

 

 

Figur 3: Kart over funn i og rundt Indre Oslofjord hummerfredningsområde (n = 209).
Figur 3: Kart over funn i og rundt Indre Oslofjord hummerfredningsområde (n = 209).

 

Fiskeridirektoratet har også hatt ryddeaktivitet i 2020, 2021 og 2022, blant annet i og rundt hummerfredningsområdene. Prosjektet og Fiskeridirektoratet har samarbeidet gjennom at Fiskeridirektoratet har levert data til prosjektet gjennom rapportering i vår rapporteringsløsning og ved at det har vært erfaringsutveksling mellom Green-bay og Fiskeridirektoratet. Fiskeridirektoratet har blant annet levert data til prosjektet fra tokt i hummerfredningsområdet i Drøbak ved Oscarsborg og i hummerfredningsområdene ved Sandvika, Rauer, Kvernskjær og Bolærne.

4 - Forskningsresultater – Omfang av tapte redskaper og konsekvenser av spøkelsesfiske

4.1 - Resultater fra rydding

Per november 2022 har det blitt tatt opp 3528 spøkelsesredskaper langs Skagerrakkysten i løpet av prosjektperioden, hvorav vi har samlet inn detaljert informasjon om funnet gjennom vårt rapporteringsskjema for 3122 av funnene. I tillegg har Fiskeridirektoratet tatt opp og registrert 531 spøkelsesredskaper i vårt rapporteringsskjema, hvilket gir et datagrunnlag på 3653 spøkelsesredskaper for videre analyser. Det er samlet inn informasjon blant annet om posisjon, dyp, tid, redskapstype og funn av levende og død fangst i redskapen.

Fortsatt er mesteparten av de ryddede redskapene teiner (Tabell 1). Det ble registrert levende eller død fangst i 23 % av redskapen, hvilket er nært andelen rapportert per desember 2020 på 24 % (Kleiven, Thorbjørnsen & Aslaksen, 2021). Teinetypen det er blitt ryddet mest av er skotteteiner (Tabell 2, se Figur 4 for teinetyper). Dette skyldes både at skotteteinen er en mye brukt fiskeredskap og at det har blitt fokusert på å ta opp denne teinetypen i prosjektet, gitt dens høye fangbarhet (se Kleiven, Thorbjørnsen & Aslaksen, 2021, og nye resultater i avsnitt «Resultater fra data samlet inn av dykkere» under).

Type redskap Antall funnet Andel
Teiner 2909 80 %
Garn 328 9 %
Ruser 283 8 %
Liner 16 ~ 0 %
Sportsfiskeutstyr 68 2 %
Annet/Ikke notert 49 1 %
Totalt 3653 100 %
Tabell 1: Antall og andel tapte spøkelsesredskap ryddet langs Skagerrakkysten inndelt etter redskapstype

 

Figur 4: Eksempler på de ulike teintetypene. Fra øverst til venstre: A) skotteteine, B) krepseteine, C) klappteine, rund, D) måløyteine, E) fisketeine, F) leppefiskteine, G) treteine og H) klappteine, firkantet. Bildene er tatt av frivillige dykkere og figuren er hentet fra Thorbjørnsen et al., 2023.
Figur 4: Eksempler på de ulike teintetypene. Fra øverst til venstre: A) skotteteine, B) krepseteine, C) klappteine, rund, D) måløyteine, E) fisketeine, F) leppefiskteine, G) treteine og H) klappteine, firkantet. Bildene er tatt av frivillige dykkere og figuren er hentet fra Thorbjørnsen et al., 2023.

 

Type teine Antall funnet Andel
Skotteteine 919 32 %
Klappteine, firkantet 562 19 %
Klappteine, rund 435 15 %
Treteine 397 14 %
Andre (f.eks. hjemmelaget) 317 11 %
Leppefiskteine 143 5 %
Krepseteine 96 3 %
Fisketeine 40 1 %
Totalt 2909 100 %
Tabell 2: Antall og andel ulike teinetyper ryddet langs Skagerrakkysten

 


Størsteparten av redskapen som har blitt tatt opp antas å være fra fritidsfisket. Firkantede og runde klappteiner, treteiner og hjemmelagde teiner antas å være fra fritidsfisket (totalt 59 %). Leppefiskteinene antas å være fra yrkesfisket (5 %). Skotteteiner kan stamme fra både fritidsfisket og yrkesfisket etter hummer og krabbe. En tidligere studie viste at fritidsfiskere stod for 65 % av landingene i hummerfisket i 2008 (Kleiven, Olsen og Vølstad, 2012).

Det kan være mange årsaker til at redskapet går tapt. Redskapet eller tauet kan sitte fast, for eksempel i en stein eller nedsunket i gjørme. På redskap uten blåse kunne det ofte observeres kuttskader på tauet som indikerer propellkutt. Dersom redskapet ble funnet dypere enn tauets lengde kan redskapen enten ha blitt satt for dypt eller havnet for dypt etter å ha blitt forflyttet av strøm eller dårlig vær. Lette teiner vil ha større sannsynlighet for å bli forflyttet. Under rapportering av funn ble det gjort en vurdering av hva som mest sannsynlig hadde skjedd med redskapet. Redskapet ble som oftest vurdert til å 1) stå for dypt, etterfulgt av 2) propellkutt og 3) at det satt fast.

Bruk av rømningshull er påbudt i hummerfisket (2018), fritidsfisket etter krabbe (2019), leppefisket (2021) og krepsefisket (2022). De vanligste metodene for montering er å bruke en råtnetråd av bomull til å lukke rømningshullet eller til å feste kroken som lukker teina. Gjennom rapporteringsskjemaet samles det inn informasjon om teinene er eller har vært utstyrt med råtnetråd og om redskapet fortsatt fanger. De fleste teinene hadde ikke eller hadde aldri hatt råtnetråd. 54 % av teinene var uten råtnetråd, men åpnet av skade, mens 30 % av teinene fortsatt fisket og var uten råtnetråd. 5 % av teinene hadde påmontert råtnetråd som ikke hadde råtnet enda, mens 11 % av teinene hadde åpnet seg som følge av at tråden hadde råtnet. Manglende råtnetråd kan være et resultat enten av at teinene er mistet før råtnetrådpåbudet trådte i kraft for det gitte fiskeriet eller at råtnetrådpåbudet ikke er fulgt. Det er en forventing om at andelen teiner med råtnetråd vil øke i årene som kommer, og dette vil følges opp videre i prosjektet. Det er også gjort nye oppdateringer for å samle inn informasjon om redskapen er meldt savnet i Fritidsfiske-appen og eventuelt når, samt om redskapen er utstyrt med navnemerke på redskap. I Raet nasjonalpark stod 80 % av dyrene som var fanget i redskap som ikke hadde råtnetråd (Kerlefsen, 2022).

Innsatsen har vært høy i Raet Nasjonalpark gjennom hele prosjektperioden med totalt 2596 spøkelsesredskap tatt opp (Figur 5). I 2021 og 2022 har det også blitt ryddet i de tre andre nasjonalparkene i Skagerrak; Jomfruland, Færder og Hvaler (Figur 6). Fiskeridirektoratet har ryddet i Ytre Hvaler, Ålesund, Drøbak og Sandvika (Figur 7).

 

Figur 5: Redskap tatt opp i Raet Nasjonalpark gjennom prosjektperioden.
Figur 5: Redskap tatt opp i Raet Nasjonalpark gjennom prosjektperioden.

 

 

Figur 6: Redskap ryddet i de fire nasjonalparkene Raet, Jomfruland, Færder og Hvaler i 2021 og 2022.
Figur 6: Redskap ryddet i de fire nasjonalparkene Raet, Jomfruland, Færder og Hvaler i 2021 og 2022.

 

 

Figur 7: Noe av Fiskeridirektoratets ryddeaktivitet i perioden september 2021 til august 2022. Tallene omfatter kun redskap som er innrapportert på prosjektets rapporteringsskjema.
Figur 7: Noe av Fiskeridirektoratets ryddeaktivitet i perioden september 2021 til august 2022. Tallene omfatter kun redskap som er innrapportert på prosjektets rapporteringsskjema.

 

4.2 - Effekten av spøkelsesfiske på våre kystbestander og effekten av råtnetråd - Resultater fra tre masteroppgaver på spøkelsesfiske

Det er fullført tre masteroppgaver på spøkelsesfiske i samarbeid mellom prosjektet og Universitet i Agder, alle med Raet Nasjonalpark som fokusområde. En masteroppgave tok for seg effekten av spøkelsesfiske på hummer og krabber (Loga, 2022). Grunnet manglende kunnskap om hvor lenge skalldyr overlever i spøkelsesredskaper angis dødeligheten med to tall, der det minste tallet er beregnet gitt 12 måneders overlevelse og det største tallet er beregnet gitt tre måneders overlevelse. Oppgaven fant at mellom 466 og 1 864 hummer mister livet i spøkelsesfiske i Raet Nasjonalpark hvert år. Til sammenligning ble det beregnet 726 hummer landet i det kommersielle fisket og 7 932 hummer landet i fritidsfisket. For krabbe lå dødeligheten på mellom 6 468 og 25 872 krabber, mens det var beregnet 3228 krabber i det kommersielle fisket. En annen masteroppgave så på effekten av spøkelsesfiske på torsk og leppefisk (Numme, 2022). Her ble antatt overlevelse satt til minst to uker og maks åtte uker. Oppgaven fant at mellom 2 984 og 11 937 torsk mister livet i spøkelsesfiske hvert år i Raet Nasjonalpark. Til sammenligning ble det beregnet landet 15 670 torsk i det kommersielle fisket. For leppefisk lå dødeligheten mellom 7 794 og 31 178 individer per år, mens det ble beregnet landet 178 109 individer i det kommersielle fisket. Beregningene av dødelighet i spøkelsesfisket er gjort med grunnlag i estimatet på antall tapte fiskeredskaper i Raet Nasjonalpark som er på 10 292 (95 % konfidensintervall: 4 749-18 023) (Kleiven, Thorbjørnsen og Aslaksen, 2021). Det må tas i betraktning at beregningene av dødelighet har usikkerheter knyttet til både usikkerheten i dette estimatet og manglende kunnskap om dyrenes overlevelse i teina.

Den tredje masteroppgaven tok for seg effekten av råtnetråd på graden av spøkelsesfiske fra de tapte redskapene (Kerlefsen, 2022). Forskriften for bruk av råtnetråd angir at tråden skal være laget av bomull, være ubehandlet og ikke ha en tykkelse som overskrider 3 mm. Oppgaven fant at 80 % av de fangede individene sto i redskap som aldri hadde hatt påmontert råtnetråd, mens resten sto i redskap som hadde en tråd som ikke hadde råtnet enda. Det ble også funnet at det er 50 % sjanse for at råtnetråden har råtnet etter 4,7 måneder. Her ble tråder som ikke hadde råtnet innen ett år fjernet fra datagrunnlaget, da det ble antatt at disse trådene ikke var ubehandlede bomullstråder. I denne oppgaven ble også antallet redskap som går tapt i Raet Nasjonalpark hvert år beregnet til 1072 redskap (Kerlefsen, 2022). Utregningene er basert på tall fra en utvalgsundersøkelse gjennomført av registrerte hummerfiskere (N = 134) i Raet Nasjonalparks tre kommuner Tvedestrand, Arendal og Grimstad, der redskapstap ble rapportert (se Kleiven, 2019 for metode). Videre er det gjort en beregning på Raet Nasjonalparks andel av dette redskapstapet, og gjort en beregning av totalt redskapstap basert på forholdet mellom hummerteiner og andre redskap tatt opp under opprydning i Raet Nasjonalpark. Teinene ble definert som hummerteiner dersom de hadde en 60 mm fluktåpning. Prosjektet har som mål å jobbe videre med metoder for å beregne redskapstap og tetthet av tapte redskaper på havbunnen for en større del av kysten.

4.3 - Plast fra spøkelsesteiner - Resultater fra en bacheloroppgave på spøkelsesfiske

Det er fullført en bacheloroppgave på spøkelsesfiske i samarbeid mellom prosjektet og Universitet i Agder (Kutke og Strømø, 2022). I oppgaven ble det beregnet at det ligger 8,4 tonn plast fra de fire teinetypene skotteteiner, leppefiskteiner og firkantede og runde klappteiner i Raet Nasjonalpark (ekskludert tauverk og blåser). Disse beregningene ble gjort basert på andelen disse teinetypene utgjør av redskap tatt opp i Raet Nasjonalpark i tillegg til estimatet på antall tapte fiskeredskaper i Raet Nasjonalpark som er på 10 292 (95 % konfidensintervall: 4 749-18 023) (Kleiven, Thorbjørnsen og Aslaksen, 2021). Det ble undersøkt hvor mye plast disse fire teinetypene inneholder. Skotteteinen inneholdt mest plast med i snitt 2,26 kg, mens leppefiskteinene inneholdt i snitt 1,38 kg plast. For runde og firkantede klappteiner var snittvekten på plast 0,36 og 0,22 kg (Kutke og Strømø, 2022).

Med utgangspunkt i snittvektene på plast fra bacheloroppgaven er det tatt opp 2 160 kg plast fra disse fire teinetypene i prosjektet. Plast fra garn, ruser og andre teinetyper er ikke kvantifisert. Når redskap blir tatt opp registreres også omtrentlig mengde tau på redskapen. Det er registrert fjernet rundt 42.000 meter tau, hvilket utgjør en vekt på omtrent 1,6 tonn plast dersom man tar utgangspunkt i utsalgsvekten til 8 mm tykt tau. Tautykkelse er ikke registrert, men 8 mm antas å være i det nedre sjiktet av tykkelse på tau brukt til fiskeredskap. Det er i tillegg tatt opp over 1000 blåser, og flesteparten av disse er laget av plast.


4.4 - Sannsynligheten for å bevare flyteevnen for ulike typer blåser

Det er stor variasjon i hva slags blåser som observeres på tapt redskap, og i hvilken grad de ulike blåsetypene bevarer sin flyteegenskap. Vi har kategorisert blåser i fire kategorier (luftfyllt hard, luftfyllt myk, massiv og hjemmelaget) og beregnet sannsynligheten for at de ulike blåsetypene fortsatt hadde flyteegenskapene intakt da de ble tatt opp. Redskaper med flere blåser i ulike kategorier er ekskludert fra analysen. Sannsynligheten for at en blåse hadde bevart flyteegenskap var signifikant høyest for massive blåser (70 %), etterfulgt av luftfylte, harde blåser (49 %) (Figur 8). De to blåsetypene med lavest sannsynlighet for bevart flyteegenskap var luftfylte myke (9 %) og hjemmelagde blåser (13 %). Eksempler på hjemmelagde blåser er plastkanner og brusflasker (Figur 9). Dersom en blåse har mistet sin flyteegenskap, for eksempel dersom den har blitt påkjørt av en båt, kan dette være årsaken til tapet. Blåsen kan også ha mistet sin flyteegenskap etter at redskapen har havnet dypt, ved at det økte trykket har skadet blåsen.

 

Figur 8: Sannsynlighet for at en blåse har bevart flyteegenskap etter tap for fire ulike blåsetyper. De rosa båndene viser 95 % konfidensintervall. N = 1 164.
Figur 8: Sannsynlighet for at en blåse har bevart flyteegenskap etter tap for fire ulike blåsetyper. De rosa båndene viser 95 % konfidensintervall. N = 1 164.

 

 

Figur 9: Eksempler på hjemmelagde blåser med en plastkanne til venstre og en brusflaske til høyre.
Figur 9: Eksempler på hjemmelagde blåser med en plastkanne til venstre og en brusflaske til høyre.

 

4.5 - Redskapenes fangbarhet og trussel mot våre kystarter - Resultater fra data samlet inn av frivillige dykkere langs norskekysten

Frivillige dykkere har lagt ned betydelig innsats i fjerning av tapte fiskeredskaper og bidrar dermed til en restaurering av våre kystområder. Data rapportert av frivillige dykkere gjennom Fritidsfiskeappen fortsetter å utgjøre en viktig kilde til informasjon om omfanget av spøkelsesfiske langs norskekysten. Antall rapporter har nå passert 15.000. Basert på data fra 11.503 redskaper rapportert inn i perioden Juni 2015 til Juni 2020 har vi beregnet hvor stor fare de ulike fiskeredskapene utgjør langs norskekysten i dag (Thorbjørnsen et al., 2023). Det er benyttet en «hazard ratio» med en verdi mellom 0 og 1 som angir den relative faren hver redskapstype utgjør (Figur 10). Hazard ratioen er en funksjon av hvor mye det er av redskapen (høyt antall fører til økt hazard ratio) og hvor ofte det står dyr fanget i redskapen etter at den er tapt (høyere fangbarhet fører til økt hazard ratio). Arter som er rapportert inkluderer, hummer, taskekrabbe, torsk, leppefisk og annen fisk. Skotteteinen utgjør per i dag størst fare for våre kystarter, på grunn av sitt høye antall langs kysten og sin høye fangbarhet (Thorbjørnsen et al., 2023). Den utgjør en ca tre ganger større fare enn nummer to på listen; garn. Leppefiskteinen havner på en fjerdeplass. Denne teinen har den høyeste fangbarhet etter tap, men den er ikke så tallrik. Det antas at leppefiskteinen har høy fangbarhet etter tap på grunn av sine relativt små fluktåpninger. Firkantede klappteiner havner på en femteplass selv om den er tallrik, da den har lav fangbarhet.

 

Figur 10: Hazard ratio for ulike redskapstyper langs norskekysten. Hazard ratioen er en funksjon av hvor mye det er av redskapet og hvor ofte det står dyr fanget i redskapen etter at den er tapt. Oversatt fra Thorbjørnsen et al., 2023.
Figur 10: Hazard ratio for ulike redskapstyper langs norskekysten. Hazard ratioen er en funksjon av hvor mye det er av redskapet og hvor ofte det står dyr fanget i redskapen etter at den er tapt. Oversatt fra Thorbjørnsen et al., 2023.

 

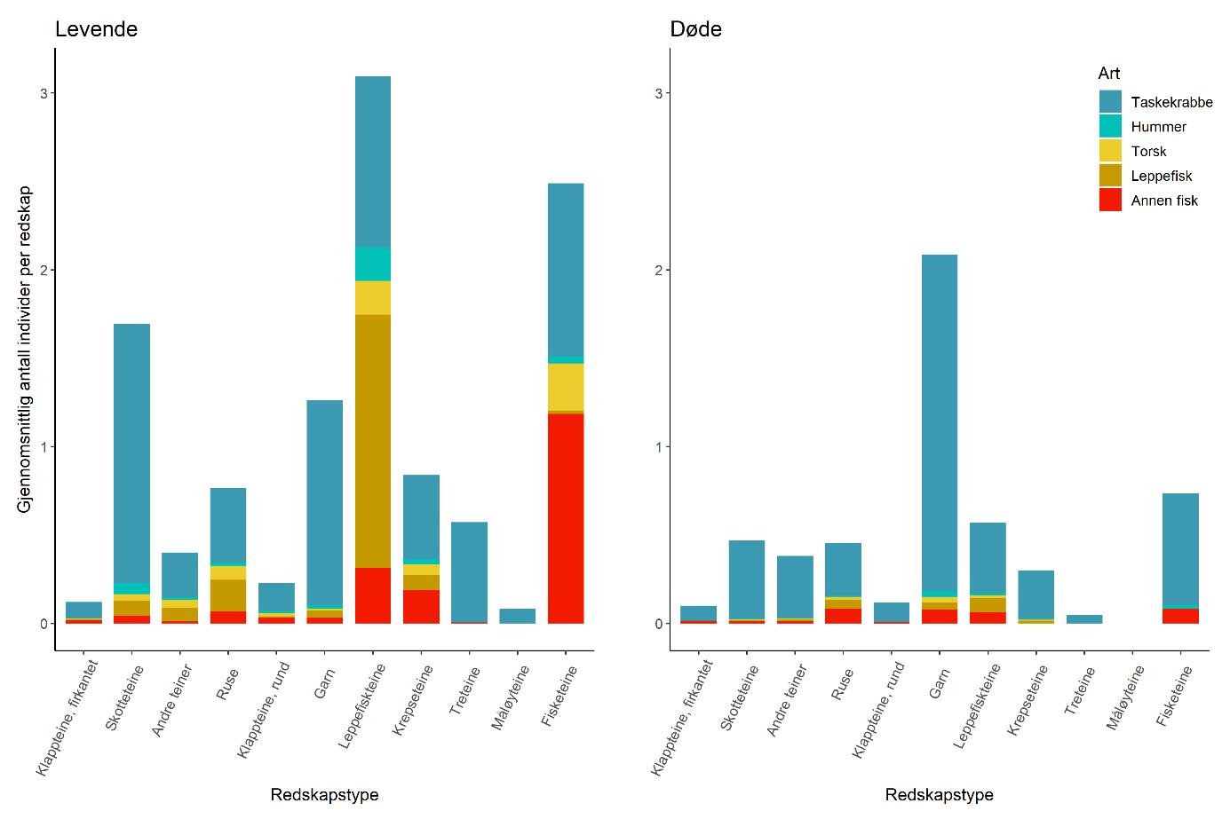
Taskekrabben er den arten som oftest finnes fanget i spøkelsesredskap (Figur 11) (Thorbjørnsen et al., 2023). Andelen er spesielt høy blant død fangst, noe som sannsynligvis kommer av at skallet bruker lang tid på å råtne. Teinetypen med høyest fangbarhet er leppefiskteinen. Dette kan knyttes til at denne teinetypen har den minste fluktåpningen (12 x 70 mm).

 

Figur 11: Gjennomsnittlig antall individer funnet i tapt redskap for ulike redskapstyper. Panelet til venstre viser levende fangst og panelet til høyre viser død fangst. Oversatt fra Thorbjørnsen et al., 2023.
Figur 11: Gjennomsnittlig antall individer funnet i tapt redskap for ulike redskapstyper. Panelet til venstre viser levende fangst og panelet til høyre viser død fangst. Oversatt fra Thorbjørnsen et al., 2023.

 

4.6 - Tiltak for å forhindre fremtidig redskapstap

Oppmerksomheten rundt spøkelsesfiske og dets effekt på bestandene vil få økt oppmerksomhet i årene som kommer. Fra mai 2023 vil miljøsertifiseringsorganisasjonen MSC (Marine Stewardship Council) kreve at påvirkninger fra spøkelsesfiske er vurdert i evalueringen av hvorvidt fiskeriet er bærekraftig (Marine Stewardship Council, 2022). Fiskerne skal ha tiltak for å begrense redskapstap og eventuelle påvirkninger fra redskapet dersom det tapes. Videre viser våre funn at det er grunn til å tro at mesteparten av redskapstapet skjer i fritidsfisket.

Ryddeeffektiviteten har økt siden prosjektets oppstart, sannsynligvis som et resultat av både økt kapasitet og effektivisering av metodikk. Videre viser beregningen av antall redskap tapt i Raet Nasjonalpark (Kerlefsen, 2022) at det også må fokuseres på en reduksjon i tilførsel av tapte fiskeredskaper for å redusere spøkelsesfisket. Det kan være en utfordring med opplysningskampanjer at man i hovedsak når de mest interesserte i målgruppen, som kanskje også er de fiskerne med mest erfaring. Det er ikke undersøkt om fiskere med erfaring har en lavere grad av teinetap enn fiskere som har mindre erfaring, men det er indikasjoner på at yrkesfiskere har betydelig lavere teinetap enn fritidsfiskere, hvilket sannsynligvis har sammenheng med kunnskapsnivå og erfaring. Dette understøttes også av at vi anslår at størsteparten av redskapene ryddet i dette prosjektet stammer fra fritidsfisket. Opplysningskampanjer og kurs kan bidra til mer kunnskap om problemstillinger relatert til spøkelsesfiske. Mye av kunnskapen vi har opparbeidet oss gjennom prosjektet på årsaker til redskapstap er nå samlet på nettsiden teinevett.no.

Innføringen av påbudet om å merke redskapen (2022) kan ha en effekt på ansvarsfølelsen til den enkelte fisker. Videre kan et påbud om å rapportere tapte redskap også for fritidsfiskere gi bedre oversikt over omfanget og hvor tapet er størst. Det er også viktig å følge opp med datainnsamling for å evaluere effektene av eventuelle tiltak.

Masteroppgavene fra Raet nasjonalpark indikerer betydelige effekter fra spøkelsesfiske på kystbestandene av hummer, krabbe, torsk og leppefisk. Mulige tiltak for å redusere spøkelsesfiske på disse artene inkluderer modifisering av redskapstyper og en reduksjon i antall redskap tillatt per fisker. En vurdering av disse tiltakene kan gjøres individuelt for fritidsfisket og yrkesfisket, tatt i betraktning at mesteparten av de tapte fiskeredskapene som er tatt opp antas å være fra fritidsfisket. I dag er det tilnærmet ingen forskjell på mengde tillatt redskap om man fisker i Skagerrak eller i Finnmark. Dette til tross for at befolkningstettheten og ressursgrunnlaget er helt ulikt. Med en reduksjon i mengde redskap per fisker vil det være mulighet for å redusere mengde redskap som står i sjøen og også redskapstap. Tekniske reguleringer på redskap kan også vurderes for å redusere sannsynligheten for redskapstap, f.eks. krav om redskapets utforming (for eksempel vekt) og type blåse. Prosjektet følger med på og har testet ut flere typer innovasjoner for å redusere spøkelsesfiske. Spesielt har det blitt sett på ulike typer løsninger slik som nødspole, elektronisk sporing av blåse og nødbøye festet på redskapen. Her ligger det et potensial som kan bidra til fremtidig reduksjon av redskapstap (se kapittel 5.5).

Funnene fra bacheloroppgaven viser at dersom målet er å redusere plast fra spøkelsesredskaper bør det fokuseres på fjerning av skotteteiner og leppefiskteiner fremfor klappteiner. Fjerning av én skotteteine utgjør omtrent like mye plast fjernet fra havet som ti firkantede klappteiner. Skotteteiner og leppefiskteiner er også redskaper som har en høy grad av spøkelsesfiske; rundt én av to teiner inneholder fangst (Thorbjørnsen et al., 2023). Til sammenligning inneholdt firkantede klappteiner fangst i rundt ett av ti tilfeller, hvilket tilsier at å rydde én skotteteine sparer like mange dyreliv som å rydde fem firkantede klappteiner. Økt fokus på å rydde visse redskapstyper, som skotteteinen, kan dermed redusere både plastforsøpling og dødelighet i spøkelsesfisket mer effektivt. Videre er et mulig tiltak for å redusere plastforsøpling fra tapte fiskeredskaper å gå over til nedbrytbart materiale. Det er i senere tid blitt forsket en del på nedbrytbare materialer. Spesielt netting og kalver i teiner har stort potensial å kunne bli erstattet med nedbrytbart materiale. For å få til denne overgangen kan det vurderes incentivordninger eller krav. En vurdering av dette kan gjøres individuelt for ulike fiskeredskaper, fritidsfiske og yrkesfiske, og geografisk område (eksempelvis i og utenfor nasjonalparkene).

Den forventede reduksjonen i spøkelsesfiske som følge av påbudet om råtnetråd avhenger både av andelen teiner som utstyres med råtnetråd og tiden det tar før tråden råtner. Beregningene på råtnetrådens nedbrytningstid tilsier at 50 % av teinene spøkelsesfisker i 4,7 måneder etter tap. Ved å redusere råtnetrådens tykkelse kan man oppnå en videre reduksjon av spøkelsesfiske. Denne vurderingen kan også gjøres individuelt for ulike fiskeredskaper, samt fritidsfiskere og yrkesfiskere. Videre kan den store variasjonen i råtnetrådens nedbrytningstid skyldes forskjeller mellom råtnetrådene som kan være vanskelige å oppdage – for eksempel om tråden er ubehandlet og er uten kjerne av et annet materiale. En standardisering av tråder for salg kan bidra til å redusere forskjellene i nedbrytningstid og forhindre at nedbrytningstiden blir lengre enn beregnet.

Mye redskap blir tapt grunnet propellkutt, hvilket tyder på at det eksisterer brukskonflikter mellom redskap og båttrafikk. Ved å regulere anledningen til å fiske med faststående redskap i områder med mye trafikk kan man redusere sannsynligheten for at redskap blir tapt. Redskapskonflikter mellom faststående redskap (for eksempel krepseteiner) og aktive redskap (som trål) kan også føre til tap av fiskeredskap. Arealbaserte reguleringer der ulike redskapstyper får utdelt ulike fiskeområder er et alternativ for å unngå denne typen redskapskonflikter med påfølgende spøkelsesfiske.

 

Bilde: Tapte fiskeredskaper som ble funnet i en ansamling på havbunnen.
Bilde: Tapte fiskeredskaper som ble funnet i en ansamling på havbunnen.

 

5 - Operasjonelt arbeid og metodeutvikling

5.1 - Operative fartøy

Green-Bay har hatt det operative ansvaret til sjøs med ansvar for drift av båter og ryddeaktivitet i nasjonalparkene. Siden starten av 2021 og frem til november 2022 er det blitt brukt flere forskjellige fartøy og oppsett.

Båtene Cygnus (30 fots surveybåt) og senere Adina (en noe mindre, men tilpasset surveybåt for kamera og rydding) har vært brukt til slepekameraleting og rydding med ROV i Raet nasjonalpark. Disse båtene har vært ute ca. 115 dager til sammen i denne fasen av prosjektet. Båtene har operert på strekningen Lillesand-Kragerø. Cygnus har også vært med på tokt i Jomfruland nasjonalpark i 2021.

R/V Tyra, et 14 meter langt forskningsfartøy, har vært brukt i alle nasjonalparkene i prosjektet i 2021. I 2022 gjennomgikk Tyra en ombygging til batterihybrid drift ved Selfa Arctics verksted i Trondheim. Ombyggingen har gjort det mulig å operere 80-90 % av tiden på elektrisk kraft. Tyra var mye i bruk i hele 2021 i alle områdene, og etter ombyggingen har Tyra vært på tokt i Indre Oslofjord i 2022 og på dagsturer i området Raet nasjonalpark og verneområdet for hummer i Lillesand.

Terna er en mindre arbeidsbåt av typen Arronet (24 fot) som ble tatt i bruk fra midten av 2021. Den har drevet omfattende ryddeaktivitet på dagsturer i Raet nasjonalpark og på tokt i de andre nasjonalparkene.

Sommeren 2022 har prosjektet oppskalert virksomheten betraktelig gjennom å sette inn forskningsfartøyet Johan Ruud (100 fot) og utstyre fartøyet med to arbeidsbåter, Terna og Tjeld (24 fot), som opererer med hvert sitt arbeidslag under rydding. Johan Ruud har kapasitet til et mannskap på 18 personer, og har vært brukt aktivt i perioden august-november 2022 langs Skagerrakkysten, i Ytre og Indre Oslofjord, og i verneområdene ved Drøbak, Sandvika, Oslo, Kvernskjær, Jomfruland og Valberg i Kragerøfjorden. Anskaffelsen av Johan Ruud innebærer en stor oppgradering for prosjektet. Med dette fartøyet har vi kunnet flytte hele prosjektet med oss samlet med alt av utstyr og mannskap om bord. Dette bidrar til at feltpersonell kan operere flere timer hver dag på sjøen sammenlignet når man hadde baser på land og mer utfordrende logistikk. Johan Ruud har både fungert som ryddebase og logistikkfartøy, til formidling og operasjon av AUV. Prosjektet er nå rigget for omfattende kartleggings- og ryddevirksomhet. Ryddeeffektiviteten har stadig økt gjennom prosjektet og i snitt har det blitt tatt opp dobbelt så mange redskap per arbeidsdag i 2022 sammenlignet med 2021. Det høyeste antall redskap tatt opp på en dag er 69 (September 2022, Figur 12).

 

Figur 12: Antall redskap tatt opp per ryddedag.
Figur 12: Antall redskap tatt opp per ryddedag.

 

5.2 - ROV-operasjoner

Siden oppstarten har det vært gjort stadige forbedringer både på arbeidsprosedyrer og utstyrsparken. De vektoriserte ROV-ene er utstyrt med tromler med 200 m line, slik at disse kan brukes til anhuking, og haling av tyngre objekter på dypere vann enn det vi får til med de mindre DTG-ROV-ene. Til DTG-ROV-ene er det laget integrerte kutteverktøy som gjør at man både kan kutte tauverk og løfte redskap uten å måtte gå til overflaten for å bytte verktøy. Kabelløsningene til DTG-ROV-ene er bygget om til en rimeligere og mer robust kabel som sammen med mindre ombygginger på teinehaler gjør at mannskapet kan hale redskap ved bruk av teinehaler og dermed unngå de store belastningene som manuell haling medfører. Dette har vært et viktig fokusområde innenfor HMS.

Operasjonelt har vi gått fra stort sett å kjøre én ROV til å kjøre to ROV-er i par fra samme båt. På denne måten oppnår vi at det alltid er en til å hjelpe til dersom den andre opplever problemer. Dersom man setter seg fast i fiskeredskaper og tauverk med den ene ROV-en, kan den andre bistå i å få oversikt over situasjonen og eventuelt klippe bort tauverk. Prosjektet har også hatt fokus på å sette sammen lag av to personer som får anledning til å bli samkjørte og få kontinuitet i operasjoner. Samtidig er det foretatt rulleringer for å få spredd erfaringer og ideer mellom lagene.

Det er fortsatt en del slitasje på utstyret og utgifter til vedlikehold, og dette er ikke til å unngå. Vi har forsøkt flere tiltak for å få slitasjen ned eller løse vedlikeholdsbehovet på en billigere måte. Eksempler på tiltak er rimeligere kabel, hyppigere bruk av krok og line på tunge objekter og egenproduksjon av komponenter til manipulator. I tillegg har vi laget prototyper og prøvd ut ulike måter for å bringe line og festeanordninger ned med ROV-en til objekter på bunnen. Det er laget en rørformet anordning til DTG-ROV-en og en trommelløsning til de vektoriserte ROV-ene. Trommelløsningen er løsningen som til nå er grundigst testet.

 

Bilde: Johan Ruud med en mindre arbeidsbåt (Arronet).
Bilde: Johan Ruud med en mindre arbeidsbåt (Arronet).

 

5.3 - Kartlegging med AUV

Søk og berging av tapte fiskeredskap er krevende på dypere vann (dypere enn 80-100 meter). Det er også tidkrevende og metodisk utfordrende å dekke store områder med bløtbunn med ROV. Autonome undervannsfarkoster (AUV) med sonar har blitt testet ut for å kartlegge dype bløtbunnsområder for tapte redskaper. Green-Bay har tidligere vært med Kongsberg Maritime og prosjekt Frisk Oslofjord på testing av HISAS kartlegging av havbunnen i Færder nasjonalpark. Høsten 2021 ble Havforskningsinstituttets nyinnkjøpte AUV Munin+ utstyrt med HISAS 2040 sonar og EM2040 multibeam ekkolodd innpasset for operasjon på R/V Tyra (Figur 13). Operasjonen var vellykket og lærerik. Tyra er et relativt lite fartøy, derfor er vi avhengige av godt vær for AUV-operasjoner, da AUV-en er stor i forhold til båten. Under denne testen oppnådde vi den nøyaktigheten vi forventet. Sonarbildene samlet inn under operasjonen ble manuelt gjennomgått, og redskap ble identifisert. Deretter ble observasjonene oppsøkt med ROV, verifisert og berget. Det jobbes med å bygge en database av identifiserte og verifiserte redskaper for å også utvikle maskinsyn for å raskere analysere HISAS-data.

En viktig erfaring er at AUV/HISAS-operasjonen blir mer effektiv jo større flate partier man klarer å dekke uten å endre dybde eller retning på AUV-en. Lange transekter langsetter samme dybdekote gir størst tetthet av gode data. Tett på land mellom øyer og skjær og i kupert landskap er dette utfordrende å få til. Man kan fortsatt få gode data, men man dekker et mindre areal. For å planlegge hensiktsmessige kjøreruter for AUV må det ligge gode topografimodeller i bunn. Slike modeller er tilgjengelige i mange av områdene og gir en høyere presisjon enn om man legger vanlige sjøkart til grunn. Det er til dels mulig å få klassifisering av bunntyper gjennom topografiske modeller, men i tillegg er bunnhardhet en viktig parameter. AUV/HISAS er best egnet på sedimentær bunn og i overgangen mellom sedimentær bunn og stein/fjellpartier. En måte å få gode topografiske modeller på er å lage disse selv ved hjelp av MBES (multistråle-ekkoloddsystem), eller å få dataene utlevert fra Kartverket i de områdene der dette finnes. Begge deler krever Forsvarets godkjenning. Multistråle-kartlegging krever eget utstyr og ressurser for å hente inn og prosessere data, mens det er noe kostnader knyttet til å få data fra Kartverket tilrettelagt og delt etter godkjenning. Høsten 2022 har prosjektet utstyrt R/V Tyra for multibeamkartlegging gjennom sitt samarbeid med Kongsberg Maritime og prosjekt Frisk Oslofjord. Det vil si at vi nå kan samle data mens vi likevel er ute og rydder fiskeredskaper og kan bruke disse til fremtidige ryddeaksjoner, forutsatt at vi har innhentet tillatelse fra Forsvaret.

I teorien er det mulig å dekke ~2 km2 i timen med AUV med en fart på 4 knop og dekning på 250 meter bredde. I praksis dekker man mindre på grunn av at man ikke får brukbare data når AUV-en svinger eller endrer høyde. Det er mer realistisk å forvente en dekning på i underkant av ~1 km2 i timen. Det må også beregnes tid til transitt til og fra prøvested, utsetting og opptak og til prosessering av dataene før man kan analysere dem. Operasjonelt har vi gjort oss erfaringer med at AUV-en Munin er svært sensitiv for justering av oppdrift for å få til vellykkede dykk. Det er nødvendig å balansere AUV-en med en blanding av faste og komprimerbare oppdriftselementer. Kun små endringer i saltholdighet i vannet gjør at disse justeringene må gjøres på nytt. Det har vært foretatt mange utsett og opptak med påfølgende justeringer før vi har kommet frem til konfigurasjoner som gjør at AUV-en dykker. Rent praktisk har det også vært viktig å ta hensyn til lokale strømforhold og retning på vind og bølger. AUV-en har hatt problemer med å oppnå høy nok hastighet dersom den er satt til å dykke mot strøm og vær, mens det har vært enklere å få til vellykkede dykk når linjen for dykking er satt i retning med strøm og vær.

For å gjøre prosjektet mindre væravhengig, og å kunne gjøre AUV-operasjoner lenger bort fra basen i Arendal, er også Johan Ruud rigget for AUV-kjøring høsten 2022. Prosjektet har gjennomførte et to uker langt tokt i Jomfruland nasjonalpark oktober/november 2022 med vellykket AUV-kartlegging. Dataene herfra blir gjennomgått i november og vil bli lagt til grunn for rydding i Jomfruland i 2023-sesongen.

Prosjektet gjennomførte i april/mai 2022 et tokt i Færder nasjonalpark med rydding av redskap og med mål om å kjøre AUV i Færder. Det ble ryddet mye redskap, men AUV-tillatelse fra Forsvaret ble ikke innvilget HI som omsøkt, derfor ble AUV-kjøring flyttet til Raet nasjonalpark, hvor det forelå tillatelse. Oppsummert har prosjektet kjørt AUV i to perioder i Raet nasjonalpark i 2021 og 2022, og i én periode i Jomfruland nasjonalpark i 2022. I tillegg har prosjektet i et formalisert samarbeid med Frisk Oslofjord fått tilgang til data fra deler av Ytre Hvaler og Færder nasjonalparker. Mannskap fra Green-Bay har også deltatt på tokt i Drammensfjorden med Frisk Oslofjord-prosjektet for erfaringsoverføring i 2022.

 

Figur 13: AUVen Munin+ rigget om bord på Tyra (venstre). Utsnitt fra kartlegging med HISAS viser en lenke med teiner på 90 meters dyp i Raet nasjonalpark(høyre). Teinene ble verifisert med ROV og berget.
Figur 13: AUVen Munin+ rigget om bord på Tyra (venstre). Utsnitt fra kartlegging med HISAS viser en lenke med teiner på 90 meters dyp i Raet nasjonalpark(høyre). Teinene ble verifisert med ROV og berget.

 

5.4 - Dropkamera/slepekamera

Dropkameraer som slepes etter båten har blitt benyttet siden oppstart av prosjektet i 2019 og store områder er dekket. Denne metoden har som hensikt å effektivisere søk etter redskap, spesielt på hardbunn der det er utfordrende å identifisere tapte fiskeredskaper med HISAS-sonar. I første fase har det vært brukt en sleperigg med ett kamera og lys. Vi har i prosjektet utviklet en trippelkameraløsning med et videre synsfelt (Figur 14) som er installert på Tyra. Med dette utstyret blir et større område filmet og søket effektivisert. Systemet ble testet og tatt i bruk i Indre Oslofjord i august 2022. Vi jobber for å implementere deteksjon av redskap ved maskinsyn på flerkameraløsningen. Dette gjøres i samarbeid med Centre for Artificial Intelligence Research (CAIR) ved Universitetet i Agder og med Nikolai Kjærem Ellingsen, som har utviklet maskinsynet. Det kan da skilles på ulike observasjoner som «teine», «garn», «tau», «blåse» osv. (Figur 15). Det arbeides også med å utvikle et system for automatisk loggføring (koordinater, dyp) av observasjonene som maskinsynet plukker ut slik at skipper kan konsentrere seg om manøvrering av båt og kamerariggens posisjon. Målet er å etablere en arbeidsflyt fra automatisk gjenkjenning av redskap fra video via statuslogging under rydding frem til ferdig rapportert arbeid med å fjerne redskapen. Systemet krever mye datalagringskapasitet om bord som det nå er laget løsninger for. Det har blitt bygget en database med filmer av tapte fiskeredskaper for treningen av maskinsynet. Algoritmene er nå betraktelig forbedret og trent opp til å bli mer treffsikre. Dette bildegjenkjenningssystemet fortsetter å være i en testfase, men med mer utstrakt bruk i 2023.

 

Figur 14: Slepekamerarigg med tre kameraer.
Figur 14: Slepekamerarigg med tre kameraer.

 

 

Figur 15: Deteksjon av teine med maskinsyn på video fra slepekamera.
Figur 15: Deteksjon av teine med maskinsyn på video fra slepekamera.

5.5 - Uttesting av innovative løsninger for å redusere redskapstap

Foreløpige undersøkelser av opptatt spøkelsesredskap i Raet nasjonalpark viser at kutting/tap av tau og utglidning på dypere vann enn tauets lengde er vanlige årsaker til redskapstap. Gjennom prosjektet har innovasjonsselskaper blitt invitert til å få teste ut prototyper for nye produkt som kan bidra til redusert redskapstap av de overnevnte årsaker. Fire firma melte sin interesse for å delta. Innovasjonene omfatter to sporbare bøyer og to nødbøyer. Prototypene ble testet under realistiske forhold i feltforsøk i Raet nasjonalpark og hver produsent har fått spesifikke tilbakemeldinger på sine produkt.

Sporbare bøyer gjør gjenfinning av utsatt redskap mye enklere, og det er mulig å overvåke redskapet fra mobil i sanntid mens det står ute. Dersom redskapet skulle drive av eller bøyen bli kuttet fra tauet, vil eier raskt kunne få informasjon om dette, slik at sjansene for å kunne sokne opp redskapet øker. Utstrakt bruk av sporbare bøyer muliggjør også en detaljert kartlegging av romlig fiskeinnsats, slik at opprydningsaksjoner kan fokusere på høyintensitetsområder. Ved obligatorisk bruk av slike bøyer vil i tillegg forvaltningen på en enkel måte kunne overvåke fisket mht bruksmengde, røktingsplikt, områdereguleringer m.m. Den ene produsenten utvikler en bøye som er spesifikt rettet mot fritidsfikset, men den andre, som allerede har et kommersielt produkt, lager bøyer for både fritidsfikset og kommersielt fiske. For at sporbare bøyer skal bli tatt i bruk i fritidsfiske, vil det være hensiktsmessig om de ikke er for kostbare.

Selv om man kan overvåke redskap med sporbare bøyer, trenger man også metodikk for å kunne hente opp igjen redskapet når tauet er kuttet eller redskapet går utfor skrenter og havner på dyp større enn lengden på tauet. De to nødbøye-innretningene baserer seg på forskjellige teknologiske løsninger. For den ene frigjøres en nødbøye etter en brukerbestemt fisketid ved hjelp av en elektronisk utløser. Den andre har en trykkstyrt utløsermekanisme som utløser nødbøyen når beholderen med utløsermekanismen når et gitt forhåndsdefinert dyp. Begge de to nødbøyeløsningne var prototyper der det gjenstod utviklingsarbeid før de kunne settes i kommersiell produksjon.

Gitt det betydelige tapet det er av redskap, spesielt i fritidsfisket, og de miljøutfordringer og samfunnskostnader dette medfører, er tiltak for å redusere tap nødvendige. Uttestingen vi har gjort av nødbøyer og sporbare bøyer indikerer at bruk av disse teknologiene har potensiale for å gi en betydelig reduksjon av slikt tap. En kombinasjon av bruk av både sporbar bøye og nødbøye representerer en mulig løsning. For at slike teknologiske løsninger skal bli tatt i bruk vil pris og brukervennlighet være viktige kriterier.

Utviklingen av sporingsteknologi for sporing og gjenfinning av fiskeredskaper er i sin spede begynnelse. Dersom dette i fremtiden blir standard utrustning på fiskeredskaper, så er det viktig å være bevisst på at slik teknologi potensielt kan skape nye miljøutfordringer. Elektronikken kan inneholde en rekke miljøgifter og går mye av dette tapt kan dette være skadelig for miljøet. Produsenter bør derfor være bevisste på å finne løsninger som begrenser behovet for miljøgiftige komponenter i fremtidige løsninger.

5.6 - Forsøk med nedbrytbare teiner

Problemet med spøkelsesfiske er et resultat av blant annet tap, økt omfang av fiske og endringer i materialvalg i redskapene. I 2020 og 2021 har Green-Bay laget og testet fem prototyper av nedbrytbare teiner med nedbrytbar not laget av nedbrytbar resin (PBSAT) i ulike design. Treteiner distribuert i Raet i 2020 ble godt mottatt, og det var stor interesse for å delta i testingen. Green-Bay har også jobbet med teineløsninger som er nedbrytbare og sammenleggbare og som sparer store fraktvolumer. Selskapet har også levert byggesett for treteiner, blant annet til Miljøstiftelsen Elv og Hav, Borkedalen skole og interesserte privatpersoner, mens Rosendal ungdomsskole har fått en modell av en slik teine for å kunne bygge selv. Teiner i nedbrytbare materialer er blitt demonstrert på kystkulturdagene i Raet og i Blindleia. Hensikten med produksjonen er å få opp bevissthet rundt materialbruk og å vise at det er mulig å redusere plastforsøpling og spøkelsesfiske ved å tilpasse tradisjonelle produkter med nedbrytbare materialer.

I inneværende år har vi hatt som målsetting å produsere 150 treteiner med nedbrytbar not til Jomfruland (50 teiner) og Raet nasjonalparker (100 teiner). Jomfruland nasjonalpark har mottatt 50 teiner, mens Raet nasjonalpark har mottatt 40 teiner. Materiale til å produsere de resterende teinene ble gitt tik Borkedalen barneskole som byggesett. Prosjektet har dermed ikke helt nådd målsettingen, og har gjort noen erfaringer som kort kan oppsummeres.

Den nedbrytbare noten som ble testet i den siste produksjonen, og bestilt fra produsenten S-ENPOL i Korea, er noe tynnere enn noten som har vært testet tidligere. Denne har vist seg å være mindre robust. Den største utfordringen har vært selve produksjonen av teinene. Småskala produksjon er arbeidskrevende. En VTA-bedrift (varig tilrettelagt arbeid) ble valgt for bygging og montering, men bedriften har ikke klart å ferdigstille alle teinene. Intensjonen har vært at en slik produksjon kan passe for flere VTA-bedrifter langs kysten, men arbeidet har vært mer komplisert for deltakerne enn bedriften forutså. Green-Bay har derfor måttet bidra med arbeidskraft selv til produksjonen av de første 50 teinene til Jomfruland nasjonalpark og jobber med en løsning for å ferdigstille teiner til Raet nasjonalpark. Om lag halvparten av de gjenstående teinene kan gjøres ferdige og distribueres i sommersesongen 2023. Det har vært rapportert noen problemer med kvaliteten på blant annet not. Fiske med treteiner er mer vedlikeholdskrevende enn fiske med plastteiner. Blant annet må de trutnes (vannes) i forkant av fisket. Dette er en av utfordringene ved å bruke tre som materiale.

Prosjektet har vist at det er stor interesse for mer miljøvennlige teiner i fisket. Vi tror at det vil være et marked for gode, nedbrytbare teiner. Materialkostnaden for notmaterialet er noe høyere enn for plastmaterialet i en vanlig teine, men noten utgjør en liten andel av vekt og kostnad på en teine. Prisdifferansen ved et ferdig produkt vil derfor være relativt liten ved å gå over fra plast til for eksempel PBSAT. Prosjektet har demonstrert at det er fullt mulig å bygge nedbrytbare teiner i mange varianter. Vi har også vist at det er mulig å lage nedbrytbare teiner sammenleggbare, noe som sparer miljøet ved frakt og distribusjon.

 

Bilde: Prototyp på treteiner.
Bilde: Prototyp på treteiner.

6 - Referanser

Kerlefsen KV (2022). the life-saving effect of biodegradable cotton thread in lost fishing traps. Master thesis, University of Agder: Kristiansand.

Kleiven AR, Lyle J, Ferter K, Espeland SH, Nillos Kleiven PJ, Christensen L, Vølstad, JH (2019). Hummerfisket innsats og fangst 2017 og 2018. Havforskningsinstituttet: Flødevigen.

Kleiven AR, Olsen EM, Vølstad JH (2012). Total catch of a red-listed marine species is an order of magnitude higher than official data. PLoS ONE 7(2): e31216. https://doi.org/10.1371/journal.pone.0031216

Kleiven AR, Thorbjørnsen SH, & Aslaksen T (2021). Tiltak mot spøkelsesfiske i Raet Nasjonalpark. Havforskningsinstituttet: Flødevigen.

Kutke A, Strømø E (2022). Plastforurensning fra spøkelsesfiskeredskaper i Raet nasjonalpark. Bacheloroppgave, Universitetet i Agder: Kristiansand.

Loga SR (2022). Impacts of ghost fishing on European lobster ( Homarus Gammarus ) and brown crab ( Cancer pagurus ) in Raet national park, Norway. Master thesis, University of Agder: Kristiansand.

Marine Stewardship Council, 2022. MSC Fisheries Standard, versjon 3.0, 26. oktober 2022. London: Marine Stewardship Council.

Numme SS (2022). Ghost fishing in Raet National Park: estimating the impact on Atlantic cod and three species of wrasse. Master thesis, University of Agder: Kristiansand.

Thorbjørnsen SH, Synnes AEW, Løset ID, Kleiven AR (2023). Hazard and catch composition of ghost fishing gear revealed by a citizen science clean-up initiative. Marine Policy 148, 105431. https://doi.org/10.1016/j.marpol.2022.105431

7 - Vedlegg

7.1 - Formidling

7.1.1 - Presentasjoner januar 2021 – desember 2022

Tidspunkt Arrangement
August 2021 Arendalsuka
August 2021 Presentasjon av prosjektet på Verven-dagene, kystkulturdager i Lillesand
August 2021 Nor-Fishing-konferanse i Trondheim
September 2021 Passion for Ocean, Arendal
September 2021 Innspillsmøte, Hvaler, Besøkssenter Skjærhalden
September 2021 Innspillsmøte, Færder, Scandic Havna Tjøme
September 2021 ICES Annual Science Conference, online
November 2021 Innspillsmøte, Kragerø, Stasjonen
November 2021 Forelesning om spøkelsesfiske for masterstudenter i kystsoneøkologi, UiA
Desember 2021 One Ocean Expedition, Statsraad Lehmkuhl
Mars 2022 Årsmøte Arendal Fritids- og Småfiskerforbund
Mars 2022 Mediterranean Institute for Advanced Studies, Palma, Mallorca
April 2022 Landsmøte Norges Fritids- og Småfiskerforbund
Mai 2022 Fagdag med Raet nasjonalparkstyre, Arendal kommunestyresal
Juni 2022 Presentasjon av prosjektet på kystkulturdagene hos Raet Kystlag
August 2022 Arendalsuka, By, Land og Hav for neste generasjon, Storebrandbåten
August 2022 Arendalsuka, Spøkelsesfiske og maskinsyn, UiA-teltet
August 2022 Arendalsuka, fiskeriministerens besøk på Flødevigen
September 2022 Oslo Havn, ryding av hummerfredningsområder
September 2022 ICES Annual Science Conference, Dublin
November 2022 Vitensenteret Arendal, «På dypt vann», tema Spøkelsesfiske
November 2022 Forelesning om spøkelsesfiske for masterstudenter i kystsoneøkologi, UiA

7.1.2 - Medieoppslag januar 2021 – desember 2022

Kilde Dato Tittel
Dagens Næringsliv 19.01.21 Forskere har gjort alarmerende funn på havbunnen: anslår 200.000 tapte fiskeredskaper dreper fisk og skalldyr i stor skala
Fiskeribladet 20.01.21 På ett år fant Havforskningsinstituttet 1.142 spøkelsesredskaper i Raet nasjonalpark
Agderposten.no 20.01.21 Opp mot 50.000 teiner driver spøkelsesfiske i Skagerrak
Plastforum.no 20.01.21 I dette området ligger trolig 10.000 tapte fiskeredskaper
Tvedestrandsposten.no 20.01.21 Fant over 900 spøkelsesteiner på et lite område i Raet - frykter at det totale antallet er 10.000
Aftenbladet.no 21.01.21 - Synd at det ikke er penger igjen til å bekjempe spøkelsesfisket
NRK Sørlandet 21.01.21 Tusenvis dør i spøkelsesfiske
Fædrelandsvennen, nett 25.01.21 6.500 krabber, 2.900 fisk og 500 hummer er fanget på havets bunn
Geita.no 25.01.21 Ei teine her og ei teine der
Båtmagasinet 25.01.21 I dette området står trolig rundt 6500 krabber, 2900 fisk og 500 hummer fanget i spøkelsesteiner
Dykking.no 28.01.21 Her kan det ligge 10.000 tapte fiskeredskaper
Fiskeribladet 01.02.21 Fant tusenvis av tapte fiskeredskaper – det er urovekkende
Fiskeribladet 01.03.21 Fant mine utenfor Arendal
Lofotposten.no 07.03.21 Jaktet på tapte fiskeredskap – fant kjempemine
Rekommandert 29.03.21 Personlighet hos dyr
Snl.no 27.04.21 Spøkelsesfiske
Jomfruland nasjonalpark.no 04.06.21 Nå blir noe gjort
Kragerø Blad Vestmar 04.06.21 Forbereder «spøkelsesjakten» - se hva de fant da KV ble med på tokt
NRK 08.06.21 Innslag om spøkelsesfiske på Distriktsnyheter Vestfold og Telemark
Færder nasjonalpark.no 29.06.21 Her kan du få gode teinevett-tips!
Vejle Amts Folkeblad 25.07.21 Vejles gamle miljøskib kæmper for rent hav i Norge
NRK 12.08.21 Sommerskuta minutt for minutt, seilas fra Holmestrand
Lillesands-Posten 26.09.21 Fredningsområdet virker
Lillesands-Posten 04.10.21 Meld fra om du mister teiner
Agderposten 04.10.21 Meld fra om du mister teiner
Kragerø Blad Vestmar, nett 08.11.21 Nå blir det flere dagers ryddetokt rundt Jomfruland – ber om tips fra innbyggerne
NRK 13.12.21 Plasthavet, episode 3, Konsekvensene
Marfo.no 03.01.22 Opprydding av teiner i Raet nasjonalpark
Kystmagasiet.no 09.01.22 Fra diesel til hybrid for Tyra
Agder Fylkeskommune vinteren 2021 Handlingsprogram 2021-2024, Regionplan Agder 2030
Tekna.no 03.03.22 Kunne tjent 100.000 mer i privat sektor
Njff.no 15.04.22 Vi rydder opp
Tønsberg blad 30.04.22 Susanna og teamet rydder havbunnen for et usynlig problem: - Vi har et felles ansvar
Aasavis.no 30.04.22 Susanna og teamet rydder havbunnen for et usynlig problem
Lillesands-Posten 09.08.22 Har kjøpt skip
Regjeringen.no 10.08.21 Noregs plaststrategi kapittel 9
Kyst24 kystmagasinet 15.08.22 Kutter dieselforbruket med 80-90 %.
Nikr.no 18.08.22 Dette skipet bekjemper «spøkelsesfiske»
Lillesands-Posten 22.08.22 Slik går det med hummeren i fredningsområdet
NRK, nett 29.08.22 Startet prosjekt mot spøkelsesfiske – nå er situasjonen verre
Fiskeribladet 31.08.22 Nye spøkelsesteiner kommer raskere enn noen rekker å rydde
Vartoslo.no 31.08.22 Har funnet hundrevis av spøkelsesteiner i Oslofjorden, og jakten fortsetter
Teknisk Ukeblad 05.09.22 Bygget om 30 år gammel fiskebåt til hybriddrift
Oslohavn.no 22.09.22 Freder hummeren i Indre Oslofjord
Fredrikstad Blad 25.09.22 Nå blir gamle hummerteiner ryddet i nasjonalparken
Itromso.no 02.10.22 I over 40 år tjente Johan Ruud som forskningsskip for UiT – nå har det fått nytt liv
Dykking.no 31.12.22 Fem eksperter forteller om hummer

7.2 - Aktivitetsoversikt

7.2.1 - 2021

Januar – april: Aktivitet med flere båter i Raet nasjonalpark samt hummerfredningsområdet i Lillesand

Mai: Vedlikehold av fartøy på Eydehavn før tokt til Færder

Mai – juni: Rundreise i nasjonalparkene Færder, Hvaler, Jomfruland og Raet

25 mai – 31. mai: Tokt Færder nasjonalpark

31. mai – 1.juni: Hvaler nasjonalpark

1. juni – 2. juni: Jomfruland nasjonalpark

3. juni: Toktet avsluttes i Raet nasjonalpark

Vi hadde bred mediedekning med besøk fra lokale medier, og NRK Super laget et nyhetsinnslag om prosjektet. Vi hadde møter og samarbeid i felt med flere lokale aktører, blant annet Miljøstiftelsen Elv og Hav, havbunnskartleggingsselskapet Styvehavn og Tønsberg Dykkeklubb. Tyra brukte havnene Krukehavn på Hvasser, Utgårdskilen i Ytre Hvaler og Tårnbrygga på Jomfruland.

23. juni: Test av AI-system i Raet

Videreutvikling av et mer opptrent AI-program ble testet om bord på Cygnus med Torjussen Multiservice og Nikolai Ellingsen, UiA.

27. juni – 1. juli: Rydding i Raet

Slutten av juni: mistet ROV ved Merdø, ble gjenfunnet og reparert.

Etter hvert har prosjektet mistet ROV-er ved 7-8 anledninger. Vi har satt oss fast enda flere ganger. Dette har vært utfordrende, men også lærerikt da vi har vært nødt til å tenke beredksap i forkant og finne løsninger for å redde utstyr. Så langt har vi ikke mistet utstyr permanent, og skadene har vært begrenset stort sett til kabelbrudd og mindre reparasjoner. Erfaringene fra disse hendelsene er tatt med videre i effektivisering av ryddearbeidet.

5. august: Demo med Kongsberg Maritime og sommerstudenter

Kongsberg Maritime og studenter har testet ut teinesøk med USV og multibeam der vi samarbeider med Kongsberg om testoppsett. Begynte også tilrigging av forberedelser av AUV og diskusjon om mekanisk spesialtilpasning av stinger for operasjon av AUV på Tyra. Prosjektet har levert teiner ryddet i Færder nasjonalpark som sommerstudentene og Kongsberg Maritime har benyttet i sine forsøk.

11. - 12. august: NRK sommerskuta i Holmestrand

HI-forsker Susanna Huneide Thorbjørnsen deltok på sommerskuta der hun presenterte om problemet med spøkelsesfiske, løsninger og forskningen rundt dette. Green-Bay hadde med to programledere på demonstrasjon av søk og rydding i hummerfredningsområdet ved Holmestrand i live-sending på NRK.

August – September: Tokt i Hvaler og rydding rundt Rauer fredningsområde

30. august – 13. september: Engelsviken – Larkollen – Kvernskjær

8. september: Folkemøte i Hvaler på Ytre Hvaler nasjonalparksenter, Skjærhalden

10 dagers tokt sammen med Fiskeridirektoratet med fartøyene Unger Vetlesen, Tyra og to Arroneter med hvert sitt arbeidslag under toktet. Det ble dekket store områder fra Larkollen lengst nord til Kvernskjær/Skjærhalden i syd. Strste delen av innsatsen ble lagt ned i fredningsområdet rundt Rauer, men det ble også lagt inn en del innsats i fredningsområdet ved Kvernskjær.

September: Tokt i Færder og Jomfruland nasjonalparker

13. september – 19. september: Færder nasjonalpark

14. september: Folkemøte på Scandic Hotel Havna

20. september – 21. september Jomfruland

22. september Raet nasjonalpark

Det ble ryddet i ulike områder i hele Færder nasjonalpark fra nord til syd med fartøyene Tyra og to Arroneter. Ryddelagene hadde base på Krukehavn ved Hvasser og har hatt et godt samarbeid med Losvesenet og Buksér og Berging, som har lagt godt til rette når vi har vært i området. Vi har benyttet Hvasser motell som base.

I Jomfruland var det fint vær og mulig å gjøre ROV-søk på utsiden av Jomfruland, og det ble gjort søk i området rundt Saltsteinsbåen etter tips fra lokalkjente. Dette er områder hvor det ofte er vanskelig å komme til på grunn av værforhold.

28. september: Forberedelser rigging til AUV og første test av trippelkameraløsning

3. – 14. oktober: Rigger AUV på Tyra ved HIs base i Flødevigen.

17. oktober – 28. oktober: Beredskap i hummerfisket og rydding av tapte redskaper i Raet nasjonalpark

31. oktober – 16. november: AUV-kjøring i Raet nasjonalpark.

Teknikere fra HI i Bergen samt en observatør fra HI i Tromsø deltok på tokt. Kongsberg Maritime bidro med tre personer. Det ble sett på nye softwareløsninger, delt erfaringer og gjennomgått rutiner for prosessering av data.

16. november – 25. november: Tokt i Jomfruland

23. november: Folkemøte i Kragerø

Rydding fra Portør til Stråholmen på innsiden av Jomfruland. Det ble også gjort forsøk på rydding utaskjærs, men dette ble begrenset av dårlig vær. Det ble derfor ryddet innover i Kragerøfjorden. Folkemøte på Jernbanetorget i Kragerø, innhenting av informasjon fra lokalkjente og dykkerklubb.

Desember: Rydding med Terna og Cygnus.

7.2.2 - 2022

Januar – juni: Terna og Cygnus rydder i Raet nasjonalpark. Tyra er til ombygging.

April – mai: Tokt Færder, Tønsberg, Horten

19. april – 29. april: Færder nasjonalpark med Hydrograf (HI), Terna og en Arronet fra Flødevigen.

30. april – 1. mai: Hummerfredningsområde nord for Tønsberg og utenfor Løveøya ved Horten

2. mai: AUV-kjøring i Raet nasjonalpark

3. mai: Demobilisering i Arendal.

Det ble ryddet mellom 350 og 400 fiskeredskaper. Vi brukte Vestre Bolærne som base under ryddingen. 28. april hadde prosjektet besøk av Handelens Miljøfond med gjester fra Miljødirektoratet og Basel-, Rotterdam- og Stockholmkonvensjonene. Det ble holdt presentasjon om bord på Hydrograf. Det ble kjørt AUV i Raet fra enden av Tromøya ved Øyna og ned til Hoveodden.

Mai – Juli: Anskaffelse og transport av R/V Johan Ruud i Odda.

Seileplan Odda – Haugesund – Egersund – Kristiansand. Mobilisering ved kai i Marvika, Kristiansand og tilrettelegging for oppskalering av prosjektet.

9. august: Prosjekt- og bedriftspresentasjon med rundtur i Tyra, Aker Solutions

August: Tokt med Johan Ruud i Drøbak, Ytre Oslofjord og Hvaler

6. august – 14. august: Drøbak og Sandvika med Fiskeridirektoratet

16. august – 20. august: Kombinert dykketokt for HI og undersøkelser av tapte redskap på strekningen Sandefjord, Hvaler, Moss.

Todelt tokt der to arbeidslag ryddet kontinuerlig i hummerfredningsområdet ved Drøbak og i Sandvika. Toktet var et samtokt med Fiskeridirektoratet der Fiskeridirektoratet finansierte disse to arbeidslagene. Prosjektet stilte med fartøyet Johan Ruud som base med kaiplass på Norges Yrkesdykkerskole på Fagerstrand den første halvdelen av perioden, og alle funn er registrert i HIs registreringsskjema for tapt fiskeredskap. I den andre perioden gjennomførte Johan Ruud med mannskap undersøkelser og leting etter tapt fiskeredskap parallelt med at fartøyet var vertskap for et forskningsdykkerlag. Dykkerlaget utførte dykk på faste lokasjoner som gjentas hvert år. Mannskapet på Johan Ruud gjorde stikkprøveundersøkelser på tapt fiskeredskap på de samme lokasjonene.

August – September: Tokt med Johan Ruud Indre Oslofjord

26. august – 9. september: Hummerfredningsområdet Indre Oslofjord

Fartøyet Johan Ruud, Tyra og to arbeidslag om bord i Aronnetene gjennomførte to ukers tokt i Indre Oslofjord i det planlagte hummerfredningsområdet fra Sjursøya til Bygdøy. Prosjektet fikk god støtte fra Bymiljøetaten i Oslo og Oslo havn, som la til rette for parkering, kaiplass, strøm og avfallshåndtering på en måte som effektiviserte arbeidet. Det ble avholdt en tilstelning om bord med en større presentasjon av prosjektet 31. august gjennomført av HI. Det ble holdt innlegg både av Havforskningsdirektør Nils Gunnar Kvamstø, Statssekretær for fiskeri og havministeren Vidar Ulrichsen, og Cecilie Lind, leder av Handelens Miljøfond. Prosjektet ble presentert av Susanna Huneide Thorbjørnsen med utstilling og omvisning om bord.

Under toktet kartla mannskapet fra Green-Bay alt marint avfall i et 1 km2 stort område ved Bleikøya og Gressholmene. Dette området ble saumfart og alle fiskeredskaper ble tatt opp og fjernet. 1 km2 nord for Lindøya og Hovedøya ble hensikt ikke ryddet, mens et kontrollområde utenfor det planlagte hummerfredningsområdet heller ikke ble ryddet. Bakgrunnen for å rydde ett område helt og la et annet stå uryddet er for å skaffe kunnskap om effekten av ryddetiltakene på fisk- og skalldyrbestander. HI gjorde et forsøksfiske i de tre områdene, også for å ha referansedata på hummer før hummerfredningsområdet trådte i kraft 1. oktober.

I tillegg ble det foretatt omfattende rydding over store deler av hummerfredningsområdet og i randsonen rundt.

September: Tokt med Johan Ruud i Ytre Hvaler nasjonalpark og hummerfredningsområdet Kværnskjær.

19.-30. september: Hummerfredningsområdet Kværnskjær

Skipet hadde baser på Skipstadsand ved det nedlagte fergeleiet. I den første delen av perioden var det gode forhold, og det ble lagt ned en stor innsats i det eksponerte området rundt Tisler, med særlig fokus på å se etter tapte fiskeredskaper i fiskeforbudssonen ved dypvannskorallene. Det ble funnet overraskende mye fiskeredskaper i området. Etter hvert beveget lagene innsatsen mot Akerøya, Søsterøyene og hummerfredningsområdet, før sterk vestavind gjorde at innsatsen ble flyttet til Løperen og bak Hvalerøyene. Det ble også gjort noe opprydding i Singlefjorden etter tips fra lokalkjente.

Prosjektet har innhentet AUV-data og identifisert tapte fiskeredskaper i trålområdene på utsiden av Hvaler. Dataene gjør det mulig å «klarere» og gå målrettet på opphenting av de indentifiserte redskapene til neste år. Dybde og værforhold gjorde det ikke mulig å hente opp disse redskapene under årets tokt.

November: Tokt med Johan Ruud Jomfruland

7. – 18. november:

Det ble gjennomført omfattende AUV-kartlegging i steinrenna nord for Stråholmen, fra Saltsteinsbåen og forbi sydspissen av Jomfruland, og på innsiden av skjærene mellom Jomfruland og Portør. Kartleggingen gir et godt grunnlag for ryddingen som planlegges i Jomfruland i 2023. Hummerfredningsområdene ved Valberg og på innsiden av Jomfruland ble ryddet av to arbeidslag under toktet.

Rydding langs Skagerrakkysten høsten 2022:

Det er foretatt rydding fra Kvåsefjorden i vest til svenskegrensen i øst, helt inn i Indre Oslofjord. Det er ikke foretatt rydding vest for Kristiansand, da dette området har vært ryddet intensivt av Søgne dykkerklubb og Mandal dykkerklubb enda lengre vest. Kartleggingstoktet som ble planlagt i august er blitt noe justert og gjennomført i forbindelse med de andre toktene, blant annet på grunn av samordning med Fiskeridirektoratet og logistikken med å flytte båten. Området vest for Kristiansand er ikke inkludert, men antall dagers innsats og opprydding er i henhold til plan. Innsatsen har vært mer konsentrert på utvalgte plasser. Vi har en god dialog med Søgne dykkerklubb vest i Agder, dette er den dykkerklubben i Norge som har lagt ned størst innsats for å få rydde spøkelsesredskap, og vi har et godt bilde av problemstillingen i området gjennom dem.