Go to main content

Lakselus – risikovurdering og kunnskapsstatus 2023

— Dødelighet og negative effekter hos laksefisk som følge av lakselus

Sammendrag

Risikovurderingen omfatter dødelighet på utvandrende postsmolt laks og negative effekter på sjøørret og sjørøye som følge av lakselussmitte. Vurderingene baserer seg på konsekvensen av at villfisken blir smittet med lakselus fra oppdrett og toleransen villfisken har for lakselussmitte. Til grunn for vurderingen av lakselussmitte har vi benyttet kunnskap om utslipp av lakselus og i hvilken grad det er overlapp med tilstedeværelse av villfisken i tid og rom. Utslipp av lakselus er beregnet fra antallet av voksne hunnlus på oppdrettsfisk, antall fisk i anleggene og temperatur innrapportert fra oppdrettsanlegg. Vi har benyttet modeller for å simulere spredningen av lakseluslarver fra oppdrettsanlegg. Inkludert her er beregning av hvordan vannstrømmene transporterer lus, hvordan lakseluslarvene utvikler seg som funksjon av vanntemperatur og hvordan de beveger seg nedover i områder med lav saltholdighet. Hvor og når fisken blir eksponert for lakselus er basert på estimerte utvandringstider, og utvandringsruter som i stor grad antar at laksen svømmer målrettet mot havet, mens for sjøørret og sjørøye vurderes utvandringsperiode, beiteområde og beiteperiode.   

Basert på data fra perioden 2016 - 2022, viser analysen at det i produksjonsområde 1, 8, 9 og 11-13 er liten risiko knyttet til dødelighet hos utvandrende postsmolt laks som følge av utslipp av lakselus fra fiskeoppdrett. I produksjonsområde 2, 5-7 og 10 vurderes risikoen som moderat, mens i produksjonsområde 3 og 4 vurderes det å være høy risiko.  

Kunnskapsstyrken anses å være best der en har gode observasjoner som sammenfaller med estimater fra modeller, og dårligere i områder der estimert smittepress endrer seg raskt i utvandringsperioden, observasjonene enten mangler, ikke er dekkende, eller der det ikke er samsvar mellom observasjoner og modeller. Kunnskapsstyrken er generelt vurdert som god i produksjonsområde 1, 3, 4, 9 og 11-13, moderat i produksjonsområde 2, og svak i produksjonsområde 5-8 og 10. Kunnskapsstyrken i produksjonsområde 8 er dermed vurdert som svakere enn i 2021 hovedsakelig på grunn av at kunnskapen om overlapp mellom fisk og lus er vurdert som svak. 

For sjøørret og sjørøye er risikobildet annerledes enn for laks. I produksjonsområde 1 og 9, 11-13 er det vurdert at det er liten risiko for negative effekter av lakselus, i produksjonsområde 6, 8, 10 moderat risiko, mens det i produksjonsområde 2-5 og 7 vurderes å være høy risiko for negative effekter på sjøørret som følge av utslipp av lakselus fra fiskeoppdrett.  

Kunnskapsstyrken er i stor grad basert på tilgjengelige data fra ruse- og garnfangst av sjøørret og sjørøye, og sammenholdt med utslippene av lakselus og fordelingen av disse i tid og rom. Der det uansett er lave utslipp, vil risikoen for at fisk smittes med lus være lav, og kunnskapsstyrken vil derfor anses som god selv om ruse- og garnfangst er begrenset. I det sørligste (produksjonsområde 1) og de tre nordligste områdene (produksjonsområde 11-13) er utslippene lave. I tillegg er temperaturen i sjøen i de nordligste områdene så lav utover sommeren at utviklingen av lakselus på fisk tar lengre tid enn i sørlige områder, som, i kombinasjon med en relativt kort naturlig beiteperiode i sjøen for fisk i nord, indikerer at de negative effektene uansett ville vært mindre. Vi har derfor vurdert at kunnskapsstyrken i produksjonsområdene 1, 9 og 11-13 er sterk. I alle de øvrige områdene (produksjonsområde 2-8 og 10) anses kunnskapsstyrken å være moderat, hovedsakelig grunnet manglende kunnskap om fiskens tålegrenser og atferdsrespons i form av prematur tilbakevandring, dårligere vekst, redusert fekunditet, etter smitte med lakselus.  

1 - Innledning

1.1 - Problemstilling

Lakselus er en naturlig forekommende parasitt som lever av og på laksefisk. I Norge er både oppdrettet laks og regnbueørret, samt vill laks, sjøørret og sjørøye, mulige verter for lakselus. Lakselus lever av slim, hud og blod og kan om antall parasitter blir høyt nok være skadelig for verten. Fysiologiske effekter av lakselus på laks, sjøørret og sjørøye har vært grundig studert, og inkluderer blant annet høye nivåer av stresshormonet kortisol, problemer med vann- og saltbalansen og nedsatt immunologisk kapasitet, spesielt når lusa utvikler seg fra fastsittende larver og til bevegelige lus. I tillegg kan smitte av lakselus medføre redusert vekst, svømmeevne, reproduksjon og dødelighet hos den infiserte fisken.

Den store produksjonen av laks og regnbueørret i åpne merder langs den norske kysten gir lakselusa mange verter å feste og utvikle seg på og dermed et godt fødegrunnlag, noe som fører til unaturlig høye populasjoner av parasitten i oppdrettsintensive områder. Selv om antall lakselus tillatt på oppdrettsfisk er strengt regulert, resulterer det store antallet oppdrettet laksefisk i at det likevel produseres store mengder lakseluslarver som spres ut i miljøet via vannstrømmene og kan infisere utvandrende postsmolt av laks, samt sjøørret og sjørøye som oppholder seg langs kysten. Med veksten i akvakulturnæringen har lakselus utviklet seg til å bli et betydelig problem for bestanden av vill laksefisk i Norge og påvirkning av lakselus fra oppdrett har lenge vært regnet som en av de største miljøutfordringene knyttet til oppdrett av laksefisk. Havforskningsinstituttet har siden 2010 publisert en risikovurdering av norsk fiskeoppdrett hvor påvirkningen av lakselus fra oppdrett på vill laksefisk er vurdert.

1.2 - Mål og omfang

Målsettingen med denne risikovurderingen er å vurdere risiko for negativ påvirkning på ville bestander av laksefisk som følge av utslipp av lakselus fra fiskeoppdrett, samt skape innsikt og forståelse rundt de antatt viktigste risikofaktorene.

Vurderingene i denne rapport tar utgangspunkt i definisjonen fra Vitenskapelig Råd for Lakseforvaltning (VRL) om grenseverdier for menneskeskapte påvirkninger på laksebestander. I henhold til VRL sin definisjon, kan påvirkningseffekt klassifiseres som liten/ingen effekt når den fører til en reduksjon i gytebestand på under 10%, som moderat når den fører til en reduksjon i gytebestand på 10-30% og en stor når den fører til en reduksjon i gytebestand på over 30%. En detaljert beskrivelse av disse grenseverdiene, samt en diskusjon rundt problemstillinger og usikkerheter knyttet til dem gis i kunnskapsstatus.

For laks er det vist at påvirkningen av lakselus på bestandsnivå hovedsakelig er tilknyttet dødelighet på utvandrende laksesmolt. Det er også vist at det er en lineær sammenheng mellom antall laksesmolt som forlater elva og antall gytefisk som returnerer. Dette innebærer at det er rimelig å anta at det er direkte proporsjonalitet mellom antall laksesmolt som vandrer ut og antall laks som returnerer, og videre at en 10 % ekstra dødelighet i en bestand av utvandrende smolt reduserer antall gytefisk tilbake til elva med 10 %. Basert på disse argumentasjonene vurderer vi i denne rapporten at risiko for negativ påvirkning på ville laksebestander som følge av utslipp av lakselus fra fiskeoppdrett er lavt (fargekode grønn) når lakselusindusert dødelighet på utvandrende postsmolt laks er forventet å bli under 10 % av populasjonen i det nærmeste framtiden, middels (fargekode gul) når det forventes å bli mellom 10 og 30 % av populasjonen og stor (fargekode rød) når det forventes å overstige 30% av populasjonen.

For sjøørret og sjørøye har vi per i dag ikke nok kunnskap til å vurdere om lakselussmitte vil føre til økt dødelighet eller prematur tilbakevandring, og vurderingene er derfor basert på en kombinasjon av begge, fra nå av omtalt som «negative effekter». Det er heller ikke etablert en metode for å vurdere hvor stor påvirkningseffekt de omtalte lakselusinduserte negative effektene har på gytebestandene. I mangel på en bedre justeringsmetode antar vi, som for laks, at risiko for negativ påvirkning på ville bestander av sjøørret og sjørøye som følge av utslipp av lakselus fra fiskeoppdrett er lavt (fargekode grønn) når lakselusindusert «negative effekter» er forventet å påvirke under 10 % av populasjonen, middels (fargekode gul) når det er forventet å påvirke mellom 10 og 30 % av populasjonen og stor (fargekode rød) når det er forventet å påvirke over 30% av populasjonen.

Sannsynlighet for at et individ dør eller er negativt påvirket av lakselus er avhengig av antall lus fisken har, og hvor stor fisken er. I tillegg antas det at fisk som er frisk og velfødd har en høyere toleranse for lakselus, mens fisk som i ulik grad er svekket av sykdom eller underernæring har lavere toleranse. I dag brukes antall lus per gram fiskevekt for å estimere sannsynlighet for at et individ dør på grunn av lakselus, såkalte tålegrenser eller grenseverdier. Disse tålegrensene er basert på beste tilgjengelig kunnskap og er presentert og diskutert i rapporten «Forslag til førstegenerasjons målemetode for miljøeffekt (effektindikatorer) med hensyn til genetisk påvirkning fra oppdrettslaks til villaks, og påvirkning av lakselus fra oppdrett på viltlevende laksefiskbestander» (Taranger mfl. 2012). Det er foreslått ulike grenseverdier for henholdsvis liten laksefisk under 150 g (utvandrende laksesmolt og førstegangsutvandrende sjøørret og sjørøye), og et annet sett grenseverdier for laksefisk over 150 g (veteranvandrere av sjøørret og sjørøye). I tillegg omfatter som nevnt  grenseverdiene for sjøørret og sjørøye en kombinasjon av dødelighet og prematur tilbakevandring. En detaljert beskrivelse av disse grenseverdiene, samt en diskusjon rundt problemstillinger og usikkerheter knyttet til dem gis i kunnskapsstatus.

Til grunn for vurderingen av lakselussmitte har vi benyttet kunnskap om miljøforhold, utslipp av lakselus, og i hvilken grad disse overlapper med tilstedeværelse av villfisken i tid og rom. Det antas at antall lakselus produsert på vill laksefisk og rømt oppdrettsfisk er neglisjerbar i forhold til antall lakselus som slippes ut fra oppdrettsanlegg. Vi har benyttet strømmodeller for å beregne spredningen av lakselus fra oppdrettsanlegg. Inkludert her er vurdering av områder og perioder med brakkvann som lakselus vil unngå, samt temperaturen i området. Utslipp av lakselus er beregnet fra data oppgitt av oppdrettsnæringen. Hvor og når fisken blir eksponert for lakselus er basert på estimerte utvandringstider, og utvandringsruter som i stor grad antar at laksen svømmer målrettet mot havet.

I denne risikovurderingen har vi tatt utgangspunkt i de 13 produksjonsområdene definert i produksjonsområdeforskriften. I enkelte produksjonsområder er imidlertid mindre områder fremhevet for å øke forståelsen for risikobildet i produksjonsområdet. Vurderingen av risiko er basert på tilgjengelig kunnskap fra både modellresultat og observasjoner i perioden 2016-2022.

I risikovurderingen har vi ikke tatt hensyn til om villfiskbestandene oppnår gytebestandsmål og/eller høstingspotensiale i de enkelte elvene i produksjonsområdene, en indikator som kan si noe om hvor robust bestandene er mot dødelighet knyttet til lakselus. Denne faktoren kan bli inkludert i fremtidige risikovurderinger.

Selv om mange av risikofaktorene er sammenfallende for laks, sjøørret og sjørøye er risikovurderingene gjort separat for laks og for sjøørret/sjørøye grunnet forskjellene i oppholdstid i fjordene og i økologien til de ulike artene.

2 - Metodikk for risikovurdering 

I denne risikovurderingen kartlegges og analyseres usikkerhet knyttet til effekter av lakselus fra oppdrett på vill laksefisk. Risikoanalysen inngår som en del av forvaltningens beslutningsunderlag, og skal bidra til å sikre en bærekraftig utvikling av norsk fiskeoppdrett i tråd med norske og internasjonale bærekraftsmål.

Metodikken som ligger til grunn for risikoresultatene presentert i denne rapporten er utviklet av Havforskningsinstituttet og publisert i Andersen mfl. (2022). I dette kapittelet oppsummeres hovedpunktene i metodikken med fokus på å forstå resultatene av risikovurderingen, hvordan de er fremkommet og hva de bygger på. For detaljer rundt fundamentale forhold og hvordan risikovurderingen gjennomføres henviser vi til artikkelen.

I takt med forskningsfronten innen risikofaget finnes ingen objektive og korrekte risikotall som utgjør en form for fasit, det finnes kun usikkerhet knyttet til hva som ligger foran oss. Og det er nettopp denne usikkerheten fagekspertene sier noe om i denne rapporten. Målet med risikovurderingen er å skape risikoforståelse og risikoerkjennelse hos forvaltningen og andre interessenter som utgangspunkt for prioriteringer og beslutninger om veivalg og tiltak. Det er samtidig avgjørende at beslutningstakere og andre som skal benytte resultatene fra risikovurderingen, forstår at ufullstendig informasjon, utilstrekkelig kunnskap, hypoteser og antakelser er en del av, og i stor grad karakteriserer en slik analyse. Vi har valgt å visualisere resultatet av risikovurderingene i form av grafiske hierarkiske strukturer (risikokart) som er ment å gi en hurtig og intuitiv forståelse for risikokilder, hendelser og mulige konsekvenser med tilhørende usikkerhet knyttet til næringens aktivitet. Det er imidlertid argumentasjonen som ligger til grunn for risikokartene som skal skape tillit og eventuelt overbevise leseren om at risikovurderingen gir mening.

Fundamentale forhold knyttet til risikoanalysefaget som terminologi, definisjoner og metodisk tilnærming forankres i; Society for Risk Analysis, glossary (SRA, 2018); «Risk, Surprises and Black Swans – Fundamental Ideas and Concepts in Risk Assessment and Risk Management» (Aven 2014) og NS-ISO 31000:2018 – Risk management guidelines.

Risiko defineres i tråd med (SRA, 2018) som følger:

Med risiko menes konsekvenser (C) av aktiviteten med tilhørende usikkerhet (U)

Risikobegrepet introduserer dermed «konsekvenser» og «usikkerhet» - (C, U) som to sentrale aspekter som henger sammen. Med «usikkerhet» menes her en kunnskapsbasert usikkerhet (epistemisk) som knyttes til det å ikke vite fremtidige konsekvenser. Risikovurderingene i denne rapporten måler og beskriver usikkerhet ved hjelp av sannsynligheter og kunnskapsstyrke knyttet til effekter av lakselus fra fiskeoppdrett på bestander av vill laksefisk. Vi måler og beskriver risiko ved (C’, Q, K) der C’ er spesifikke konsekvenser av aktiviteten, Q er et verktøy for å måle usikkerhet, og K er bakgrunnskunnskapen som vurderinger av C’ og Q bygger på. Vi velger å splitte opp de spesifikke konsekvensene C’, i risikokilder RS’, og hendelser A’. Risiko beskrives da ved de fem variablene (RS’, A’, C’, Q, K). Vi måler usikkerheten Q ved hjelp av subjektive sannsynligheter P og vurderinger av kunnskapsstyrke SoK (Strength of Knowledge). Betraktninger om P og SoK hviler på bakgrunnskunnskapen K, og vi skriver Q (P, SoK, K).  

 For denne aktuelle problemstillingen relateres usikkerheten eksempelvis til i hvilken grad vill laksefisk dør eller endrer adferd grunnet smitte med lakselus, hvor mye, når og hvor lakselus slippes fra oppdrettsanleggene, og hvor lusen driver i forhold til hvor villfisken er i tid og rom. 

Usikkerheten knyttes til hva som kan skje, hvor ofte, samt til omfang og alvorlighetsgrad av konsekvensene. Vi kan måle denne usikkerheten ved hjelp av sannsynlighetsbetraktninger og forventningsverdier forankret i historiske data. Imidlertid vil en tilnærming der vi utelukkende bruker sannsynligheter som mål på usikkerhet, kunne føre til uheldige forenklinger og tap av viktige nyanser. I denne risikovurderingen søker forskerne å legge all tilgjengelig kunnskap til grunn, samt karakterisere denne for å øke innsikt og forståelse. Søkelys på usikkerhet, herunder manglende kunnskap knyttet til mulige kausale sammenhenger og konsekvenser fremover i tid, bidrar til effektiv utnyttelse av all tilgjengelig innsikt og stimulerer til videre utvikling av kunnskapsgrunnlaget.  

Styrken til bakgrunnskunnskapen (i forhold til RS’, A’, og C’) vurderes eksplisitt ved SoK, det vil si en vurdering av hvorvidt kunnskapen som danner grunnlaget for en bestemt konklusjon, er sterk eller svak. Resultater som bygger på svak kunnskap, kan skjule deler av risikobildet gjennom eksempelvis feilaktige antakelser. Ved å inkludere en redegjørelse for kunnskapsstyrken i analysen, gis beslutningstakere mulighet til å ta stilling til hvorvidt kunnskapen på et område er tilstrekkelig som fundament for strategiske og operasjonelle veivalg. I motsatt fall vil det være naturlig å vurdere en føre-var strategi og diskutere tiltak som bidrar til å styrke kunnskapsgrunnlaget. 

I arbeidet med denne rapporten har vi systematisert og strukturert risikofaktorene (RS’, A’, C’) knyttet til effekten av lakselus på dødelighet av utvandrende postsmolt laks, og negative effekter på sjøørtet/sjørøye av lakselus. Det er lagt vekt på å inkludere all tilgjengelig kunnskap som utgangspunkt for å uttrykke og formidle usikkerhet (Figur 2.1). Kunnskapsgrunnlaget varierer mellom de ulike risikofaktorene, avhengig av om det er gjennomført mye vitenskapelig forskning og om det eksisterer gode rapporteringssystemer og/eller overvåkingsprogrammer. 

Figur
Figur 2.1 Eksempel på systematisering av risikofaktorene RS’, A’ og C’, samt eksempler på data og andre kilder til bakgrunnskunnskap. 

Bayesianske nettverk er valgt som et kvalitativt verktøy for å visualisere risiko, herunder; kausale sammenhenger RS, A’ og C’; sannsynligheter P knyttet til hvorvidt disse inntreffer og styrken på kunnskapen SoK disse vurderingene bygger på (Figur 2.2). Hensikten er at de grafiske strukturene (kalt risikokart) og tilhørende argumentasjon skal bidra til hurtig og intuitiv risikoforståelse, også blant dem som ikke har bakgrunn fra oppdrettsnæringen. 

Figur
Figur 2.2. Eksempel på visualisering av risiko. Risikokart bestående av risikokilder, hendelser og konsekvenser på ulike kausale nivå med fargekoder som uttrykk for sannsynlighet og kunnskapsstyrke  

Risikokartene består av spesifikke risikokilder RS’, hendelser A’, og konsekvenser C’ (kalt noder) og piler som illustrerer årsak–virkning. Usikkerhet knyttet til disse måles ved tripletten (P, SoK, K). P er subjektive sannsynligheter som sier noe om hvorvidt RS’, A’, og C’ inntreffer. I risikokartene benyttes fargekodene grønn, gul og rød farge på en node for å illustrere høy, moderat og lav sannsynlighet. Fargen på sirkelen rundt noden illustrere hvorvidt denne vurderingen bygger på sterk, moderat eller svak kunnskap (SoK).

Forskerne benytter ofte en ønsket tilstand som referansepunkt for å støtte arbeidet med å fastsette sannsynligheter knyttet til RS’, A’ og C’. I Figur 2.2. vil eksempelvis ønsket tilstand for risikokilden «Utslipp av lakselus fra anlegg» være lave utslipp. I eksempelet vurderes tilstanden til denne risikokilden langt fra ønsket tilstand og fargekode rød benyttes for å visualisere høy utslippssannsynlighet i området. Forskerne argumenterer også for at sannsynlighetsvurderingen av risikokilden «Utslipp av lakselus fra anlegg» bygger på sterk kunnskap, og fargekoden grønn benyttes på sirkelen rundt noden.

Et annet eksempel som vist i Figur 2.2 er risikokilden «Overlapp mellom fisk og lus i tid og rom» som beskriver om lakselusen er til stede i vannmassene når og der laksen vandrer ut. Ønsket tilstand for denne risikokilden blir da lave tettheter av lakseluslarver i vandringstid og rute for postsmolt laks. I eksempelet er der lite overlapp mellom de to derfor nær ønsket tilstand. Sannsynligheten vurderes derfor som lav i dette område, og fargekode grønn benyttes.

Hendelsen «Utvandrende postsmolt laks smittet av lakselus» påvirkes i all hovedsak av de to underliggende risikokildene der sannsynligheten for at disse skal inntreffe varierer fra høy til lav. For å forstå hvordan hendelsen «Utvandrende postsmolt laks smittet av lakselus» da kan vurderes som lite sannsynlig må man lese forskernes argumentasjon. I dette tilfellet er forklaring at det finnes mange lakselus i produksjonsområdet (mange oppdrettsanlegg), men grunnet fisken sin utvandring er der lite kontakt mellom fisk og lakselus larver og dermed manglende overlapp. På samme vis må leseren studere forskernes argumentasjon for å forstå hvordan en samlet vurdering av kunnskapsstyrken knyttet til underliggende risikofaktorer summeres opp til kunnskapsstyrken for en overliggende hendelse.

Effekten av å evaluere bakgrunnskunnskapen blir spesielt tydelig i forbindelse med analyser av potensialet for overraskelser, såkalte «sorte svaner». Begrepet ble første gang presentert i en risikostyringssammenheng av Taleb (2007) og videreutviklet i bl.a. Aven (2014) som beskriver slike hendelser som ekstremt alvorlige, og som dukker opp som totale overraskelser sett i forhold til vår kunnskap og hva vi tror vil kunne skje. Fagmiljøene ved både Havforskningsinstituttet og andre som er involvert i denne risikovurderingen, beskriver potensialet for slike overraskelser der det eksempelvis finnes kombinasjoner av utilstrekkelig kunnskap, hypoteser og svakt funderte antakelser som kan bidra til å skjule risiko. Der risikokilder eller hendelser vurderes å kunne gi opphav til slike overraskelser er disse markert med et «sort svane» merke i risikokartene.

3 - Faktorer knyttet til risiko for påvirkning på ville laksebestander som følge av utslipp av lakselus fra fiskeoppdrett

3.1 - Faktorer knyttet til risiko for påvirkning på ville laksebestander som følge av utslipp av lakselus fra fiskeoppdrett

For laks er risiko for negative påvirkning av lakselus på ville bestander hovedsakelig knyttet til dødelighet på utvandrende laksesmolt. I denne rapport antar vi at risiko for negativ påvirkning på ville laksebestander som følge av utslipp av lakselus fra fiskeoppdrett er lavt (fargekode grønn) når den lakselusindusert dødelighet på utvandrende postsmolt laks er forventet å bli under 10 % av populasjonen i den nærmeste framtiden, middels (fargekode gul) når den forventes å bli mellom 10 og 30 % av populasjonen og stor (fargekode rød) når den forventes å overstige 30% av populasjonen.

Sannsynlighet for at utvandrende postsmolt laks dør som følge av lakselus avhenger hovedsakelig av hvor mye lakselus den blir infisert med og postsmoltens toleranse for lakselus (Figur 3.1). Det er i hovedsak faktorene utslipp av lakseluslarver fra fiskeoppdrett og overlappen mellom fisk og lus i tid og rom som bestemmer om og hvor mye villfisk smittes av lakselus.

Figur
Figur 3.1. Faktorer som påvirker risiko knyttet til dødelighet på utvandrende postsmolt laks som følge av utslipp av lakselus fra oppdrett av laksefisk.

Når og hvor mange lakselus som reproduserer på oppdrettsfisk og dermed hvor mye lakseluslarver som slippes ut fra oppdrettsanleggene avhenger av temperatur og saltholdighet i fjord- og kystområdene. I tillegg påvirker strømforholdene hvordan lakseluslarvene spres og fortynnes i området og dermed sannsynligheten for hvorvidt det er lakselus til stede der villfisken oppholder seg i et gitt tidsrom. Disse faktorene varierer mellom de ulike kystområdene og fra år til år og er en viktig del av risikobildet selv om de ikke er synliggjort som egne noder i risikokartet (Figur 3.1).

Villfiskens toleranse for lakselussmitte er ett mål på de negative effektene lakselus har på en fisk. Grensene for hvor mye lus en fisk tåler er avhengig av størrelsen på fisken. Hvor mye lakselus laksefisken tåler (toleransegrenser) er basert på kontrollerte undersøkelser i laboratorium, samt observasjoner fra felt på postsmolt. Det er en viss variasjon i fiskestørrelse både innen og mellom områder. For å normalisere dette benyttes ofte forholdet mellom antall lakselus og fiskens vekt (se “Effekt av lakselus på individ og populasjon” i kunnskapsstatus for en diskusjon om dette). I tillegg antas det at fisk som er frisk og velfødd har en høyere toleranse for lakselus (fargekode grønn), mens fisk som i ulik grad er svekket av sykdom eller underernæring har lavere toleranse (fargekode gul og rød).

Ønsket tilstand er at villfisken er frisk og velfødd med høy toleranse for lakselussmitte.

Da variasjonen i sykdom- og ernæringsstatus er stor i alle villfiskbestander, antar vi at hele bestanden av villaks har moderat toleranse uavhengig av produksjonsområde (fargekode gul) (Figur 3.1). Selv om vi har en del kunnskap om smoltens toleranse gjennom data fra kontrollerte forsøk og felt så vet vi mindre om toleransegrensene for villfisken over hele perioden fra smolten starter utvandringen til den er fremme ved beiteområdene i havet. Kunnskapsstyrken vurderes derfor til å være moderat for alle produksjonsområder (fargekode gul).

Villfisk smittes av lakselus når det smittsomme stadiet av lakselus, kopepoditten, fester seg på fisken. Laksefisk klarer i liten grad å kvitte seg med lusa så lenge de oppholder seg i sjøvann. Smitte på villfisk er i hovedsak avhengig av at det må være voksne hunnlus som produserer utslipp av lakseluslarver fra oppdrettsanleggene og det må være overlapp mellom tilstedeværelse av fisk og lus i tid og rom. Hvis ikke begge disse faktorene er oppfylt vil ikke villfisk bli smittet av lakselus, og risikoen for dødelighet grunnet lakselus bortfaller.

Ønsket tilstand er at lite villfisk smittes med lus.

Utslipp av lakseluslarver fra fiskeoppdrett bestemmes ut fra eggproduksjonen hos voksne hunnlus, som er avhengig av vanntemperaturen, hvor mye oppdrettsfisk det er i området og hvor mange hunnlus disse bærer. Ut fra dette beregnes produksjonen av lakseluslarver som slippes ut fra alle aktive anlegg.

Basert på gjennomgang av estimert dødelighet (2016 – 2021) og historiske data for utslipp per produksjonsområde, er det beregnet et grovt estimat av hva som kan regnes som lave og høye utslipp. For enkelthets skyld er grenseverdiene satt like i alle produksjonsområdene.

En produksjon av 6,8 milliarder lakseluslarver per produksjonsområde i løpet av perioden villfisken vandrer mot havet anses som en høy produksjon av lakseluslarver, og sannsynlighet for at ønsket tilstand blir nådd vurderes derfor som lav (fargekode rød). Områder med produksjon på 3,4-6,8 milliarder lakseluslarver anses som en moderat produksjon av lakseluslarver og sannsynlighet for at ønsket tilstand blir nådd anses derfor som moderat (fargekode gul). Områder med mindre produksjon enn 3,4 milliarder lakseluslarver i utvandringsperioden til laksen anses å ha lav produksjon av lakseluslarver og sannsynlighet for at ønsket tilstand blir nådd anses derfor som høyt (fargekode grønn).

Kunnskapen om utslipp baseres på et svært høyt antall tellinger i oppdrettsanleggene over flere år av voksne lakselus som er enkle å telle. Antall fisk i oppdrettsanleggene anses også som relativ sikre data til tross for at et nyere studie har dokumentert stor sannsynlighet i feilrapportering nær den maksimal tillatte lusegrense. Kunnskapsstyrken om utslippene vurderes derfor som sterk for alle produksjonsområder (fargekode grønn) (Figur 3.1), men grenseverdiene er relativet grove estimat. Den geografiske fordelingen av utslippene kan påvirke vurderingene og er da spesifikt omtalt.

Ønsket tilstand er lave utslipp av lakseluslarver fra oppdrettsanlegg.

Overlapp mellom fisk og lus i tid og rom er en vurdering av i hvilken grad området med høy tetthet av lakselus sammenfaller med utvandringen i tid og rom for postsmolt av laks . Vi har her vurdert hvor sannsynlig det er at laks på vei mot havet svømmer gjennom områder med høy tetthet av lakselus. Det er tre forhold som styrer tilstedeværelsen av laksesmolt: utvandringstid, utvandringsrute og progresjonshastighet (svømmehastighet kombinert med drift med vannstrømmene). Siden smittepresset vanligvis øker utover våren og sommeren, anses tidlig utvandring og kort utvandringsrute som gunstig for fisken.

Fordelingen av lakselus i vanmassene er påvirket av hvor i området oppdrettsanleggene er lokalisert, hvor store utslippene fra de enkelte anleggene er og hvordan lusen driver med strømmen. Konsentrasjonen av smittsomme lakseluslarver i vannmassene er beregnet ved hjelp av en spredningsmodell der luselarver klekkes fra voksne hunnlus i anleggene. Tiden det tar for en luselarve å utvikle seg til det smittsomme stadiet er avhengig av temperatur, og vil gå raskere i varmt vann. Det er kjent at lakselus unngår områder med lav saltholdighet, og områder med stor ferskvannstilførsel fra elver vil kunne gi laksen beskyttelse mot lakselus i deler av utvandringen.

Vi har vurdert hvor stor overlapp det er mellom utvandrende villaks og smittsomme lakseluslarver (ROC-kart som viser bare antatt utvandringsrute). Hvis det er lite eller ubetydelig overlapp mellom utvandringstidspunkt og tilstedeværelse av smittsomme lakseluslarver regnes det som at ønsket tilstand er nådd (fargekode grønn). Er det delvis overlapp mellom utvandringstidspunkt og tilstedeværelse av smittsomme lakseluslarver vurderes avstand til ønsket tilstand som moderate (fargekode gul). Ved stor overlapp mellom utvandringstidspunkt og tilstedeværelsen av smittsomme lakseluslarver vurderes avstand til ønsket tilstand som høy (fargekode rød).

Kunnskapsstyrken er vurdert ut ifra kjennskap om utvandringstider og i hvilken grad utvandringsruter og progresjonshastighet er kartlagt. Her benyttes også tråldata for å vurdere tilstedeværelsen av fisk fra ulike elver. I tillegg vurderes økningen i smittepress i løpet at den perioden villfisken vandrer mot havet (ROC-indeks figurer i kunnskapsstatus, for eksempel høyre side i Figur 6.5). Dersom det er raske endringer i smittepresset (ROC-indeksen) vil det medføre en større usikkerhet enn om dette er relativt stabilt. I områder hvor observasjonene enten mangler, der vi mener at observasjonene ikke er dekkende, og/eller det er raske endringer er kunnskapstyrken vurdert som svak (fargekode rød). I områder med god kunnskap om utvandringsruter og liten endring i smittepresset over tid er kunnskapstyrken vurdert som sterk (fargekode grønn).

Ønsket tilstand er lite eller ubetydelig overlapp mellom fisk og smittsomme lakselus i tid og rom.


3.2 - Faktorer som påvirker risiko knyttet til negative effekter på vill sjøørret og sjørøye som følge av utslipp av lakselus fra fiskeoppdrett

Som for laks knyttes risiko for negative effekter på vill sjøørret og sjørøye hovedsakelig til i hvilken grad villfisk smittes av lakselus og villfiskens toleranse for lakselus (Figur 3.2). Det er videre faktorene utslipp av lakseluslarver fra fiskeoppdrett og overlappen mellom fisk og lus i tid og rom som i all hovedsak bestemmer om og hvor mye villfisk som smittes av lakselus.

Figur
Figur 3.2. Faktorer som påvirker risiko knyttet til negative effekter på sjøørret og sjørøye som følge av utslipp av lakselus fra oppdrett av laksefisk.

Faktoren “Overlapp mellom fisk og lus i tid og rom” skiller seg likevel fra vurderingen for laks da ørret og sjørøye går i kystnært sjøvann over en mye lengre periode enn det som er tilfelle for laksen. Sjøtiden til ørret og røye variere, men er noe lengre i sør enn i nord. I tilfelle høy smitte av lakselus, har ørret og sjørøye også mulighet til å gå tilbake til ferskvann for å få en naturlig avlusning, referert til som prematur tilbakevandring. Lakselus kan likevel ha betydelige effekter på vekst, kondisjon, reproduksjon og senere overlevelse siden fødetilgang i ferskvann er langt dårligere enn i sjøen. Selv om vi per i dag kan vurdere om villfisken i stor eller liten grad opplever smitte av lakselus, har vi ikke nok kunnskap til å vurdere om lakselussmitte på sjøørret og sjørøye primært vil føre til økt dødelighet eller prematur tilbakevandring. For å vurdere risiko for negative effekter på sjøørret og røye har vi derfor vurdert samlet risikoen for prematur tilbakevandring eller økt dødelighet, fra nå av omtalt som negative effekter.

Vi har antatt at tilstedeværelsen av sjørøye når lakselusa er i smittestadiet på samme måte som for sjøørret, hvor ønsket tilstand er lite overlapp mellom tilstedeværelse av vill laksefisk når lakselus er i smittestadiet. Påvirkningsfaktorer, kunnskapsstyrke og fargekoder er vurdert likt som for villaksen, men da det relevante tidsrommet for vurderingen av sjøørret/røye er antatt lengre enn for laks vil selve risikovurderingen oftest bli ulik.

4 - Risiko knyttet til negative effekter av utslipp av lakselus fra fiskeoppdrett på ville bestander av laks, sjøørret og sjørøye

4.1 - Risikovurdering av dødelighet på utvandrende postsmolt laks som følge av utslipp av lakselus fra oppdrett av laksefisk

4.1.1 - Produksjonsområde 1 - Svenskegrensen til Jæren

Figur
Figur 4.1. Visualisering av risikobilde for dødelighet på utvandrende postsmolt laks som følge av utslipp av lakselus fra lakseoppdrett i produksjonsområde 1 (PO1) Svenskegrensen – Jæren.

Utslipp av lakseluslarver fra fiskeoppdrett. Temperaturen i sjøen på 3 m dyp stiger fra 7-8 til 11-13 oC i den antatte utvandringsperioden. Temperaturen er derfor gunstig for lakselus i utvandringsperioden for postsmolt av laks. Dette produksjonsområdet har imidlertid lav produksjon av oppdrettsfisk (under 10 millioner) og det er oftest lite lus på oppdrettsfisken. Utslippene har vært godt under 3,4 milliarder i hele perioden 2012-2022. Utslippene vurderes til å være lave. Kunnskapsstyrken vurderes som sterk.

Overlapp mellom fisk og lus i tid og rom. I produksjonsområde 1 antas det at utvandringen for laks hovedsakelig foregår i mai, dato for median utvandring (dato når halvparten av smolten har vandret ut som snitt for alle elvene i området) er 14. mai. Da en antar at fisken vandrer fra kyst og ut i åpent hav (og i liten grad følger kysten), og gitt at de relativt få anleggene som er i drift i PO1 i stor grad er konsentrert i ett begrenset område, vil laksen i all hovedsak utvandre gjennom områder som ikke er influert av lakselus. Laksen har i tillegg relativt korte utvandringsruter fra elv til åpent hav i de delene av området hvor det er utslipp av lakselus og er derfor eksponert for lakselus i en kort periode. Der er ingen områder hvor der er estimert høye tettheter av lakselus i de antatte utvandringsrutene. Sannsynlighet for overlapp mellom fisk og lus i tid og rom anses derfor som lav. Selv om det ikke er data på hvordan postsmolt av laks vandrer gjennom fjordene eller fra kysten til havet i produksjonsområdet, vurderes kunnskapsstyrken som sterk basert på at det er god kunnskap om utvandring fra enkelte elver, samt vurderingene knyttet til fordelingen av lus i området.

Villaks smittet av lakselus. Både sannsynlighet for høye utslipp av lakselus fra oppdrettsanlegg og stor overlapp i tid og rom mellom utslipp av lakselus og utvandrende postsmolt av laks vurderes som lav. Det vurderes derfor som lite sannsynlig at villfisken i området blir smittet av lakselus. Observasjoner av lakselus på sjøørret i området, og resultater fra smoltmodellen støtter denne vurderingen. Det vurderes å være god kunnskap om alle underliggende påvirkningsfaktorer og totalt sett vurderes kunnskapsstyrken knyttet til i hvilken grad utvandrende postsmolt laks i produksjonsområdet smittes av lakselus som sterk.

Dødelighet hos utvandrende postsmolt laks. Toleransen for lakselussmitte hos postsmolt laks i produksjonsområdet anses som moderat, men da sannsynlighet for smitte på utvandrende postsmolt av laks vurderes som lav, vurderes det totalt sett å være liten risiko for høy dødelighet på utvandrende postsmolt laks i PO1. Kunnskapsstyrken knyttet til villfiskens toleranse vurderes som moderat, mens kunnskapsstyrken knyttet de andre underliggende påvirkningsfaktorene vurderes som sterk. Kunnskapsstyrken vurderes derfor totalt sett som sterk.

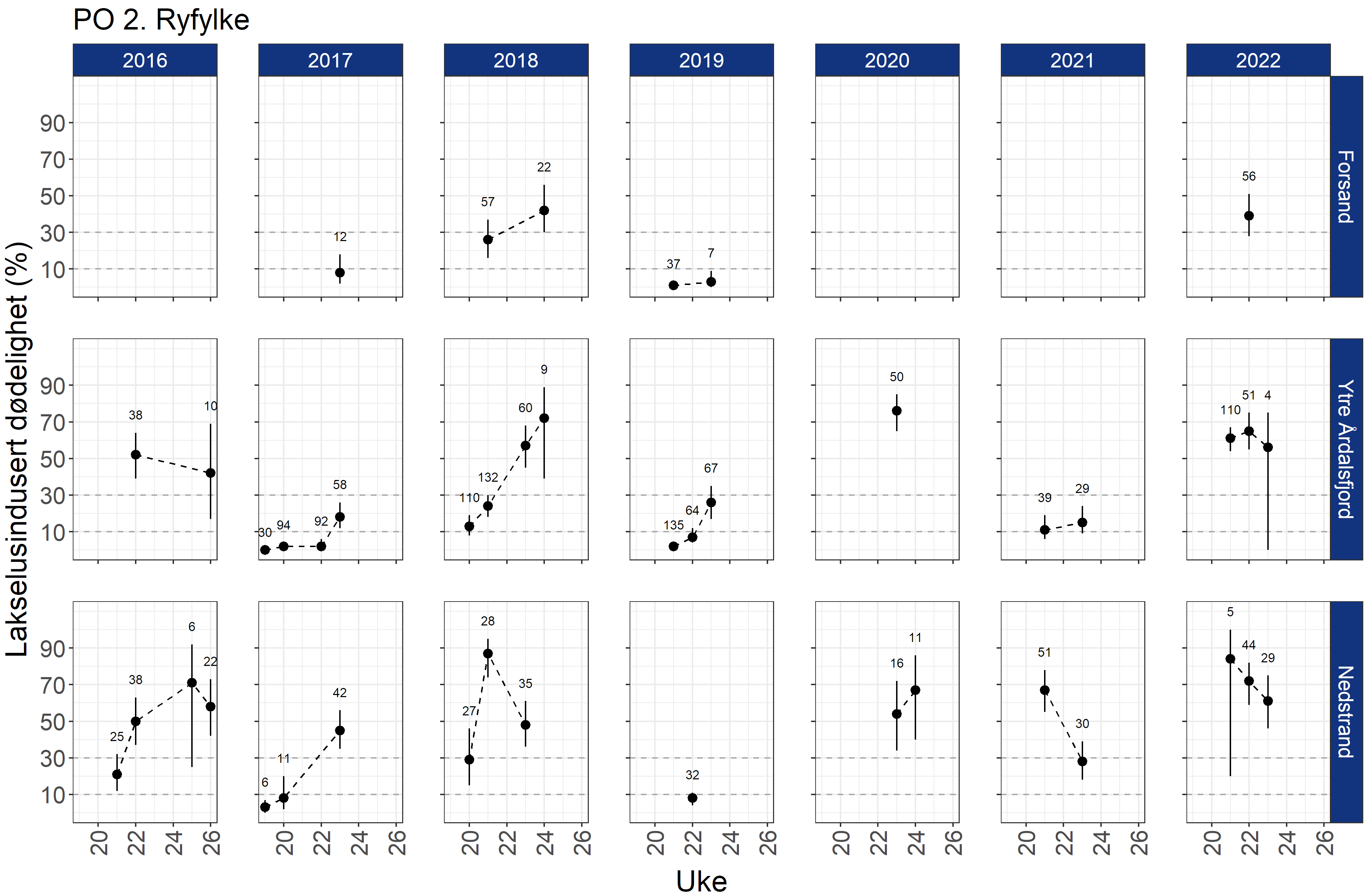
4.1.2 - Produksjonsområde 2 - Ryfylke

Figur
Figur 4.2. Visualisering av risikobilde for dødelighet på utvandrende postsmolt laks som følge av utslipp av lakselus fra lakseoppdrett i produksjonsområde 2 (PO2) Ryfylke.

Utslipp av lakseluslarver fra fiskeoppdrett. Temperaturen i sjøen på 3 m dyp stiger fra 7-8 til 11-13 oC i den antatte utvandringsperioden. Temperaturen er derfor gunstig for lakselus i utvandringsperioden for postsmolt av laks (dvs. at eggproduksjonen ved denne temperaturen er relativt god, gitt at høyest fekunditet er i temperaturområdet 12-14 °C). Dette produksjonsområdet har ca. 30 millioner oppdrettsfisk. Utslippene av lakselus summert fra 4 uker før til 3 uker etter median smoltutvandring har variert mellom 3 og 5 milliarder i perioden 2016 -2022. I to av disse årene anses utslippene som moderate (mellom 3,4 og 6,8 milliarder lus), de øvrige 5 årene lave (mindre enn 3,4 milliarder lus). Sannsynligheten for høye utslipp vurderes derfor som moderat.

Overlapp mellom fisk og lus i tid og rom. Utvandringen til laks er kartlagt for enkelte elver, og det antas at utvandringen av laks fra elvene i området hovedsakelig foregår i tidsrommet 23. april - 2. juni, mens dato for median utvandring området er satt til 13. mai. Migrasjonsdata fra Vikedals og Dirdalselven indikerer at laksen fra disse elvene bruker ca. 5 dager i snitt på vandringen fra elv til utløpet av Boknafjorden. Utvandringsrutene i området varierer fra korte til middels lange for laks. Utslippene økte frem til ca. 2016, og var noe høyere 2020-2021 enn årene før og etter. Det er oftest bare i indre deler av fjordene det er så lav saltholdighet at lakselus vil unnvike de øvre vannlag. Miljøforholdene vurderes derfor som moderate for lakselus under utvandringen av postsmolt av laks.

Den geografiske fordelingen av lakseluslarver ser ut til å resultere i at andelen av elvene som påvirkes varierer mellom år. Det ser ut til at i partallsår påvirkes hovedsakelig laks fra elvene i nord, mens i oddetallsår påvirkes også laks fra elvene i sør.

Overlapp mellom lus og fisk varierer mellom år. PO2 vurderes derfor totalt sett å ha moderat sannsynlighet for stor overlapp i tid og rom mellom lus og laksesmolt. Kunnskapsstyrken regnes som moderat, da utvandringsrutene og oppholdstiden i fjordene ikke er fullstendig kartlagt, samt stor mellomårlig variasjon i fordelingen av lus.

Villaks smittet av lakselus. Sannsynlighet for høye utslipp er vurdert som moderat, og sannsynlighet for stor overlapp mellom lakselus og fisk og lus i tid og rom vurderes også som moderat. Det er påvist lavt til høyt nivå av smitte på trålfanget utvandrende laks. Resultat fra smoltmodellen viser økt smitte de senere år, men med stor variasjon mellom elver i området. Tråldata indikerer lavere smitte enn modellene i enkelte år, men begge viser høyt smittepress i 2020. Dette året viste tråldata mys lus på fisk fra både de nordlige, østlige og sørlige elvene, samtidig som det ble fanget mye laks fra de nordlige elvene tidlig i året. Grunnet vanskelige forhold for tråling i ytre del av området, er mange av observasjonene gjort før fisken har nådd havet. Basert på de underliggende faktorene, og observasjoner og modellresultater, vurderer vi at sannsynligheten for at villaks blir smittet av lakselus i PO2 som moderat.

Kunnskapen om de underliggende faktorene vurderes som moderat gjør at kunnskapsstyrken totalt sett vurderes som moderat for om villaks smittes av lakselus.

Dødelighet hos utvandrende postsmolt laks. Siden både villfiskens toleranse og sannsynligheten for smitte vurderes som moderat vurderes risiko for høy dødelighet hos utvandrende postsmolt som følge av smitte av lakselus som moderat i PO2. Da kunnskapsstyrken til de underliggende faktorer er vurdert som moderat, anses også kunnskapsstyrken for dødelighet hos utvandrende smolt som moderat.

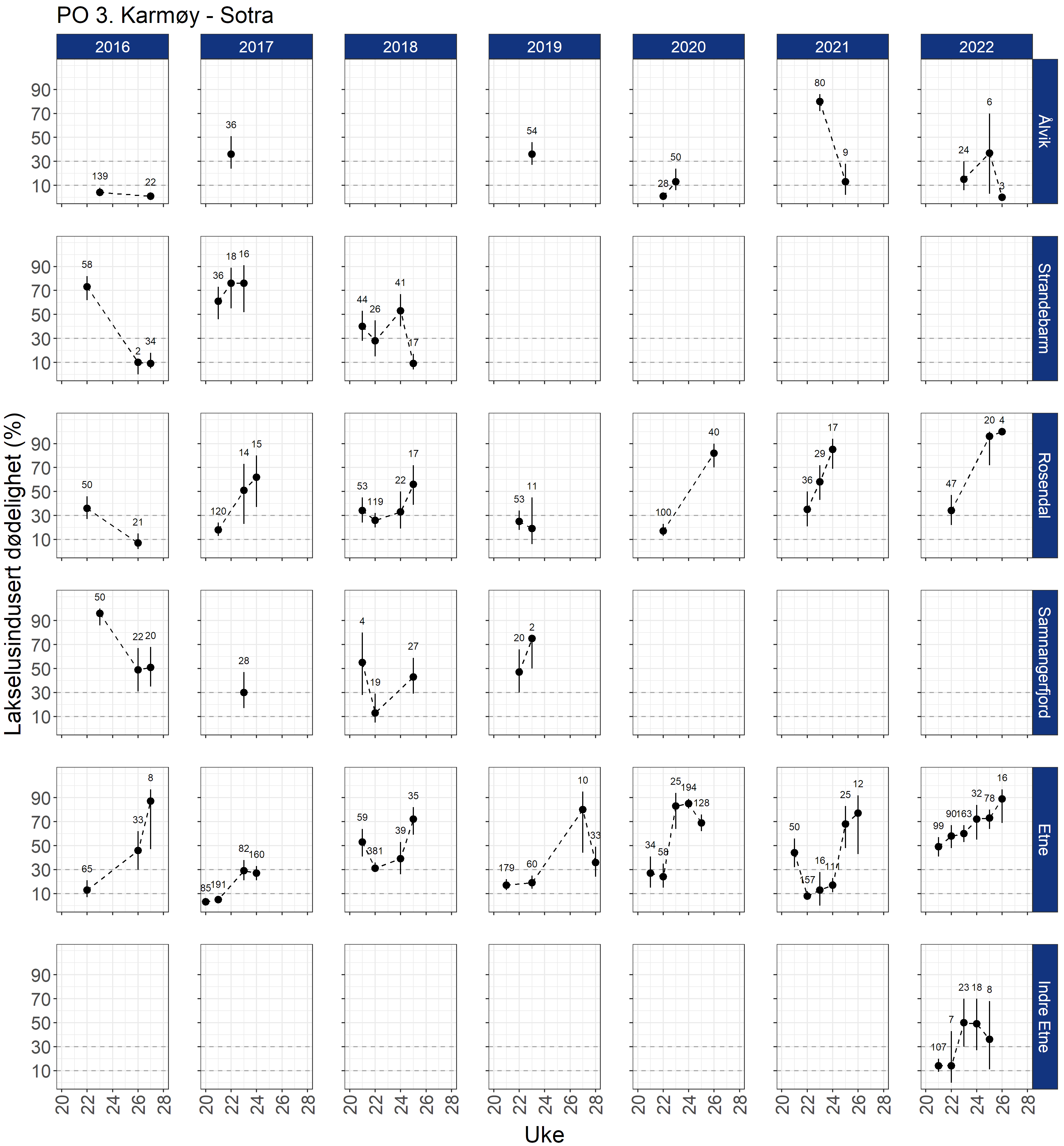
4.1.3 - Produksjonsområde 3 - Karmøy til Sotra

Figur
Figur 4.3. Visualisering av risikobilde for dødelighet på utvandrende postsmolt laks som følge av utslipp av lakselus fra lakseoppdrett i produksjonsområde 3 (PO3) Karmøy til Sotra.

Utslipp av lakseluslarver fra fiskeoppdrett. Temperaturen i sjøen på 3 m dyp stiger fra 7-8 til 11-13 oC i den antatte utvandringsperioden. Temperaturen er derfor gunstig for lakselus i utvandringsperioden for postsmolt av laks (dvs. at eggproduksjonen ved denne temperaturen er relativt god, gitt at høyest fekunditet er i temperaturområdet 12-14 °C). Dette produksjonsområdet har ca. 50-60 millioner oppdrettsfisk. Utslipp av lakselus summert fra 4 uker før til 3 uker etter median smoltutvandring har i tidsrommet 2016-2022 variert mellom ca. 7 og 12 milliarder lus, med lavest verdier i perioden 2018-2020. Utslippene øker som regel fra moderat til høyt utover utvandringsperioden for laks, grunnet mye oppdrettsfisk i området sammenholdt med fra moderate til gode forhold for lakselus. Totalt sett vurderes derfor sannsynlighet for høye utslipp av lakselus fra anleggene som stor for området.

Overlapp mellom fisk og lus i tid og rom. Det antas at utvandringen av laks fra elvene i området hovedsakelig foregår i tidsrommet 27. april – 6. juni, mens dato for median utvandring er satt til 17. mai. Tiden fisken bruker på vandringen fra elv til kysten fra de indre elvene gjør at fisk fra disse elvene vil være eksponert for lakselus over en relativt lang (ca. 2 uker) tidsperiode. Fisk fra de ytre elvene vil ha betydelig kortere eksponeringstid. Vandringsrutene for laks er kjent fra flere av elvene i PO3. Selv om fisken skulle vandre inn i Bjørnafjorden vil det ikke utgjøre en vesentlig reduksjon av eksponeringstiden.

De indre delene av Hardangerfjorden har relativt lave saltholdigheter som vil gi noe beskyttelse under første del av laksens utvandring. Bjørnafjordsystemet er mindre influert av ferskvann, men de indre delene av enkelte fjorder har relativt lav saltholdighet. Miljøforholdene vurderes derfor som moderate for lakselusa under utvandringen av postsmolt. Påslag av lakselus på fisk fra smoltbur og modellert tetthet av lakselus indikerer at store områder vil påvirkes av lakselus. Fordelingen av smittsomme lakselus i Hardanger og Bjørnafjorden viser at selv om det er betydelig variasjon i utbredelsen av områder med høy tetthet av lakselus i begge fjordsystemene, er det ofte relativt store områder med høy tetthet, som ofte strekker seg godt innover i fjordene.

Vi vurderer derfor at til tross for mellomårlig variasjon, er det stor sannsynlighet for stor overlapp mellom utvandrende laks og lakselus. Kunnskapsstyrken anses som sterk, da vandringsveiene og vandringshastighet til laks fra flere elver i begge fjordsystemene er godt kartlagt.

Villaks smittet av lakselus. Miljøforholdene er moderate for lakselus mens det er stor sannsynlighet for høye utslipp og postsmolt er i stor grad til stede samtidig med høye utslipp av lakselus. Modellresultater beregner forhøyet smittepress av lus over et vesentlig område hvert år, med høyt påslag av lus på fisken. Det er fanget laksesmolt årlig i trål i perioden 2016-2022 og disse viser moderat til høy smitte. Undersøkelser som viser hvilken elv laksen utvandrer fra viser at de indre elvene er mest utsatt for smitte, mens laks fra de ytre elvene har mindre smitte. Smoltmodellen viser høy påvirkning fra 2016 med variasjon mellom elver. Som i observasjonene fra trål, viser modellberegningene at fisken fra de indre elvene har størst lusepåslag. Pulser med innadgående strømmer med transport av lakselus fra områdene med mye oppdrett i midtre og ytre deler øker sannsynligheten for smitte langt innover fjordene.

Tråldata viser at nivået av lus er lavere enn modellresultatene, hvilket kan forklares ved at tråldata er innhentet før fisken har fullført vandringen, mens smoltmodellen vurderer lus på fisken ved fullført vandring til kyst. Vi vurderer derfor at sannsynligheten for smitte av villaks til å være høy. Gode dataserier på trål og smoltbur, samt godt samsvar mellom modell og observasjoner gjør at vi anser at kunnskapsstyrken er sterk.

Dødelighet hos utvandrende postsmolt laks. Toleransen til villfisken anses som moderat, mens smittepresset for en stor del av elvene i området anses som høyt og samlet sett vurderes risiko for høy dødelighet på utvandrende laks som høy i PO3. Forankret i kunnskapsstyrken til de underliggende faktorer vurderes kunnskapsstyrken knyttet til dødelighet hos utvandrende smolt som sterk.

4.1.4 - Produksjonsområde 4 - Nordhordland til Stadt

Figur
Figur 4.4. Visualisering av risikobilde for dødelighet på utvandrende postsmolt laks som følge av utslipp av lakselus fra lakseoppdrett i produksjonsområde 4 (PO4) Nordhordland til Stadt.

Utslipp av lakseluslarver fra fiskeoppdrett. Temperaturen i sjøen på 3 m dyp stiger fra 7-8 til 11-12 oC i postsmoltens antatte utvandringsperiode. Temperaturen er derfor gunstig for lakselus i utvandringsperioden for postsmolt av laks (dvs. at eggproduksjonen ved denne temperaturen er relativt god, gitt at høyest fekunditet er i temperaturområdet 12-14 °C). Dette produksjonsområdet har ca. 50 millioner oppdrettsfisk.

Utslipp av lakselus fra anlegg har vært høyt for produksjonsområdet i perioden 2016 - 2022. Vi vurderer derfor utslippene av lakselus som høye i området. Indre deler av flere av fjordene er Nasjonale laksefjorder hvor det ikke tillates oppdrett av laksefisk. Utbredelsen av områder med høy tetthet av lakselus viser da også at tettheten oftest er høyst i de ytre delene av fjordene og i kyststrøkene. Samtidig kan det i perioder med innadgående strømmer transporteres store mengder av lakselus langt innover også i de nasjonale laksefjordene, hvilket blant annet observeres som mye lus på fisk i smoltbur hvor de innerste burene er posisjonert nær grensen til den nasjonale laksefjorden, og mye lus på sjøørret fanget enda lengre inne (Balestrand) kan indikere det samme. Vi vurderer derfor at det er stor sannsynlighet for høye utslipp av lakselus.

Overlapp mellom fisk og lus i tid og rom. Tiden fisken bruker på å vandre ut fra de indre elvene gjør at den vil være eksponert for lakselus over en lengre tidsperiode. Fisken fra de indre elvene i Sognefjorden har landets lengste vandringsruter fra elv til kyst. Fisk fra de ytre elvene vil ha betydelig kortere eksponeringstid. Det antas at utvandringen av laks fra elvene i området hovedsakelig foregår i tidsrommet 28. april – 7. juni, mens dato for median utvandring er satt til 18. mai. Smoltutvandringen er relativt godt kartlagt for enkelte av elvene i de større fjordsystemene i området (Osterfjorden, Masfjorden, Sognefjorden og Nordfjord). Området har betydelig brakkvannslag i de indre delene av fjordene som skaper områder som lus unnviker. Området med brakkvann øker noe for sent utvandrende laks, og laks som bruker lang tid på vandringen gjennom fjorden, men med betydelig variabilitet innen og mellom år. Sannsynligheten vurderes derfor som høy for at laksens utvandring i stor grad overlapper med tidsrommet hvor der er høye konsentrasjoner av lakseluslarver. Kunnskapsstyrken anses som sterk, da vandringsveiene og vandringshastighet til laks fra flere elver i flere av fjordsystemene er godt kartlagt.

Villfisk smittet av lakselus. For utvandrende laks anses miljøforholdene som moderate. Utslippene anses som høye, og tilstedeværelsen av villfisk er i stor grad overlappende med lakselus i tid og rom. Observasjoner av trålfanget laks fra Sognefjorden viser moderate eller høye påslag av lus. Resultatene samsvarer med resultat fra smoltmodellen, som indikerer økt smitte de senere årene, og at postsmolt fra de fleste av elvene har moderat til høyt smittepress. Observasjoner av lakselus på sjøørret fanget utenfor Osterfjorden og Masfjorden, i Sognefjorden og Nordfjorden indikerer ett høyt smittepress i utvandringsrutene for laksen fra disse fjordene. Både tråldata fra Sognefjorden og modellresultater viser at det varierer mellom moderat og høy smitte. Det vil være laks fra elvene med lengst eksponeringstid (lengst avstand fra havet) som er mest påvirket. I tillegg forverres situasjonen ved episoder med stor tilstrømning av lakselus innover fjordene. Sannsynligheten for at villfisk smittes av lakselus vurderes som høy. Kunnskapsstyrken anses som sterk basert på mange tilgjengelige datakilder, og godt samsvar mellom disse.

Dødelighet hos utvandrende postsmolt laks. Toleransen til fisken er moderat, men smittepresset anses som høyt og risiko for dødelighet vurderes derfor som høy på utvandrende laks i PO4, selv om det er stor variasjon innad i området. God kunnskap om smoltutvandring og godt samsvar mellom modellresultater og observasjonsserier gjør at vi anser kunnskapsstyrken som sterk.

4.1.5 - Produksjonsområde 5 – Stadt til Hustadvika

Figur
Figur 4.5. Visualisering av risikobilde for dødelighet på utvandrende postsmolt laks som følge av utslipp av lakselus fra lakseoppdrett i produksjonsområde 5 (PO5) Stadt til Hustadvika.

Utslipp av lakseluslarver fra fiskeoppdrett. Temperaturen i sjøen på 3 m dyp stiger fra 7-8 til 10-11 oC i den antatte utvandringsperioden. Temperaturen er derfor moderat gunstig for lakselus i utvandringsperioden for postsmolt av laks. Dette produksjonsområdet har ca. 20-30 millioner oppdrettsfisk.

Utslipp av lakselus fra anlegg i området varierer mye fra år til år, summert fra 4 uker før til 3 uker etter median smoltutvandring har utslippene stort sett ligget rundt 2-4 milliarder, men med unntak av i 2019 hvor utslippene var ca. 6 milliarder. I dette året er det mer fisk, høyere antall hunnlus og noe høyere temperatur i området, som ga høye utslipp av lus dette året. Vi ser også at et større antall anlegg har mer lus enn tillatte grenser. Selv om vi ikke kjenner årsaken til de høye utslippene i 2019, vurderer vi allikevel sannsynligheten for at situasjonen i 2019 skal oppstå igjen som moderat, og at sannsynligheten for høye utslipp derfor er moderat. Vi vurderer kunnskapen om hvor mange lus som er sluppet ut i området som god, men grunnet høy mellomårlig variabilitet og manglende kunnskap om årsakene til situasjonen i 2019 er det usikkert hvordan det skal kategoriseres.

Overlapp mellom fisk og lus i tid og rom. Det antas at utvandringen av laks fra elvene i området hovedsakelig foregår i tidsrommet 24. april – 17. juni, mens dato for median utvandring er satt til 24. mai. For laks er tidsforløpet for utvandringen og vandringsrutene godt kartlagt for enkelte elver i Romsdalsfjordsystemet, men ikke for elvene i Storfjord. Det er stor variabilitet i hvor stor grad laksens utvandring overlapper med tilstedeværelse av lakselus mellom år. I området er det to store fjordsystemer, Storfjorden og Romsdalsfjorden. Lavest saltholdighet ses innerst i de store fjordene og laksesmolt som vandrer ut gjennom dette området er ofte beskyttet mot lakselus i indre deler av området. Strømmene vil tidvis kunne transportere lus langt innover i fjordene. Vi anser derfor miljøforholdene som moderate.

Det er som regel lite overlapp mellom tidlig smoltutvandring og lakselus, mens sent utvandrende laks samt laks som har lang vandringsvei opplever større eksponering for lus enn de som vandrer tidlig. Området vurderes å ha moderat sannsynlighet for at utvandrende laks overlapper med tilstedeværelse av lakselus. Grunnet manglende kunnskap om utvandring fra deler av området i tillegg til stor mellomårlig variasjon i utslipp, vurderes kunnskapsstyrken som svak.

Villfisk smittet av lakselus. Miljøforholdene og sannsynligheten for høye utslipp av lakselus vurderes som moderate, mens sannsynligheten for at villfiskens overlapper i tid og rom med høye tettheter av lakselus vurderes som moderate. Data fra smoltbur i 2016 - 2018 indikerer relativt lave tettheter av lakselus i Romsdalsfjorden under smoltutvandringen. Tråldata fra Romsdalsfjorden indikerer moderat til høyt smittepress i 2017, 2019 og 2021, men lavt i 2018, 2020 og 2022. De observerte svingningene samsvarer med modellresultater. Utbredelsen av området som er påvirket av lakselus øker relativt jevnt gjennom utvandringsperioden for laks. Smoltmodellen indikerer moderat og høy dødelighet for flere elver de fleste årene. Vurderingen ligger på grensen mellom moderat og høy. Fra Storfjorden mangler trål- og smoltburdata, men modellert andel av areal som er påvirket av lakselus og observert lus på sjøørret i første periode indikerer betydelig smittepress i ytre deler. Totalt sett vurderes sannsynligheten for at villfisk smittes av lakselus som moderat. Kunnskapsstyrken anses som svak grunnet variabilitet innad i området og mellom år av årsaker vi ikke har kunnskap om, selv om det er god overenstemmelse mellom observasjoner og modeller.

Dødelighet hos utvandrende postsmolt laks. Villfiskens toleranse for lakselus er vurdert til moderat og det er vurdert at smitte av lakselus på villfisk er moderat. Risikoen knyttet til dødelighet for utvandrende villaks anses derfor som moderat i PO5. Kunnskapsstyrken for de underliggende faktorer er moderat og svak, og derfor anses kunnskapsgrunnlaget for dødelighet som svak.

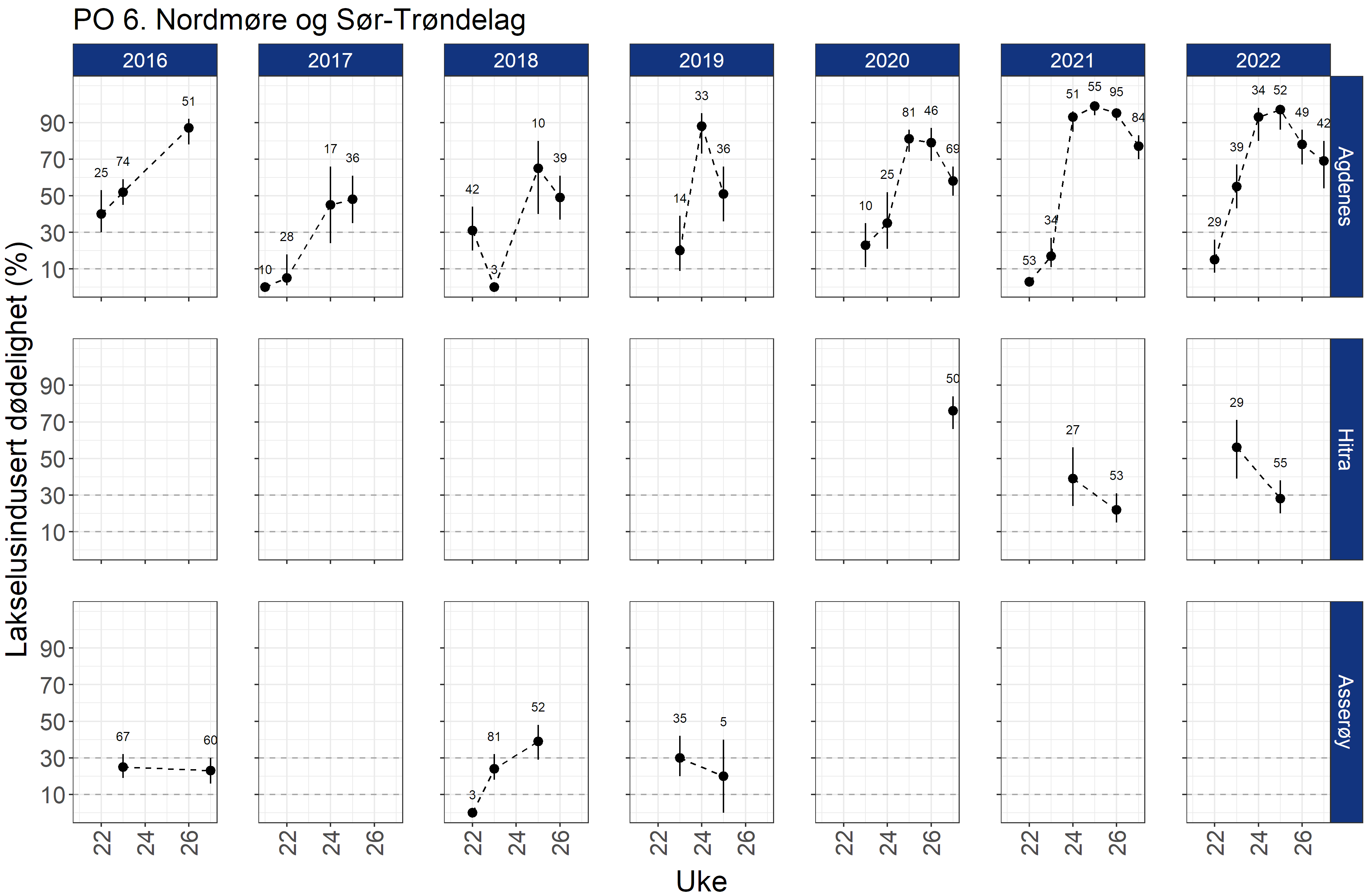
4.1.6 - Produksjonsområde 6 - Nordmøre og Sør-Trøndelag

Figur
Figur 4.6. Visualisering av risikobilde for dødelighet på utvandrende postsmolt laks som følge av utslipp av lakselus fra lakseoppdrett i produksjonsområde 6 (PO6) Nordmøre og Sør-Trøndelag.

Utslipp av lakseluslarver fra fiskeoppdrett. Temperaturen i sjøen på 3 m dyp stiger fra 7-8 til 10-11 oC i den antatte utvandringsperioden. Temperaturen er derfor moderat gunstig for lakselus i utvandringsperioden for postsmolt av laks. Dette produksjonsområdet har ca. 70-80 millioner oppdrettsfisk.

Utslipp av lakselus fra anlegg i området har i tidsperioden 2016-2022 summert fra 4 uker før til 3 uker etter median smoltutvandring stort sett vært mellom 4 og 7 milliarder, med unntak av i 2016 og 2022 hvor utslippene var ca. 10 milliarder. Området har flere nasjonale laksefjorder uten oppdrett, inkludert Trondheimsfjorden, mens utslippene er høyere langs hele kysten i produksjonsområdet, inkludert øyene Smøla, Hitra og Frøya. Fordelingen av områder med mye lus (ROC kartene fra median dato for smoltutvandring) 2019-2022 viser enkelte år høye tettheter i de sørlige delene av området, ofte rundt øyene Smøla-Hitra, og i 2022 også høye tettheter i deler av Frohavet. Vi vurderer derfor at for utvandrende laks er det stor sannsynlighet for høye utslipp av lakselus.

Overlapp mellom fisk og lus i tid og rom. Området omfatter Trondheimsfjorden som er en nasjonal laksefjord. Herfra utvandrer en stor del av den norske villaksbestanden. Det antas at utvandringen av laks fra elvene i området hovedsakelig foregår i tidsrommet 23. april – 16. juni, mens dato for median utvandring er satt til 18. mai. Utvandringsrutene for laksen fra elvene på Møre og i Trondheimsfjorden er dårlig kartlagt.

For hele område er det vurdert å være moderat sannsynlighet for overlapp mellom utvandrende smolt og lakselus. Utvandringstiden fra en del elver er godt kartlagt, mens utvandringsrutene er lite kjent. Avvik i ruter kan gi store utslag i overlapp mellom smolt og lus. Det er relativt korte utvandringsruter fra mange elver foruten de inne i Trondheimsfjorden. Vandringsruten fra elvene på Nordmøre er ikke kartlagt utenfor fjorden. Grunnet høy produksjon av laks rundt øyene Smøla, Hitra og Frøya er det er kritisk for opplevd smittepress om fisken vandrer nordover langs kysten og ut gjennom Frohavet, eller om de vandrer rett ut i havet. Med unntak av indre deler av fjorder, har området i liten grad brakkvannslag som vil skape område uten lus. Miljøforholdene vurderes derfor som moderate i PO6.

Det er imidlertid variasjoner innen produksjonsområdet der det vurderes en høyere grad av overlapp for villaksen på Nordmøre. Da utvandringen fra elver i Trondheimsfjorden omfatter et svært høyt antall fisk, vurderes mangelen på kunnskap om disse utvandringsrutene som så viktig at kunnskapsstyrken totalt sett vurderes som svak.

Villfisk smittet av lakselus. Miljøforholdene er vurdert til moderate, og faktorene knyttet til utslipp av lakselus og overlapp med villfiskens tilstedeværelse vurderes som moderate. Lakselus på fisk i smoltbur indikerer lav smitte inne i, og i utløpet til Trondheimsfjorden. Modellen indikerer lavt smittepress inne i Trondheimsfjorden, men høyere på kysten. Tråldata har gjennomgående vist liten smitte på utvandrende laks, også på fisk fanget ett stykke utover i Frohavet. Beregninger av strøm indikerer at lus i enkelte år vil transportere lus inn i dette området. Modellresultater viser moderat smitte på fisk fra Trondheimsfjorden en del år, mens enkelte elver sør for Trondheimsfjorden opplever høyt smittepress enkelte år. De høye utslippene av lus fra Smøla, Hitra og Frøya gjør at det vil kunne være ett høyt smittepress ute på kysten. Vi vurderer totalt sett sannsynligheten for at utvandrende postsmolt av laks smittes av lakselus som moderat.

Vi har god kunnskap om miljøforhold og utslipp av lakselus i området. Det er imidlertid manglende kunnskap om vandringsrutene, samt at observasjonene av lus på trålt villaks ikke dekker smitte i hele Frohavet. Modellene indikerer høyere smitte på laks fra Trondheimsfjorden enn observasjonene. Dette, sammen med stor variabilitet innad i området og lite observasjoner i fjordene på Nordmøre, gjør at vi vurderer kunnskapsstyrken om smitte på villfisk som svak.

Dødelighet hos utvandrende postsmolt laks. Villfiskens toleranse for lakselus er moderat, og sannsynligheten for smitte vurderes som moderat. På bakgrunn av det vurderer vi at risiko knyttet til dødelighet hos utvandrende postsmolt som følge av smitte av lakselus er moderat i PO6. Utvandringsrutene på kysten er ikke kartlagt samtidig som dette kan ha svært stor betydning for opplevd smittepress, og observasjoner fra sørlige deler av området mangler. Kunnskapsstyrken for villfisk smitte av lakselus vurderes som svak, mens den for toleranse vurderes som moderat, og kunnskapsstyrken vurderes derfor som svak for produksjonsområdet.

4.1.7 - Produksjonsområde 7 - Nord-Trøndelag med Bindal

Figur
Figur 4.7. Visualisering av risikobilde for dødelighet på utvandrende postsmolt laks som følge av utslipp av lakselus fra lakseoppdrett i produksjonsområde 7 (PO 7) Nord-Trøndelag.

Utslipp av lakseluslarver fra fiskeoppdrett. Temperaturen i sjøen på 3 m dyp stiger fra 7-8 til 10-12 oC i den antatte utvandringsperioden. Temperaturen er derfor moderat gunstig for lakselus i utvandringsperioden for postsmolt av laks. Dette produksjonsområdet har ca. 30 millioner oppdrettsfisk.

Namsfjorden er en nasjonal laksefjord uten oppdrett, mens utslippene langs kysten hvor det er oppdrettsaktivitet langs hele kystlinjen er høyere. Utslippene summert fra 4 uker før til 3 uker etter median smoltutvandring har variert mellom 2 og 5 milliarder i årene 2016-2022. Samlet sett vurderes utslippene som moderate for produksjonsområdet under smoltutvandringen.

Overlapp mellom fisk og lus i tid og rom. Det antas at utvandringen av laks fra elvene i området hovedsakelig foregår i tidsrommet 23. april – 23. juni, mens dato for median utvandring er satt til 24. mai. Det er enkelte år høye tettheter av lakselus opp mot Vikna, andre år på nordsiden, og ofte også sør for utløpet av Namsfjorden. I hvilken grad smolten fra Namsen vandrer langs kysten er ukjent. Utvandringsperioden og utvandringstidene for elvene i produksjonsområdet er dårlig kartlagt, men ett pågående prosjekt kan indikere at en andel av laksesmolten går rett ut i havet når den forlater Namsfjorden. Med unntak av Namsfjorden og Innerfolda har området i liten grad brakkvannslag som vil skape område uten lus. Ved ugunstige strømforhold kan lus transporteres inn i begge disse fjordsystemene. Miljøforholdene vurderes som moderat gunstig for lakselus.

Vi antar at en andel av laksen vil svømme forbi Vikna, og anser derfor at det er en moderat sannsynlighet for overlapp mellom laks og lakselus i enkelte år. Grunnet manglende kunnskap om både utvandringsperiode, -tid og -ruter vurderer vi kunnskapsstyrken som svak.

Villfisk smittet av lakselus. Sannsynlighetene knyttet til utslipp av lakselus og villfiskens tilstedeværelse når lakselusa er i smittestadiet vurderes som moderate. Data fra smoltbur og modellert andel av areal som er påvirket av lakselus indikerer at det er lite lus inne i Namsfjorden, men mer på både sørsiden, opp mot og på begge sider av Vikna, men det veksler mellom år. I hvilken grad laks smittes av lakselus avhenger i høy grad av utvandringsruter, men disse er dårlig kartlagt.

Resultater fra smoltmodellen viser at elvene er fra lav til moderat påvirket. I modellen antas det at fisken fra Namsen vandrer rett ut i havet, men om de vandrer oppover mot Vikna vil de svømme gjennom høyere tetthet av lakselus enkelte år enn det modellen antar. På grunn av denne usikkerheten vurderer vi derfor at det er moderat sannsynlighet for at laks smittes med lakselus. På tross av god kunnskap om miljøforhold og utslipp av lakselus vurderes kunnskapen rundt overlapp mellom lakselus og fisk i tid og rom som svak. Valget av utvandringsrute er kritisk for om fisken fra Namsen treffer høye tettheter av lus og vektes derfor tungt i denne vurderingen. Kunnskapsstyrken totalt sett vurderes derfor som svak for om villfisk blir smittet av lakselus.

Dødelighet hos utvandrende postsmolt laks. Vi vurderer toleransen til utvandrende postsmolt av laks som moderat og sannsynlighet for at villfisk smittet av lakselus som moderat. Vi vurderer derfor risikoen for dødelighet hos utvandrende postsmolt laks total sett som moderat i PO7. Kunnskapsstyrken om villfiskens toleranse er moderat, men kunnskapsstyrken om hvorvidt villfisken blir smittet av lakselus er svak. Kunnskapsstyrken vurderes derfor for PO7 som svak.

4.1.8 - Produksjonsområde 8 - Helgeland til Bodø

Figur
Figur 4.8. Visualisering av risikobilde for dødelighet på utvandrende postsmolt laks som følge av utslipp av lakselus fra lakseoppdrett i produksjonsområde 8 (PO8) Helgeland til Bodø.

Utslipp av lakseluslarver fra fiskeoppdrett. Temperaturen i sjøen på 3 m dyp stiger fra 7-9 til 10-12 oC i den antatte utvandringsperioden. Temperaturen er derfor moderat gunstig for lakselus i utvandringsperioden for postsmolt av laks. Dette produksjonsområdet har ca. 50 millioner oppdrettsfisk.

Utslipp av lakselus fra anlegg varierer mellom år, hvor de har ligget mellom 2 og 3,5 milliarder 2016-2020, ca. 4 milliarder 2021-2022. Økende biomasse av oppdrettsfisk og økende utslipp i dette området gjør at vi vurderer at det er moderat sannsynlighet for høye utslipp.

Overlapp mellom fisk og lus i tid og rom. Det antas at utvandringen av laks fra elvene i området hovedsakelig foregår i tidsrommet 20. mai – 6. juli, mens dato for median utvandring er satt til 13. juni. Utvandringsperioden er kjent for en del elver i området, mens utvandringsrutene er ikke undersøkt, og det er ukjent om fisken vandrer direkte ut eller om de følger kysten. Området har en del fjorder med brakkvann i innerste deler av fjordene som vil gi noe beskyttelse mot lus. Samlet sett vurderes miljøforholdene å være moderate.

ROC kartene viser begrenset areal med forhøyet tettet av lakselus og utslippene vurderes derfor totalt sett som lave, men også at andelen av påvirket areal er høyest de to siste årene. Selv om utslippene er vurdert som lave, er det klare indikasjoner på at økende biomasse av oppdrettsfisk og økende utslipp i dette området gjør at en nærmer seg moderat sannsynlighet for høye utslipp.

Antar en at laksen svømmer ut fra kysten, indikerer modellert tetthet av lakselus lave og moderate tettheter i utvandringsrutene for laks, og lite overlapp mellom fisk og lakselus grunnet korte utvandringsruter. Da den nye smoltmodellen gir noe høyere estimater av lus på laksen, og vi ikke har andre data på laks, vurderes kunnskapsstyrken vurdert som svak.

Villfisk smittet av lakselus. Utslippene vurderes som moderate, og sannsynlighet for at laksefisk er til stede samtidig med høye tettheter av smittsomme lakselus som lav. Det foreligger ikke observasjoner på utvandrende postsmolt laks, men smittepresset i ytre deler av enkelte fjorder basert på ruse- og garnfangst av sjøørret, indikerer lav til moderat smitte. Det skal bemerkes at stasjonen undersøkt de siste årene (Leirfjord) ligger i en nasjonal laksefjord (Vefsnfjorden). Tidligere års undersøkelser har indikert en del lus på sjøørret fanget ved Gildeskål, i den nasjonale laksefjorden Beiarfjorden. Resultatene fra smoltmodellen indikerer fra lav til moderat smitte av lus på smolten i produksjonsområdet. Generelt lite overlapp mellom utslipp og utvandringsperiode gjør at vi anser at det er lav sannsynlighet for smitte av utvandrende postsmolt laks. Det er god kunnskap om miljøforholdene og utslipp av lakselus i området, men kunnskapsstyrken rundt overlapp mellom fisk og lus i tid og rom vurderes som svak. Totalt sett vurderes derfor kunnskapsstyrken som svak for området.

Dødelighet hos utvandrende postsmolt laks. Basert på moderat toleranse og liten sannsynlighet for smitte, vurderer vi at det er lav sannsynlighet for dødelighet på utvandrende postsmolt laks i PO8. Kunnskapsstyrken knyttet til villfiskens toleranse vurderes som moderat, mens kunnskapsstyrken for om villfisken smittes av lakselus er svak, vurderes også kunnskapsstyrken for risiko for dødelighet hos utvandrende postsmolt laks som svak.

4.1.9 - Produksjonsområde 9 - Vestfjorden og Vesterålen

Figur
Figur 4.9. Visualisering av risikobilde for dødelighet på utvandrende postsmolt laks som følge av utslipp av lakselus fra lakseoppdrett i produksjonsområde 9 (PO9) Vestfjorden og Vesterålen.

Utslipp av lakseluslarver fra fiskeoppdrett. Temperaturen i sjøen på 3 m dyp stiger fra 6-8 til 10-12 oC i den antatte utvandringsperioden. Temperaturen er derfor moderat gunstig for lakselus i utvandringsperioden for postsmolt av laks. Dette produksjonsområdet har ca. 40-50 millioner oppdrettsfisk.

Estimerte utslipp av lakselus 2016-2022 summert fra 4 uker før til 3 uker etter median smoltutvandring fra anlegg er lavt for produksjonsområdet, oftest mellom ca. 1 og 2 milliarder, med unntak av i 2021 hvor det estimeres utslipp av nær 4 milliarder lus. Det er relativ høy oppdrettsaktivitet i enkelte fjorder som f.eks. Folda, og dette gir lokalt forhøyete utslipp. Utslippene øker noe utover smoltutvandringsperioden, men totalt sett vurderer vi utslippene som lave i området.

Overlapp mellom fisk og lus i tid og rom. Det antas at utvandringen av laks fra elvene i området hovedsakelig foregår i tidsrommet 20. mai – 13. juli, mens dato for median utvandring er satt til 13. juni. Generelt i området er det relativ lite overlapp mellom laks og lakselus, men med noe høyere sannsynlighet i Folda. Området har i liten grad brakkvannslag som vil skape område uten lus. Samlet sett vurderes miljøforholdene å være moderat gunstig for lakselus.

Fjordene i området er korte med unntak av indre deler av Ofotfjorden og vi antar at laksen i liten grad følger kysten. Tetthet av lakselus er høyest langs kysten og øker først etter dato for median utvandring. Med utgangspunkt i at postsmolten vandrer rett ut i havet vurderes sannsynligheten dermed som lav for overlapp mellom utvandrende postsmolt og lakselus. Selv om utvandringsrutene ikke er godt kartlagt har vi god kunnskap om fordeling og tetthet av lakselus i området både i tid og rom og kunnskapsstyrken vurderes totalt sett som sterk.

Villfisk smittet av lakselus. Utslippene av lakselus er lave og det er lite overlapp mellom villfisk og lakselus. Vi vurderer derfor at sannsynlighet for smitte på utvandrende postsmolt laks er liten. Smoltmodellen viser at ett fåtall av elvene kan ha moderat og høy dødelighet enkelte år. Det er ikke data fra trålfangst i produksjonsområdet, men oftest liten smitte på garn og rusefanget sjøørret og sjørøye under smoltutvandringen, med unntak av Folda hvor utslippene også er høye. Basert på at det er god kunnskap om de underliggende faktorene, anses kunnskapsstyrken som sterk.

Dødelighet hos utvandrende postsmolt laks. Toleransen for postsmolt laks anses som moderat mens smitten av lus på fisken vurderes som lav for området som helhet, men med høyere nivå for elvene i Folda enkelte år. Risikoen for dødelighet hos utvandrende postsmolt vurderes derfor å være lav for området som helhet. På tross av moderat kunnskapsstyrke rundt villfiskens toleranse er kunnskapen for alle de andre underliggende faktorene god og kunnskapsstyrken vurderes derfor totalt sett som sterk.

4.1.10 - Produksjonsområde 10 - Andøya til Senja

Figur
Figur 4.10. Visualisering av risikobilde for dødelighet på utvandrende postsmolt laks som følge av utslipp av lakselus fra lakseoppdrett i produksjonsområde 10 (PO10) Andøya til Senja.

Utslipp av lakseluslarver fra fiskeoppdrett. Temperaturen i sjøen på 3 m dyp stiger fra 6-9 til 10-12 oC i den antatte utvandringsperioden. Temperaturen er derfor moderat gunstig for lakselus i utvandringsperioden for postsmolt av laks. Dette produksjonsområdet har ca. 30-40 millioner oppdrettsfisk.

Utslipp av lakselus fra anlegg summert fra 4 uker før til 3 uker etter median smoltutvandring har vært ca. 2 milliarder 2016-2022. Sannsynligheten for høye utslippene vurderes derfor som lav.

Overlapp mellom fisk og lus i tid og rom. Det antas at utvandringen av laks fra elvene i området hovedsakelig foregår i tidsrommet 22. mai – 20. juli, mens dato for median utvandring området er satt til 22. juni.

Tidspunkt for utvandring er godt kartlagt for enkelte elver i området, men utvandringsrutene er ikke kartlagt. Det er en del ferskvann i utvandringsruten for laksen fra Målselv, hvilket sørger for beskyttelse mot lus i deler av området. Området har, foruten i den nasjonale laksefjorden Malangen, i liten grad brakkvannslag som vil skape område uten lus. Under ugunstige strømforhold kan lus transporteres inn i Malangen, men undersøkelser av sjøørret indikerer at dette i liten grad skjer. Samlet sett vurderes miljøforholdene å være moderat gunstig for lakselus. Modell indikerer at det enkelte år er moderat og høy tetthet av lus i enkelte områder slik som ved Finnsnes. Det er en økning i utslipp av lakselus utover perioden for smoltutvandring. Området med moderat og høy tetthet av lakselus vil trolig dekke utvandringsruten for smolt fra en del elver. Det gjør at vi vurderer at det er moderat sannsynlighet for at laks er til stede samtidig med lakselus i området. Kunnskapsstyrken anses som moderat da vandringsrutene for laksen ikke er kartlagt.

Villfisk smittet av lakselus. For laks anses miljøforholdene som moderate for lakselus, utslippene har økt fra lavt til moderat de senere år og det er i moderat grad overlapp mellom villaks og lakselus i området. For laks vurderes derfor smittenivået å ha utviklet seg fra lav til moderat de siste år. Unntaket er fisken som går ut i Malangen, da dette er en nasjonal laksefjord uten utslipp av lus. Det økende smittepresset ses også i modellert andel av areal som er påvirket av lakselus. Observert lusenivå på garn og rusefanget fisk under smoltutvandringen viser også fra lavt til moderat smittepress. Smoltmodellen viser lav og moderat, unntaksvis høy, smitte av lus på fisken. Kunnskapen om miljøforhold og utslipp vurderes som sterk mens kunnskapen om overlapp mellom fisk og lus i tid og rom vurderes som moderat. Kunnskapsstyrken vurderes derfor totalt sett som moderat.

Dødelighet hos utvandrende postsmolt laks. Toleransen til postsmolt laks vurderes som moderat, og sannsynlighet for smitte av mye lakselus vurderes som moderat. Vi vurderer derfor at det er moderat risiko for høy dødelighet for utvandrende postsmolt laks i PO10. Kunnskapen om både villfiskens toleranse og i hvilken grad villfisken blir smittet av lakselus vurderes som moderat. Siden kategoriseringen ligger helt på grensen mellom liten og moderat med variabilitet mellom år, har vi valgt å flagge dette i kunnskapsstyrken som er satt til svak. Dette på tross av at kunnskapsstyrken av de underliggende faktorene er satt til moderat.

4.1.11 - Produksjonsområde 11 - Kvaløya til Loppa

Figur
Figur 4.11. Visualisering av risikobilde for dødelighet på utvandrende postsmolt laks som følge av utslipp av lakselus fra lakseoppdrett i produksjonsområde 11 (PO11) Kvaløya til Loppa.

Utslipp av lakseluslarver fra fiskeoppdrett. Temperaturen i sjøen på 3 m dyp stiger fra 6-8 til 10-12 oC i den antatte utvandringsperioden. Temperaturen er derfor moderat gunstig for lakselus i utvandringsperioden for postsmolt av laks. Dette produksjonsområdet har ca. 20-30 millioner oppdrettsfisk.

Utslipp av lakselus fra anlegg summert fra 4 uker før til 3 uker etter median smoltutvandring har vært under 2 milliarder 2016-2022. Sannsynligheten for høye utslipp av lakselus fra anlegg vurderes som liten, men med en forventning om en liten økning utover utvandringsperioden for laks.

Overlapp mellom fisk og lus i tid og rom. Det antas at utvandringen av laks fra elvene i området hovedsakelig foregår i tidsrommet 3. juni – 20. juli, mens dato for median utvandring er satt til 25. juni. Det er brakkvannslag i de indre delene av fjordene som vil gi utvandrende postsmolt av laks en viss beskyttelse mot lakselus i starten av utvandringen. Samlet sett vurderes miljøforholdene å være moderat gunstig for lakselus.

Modellert fordeling av lakselus indikerer små områder med forhøyet tetthet. Det vurderes å være liten sannsynlighet for stor overlapp mellom tilstedeværelse av villfisk og høy tetthet lakselus grunnet lave utslipp av lakselus. Selv om vandringsruter og utvandringstider ikke er godt beskrevet for dette området, gjør de lave utslippene, og den begrensede økningen av utslipp utover sesongen at den manglende kunnskapen har liten betydning. Kunnskapsstyrken vurderes derfor som sterk.

Villfisk smittet av lakselus. Miljøforholdene er moderate for lakselus, mens sannsynlighet for høye utslipp er lave og det er liten sannsynlighet for stor overlapp i tid og rom mellom laks og lus. Det anses derfor å være liten sannsynlighet for smitte av et høyt antall lakselus på utvandrende postsmolt laks. Smoltmodellen estimerer stort sett liten dødelighet på postsmolt, men med moderat dødelighet for noen elver spesielt de senere år. Det er observert lite lus på sjøørret og sjørøye på stasjonene i dette området under smoltutvandringen. Kunnskapen knyttet til de underliggende faktorene vurderes som sterk og med godt samsvar mellom modell og observasjonsdata vurderes kunnskapsstyrken for smitte på utvandrende postsmolt laks som sterk.

Dødelighet hos utvandrende postsmolt laks. Toleransen til villaksen vurderes som moderat, mens sannsynligheten for at villfisken smittes av lakselus vurderes som liten. Vi vurderer derfor at risikoen for dødelighet av utvandrende postsmolt laks er lav for PO11. På tross av moderat kunnskapsstyrke rundt villfiskens toleranse er kunnskapen for alle de andre underliggende faktorene god og kunnskapsstyrken vurderes derfor totalt sett som sterk.

4.1.12 - Produksjonsområde 12 - Vest-Finnmark

Figur
Figur 4.12. Visualisering av risikobilde for dødelighet på utvandrende postsmolt laks som følge av utslipp av lakselus fra lakseoppdrett i produksjonsområde 12 (PO12) Vest-Finnmark.

Utslipp av lakseluslarver fra fiskeoppdrett. Temperaturen i sjøen på 3 m dyp stiger fra 6-8 til 9-11 oC i den antatte utvandringsperioden. Temperaturen er derfor moderat gunstig for lakselus i utvandringsperioden for postsmolt av laks. Dette produksjonsområdet har ca. 40-50 millioner oppdrettsfisk.

Utslipp av lakselus fra anlegg summert fra 4 uker før til 3 uker etter median smoltutvandring har steget til ca. 2 milliarder 2016-2022. Sannsynligheten for høye utslipp av lakselus fra anlegg vurderes som liten. I Altafjordsystemet, som har en del oppdrett, kan det være noe høyere sannsynlighet for høye utslipp. Utslippene øker noe utover sommeren.

Overlapp mellom fisk og lus i tid og rom. Det antas at utvandringen av laks fra elvene i området hovedsakelig foregår i tidsrommet 3. juni – 27. juli, mens dato for median utvandring er satt til 29. juni. Områdene har i liten grad brakkvannslag som skaper områder uten lus. Samlet sett vurderes miljøforholdene å være moderat gunstig for lakselus.

Modellert tetthet av lakselus indikerer bare en svak økning av arealet som er påvirket av lakselus på slutten av utvandringsperioden. Det vurderes å være liten sannsynlighet for stort overlapp i tid og rom mellom laks og lakselus og vi anser kunnskapsstyrken som god da utvandringsperiode og utvandringsruter er godt kartlagt for elver i Altafjorden.

Villfisk smittet av lakselus. Sannsynligheten for høye utslipp er lav og sannsynligheten for stor overlapp mellom laks og lakselus er liten. Det vurderes derfor å være liten sannsynlighet for smitte av lakselus på utvandrende postsmolt laks. Også smoltmodellen indikerer relativt lavt smittepress på utvandrende smolt, og tråldata fra Altafjorden indikerer liten smitte på utvandrende postsmolt. Ruse og garnfangst av sjøørret og røye indikerer liten, unntaksvis moderat estimert dødelighet under smoltutvandringen. Observasjonene fra smoltbur indikerer lav smitte i tiden postsmolten vandrer gjennom fjorden. Kunnskapsstyrken vurderes som sterk da kunnskapen om de underliggende faktorene vurderes som god, samt at data fra flere kilder viser sammenfallende resultater.

Dødelighet hos utvandrende postsmolt laks. Toleransen til villaksen vurderes som moderat, mens sannsynligheten for at villfisken smittes av mye lakselus er liten. Vi vurderer derfor at risikoen for høy dødelighet av utvandrende postsmolt laks er lav for PO12. På tross av moderat kunnskapsstyrke rundt villfiskens toleranse er kunnskapen for alle de andre underliggende faktorene god og kunnskapsstyrken vurderes derfor totalt sett som sterk.

4.1.13 - Produksjonsområde 13 - Øst-Finnmark

Figur
Figur 4.13. Visualisering av risikobilde for dødelighet på utvandrende postsmolt laks som følge av utslipp av lakselus fra lakseoppdrett i produksjonsområde 13 (PO13) Øst-Finnmark.

Utslipp av lakseluslarver fra fiskeoppdrett. Temperaturen i sjøen på 3 m dyp stiger fra 6-8 til 10-12 oC i den antatte utvandringsperioden. Temperaturen er derfor moderat gunstig for lakselus i utvandringsperioden for postsmolt av laks. Dette produksjonsområdet har under 10 millioner oppdrettsfisk.

Utslipp av lakselus fra anlegg summert fra 4 uker før til 3 uker etter median smoltutvandring har vært tilnærmet null i perioden 2016-2022. Sannsynligheten for høye utslipp av lakselus fra anlegg vurderes som liten da det er lite oppdrett i området.

Overlapp mellom fisk og lus i tid og rom. Det antas at utvandringen av laks fra elvene i området hovedsakelig foregår i tidsrommet 27. juni – 27. juli, mens dato for median utvandring er satt til 9. juli. Området har i liten grad brakkvannslag som vil skape område uten lus. Samlet sett vurderes miljøforholdene å være moderat gunstig for lakselus. Modeller viser ikke områder med økt tettet av lakselus. Grunnet lave utslipp vurderes sannsynligheten for overlapp mellom tilstedeværelse av villfisk og lakselus som liten. Selv om vandringsruter og utvandringstider ikke er godt beskrevet for dette området, gjør de lave utslippene, og den begrensede økningen av utslipp utover sesongen at den manglende kunnskapen har liten betydning. Kunnskapsstyrken vurderes derfor som sterk.

Villfisk smittet av lakselus. Sannsynlighet for utslipp er liten, og det er lav sannsynlighet for overlapp mellom postsmolt og lakselus. Det vurderes derfor å være lav sannsynlighet for smitte av lakselus på utvandrende postsmolt laks. Smoltmodellen indikerer ingen elver med moderat eller høy sannsynlighet for smitte, og det er liten smitte på sjøørret og sjørøye fanget under smoltutvandringen. Selv om det mangler observasjoner på laks, vurderes kunnskapsstyrken til de underliggende faktorene som sterk. Kunnskapsstyrken for om postsmolten smittes av lakselus vurderes dermed også som sterk.

Dødelighet hos utvandrende postsmolt laks. Toleransen til villaksen vurderes som moderat, mens det vurderes at sannsynligheten for at villfisken smittes av lakselus er liten. Tatt i betraktning de lave utslippene vurderes risiko for dødelighet på utvandrende postsmolt laks for PO13 som lav. De lave utslippene, sammenholdt med at både modellresultater og data fra garn og rusefanget sjøørret og sjørøye indikerer lavt smittepress, gjør at vi vurderer kunnskapsstyrken som sterk.


4.2 - Risikovurdering av negative effekter på sjøørret og sjørøye som følge av utslipp av lakselus oppdrett av laksefisk fra fiskeoppdrett

4.2.1 - Produksjonsområde 1 - Svenskegrensen til Jæren

Figur
Figur 4.14. Visualisering av risikobilde for negative effekter på sjøørret som følge av utslipp av lakselus fra lakseoppdrett i produksjonsområde 1 (PO1) Svenskegrensen – Jæren.

Utslipp av lakseluslarver fra fiskeoppdrett. Temperaturen i sjøen er moderat for lakselusa under utvandringen og moderat til høy i den perioden sjøørret beiter i fjordene. Områdene med brakkvannslag som kan beskytte mot smitte er begrenset i areal. Miljøforholdene vurderes derfor som gode for lakselusa i perioden med beitende sjøørret til stede.

Utslipp av lakselus fra anlegg er lavt grunnet lav produksjon av oppdrettsfisk som er konsentrert i en mindre del av produksjonsområdet. Sannsynligheten for høye utslipp av lakselus vurderes derfor som liten.

Overlapp mellom fisk og lus i tid og rom. Sjøørret antas å vandre ut om våren omtrent på samme tid som laks. Sjøørreten bruker området over en lengre periode, derfor er det vurdert å være moderat sannsynlighet for overlapp mellom lus og fisk i tid og rom mellom lus og ørret for sjøørret i Flekkefjordområdet, men totalt sett vurdert å være lite sannsynlighet for overlapp. Kunnskapsstyrken anses om sterk basert på at det er god kunnskap om utvandring fra enkelte elver, samt at det er lave utslippene i store deler av området, og grunnet god kunnskap om artenes atferd.

Villfisk smittet av lakselus. Sjøørret vil i stor grad være til stede samtidig med utslipp av lakselus fra anlegg, og miljøforholdene for lakselus vurderes som gunstige i perioden sjøørreten beiter. Utslippene av lakselus er imidlertid lave i produksjonsområdet. Det er påvist lite smitte på garn og rusefanget sjøørret i dette området. Sjøørreten kan bli noe eksponert fra Flekkefjord og mot nordvest hvor det er utslipp av lus. Modellresultatene (ROC) bekrefter at de lave smittenivåene holder seg utover sesongen, og viser få områder med forhøyet smittepress. For ørreten vurderes derfor sannsynligheten for smitte av ett høyt antall lakselus som lav i store deler av området, med enkelte unntak nært oppdrettsanlegg. God kunnskap om alle underliggende påvirkningsfaktorer medfører at kunnskapsstyrken vurderes som sterk.

Negative effekter på sjøørret. Toleransen til sjøørret i produksjonsområdet anses som moderat, men både observasjoner og modellresultater viser at sannsynligheten for smitte av ett høyt antall lus på beitende sjøørret er liten. Det vurderes derfor at for området i sin helhet er det liten risiko knyttet til negative effekter på sjøørret i PO1. Kunnskapsstyrken knyttet til villfiskens toleranse vurderes som moderat, mens kunnskapsstyrken knyttet til alle andre påvirkningsfaktorer vurderes som sterk. Kunnskapsstyrken vurderes dermed totalt sett som sterk.

4.2.2 - Produksjonsområde 2 – Ryfylke

Figur
Figur 4.15. Visualisering av risikobilde for negative effekter på sjøørret som følge av utslipp av lakselus fra lakseoppdrett i produksjonsområde 2 (PO2) Ryfylke.

Utslipp av lakseluslarver fra fiskeoppdrett. Miljøforholdene er gunstige for lakselus, med moderat til høye temperaturer i perioden sjøørret beiter i fjordene. Det er oftest bare i indre deler av fjordene det er så lav saltholdighet at lakselus vil unnvike de øvre vannlag. Miljøforholdene vurderes derfor som gode for lakselusa i perioden med beitende sjøørret til stede.

Utslipp av lakselus fra anlegg har vært høye siden 2016. Utslippene forblir høye gjennom store deler av sjøørretens beiteperiode. Vi har derfor vurdert sannsynlighet for utslipp i PO2 som høyt for sjøørret.

Overlapp mellom fisk og lus i tid og rom. Sjøørret antas å vandre ut om våren omtrent på samme tid som laks, men sjøørreten oppholder seg i sjøen over en mye lengre periode utover sommeren. Det er oppdrettsanlegg i de fleste fjordene. PO2 er vurdert å ha høy sannsynlighet for overlapp i tid og rom mellom lus og ørret. Kunnskapsstyrken vurderes som sterk for sjøørret, hvor lange tidsserier med fangst av sjøørret i området bekrefter at ørret er eksponert for lus.

Villfisk smittet av lakselus. Anleggene slipper ut mye lakselus og det er i høy grad av overlapp mellom sjøørret og lus i tid og rom. Det er påvist påslag av lus på fisk fanget med ruse og garn, på laks i smoltbur og modellert fordeling av lakselus indikerer at smittepresset omfatter store deler av Boknafjorden. Områdene med lavere saltholdighet omfatter hovedsakelig de indre delene av fjordene også utover sommeren. For sjøørret indikerer observasjoner til dels høyt smittepress. Observasjonene viser at smittepresset øker fra lavt til høyt utover perioden undersøkt. Modellresultater viser at smittepresset holder seg høyt, og medfører at store deler av området blir uegnet som beiteområde for sjøørret ved både tidlig, normal og sen utvandring alle årene fra 2016. Sannsynligheten for at sjøørret smittes av lakselus i dette området vurderes derfor som høy. Kunnskapsstyrken for de underliggende faktorene anses som sterk og kunnskapsstyrken for om sjøørret er smittet av lus er derfor vurdert som sterk. Samsvar mellom observasjoner og modellresultater underbygger dette.

Negative effekter på sjøørret. Villfiskens toleranse vurderes som moderat, mens sannsynlighet for smitte vurderes som høy. Basert på en total vurdering av underliggende faktorer, vurderes risikoen knyttet til negative effekter for ville bestander av sjøørret som høy i PO2. Kunnskapsstyrken til om sjøørreten smittes vurderes som god, mens for villfiskens toleranse vurderes den som moderat. Grunnet usikkerhet i fiskens tålegrenser og atferdsrespons for lakselus, anser vi kunnskapsstyrken som moderat.

4.2.3 - Produksjonsområde 3 – Karmøy til Sotra

Figur
Figur 4.16. Visualisering av risikobilde for negative effekter på sjøørret som følge av utslipp av lakselus fra lakseoppdrett i produksjonsområde 3 (PO3) Karmøy til Sotra.

Utslipp av lakseluslarver fra fiskeoppdrett. Miljøforholdene er gunstige for lakselus, med moderat til høye temperaturer i beiteperioden til sjøørret. De indre delene av Hardangerfjorden har relativt lave saltholdigheter som vil gi noe beskyttelse for sjøørret som beiter der. Bjørnafjordsystemet er mindre influert av ferskvann, men de indre delene av enkelte fjorder har relativt lav saltholdighet. Miljøforholdene vurderes derfor som gode for lakselus i perioden med beitende sjøørret.

Utslipp av lakselus er høye under smoltutvandringen, og generelt øker utslippene utover i beiteperioden for sjøørret. Vi vurderer derfor utslippene av lakselus fra anleggene som høye for sjøørret.

Overlapp mellom fisk og lus i tid og rom. Vi antar at utvandringen av sjøørret er som for laks, men sjøørreten oppholder seg i sjøen over en mye lengre periode utover sommeren. Pulser med innadgående strømmer med transport av lakselus fra områdene med mye oppdrett i midtre og ytre deler øker risikoen for smitte langt innover fjorden. Vi vurderer at det er høy sannsynlighet for overlapp mellom beitende sjøørret og lakselus. Kunnskapsstyrken vurderes som sterk for sjøørret, grunnet god kunnskap om ørretens atferd i området.

Villfisk smittet av lakselus. Det er høye utslipp, og sjøørret er til stede samtidig med høye utslipp av lakselus fra anlegg. Observasjoner av lakselus på garn og rusefanget sjøørret viser høy sannsynlighet for smitte av lakselus. Utbredelsen av området med forhøyet smittepress fra modellert fordeling av lakselus viser at store områder har høye tettheter av lakselus som holder seg høyt utover sommeren. Modellresultater viser at store deler av området blir uegnet som beiteområde for sjøørret ved både tidlig, normal og sen utvandring alle årene fra 2014. Sannsynligheten for at sjøørret smittes av lakselus i dette området vurderes derfor som høy. Kunnskapsstyrken for de underliggende faktorene anses som sterk, kunnskapsstyrken for om ørret er smittet av lus er derfor vurdert som sterk. Samsvar mellom observasjoner og modellresultater underbygger dette.

Negative effekter på sjøørret. Toleransen til villfisken anses som moderat, mens smittepresset vurderes som høyt. Risiko for negative effekter på sjøørret anses derfor som høy for PO3. Grunnet usikkerhet i fiskens tålegrenser og atferdsrespons for lakselus, anser vi kunnskapsstyrken totalt sett som moderat.

4.2.4 - Produksjonsområde 4 – Nordhordland til Stadt

Figur
Figur 4.17. Visualisering av risikobilde for negative effekter på sjøørret som følge av utslipp av lakselus fra lakseoppdrett i produksjonsområde 4 (PO4) Nordhordland til Stadt.

Utslipp av lakseluslarver fra fiskeoppdrett. Miljøforholdene er gunstige for lakselus med moderat til høy temperatur i beiteperioden til sjøørret. Deler av området har brakkvannslag som vil skape områder uten lus inne i fjordene. Miljøforholdene vurderes derfor som gode for lakselusa i perioden med beitende sjøørret.

Utslipp av lakselus fra anlegg har vært høyt for produksjonsområdet i perioden 2016 – 2022. ROC indeksen øker til høyt i løpet av beiteperioden. Vi vurderer derfor utslippene av lakselus fra anleggene som høye for sjøørret.

Overlapp mellom fisk og lus i tid og rom. Vi antar at utvandringen av sjøørret er som for laks, men sjøørreten oppholder seg i sjøen over en mye lengre periode utover sommeren. Det er gjort studier av atferden til sjøørret fra flere elver i området, som viser at noen sjøørret fra de indre elvene beiter i ytre deler av fjordene. Samtidig kan det ved innadgående strømmer transporteres store mengder av lakselus langt innover i fjordene, også i de nasjonale laksefjordene. Sjøørret selv fra de indre elvene på beitevandring vil derfor trolig ha høy sannsynlighet for overlapp med lakselus. PO4 omfatter ett stort område, med varierende kunnskapsgrunnlag for tilstedeværelse av villfisk, men kunnskapsgrunnlaget anses samlet sett å være godt, og for området som helhet anses kunnskapsstyrken å være god.

Villfisk smittet av lakselus. For beitende sjøørret anses smitten som høy. Dette basert på at miljøforholdene er gunstige for lakselus, at utslippene er høye og at det er i stor grad overlapp mellom fisk og lus. Observasjoner av lus på ruse og garnfanget ørret viser høye verdier de siste årene. Modellresultatene viser at selv om det er stor variasjon innad i området, er smittepresset moderat til høyt i store deler av området. Modellresultater viser at en moderat andel av området blir uegnet som beiteområde ved tidlig utvandring, men at en stor del av området blir uegnet som beiteområde for sjøørret ved normal og sen utvandring de senere år. Selv i områder med modellert liten smitte observeres det tidvis mye lus på sjøørret, hvilket kan indikere at fisken har hatt beitevandring i områder lengre ute. Vurderingen støttes av lengre tidsserier med observasjoner av middels eller høyt påslag av lakselus på ruse- og garnfanget ørret, spesielt i midtre og ytre deler av fjordene fra Nordhordland til Nordfjord, samt lus på fisk i smoltbur. Kunnskapsstyrken for de underliggende faktorene anses som sterk, kunnskapsstyrken for om ørret er smittet av lus er derfor vurdert som sterk. Samsvar mellom observasjoner og modellresultater underbygger dette.

Negative effekter på sjøørret. Toleranse for sjøørret anses som moderat, men villfisk smittet av lakselus som høyt. Vi vurderer derfor at risikoen for negative effekter er høy for sjøørret i PO4. Grunnet usikkerhet i fiskens tålegrenser og atferdsrespons for lakselus, anser vi kunnskapsstyrken som moderat.

4.2.5 - Produksjonsområde 5 – Stadt til Hustadvika

Figur
Figur 4.18. Visualisering av risikobilde for negative effekter på sjøørret som følge av utslipp av lakselus fra lakseoppdrett i produksjonsområde 5 (PO5) Stadt til Hustadvika.

Utslipp av lakseluslarver fra fiskeoppdrett. Temperaturen er moderat i utvandringsperioden til postsmolt, og moderat til høy utover beiteperioden til sjøørret. Lavest saltholdighet ses innerst i de store fjordene, og de lave verdiene indikerer at beitende sjøørret kan være beskyttet mot lakselus i deler av området.

Utslipp av lakselus fra anlegg i området varierer mye fra år til år og svinger mellom lavt og høyt for ørret. Det er stor mellomårlig variasjon både i antall lus, og hvor disse er produsert, og det er usikkerhet knyttet til om noden skal være moderat eller høy. Da det oftest er observert høye utslipp de 10 siste årene, har vi vurdert sannsynligheten for utslipp av lakselus fra anleggene som høye for sjøørret, og vi har derfor også vurdert kunnskapsgrunnlaget som moderat.

Overlapp mellom fisk og lus i tid og rom. Vi antar at utvandringen av sjøørret er som for laks, men sjøørreten oppholder seg i sjøen over en mye lengre periode utover sommeren. Strømmene vil tidvis kunne transportere lus langt innover i fjordene. Vi anser miljøforholdene som gode for lakselus. Modellen viser høyt og økende smittepress utover sommeren etter observasjonsperioden. Området vurderes derfor å ha høy sannsynlighet for at beitende sjøørret overlapper i tid og rom med tilstedeværelse av lakselus. Selv med stor mellomårlig variasjon, vurderer vi kunnskapsstyrken som sterk for sjøørret.

Villfisk smittet av lakselus. Utslippene av lakselus er høye og det er stort overlapp mellom villfisk og tilstedeværelse av lakselus. Beitende sjøørret eksponeres for økende smittepress utover sommeren, noe som bekreftes av både modellresultat og observasjoner. Observert lusenivå på ørret fanget med garn og ruse indikerer høyt smittepress på sjøørret utover beiteperioden. Sjøørret lengst inne i fjordene påvirkes i varierende grad. Modellresultat indikerer at det høye lusenivået funnet i observasjonene er gjeldene for større område. Også i områder hvor det var observert lavt lusepress viser modellen at påvirkningen fra lakselus øker til moderate og høye nivå utover sommeren. Størrelsen av området med mye lus gjør at vi anser smittepresset for sjøørret som høyt i området. Kunnskapsstyrken vurderes som sterk basert på de underliggende faktorene. Videre støttes vurderingen av godt samsvar mellom observasjoner og modellresultater.

Negative effekter på sjøørret. Toleransen for sjøørret anses som moderat og det anses at smittepresset fra lakselus på ørret er høyt. For sjøørret anses derfor risikoen for negative effekter som høy i PO5. Høy risiko over mange år, og godt samsvar mellom modellresultat og observert lus på sjøørret i begge fjordsystemene trekker kunnskapsgrunnlaget opp, men grunnet usikkerhet i fiskens tålegrenser og atferdsrespons for lakselus, anser vi kunnskapsstyrken som moderat.

4.2.6 - Produksjonsområde 6 – Nordmøre og Sør-Trøndelag

Figur
Figur 4.19. Visualisering av risikobilde for negative effekter på sjøørret som følge av utslipp av lakselus fra lakseoppdrett i produksjonsområde 6 (PO 6) Nordmøre og Sør-Trøndelag.

Utslipp av lakseluslarver fra fiskeoppdrett. Temperaturen er moderat i utvandringsperioden, og moderat til høy i beiteperioden til sjøørret. Med unntak av indre deler av fjorder, har området i liten grad brakkvannslag som vil skape område uten lus. Miljøforholdene vurderes som gunstig for smitte på ørret.

Utslipp av lakselus fra anlegg øker utover sommeren, men med stor variabilitet innad i området og mellom år i produksjonen av lakselus. Trondheimsfjorden er en nasjonal laksefjord uten oppdrett, og det er lite transport av lus innover i fjorden, mens området ellers i liten grad er beskyttet, selv om det er noen små nasjonale laksefjorder på Nordmøre. Samlet er det vurdert å være høye utslipp for sjøørret.

Overlapp mellom fisk og lus i tid og rom. Vi antar at utvandringen av sjøørret er som for laks, men sjøørreten oppholder seg i sjøen over en mye lengre periode utover sommeren. Det antas at sjøørret er til stede i store deler av produksjonsområdet. Selv om det er lite lus inne i Trondheimsfjorden og sjøørret i dette området i liten grad vil overlappe med lakselus, viser modell at en betydelig andel av produksjonsområdet vil være påvirket. For området som helhet vurderes overlapp mellom fisk og lus til å være moderat da Trondheimsfjorden utgjør en vesentlig del av området. PO6 omfatter ett stort område, med varierende kunnskapsgrunnlag for tilstedeværelse av villfisk, spesielt i de sørlige delene, og for området som helhet anses kunnskapsstyrken å være moderat.

Villfisk smittet av lakselus. Utslippene av lakselus er høye og det er moderat overlapp mellom villfisk og tilstedeværelse av lakselus. Modell indikerer at inne i Trondheimsfjorden er smittepresset lavt, og tilsvarende innerst i de nasjonale laksefjordene på Nordmøre, mens kysten ofte har moderate til høye tettheter av lakselus utover sommeren, selv om dette svinger mellom år. Modell indikerer at redusert marint leveområde (RML) for fisk som vandrer ut tidlig er moderat, fisk som vandrer ut normalt er oftest moderat, mens for fisk som vandrer ut sent er RML oftest høy. Observasjoner av smitte på garn og rusefanget sjøørret viser moderat, oftest høy smitte på sjøørret på stasjonene utenfor Trondheimsfjorden, men de sørlige delene av PO6 er ikke undersøkt, og de senere år heller ikke inne i Trondheimsfjorden.

For området som helhet vurderes derfor sannsynlighet for smitte på sjøørret som moderat, på grensen til høy. Kunnskapsstyrken for de underliggende faktorene ansees som moderat eller god. Kunnskapsstyrken knyttet til smitte på ørret er vurdert å være moderat, grunnet mangel av observasjoner i områder sør for Agdenes.

Negative effekter på sjøørret. Toleransen for sjøørret og smittepresset anses som moderat. Utslippene av lakselus øker normalt utover beiteperioden. Risiko for negative effekter vurderes derfor totalt sett som moderat i PO6. Grunnet usikkerhet i fiskens tålegrenser og atferdsrespons for lakselus, samt mangel på observasjoner sør for Agdenes, gjør at vi vurderer kunnskapsstyrken som moderat.

4.2.7 - Produksjonsområde 7 – Nord-Trøndelag med Bindal

Figur
Figur 4.20. Visualisering av risikobilde for negative effekter på sjøørret som følge av utslipp av lakselus fra lakseoppdrett i produksjonsområde 7 (PO 7) Nord-Trøndelag.

Utslipp av lakseluslarver fra fiskeoppdrett. Temperaturen er moderat til høy i beiteperioden til sjøørret. Med unntak av Namsfjorden og Innerfolda har området i liten grad brakkvannslag som vil skape område uten lus. Miljøforholdene vurderes som gunstig for smitte på sjøørret.

Utslipp av lakselus fra anlegg er samlet sett vurdert som høyt for produksjonsområdet under beiteperioden for sjøørret. Utslippene øker utover i beiteperioden.

Overlapp mellom fisk og lus i tid og rom. Vi antar at utvandringen av sjøørret er som for laks, men sjøørreten oppholder seg i sjøen over en mye lengre periode utover sommeren. Den modellerte fordelingen av lakselus viser at store områder påvirkes av lus. Strømmene vil kunne transportere lus ett stykke innover i de store fjordsystemene. Samtidig viser garn og rusefangst at det er sjøørret til stede i områdene med lus. Vi vurderer derfor at sannsynligheten for overlapp mellom sjøørret og lakselus er høy, og kunnskapsstyrken å være sterk.

Villfisk smittet av lakselus. Utslippene av lakselus når høye nivå utover sommeren, og det er stort overlapp mellom villfisk og tilstedeværelse av lakselus. Sannsynligheten for at sjøørret smittes av lakselus vurderes derfor som høy. Dette støttes av resultat fra modell og observasjoner av lakselus på sjøørret utenfor Namsfjorden og Vikna som ofte har høyt smittepress. Modellen viser at utslippene forblir høye også videre i beiteperioden etter at observasjonene er tatt. Andelen av beiteområdet er moderat påvirket ved tidlig utvandring, men høyt ved normal utvandring. Det er mindre lus inne i Namsfjorden, men dette utgjør ett begrenset område. Basert på at kunnskapen om de underliggende faktorene er god, anser vi også kunnskapsstyrken som god, dette støttes av godt samsvar mellom modell og observasjoner.

Negative effekter på sjøørret. Toleransen til sjøørret ansees som moderat, men smittepresset er vurdert som høyt. Modellresultat viser forhøyet lusepress over et større område, noe som er bekreftet av observert lusenivå på garn og rusefanget villfisk. Samlet sett vurderes derfor risikoen for negative effekter som høy. Selv om kunnskapstyrken for om villfisken smittes av lakselus vurderes som sterk, gjør usikkerhet i fiskens tålegrenser og atferdsrespons for lakselus at vi vurderer kunnskapsstyrken som moderat.

4.2.8 - Produksjonsområde 8 – Helgeland til Bodø

Figur
Figur 4.21. Visualisering av risikobilde for negative effekter på sjøørret og sjørøye som følge av utslipp av lakselus fra lakseoppdrett i produksjonsområde 8 (PO 8) Helgeland til Bodø.

Utslipp av lakseluslarver fra fiskeoppdrett. Temperaturen er moderat til høy i beiteperioden til sjøørret og sjørøye. Området har noen fjorder med tilstedeværelse av brakkvann som vil gi beskyttelse mot lus. Samlet sett vurderes miljøforholdene å være gunstig for lakselus med tanke på smitte på sjøørret og sjørøye.

Utslipp av lakselus fra anlegg viser økende utslipp fra mai til juli. Utslippene varierer innad i produksjonsområdet, med enkelte områder med større oppdrettsaktivitet og utslipp. Vi forventer økt antall fisk i området fremover. Gitt en forventet likt antall fisk i området som i 2022, og eventuelt en økning, med dertil økende utslipp, har vi valgt å sette denne noden som moderat for sjøørret og sjørøye, selv om de fleste av de tidligere årene indikere lave utslipp.

Overlapp mellom fisk og lus i tid og rom. Vi antar at utvandringen av sjøørret er som for laks, men sjøørreten oppholder seg i sjøen over en mye lengre periode utover sommeren. Sjøørret er til stede utover sommeren sammenfallende med økende utslipp, som vi også ser i observasjonene fra ruse og garnfangst. Modellert smittepress viser økende smittepress til moderat nivå utover beiteperioden siste året. Området som helhet anses å derfor ha moderat sannsynlighet for overlapp mellom lakselus for både sjøørret og sjørøye. Kunnskapsstyrken vurderes som sterk.

Villfisk smittet av lakselus. Grunnet moderate utslipp og moderat overlapp i tid og rom mellom villfisk og lakselus, anser vi at sannsynligheten for at sjøørret og sjørøye smittes med lakselus som moderat. Dette er ett stort område med stor variasjon innad i området. Det observeres stor variasjon i antall lus på sjøørret og sjørøye fanget med ruse og garn. Utslippene som er vurdert som moderate er i stor grad gjort for å synliggjøre at siste året, med mest fisk i området, endret RML kategori. Dette kan medføre at med like mye eller mer fisk i området vil sannsynligheten for smitte på villfisk øke til moderat. Modellresultatene viser at områdene med forhøyet smittepress er lokale, men når moderat utbredelse utover beiteperioden. Basert på at kunnskapen om de underliggende faktorene er sterk, anser vi kunnskapsstyrken som sterk.

Negative effekter på sjøørret. Toleransen til villfisk og sannsynlighet for smitte er vurdert som moderat for sjøørret og sjørøye. Vi vurderer derfor at risiko for negative effekter er moderat i PO8. Usikkerhet i fiskens tålegrenser og atferdsrespons for lakselus gjør at vi vurderer kunnskapsstyrken som moderat.

4.2.9 - Produksjonsområde 9 – Vestfjorden og Vesterålen

Figur
Figur 4.22. Visualisering av risikobilde for negative effekter på sjøørret som følge av utslipp av lakselus fra lakseoppdrett i produksjonsområde 9 (PO9) Vestfjorden og Vesterålen.

Utslipp av lakseluslarver fra fiskeoppdrett. Temperaturen er moderat, enkelte år høy, i beiteperioden til sjøørret og sjørøye. Området har i liten grad brakkvannslag som vil skape område uten lus. Samlet sett vurderes miljøforholdene å være moderat gunstig for lakselus med tanke på smitte på sjøørret og sjørøye.

Utslipp av lakselus fra anlegg øker utover beiteperioden, og modellen viser at det er noe forhøyet lusetetthet i lokale områder. Det vurderes derfor at utslippene samlet sett er lave under sjøørret og sjørøyas beiteperiode.

Overlapp mellom fisk og lus i tid og rom. Vi antar at utvandringen av sjøørret er som for laks, men sjøørreten oppholder seg i sjøen over en mye lengre periode utover sommeren. Selv om det er en økning i utslipp i enkelte områder utover beiteperioden, utgjør disse ett relativt lite område. Vi har derfor vurdert at for sjøørret og sjørøye er det lav sannsynlighet for overlapp mellom fisk og lakselus. Kunnskapsstyrken vurderes som sterk for sjøørret og røye, grunnet god kunnskap om artenes atferd.

Villfisk smittet av lakselus. For sjøørret og sjørøye er vurderes utslippene som lave, og for sjøørret og sjørøye er det lite overlapp mellom fisk og lus i tid og rom. Observasjonene av lakselus på sjøørret/røye er moderat eller høyt utover beiteperioden, men modellresultater viser at utbredelsen av områdene med forhøyet smittepress er begrenset i omfang. Dette gjør at vi vurderer at sannsynligheten for smitte er liten. Basert på at det er sterk kunnskapsstyrke for de underliggende faktorene, anses kunnskapsstyrken som sterk.

Negative effekter på sjøørret og sjørøye. Toleransen for sjøørret og sjørøye anses moderat, mens smitten vurderes som liten. Observasjonene av lus på sjøørret og sjørøye viser enkelte områder med høyt smittepress, men smittepressmodellen antyder at dette ikke er representativt for større deler av området. Vi vurderer derfor at risiko for negative effekter på sjøørret og sjørøye er liten. Det er moderat usikkerhet knyttet til fiskens tålegrenser og atferdsrespons for lakselus, mens kunnskapsstyrken til villfisk smittet er vurdert som sterk. På grunn av de lave utslippene som gjør at toleransen får mindre betydning, vurderes kunnskapsstyrken totalt sett som sterk.

4.2.10 - Produksjonsområde 10 – Andøya til Senja

Figur
Figur 4.23. Visualisering av risikobilde for negative effekter på sjøørret som følge av utslipp av lakselus fra lakseoppdrett i produksjonsområde 10 (PO10) Andøya til Senja.

Utslipp av lakseluslarver fra fiskeoppdrett. Temperaturene i området anses moderate for lakselus i beiteperioden for sjøørret/sjørøye. Området har, foruten Malangen, i liten grad brakkvannslag som vil skape områder uten lus. Samlet sett vurderes miljøforholdene å være moderat gunstig for lakselus.

Utslipp av lakselus fra anlegg har vist en økning de siste årene. Utslippene øker fra lavt til moderat i beiteperioden, og vi har derfor vurdert utslippene totalt sett som moderate.

Overlapp mellom fisk og lus i tid og rom. Vi antar at utvandringen av sjøørret er som for laks, men sjøørreten oppholder seg i sjøen over en mye lengre periode utover sommeren. Sjøørret og sjørøye vil i moderat grad være til stede samtidig med utslippene av lakselus. Det vurderes at det totalt sett er moderat sannsynlighet for overlapp mellom sjøørret og sjørøye og lus i beiteperioden. Kunnskapsstyrken vurderes som sterk for sjøørret og røye grunnet gode observasjoner fra ruse og garnfangst, samt overenstemmelse mellom observasjoner og modell.

Villfisk smittet av lakselus. Utslippene av lakselus og sannsynlighet for overlapp i tid og rom er vurdert som moderate. Det vil være enkelte områder med lavere sannsynlighet for smitte, som i Malangen da dette er nasjonal laksefjord. Observasjonene av lus på ruse og garnfangst av sjøørret og sjørøye viser liten smitte i Malangen, men moderat til høy smitte i de øvrige områdene. Modellen viser at påvirkningen øker utover i perioden etter observasjonene er gjennomført, men at areal med høy påvirkning har begrenset utstrekning. Basert på de underliggende faktorer gjør at vi vurderer sannsynligheten for lakselussmitte på sjørøye og ørret som moderat. Kunnskapsstyrken vurderes som sterk basert på de underliggende faktorene.

Negative effekter på sjøørret og sjørøye. Toleransen til sjøørret og sjørøye anses som moderat og smitte av lakselus anses som moderat. Risikoen for negative effekter vurderes å være moderat. Kunnskapen til de underliggende faktorene vurderes som moderat, og sammen med usikkerhet i fiskens tålegrenser og atferdsrespons på lus, vurderer vi kunnskapsstyrken som moderat.

4.2.11 - Produksjonsområde 11 – Kvaløya til Loppa

Figur
Figur 4.24. Visualisering av risikobilde for negative effekter på sjøørret som følge av utslipp av lakselus fra lakseoppdrett i produksjonsområde 11 (PO11) Kvaløya til Loppa.

Utslipp av lakseluslarver fra fiskeoppdrett. Temperaturene i området anses moderate for lakselus i beiteperioden for sjøørret/sjørøye. Områdene har i liten grad brakkvannslag som vil skape områder uten lakselus. Samlet sett vurderes miljøforholdene å være moderat gunstig for lakselus for smitte på sjøørret og sjørøye.

Utslipp av lakselus fra anlegg er lavt, men med en liten økning utover sommeren. Modellert fordeling av lakselus viser forhøyet tetthet i små og begrensede områder. Vi har derfor vurdert utslippene totalt sett som lave.

Overlapp mellom fisk og lus i tid og rom. Vi antar at utvandringen av sjøørret er som for laks, men sjøørreten oppholder seg i sjøen over en mye lengre periode utover sommeren. I området er det både sjøørret og sjørøye, men det vurderes å være lav sannsynlighet for overlapp mellom tilstedeværelse av villfisk og lakselus. Utvandring, varigheten av sjøoppholdet for sjøørret og sjørøye er godt kartlagt i dette området og sjøoppholdet for sjøørret og sjørøye er relativt kort. Kunnskapsstyrken vurderes som sterk.

Villfisk smittet av lakselus. Miljøforholdene er moderate for lakselus, mens utslippene er lave og det er liten grad av overlapp mellom sjøørret og sjørøye og lakselus. For enkelte områder er det tidvis observert økt smittepress for beitende sjøørret og sjørøye, men modeller viser at dette utgjør en liten del av området. For området som helhet anses det derfor å være liten sannsynlighet for smitte av lakselus. Kunnskapsstyrken anses derfor som sterk.

Negative effekter på sjøørret og sjørøye. Toleransen til sjøørret og sjørøye vurderes som moderat, mens sannsynligheten for at villfisken smittes av lakselus vurderes som lav. For sjøørret og sjørøye vurderes det å være liten risiko for negative effekter. På grunn av de lave utslippene som gjør at toleransen får mindre betydning, vurderes kunnskapsstyrken totalt sett som sterk.

4.2.12 - Produksjonsområde 12 – Vest-Finnmark

Figur
Figur 4.25. Visualisering av risikobilde for negative effekter på sjøørret som følge av utslipp av lakselus fra lakseoppdrett i produksjonsområde 12 (PO12) Vest-Finnmark.

Utslipp av lakseluslarver fra fiskeoppdrett. Temperaturene i området anses moderate for lakselus i beiteperioden for sjøørret/sjørøye. Områdene har i liten grad brakkvannslag som skaper områder uten lus. Samlet sett vurderes miljøforholdene å være moderat gunstig for lakselus for både sjøørret og sjørøye.

Utslipp av lakselus fra anlegg er lavt, men med en liten økning utover sommeren, og tidsperioden 2012-2022. Dette kan skyldes økt produksjon av oppdrettsfisk i området. Modellert fordeling av lakselus viser forhøyet tetthet i små og begrensede områder.

Overlapp mellom fisk og lus i tid og rom. Vi antar at utvandringen av sjøørret er som for laks, men sjøørreten oppholder seg i sjøen over en mye lengre periode utover sommeren.

I området er det både sjøørret og sjørøye. Grunnet kombinasjonen kort oppholdstid i sjø spesielt for sjørøye og relativt lave temperaturer vurderer vi at lakselus i liten grad vil utvikles til mobile stadier før sjørøyen vandrer tilbake til elven. I Altafjorden er det noe overlapp mellom utslipp av lakselus og beiteperioden til sjøørret og sjørøye, mens i øvrige deler av området viser modellen lav tetthet av lakselus i store deler av området. Totalt sett vurderes sannsynligheten for overlapp som lav. Varighet på sjøopphold for sjøørret og sjørøye er godt kartlagt i dette området og kunnskapsstyrken vurderes som sterk.

Villfisk smittet av lakselus. Miljøforholdene er moderate for lakselus, mens utslippene er lave og det er i liten grad overlapp mellom sjøørret og sjørøye og lakselus. For sjøørret og sjørøye er det gode tidsserier i Altafjorden som indikerer mye smitte i enkelte områder, men lite i andre. Basert på den geografiske utstrekningen på de områdene som er høyt påvirket fra modell, har vi vurdert området som helhet med liten smitte. Kunnskapen knyttet til de underliggende faktorene vurderes som god, og kunnskapsstyrken vurderes derfor som sterk.

Negative effekter på sjøørret og sjørøye. Toleransen til sjøørret og sjørøye vurderes som moderat, mens sannsynligheten for at villfisken smittes av lakselus vurderes som liten. Det vurderes derfor at for området som helhet er det liten risiko for negative effekter på sjøørret og sjørøye. På grunn av de lave utslippene som gjør at toleransen får mindre betydning, vurderes kunnskapsstyrken totalt sett som sterk.

4.2.13 - Produksjonsområde 13 – Øst-Finnmark

Figur
Figur 4.26. Visualisering av risikobilde for negative effekter på sjøørret som følge av utslipp av lakselus fra lakseoppdrett i produksjonsområde 13 (PO13) Øst-Finnmark.

Utslipp av lakseluslarver fra fiskeoppdrett. Temperaturene i området anses moderate for lakselus i beiteperioden for sjøørret/sjørøye. Områdene har i liten grad brakkvannslag som skaper områder uten lus. Samlet sett vurderes miljøforholdene å være moderat gunstig for lakselus.

Utslipp av lakselus fra anlegg er lave. Modeller viser ikke områder med økt tetthet av lakselus.

Overlapp mellom fisk og lus i tid og rom. Vi antar at utvandringen av sjøørret er som for laks, men sjøørreten oppholder seg i sjøen over en mye lengre periode utover sommeren.

I området er det både sjøørret og sjørøye, men lite overlapp mellom tilstedeværelse av villfisk og lakselus. Sjøoppholdet for sjøørret og sjørøye er relativt kort i PO13. Grunnet kombinasjonen kort oppholdstid i sjø og relativt lave temperaturer vurderer vi at lakselus i liten grad vil utvikles til voksne stadier før sjørøyen vandrer tilbake til elven. Det vurderes derfor at det er lav sannsynlighet for overlapp mellom villfisk og lakselus. Kunnskapsstyrken vurderes som sterk.

Villfisk smittet av lakselus. Miljøforholdene er moderate for lakselus, mens utslippene er lave og det er i liten grad overlapp mellom vill fisk og lus. For enkelte områder er det tidvis observert moderat økt smittepress for beitende sjøørret og sjørøye utover sommeren. Modellresultatene indikerer ingen områder med forhøyet smittepress. Vi har derfor vurdert at det er liten sannsynlighet for at vill fisk smitte smed lakselus. Kunnskapen knyttet til de underliggende faktorene vurderes som sterk og kunnskapsstyrken anses derfor som sterk.

Negative effekter på sjøørret. Toleransen til sjøørret og sjørøye vurderes som moderat, mens sannsynligheten for at villfisken smittes av lakselus vurderes som lav. For sjøørret og sjørøye vurderes det derfor at det er liten risiko for negative effekter. På grunn av de lave utslippene som gjør at toleransen får mindre betydning, vurderes kunnskapsstyrken totalt sett som sterk.

5 - Konklusjoner

5.1 - Konklusjon laks

I dette kapitlet har vi drøftet hvordan samspillet mellom faktorene utslipp av lakselus og overlapp mellom fisk og lus i tid og rom påvirker sannsynligheten for at laksesmolten vil smittes av lakselus. Sammen med toleransen laksesmolten har for lakselussmitte anser vi disse faktorene som avgjørende for dødeligheten av utvandrende laksesmolt. I årets rapport vurderes kun risiko for økt dødelighet hos utvandrende vill laksesmolt knyttet til infestasjon av lakselus, ikke hvilken risiko dødeligheten utgjør for de ville bestandene.

Basert på en gjennomgang av data fra perioden 2016 - 2022 av faktorene som påvirker risiko for smitte og påfølgende økt risiko for dødelighet hos utvandrende laksesmolt, viser analysen at det i PO1, PO8, PO9, og PO11-PO13 er liten risiko knyttet til dødelighet hos utvandrende postsmolt laks som følge av utslipp av lakselus fra fiskeoppdrett. I PO2, PO5-PO7 og PO10 vurderes risikoen som moderat, mens i PO3 og PO4 vurderes det å være høy risiko for dødelighet som følge av utslipp av lakselus fra fiskeoppdrett.

Kunnskapsstyrken ansees å være best der en har gode observasjoner som sammenfaller med estimater fra modeller, og dårligere i området der observasjonene enten mangler, ikke er dekkende, eller der det ikke er samsvar mellom observasjoner og modeller. Kunnskapsstyrken er generelt vurdert som god i PO 1, 3, 4, 9 og 11-13, moderat i PO 2, og svak i PO 5-8 og 10.

I oppdrettsintensive områder ser en ofte en kraftig økning i utslipp av lakselus kort tid etter perioden for nedsatt lusegrense. Dette skyldes både driftsform, avlusingsstrategier, og ikke minst at temperaturen i sjøen øker utover våren og begynnelsen av sommeren. Sannsynligheten for at utvandrende postsmolt av laks smittes av lakselus er sterkt påvirket av totale utslipp, men også tidspunkt for utslippene i forhold til når laksen vandrer. Disse forholdene er ugunstige for laksen spesielt fra Rogaland (PO2) og opp til Trøndelag (PO6). Dette er relativt oppdrettsintensive områder, temperaturen øker under utvandringsperioden, og postsmolten vandrer ut i et tidsrom som gjør at det kan være overlapp i tid og rom med utslipp av lakselus. I tillegg vil de lange fjordene kunne gi stort utslag på smittepresset for den utvandrende laksesmolten. Fisken fra de indre elvene bruker lengre tid på utvandringen og vil derfor være eksponert for lakselus i en lengre periode, og også senere i sesongen enn fisk med kortere utvandringsruter. Fisk fra de indre fjordene vil derfor ofte oppleve større smittepress. Eksponeringen av laksesmolt fra de indre elvene vil også kunne øke hvis det er episoder med sterk strøm innover i fjordene som kan medføre at det er lus i store deler av smoltens utvandringsrute.

5.2 - Konklusjon sjøørret og sjørøye

Som for laks har vi i dette kapitlet drøftet hvordan samspillet mellom faktorene utslipp av lakselus og overlapp mellom fisk og lus i tid og rom påvirker sannsynligheten for at beitende sjøørret og sjørøye vil smittes av lakselus. Effekten av smitte er ikke bare dødelighet, men også at fisken avbryter beiteperioden tidligere enn normalt, med de negative effektene dette har på vekst, energilagre og reproduksjon. Sammen med toleransen fisken har for lakselussmitte anser vi disse faktorene som avgjørende for negative effekter av lakselus på sjøørret og sjørøye.

Sjøørret og sjørøye vandrer ut fra elvene om våren, for så å beite i fjordene og langs kysten til sensommeren, da storparten av fisken vandrer tilbake til elvene. I oppdrettsintensive områder er smittepresset på sjøørret betydelig, ikke minst siden smittepresset ofte øker i perioden etter smoltutvandringen av de samme årsakene som nevnt for utvandrende laks; driftsform, avlusingsstrategier samt at temperaturen i sjøen øker utover sommeren. Det økte smittepresset av lakselus vil medføre at naturlige beiteområder blir uegnet for sjøørret og sjørøye. Undersøkelser har vist at sterkt infisert ørret oppsøker ferskvann, og at i områder med stort smittepress holder sjøørret seg nærmere elvemunningene. Områder med lav saltholdighet vil derfor være gunstig for beitende sjøørret og sjørøye, samt at i enkelte områder er det store nasjonale laksefjorder uten oppdrett hvor smittepresset forblir relativt lavt også utover sommeren, mens andre mindre nasjonale laksefjorder bare har en forsinkende effekt. Andelen av ett produksjonsområdes areal som er negativt påvirket er derfor vurdert.

For sjøørret og sjørøye er risikobildet annerledes enn for laks. I PO1, PO9 og PO11-13 er det vurdert at det er liten risiko for negative effekter av lakselus, i PO6, PO8 og PO10 moderat mens det i PO2-PO5 og PO7 vurderes å være høy risiko for negative effekter på sjøørret som følge av utslipp av lakselus fra fiskeoppdrett.

Kunnskapsstyrken er basert på tilgjengelige data fra ruse og garnfangst av sjøørret og sjørøye, som er sammenholdt med beregnet utslipp av lakselus og fordelingen av disse i tid og rom. Havforskningsinstituttets biofysiske lusemodell er brukt for å estimere tapt marint leveområde og redusert beiteperiode. Der det uansett er lave utslipp vil risikoen for at fisk smittes med lus være lav, og kunnskapsstyrken vil derfor anses som sterk selv om ruse- og garnfangst er begrenset. I det sørligste (PO1) og de tre nordligste områdene (PO11-PO13) er utslippene lave. I tillegg er temperaturen i sjøen i de nordligste områdene så lav utover sommeren at utviklingen av lakselus på fisk tar lengre tid enn i sørlige områder, som i kombinasjon med en relativt kort naturlig beiteperiode i nord- indikerer at de negative effektene uansett ville vært mindre. Vi har derfor vurdert at kunnskapsstyrken i PO1, PO9 og PO11-PO13 er god. I alle de øvrige områdene (PO2-PO8 og PO10) anses kunnskapsstyrken å være moderat, hovedsakelig grunnet usikkerhet i fiskens tålegrenser og atferdsrespons for lakselus.

 

6 - Kunnskapsgrunnlaget

6.1 - Innledning

Oppdrett i åpne merder gjør at smittestoffer fra fisk i oppdrettsanleggene driver ut i miljøet. Lakselus som slippes fra hunnlus som sitter på oppdrettsfisk antas, i oppdrettsintensive områder, å være den største kilden til nye infestasjoner av lakselus på både oppdrettet og vill laksefisk (Fjørtoft mfl. 2019; Dempster mfl. 2021). Smitte med lakselus er vist å ha negative effekter på vertsfisken, som igjen kan medføre en populasjonseffekt. Tålegrenser for individer og effekten på populasjonsnivå er basert på best tilgjengelig kunnskap fra laboratorie- og feltundersøkelser.

Hvor mange lus vill laksefisk er smittet med (nivå av infestasjon) vurderes basert på overvåking av lakselus på vill laksefisk, samt på estimert påvirkning av lakselus fra koblede fysisk-biologiske modeller. Effekten lakselus har på ville bestander av laksefisk estimeres basert på antatte tålegrenser for dødelighet for individer. Derfra estimeres effekt på populasjoner.

6.1.1 - Lakselus og miljø

Lakselus deponerer sine egg i strenger som hunnlusen bærer frem til klekking av nauplius I larver. Larver transporteres passivt med de omkringliggende vannmassene mens de utvikles til nauplius II stadiet og videre til kopepodittstadiet hvor de kan feste seg til en vertsfisk og begynne å spise. Utvikling av lakselus er sterkt avhengig av temperatur, og går raskere i varmt vann enn i kaldere vann. Lakseluslarver er små (mindre enn 1 mm) og er ikke i stand til å svømme imot strømmen, men de kan bevege seg vertikalt i vannsøylen ved å hoppe oppover eller la seg synke. Ved mye elveavrenning som gir lavt saltinnhold i overflatelaget i fjorden plasserer lusene seg dypere i vannsøylen (Heuch 1995; Crosbie mfl. 2019). Ettersom utvandrende laks fortrinnsvis svømmer i de øverste 2 meterne av vannsøylen vil det i områder med lav saltholdighet være begrenset kontakt mellom lakselus og vertsfisk

Spredningen av lus fra et oppdrettsanlegg vil være høyst variabel siden transporten av det omkringliggende vannet kan endres over kort tid og over små avstander. Bevegelsen til vannet er blant annet avhengig av vindforhold, tidevann og elveavrenning. I fjorder observerer man i tillegg episoder med kraftig strøm inn og ut av fjorden. Disse episodene oppstår irregulært en til to ganger i måneden, og er generert av tetthetsforskjell mellom vannet i fjorden og vannet på kysten som følge av vind langs kysten (Asplin mfl. 1999, 2014). Som følge av det dynamiske miljøet langs kysten kan lakselusene flyttes flere 10-talls kilometer fra utslippspunktet før den eventuelt finner seg en vertsfisk. En detaljert beskrivelse av de fysiske oseanografiske forhold langs den norske kysten kan finnes i Sætre (2007) og (Albretsen & Asplin 2017a, 2017b). Beskrivelsene av de fysiske forholdene (vannstrømmene, vanntemperatur og saltholdighet, hver time langs hele kysten) i denne rapporten er basert på resultat fra den hydrodynamiske modellen, NorKyst800 (Albretsen mfl. 2011; Asplin mfl. 2020) og publiseres årlig i faste rapporter (i forbindelse med trafikklysvurderingen) fra Havforskningsinstituttet (Albretsen mfl. 2022).

Alle oppdrettsanlegg for laksefisk i Norge rapporterer ukentlig gjennomsnittlig antall lakselus per fisk når temperaturen er over 4°C. Produksjon av lakseluslarver fra alle anlegg blir deretter beregnet basert på innrapporterte antall voksne hunnlus per fisk, antall fisk på lokaliteten og vanntemperaturen på 3 m dyp (Stien mfl. 2005). Lusetellinger og temperatur hentes fra Mattilsynet gjennom Altinn-portalen (ukentlige data), mens data for antall fisk hentes fra Fiskeridirektoratet (månedlige data). Det generelle mønstret i utslippene følger et relativt stabilt årlig mønster knyttet til sesongmessige avlusningsregimer, produksjon og vanntemperatur (Figur 6.1 viser eksempler på dette). Som følge av dette øker vanligvis utslippene av klekte nauplier fra slutten av mai, tidligst i sør grunnet raskere temperaturøkning om våren, frem mot en maksimal egg- og larveproduksjon fra august til oktober avhengig av landsdel.

Figur
Figur 6.1. Utslipp av lakseluslarver per time 2021-2022 for PO2-PO5. Grønne vertikale områder indikerer tid for smoltutvandringen for laks, mens blå områder indikerer beiteperioden i sjø for sjøørret.

 

I denne rapporten har vi for hvert produksjonsområde hentet overflate-temperatur (0,5 m) og saltholdighet fra en hydrodynamisk modell (NorKyst800) for å vurdere hvor gunstig miljøet er for lakselus. For denne vurderingen er saltholdighet nær overflaten beregnet som månedlige gjennomsnitt for de samme årene, og snittet for de fire månedene mai-august er vist under hvert produksjonsområde. I 2022 ble den hydrodynamiske modellen oppdatert. Dette medfører små endringer i vurderingen av de fysiske forholdene, men medfører også endringer for den estimerte konsentrasjonen av smittsomme lakseluslarver, og den predikerte påvirkningen på villfisk (ROC og VPS). Resultater for gammel og ny modell er illustrert for VPS for år med modellresultat fra både gammel og ny versjon. Flere detaljer kan finnes i appendiks III til Trafikklysrapporten (trafikklyssystemet.no).

Vi har i tillegg beregnet temperaturen under smoltutvandringen (Figur 6.2) for alle 13 produksjonsområdene, også basert på modelldata fra NorKyst800. Merk at i den koblede fysisk-biologiske modellen for å estimere smittepress er både temperatur og lakselusens unnvikelse av vann med lavere saltholdighet inkludert. Informasjonen om de fysiske forholdene i produksjonsområdene er tatt med for å gjøre det lettere å forstå risikovurderingen.

Figur
Figur 6.2. Temperatur under smoltutvandringen. Fordelingen av middeltemperatur (2012-2022) for arealet innenfor grunnlinjen i hvert produksjonsområde på ca. 0,5m dyp for tidspunkter rundt midtpunkt for smoltutvandringsdatoen ( ± 14 dager). Denne datoen er vist på hver linje under median temperatur. Tykk svart strek angir spennet mellom kvartilene (25% og 75%), mens tynn strek angir minimums- og maksimumsverdier. Vertikalaksen angir produksjonsområdene fra sør (1) til nord (13).

 

6.1.2 - Effekt av lakselus på individ og populasjon

Lakselus lever av vertens slim, hud og blod, og påfører vertsfisken økte nivåer av stresshormonet kortisol, problemer med å opprettholde vann- og saltbalansen og svekker den immunologiske kapasiteten hos vertsfisken (Torrissen mfl. 2013; Holm mfl. 2015; Gallardi mfl. 2019; Braden mfl. 2020). Lusesmittet fisk virker for eksempel mer utsatt for virusinfeksjon (Barker mfl. 2019; Long mfl. 2019). Skadene på fisken blir spesielt store når lus utvikler seg fra fastsittende larver til bevegelige lus. Høye infeksjoner med lus er også vist å redusere lagrene av energi i lever, og redusere ytelsen til hjertet (Medcalf mfl. 2021). Effekter som redusert vekst, svømmeevne, økt energiforbruk og reproduksjon samt økt dødelighet er også påvist (Grimnes & Jakobsen 1996; Bjørn & Finstad 1997, 1998; Finstad mfl. 2000; Wagner mfl. 2003, 2004; Wells mfl. 2006, 2007; Tveiten mfl. 2010; Øverli mfl. 2014; Bui mfl. 2016; Hvas & Bui 2022). Lakselus kan utsette kjønnsmodning hos laks (Vollset mfl. 2014a), men modeller indikerer at betydningen av forsinket kjønnsmodning på populasjonsveksten er neglisjerbar i forhold til effekten av direkte dødelighet (Vollset & Krkosek 2021).

Konsekvensen av infestasjon av lakselus på vill laksefisk er avhengig av antall lus fisken har, og hvor stor fisken er. I dag brukes antall lus per gram fiskevekt for å estimere sannsynlighet for at et individ dør på grunn av lakselus, gitt tålegrenser eller grenseverdier for når dødelighet inntreffer. Metoden er presentert og debattert i rapporten «Forslag til førstegenerasjons målemetode for miljøeffekt (effektindikatorer) med hensyn til genetisk påvirkning fra oppdrettslaks til villaks, og påvirkning av lakselus fra oppdrett på viltlevende laksefiskbestander» (Taranger mfl. 2012). For å skille mellom utvandrende laksesmolt, førstegangsutvandrende sjøørret og sjørøye og større veteranvandrende sjøørret og sjørøye er det foreslått ulike grenseverdier for henholdsvis liten laksefisk under 150 g (utvandrende laksesmolt og førstegangsutvandrende sjøørret og sjørøye), og et annet sett grenseverdier for laksefisk over 150 g (veteranvandrere av sjøørret og sjørøye). For laksesmolt og førstegangs utvandrende ørret og sjørøye er det lagt til grunn at den har høy sannsynlighet for dødelighet ved mer enn 0,3 lus per gram fiskevekt (lus/g) hvis disse utvikler seg til mobile lus, og en antar en gradvis reduksjon i sannsynlighet for død ved lavere infestasjonstrykk (Tabell 3.1; Kolonne «Mest sannsynlig toleranse»). For større veteranvandrende sjøørret og sjørøye er konsekvensene antatt å inntreffe ved lavere luseintensitet, og osmoregulatorisk sammenbrudd og akutt dødelighet er observert allerede ved 0,1 lus/g (Tveiten mfl. 2010). For denne gruppen er det lagt til grunn at den har høy sannsynlighet for dødelighet ved mer enn 0,15 lus/g (Tabell 3.1; Kolonne «Mest sannsynlig toleranse»).

Toleransegrensene referert til ovenfor er basert på relativt få laboratorie- og feltforsøk, og verdiene må betraktes som veiledende. Det er blant annet antatt at fisk som er frisk og velfødd har en høyere toleranse for lakselus, mens fisk som i ulik grad er svekket av sykdom eller underernæring har lavere toleranse (Long mfl. 2019; Carvalho mfl. 2020). Det er også usikkerhet tilknyttet dødelighet hos lus fra kopepodittstadiet til de bevegelige stadiene der de fysiologiske konsekvensene for fisken inntreffer (Grimnes & Jakobsen 1996; Bjørn & Finstad 1998). I hvilken grad resultater fra laboratorieforsøk er overførbare til det som skjer i naturen er også omdiskutert (Wagner mfl. 2008). Dødelighet på laksefisk i naturen kan være høyere eller lavere enn det som registreres i laboratorieundersøkelser. For eksempel kan fisken i naturen utsettes for økt dødelighet tilknyttet tilleggsfaktorer som fisken er beskyttet mot i laboratoriet. Det er også ukjent i hvilken grad adaptiv atferd i naturen kan redusere dødeligheten i forhold til verdier funnet i laboratorieundersøkelser. Dette er spesielt relevant for sjøørret og sjørøye, som har muligheten til å avluse seg ved å oppholde seg i områder med fersk- eller brakkvann, siden lakselus ikke tolererer lave saltholdigheter i lange perioder. Dette vil imidlertid medføre en forkortet beiteperiode som kan ha en effekt på vekst, alder ved kjønnsmodning og investering i reproduksjon, samt vinteroverlevelse. Dette omtales ofte som indirekte dødelighet, da det har en effekt på bestandsstørrelsen. Oppsøker den ikke ferskvann antar vi at den har en risiko for å dø av skaden påført av lakselus som skalerer med antall lus den smittes med. Per i dag har vi ikke nok kunnskap til å vurdere om lakselussmitte på sjøørret og sjørøye primært vil føre til økt dødelighet eller prematur tilbakevandring, og grenseverdiene for disse artene omfatter derfor en kombinasjon av dødelighet eller prematur tilbakevandring, fra nå av omtalt som «negative effekter».

For å beregne lakselusindusert dødelighet (dvs. den andel av dødeligheten som kan knyttes til parasitten) i populasjonen, deles samplet prosentvis inn i infeksjonsgrupper med antatt forskjellig effekt på individ. Dødelighet for hver infeksjonsgruppe beregnes basert på de antatte toleransegrenser, og summen av alle gruppene gir den totale estimerte lakselusindusert dødelighet, som uttrykkes som en prosentandel av populasjonen. For å teste hvor følsomme estimatene av dødelighet er for fiskens toleransegrenser for lus, er det for den virtuelle smoltmodellen, samt trål- og rusedata, også estimert dødeligheten ved å halvere (Tabell 3.1; «Lavere toleranse») og doble (Tabell 3.1; «Høyere toleranse») fiskens toleranse for lus.

  Lavere toleranse Mest sannsynlig toleranse Høyere toleranse
Lus Lus/g Død. Lus Lus/g Død. Lus Lus/g Død.

Laksesmolt og førstegangs utvandrende ørret og sjørøye  <150 g

< 1 < 0,05 0 % < 2 < 0,1 0 % <4 < 0,2 0 %  
1 - 2 0,05 - 0,1 20% 2 - 3 0,1 - 0,2 20% 4 - 6 0,2 - 0,4 20%  
3 > 0,1 - 0,15 50% 4 - 6 > 0,2 - 0,3 50% 7 - 12 > 0,4 - 0,6 50%  
> 3 >0,15 100% > 6 > 0,3 100% > 12 > 0,6 100%  
Veteranvandrere og modnende individer av sjøørret og sjørøye >150 g   < 0,0125 0 %   < 0,025 0 %   < 0,05 0 %
  0,0125 - 0,025 20 %   0,025 - 0,05 20 %   0,05 - 0,1 20 %  
  0,025 - 0,05 50 %   0,05 - 0,1 50 %   0,1 - 0,2 50 %  
  0,05 - 0,075 75 %   0,1 - 0,15 75 %   0,2 - 0,3 75 %  
  > 0,075 100 %   > 0,15 100 %   > 0,3 100 %  
Tabell 3.1. Antatte tålegrenser for laks og førstegangsutvandrende ørret, samt for veteranvandrende og modnende individer av sjøørret og sjørøye oppgitt både som antall lus for en fisk på 20 g, relativ intensitet (antall lus per gram fiskevekt), og antatt dødelighet for ulike infeksjoner med på grunn av lakselus (Død.). Tabellen angir den mest sannsynlige toleransen (Taranger mfl. 2015), samt lavere og høyere toleranse som benyttes i sensitivitetstester.

Det er imidlertid flere problemstillinger med å regne ut populasjonens lakselusindusert dødelighet basert på enkle terskelverdier, noe som diskuteres nærmere i Nilsen mfl. (2017). En av hovedproblemstillingene er at effekten av lus er kontekstavhengig, dvs. at den er direkte korrelert med den generelle overlevelsen i havet, slik at i år med dårlig overlevelse er effekten av lus stor, mens i år med god overlevelse er effekten av lus nesten ikke målbar (Vollset mfl., 2015). På grunn av dette, vil disse faste grenseverdiene i noen tilfeller være overestimater, mens i andre tilfeller underestimater. En annen problemstilling er selektiv dødelighet. For eksempel er de antatte grenseverdiene for lakselusindusert dødelighet avhengige av fiskestørrelse, slik at for et gitt antall lus har de minste individene høyest estimert lakselusindusert dødelighet. Gitt at størrelsesselektiv dødelighet er en viktig mekanisme hos utvandrende laksesmolt vil det være slik at fisken som har høyest sannsynlighet for å dø av lakselus i utgangspunktet uansett hadde hatt en høyere sannsynlighet for å dø.

Effekten av den estimerte lakselusinduserte dødeligheten på en populasjon klassifiseres i henhold til Vitenskapelig Råd for Lakseforvaltning (VRL) sine grenseverdier for menneskeskapte påvirkninger på laksebestander. Disse grenseverdiene er i utgangspunktet basert på den estimerte effekten den har på gytebestanden, og regnes som liten/ingen effekt når den fører til en reduksjon i gytebestand på under 10%, som moderat når den fører til en reduksjon i gytebestand på 10-30% og en stor når den fører til en reduksjon i gytebestand på over 30%. For laks er det generelt antatt at bestandene ikke er tetthetsregulert i marin fase, og det er vist at det er en lineær sammenheng mellom antall laksesmolt som forlater elva og antall gytefisk som returnerer. Dette innebærer at det er rimelig å anta at det er direkte proporsjonalitet mellom antall laksesmolt som vandrer ut og antall laks som returnerer. For sjøørret og sjørøye er det per i dag ikke etablert en metode for å vurdere hvor stor påvirkningseffekt de omtalte lakselusinduserte negative effektene (dvs. kombinasjonen av direkte og indirekte dødelighet) har på gytebestandene (Finstad mfl. 2021). I mangel på en bedre justeringsmetode antar vi i risikovurderingen, som for laks, en direkte proporsjonalitet mellom antall sjøørret og sjørøye utsatt for lakselusindusert negative effekter og en reduksjon i gytebestand. Det er verdt å merke seg at den overnevnte klassifisering ikke tar hensyn til bestandenes robusthet mot dødelighet knyttet til lakselus.

Basert på statistiske analyser har VRL konkludert med at lakselus er en betydelig bestandstrussel for vill laksefisk (VRL 2017), og vurderer at det er godt dokumentert at for bestandene i Vest- og Midt-Norge har smittepress fra lakselus bidratt til spesielt store reduksjoner i innsig av laks, hvor både antall bestander og områdene som er hardt rammet av lakselus har økt de senere årene (VRL 2020). Data indikerer at for laks, er det en sammenheng mellom tetthet av gytefisk og avstand til åpen sjø for elver i Hardanger, mens det ikke ble funnet noen slik sammenheng for sjøørret (Vollset mfl. 2014b). Dette samsvarer med vurderingene til VRL hvor bestandene lengst inne i fjordene er hardest påvirket, og hvor bare vassdrag i ytre fjordområder eller med utløp direkte til havet er lite eller ikke påvirket (VRL 2020). Bestander langt inne i fjorden vil både ha en lengre vandringsvei i området med lus, og de vil ankomme senere i de ytre delene av fjordene. Da utslippene av lus normalt øker utover sesongen, medfører begge disse forholdene at fisk fra elver i indre deler av fjordene oftest vil oppleve høyere smittepress enn fisk fra de elver i ytre deler av fjordene. I en lang (26 år) tidsserie fra elven Erriff i Irland ble det funnet betydelig færre returnerende 1-sjøvinter laks etter år med høye lusetall i nærliggende oppdrettsanlegg (Shephard & Gargan 2017). I en undersøkelse av tilbakevandrende laks i Skottland og England er det vist at kondisjonsfaktor (forholdet vekt/lengde) til voksen laks er påvirket av antall lus den er infestert med (Susdorf mfl. 2018b). Modeller indikerte at den reduserte kondisjonen kan ha effekt på bestandsutviklingen (Susdorf mfl. 2018a).

Bestandsundersøkelser for laks er metodisk vanskelig blant annet fordi antall utvandrende laks oftest er ukjent. En metode for å vurdere påvirkningen av lakselus på er å sammenligne vekst, alder ved tilbakevandring og overlevelse for utvandrende kultivert smolt beskyttet medikamentelt mot lakselus, med ubeskyttet smolt (randomiserte kontrollstudier). Da lakselusemidlenes virketid er begrenset til noen uker eller måneder (Stone mfl. 1999; Glover mfl. 2008, 2010) antas det at forskjeller i overlevelse i sjø mellom behandlet og ubehandlet fisk skyldes at kun den ubehandlede fisken blir infestert av lakselus. Det antas videre at laksen er mest sårbar i den første fasen av utvandringen, både på grunn av de fysiologiske utfordringene overgangen fra ferskvann til sjøvann medfører (Strand & Finstad 2007; Strand mfl. 2011; Thorstad mfl. 2012) og risikoen for å bli spist av større fisk (Hvidsten & Lund 1988; Handeland mfl. 1996). Lakselus kan også påvirke vertsfiskens atferd og svømmeevne negativt (Øverli mfl. 2014; Godwin mfl. 2015; Peacock mfl. 2015; Bui mfl. 2016). Laksens overlevelse i sjø kan variere betydelig mellom år, sannsynligvis på grunn av naturlige svingninger i økosystemet (Utne mfl. 2021; Vollset mfl. 2022). Data fra slippforsøk i Norge (med behandlet og ubehandlete grupper) har vist at effekten av lakselus varierer med den generelle overlevelsen til utsettingsgruppene i sjø (Vollset mfl. 2016). Når overlevelsen av smolt i sjø var høy, hadde ikke lakselus noen statistisk signifikant negativ effekt, men når overlevelsen var lav, økte overlevelsen i de behandlete gruppene. Den gjennomsnittlige dødeligheten av smolt fra klekkeriet i Daleelva (i Osterfjorden) forårsaket av lakselus var ca. 15 % i perioden 1997 til 2009 (Skilbrei mfl. 2013). Dette er sammenlignbart med anslaget på 18 % i den større metaanalysen gjort i ettertid med data fra flere forsøk (Vollset mfl. 2016). I nesten alle årene var ubehandlet smolt noe mindre (~0,1 kg) når den kom tilbake som smålaks etter ett år i sjø. Dette antyder at det har vært lakselus til stede i utvandringsruten de fleste årene, noe som har ført til nedsatt vekst hos fisken, også når det ikke har vært noen signifikant forskjell i overlevelse mellom gruppene. I et slippforsøk med beskyttet vs. ubeskyttet kultivert laks, var effekten av beskyttelsen betydelig høyere for fisk sluppet i perioder med mer lus i sjøen, i juni, sammenlignet med fisk sluppet i mai. Ubeskyttet laks som ble sluppet ved den høyeste tettheten av lus hadde 55 ganger høyere dødelighet enn behandlet fisk (Bøhn mfl. 2020). En så kraftig økt risiko for dødelighet på grunn av lus er ikke vist tidligere. Studiet viste også at veksten til laks var signifikant redusert når det var mye lus (Bøhn mfl. 2020).

Så lenge den medikamentelle behandlingen mot lakselus ikke har negative effekter for fisken, vil slike eksperimenter gi en idé om effektene av lus på hele bestander, men det kan være en rekke feilkilder eller metodefeil man ikke kan kontrollere i denne type forsøk. For eksempel kan virkestoffet ha manglende effekt, eller selv være (svakt) toksisk (Lennox mfl. 2020). Bøhn mfl. (2020) viste at overlevelsen hos utvandrende kultivert laksesmolt var høyere for ubehandlet laks når lusetettheten var lav, noe som indikerer at lusemiddelet hadde en negativ/toksisk effekt på fisken. Om slippforsøk har vært gjennomført med lusemidler som påvirker fisken negativt, så kan tidligere metaanalyser ha undervurdert de negative effektene av lakselus.

En annen usikkerhet er at lakselus kan ha utviklet lavere følsomhet eller resistens mot virkestoffet. Det er også knyttet usikkerhet til smittepresset som fisken har vært utsatt for i slippforsøkene. I tillegg er det en rekke grunner til at forsøk med kultiverte smolt ikke er direkte overførbare til villfisk i en gitt region og år. Dette kan for eksempel komme av at kultivert smolt blir sluppet og vandrer på andre tidspunkt enn villfisk, at kultivert smolt vanligvis er større enn vill smolt, eller at deres atferd avviker vesentlig. Studier indikerer at vandringsadferden til kultivert laksesmolt er sammenlignbar med vill laksesmolt gjennom fjorder (Urke mfl. 2013). Derimot er det sannsynlig at overlevelsen er lavere for kultivert smolt. Utsett av kultivert smolt er en viktig tilnærming for å gi innsikt i hvordan parasitter påvirker overlevelsen i sjø hos vill smolt, men man må være forsiktig med å overføre resultatene direkte fra kultivert fisk til villfisk.

For sjøørret viser undersøkelser at påslag av lakselus både kan øke dødeligheten og kan endre fiskens atferd, som igjen kan ha effekt både på individnivå og bestandsnivå. En omfattende oppdatering av sjøørretens livshistorie med oppsummering av vitenskapelige undersøkelser av påvirkning fra lakselus er gjennomført av Thorstad mfl. (2016).

Sjøørret smoltifiserer og vandrer ut i fjordene på beitevandring på våren tidlig. Veksten til sjøørret er normalt betydelig bedre i sjø enn i ferskvann, og økt vekst fører til større fisk som har mindre risiko for å bli spist og høyere reproduktiv suksess (Stearns 1992; Roff 2002). Denne beiteperioden kan gjerne vare over 3 mnd. i Sør-Norge, mens den er kortere i Finnmark (Karlsen mfl. 2016). Ørreten er derfor normalt utsatt for luseinfestasjon over en mye lengre tidsperiode enn laksesmolten, som vandrer til oppvekstområder i havet og først returnerer til kysten når de er kjønnsmodne. Sammenhengen mellom lus på ørret og oppdrettsaktivitet er dokumentert gjennom flere studier (Tully mfl. 1999; Bjørn mfl. 2001, 2011b; Bjørn & Finstad 2002; Serra-Llinares mfl. 2014, 2016; Shephard mfl. 2016; Moore mfl. 2018; Simmons mfl. 2019; Bøhn mfl. 2022). Økt dødelighet i beiteperioden kan medføre at fordelen med beitevandringen i sjø blir mindre. I en nyere studie i Sandnesfjord ble det observert signifikante forskjeller i dødelighet mellom luseinfiserte fisk og en ikke smittet kontrollgruppe, hvor luseinfiserte fisk hadde nesten 3 ganger høyere dødelighet enn kontrollfisk (Serra-Llinares mfl. 2020). Da det er funnet at livshistorievalg er koblet til genetikk (Ferguson mfl. 2019) vil en slik endring i relativ overlevelse og reproduksjon kunne redusere andelen sjøvandrende individer i ørretbestander (Ferguson mfl. 2019).

Overlevelsen til lakselus faller med minkende saltholdighet (Gravil 1996; Wright mfl. 2016), og sjøørret kan derfor oppsøke ferskere vann (f.eks. i elv eller elvemunning) for å kvitte seg med lus. Prematur tilbakevandring av ørret med betydelige infestasjoner og hudskader er observert (Birkeland & Jakobsen 1997; Serra-Llinares mfl. 2018, 2020). I et forsøk i Hordaland ble nesten 20% av tilbakevandrende luseinfesterte veteraner funnet døde innen en uke, trolig grunnet soppangrep (Birkeland 1996). Prematur tilbakevandring ble også dokumentert i Serra-Llinares mfl. (2020), der den infiserte gruppen hadde betydelig kortere beiteperiode (18 vs. 100 dager) og de oppholdt seg generelt nærmere elvemunningen. Det er også funnet indikasjoner på at ørret kan kompensere for lusepåslag ved å oppholde seg i overflatevann med lavere salinitet (Mohn mfl. 2020). Denne mekanismen påvirker fiskens naturlige avveininger ved dybdevalg, og kan potensielt øke sannsynligheten for predasjon. I Etne (Vestland) brukte akustisk merket sjøørret et større beiteområde og tilbragte mer tid i sjøen i år med lavt lusepress (Halttunen mfl. 2018), men det ble ikke funnet noen effekt på dødelighet på fisk . Selv om det ikke er snakk om direkte dødelighet, vil en slik effekt på habitatbruk kunne påvirke bestanden negativt. Redusert vekst som resultat av kortere sjøopphold og manglende tilgang på beiteområder kan føre til redusert fekunditet, utsatt gyting, og dermed lavere bidrag til bestanden (Gargan mfl. 2016; Haraldstad mfl. 2018; Eldøy mfl. 2020). Hunnene påvirkes i særlig stor grad (Haraldstad mfl. 2018). I tillegg er det en større andel hunner enn hanner blant sjøvandrende individer (Jensen 1968; Pemberton 1976; Pratten & Shearer 1983; Euzenat mfl. 1999; Knutsen mfl. 2004; Olsen mfl. 2006; Solomon 2006; Nevoux mfl. 2019), noe som forsterker effekten ytterligere. I Irland og Skottland har dårlige marine leveforhold blitt knyttet til nedgang i bestander og endring av bestandsstrukturen, med reduksjoner i maksimal sjøalder, størrelse på fisken og marin vekst (Poole mfl. 1996).

6.2 - Metodene for overvåking av lakselus på vill laksefisk

I hver av de 13 produksjonsområdene er det gjennomført overvåking av lakselus på vill laksefisk. Observasjonene av antall og stadier av lus på vill fisk blir gjennomført ved hjelp av tre ulike metoder:

  • sjøørret/sjørøye fanget med ruse og garn
  • utvandrende postsmolt laks fanget med trål
  • kultivert postsmolt laks i smoltbur

I tillegg til observasjoner er det de siste 10-15 år utviklet et modellsystem som beregner konsentrasjonen av lakselus langs hele kysten. Basert på tilgjengelig kunnskap om biologi, adferd og dødelighet og fysiske faktorer som temperatur, saltholdighet og strøm blir det beregnet hvordan lusen sprer seg i vannmassene, først som ikke-smittsomme nauplier og videre som smittsomme kopepoditter. På denne måten kan vi beregne tetthet av smittsomme kopepoditter langs hele kysten, oppdatert hver time. Det er oftest stor variasjon i tettheten av kopepoditter både i tid og rom, med en klar tendens til oppsamling langs land, og i fronter og virvler. Det er også en kraftig økning utover våren/sommeren (Figur 6.1). Konsentrasjonen av kopepodittene er summert over de 2 øverste meter, hvor det er antatt at postsmolten befinner seg. Hver uke publiseres tettheten av lakseluslarver langs hele kysten. Resultatene presenteres på www.lakselus.no. En mer detaljert beskrivelse kan finnes i (Sandvik mfl. 2016, 2017a, 2020; Myksvoll mfl. 2018; Asplin mfl. 2020).

For å tolke sammenhengen mellom konsentrasjonen av kopepoditter og graden av påvirkning på vill fisk er det videreutviklet to modellprodukter:

  • ROC (Relative Operating Characteristic): Modellert område hvor fisk vil oppleve forhøyet smittepress i en gitt periode.
  • Virtuell smoltmodell: Modellert utvandring av lakse-postsmolt med påslag av lakselus og estimert luserelatert dødelighet for fisk fra enkelt-elver.

I det følgende gis en beskrivelse av de ulike overvåkningsmetodene både fra observasjoner og modeller som er brukt til å beskrive produksjonsområdene.

6.2.1 - Observasjonsmetode 1: Ruse og garnfangst av sjøørret og sjørøye

Årlig gjennomføres det fangst av sjøørret og sjørøye med bruk av ruse (Barlaup mfl. 2013), supplert med flytegarn (16-21 mm maskevidde). Oppstart av fisket legges i tid noe etter forventet median utvandringstid for området slik at fisken vil ha hatt tid til å bli smittet og dermed gi informasjon om smittepresset i området under utvandringsperioden for sjøørret og laks (antatt som identisk). Oftest foretas det ett nytt fiske litt senere (periode 2), med start 1 uke etter slutten av periode 1. Fisket i periode 2 gjøres for å estimere det akkumulerte smittepresset sjøørret og sjørøye opplever utover beiteperioden. Det bør merkes at dette fisket avsluttes tidligere enn forventet tid for normal tilbakevandring for sjøørret, og tar ikke høyde for eventuell prematur tilbakevandring. Erfaringsmessig står det langt færre fangbare fisk i sjøen utover sommeren spesielt i områder med høy oppdrettsintensitet. Det er gjort undersøkelser hvor sjøørret fange i ruser er merket og gjenutsatt. I dette forsøket var andelen av fisk som ble gjenfanget i rusene lav (< 5%) (Arechavala-Lopez mfl. 2016).

Ved garnfangst røktes det kontinuerlig for å unngå at fisken dør i garnet. I sammenlignende undersøkelser er antall lus lavere på garnfanget fisk (Grøn 2016), trolig skrapes noe lus av under fangsten hvilket kan medføre en underestimering av smittepresset. Det skilles likevel ikke på metodene i vurderingen av områdene. Garnfangst er størrelsesselektiv basert på maskestørrelse.

For begge metodene telles lus i felt rett etter at fisken er fanget. Storparten av lusen på fisken i denne perioden er tidlige stadier.

For å estimere dødeligheten på den fangede fisken benyttes tabellene for tålegrenser (Tabell 3.1) basert på antall lakselus og fiskens vekt (lus/gram fiskevekt). Estimert dødelighet er oppgitt med konfidensintervaller. For å vurdere hele produksjonsområdet holdes resultatene fra rusefangsten opp mot ROC kartene for å vurdere i hvilken grad stasjonene er representative for området.

6.2.2 - Observasjonsmetode 2: Trålfangst av utvandrende postsmolt laks

For å dokumentere tilstedeværelse av lakselus på postsmolt av laks, tråles det t i utvandringsruten for laks. For å unngå at fisken taper lus under fangst benyttes en spesialutviklet trål hvor laksen sorteres inn i ett akvarium (Holst & McDonald 2000). Det tråles i de ytre delene av fjordene. Dette betyr at fisken er fanget før den har vandret hele ruten mellom elv og hav, og det observerte smittepress vil derfor være et underestimat av den totale smitten fisken opplever. Trålingen slik den utføres i dag fanger i liten grad sjøørret, og sjøørreten som fanges i trål er ofte relativt stor. En sammenligning av trålt laks og sjøørret viste at trålfanget sjøørret oftest har mer lus en laks (Vollset mfl. 2017).

For å estimere dødeligheten på den fangede fisken benyttes tabellen for tålegrenser (Tabell 3.1) basert på antall lakselus og fiskens vekt (lus/gram fiskevekt). Bare vill laks < 50 g er inkludert. Merket fisk analyseres ikke, unntatt merket villfisk.

Genetiske metoder er benytte for å spore hjemelv til den trålfangete fisken, metoden er beskrevet i (Harvey mfl. 2019). Med denne metoden kan ikke all fisken som fanges med sikkerhet bestemmes til hjemelv, og denne andelen varierer noe mellom fjordene og år.

Ved estimering av dødelighet antar vi at trålingen fanger ett representativt utvalg av fisk fra de ulike elvene i området det tråles. Lakselus vil svekke og evt. drepe en utvandrende postsmolt av laks om antall lus blir høyt nok. Tidligere forøk har indikert at det primært er de preadulte stadiene som er skadelige for fisken. Ved 8°C tar det 3-4 uker før lusen som slår på en fisk utvikler seg til preadult lus, ved 10°C 2-3 uker. Dette indikerer at bare fisk fra de indre elvene hvor vandringsavstanden fra elv til der de tråles er lang nok til at lusen kan ha utviklet seg til preadulte stadier (om vi antar en vandringshastighet på 10 km i døgnet). Det er derfor en risiko for at dødelighet for fisk fra de indre delene av fjordene underestimeres.

Det har vært antatt at svømmeevnen til fisk er påvirket av om den er smitte med lus. De forsøkene som er gjort indikerer at det er en liten effekt (Wagner mfl. 2003; Bui mfl. 2016), men om dette har noen praktisk betydning for trålunnvikelse er ikke kjent. Det er ulik størrelse på fisken som vandrer ut, og for en gitt infestasjon vil den minste fisken påvirkes mest (høyest antall lus/g fiskevekt). Det er derfor en risiko for en størrelsesselektiv dødelighet. I tillegg er den minste fisken mest sårbar for predasjon siden den har noe lavere svømmehastighet, og generelt mindre energireserver. Infeksjoner med lus reduserer veksten til laks (Fjelldal mfl. 2020), hvilket vil forsterke denne effekten da fisken vil forbli liten og dermed forbli mer utsatt for predasjon lengre enn fisk som er mindre påvirket av lakselus.

Om fisk svekkes av lus, er det en mulighet for at deres fangbarhet i trålen er høyere enn laks om ikke er svekket av lus. Det skal bemerkes at mye av fisken som fanges med trål har lite eller ingen lus, og det er derfor ikke slik at trålingen bare fanger opp svekket fisk. (Wagner mfl. 2003; Bui mfl. 2016).

6.2.3 - Observasjonsmetode 3: Smoltbur med kultivert smolt

I enkelte fjordsystem settes det ut smoltbur med kultiverte postsmolt (Bjørn mfl. 2011a; Pert mfl. 2014). Smoltburene er ca. 1 m3 lukkede merder hvor toppen henger rett under overflaten og 1 m nedover, dekkende for leveområdet til sjøørret og utvandrende postsmolt laks som oppholder seg fra 1-3 m (Plantalech Manel-La mfl. 2009; Flaten mfl. 2016; Eldøy mfl. 2017). I burene settes det ut 30 postsmolt av laks som står ute i ca. 2 uker før fisken tas opp og lus telles. I noen systemer gjentas dette med to utsett, slik at burene står ute litt før, og noe etter estimert dato for median smoltutvandring i området. Fordelen med denne type data er at man har kontroll på sted og tidsrom hvor smitten har skjedd, og derfor brukes smoltbur også for å kalibrere modellvurderingen av område hvor fisken vil bli påvirket av lus (ROC).

I figurene er det indikert om fisken i snitt har < 2 lus, 2-6 lus eller > 6 lus/fisk normalisert til 14 dager. Verdiene er valgt da dette er toleransegrensene som brukes for en 20g smolt. Det brukes ikke lus/g fisk, da oppdrettsmolten som benyttes er betydelig større (60-120 g) enn vill smolt (15-25 g). Verdiene brukes for å vurdere smittepresset i området, og for å vurdere mellomårlig variabilitet i området. Da fisken er holdt i bur, og ikke svømmer fritt i vannmassene, er verdiene ikke direkte overførbare til smitte på vill fisk. men tolkes slik at om det er store deler av området hvor laksen må passere antas det ett høyere smittepress enn om utbredelsen av høyt smittepress er begrenset i rom. Figurene brukes derfor primært for å visualisere hvordan smittepresset er fordelt i området burene har stått ute.

6.2.4 - Modellmetode 1: ROC - Relative Operating Characteristic

For å beregne i hvilke områder det er høyt, middels og lavt smittepress har vi benyttet en metode kalt «Relative Operating Characteristic» hvor antall lus på fisken i smoltburene benyttes til kalibreringen. Metoden er beskrevet tidligere (Mason 2003; Sandvik mfl. 2016, 2017b, 2020).

For å se på hvor det er høyest tetthet av lakselus under tiden for utvandring av postsmolt laks, har vi summert tetthet av kopepoditter fra antatt tidspunkt for 50% utvandring og 30 dager frem i tid. Dette konsentrasjonsfeltet har så blitt regnet om til kategorier ved hjelp av ROC metoden.

ROC kartene kan lettest tolkes tilsvarende resultatet fra virtuelle smoltbur som har vært utplassert i et finmasket rutenett i alle fjordsystemene og langs kysten. Fargene tolkes som at villfisken som oppholder seg i områder med høyt smittepress (rødt) i 30 dager fra median tid for utvandring, mest sannsynlig vil få på seg mer enn 6 lus, mens laks som oppholder seg i område med lavt smittepress (grønn) vil få på seg mindre enn 2 lus. I områder med middels smittepress vil den få på̊ seg mellom 2 og 6 lus. Metoden benyttes som et supplement til den virtuelle smoltmodellen som er beskrevet under.

Det er i tillegg beregnet en indeks (Sandvik mfl. 2021) som gir et objektivt mål på andel av arealet med sannsynlighet for høyt påslag av lakselus.

I = (Areal Rød (30 dager) + 0.5*Areal Gul (30 dager)) / Areal antatt leveområde,

der ”Areal Rød (30 dager)” og ”Areal Gul (30 dager)” er henholdsvis størrelsen på det røde og gule området summert over 30 dager, og ”Areal antatt leveområde” er totalarealet avgrenset av en linje som ligger 9,6 km fra land. I trafikklyssystemet kategoriseres denne indeksen i lav, moderat og høy basert på grenseverdiene I<10%, I = 10-30% og I>30%. Arealet er beregnet for glidende 30 dagers perioder fra 1. april til 1. august, og presentert i grafer for årene 2012-2022.

Arealet er i ulik grad dekkende for vandringsruten for laks, og grafene brukes derfor primært til å si noe om endringer i et produksjonsområde mellom år og utvikling innen ett år. Grafen sammenholdes med ROC kartene som indikerer hvilke områder som er påvirket.

For å se på hvor stor andel av arealet i produksjonsområdet som blir uegnet for beitende sjøørret har vi benyttet samme metode som over, men tilpasset ørret som beskrevet i Finstad mfl. (2021). Selv om sjøørret dør av høye infeksjoner med lakselus, kan sjøørret smittet med lakselus oppsøke området med brakk- eller ferskvann for avlusing. Effekten av dette er at sjøørret avbryter beiteperioden, som vil medføre tapt vekst, som igjen kan påvirke alder ved kjønnsmodning og investering i kjønnsmodning. Dødelighet er derfor et dårlig mål på effekten av lakselus på sjøørret, og det har derfor blitt foreslått å bruke redusert marint leveområde, RML (dvs. hvor stor andel av leveområdet som blir uegnet pga. høye tettheter av lakselus) og redusert marin beiteperiode, RMT (dvs. 70 (eller 60) dager fratrukket antall dager før RML = 30% ved antatt dato for utvandring).

Forutsetningene for beregningene er gitt i Finstad mfl. (2021). Marint leveområde for sjøørret er satt til 4*800m langs land. Det er antatt at sjøørreten oppholder seg i de 2 øverste m av vannsøylen. Størrelse på førstegangsvandrere i sjø er satt til 60g. Oppholdstiden til sjøørret i sjøen er satt til 70 dager i PO1-PO7 og 60 dager i PO8-PO13. Utvandringen er antatt å følge den for laksesmolt. Det marine habitatet er antatt uegnet for sjøørret når den akkumulerte lusemengden overskrider grenseverdiene i Tabell 3.1, men omregnet til en 60 g ørret. Det antas en dødelighet på lus på 40% fra kopepoditt til preadulte stadier. Grenseverdiene for kopepoditter er gitt i Tabell 3.2.

Kopepoditter Antatt påvirkning
< 10 0 %
10 – 30 50%
> 30 100%
Tabell 3.2. Antatte tålegrenser for beitende sjøørret oppgitt både som antall lus for en fisk på 60 g, og antatt påvirkning for ulike infeksjoner med lakselus.

Som diskutert i Finstad mfl. (2021) beregner ikke metoden lakselusindusert villfiskdødelighet, men redusert marint leveområde. Det behøves derfor en vurdering om hvordan man skal sette grenseverdier for å definere dette som en bærekraftsindikator. Et forslag er å sette grenseverdiene til de samme som dødelighetsgrensene som brukes for laks og anta at sjøørreten er jevnt fordelt i sjøen. Grenseverdiene vist i denne rapporten er derfor lav påvirkning når RML < 10%, moderat når RML er 10-30%, og høy påvirkning når RML > 30%.

6.2.5 - Modellmetode 2: Virtuell smolt

Med formål å tolke hva lakseluskonsentrasjonen fra lusemodellen utgjør i smitte på utvandrende postsmolt fra laks, er det utviklet en modell for utvandrende laks (Johnsen mfl. 2021). Modellen følger virtuell fisk i vandringen fra elv til hav, og er koblet til konsentrasjonen av lakselus fra lakselusmodellen. Ved å telle hvor mange lakselus fisken passerer på vei til havet, estimerer modellen hvor mange lakselus fisk fra hver lakseførende elv vil ha fått på seg før de når åpent hav.

Mengden lus på den virtuelle smolten er kalibrert mot observert mengde lus på trålfanget utvandrende postsmolt av laks, hvor fiskens opprinnelse er kartlagt ved hjelp av genetiske metoder (Harvey mfl. 2019). Videre er det antatt at 60% av påslåtte lakselus overlever til større mer skadelige stadier. Ved å bruke tålegrensene for laks og å anta at all fisk er 20 g, har vi beregnet dødelighet for den utvandrende laksen for alle lakseførende elver i landet (Johnsen mfl. 2021). Dødelighetsestimatene er presentert i kart år for år siden 2012. Dødeligheten er klassifisert som lav (<10%) markert som grønn, middels (10%-30%) markert med gult, og høy (>30%) markert med rødt.

For å vurdere modellresultatenes følsomhet til antatt utvandringsperiode og tålegrenser, har vi estimert dødelighet for modellfisk hvor utvandringen er fremskyndet eller utsatt i 10 dager, samt estimert dødelighet dersom fisken tåler mer eller mindre lus enn de mest sannsynlige tålegrensene (i henhold til Tabell 3.1). Dersom de ulike estimatene ikke endrer kategori uansett antatt vandringstidsrom eller tålegrenser er kantfargen på dødelighetsestimatene i kart markert med grønt. Dersom modellert dødelighet endrer kategori i en av estimatene (enten på grunn av tidsforskyving eller ulike tålegrenser) er kantfargen markert med gult, og dersom modellert dødelighet endrer kategori i to eller flere av estimatene er kantfargen markert med rødt.

6.3 - Status og utvikling i infestasjon av lakselus i produksjonsområdene

6.3.1 - PO 1 Svenskegrensen til Jæren

Beregnet median temperatur for hele produksjonsområdet på 0,5 m dyp rundt midtpunkt (± 14 dager) for dato for smoltutvandringen for området er ca. 9 °C. (Figur 6.2). Videre utover sommeren viser observerte verdier på 3m dyp fra oppdrettsanleggene at temperaturen i produksjonsområdet stiger til 18 °C (Figur 6.3). Temperaturen er derfor gunstig for lakselus i utvandringsperioden for postsmolt av laks og for beitende sjøørret.

Figur
Figur 6.3. Median temperatur på 3 m dyp basert på rapporterte temperaturer på oppdrettsanlegg i produksjonsområdet. Svart linje viser snitt av årene 2012-2022 hvor standardavvik er markert med grått felt, samt temperaturen i 2021 (blå linje) og 2022 (rød linje). Grønt område viser antatt utvandringsperiode for laks, blått antatt beiteperiode i sjø for sjøørret som vandrer ut på tidspunktet for 50% utvandring av laksesmolt.

 

Det er noen fjorder hvor ferskvannslaget i de øvre meterne indikerer at lakselus vil trekke ned (Figur 6.4), men den begrenset lengden på fjordene gjør at det vil ha liten beskyttende effekt for utvandrende postsmolt av laks, og det er normalt få områder hvor sjøørreten vil være beskyttet.

Figur
Figur 6.4. Saltholdighet i overflaten midlet for årene 2012-2022 i mai, juni, juli og august. Verdiene er beregnet vha. strømmodellen NorKyst800.

 

Utslippene av lakselus i området er beregnet fra 4 uker før til 3 uker etter antatt median tid for utvandring av laksesmolt fra elvene i området. Datoene er hentet fra vedlegg 1 i rapporten fra ekspertgruppen for Trafikklys (Vollset mfl. 2021). Utslippene i området er generelt lave, og konsentrert til ett område utenfor Flekkefjord. Det var en økning i utslippene 2012-2019, noe lavere i 2020-2022 (Figur 6.5). Andelen av arealet som er påvirket er lavt alle årene 2019-2022 (Figur 6.5). Se under «Modellmetode 1: ROC - Relative Operating Characteristic» for hvordan dette er beregnet.

Figur
Figur 6.5. Venstre side viser utslipp av lakselus fra alle aktive oppdrettsanlegg i produksjonsområdet summert fra 4 uker før til 3 uker etter median smoltutvandring, der horisontale stiplete linjer indikerer grensene for høyt og lavt utslipp. Høyre side viser ROC indekser fra dato på x-aksen og 30 dager frem i tid. Grafen skal leses sammen med ROC kartet (Figur 6.6) og verdiene i grafen viser andelen av arealet med forhøyet tetthet av smittsomme luselarver (jfr. Modellmetode 1: ROC). Heltrukken vertikal linje markerer tid for median utvandring, grønt areal utvandringsperioden for postsmolt av laks brukt i den virtuelle smoltmodellen. Horisontale stiplete linjer markerer 10 og 30% areal.

 

ROC kartene som viser hvilke områder som har forhøyet tetthet av lakselus akkumulert over 30 dager etter midtpunkt for utvandring (15. mai) indikerer ingen områder med forhøyet smittepress noen av årene 2019 - 2022 (Figur 6.6).

Figur
Figur 6.6. Tetthet av lakselus akkumulert over en mnd og regnet om til ROC-indeks. Kartene viser områdene dekket av estimerte vandringsruter for laks fra alle elvene i PO1. Røde områder indikerer at fisk som oppholder seg der i 30 dager sannsynligvis vil smittes med mer enn 6 lus, gule områder at de estimeres til å smittes med mellom 2 og 6 lus per fisk, grønne områder indikerer at fisken sannsynligvis smittes med mindre enn 2 lus per fisk.

 

For beitende sjøørret indikerer modellresultatene at det ikke i noen tilfeller er mer enn 10% RML (se Modellmetode 1: ROC) ved normal utvandringsdato for noen av årene 2020-2022, eller RMT (Figur 6.7).

Figur
Figur 6.7. Venstre figur viser kumulativt redusert marint leveområde (RML) for fisk som utvandrer ved median dato for utvandring for alle elvene i produksjonsområdet og redusert marin beiteperiode (RMT) 2020-2022 (se tekst i figuren). Skravert område indikerer antatt naturlig beiteperiode (70 dager). Høyre figur viser RML etter 70 dager for årene 2019-2022 ved median dato for utvandring (Normal), og ved 20 dager tidligere (Tidlig) eller 20 dager senere utvandring (Sein).

 

ROC kartene (Modellmetode 1: ROC) tilpasset beiteperioden for sjøørret (antatt 70 dager fra utvandring) indikerer ingen områder med høyere enn lite smittepress fra lakselus (Figur 6.8).

Figur
Figur 6.8. Forventet infestasjon av lakselus i antatte beiteområder for postsmolt av ørret fra dato for midtpunkt for smoltutvandring i produksjonsområdet (periode gitt i kartene). Røde områder er det forventet at ørreten vil bli infisert med mer enn 18 mobile lus (rød), mellom 6-18 mobile lus i gule områder og mindre enn 6 mobile lus i grønne.

 

Estimatene fra den virtuelle smoltmodellen (se beskrivelse av metoden under kapittel Modellmetode 2: Virtuell smolt) viser at det i snitt beregnes liten lakselusindusert dødelighet på utvandrende smolt alle årene 2012-2022 (Figur 6.9).

Figur
Figur 6.9. Estimert dødelighet av laksesmolt 2012-2022 for normal utvandring og mest sannsynlig toleranse for lus (Tabell 3.1). Beregningen er ikke vektet etter elvenes teoretiske smoltproduksjon. Boks viser estimert dødelighet på 25-75% av fisken, streker 5-95%. Svarte bokser viser resultater fra tidligere modellversjon, blå bokser fra nyeste modellversjon. Orange linjer viser median dødelighet på fisken, og grønne linjer gjennomsnittet. De stiplede linjene viser grensene for lav/moderat/høy dødelighet.

 

Estimatene fra den virtuelle smoltmodellen (Modellmetode 2: Virtuell smolt) er under 10% lakselusindusert dødelighet på utvandrende smolt for alle elvene i produksjonsområdet årene 2017-2022 (Figur 6.10).

Figur
Figur 6.10. Estimert dødelighet for laksesmolt fra elvene i 2017-2022 i produksjonsområdet ved antatt normal utvandringstid og mest sannsynlig toleranse for lus (grønn; < 10 %, gul; 10-30% og rød; > 30%). Kantfargen indikerer om 10 dager tidligere eller senere utvandring, eller høyere eller lavere toleranse for lakselus endrer kategoriseringen av dødelighet. Grønn kantfarge viser ingen endring, gul viser endret kategori i et tilfelle og rød kantfarge viser endret kategori i to eller flere, tilfeller.

 

Observasjoner av lakselus på sjøørret fanget på de ulike fangststasjonene i PO1 (Figur 6.11) viser at det som regel er liten risiko for dødelighet spesielt for førstegangsutvandrende smolt, men også senere i sesongen for beitende sjøørret (Figur 6.12). Det høyere antall lus i Flekkefjordområdet 2018-2019 og 2022 skyldes trolig lokal oppdrettsaktivitet. Andelen av produksjonsområdet dette utgjør er liten.

Figur
Figur 6.11. Stasjonene undersøkt minst tre av årene i perioden 2016-2022 i NALO programmet. Lakseelvene i området er vist som tall i kartet. Grønt areal indikerer nasjonale laksefjorder.

 

Figur
Figur 6.12. Estimert lakselusindusert dødelighet (%) med konfidensintervaller på alle stasjonene undersøkt. Beregningene inkluderer all fisk fanget og alle lusestadiene. Antall sjøørret fanget hver uke er angitt i figuren.

 

6.3.2 - PO 2 Ryfylke

Beregnet median temperatur for hele produksjonsområdet på 0,5 m dyp rundt midtpunkt (± 14 dager) for dato for smoltutvandringen for området er ca. 9 °C (Figur 6.2). Videre utover sommeren viser observerte verdier på 3m dyp fra oppdrettsanleggene at temperaturen i produksjonsområdet stiger til ca. 16 °C (Figur 6.13). Temperaturen er derfor gunstig for lakselus i utvandringsperioden for postsmolt av laks og for beitende sjøørret.

Figur
Figur 6.13. Median temperatur på 3 m dyp basert på rapporterte temperaturer på oppdrettsanlegg i produksjonsområdet. Svart linje viser snitt av årene 2012-2022 hvor standardavvik er markert med grått felt, samt temperaturen i 2021 (blå linje) og 2022 (rød linje). Grønt område viser antatt utvandringsperiode for laks, blått antatt beiteperiode i sjø for sjøørret som vandrer ut på tidspunktet for 50% utvandring av laksesmolt.

 

Utbredelsen av området med lav saltholdighet i overflaten omfatter normalt de indre delene av fjordene, mens saltinnholdet øker utover fjorden (Figur 6.14). Modellene antyder også at det stort sett er de indre delene av fjordene som har så lav saltholdighet at lusen vil unnvike dette og derfor at smittepresset er lavere for laksefisk som oppholder seg i de øverste meterene. Utbredelsen av området med lav saltholdighet øker noe fra mai til juni, mens det er relativ liten endring i utbredelsen av områder med lav saltholdighet fra mai til august.

Figur
Figur 6.14. Utbredelse av saltholdighet i overflaten midlet for årene 2012-2022 i mai, juni, juli og august. Verdiene er beregnet vha. strømmodellen NorKyst800.

 

Utslippene av lakselus summert fra 4 uker før til 3 uker etter median smoltutvandring i området er høyere i 2016-2022 enn 2012-2015 (Figur 6.15). ROC indeksen for fisk som vandrer ved median utvandring (heltrukket vertikal linje i figuren) var i 2019 rundt 20 %, de tre siste årene over 30 % (Figur 6.15). ROC indeksen øker alle årene etter median tid for smoltutvandring.

Figur
Figur 6.15. Venstre side viser utslipp av lakselus fra alle aktive oppdrettsanlegg i produksjonsområdet summert fra 4 uker før til 3 uker etter median smoltutvandring, der horisontale stiplete linjer indikerer grensene for høyt og lavt utslipp. Høyre side viser ROC indekser for fisk som står i fjorden fra dato på x-aksen og 30 dager frem i tid. Grafen skal leses sammen med ROC kartet (Figur 6.16) og verdiene i grafen viser andelen av arealet med forhøyet tetthet av smittsomme luselarver (jfr. Modellmetode 1: ROC). Heltrukken vertikal linje markerer tid for median utvandring, grønt areal utvandringsperioden for postsmolt av laks brukt i den virtuelle smoltmodellen. Horisontale stiplete linjer markerer 10 og 30% areal.

 

ROC kartene indikerer områdene med forhøyet tetthet av lakselus akkumulert over 30 dager fra median tid for smoltutvandringen for produksjonsområdet (Figur 6.16) for årene 2019-2022, dvs. i år med relativt høye utslipp (Figur 6.15). Disse kartene indikerer høyest tetthet av lakselus i de nordøstlige områdene av Boknafjorden i 2019 og 2021, og høyere tetthet av lakselus i de midtre og sørlige delene av Boknafjorden 2020 og 2022. Det er lite lus i de ytterste delene av Boknafjorden, og sør for Stavanger alle årene.

Figur
Figur 6.16. Figurene viser områder med forhøyet tetthet av lakselus akkumulert over en mnd. Kartene viser områdene dekket av estimerte vandringsruter for laks fra alle elvene i PO2. Røde områder indikerer at fisk som oppholder seg der i 30 dager sannsynligvis vil smittes med mer enn 6 lus, gule områder at de estimeres til å smittes med mellom 2 og 6 lus per fisk, grønne områder indikerer at fisken sannsynligvis smittes med mindre enn 2 lus per fisk.

 

For beitende sjøørret indikerer modellresultatene at det i de fleste årene fra 2019 er mer enn 30% RML både ved tidlig, normal og sein utvandring (Figur 6.17). Det estimeres fra 22 til 31 dager RMT ved normal utvandring i 2020-2022 (RMT, se beskrivelse av metoden under kapittel Modellmetode 1: ROC).

Figur
Figur 6.17. Venstre figur viser kumulativt redusert marint leveområde (RML) for fisk som utvandrer ved median dato for utvandring for alle elvene i produksjonsområdet og redusert marin beiteperiode (RMT) 2020-2022 (tekst i figuren). Skravert område indikerer antatt naturlig beiteperiode (70 dager). Høyre figur viser RML etter 70 dager for årene 2019-2022 ved median dato for utvandring (Normal), og ved 20 dager tidligere (Tidlig) eller 20 dager senere utvandring (Sein).

 

ROC kartene tilpasset sjøørret, hvor tettheten av lakselus er akkumulert over antatt naturlig beiteperiode på 70 dager, viser at relativt store områder har høy tetthet av lakselus (Figur 6.18), og at hvor det er høyest tetthet varierer mellom år. Høyest tetthet er i 2019 og 2021 i de nordlige delene, mens i 2020 og 2022 er det høy tetthet også i midtre og sørlige deler av Boknafjorden. De indre delene av fjordene samt kyststrekningen på Jæren er minst påvirket.

Figur
Figur 6.18. Kart som viser hvor det er forventet at postsmolt av ørret som beiter i området fra dato for median for smoltutvandring i produksjonsområdet (periode gitt i kartene) vil bli infisert med mer enn 18 mobile lus (rød), mellom 6-18 mobile lus (gul) og mindre enn 6 mobile lus (grønn).

 

Estimatene fra den virtuelle smoltmodellen viser en høyere påvirkning fra lakselus i årene etter 2015 i forhold til før (Figur 6.19). Både gjennomsnittlig og median dødelighet ligger over 30% med den nyeste modellkjøringen de 3 siste årene, hvilket viser at mer enn halvparten av elvene i produksjonsområdet har høyere enn 30% estimert dødelighet.

Figur
Figur 6.19. Estimert dødelighet 2012-2022 for normal utvandring og mest sannsynlig toleranse for lus (Tabell 3.1). Beregningen er ikke vektet etter elvenes teoretiske smoltproduksjon. Boks viser estimert dødelighet på 25-75% av fisken, streker 5-95%. Svarte bokser viser resultater fra tidligere modellversjon, blå bokser fra nyeste modellversjon. Orange linjer viser median dødelighet på fisken, og grønne linjer gjennomsnittet. De stiplede linjene viser grensene for lav/moderat/høy dødelighet.

 

I perioden 2017-2022 estimerer modellen moderat til høy påvirkning for de fleste elvene. De nordøstlige elvene er oftest de mest påvirkede (Figur 6.20). I 2020 og 2022 er også elvene i sørlige deler (Høgsfjorden) høyt påvirket. Figgjo på kysten er lite påvirket alle årene. Smoltmodellen antar en jevn utvandring fra 10 dager før til 30 dager etter estimert 25-persentil utvandring (Vollset m.fl., 2022) fra den enkelt elv. I tillegg er eksponeringstiden for fisken avhengig av utvandringsruter. Da ROC-metoden i tillegg er kalibrert mot smoltbur og VPS er kalibrert mot lusepåslag på trålt fisk, kan resultatene avvike fra en forventning fra ROC kartene.

Figur
Figur 6.20. Estimert dødelighet for laksesmolt fra elvene i 2017-2022 i produksjonsområdet ved antatt «normal» utvandringstid og «mest sannsynlig toleranse for lus» (grønn; < 10 %, gul; 10-30% og rød; > 30%). Kantfargen indikerer om 10 dager tidligere eller senere utvandring, eller høyere eller lavere toleranse for lakselus endrer kategoriseringen av dødelighet. Grønn kantfarge viser ingen endring, gul viser endret kategori i et tilfelle og rød kantfarge viser endret kategori i to, eller flere, tilfeller.

 

Median utvandring av laks som snitt av alle elvene i PO2 er estimert til 14. mai (uke 19-20). I PO2 er det undersøkt smitten av lakselus på ruse eller garnfanget sjøørret på nordsiden (Nedstrand) og en eller to stasjoner på sørsiden i tidsperioden 2016-2022 (Figur 6.21). Det er trålt etter utvandrende postsmolt av laks 2017-2022, og smitten på laks i smoltbur er undersøkt 2017-2019 og 2022.

Figur
Figur 6.21. Stasjonene undersøkt minst tre av årene i perioden 2016-2022 i NALO programmet. Lakseelvene i området er vist som tall i kartet, uthevete elver er brukt til genetisk sporing av hjemelv for trålfanget laks fra området. De røde rektanglene omslutter elvene som renner ut på kysten, eller i sørlige, østlige eller nordlige deler av Boknafjorden. Grønt areal indikerer nasjonale laksefjorder.

 

Overvåkingen av lakselus på sjøørret med garn og ruse fra 2016 viser at i perioden rundt og rett etter utvandringen (ukene 19-22) ble det estimert moderat eller høy lakselusindusert dødelighet for utvandrende postsmolt både på nord (Nedstrand) og sørsiden (Forsand, Ytre Årdalsfjord) av Boknafjorden (Figur 6.22).

For den beitende sjøørreten (tolket fra observasjonene etter uke 22), ble det estimert moderat og oftest høy lakselusindusert dødelighet 2016-2018, moderat i 2019, høy i 2020 og 2022, og moderat eller høy i 2021 (Figur 6.22).

Figur
Figur 6.22. Estimert lakselusindusert dødelighet (%) med konfidensintervaller på alle stasjonene undersøkt. Beregningene inkluderer all fisk fanget og alle lusestadier. Antall sjøørret fanget hver uke er angitt i figuren.

 

Trålingen etter utvandrende postsmolt av laks i Boknafjorden i 2017-2022 (Figur 6.23) viser at det var lite lus på den trålte fisken tatt ukene 18-21 i 2017, men mer i 2018 hvor det ble estimert 22% lakselusindusert dødelighet på postsmolten fanget uke 20, og lave estimater alle ukene i 2019. I 2020 var estimert dødelighet høyere, med estimerte dødelighet mellom 30 og 50% ukene 18-20, og rett over 10% uke 21. I 2021 var det lave estimater alle ukene, mens i 2022 estimeres lav eller moderat dødelighet de ulike ukene.

Figur
Figur 6.23. Estimert lakselusindusert dødelighet (%) med konfidensintervaller på trålfanget vill postsmolt av laks. Antall undersøkt hver uke er angitt i figuren.

 

Fangsten av fisk i Boknafjorden ukene det er trålt kan indikere at en andel av fisken har utvandret før trålingen startet i 2017 (Figur 6.24), vurdert som gode fangster fra trålingen startet, og at trålingen i 2019 er avsluttet for tidlig til å fange opp sent utvandrende fisk. Øvrige år ser det ut til at trålingen er relativt dekkende for utvandringen, men det kan ha vandret ut fisk både før og etter trålperioden alle årene. Utvandringen 2020 og 2021 ser ut til å samsvare relativt godt med utvandringsdatoene for fisk merket med akustiske merker i Vikedals og Dirdalselven.

Figur
Figur 6.24. Kumulativ fangst av laksesmolt i trål i Boknafjorden 2017-2022 som % av totalfangst.

 

I Boknafjorden er det gjort genetiske analyser for å bestemme hvilken elv fisken fanget i trålen utvandret fra. Andelen av fisk som kan bestemmes til hjemelv har variert mellom og innen år (Figur 6.25).

Figur
Figur 6.25. Antall postsmolt av laks fanget i trål i Boknafjorden 2017-2021 inndelt i de ulike regionene elvene tilhører. Grått indikerer at fisken ikke genetisk kan bestemmes til elv.

 

Estimert dødelighet beregnet for hver av regionene kyst, sørlige, østlige eller nordlige elver årene 2017-2022 indikerer at de fleste årene, unntak er 2020, estimeres liten dødelighet på postsmolten fra alle regionene (Figur 6.26). I 2018 og 2020 estimeres moderat dødelighet på fisk fra de sørlige elvene, som samsvarer med fordelingen av lus vist i ROC kartene, mens i 2020 estimeres høy dødelighet på fisk fra de østlige og nordlige elvene.

Figur
Figur 6.26. Estimert lakselusindusert dødelighet (%) med konfidensintervaller på trålfanget vill postsmolt av laks tilordnet hjemelv. Elver som kan tilordnes er vist i Figur 6.21. Antall er angitt i figuren. Elvene er gruppert i regioner. Kyst inkluderer bare Figgjo 2017-2019, men også andre elver nedover Jæren/Dalane i 2020-2022 (jfr. PO1).

 

Det er benyttet smoltbur i Boknafjorden i 2017-2019 og 2021-2022 for å fange opp smittepresset (Figur 6.27). Disse viser et høyere smittepress i mai i hele fjorden i 2018 enn i 2017, mens i periode 2 i 2019 ble det observert moderat smittepress i de nordøstlige områdene. I 2021 viser data fra smoltbur generelt lavt smittepress i hele fjorden, også i de nordøstlige områdene. I 2022 ble det observert moderat smittepress i de ytterste burene, lav i de nordøstlige.

Figur
Figur 6.27. Gjennomsnittlig antall lus/fisk normalisert til 14 dager for hver av smoltburene, fargene angir < 2 (grønne), 2-6 (gule), og > 6 lus/fisk (røde). Tidsperioden i figuren viser tiden burene stod ute. Merk at i 2019 ble bare periode 2 undersøkt og det ble ikke satt ut smoltbur i 2020.

 

6.3.3 - PO 3 Karmøy til Sotra

Beregnet median temperatur for hele produksjonsområdet på 0,5 m dyp rundt midtpunkt (± 14 dager) for dato for smoltutvandringen for området er ca. 9 °C. (Figur 6.2). Videre utover sommeren viser observerte verdier på 3m dyp fra oppdrettsanleggene at temperaturen i produksjonsområdet stiger til ca. 16 °C (Figur 6.28). Temperaturen er derfor gunstig for lakselus både under smoltutvandringen og i beiteperioden for sjøørret.

Figur
Figur 6.28. Median temperatur på 3 m dyp basert på rapporterte temperaturer på oppdrettsanlegg i produksjonsområdet. Svart linje viser snitt av årene 2012-2022 hvor standardavvik er markert med grått felt, samt temperaturen i 2021 (blå linje) og 2022 (rød linje). Grønt område viser antatt utvandringsperiode for laks, blått antatt beiteperiode i sjø for sjøørret som vandrer ut på tidspunktet for 50% utvandring av laksesmolt.

 

Utbredelsen av lav saltholdighet er begrenset til de indre delene av fjordene (Figur 6.29), og vil derfor bare ha en beskyttende effekt for beitende sjøørret og laks i starten av vandringen fra de indre elvene. Utbredelsen øker noe fra mai til juni.

Figur
Figur 6.29. Utbredelse av saltholdighet i overflaten midlet for årene 2012-2022 i mai, juni, juli og august. Verdiene er beregnet vha. strømmodellen NorKyst800.

 

Utslippene av klekte lakselus 2012-2022 i PO 3 økte frem til 2014, og har deretter vært relativt høye (Figur 6.30). Andelen av areal som har forhøyet smittepress 2019-2022 viser at i de tre siste årene har denne andelen ligget rundt over 30% rundt dato for median smoltutvandring (grønn vertikal linje i figuren). I 2021 var året med størst påvirket areal (Figur 6.30).

Figur
Figur 6.30. Venstre side viser utslipp av lakselus fra alle aktive oppdrettsanlegg i produksjonsområdet summert fra 4 uker før til 3 uker etter median smoltutvandring, der horisontale stiplete linjer indikerer grensene for høyt og lavt utslipp. Høyre side viser ROC indekser for fisk som står i fjorden fra dato på x-aksen og 30 dager frem i tid. Grafen skal leses sammen med ROC kartet (Figur 6.31) og verdiene i grafen viser andelen av arealet med forhøyet tetthet av smittsomme luselarver (jfr. Modellmetode 1: ROC). Heltrukken vertikal linje markerer tid for median utvandring, grønt areal utvandringsperioden for postsmolt av laks brukt i den virtuelle smoltmodellen. Horisontale stiplete linjer markerer 10 og 30% areal.

 

ROC kartene indikerer områdene med forhøyet tetthet av lakselus akkumulert over 30 dager fra median tid for utvandring (17. mai) for produksjonsområdet for årene 2019-2022 (Figur 6.31). I Hardangerfjorden indikerer kartene betydelig variasjon i utbredelsen av høy tetthet av lakselus de ulike årene, samt hvor langt innover i fjorden dette området strekker seg. For Hardangerfjorden er det i 2019 moderat tetthet av lakselus i midtre deler, mens i 2020-2022 er det relativt mye i både midtre og ytre deler. I Bjørnafjorden er det relativt store området med høy tetthet av lakselus alle de undersøkte årene.

Figur
Figur 6.31. Figurene viser områder med forhøyet tetthet av lakselus akkumulert over en mnd. Kartene viser områdene dekket av estimerte vandringsruter for laks fra alle elvene i PO3. Røde områder indikerer at fisk som oppholder seg der i 30 dager sannsynligvis vil smittes med mer enn 6 lus, gule områder at de estimeres til å smittes med mellom 2 og 6 lus per fisk, grønne områder indikerer at fisken sannsynligvis smittes med mindre enn 2 lus per fisk.

 

For beitende sjøørret indikerer modellresultatene 2020-2022 at tettheten av lakselus vil medføre mer enn 30% RML både ved tidlig, normal og sein utvandring (Figur 6.32). Det estimeres 26-38 dager RMT ved normal utvandring i 2020-2022 (Figur 6.32).

Figur
Figur 6.32. Venstre figur viser kumulativt redusert marint leveområde (RML) for fisk som utvandrer ved median dato for utvandring for alle elvene i produksjonsområdet og redusert marin beiteperiode (RMT) 2020-2022 (tekst i figuren). Skravert område indikerer antatt naturlig beiteperiode (70 dager). Høyre figur viser RML etter 70 dager for årene 2019-2022 ved median dato for utvandring (Normal), og ved 20 dager tidligere (Tidlig) eller 20 dager senere utvandring (Sein).

 

ROC kartene 2019-2022 tilpasset en antatt naturlig beiteperiode på 70 dager i PO3 (Figur 6.33) viser at høy akkumulert tetthet av lakselus i store deler av de nordlige delene av produksjonsområdet (Bjørnafjorden). I de sørlige delene av produksjonsområdet er smittepresset i Hardangerfjorden moderat eller høyt i midtre og ytre deler, mens de indre delene er mindre påvirket. Langs kysten er det oftest lavere tettheter ev lakselus.

Figur
Figur 6.33. Kart som viser hvor det er forventet at postsmolt av ørret som beiter i området fra dato for median for smoltutvandring i produksjonsområdet (periode gitt i kartene) vil bli infisert med mer enn 18 mobile lus (rød), mellom 6-18 mobile lus (gul) og mindre enn 6 mobile lus (grønn).

 

Estimatene fra den virtuelle smoltmodellen viser svingninger i lusepåvirkningen i PO3 fra 2012 – 2022 (Figur 6.34). Den estimerte påvirkningen var høyest i 2015 og 2016, før den var avtagende noen år. I 2020 og 2022 har den estimerte dødeligheten igjen økt. Estimatene indikerer over 30% dødelighet alle årene fra 2014.

Figur
Figur 6.34. Estimert dødelighet 2012-2022 for normal utvandring og mest sannsynlig toleranse for lus (Tabell 3.1). Beregningen er ikke vektet etter elvenes teoretiske smoltproduksjon. Boks viser estimert dødelighet på 25-75% av fisken, streker 5-95%. Svarte bokser viser resultater fra tidligere modellversjon, blå bokser fra nyeste modellversjon. Orange linjer viser median dødelighet på fisken, og grønne linjer gjennomsnittet. De stiplede linjene viser grensene for lav/moderat/høy dødelighet.

 

På elvebasis estimerer smoltmodellen moderat eller høy dødelighet fra samtlige elver i 2017-2022 (Figur 6.35). Endret utvandringstid og/eller antatt høyere toleranse for lakselus (i henhold til Tabell 3.1) reduserer den estimerte dødeligheten for en del av elvene noen år. De indre elvene har estimert høy dødelighet uansett antatt toleranse eller utvandringstid 2020-2022.

Figur
Figur 6.35. Estimert dødelighet for laksesmolt fra elvene i 2017-2022 i produksjonsområdet ved antatt «normal» utvandringstid og «mest sannsynlig toleranse for lus» (grønn; < 10 %, gul; 10-30% og rød; > 30%). Kantfargen indikerer om 10 dager tidligere eller senere utvandring, eller høyere eller lavere toleranse for lakselus endrer kategoriseringen av dødelighet. Grønn kantfarge viser ingen endring, gul viser endret kategori i et tilfelle og rød kantfarge viser endret kategori i to, eller flere, tilfeller.

 

Det har vært ett omfattende ruse og garnfiske etter sjøørret i Hardangerfjorden, samt at Samnangerfjorden ble undersøkt 2016-2019 (jfr. Figur 6.36).

Figur
Figur 6.36. Stasjonene undersøkt minst tre av årene i perioden 2016-2022 i NALO programmet. Lakseelvene i området er vist som tall i kartet, uthevete elver er brukt til genetisk sporing av hjemelv for trålfanget laks fra området. De røde rektanglene omslutter elvene som renner ut i ytre, midtre eller indre deler av Hardangerfjorden eller i Bjørnafjorden. Grønt areal indikerer nasjonale laksefjorder.

 

Undersøkelsene 2016-2022 viser at i de indre delene (Ålvik, Strandebarm) har det enkelte år vært moderat og høy lakselusindusert dødelighet i den første perioden (Figur 6.37). I de midtre delene (Rosendal) var det moderat eller høy risiko 2016-2022. I de ytre delene (Etne) estimeres oftest moderat eller høy risiko 2016-2022. I Samnangerfjord estimeres moderat eller høy estimert risiko 2016-2019, stasjonen er ikke undersøkt i 2020-2022.

For beitende sjøørret estimeres det som regel høyere lakselusindusert dødelighet enn rett etter median smoltutvandring. Tidvis ses det en nedgang i antall lus på fisken i slutten av fangstsesongen, vi vet ikke om dette skyldes prematur tilbakevandring, om selvavlust fisk har returnert, om den mest infesterte fisken er død, eller om lusen har dødd. Temperaturen i de årene det er snakk om har ikke vært så høye at det skulle skape problemer for lakselusen. Vi ser også at utbredelsen av områder med saltholdighet < 25 øker fra mai til juni, hvilket kan medføre at det er mindre lus i de øvre meterne hvor sjøørret oppholder seg.

Figur
Figur 6.37. Estimert lakselusindusert dødelighet (%) med konfidensintervaller på alle stasjonene undersøkt. Beregningene inkluderer all fisk fanget og alle lusestadiene. Antall sjøørret fanget hver uke er angitt i figuren.

 

Data fra postsmolttrålingen for årene 2016-2022 viser at mye av fisken fanges i uke 19-20 (Figur 6.38). Tråldata indikerer moderat eller høy risiko for dødelighet de fleste årene 2016-2022.

Figur
Figur 6.38. Estimert lakselusindusert dødelighet (%) med konfidensintervaller på trålfanget vill postsmolt av laks. Antall laks undersøkt hver uke er angitt i figuren.

 

Fangsten av fisk i Hardangerfjorden ukene det er trålt kan indikere at en andel av fisken enkelte år har utvandret før trålingen startet (Figur 6.39), vurdert som gode fangster fra trålingen startet, og at trålingen de øvrige år ser ut til å treffe relativt godt med utvandringen da det er en lave fangster både på starten og slutten av trålperioden. Det skal dog bemerkes at fisk fra de indre elvene utgjør en liten del av fangsten, samtidig har de lang vandring (og bruker derfor en del tid fra elv til der det tråles), og det er derfor mulig at disse er underrepresentert i fangstene.

Figur
Figur 6.39. Kumulativ fangst av laksesmolt i trål i Hardangerfjorden 2016-2022 som % av totalfangst.

 

I Hardangerfjorden er det gjort genetiske analyser for å bestemme hvilken elv fisken fanget i trålen utvandret fra. Andelen av fisk som kan bestemmes til hjemelv har variert mellom og innen år (Figur 6.40). Størst fangster fås fra de ytre elvene hvor Etne er totaldominerende, og elven med klart størst teoretisk smoltproduksjon i produksjonsområdet.

Figur
Figur 6.40. Antall postsmolt av laks fanget i trål i Hardangerfjorden 2016-2022 inndelt i de ulike regionene elvene tilhører (jfr. Figur 6.36). Grått indikerer at fisken ikke genetisk kan bestemmes til elv.

 

Det er gjort analyser av genetisk tilhørighet for enkelte av årene, og disse er for analysene slått sammen til regioner (jfr. Figur 6.36) pga. lavt antall fra mange elver. Estimert dødelighet i 2020 og 2021 er høy for alle regionene, moderat i 2022, inkludert Etne som ligger i ytre deler (Figur 6.41).

Figur
Figur 6.41. Estimert lakselusindusert dødelighet (%) med konfidensintervaller på trålfanget vill postsmolt av laks tilordnet hjemelv. Elver som kan tilordnes er vist i Figur 6.36. Antall er angitt i figuren.

 

Data fra smoltbur i er vist for årene 2016-2022 (Figur 6.42). Burdata indikerer økende smittepress fra den første perioden rundt midten-slutten av mai til første del av juni i mange av årene. I den første perioden var det lite lus på fisken i burene i hele fjorden i 2016,2019 og 2022 (men merk at her mangler data fra alle de ytre burene), mens i de øvrige år indikerer burdataene høyere smittepress i deler av Hardangerfjorden. Utbredelsen av smittepresset tolket fra burdata gjenspeiler at de midtre delene var brakklagt i mars i partallsår, de ytre i oddetallsår frem til 2017. I 2020 ble det observert høyere smitte på burfisken enn i tidligere år, i slutten av mai spesielt i de ytre delene, mens i begynnelsen av juni også innover i Hardangerfjorden. Burdata indikere lavere smittepress i 2021 enn i 2020, men merk at det mangler data fra store deler av Hardangerfjorden i periode 2 i 2021.

Figur
Figur 6.42. Snitt av antall lus/fisk normalisert til 14 dager for hver av smoltburene, fargene angir < 2 (grønne), 2-6 (gule), og > 6 lus/fisk (røde). Tidsperioden i figuren viser tiden burene stod ute.

 

6.3.4 - PO 4 Nordhordland til Stadt

Beregnet median temperatur for hele produksjonsområdet på 0,5 m dyp rundt midtpunkt (± 14 dager) for dato for smoltutvandringen for området er ca. 9 °C. (Figur 6.2). Videre utover sommeren viser observerte verdier på 3m dyp fra oppdrettsanleggene at temperaturen i produksjonsområdet stiger til ca. 16 °C (Figur 6.43). Temperaturen er derfor gunstig for lakselus både under smoltutvandringen og i beiteperioden for sjøørret.

Figur
Figur 6.43. Median temperatur på 3 m dyp basert på rapporterte temperaturer på oppdrettsanlegg i produksjonsområdet. Svart linje viser snitt av årene 2012-2022 hvor standardavvik er markert med grått felt, samt temperaturen i 2021 (blå linje) og 2022 (rød linje). Grønt område viser antatt utvandringsperiode for laks, blått antatt beiteperiode i sjø for sjøørret som vandrer ut på tidspunktet for 50% utvandring av laksesmolt.

 

Saltholdigheten i PO4 indikerer at områder med saltholdighet < 25 øker fra april til juni (Figur 6.44). I både Osterfjorden, de indre delene av Sognefjorden og i Nordfjord er saltholdigheten i overflaten < 25 i mai. Lavest saltholdighet ses inne i fjordene, og saltholdigheten indikerer at beitende sjøørret, og laksesmolt som vandrer ut gjennom dette området ofte til en viss grad er beskyttet. Det skal bemerkes at strømmer kan endre dette bildet på kort tid, og innstrømmende vann observeres relativt ofte.

Figur
Figur 6.44. Utbredelse av saltholdighet i overflaten midlet for årene 2012-2022 i mai, juni, juli og august. Verdiene er beregnet vha. strømmodellen NorKyst800.

 

I PO 4 økte utslippene av klekte nauplier summert for 4 uker før til 3 uker etter median smoltutvandring frem til ca. 8 milliarder lus i 2017, og har variert rundt omtrent 7 milliarder 2018-2022 (Figur 6.45). Andelen av arealet med forhøyet smittepress i PO4 økte gjennom smoltutvandringsperioden alle 4 årene 2019-2022, var ved midtpunkt for utvandringen rundt 15 % i 2019 og 2021, noe over 20% 2018 og 2022 (Figur 6.45).

Figur
Figur 6.45. Venstre side viser utslipp av lakselus fra alle aktive oppdrettsanlegg i produksjonsområdet summert fra 4 uker før til 3 uker etter median smoltutvandring, der horisontale stiplete linjer indikerer grensene for høyt og lavt utslipp. Høyre side viser ROC indekser for fisk som står i fjorden fra dato på x-aksen og 30 dager frem i tid. Grafen skal leses sammen med ROC kartet (Figur 6.46) og verdiene i grafen viser andelen av arealet med forhøyet tetthet av smittsomme luselarver (jfr. Modellmetode 1: ROC). Heltrukken vertikal linje markerer tid for median utvandring, grønt areal utvandringsperioden for postsmolt av laks brukt i den virtuelle smoltmodellen. Horisontale stiplete linjer markerer 10 og 30% areal.

 

ROC modellen indikerer at det er forhøyete tettheter av lakselus langs kysten i store deler av produksjonsområdet 2019-2022 (Figur 6.46). De indre delene av fjordene har ofte mindre tetthet av lus alle årene.

Figur
Figur 6.46. Figurene viser områder med forhøyet tetthet av lakselus akkumulert over en mnd. Kartene viser områdene dekket av estimerte vandringsruter for laks fra alle elvene i PO4. Røde områder indikerer at fisk som oppholder seg der i 30 dager sannsynligvis vil smittes med mer enn 6 lus, gule områder at de estimeres til å smittes med mellom 2 og 6 lus per fisk, grønne områder indikerer at fisken sannsynligvis smittes med mindre enn 2 lus per fisk.

 

For beitende sjøørret indikerer modellresultatene for årene 2020-2022 at det er mer enn 30% RML både ved normal og sein utvandring, oftest moderat RML ved tidlig utvandring (Figur 6.47). Det estimeres fra 2 til 15 dager RMT ved normal utvandring i 2020-2022 (Figur 6.47).

Figur
Figur 6.47. Venstre figur viser kumulativt redusert marint leveområde (RML) for fisk som utvandrer ved median dato for utvandring for alle elvene i produksjonsområdet og redusert marin beiteperiode (RMT) 2020-2022 (tekst i figuren). Skravert område indikerer antatt naturlig beiteperiode (70 dager). Høyre figur viser RML etter 70 dager for årene 2019-2022 ved median dato for utvandring (Normal), og ved 20 dager tidligere (Tidlig) eller 20 dager senere utvandring (Sein).

 

ROC kartene tilpasset antatt 70 dagers beiteperiode for sjøørret viser at det er høyt smittepress langs kysten i store deler av produksjonsområdet, men mer i de sørlige delene (Figur 6.48). Området med forhøyet smittepress (moderat eller høyt) strekker seg også et stykke innover i alle fjordene, men det er lavere tettheter i indre deler av fjordene.

Figur
Figur 6.48. Kart som viser hvor det er forventet at postsmolt av ørret som beiter i området fra dato for median for smoltutvandring i produksjonsområdet (periode gitt i kartene) vil bli infisert med mer enn 18 mobile lus (rød), mellom 6-18 mobile lus (gul) og mindre enn 6 mobile lus (grønn).

 

Estimatene fra den virtuelle smoltmodellen viser høyere påvirkning fra lakselus i årene etter 2015 i forhold til 2012-2014 (Figur 6.49). Modellen estimer mellomårlig svingning, hvor median estimert dødelighet for eleven i produksjonsområdet har vært rundt 30% fra 2019.

Figur
Figur 6.49. Estimert dødelighet 2012-2022 for normal utvandring og mest sannsynlig toleranse for lus (Tabell 3.1). Beregningen er ikke vektet etter elvenes teoretiske smoltproduksjon. Boks viser estimert dødelighet på 25-75% av fisken, streker 5-95%. Svarte bokser viser resultater fra tidligere modellversjon, blå bokser fra nyeste modellversjon. Orange linjer viser median dødelighet på fisken, og grønne linjer gjennomsnittet. De stiplede linjene viser grensene for lav/moderat/høy dødelighet.

 

Estimatene fra den virtuelle smoltmodellen viser moderat eller høy påvirkning for nesten alle elvene årene 2017-2022 (Figur 6.50). Elvene i indre del av Sognefjorden har høy estimert dødelighet alle årene, men 2019-2021 er den estimerte dødeligheten for enkelte av elvene estimert som moderat dersom en antar tidlig utvandring eller høy toleranse for lus (i henhold til Tabell 3.1). Den estimerte påvirkningen på elvene i Nordfjord svinger, og er høyest oddetallsår.

Figur
Figur 6.50. Estimert dødelighet for laksesmolt fra elvene i 2017-2022 i produksjonsområdet ved antatt «normal» utvandringstid og «mest sannsynlig toleranse for lus» (grønn; < 10 %, gul; 10-30% og rød; > 30%). Kantfargen indikerer om 10 dager tidligere eller senere utvandring, eller høyere eller lavere toleranse for lakselus endrer kategoriseringen av dødelighet. Grønn kantfarge viser ingen endring, gul viser endret kategori i et tilfelle og rød kantfarge viser endret kategori i to, eller flere, tilfeller.

 

Ruse og garnfangst har vært konsentrert om Nordhordland, Sognefjorden og Maurstadvika i Nordfjorden (Figur 6.51). I Nordhordland beregnes det fra rusefangsten alle årene 2016 - 2022 høy lakselusindusert dødelighet både i perioden for smoltutvandringen (ukene 20-22) og for beitende sjøørret (Figur 6.52). I Sognefjorden viser data stor variasjon i estimert dødelighet på sjøørret fra Balestrand mens lengre ute (Bjordal) estimeres det oftest høy lakselusindusert dødelighet alle årene 2018-2022 under smoltutvandringen (ukene 20-22), og oftest høy for beitende sjøørret. I Nordfjord (Maurstadvika) indikerer rusedata moderat eller høy estimert lakselusindusert dødelighet alle årene 2016-2022 både for perioden dekkende for smoltutvandringen (ukene 20-22), og perioden dekkende for beitende sjøørret (Figur 6.52).

Figur
Figur 6.51. Stasjonene undersøkt minst tre av årene i perioden 2016-2022 i NALO programmet. Lakseelvene i området er vist som tall i kartet, uthevete elver er brukt til genetisk sporing av hjemelv for trålfanget laks fra området. De røde rektanglene omslutter elvene som renner ut i midtre eller indre deler av Sognefjorden. Grønt areal indikerer nasjonale laksefjorder.

 

Figur
Figur 6.52. Estimert lakselusindusert dødelighet (%) med konfidensintervaller på alle stasjonene undersøkt. Beregningene inkluderer all fisk fanget. Antall sjøørret undersøkt hver uke er angitt i figuren.

 

Resultatene fra postsmolttrålingen i Sognefjorden 2017-2022 viser at det enten estimeres moderat (2018, 2020) eller høy (2017, 2019, 2021, 2022) lakselusindusert dødelighet på den utvandrende postsmolten (Figur 6.53). Det ble i tillegg trålt uke 21 i 2019 i Nordfjord, hvor risiko for de 67 fiskene fanget estimeres til 3%, med konfidensintervall fra 1-9% (data ikke vist).

Figur
Figur 6.53. Estimert lakselusindusert dødelighet (%) med konfidensintervaller på trålfanget vill postsmolt av laks. Antall undersøkt hver uke er angitt i figuren.

 

Fangsten av laks i Sognefjorden ukene det er trålt kan indikere at en andel av fisken har utvandret før trålingen startet i 2017 og 2019 (Figur 6.54), vurdert som gode fangster fra trålingen startet, og at trålingen i 2019 og 2020 er avsluttet for tidlig til å fange opp sent utvandrende fisk.

Figur
Figur 6.54. Kumulativ fangst av laksesmolt i trål i Sognefjorden 2017-2022 som % av totalfangst.

 

I Sognefjorden er det gjort genetiske analyser for å bestemme hvilken elv fisken fanget i trålen utvandret fra. Andelen av fisk som kan bestemmes til hjemelv har variert mellom og innen år (Figur 6.55). Grunnet lave antall fra mange elver er disse gruppert i to regioner, indre og midtre (jfr. Figur 6.51).

Figur
Figur 6.55. Antall postsmolt av laks fanget i trål i Sognefjorden 2017-2022 inndelt i de ulike regionene elvene tilhører. Grått indikerer at fisken ikke genetisk kan bestemmes til elv.

 

Estimert dødelighet viser liten forskjell i estimert dødelighet for fisk fra disse to regionene, hvor det estimeres høy dødelighet for postsmolt laks fra begge regionene i 2017, 2019, 2021 og 2022, moderat i 2018 og 2020 (Figur 6.56).

Figur
Figur 6.56. Estimert lakselusindusert dødelighet (%) med konfidensintervaller på trålfanget vill postsmolt av laks tilordnet hjemelv. Elver som kan tilordnes er vist i Figur 6.51. Antall er angitt i figuren.

 

Data fra smoltburene i Sognefjorden indikerer relativt høye påslag av lakselus under smoltutvandringen både 2017-2019 og 2022, med økende smittepress utover sesongen 3 årene 2017-2019, avtagende i 2022 (Figur 6.57). Det observeres lus i burene helt inn mot grensen til den nasjonale laksefjorden. Det ble ikke satt ut bur i 2020-2021.

Figur
Figur 6.57. Snitt av antall lus/fisk normalisert til 14 dager for hver av smoltburene, fargene angir < 2 (grønne), 2-6 (gule), og > 6 lus/fisk (røde). Tidsperioden i figuren viser tiden burene stod ute.

 

6.3.5 - PO 5 Stadt til Hustadvika

Beregnet median temperatur for hele produksjonsområdet på 0,5 m dyp rundt midtpunkt (± 14 dager) for dato for smoltutvandringen for området er ca. 9 °C. (Figur 6.2). Videre utover sommeren viser observerte verdier på 3m dyp fra oppdrettsanleggene at temperaturen i produksjonsområdet stiger til ca. 15 °C (Figur 6.58). Temperaturen er derfor gunstig for lakselus både under smoltutvandringen og i beiteperioden for sjøørret.

Figur
Figur 6.58. Median temperatur på 3 m dyp basert på rapporterte temperaturer på oppdrettsanlegg i produksjonsområdet. Svart linje viser snitt av årene 2012-2022 hvor standardavvik er markert med grått felt, samt temperaturen i 2021 (blå linje) og 2022 (rød linje). Grønt område viser antatt utvandringsperiode for laks, blått antatt beiteperiode i sjø for sjøørret som vandrer ut på tidspunktet for 50% utvandring av laksesmolt.

 

Saltholdigheten i PO5 indikerer at utbredelsen av brakkvannslaget (saltholdighet < 25) øker fra april til mai (Figur 6.59). Lavest saltholdighet ses innerst i de store fjordene, og de lave saltholdighetene indikerer at beitende sjøørret, og smolt som vandrer ut gjennom dette området ofte til en viss grad er beskyttet. Dette området er begrenset i omfang.

Figur
Figur 6.59. Utbredelse av saltholdighet i overflaten midlet for årene 2012-2022 i mai, juni, juli og august. Verdiene er beregnet vha. strømmodellen NorKyst800.

 

Utslipp av lakselus fra alle aktive oppdrettsanlegg i produksjonsområdet indikerer økende utslipp 2012-2015, noe lavere i 2018, høyere i 2019, og lavere i 2020-2022 (Figur 6.60). Andel av forhøyet areal i snitt for årene 2019-2022 viser at dette øker gjennom sesongen, ligger rundt eller under 10% rundt median dato for utvandring av laks fra elvene i PO5 i tre av årene, men ca. 30% i 2019 (Figur 6.60). Andel av påvirket areal øker utover våren og sommeren alle årene.

Figur
Figur 6.60. Venstre side viser utslipp av lakselus fra alle aktive oppdrettsanlegg i produksjonsområdet summert fra 4 uker før til 3 uker etter median smoltutvandring, der horisontale stiplete linjer indikerer grensene for høyt og lavt utslipp. Høyre side viser ROC indekser for fisk som står i fjorden fra dato på x-aksen og 30 dager frem i tid. Grafen skal leses sammen med ROC kartet (Figur 6.61) og verdiene i grafen viser andelen av arealet med forhøyet tetthet av smittsomme luselarver (jfr. Modellmetode 1: ROC). Heltrukken vertikal linje markerer tid for median utvandring, grønt areal utvandringsperioden for postsmolt av laks brukt i den virtuelle smoltmodellen. Horisontale stiplete linjer markerer 10 og 30% areal.

 

ROC kartene for årene 2019-2022 indikerer at det er en del lus i ytre deler av Storfjorden fra median dato for smoltutvandringen 2019 og 2021, moderat noe lengre inne i Storfjorden i 2020 og 2022 (Figur 6.61). I Romsdalsfjorden indikerer ROC kartene relativt mye lus i 2019, ett større område med moderat tetthet av lakselus i 2021, og relativt lite i 2020 og 2022.

Figur
Figur 6.61. Figurene viser områder med forhøyet tetthet av lakselus akkumulert over en mnd. Kartene viser områdene dekket av estimerte vandringsruter for laks fra alle elvene i PO5. Røde områder indikerer at fisk som oppholder seg der i 30 dager sannsynligvis vil smittes med mer enn 6 lus, gule områder at de estimeres til å smittes med mellom 2 og 6 lus per fisk, grønne områder indikerer at fisken sannsynligvis smittes med mindre enn 2 lus per fisk.

 

For beitende sjøørret indikerer modellresultatene for årene 2019-2022 at det er stor variasjon i andel RML ved normal utvandring (Figur 6.62). I to av årene (2019 og 2021) er det estimert over 30% RML ved normal og sein utvandring. Det estimeres fra 0 til 4 dager RMT ved normal utvandring 2020-2022 (Figur 6.62).

Figur
Figur 6.62. Venstre figur viser kumulativt redusert marint leveområde (RML) for fisk som utvandrer ved median dato for utvandring for alle elvene i produksjonsområdet og redusert marin beiteperiode (RMT) 2020-2022 (tekst i figuren). Skravert område indikerer antatt naturlig beiteperiode (70 dager). Høyre figur viser RML etter 70 dager for årene 2019-2022 ved median dato for utvandring (Normal), og ved 20 dager tidligere (Tidlig) eller 20 dager senere utvandring (Sein).

 

ROC kartene tilpasset en 70 dagers beiteperiode for sjøørret fra normal utvandring 2019-2022 viser at det er forhøyete tettheter av lakselus i de nordlige delene (Romsdalsfjorden og nord for denne) i 2019 og 2021-2022 (Figur 6.63), lavere i 2020. I Storfjorden i sørlige deler av produksjonsområdet estimeres forhøyete tettheter i deler av fjorden 2019 og 2021, lavere i 2020 og moderate i midtre deler i 2022. I alle årene er det relativt lave tettheter av lakselus i de indre delene av fjordene.

Figur
Figur 6.63. Kart som viser hvor det er forventet at postsmolt av ørret som beiter i området fra dato for median for smoltutvandring i produksjonsområdet (periode gitt i kartene) vil bli infisert med mer enn 18 mobile lus (rød), mellom 6-18 mobile lus (gul) og mindre enn 6 mobile lus (grønn).

 

Estimert dødelighet fra den virtuelle smoltmodellen viser at de fleste av årene 2012-2022 er både median og gjennomsnitt dødelighet mellom 10 og 30% (Figur 6.64).

Figur
Figur 6.64. Estimert dødelighet 2012-2022 for normal utvandring og mest sannsynlig toleranse for lus (Tabell 3.1). Beregningen er ikke vektet etter elvenes teoretiske smoltproduksjon. Boks viser estimert dødelighet på 25-75% av fisken, streker 5-95%. Svarte bokser viser resultater fra tidligere modellversjon, blå bokser fra nyeste modellversjon. Orange linjer viser median dødelighet på fisken, og grønne linjer gjennomsnittet. De stiplede linjene viser grensene for lav/moderat/høy dødelighet.

 

Estimatene fra den virtuelle smoltmodellen viser estimert dødelighet i alle kategorier, hvor den luseinduserte dødeligheten varierer mellom elver og år (Figur 6.65). Den estimerte dødeligheten er høyest i de indre elvene i både Storfjorden og Romsdalsfjorden. Den estimerte dødeligheten endrer kategori dersom man antar tidlig/sein utvandringstid eller lav/høy toleranse for lakselus (i henhold til Tabell 3.1). Dette gjelder både for elver kategorisert med lav, moderat eller høy dødelighet.

Figur
Figur 6.65. Estimert dødelighet for laksesmolt fra elvene i 2017-2022 i produksjonsområdet ved antatt «normal» utvandringstid og «mest sannsynlig toleranse for lus» (grønn; < 10 %, gul; 10-30% og rød; > 30%). Kantfargen indikerer om 10 dager tidligere eller senere utvandring, eller høyere eller lavere toleranse for lakselus endrer kategoriseringen av dødelighet. Grønn kantfarge viser ingen endring, gul viser endret kategori i et tilfelle og rød kantfarge viser endret kategori i to, eller flere, tilfeller.

 

I produksjonsområde 5 har en undersøkt stasjoner med ruse i Storfjorden (Sykkylven, Ørsta- og Voldsfjorden) og i Romsdalsfjorden (Vatne- og Frænfjorden) en eller flere ganger 2016-2022 (Figur 6.66). I Storfjorden, ved Sykkylven estimeres det moderat til høy dødelighet de årene stasjonen er undersøkt (2016-2019), mens både i Ørsta- og Voldsfjorden estimeres høy dødelighet 2016-2019 (Figur 6.67). I 2020 og 2021 er bare Ørstafjorden undersøkt, her estimeres moderat dødelighet på den rusefangete sjøørreten.

I Romsdalsfjorden er Vatne- og Frænfjorden undersøkt med ruse alle årene 2016-2022. Dødelighetsestimatene har variert, men i perioden dekkende for smoltutvandringen (ukene 21-23) estimeres ofte moderat eller høy dødelighet (Figur 6.67). Senere i sesongen estimeres høy dødelighet på begge stasjonene alle årene.

Figur
Figur 6.66. Stasjonene undersøkt minst tre av årene i perioden 2016-2022 i NALO programmet. Lakseelvene i området er vist som tall i kartet, uthevete elver er brukt til genetisk sporing av hjemelv for trålfanget laks fra området. De røde rektanglene omslutter elvene som renner ut i sørlige, østlige eller nordlige deler av Romsdalsfjorden. Grønt areal indikerer nasjonale laksefjorder.

 

Figur
Figur 6.67. Estimert lakselusindusert dødelighet (%) med konfidensintervaller på alle stasjonene undersøkt. Beregningene inkluderer all fisk fanget. Antall sjøørret undersøkt hver uke er angitt i figuren.

 

Det er trålt etter utvandrende postsmolt laks i Romsdalsfjordsystemet i 2017-2022. Fangstene har variert (Figur 6.68). I 2017, 2019 og 2021 ble det observert uker med moderat og høy estimert dødelighet, liten alle ukene i 2018,2020 og 2022 (Figur 6.68). Merk lave fangster spesielt i 2021 og 2022.

Figur
Figur 6.68. Estimert lakselusindusert dødelighet (%) med konfidensintervaller på trålfanget vill postsmolt av laks. Antall laks fanget hver uke er angitt i figuren.

 

Fangsten av fisk i Romsdalsfjorden ukene det er trålt kan indikere at en andel av fisken har utvandret før trålingen startet i 2017 og 2021 (Figur 6.69), vurdert som gode fangster fra trålingen startet, og at trålingen i alle årene ser ut til å fange opp også sent utvandrende fisk.

Figur
Figur 6.69. Kumulativ fangst av laksesmolt i trål i Romsdalsfjorden 2017-2022 som % av totalfangst.

 

I Romsdalsfjorden er det gjort genetiske analyser for å bestemme hvilken elv fisken fanget i trålen utvandret fra. Elver som kan tilordnes og inndelingen i regioner er vist i Figur 6.66 Andelen av fisk som kan bestemmes til hjemelv har variert mellom og innen år (Figur 6.70).

Figur
Figur 6.70. Antall postsmolt av laks fanget i trål i Romsdalsfjorden 2017-2022 inndelt i de ulike regionene elvene tilhører (jfr. Figur 6.66). Grått indikerer at fisken ikke genetisk kan bestemmes til elv.

 

Det er gjort genetisk tilhørighetsanalyse på fisken fanget i trål alle årene. Det estimeres moderat eller høy dødelighet på trålfanget fisk 2017, 2019, 2021 og 2022 fra en eller flere regioner, men lav i både 2018 og 2020 for alle regionene (Figur 6.71). Merk lave antall laks undersøkt i enkelte regioner, og spesielt årene 2021-2022.

Figur
Figur 6.71. Estimert lakselusindusert dødelighet (%) med konfidensintervaller på trålfanget vill postsmolt av laks tilordnet hjemelv. Elver som kan tilordnes er vist i Figur 6.66. Antall laks analysert er angitt i figuren.

 

Det er benyttet smoltbur i Romsdalsfjorden 2016-2018 (Figur 6.72). Påslagene av lus på fisken i smoltburene indikerer lavt smittepress alle disse årene. Det er ikke gjort burundersøkelser i 2019 - 2022.

Figur
Figur 6.72. Snitt av antall lus/fisk normalisert til 14 dager for hver av smoltburene, fargene angir < 2 (grønne), 2-6 (gule), og > 6 lus/fisk (røde). Tidsperioden i figuren viser tiden burene stod ute.

 

 

6.3.6 - PO 6 Nordmøre og Sør-Trøndelag

Beregnet median temperatur for hele produksjonsområdet på 0,5 m dyp rundt midtpunkt (± 14 dager) for dato for smoltutvandringen for området er ca. 9 °C. (Figur 6.2). Videre utover sommeren viser observerte verdier på 3m dyp fra oppdrettsanleggene at temperaturen i produksjonsområdet stiger til ca. 15 °C (Figur 6.73). Temperaturen er derfor gunstig for lakselus både under smoltutvandringen og i beiteperioden for sjøørret.

Figur
Figur 6.73. Median temperatur på 3 m dyp basert på rapporterte temperaturer på oppdrettsanlegg i produksjonsområdet. Svart linje viser snitt av årene 2012-2022 hvor standardavvik er markert med grått felt, samt temperaturen i 2021 (blå linje) og 2022 (rød linje). Grønt område viser antatt utvandringsperiode for laks, blått antatt beiteperiode i sjø for sjøørret som vandrer ut på tidspunktet for 50% utvandring av laksesmolt.

 

Saltholdigheten i PO6 indikerer at arealet med saltholdighet < 25 har relativt liten utbredelse i mai og juni, og at dette avtar i juli og august (Figur 6.74). Lavest saltholdighet ses innerst i fjordene, og de lave verdiene indikerer at beitende sjøørret, og smolt som vandrer ut gjennom dette området til en viss grad er beskyttet.

Figur
Figur 6.74. Utbredelse av saltholdighet i overflaten midlet for årene 2012-2022 i mai, juni, juli og august. Verdiene er beregnet vha. strømmodellen NorKyst800.

 

Utslippene av lakselus i PO6 økte til 2016, falt til 2018 men har vist en økning de tre siste årene (Figur 6.75). For årene 2019-2022 er ROC indeksen < 10% for laks som vandrer tidlig, mellom 10 og 30% fro de som vandrer midt i perioden, og rundt 30 % for de som vandrer sent (Figur 6.75). Høyeste ROC indeks i denne perioden er observert i 2022.

Figur
Figur 6.75. Venstre side viser utslipp av lakselus fra alle aktive oppdrettsanlegg i produksjonsområdet summert fra 4 uker før til 3 uker etter median smoltutvandring, der horisontale stiplete linjer indikerer grensene for høyt og lavt utslipp. Høyre side viser ROC indekser for fisk som står i fjorden fra dato på x-aksen og 30 dager frem i tid. Grafen skal leses sammen med ROC kartet (Figur 6.76) og verdiene i grafen viser andelen av arealet med forhøyet tetthet av smittsomme luselarver (jfr. Modellmetode 1: ROC). Heltrukken vertikal linje markerer tid for median utvandring, grønt areal utvandringsperioden for postsmolt av laks brukt i den virtuelle smoltmodellen. Horisontale stiplete linjer markerer 10 og 30% areal.

 

ROC modellen indikerer at det er relativt mye lus under smoltutvandringen i enkelte områder på Nordmøre (Smøla-Hitra) alle årene. Sørligste utbredelse ses 2019 og 2022. Oftest er det lavere tetthet av lus i Trondheimsfjorden og i utvandringsruten for fisk herfra, men i 2022 indikerer ROC kartene mye lus i Frohavet og oppover langs kysten (Figur 6.76).

Figur
Figur 6.76. Figurene viser områder med forhøyet tetthet av lakselus akkumulert over en mnd. Kartene viser områdene dekket av estimerte vandringsruter for laks fra alle elvene i PO6. Røde områder indikerer at fisk som oppholder seg der i 30 dager sannsynligvis vil smittes med mer enn 6 lus, gule områder at de estimeres til å smittes med mellom 2 og 6 lus per fisk, grønne områder indikerer at fisken sannsynligvis smittes med mindre enn 2 lus per fisk.

 

For beitende sjøørret indikerer analysene et RML for årene 2019-2022 på mellom 10 og 30% for tidlig utvandrende sjøørret, 25-40% RML for sjøørret med normal utvandring og over 30 % RML for seint utvandrende sjøørret. har (Figur 6.77). Det estimeres fra 0 til 9 dager RMT ved normal utvandring i 2020-2022 (Figur 6.77).

Figur
Figur 6.77. Venstre figur viser kumulativt redusert marint leveområde (RML) for fisk som utvandrer ved median dato for utvandring for alle elvene i produksjonsområdet og redusert marin beiteperiode (RMT) 2020-2022 (tekst i figuren). Skravert område indikerer antatt naturlig beiteperiode (70 dager). Høyre figur viser RML etter 70 dager for årene 2019-2022 ved median dato for utvandring (Normal), og ved 20 dager tidligere (Tidlig) eller 20 dager senere utvandring (Sein).

 

ROC kartene tilpasset en 70 dagers beiteperiode for sjøørret fra normal utvandring 2019-2022 viser store deler av de ytre delene av produksjonsområdet har relativt mye lus (Figur 6.78). Dette omfatter rundt øyene Smøla, Hitra, Frøya, delvis i Frohavet, samt oppover langs kysten. Det er mindre lus inne i fjordene, og helt sør i produksjonsområdet

Figur
Figur 6.78. Kart som viser hvor det er forventet at postsmolt av ørret som beiter i området fra dato for median for smoltutvandring i produksjonsområdet (periode gitt i kartene) vil bli infisert med mer enn 18 mobile lus (rød), mellom 6-18 mobile lus (gul) og mindre enn 6 mobile lus (grønn).

 

Estimatene fra den virtuelle smoltmodellen indikere at både median og gjennomsnittlig dødelighet for elvene i produksjonsområdet er mellom 10 og 30 % (Figur 6.79).

Figur
Figur 6.79. Estimert dødelighet 2012-2022 for normal utvandring og mest sannsynlig toleranse for lus (Tabell 3.1). Beregningen er ikke vektet etter elvenes teoretiske smoltproduksjon. Boks viser estimert dødelighet på 25-75% av fisken, streker 5-95%. Svarte bokser viser resultater fra tidligere modellversjon, blå bokser fra nyeste modellversjon. Orange linjer viser median dødelighet på fisken, og grønne linjer gjennomsnittet. De stiplede linjene viser grensene for lav/moderat/høy dødelighet.

 

Den virtuelle smoltmodellen estimerer ofte høyere dødelighet på utvandrende postsmolt av laks for elvene fra Nordmøre enn i Trondheimsfjorden, i 4 av 6 år med moderat til høy påvirkning (Figur 6.80). For elvene i Trondheimsfjorden estimeres det oftest liten eller moderat dødelighet på postsmolt av laks 2017-2021, høy for flere av elvene i 2022. Det estimeres høyest dødelighet for elvene lengst inn i fjorden. Den estimerte dødeligheten endrer kategori dersom man antar tidlig/sein utvandringstid eller lav/høy toleranse for lakselus (i henhold til Tabell 3.1). Dette gjelder både for elver kategorisert med lav, moderat eller høy dødelighet.

Figur
Figur 6.80. Estimert dødelighet for laksesmolt fra elvene i 2017-2022 i produksjonsområdet ved antatt «normal» utvandringstid og «mest sannsynlig toleranse for lus» (grønn; < 10 %, gul; 10-30% og rød; > 30%). Kantfargen indikerer om 10 dager tidligere eller senere utvandring, eller høyere eller lavere toleranse for lakselus endrer kategoriseringen av dødelighet. Grønn kantfarge viser ingen endring, gul viser endret kategori i et tilfelle og rød kantfarge viser endret kategori i to, eller flere, tilfeller.

 

I PO6 er det undersøkt stasjoner med ruse og garnfangst av sjøørret i utløpet av Trondheimsfjorden og utenfor (Figur 6.81). Ved utløpet av Trondheimsfjorden er Agdenes undersøkt alle årene 2016-2022. Alle årene har estimert dødelighet økt utover sesongen (Figur 6.82), og det estimeres da høy dødelighet for beitende sjøørret alle årene. Dataene mest dekkene for smoltutvandringen (ukene 21-23) estimeres det oftest moderat dødelighet, men det estimeres også høy (2016, 2018) og lav (2017, 2021) dødelighet. Nord for Trondheimsfjorden er også Asserøy undersøkt 2016 og 2018-2019. Her varierte estimatene, men utover sesongen estimeres det moderat og høy dødelighet (Figur 6.82). Hitra er undersøkt 2020-2022. Her varierer estimatene mellom moderat og høy dødelighet.

Figur
Figur 6.81. Stasjonene undersøkt minst tre av årene i perioden 2016-2022 i NALO programmet. Lakseelvene i området er vist som tall i kartet. Grønt areal indikerer nasjonale laksefjorder.

 

Figur
Figur 6.82. Estimert lakselusindusert dødelighet (%) med konfidensintervaller på alle stasjonene undersøkt. Beregningene inkluderer all fisk fanget. Antall sjøørret undersøkt hver uke er angitt i figuren.

 

Tråldata fra Trondheimsfjorden viser at det oftest er lite lus på den trålfangete fisken alle årene undersøkt 2017-2022 (Figur 6.83). Det skal bemerkes at fisket foregår relativt nært land, og om fisken smittes av lus fra Storfosna og utover vil dette i liten grad fanges opp. I 2021 og 2022 lykkes en i å fange fisk lengre ute i Frohavet, og selv om 2021 var ett år hvor smoltmodellen indikerte liten dødelighet på fisken fra Trondheimsfjorden (jfr. Figur 6.80), ble det observert noe mer lus enn tidligere år. For 2022 estimerer smoltmodellen moderat og høy luseindusert dødelighet for laks fra Trondheimsfjorden, men dette ses ikke igjen i tråldata.

Figur
Figur 6.83. Estimert lakselusindusert dødelighet (%) med konfidensintervaller på trålfanget vill postsmolt av laks fra Trondheimsfjorden. Antall laks undersøkt hver uke er angitt i figuren.

 

Fangsten av fisk i Trondheimsfjorden ukene det er trålt kan indikere at en andel av fisken har utvandret før trålingen startet i 2018 og 2022 (Figur 6.84), vurdert som gode fangster fra trålingen startet.

Figur
Figur 6.84. Kumulativ fangst av laksesmolt i trål i Trondheimsfjorden 2017-2022 som % av totalfangst.

 

Estimatene på den trålfangede fisken på Nordmøre i 2019 indikerte liten dødelighet, men høyere estimater enn i Trondheimsfjorden (data ikke vist).

Det er benyttet smoltbur i Trondheimsfjorden årene 2016-2018, ikke i 2019-2022 (Figur 6.85). Det var lite lus på fisken i alle smoltburene.

Figur
Figur 6.85. Snitt av antall lus/fisk normalisert til 14 dager for hver av smoltburene, fargene angir < 2 (grønne), 2-6 (gule), og > 6 lus/fisk (røde). Tidsperioden i figuren viser tiden burene stod ute.

 

6.3.7 - PO 7 Nord-Trøndelag med Bindal

Beregnet median temperatur for hele produksjonsområdet på 0,5 m dyp rundt midtpunkt (± 14 dager) for dato for smoltutvandringen for området er ca. 9 °C. (Figur 6.2). Videre utover sommeren viser observerte verdier på 3m dyp fra oppdrettsanleggene at temperaturen i produksjonsområdet stiger til ca. 15 °C (Figur 6.86). Temperaturen er derfor gunstig for lakselus både under smoltutvandringen og i beiteperioden for sjøørret.

Figur
Figur 6.86. Median temperatur på 3 m dyp basert på rapporterte temperaturer på oppdrettsanlegg i produksjonsområdet. Svart linje viser snitt av årene 2012-2022 hvor standardavvik er markert med grått felt, samt temperaturen i 2021 (blå linje) og 2022 (rød linje). Grønt område viser antatt utvandringsperiode for laks, blått antatt beiteperiode i sjø for sjøørret som vandrer ut på tidspunktet for 50% utvandring av laksesmolt.

 

Saltholdigheten i PO7 indikerer at brakkvannslaget (areal innenfor grunnlinjen med saltholdighet < 25) er begrenset til Namsfjorden, Folda og Tosen (Figur 6.87). Det er relativt liten årviss variasjon i dette mønsteret, og liten endring fra mai til august. De lave verdiene indikerer at beitende sjøørret, og smolt som vandrer ut gjennom disse områdene til en viss grad vil være beskyttet. Storparten av området har saltholdigheter som ikke vil påvirke lakselusens adferd i nevneverdig grad.

Figur
Figur 6.87. Utbredelse av saltholdighet i overflaten midlet for årene 2012-2022 i mai, juni, juli og august. Verdiene er beregnet vha. strømmodellen NorKyst800.

 

Utslippene av lakselus i PO 7 indikerer en økning frem mot 2015-2016 og noe lavere i 2017-2018, og noe høyere igjen 2019-2022 (Figur 6.88). ROC indeksen indikerer at fisk som vandrer tidlig har en indeks under 10%, mens de som vandrer senere har en økende indeks, ofte over 30% (Figur 6.88).

Figur
Figur 6.88. Venstre side viser utslipp av lakselus fra alle aktive oppdrettsanlegg i produksjonsområdet summert fra 4 uker før til 3 uker etter median smoltutvandring, der horisontale stiplete linjer indikerer grensene for høyt og lavt utslipp. Høyre side viser ROC indekser for fisk som står i fjorden fra dato på x-aksen og 30 dager frem i tid. Grafen skal leses sammen med ROC kartet (Figur 6.89) og verdiene i grafen viser andelen av arealet med forhøyet tetthet av smittsomme luselarver (jfr. Modellmetode 1: ROC). Heltrukken vertikal linje markerer tid for median utvandring, grønt areal utvandringsperioden for postsmolt av laks brukt i den virtuelle smoltmodellen. Horisontale stiplete linjer markerer 10 og 30% areal.

 

ROC kartene indikerer at det fra dato for median smoltutvandring for området er forhøyete tettheter av lakselus på sørsiden av Namsfjorden og på nordsiden av Vikna i 2019 og 2021, mens i 2020 og 2022 er høyest tetthet på sørsiden av Vikna (Figur 6.89).

Figur
Figur 6.89. Figurene viser områder med forhøyet tetthet av lakselus akkumulert over en mnd. Kartene viser områdene dekket av estimerte vandringsruter for laks fra alle elvene i PO7. Røde områder indikerer at fisk som oppholder seg der i 30 dager sannsynligvis vil smittes med mer enn 6 lus, gule områder at de estimeres til å smittes med mellom 2 og 6 lus per fisk, grønne områder indikerer at fisken sannsynligvis smittes med mindre enn 2 lus per fisk.

 

For beitende sjøørret indikerer modellresultatene at det i de fleste årene fra 2013 er moderat RML ved tidlig utvandring, og moderat eller høy RML ved normal utvandring og over 30% ved sen utvandring (Figur 6.90). Det estimeres fra 7 til 20 dager RMT ved normal utvandring i 2019-2020 (Figur 6.90).

Figur
Figur 6.90. Venstre figur viser kumulativt redusert marint leveområde (RML) for fisk som utvandrer ved median dato for utvandring for alle elvene i produksjonsområdet og redusert marin beiteperiode (RMT) 2020-2022 (tekst i figuren). Skravert område indikerer antatt naturlig beiteperiode (70 dager). Høyre figur viser RML etter 70 dager for årene 2019-2022 ved median dato for utvandring (Normal), og ved 20 dager tidligere (Tidlig) eller 20 dager senere utvandring (Sein).

 

ROC kartene tilpasset en 70 dagers beiteperiode for sjøørret fra normal utvandring 2018-2021 viser at i 2018 og 2020 har området sør for Vikna hovedsakelig høy tetthet av lakselus, mens i 2019 og 2021 er det hovedsakelig området nord for Vikna som har høy tetthet av lakselus (Figur 6.91). Alle årene er det ett område sør for Namsfjorden som har høy tetthet av lakselus.

Figur
Figur 6.91. Kart som viser hvor det er forventet at postsmolt av ørret som beiter i området fra dato for median for smoltutvandring i produksjonsområdet (periode gitt i kartene) vil bli infisert med mer enn 18 mobile lus (rød), mellom 6-18 mobile lus (gul) og mindre enn 6 mobile lus (grønn).

 

Estimat fra den virtuelle smoltmodellen viser lavt til moderat lusepåslag på fisken i perioden 2012 - 2021 (Figur 6.92). Det høyeste lusepåslaget var estimert i 2015 og 2019.

Figur
Figur 6.92. Estimert dødelighet 2012-2022 for normal utvandring og mest sannsynlig toleranse for lus (Tabell 3.1). Beregningen er ikke vektet etter elvenes teoretiske smoltproduksjon. Boks viser estimert dødelighet på 25-75% av fisken, streker 5-95%. Svarte bokser viser resultater fra tidligere modellversjon, blå bokser fra nyeste modellversjon. Orange linjer viser median dødelighet på fisken, og grønne linjer gjennomsnittet. De stiplede linjene viser grensene for lav/moderat/høy dødelighet.

 

Smoltmodellen estimerer stor variasjon i påvirkningen mellom elvene (Figur 6.93). For elvene i og rundt Namsfjorden og på sørsiden av Vikna er den estimerte dødeligheten liten eller moderat i 2016-2021. Elvene nord for Vikna har estimert moderat dødelighet i oddetallsår. Den estimerte dødeligheten endrer kategori dersom man antar tidlig/sein utvandringstid eller lav/høy toleranse for lakselus (i henhold til Tabell 3.1). Dette gjelder både for elver kategorisert med lav, moderat eller høy dødelighet.

Figur
Figur 6.93. Estimert dødelighet for laksesmolt fra elvene i 2017-2022 i produksjonsområdet ved antatt «normal» utvandringstid og «mest sannsynlig toleranse for lus» (grønn; < 10 %, gul; 10-30% og rød; > 30%). Kantfargen indikerer om 10 dager tidligere eller senere utvandring, eller høyere eller lavere toleranse for lakselus endrer kategoriseringen av dødelighet. Grønn kantfarge viser ingen endring, gul viser endret kategori i et tilfelle og rød kantfarge viser endret kategori i to, eller flere, tilfeller.

 

I PO7 er stasjoner undersøkt med ruse eller garnfangst av sjøørret i Namsfjorden, på Sitter og rundt Vikna (Figur 6.94). Median dato for utvandring for elvene i PO7 er 2. juni (uke 22/23). Det estimeres oftest liten dødelighet på sjøørret fanget i Namsfjorden før uke 25, men høy fra uke 25 i 2018 og 2019 (Figur 6.95). Stasjonen er ikke undersøkt 2020-2021. Ved Sitter er det mer lus på sjøørreten, og det estimertes oftest høy dødelighet, moderat i 2018. Tilsvarende bilde ses for stasjonen sør for Vikna, men estimatene er oftest lavere enn for Sitter.

Figur
Figur 6.94. Stasjonene undersøkt minst tre av årene i perioden 2016-2022 i NALO programmet. Lakseelvene i området er vist som tall i kartet. Grønt areal indikerer nasjonale laksefjorder.

 

Figur
Figur 6.95. Estimert lakselusindusert dødelighet (%) med konfidensintervaller på alle stasjonene undersøkt. Beregningene inkluderer all fisk fanget. Antall sjøørret undersøkt hver uke er angitt i figuren.

 

Tråldata fra ett begrenset fiske i uke 23 i Namsfjorden i 2019 viser lite lus på den trålfangete fisken, med estimert risiko på 0% (data ikke vist).

Det er benyttet smoltbur for å kartlegge smittepresset i Namsen – Viknaområdet 2016-2019 (Figur 6.96). Det er observert lite lus på smoltburene i Namsfjorden, men ofte moderate påslag på fisken i smoltburene opp mot Vikna.

Figur
Figur 6.96. Snitt av antall lus/fisk normalisert til 14 dager for hver av smoltburene, fargene angir < 2 (grønne), 2-6 (gule), og > 6 lus/fisk (røde). Tidsperioden i figuren viser tiden burene stod ute.

 

6.3.8 - PO 8 Helgeland til Bodø

Beregnet median temperatur for hele produksjonsområdet på 0,5 m dyp rundt midtpunkt (± 14 dager) for dato for smoltutvandringen for området er ca. 9 °C. (Figur 6.2). Videre utover sommeren viser observerte verdier på 3m dyp fra oppdrettsanleggene at temperaturen i produksjonsområdet stiger til ca. 14 °C (Figur 6.97). Temperaturen er derfor moderat gunstig for lakselus under smoltutvandringen og moderat til høy i beiteperioden for sjøørret.

Figur
Figur 6.97. Median temperatur på 3 m dyp basert på rapporterte temperaturer på oppdrettsanlegg i produksjonsområdet. Svart linje viser snitt av årene 2012-2022 hvor standardavvik er markert med grått felt, samt temperaturen i 2021 (blå linje) og 2022 (rød linje). Grønt område viser antatt utvandringsperiode for laks, blått antatt beiteperiode i sjø for sjøørret som vandrer ut på tidspunktet for 50% utvandring av laksesmolt.

 

Områdene med brakkvannslaget (saltholdighet < 25) er i mai begrenset til fjordene (Figur 6.98). Areal øker noe fra mai til juni og juli, og minker noe i august (Figur 6.98). Det er relativt liten årviss variasjon i dette mønsteret. Utbredelsen av dette brakkvannslaget er begrenset til delene av enkelte fjorder, og da disse er relativt korte vil lav saltholdighet bare unntaksvis ha en beskyttende effekt for utvandrende postsmolt av laks og for beitende sjøørret og sjørøye.

Figur
Figur 6.98. Utbredelse av saltholdighet i overflaten midlet for årene 2012-2022 i mai, juni, juli og august. Verdiene er beregnet vha. strømmodellen NorKyst800.

 

Utslippene av lakselus har i tidsperioden 2014-2022 holdt seg relativt stabilt, med noe lavere utslipp i 2019, høyest i 2021 og 2022 (Figur 6.99). ROC indeksen er lav for tidlig og normalt utvandrende fisk, moderat enkelte år for sent utvandrende fisk (Figur 6.99).

Figur
Figur 6.99. Venstre side viser utslipp av lakselus fra alle aktive oppdrettsanlegg i produksjonsområdet summert fra 4 uker før til 3 uker etter median smoltutvandring, der horisontale stiplete linjer indikerer grensene for høyt og lavt utslipp. Høyre side viser ROC indekser for fisk som står i fjorden fra dato på x-aksen og 30 dager frem i tid. Grafen skal leses sammen med ROC kartet (Figur 6.100) og verdiene i grafen viser andelen av arealet med forhøyet tetthet av smittsomme luselarver (jfr. Modellmetode 1: ROC). Heltrukken vertikal linje markerer tid for median utvandring, grønt areal utvandringsperioden for postsmolt av laks brukt i den virtuelle smoltmodellen. Horisontale stiplete linjer markerer 10 og 30% areal.

 

ROC modellen indikerer at det er få områder hvor det akkumuleres mye smittsomme lakselus under smoltutvandringen 2019-2022 (Figur 6.100), selv om enkelte områder er moderat påvirket.

Figur
Figur 6.100. Figurene viser områder med forhøyet tetthet av lakselus akkumulert over en mnd. Kartene viser områdene dekket av estimerte vandringsruter for laks fra alle elvene i PO8. Røde områder indikerer at fisk som oppholder seg der i 30 dager sannsynligvis vil smittes med mer enn 6 lus, gule områder at de estimeres til å smittes med mellom 2 og 6 lus per fisk, grønne områder indikerer at fisken sannsynligvis smittes med mindre enn 2 lus per fisk.

 

For beitende sjøørret indikerer modellresultatene tilpasset en antatt 60 dagers beiteperiode at det alle årene 2019-2022 er mindre enn 10% RML ved tidlig utvandring, moderat de to siste årene ved normal utvandring, og moderat de fleste årene ved sein utvandring (Figur 6.101). Det estimeres ikke RMT ved normal utvandring i 2020-2022 (Figur 6.101).

Figur
Figur 6.101. Venstre figur viser kumulativt redusert marint leveområde (RML) for fisk som utvandrer ved median dato for utvandring for alle elvene i produksjonsområdet og redusert marin beiteperiode (RMT) 2020-2022 (tekst i figuren). Skravert område indikerer antatt naturlig beiteperiode (60 dager). Høyre figur viser RML etter 60 dager for årene 2019-2022 ved median dato for utvandring (Normal), og ved 20 dager tidligere (Tidlig) eller 20 dager senere utvandring (Sein).

 

ROC kartene tilpasset en 60 dagers beiteperiode for sjøørret fra normal utvandring viser enkelte områder med moderat tetthet av lakselus i 2019-2020, og større områder med moderat tetthet, og enkelte mindre områder med høy tetthet av lakselus i 2021 og 2022 (Figur 6.102).

Figur
Figur 6.102. Kart som viser hvor det er forventet at postsmolt av ørret som beiter i området fra dato for median for smoltutvandring i produksjonsområdet (periode gitt i kartene) vil bli infisert med mer enn 18 mobile lus (rød), mellom 6-18 mobile lus (gul) og mindre enn 6 mobile lus (grønn).

 

Estimat fra den virtuelle smoltmodellen indikerer lavt median dødelighet 2012-2017, men noe høyere estimert dødelighet enkelte år 2018-2022 (Figur 6.103).

Figur
Figur 6.103. Estimert dødelighet 2012-2022 for normal utvandring og mest sannsynlig toleranse for lus (Tabell 3.1). Beregningen er ikke vektet etter elvenes teoretiske smoltproduksjon. Boks viser estimert dødelighet på 25-75% av fisken, streker 5-95%. Svarte bokser viser resultater fra tidligere modellversjon, blå bokser fra nyeste modellversjon. Orange linjer viser median dødelighet på fisken, og grønne linjer gjennomsnittet. De stiplede linjene viser grensene for lav/moderat/høy dødelighet.

 

Den estimerte dødeligheten varierer mellom lav og moderat for områder. Elvene innenfor Sandnesjøen - Nesna (midt på kartene) området er oftest er negativt påvirket med estimert moderat dødelighet (Figur 6.104), men også øvrige elver er i enkelte år negativt påvirket med moderat estimert dødelighet. Den estimerte dødeligheten endrer kategori dersom man antar tidlig/sein utvandringstid eller lav/høy toleranse for lakselus (i henhold til Tabell 3.1) for en del av elvene.

Figur
Figur 6.104. Estimert dødelighet for laksesmolt fra elvene i 2017-2022 i produksjonsområdet ved antatt «normal» utvandringstid og «mest sannsynlig toleranse for lus» (grønn; < 10 %, gul; 10-30% og rød; > 30%). Kantfargen indikerer om 10 dager tidligere eller senere utvandring, eller høyere eller lavere toleranse for lakselus endrer kategoriseringen av dødelighet. Grønn kantfarge viser ingen endring, gul viser endret kategori i et tilfelle og rød kantfarge viser endret kategori i to, eller flere, tilfeller.

 

Det er undersøkt tre stasjoner med garn og rusefiske etter sjøørret i PO8 2016-2022, de 3 siste årene er bare Leirfjord som ligger i den nasjonale laksefjorden Vefsnfjorden (Figur 6.105). Stasjonen i Leirfjord er undersøkt alle årene, og foruten i 2016 hvor det estimeres høy dødelighet sent i sesongen, ble det funnet lite lus på sjøørreten, også utover sommeren (Figur 6.106). Lengre nord er det mer lus på sjøørret og sjørøye fanget ved Gildeskål, mens det var relativt lite lus på fisken fanget i Skjærstadfjorden, og det estimeres oftest liten dødelighet.

Figur
Figur 6.105. Stasjonene undersøkt minst tre av årene i perioden 2016-2022 i NALO programmet. Lakseelvene i området er vist som tall i kartet. Grønt areal indikerer nasjonale laksefjorder.

 

Figur
Figur 6.106. Estimert lakselusindusert dødelighet (%) med konfidensintervaller på alle stasjonene undersøkt. Beregningene inkluderer all fisk fanget. Antall sjøørret undersøkt hver uke er angitt i figuren.

 

6.3.9 - PO 9 Vestfjorden og Vesterålen

Beregnet median temperatur for hele produksjonsområdet på 0,5 m dyp rundt midtpunkt (± 14 dager) for dato for smoltutvandringen for området er ca. 9 °C (Figur 6.2). Videre utover sommeren viser observerte verdier på 3m dyp fra oppdrettsanleggene at temperaturen i produksjonsområdet stiger til ca. 13 °C (Figur 6.107). Temperaturen er derfor moderat gunstig for lakselus under smoltutvandringen og gunstig i beiteperioden for sjøørret.

Figur
Figur 6.107. Median temperatur på 3 m dyp basert på rapporterte temperaturer på oppdrettsanlegg i produksjonsområdet. Svart linje viser snitt av årene 2012-2022 hvor standardavvik er markert med grått felt, samt temperaturen i 2021 (blå linje) og 2022 (rød linje). Grønt område viser antatt utvandringsperiode for laks, blått antatt beiteperiode i sjø for sjøørret som vandrer ut på tidspunktet for 50% utvandring av laksesmolt.

 

Utbredelsen av brakkvannslaget i PO9 indikerer at lavest saltholdighet observeres inne i fjordene (saltholdighet < 25) (Figur 6.108). Modellene indikerer at det er relativt små områder med lav saltholdighet, og saltholdighet vil i liten grad ha noen innvirkning på lakselus i dette området.

Figur
Figur 6.108. Utbredelse av saltholdighet i overflaten midlet for årene 2012-2022 i mai, juni, juli og august. Verdiene er beregnet vha. strømmodellen NorKyst800.

 

Utslippene av lakselus og andelen av areal med forhøyet smittepress er relativt lave i tidsperioden 2012-2022. Det observeres høyeste utslipp i 2021 (Figur 6.109). Det skal bemerkes at dette er ett stort område med til dels store lokale variasjoner. ROC indeksen 2019-2022 er under 10% for fisk som vandrer både tidlig, normalt og sent alle årene (Figur 6.109)

Figur
Figur 6.109. Venstre side viser utslipp av lakselus fra alle aktive oppdrettsanlegg i produksjonsområdet summert fra 4 uker før til 3 uker etter median smoltutvandring, der horisontale stiplete linjer indikerer grensene for høyt og lavt utslipp. Høyre side viser ROC indekser for fisk som står i fjorden fra dato på x-aksen og 30 dager frem i tid. Grafen skal leses sammen med ROC kartet (Figur 6.110) og verdiene i grafen viser andelen av arealet med forhøyet tetthet av smittsomme luselarver (jfr. Modellmetode 1: ROC). Heltrukken vertikal linje markerer tid for median utvandring, grønt areal utvandringsperioden for postsmolt av laks brukt i den virtuelle smoltmodellen. Horisontale stiplete linjer markerer 10 og 30% areal.

 

ROC modellen indikerer at det for årene 2019-2022 er enkelte avgrensede områder slik som Folda i 2019 og 2021 hvor det estimeres moderate og høye tettheter av lakselus fra median dato for smoltutvandringen (Figur 6.110).

Figur
Figur 6.110. Figurene viser områder med forhøyet tetthet av lakselus akkumulert over en mnd. Kartene viser områdene dekket av estimerte vandringsruter for laks fra alle elvene i PO9. Røde områder indikerer at fisk som oppholder seg der i 30 dager sannsynligvis vil smittes med mer enn 6 lus, gule områder at de estimeres til å smittes med mellom 2 og 6 lus per fisk, grønne områder indikerer at fisken sannsynligvis smittes med mindre enn 2 lus per fisk.

 

For beitende sjøørret indikerer modellresultatene at det i årene 2019-2022 er mindre enn 10% RML både ved tidlig og normal utvandring (Figur 6.111). Det estimeres ikke RMT ved normal utvandring i 2020-2022 (Figur 6.111).

Figur
Figur 6.111. Venstre figur viser kumulativt redusert marint leveområde (RML) for fisk som utvandrer ved median dato for utvandring for alle elvene i produksjonsområdet og redusert marin beiteperiode (RMT) 2020-2022 (tekst i figuren). Skravert område indikerer antatt naturlig beiteperiode (60 dager). Høyre figur viser RML etter 60 dager for årene 2019-2022 ved median dato for utvandring (Normal), og ved 20 dager tidligere (Tidlig) eller 20 dager senere utvandring (Sein).

 

ROC kartene tilpasset en 60 dagers beiteperiode for sjøørret fra normal utvandring 2019-2022 indikerer en økning i områder med forhøyet tetthet av lakselus (Figur 6.112). I 2019 og 2021 er det hovedsakelig ett område i Steigen som har høy tetthet av lus, i 2020 og 2022 ett begrenset område i Vesterålen. I 2022 er det også moderat og høy tetthet av lakselus i Steigen.

Figur
Figur 6.112. Kart som viser hvor det er forventet at postsmolt av ørret som beiter i området fra dato for median for smoltutvandring i produksjonsområdet (periode gitt i kartene) vil bli infisert med mer enn 18 mobile lus (rød), mellom 6-18 mobile lus (gul) og mindre enn 6 mobile lus (grønn).

 

Den virtuelle smoltmodellen estimerer som gjennomsnitt av dødeligheten for alle elvene i området lav (< 10%) dødelighet 2012-2022 med unntak av 2021, hvor gjennomsnittlig dødelighet ble kategorisert som moderat (Figur 6.113).

Figur
Figur 6.113. Estimert dødelighet 2012-2022 for normal utvandring og mest sannsynlig toleranse for lus (Tabell 3.1). Beregningen er ikke vektet etter elvenes teoretiske smoltproduksjon. Boks viser estimert dødelighet på 25-75% av fisken, streker 5-95%. Svarte bokser viser resultater fra tidligere modellversjon, blå bokser fra nyeste modellversjon. Orange linjer viser median dødelighet på fisken, og grønne linjer gjennomsnittet. De stiplede linjene viser grensene for lav/moderat/høy dødelighet.

 

Den estimerte dødeligheten er lav for flertallet av elvene 2017-2018 og 2020, men elvene i Folda har moderat estimert dødelighet. I 2019, 2021 og 2022 har en stor del av elvene moderat estimert dødelighet (Figur 6.114). Den estimerte dødeligheten endrer kategori dersom man antar tidlig/sein utvandringstid eller lav/høy toleranse for lakselus (i henhold til Tabell 3.1).

Figur
Figur 6.114. Estimert dødelighet for laksesmolt fra elvene i 2017-2022 i produksjonsområdet ved antatt «normal» utvandringstid og «mest sannsynlig toleranse for lus» (grønn; < 10 %, gul; 10-30% og rød; > 30%). Kantfargen indikerer om 10 dager tidligere eller senere utvandring, eller høyere eller lavere toleranse for lakselus endrer kategoriseringen av dødelighet. Grønn kantfarge viser ingen endring, gul viser endret kategori i et tilfelle og rød kantfarge viser endret kategori i to, eller flere, tilfeller.

 

Data fra ruse og garnfanget sjøørret og sjørøye fra de ulike stasjonene undersøkt i dette produksjonsområdet (Figur 6.115) indikerer ett relativt stabilt smittepress i tidsperioden undersøkt (Figur 6.116). Både i Steigen og i Vesterålen er estimatene av lakselusindusert dødelighet oftest liten i starten, men øker til moderat eller høy utover sommeren (Figur 6.116). I 2021 estimeres det høy dødelighet på sjøørret fanget i Steigen også relativt tidlig i sesongen, ukene 24-25. Snitt av dato for median smoltutvandring i dette produksjonsområdet er 9. juni (ukene 23/24).

Figur
Figur 6.115. Stasjonene undersøkt minst tre av årene i perioden 2016-2022 i NALO programmet. Lakseelvene i området er vist som tall i kartet. Området har ingen nasjonale laksefjorder.

 

Figur
Figur 6.116. Estimert lakselusindusert dødelighet (%) med konfidensintervaller på alle stasjonene undersøkt. Beregningene inkluderer all fisk fanget. Antall undersøkt hver uke er angitt i figuren.

 

6.3.10 - PO 10 Andøya til Senja

Beregnet median temperatur for hele produksjonsområdet på 0,5 m dyp rundt midtpunkt (± 14 dager) for dato for smoltutvandringen for området er ca. 9 °C. (Figur 6.2). Videre utover sommeren viser observerte verdier på 3m dyp fra oppdrettsanleggene at temperaturen i produksjonsområdet stiger til ca. 12 °C (Figur 6.117). Temperaturen er derfor moderat gunstig for lakselus under smoltutvandringen og gunstig i beiteperioden for sjøørret.

Figur
Figur 6.117. Median temperatur på 3 m dyp basert på rapporterte temperaturer på oppdrettsanlegg i produksjonsområdet. Svart linje viser snitt av årene 2012-2022 hvor standardavvik er markert med grått felt, samt temperaturen i 2021 (blå linje) og 2022 (rød linje). Grønt område viser antatt utvandringsperiode for laks, blått antatt beiteperiode i sjø for sjøørret som vandrer ut på tidspunktet for 50% utvandring av laksesmolt.

 

Saltholdigheten i PO4 indikerer at utbredelsen av brakkvannslaget (saltholdighet < 25) stort sett er begrenset til Malangen, ett område ved Finnsnes, og de indre delene av enkelte av fjordene sør for Senja (Figur 6.118). Det anses derfor at ferskvann har relativt liten beskyttende effekt for laksefisk ellers i dette produksjonsområdet.

Figur
Figur 6.118. Utbredelse av saltholdighet i overflaten midlet for årene 2012-2022 i mai, juni, juli og august. Verdiene er beregnet vha. strømmodellen NorKyst800.

 

Utslippene av lakselus økte generelt 2012-2016, holdt seg relativt stabilt 2016-2022 (unntak 2018), og høyest utslipp ble beregnet for 2021 (Figur 6.119). ROC indeksen for årene 2019-2022 for laks som utvandrer tidlig er liten, som går ut tidlig har Beregnet som snitt av årene 2012-2020, er andelen av areal med forhøyet smittepress godt under 10% ved median dato for utvandring for elvene i dette området, men øker utover sommeren (Figur 6.119). I 2020 er andelen av påvirket areal relativt lavt frem til midten av juni, men deretter estimeres det en kraftig øking. Utslippene i tiden rundt median smoltutvandring var betydelig høyere i 2021 enn snittet for årene 2012-2020.

Figur
Figur 6.119. Venstre side viser utslipp av lakselus fra alle aktive oppdrettsanlegg i produksjonsområdet summert fra 4 uker før til 3 uker etter median smoltutvandring, der horisontale stiplete linjer indikerer grensene for høyt og lavt utslipp. Høyre side viser ROC indekser for fisk som står i fjorden fra dato på x-aksen og 30 dager frem i tid. Grafen skal leses sammen med ROC kartet (Figur 6.120) og verdiene i grafen viser andelen av arealet med forhøyet tetthet av smittsomme luselarver (jfr. Modellmetode 1: ROC). Heltrukken vertikal linje markerer tid for median utvandring, grønt areal utvandringsperioden for postsmolt av laks brukt i den virtuelle smoltmodellen. Horisontale stiplete linjer markerer 10 og 30% areal.

 

ROC modellen for årene 2019-2022 indikerer at det oftest bare er området på sørsiden av Senja som er påvirket av mye lakselus under smoltutvandringen, og da i 2019 og spesielt i 2021 (Figur 6.120).

Figur
Figur 6.120. Figurene viser områder med forhøyet tetthet av lakselus akkumulert over en mnd. Kartene viser områdene dekket av estimerte vandringsruter for laks fra alle elvene i PO10. Røde områder indikerer at fisk som oppholder seg der i 30 dager sannsynligvis vil smittes med mer enn 6 lus, gule områder at de estimeres til å smittes med mellom 2 og 6 lus per fisk, grønne områder indikerer at fisken sannsynligvis smittes med mindre enn 2 lus per fisk.

 

For beitende sjøørret indikerer modellresultatene at det er moderat RML ved normal utvandringsdato alle årene 2019-2022. For årene 2019-2022 estimeres ingen RMT (Figur 6.121).

Figur
Figur 6.121. Venstre figur viser kumulativt redusert marint leveområde (RML) for fisk som utvandrer ved median dato for utvandring for alle elvene i produksjonsområdet og redusert marin beiteperiode (RMT) 2020-2022 (tekst i figuren). Skravert område indikerer antatt naturlig beiteperiode (60 dager). Høyre figur viser RML etter 60 dager for årene 2019-2022 ved median dato for utvandring (Normal), og ved 20 dager tidligere (Tidlig) eller 20 dager senere utvandring (Sein).

 

ROC kartene tilpasset en 60 dagers beiteperiode for sjøørret fra normal utvandring 2019-2022 viser at i 2019 er det området sør for Senja som hovedsakelig er moderat påvirket, men de senere årene er det også høy tetthet av lus mellom Senja og fastlandet, og enkelte områder på Senja (Figur 6.122).

Figur
Figur 6.122. Kart som viser hvor det er forventet at postsmolt av ørret som beiter i området fra dato for median for smoltutvandring i produksjonsområdet (periode gitt i kartene) vil bli infisert med mer enn 18 mobile lus (rød), mellom 6-18 mobile lus (gul) og mindre enn 6 mobile lus (grønn).

 

Den virtuelle smoltmodellen estimerer lavt til moderat lusepåslag siden 2016. Den nye modellen gir noe høyere estimater, og både median og gjennomsnittlig dødelighet for elvene er oftest moderat de fire siste årene (Figur 6.123).

Figur
Figur 6.123. Estimert dødelighet 2012-2022 for normal utvandring og mest sannsynlig toleranse for lus (Tabell 3.1). Beregningen er ikke vektet etter elvenes teoretiske smoltproduksjon. Boks viser estimert dødelighet på 25-75% av fisken, streker 5-95%. Svarte bokser viser resultater fra tidligere modellversjon, blå bokser fra nyeste modellversjon. Orange linjer viser median dødelighet på fisken, og grønne linjer gjennomsnittet. De stiplede linjene viser grensene for lav/moderat/høy dødelighet.

 

Den virtuelle smoltmodellen estimerer moderat dødelighet for laksen fra mange av elvene i området 2017-2020 (noe lavere i 2018), samt høy dødelighet for noen få elver i 2021-2022 (Figur 6.124). Enkelte elver i Vesterålen er moderat påvirket noen år. Den estimerte dødeligheten endrer kategori dersom man antar tidlig/sein utvandringstid eller lav/høy toleranse for lakselus (i henhold til Tabell 3.1). Dette gjelder i hovedsak for elver kategorisert med moderat dødelighet.

Figur
Figur 6.124. Estimert dødelighet for laksesmolt fra elvene i 2017-2022 i produksjonsområdet ved antatt «normal» utvandringstid og «mest sannsynlig toleranse for lus» (grønn; < 10 %, gul; 10-30% og rød; > 30%). Kantfargen indikerer om 10 dager tidligere eller senere utvandring, eller høyere eller lavere toleranse for lakselus endrer kategoriseringen av dødelighet. Grønn kantfarge viser ingen endring, gul viser endret kategori i et tilfelle og rød kantfarge viser endret kategori i to, eller flere, tilfeller.

 

Resultatene fra garn og rusefangst av sjøørret og sjørøye ved de ulike stasjonene (Figur 6.125) viser at det estimeres liten eller moderat dødelighet på ved Løksebotn i de første ukene etter median dato for smoltutvandring 2016-2022, med unntak av i 2019 (Figur 6.126). Ved Finnsnes er det mer lus, og det estimeres enkelte år moderat dødelighet også i ukene etter smoltutvandringen. Snitt dato for median utvandring for elvene i PO10 er 13. juni (uke 24). Senere i sesongen estimeres det oftest moderat og tidvis høy risiko på begge disse stasjonene, men liten dødelighet på sjøørreten fanget ved Løksebotn 2020-2022. Ved stasjonen i Malangen som ligger i en nasjonal laksefjord, estimeres liten risiko, også utover sommeren.

Figur
Figur 6.125. Stasjonene undersøkt minst tre av årene i perioden 2016-2022 i NALO programmet. Lakseelvene i området er vist som tall i kartet. Grønt areal indikerer nasjonale laksefjorder.

 

Figur
Figur 6.126. Estimert lakselusindusert dødelighet (%) med konfidensintervaller på alle stasjonene undersøkt. Beregningene inkluderer all fisk fanget. Antall hver uke er angitt i figuren.

 

6.3.11 - PO 11 Kvaløya til Loppa

Beregnet median temperatur for hele produksjonsområdet på 0,5 m dyp rundt midtpunkt (± 14 dager) for dato for smoltutvandringen for området er ca. 9 °C. (Figur 6.2). Videre utover sommeren viser observerte verdier på 3m dyp fra oppdrettsanleggene at temperaturen i produksjonsområdet stiger til ca. 11 °C (Figur 6.127). Temperaturen er derfor gunstig for lakselus både under smoltutvandringen og i beiteperioden for sjøørret.

Figur
Figur 6.127. Median temperatur på 3 m dyp basert på rapporterte temperaturer på oppdrettsanlegg i produksjonsområdet. Svart linje viser snitt av årene 2012-2022 hvor standardavvik er markert med grått felt, samt temperaturen i 2021 (blå linje) og 2022 (rød linje). Grønt område viser antatt utvandringsperiode for laks, blått antatt beiteperiode i sjø for sjøørret som vandrer ut på tidspunktet for 50% utvandring av laksesmolt.

 

Brakkvannslaget i PO11 (saltholdighet < 25) er begrenset til de indre delene av enkelte fjorder i mai, har noe større utbredelse i juni og juli, man avtar igjen i august (Figur 6.128). Det er relativt liten årviss variasjon i dette mønsteret. Lavest saltholdighet ses innerst i fjordene, men den begrensede utbredelsen av ferskvannslaget indikerer at utvandrende postsmolt av laks og beitende sjøørret og sjørøye er lite beskyttet mot lakselus av ferskvann.

Figur
Figur 6.128. Utbredelse av saltholdighet i overflaten midlet for årene 2012-2022 i mai, juni, juli og august. Verdiene er beregnet vha. strømmodellen NorKyst800.

 

Utslippene av lakselus i PO 11 er generelt lave, men er i 2016-2022 noe høyere enn i 2012-2015, og høyest i 2021 (Figur 6.129). ROC indeksen er alle årene 2019-2022 for laks som vandrer tidlig, normalt eller sent (Figur 6.129).

Figur
Figur 6.129. Venstre side viser utslipp av lakselus fra alle aktive oppdrettsanlegg i produksjonsområdet summert fra 4 uker før til 3 uker etter median smoltutvandring, der horisontale stiplete linjer indikerer grensene for høyt og lavt utslipp. Høyre side viser ROC indekser for fisk som står i fjorden fra dato på x-aksen og 30 dager frem i tid. Grafen skal leses sammen med ROC kartet (Figur 6.306) og verdiene i grafen viser andelen av arealet med forhøyet tetthet av smittsomme luselarver (jfr. Modellmetode 1: ROC). Heltrukken vertikal linje markerer tid for median utvandring, grønt areal utvandringsperioden for postsmolt av laks brukt i den virtuelle smoltmodellen. Horisontale stiplete linjer markerer 10 og 30% areal.

 

brukt i den virtuelle smoltmodellen. Horisontale stiplete linjer markerer 10 og 30% areal.

ROC kartene for 2019-2022 indikerer at det er svært begrensede områder hvor det akkumuleres høy tetthet av lakselus under smoltutvandringen (Figur 6.130).

Figur
Figur 6.130. Figurene viser områder med forhøyet tetthet av lakselus akkumulert over en mnd. Kartene viser områdene dekket av estimerte vandringsruter for laks fra alle elvene i PO11. Røde områder indikerer at fisk som oppholder seg der i 30 dager sannsynligvis vil smittes med mer enn 6 lus, gule områder at de estimeres til å smittes med mellom 2 og 6 lus per fisk, grønne områder indikerer at fisken sannsynligvis smittes med mindre enn 2 lus per fisk.

 

For beitende sjøørret indikerer modellresultatene at det er lite redusert marint leveområde for sjøørret som utvandrer tidlig, normalt eller sent i 2019-2022 RML og ingen RMT årene 2020-2022 (Figur 6.131).

Figur
Figur 6.131. Venstre figur viser kumulativt redusert marint leveområde (RML) for fisk som utvandrer ved median dato for utvandring for alle elvene i produksjonsområdet og redusert marin beiteperiode (RMT) 2020-2022 (tekst i figuren). Skravert område indikerer antatt naturlig beiteperiode (60 dager). Høyre figur viser RML etter 60 dager for årene 2019-2022 ved median dato for utvandring (Normal), og ved 20 dager tidligere (Tidlig) eller 20 dager senere utvandring (Sein).

 

ROC kartene tilpasset en 60 dagers beiteperiode for sjøørret indikerer svært begrensede områder hvor estimert effekt av lakselus er høyere enn liten alle årene 2019-2022 (Figur 6.132).

Figur
Figur 6.132. Kart som viser hvor det er forventet at postsmolt av ørret som beiter i området fra dato for median for smoltutvandring i produksjonsområdet (periode gitt i kartene) vil bli infisert med mer enn 18 mobile lus (rød), mellom 6-18 mobile lus (gul) og mindre enn 6 mobile lus (grønn).

 

Den virtuelle smoltmodellen estimerer som median og gjennomsnitt av elvene i området liten dødelighet på den utvandrende laksen 2012-2018 (Figur 6.133). Fra 2019 estimerer den nye modellen moderat dødelighet de fleste år.

Figur
Figur 6.133. Estimert dødelighet 2012-2022 for normal utvandring og mest sannsynlig toleranse for lus (Tabell 3.1). Beregningen er ikke vektet etter elvenes teoretiske smoltproduksjon. Boks viser estimert dødelighet på 25-75% av fisken, streker 5-95%. Svarte bokser viser resultater fra tidligere modellversjon, blå bokser fra nyeste modellversjon. Orange linjer viser median dødelighet på fisken, og grønne linjer gjennomsnittet. De stiplede linjene viser grensene for lav/moderat/høy dødelighet.

 

De fleste elvene i området er kategorisert med lav dødelighet i perioden 2017-2018 (Figur 6.134). For enkeltelver er det økende antall moderat påvirkede elver i 2019 og 2022, spesielt i Lyngen og Kvænangen. Den estimerte dødeligheten endrer kategori dersom man antar tidlig/sein utvandringstid eller lav/høy toleranse for lakselus (i henhold til Tabell 3.1). Dette gjelder både for elver kategorisert som lav og moderat, da de vipper mellom lavt og moderat.

Figur
Figur 6.134. Estimert dødelighet for laksesmolt fra elvene i 2017-2022 i produksjonsområdet ved antatt «normal» utvandringstid og «mest sannsynlig toleranse for lus» (grønn; < 10 %, gul; 10-30% og rød; > 30%). Kantfargen indikerer om 10 dager tidligere eller senere utvandring, eller høyere eller lavere toleranse for lakselus endrer kategoriseringen av dødelighet. Grønn kantfarge viser ingen endring, gul viser endret kategori i et tilfelle og rød kantfarge viser endret kategori i to, eller flere, tilfeller.

 

Data fra garn og rusefangst av sjøørret og sjørøye i Nordreisa (Figur 6.135) har vist gjennomgående at det er lite lus alle årene 2016-2020 (Figur 6.136) både for perioden mest dekkende for laksens utvandring, og ukene dekkende for beiteperioden for sjøørret og sjørøye, med unntak av i 2016. I 2021 og 2022 estimeres det moderat dødelighet hhv. ukene 27-28 og uke 28. Merk at Nordreisa ligger inne i en nasjonal laksefjord. Median dato for utvandring regnet som snitt av alle elvene i produksjonsområdet er 19. juni (uke 25/26).

Figur
Figur 6.135. Stasjonene undersøkt minst tre av årene i perioden 2016-2022 i NALO programmet. Straumsfjord og Oksfjord er slått sammen og kalt Nordreisa. Lakseelvene i området er vist som tall i kartet. Grønt areal indikerer nasjonale laksefjorder.

 

Figur
Figur 6.136. Estimert lakselusindusert dødelighet (%) med konfidensintervaller på alle stasjonene undersøkt. Beregningene inkluderer all fisk fanget. Antall undersøkt hver uke er angitt i figuren.

 

6.3.12 - PO 12 Vest Finnmark

Beregnet median temperatur for hele produksjonsområdet på 0,5 m dyp rundt midtpunkt (± 14 dager) for dato for smoltutvandringen for området er ca. 9 °C. (Figur 6.2). Videre utover sommeren viser observerte verdier på 3m dyp fra oppdrettsanleggene at temperaturen i produksjonsområdet stiger til ca. 10 °C (Figur 6.137). Temperaturen er derfor gunstig for lakselus både under smoltutvandringen og i beiteperioden for sjøørret.

Figur
Figur 6.137. Median temperatur på 3 m dyp basert på rapporterte temperaturer på oppdrettsanlegg i produksjonsområdet. Svart linje viser snitt av årene 2012-2022 hvor standardavvik er markert med grått felt, samt temperaturen i 2021 (blå linje) og 2022 (rød linje). Grønt område viser antatt utvandringsperiode for laks, blått antatt beiteperiode i sjø for sjøørret som vandrer ut på tidspunktet for 50% utvandring av laksesmolt.

 

Saltholdigheten i PO12 indikerer generelt liten utbredelse av brakkvannslaget (saltholdighet < 25) (Figur 6.138). Det er relativt liten årviss variasjon i dette mønsteret. Det anses derfor at utvandrende postsmolt av laks og beitende sjøørret og sjørøye er relativt lite beskyttet mot lakselus av ferskvann.

Figur
Figur 6.138. Utbredelse av saltholdighet i overflaten midlet for årene 2012-2022 i mai, juni, juli og august. Verdiene er beregnet vha. strømmodellen NorKyst800.

 

Utslippene av lakselus er lave, selv om det har vært en økende trend 2012-2022 (Figur 6.139). ROC indeksen er lav for i alle årene dette er estimert uavhengig av når i sesongen laksen har utvandret (2019-2022).

Figur
Figur 6.139. Venstre side viser utslipp av lakselus fra alle aktive oppdrettsanlegg i produksjonsområdet summert fra 4 uker før til 3 uker etter median smoltutvandring, der horisontale stiplete linjer indikerer grensene for høyt og lavt utslipp. Høyre side viser ROC indekser for fisk som står i fjorden fra dato på x-aksen og 30 dager frem i tid. Grafen skal leses sammen med ROC kartet (Figur 6.140) og verdiene i grafen viser andelen av arealet med forhøyet tetthet av smittsomme luselarver (jfr. Modellmetode 1: ROC). Heltrukken vertikal linje markerer tid for median utvandring, grønt areal utvandringsperioden for postsmolt av laks brukt i den virtuelle smoltmodellen. Horisontale stiplete linjer markerer 10 og 30% areal.

 

ROC kartene indikerer at det er svært begrenset med områder hvor det akkumuleres høy tetthet av lakselus under smoltutvandringen for årene 2018-2021 (Figur 6.140).

Figur
Figur 6.140. Figurene viser områder med forhøyet tetthet av lakselus akkumulert over en mnd. Kartene viser områdene dekket av estimerte vandringsruter for laks fra alle elvene i PO12. Røde områder indikerer at fisk som oppholder seg der i 30 dager sannsynligvis vil smittes med mer enn 6 lus, gule områder at de estimeres til å smittes med mellom 2 og 6 lus per fisk, grønne områder indikerer at fisken sannsynligvis smittes med mindre enn 2 lus per fisk.

 

For beitende sjøørret indikerer modellresultatene at det er lite redusert RML for årene 2019-2022 både ved tidlig, normal og sen utvandring (Figur 6.141). Det estimeres ingen RMT (Figur 6.141) for årene 2020-2021.

Figur
Figur 6.141. Venstre figur viser kumulativt redusert marint leveområde (RML) for fisk som utvandrer ved median dato for utvandring for alle elvene i produksjonsområdet og redusert marin beiteperiode (RMT) 2020-2022 (tekst i figuren). Skravert område indikerer antatt naturlig beiteperiode (60 dager). Høyre figur viser RML etter 60 dager for årene 2019-2022 ved median dato for utvandring (Normal), og ved 20 dager tidligere (Tidlig) eller 20 dager senere utvandring (Sein).

 

ROC kartene tilpasset sjøørret viser enkelte begrensede områder med moderat påvirkning av lakselus for årene 2019-2022 (Figur 6.142).

Figur
Figur 6.142. Kart som viser hvor det er forventet at postsmolt av ørret som beiter i området fra dato for median for smoltutvandring i produksjonsområdet (periode gitt i kartene) vil bli infisert med mer enn 18 mobile lus (rød), mellom 6-18 mobile lus (gul) og mindre enn 6 mobile lus (grønn).

 

Den virtuelle smoltmodellen estimerer som snitt av alle elvene i området lav dødelighet 2012-2018, mens fra 2019 estimeres det enkelte år (2019, 2021) moderat dødelighet estimert med den nye modellen (Figur 6.143).

Figur
Figur 6.143. Estimert dødelighet 2012-2022 for normal utvandring og mest sannsynlig toleranse for lus (Tabell 3.1). Beregningen er ikke vektet etter elvenes teoretiske smoltproduksjon. Boks viser estimert dødelighet på 25-75% av fisken, streker 5-95%. Svarte bokser viser resultater fra tidligere modellversjon, blå bokser fra nyeste modellversjon. Orange linjer viser median dødelighet på fisken, og grønne linjer gjennomsnittet. De stiplede linjene viser grensene for lav/moderat/høy dødelighet.

 

Den estimerte dødeligheten er kategorisert som lav for de fleste elvene i perioden 2017-2018 og 2020 (Figur 6.144). I 2019 og 2021-2022 estimeres det moderat dødelighet for flere av elvene i området. Estimatene fra 2018-2021 endrer kategori dersom man antar tidlig/sen utvandringstid eller lav/høy toleranse for lakselus (i henhold til Tabell 3.1). Dette gjelder både for elver kategorisert som lav og moderat, da de vipper mellom lavt og moderat.

Figur
Figur 6.144. Estimert dødelighet for laksesmolt fra elvene i 2017-2022 i produksjonsområdet ved antatt «normal» utvandringstid og «mest sannsynlig toleranse for lus» (grønn; < 10 %, gul; 10-30% og rød; > 30%). Kantfargen indikerer om 10 dager tidligere eller senere utvandring, eller høyere eller lavere toleranse for lakselus endrer kategoriseringen av dødelighet. Grønn kantfarge viser ingen endring, gul viser endret kategori i et tilfelle og rød kantfarge viser endret kategori i to, eller flere, tilfeller.

 

Ruse og garnfangst av sjøørret og røye på de ulike stasjonene undersøkt årene 2016-2022 (Figur 6.145) indikerer liten eller moderat estimert dødelighet under ukene 26-29, mest relevant for smoltutvandringen (Figur 6.146), men økende til oftest moderat i Talvik og høy i Skillefjord høy utover sommeren for stasjonene i den nasjonale laksefjorden Altafjorden. Det estimeres lavere dødelighet i Handelsbukt, men merk at denne stasjonen ligger i den nasjonale laksefjorden i indre deler av Porsangerfjorden. Median dato for utvandring regnet som snitt av alle elvene i produksjonsområdet er 28. juni (uke 26).

Figur
Figur 6.145. Stasjonene undersøkt minst tre av årene i perioden 2016-2022 i NALO programmet. Lakseelvene i området er vist som tall i kartet. Grønt areal indikerer nasjonale laksefjorder.

 

Figur
Figur 6.146. Estimert lakselusindusert dødelighet (%) med konfidensintervaller på alle stasjonene undersøkt. Beregningene inkluderer all fisk fanget. Antall hver uke er angitt i figuren.

 

I Altafjorden er det trålt etter utvandrende postsmolt av laks 2017-2020 og 2022. Trålingen etter utvandrende postsmolt i Altafjorden indikerer liten dødelighet for alle årene (Figur 6.147). Merk at trålingen stort sett foregår i sundene ved Stjernøya og Seiland, og dekker derfor bare deler av smoltens utvandringsrute til havs. Det er ikke trålt i 2021. Det er gjort genetiske analyser av hjemelv for tråldata 2020 og 2020. Disse viser at storparten av fisken kommer fra elvene i Altafjorden, men også fra Repparfjordelven.

Figur
Figur 6.147. Estimert lakselusindusert dødelighet (%) med konfidensintervaller på trålfanget vill postsmolt av laks. Antall laks undersøkt hver uke er angitt i figuren.

 

Fangsten av fisk i Altafjorden ukene det er trålt kan indikere at en andel av fisken har utvandret før trålingen startet i 2018 og 2019, vurdert som gode fangster fra trålingen startet (Figur 6.148). De lave fangstene på slutten av trålperioden indikerer at sent utvandrende fisk er fanget opp av trålperioden.

Figur
Figur 6.148. Kumulativ fangst av laksesmolt i trål i Altafjorden 2017-2020 som % av totalfangst.

 

Det er benyttet smoltbur for å estimere smittepresset i 2017 (data ikke vist). Disse viser lave påslag i hele Altafjordsområdet.

6.3.13 - PO 13 Øst Finnmark

Beregnet median temperatur for hele produksjonsområdet på 0,5 m dyp rundt midtpunkt (± 14 dager) for dato for smoltutvandringen for området er ca. 8 °C. (Figur 6.2). Videre utover sommeren viser observerte verdier på 3m dyp fra oppdrettsanleggene at temperaturen i produksjonsområdet stiger, men siden det er få aktive anlegg i dette produksjonsområdet var der ikke nok data til å bergene en middelverdi med tilhørende standardavvik (Figur 6.149). Temperaturen er derfor gunstig for lakselus både under smoltutvandringen og i beiteperioden for sjøørret.

Figur
Figur 6.149. Median temperatur på 3 m dyp basert på rapporterte temperaturer på oppdrettsanlegg i produksjonsområdet i 2021 og 2022. Grønt område viser antatt utvandringsperiode for laks, blått antatt beiteperiode i sjø for sjøørret som vandrer ut på tidspunktet for 50% utvandring av laksesmolt. I PO13 har der ikke vært kontinuerlig produksjon i hele perioden 2012-2022. Gjennomsnittsverdi og standardavvik er derfor ikke beregnet.

 

Saltholdigheten i PO13 indikerer at brakkvannslaget (saltholdighet < 25) er mindre i april, men at dette øker mai-juli, før det oftest minker igjen (Figur 6.150). Utbredelsen av ferskvann er svært begrenset. Det anses derfor at utvandrende postsmolt av laks og beitende sjøørret og sjørøye er relativt lite beskyttet mot lakselus av ferskvann.

Figur
Figur 6.150. Utbredelse av saltholdighet i overflaten midlet for årene 2012-2022 i mai, juni, juli og august. Verdiene er beregnet vha. strømmodellen NorKyst800.

 

Utslippene av lakselus og andelen av areal med forhøyet smittepress er lave og viser ingen trend i tidsperioden 2012-2022 (Figur 6.151).

Figur
Figur 6.151. Venstre side viser utslipp av lakselus fra alle aktive oppdrettsanlegg i produksjonsområdet summert fra 4 uker før til 3 uker etter median smoltutvandring, der horisontale stiplete linjer indikerer grensene for høyt og lavt utslipp. Høyre side viser ROC indekser for fisk som står i fjorden fra dato på x-aksen og 30 dager frem i tid. Grafen skal leses sammen med ROC kartet (Figur 6.152) og verdiene i grafen viser andelen av arealet med forhøyet tetthet av smittsomme luselarver (jfr. Modellmetode 1: ROC). Heltrukken vertikal linje markerer tid for median utvandring, grønt areal utvandringsperioden for postsmolt av laks brukt i den virtuelle smoltmodellen. Horisontale stiplete linjer markerer 10 og 30% areal.

 

ROC kartene indikerer at det ikke er områder hvor det akkumuleres høy tetthet av lakselus under smoltutvandringen noen av årene 2018-2021 (Figur 6.152).

Figur
Figur 6.152. Figurene viser områder med forhøyet tetthet av lakselus akkumulert over en mnd. Kartene viser områdene dekket av estimerte vandringsruter for laks fra alle elvene i PO13. Røde områder indikerer at fisk som oppholder seg der i 30 dager sannsynligvis vil smittes med mer enn 6 lus, gule områder at de estimeres til å smittes med mellom 2 og 6 lus per fisk, grønne områder indikerer at fisken sannsynligvis smittes med mindre enn 2 lus per fisk.

 

For beitende sjøørret indikerer modellresultatene at det er lite RML ved tidlig utvandring årene 2012-2022 (Figur 6.153). Merk at simuleringene i 2021 ikke går lenger enn til 12. august, mens simuleringene 2012-2020 går til 29. august. Estimater av RML ved normal og sein utvandring som krever data etter dette er utelatt, og RMT kan ikke estimeres.

Figur
Figur 6.153. Venstre figur viser kumulativt redusert marint leveområde (RML) for fisk som utvandrer ved median dato for utvandring for alle elvene i produksjonsområdet og redusert marin beiteperiode (RMT) 2020-2022 (tekst i figuren). Skravert område indikerer antatt naturlig beiteperiode (60 dager). Høyre figur viser RML etter 60 dager for årene 2019-2022 ved median dato for utvandring (Normal), og ved 20 dager tidligere (Tidlig) eller 20 dager senere utvandring (Sein).

 

ROC kartene tilpasset en 60 dagers beiteperiode for sjøørret indikerer ingen områder med moderat eller høy påvirkning av lakselus i produksjonsområdet for noen av årene 2019-2022 (Figur 6.154).

Figur
Figur 6.154. Kart som viser hvor det er forventet at postsmolt av ørret som beiter i området fra dato for median for smoltutvandring i produksjonsområdet (periode gitt i kartene) vil bli infisert med mer enn 18 mobile lus (rød), mellom 6-18 mobile lus (gul) og mindre enn 6 mobile lus (grønn).

 

Estimat fra den virtuelle smoltmodellen viser lite lus på den utvandrende postsmolten av laks 2012-2022, og liten risiko for lakselusindusert dødelighet for alle elvene (Figur 6.155).

Figur
Figur 6.155. Estimert dødelighet 2012-2022 for normal utvandring og mest sannsynlig toleranse for lus (Tabell 3.1). Beregningen er ikke vektet etter elvenes teoretiske smoltproduksjon. Boks viser estimert dødelighet på 25-75% av fisken, streker 5-95%. Svarte bokser viser resultater fra tidligere modellversjon, blå bokser fra nyeste modellversjon. Orange linjer viser median dødelighet på fisken, og grønne linjer gjennomsnittet. De stiplede linjene viser grensene for lav/moderat/høy dødelighet.

 

Den estimerte dødeligheten blir kategorisert som lav for alle elvene alle årene 2017-2022 uansett antatt utvandring og tålegrenser (Figur 6.156).

Figur
Figur 6.156. Estimert dødelighet for laksesmolt fra elvene i 2017-2022 i produksjonsområdet ved antatt «normal» utvandringstid og «mest sannsynlig toleranse for lus» (grønn; < 10 %, gul; 10-30% og rød; > 30%). Kantfargen indikerer om 10 dager tidligere eller senere utvandring, eller høyere eller lavere toleranse for lakselus endrer kategoriseringen av dødelighet. Grønn kantfarge viser ingen endring, gul viser endret kategori i et tilfelle og rød kantfarge viser endret kategori i to, eller flere, tilfeller.

 

Ruse og garnfangst av sjøørret og røye på de ulike stasjonene undersøkt 2016-2021 (Figur 6.157) indikerer stort sett liten estimert dødelighet under smoltutvandringen for alle stasjonene (Figur 6.158). Median dato for utvandring regnet som snitt av alle elvene i produksjonsområdet er 27. juni (uke 26).

Figur
Figur 6.157. Stasjonene undersøkt minst tre av årene i perioden 2016-2022 i NALO programmet. Lakseelvene i området er vist som tall i kartet. Grønt areal indikerer nasjonale laksefjorder.

 

Figur
Figur 6.158. Estimert lakselusindusert dødelighet (%) med konfidensintervaller på alle stasjonene undersøkt. Beregningene inkluderer all fisk fanget. Antall hver uke er angitt i figuren.

 

7 - Referanser

Albretsen J, Asplin LC (2017a). Fysisk oseanografiske forhold i produksjonsområdene for akvakultur. Rapport fra Havforskningen, 38 - 2017, 28 s.

 

Albretsen J, Asplin LC (2017b). Fysisk oseanografiske forhold i produksjonsområdene for akvakultur. Rapport fra Havforskningen, 11-2017, 20 s.

Albretsen J, Asplin LC, Sandvik AD (2022). Fysisk oseanografiske forhold i produksjonsområdene for akvakultur - oppdatering september 2022. Rapport fra havforskningen 34-222,

Albretsen J, Sperrevik AK, Staalstrøm A, Sandvik AD, Vikebø F, Asplin L (2011). NorKyst-800 report no. 1: User manual and technical descriptions. Fisken og Havet, 2 - 2011, 51 s.

Arechavala-Lopez P, Uglem I, Berg M, Bjørn PA, Finstad B (2016). Large-scale use of fish traps for monitoring sea trout (Salmo trutta) smolts and sea lice (Lepeophtheirus salmonis) infestations: efficiency and reliability. Marine Biology Research 12, 76-84.

Asplin L, Albretsen J, Johnsen IA, Sandvik AD (2020). The hydrodynamic foundation for salmon lice dispersion modeling along the Norwegian coast. Ocean Dynamics 70, 1151-1167.

Asplin L, Johnsen IA, Sandvik AD, Albretsen J, Sundfjord V, Aure J, Boxaspen KK (2014). Dispersion of salmon lice in the Hardangerfjord. Marine Biology Research 10, 216-225.

Asplin L, Salvanes AGV, Kristoffersen JB (1999). Non-local wind- driven fjord-coast advection and its potential effect on plankton and fish recruitment. Fisheries Oceanography 8, 255-263.

Barker SE, Bricknell IR, Covello J, Purcell S, Fast MD, Wolters W, Bouchard DA (2019). Sea lice, Lepeophtheirus salmonis (Krøyer 1837), infected Atlantic salmon (Salmo salar L.) are more susceptible to infectious salmon anemia virus. PLoS One 14, e0209178.

Barlaup BT, Gabrielsen S-E, Løyland J, Schläppy M-L, Wiers T, Vollset KW, Pulg U (2013). Trap design for catching fish unharmed and the implications for estimates of sea lice (Lepeophtheirus salmonis) on anadromous brown trout (Salmo trutta). Fisheries Research 139, 43-46.

Birkeland K (1996). Consequences of premature return by sea trout (Salmo trutta) infested with the salmon louse (Lepeophtheirus salmonis Krøyer): migration, growth, and mortality. Canadian Journal of Fisheries and Aquatic Sciences 53, 2808-2813.

Birkeland K, Jakobsen PJ (1997). Salmon lice, Lepeophtheirus salmonis, infestation as a causal agent of premature return to rivers and estuaries by sea trout, Salmo trutta, juveniles. Environmental Biology of Fishes 49, 129-137.

Bjørn PA, Finstad B (1997). The physiological effects of salmon lice infection on sea trout postsmolts. Nordic Journal of Freshwater Research 73, 60-72.

Bjørn PA, Finstad B (1998). The development of salmon lice (Lepeophtheirus salmonis) on artificially infected post smolts of sea trout (Salmo trutta). Canadian Journal of Zoology 76, 970-977.

Bjørn PA, Finstad B (2002). Salmon lice, Lepeophtheirus salmonis (Krøyer), infestation in sympatric populations of Arctic char, Salvelinus alpinus (L.), and sea trout, Salmo trutta (L.), in areas near and distant from salmon farms. ICES Journal of Marine Science 59, 131-139.

Bjørn PA, Finstad B, Asplin L, Skilbrei O, Nilsen R, Serra-Llinares RM, Boxaspen KK (2011a). Metodeutvikling for overvåkning og telling av lakselus på viltlevende laksefisk. Rapport fra Havforskningen 8-2011, 58 pp.

Bjørn PA, Finstad B, Kristoffersen R (2001). Salmon lice infection of wild sea trout and Arctic charr in marine and freshwater: the effects of salmon farms. Aquaculture Research 32, 947-962.

Bjørn PA, Sivertsgård R, Finstad B, Nilsen R, Serra-Llinares RM, Kristoffersen R (2011b). Area protection may reduce salmon louse infection risk to wild salmonids. Aquaculture Environment Interactions 1, 233-244.

Braden LM, Monaghan SJ, Fast MD (2020). Salmon immunological defence and interplay with the modulatory capabilities of its ectoparasite Lepeophtheirus salmonis. Parasite Immunology 42, e12731.

Bui S, Dempster T, Remen M, Oppedal F (2016). Effect of ectoparasite infestation density and life‑history stages on the swimming performance of Atlantic salmon Salmo salar. Aquaculture Environment Interactions 8, 387-395.

Bøhn T, Gjelland KØ, Serra-Llinares RM, Finstad B, Primicerio R, Nilsen R, Karlsen Ø, Sandvik AD, Skilbrei OT, Elvik KMS, Skaala Ø, Bjørn PA (2020). Timing is everything: Survival of Atlantic salmon Salmo salar postsmolts during events of high salmon lice densities. Journal of Applied Ecology 57, 1149-1160.

Bøhn T, Nilsen R, Gjelland KØ, Biuw M, Sandvik AD, Primicerio R, Karlsen Ø, Serra-Llinares RM (2022). Salmon louse infestation levels on sea trout can be predicted from a hydrodynamic lice dispersal model. Journal of Applied Ecology 59, 704-714.

Carvalho LA, Whyte SK, Braden LM, Purcell SL, Manning AJ, Muckle A, Fast MD (2020). Impact of co-infection with Lepeophtheirus salmonis and Moritella viscosa on inflammatory and immune responses of Atlantic salmon (Salmo salar). J Fish Dis 43, 459-473.

Crosbie T, Wright DW, Oppedal F, Johnsen IA, Samsing F, Dempster T (2019). Effects of step salinity gradients on salmon lice larvae behaviour and dispersal. Aquaculture Environment Interactions 11, 181-190.

Dempster T, Overton K, Bui S, Stien LH, Oppedal F, Karlsen Ø, Coates A, Phillips BL, Barrett LT (2021). Farmed salmonids drive the abundance, ecology and evolution of parasitic salmon lice in Norway. Aquaculture Environment Interactions 13, 237-248.

Eldøy SH, Davidsen JG, Thorstad EB, Whoriskey FG, Aarestrup K, Næsje TF, Rønning L, Sjursen AD, Rikardsen AH, Arnekleiv JV (2017). Marine depth use of sea trout Salmo trutta in fjord areas of central Norway. Journal of Fish Biology 91, 1268-1283.

Eldøy SH, Ryan D, Roche WK, Thorstad EB, Næsje TF, Sjursen AD, Gargan PG, Davidsen JG (2020). Changes in growth and migration patterns of sea trout before and after the introduction of Atlantic salmon farming. ICES Journal of Marine Science 77, 2623-2634.

Euzenat G, Fournel F, Richard A (1999). Sea trout (Salmo trutta L.) in Normandy and Picardy. In Biology and ecology of the brown and sea trout (Baglinière J-L & Maisse G, eds.), pp. 175-203. London: Springer.

Ferguson A, Reed TE, Cross TF, McGinnity P, Prodöhl PA (2019). Anadromy, potamodromy and residency in brown trout Salmo trutta: the role of genes and the environment. Journal of Fish Biology 95, 692-718.

Finstad B, Bjørn PA, Grimnes A, Hvidsten NA (2000). Laboratory and field investigations of salmon lice [Lepeophtheirus salmonis (Krøyer)] infestation on Atlantic salmon (Salmo salar L.) postsmolts. Aquaculture Research 31, 795-803.

Finstad B, Sandvik AD, Ugedal O, Vollset KW, Karlsen Ø, Davidsen JG, Sægrov H, Lennox RJ (2021). Development of a risk assessment method for sea trout in coastal areas exploited for aquaculture. Aquaculture Environment Interactions 13, 133-144.

Fjelldal PG, Hansen TJ, Karlsen Ø (2020). Effects of laboratory salmon louse infection on osmoregulation, growth and survival in Atlantic salmon. Conservation Physiology 8.

Fjørtoft HB, Nilsen F, Besnier F, Stene A, Bjørn PA, Tveten AK, Aspehaug VT, Finstad B, Glover KA (2019). Salmon lice sampled from wild Atlantic salmon and sea trout throughout Norway display high frequencies of the genotype associated with pyrethroid resistance. Aquaculture Environment Interactions 11, 459-468.

Flaten AC, Davidsen JG, Thorstad EB, Whoriskey F, Rønning L, Sjursen AD, Rikardsen AH, Arnekleiv JV (2016). The first months at sea: marine migration and habitat use of sea trout Salmo trutta post-smolts. Journal of Fish Biology 89, 1624-1640.

Gallardi D, Xue X, Hamoutene D, Lush L, Rise ML (2019). Impact of origin (wild vs. farmed) and sea lice (Lepeophtheirus salmonis) infestation on expression of immune-relevant genes in Atlantic salmon (Salmo salar L.) skin. Aquaculture 499, 306-315.

Gargan P, Karlsbakk E, Coyne J, Davies C, Roche W (2016). Sea lice (Lepeophtheirus salmonis and Caligus elongatus) infestation levels on sea trout (Salmo trutta L.) around the Irish Sea, an area without salmon aquaculture. ICES Journal of Marine Science 73, 2395-2407.

Glover KA, Samuelsen OB, Skilbrei O, Boxaspen KK, Lunestad BT (2010). Pharmacokinetics of emamectin benzoate administered to Atlantic salmon, Salmo salar L., by intra-peritoneal injection. Journal of Fish Diseases 33, 183-186.

Glover KA, Skilbrei O, Skaala Ø (2008). Genetic assignment identifies farm of origin for Atlantic salmon Salmo salar escapees in a Norwegian fjord. Ices Journal of Marine Science 65, 912-920.

Godwin SC, Dill LM, Reynolds JD, Krkošek M (2015). Sea lice, sockeye salmon, and foraging competition: lousy fish are lousy competitors. Canadian Journal of Fisheries and Aquatic Sciences 72, 1113-1120.

Gravil HR (1996). Studies on the biology and ecology of the free swimming larval stages of Lepeophtheirus salmonis (Kroyer, 1838) and Caligus elongatus Nordmann, 1832 (Copepoda: Caligidae). In Institute of Aquaculture. Stirling: University of Stirling.

Grimnes A, Jakobsen PJ (1996). The physiological effects of salmon lice infection on post-smolt of Atlantic salmon (Salmo salar). Journal of Fish Biology 48, 1179-1194.

Grøn HH (2016). Comparison of gillnet and trap in relation to retention of salmon lice (Lepeophtheirus salmonis), size selection of sea trout (Salmo trutta) and catch efficiency. - Comparing the two most used fishing gear in National Salmon lice monitoring Program. Universitetet i Tromsø.

Halttunen E, Gjelland KØ, Hamel S, Serra-Llinares RM, Nilsen R, Arechavala‐Lopez P, Skarðhamar J, Johnsen IA, Asplin L, Karlsen Ø, Bjørn Pål A, Finstad B (2018). Sea trout adapt their migratory behaviour in response to high salmon lice concentrations. Journal of Fish Diseases 41, 953-967.

Handeland SO, Järvi T, Fernø A, Stefansson SO (1996). Osmotic stress, antipredator behaviour, and mortality of Atlantic salmon (Salmo salar) smolts. Canadian Journal of Fisheries and Aquatic Sciences 53, 2673-2680.

Haraldstad T, Höglund E, Kroglund F, Lamberg A, Olsen EM, Haugen TO (2018). Condition-dependent skipped spawning in anadromous brown trout (Salmo trutta). Canadian Journal of Fisheries and Aquatic Sciences 75, 2313-2319.

Harvey A, Quintela M, Glover KA, Karlsen Ø, Nilsen R, Skaala Ø, Sægrov H, Kålås S, Knutar S, Wennevik V (2019). Inferring Atlantic salmon post-smolt migration patterns using genetic assignment. Royal Society Open Science 6, 190426.

Heuch PA (1995). Experimental evidence for aggregation of salmon louse copepodids (Lepeophtheirus salmonis) in step salinity gradients. Journal of the Marine Biological Association of the United Kingdom 75, 927-939.

Holm H, Santi N, Kjøglum S, Perisic N, Skugor S, Evensen Ø (2015). Difference in skin immune responses to infection with salmon louse (Lepeophtheirus salmonis) in Atlantic salmon (Salmo salar L.) of families selected for resistance and susceptibility. Fish & Shellfish Immunology 42, 384-394.

Holst JC, McDonald A (2000). FISH-LIFT: a device for sampling live fish with trawls. Fisheries Research 48, 87-91.

Hvas M, Bui S (2022). Energetic costs of ectoparasite infection in Atlantic salmon. Journal of Experimental Biology 225.

Hvidsten NA, Lund RA (1988). Predation on hatchery-reared and wild smolts of Atlantic salmon, Salmo salar L., in the estuary of River Orkla, Norway. Journal of Fish Biology 33, 121-126.

Jensen KW (1968). Sea trout (Salmo trutta L.) of the River Istra, western Norway. Rep. Inst. Freshw. Res. Drottningholm 48, 185-213.

Johnsen IA, Harvey A, Sævik PN, Sandvik AD, Ugedal O, Ådlandsvik B, Wennevik V, Glover KA, Karlsen Ø (2021). Salmon lice-induced mortality of Atlantic salmon during post-smolt migration in Norway. ICES Journal of Marine Science 78, 142-154.

Karlsen Ø, Finstad B, Ugedal O, Svåsand T (2016). Kunnskapsstatus som grunnlag for kapasitetsjustering innen produksjons-områder basert på lakselus som indikator. Rapport fra Havforskningen, 14-2016, 137.

Knutsen JA, Knutsen H, Olsen EM, Jonsson B (2004). Marine feeding of anadromous Salmo trutta during winter. Journal of Fish Biology 64, 89-99.

Lennox RJ, Salvanes AGV, Barlaup BT, Stöger E, Madhun A, Helle TM, Vollset KW (2020). Negative impacts of the sea lice prophylactic emamectin benzoate on the survival of hatchery released salmon smolts in rivers. Aquatic Toxicology 224, 105519.

Long A, Garver KA, Jones SRM (2019). Synergistic osmoregulatory dysfunction during salmon lice (Lepeophtheirus salmonis) and infectious hematopoietic necrosis virus co-infection in sockeye salmon (Oncorhynchus nerka) smolts. Journal of Fish Diseases 42, 869-882.

Mason IB (2003). Binary events. In Forecast verification: A practitioner's guide in atmospheric science (Jolliffe IT & Stephenson DB, eds.), pp. 37-76: . John Wiley & Sons, Chichester.

Medcalf KE, Hutchings JA, Fast MD, Kuparinen A, Godwin SC (2021). Warming temperatures and ectoparasitic sea lice impair internal organs in juvenile Atlantic salmon. Marine Ecology Progress Series 660, 161-169.

Mohn AM, Vollset KW, Karlsbakk E (2020). Making the best of lousy circumstances: the impact of salmon louse Lepeophtheirus salmonis on depth preference of sea trout Salmo trutta. Aquaculture Environment Interactions 12, 215-229.

Moore I, Dodd JA, Newton M, Bean CW, Lindsay I, Jarosz P, Adams CE (2018). The influence of aquaculture unit proximity on the pattern of Lepeophtheirus salmonis infection of anadromous Salmo trutta populations on the isle of Skye, Scotland. Journal of Fish Biology 92, 1849-1865.

Myksvoll MS, Sandvik AD, Albretsen J, Asplin L, Johnsen IA, Karlsen Ø, Kristensen NM, Melsom A, Skardhamar J, Ådlandsvik B (2018). Evaluation of a national operational salmon lice monitoring system—From physics to fish. PLoS One 13, e0201338.

Nevoux M, Finstad B, Davidsen JG, Finlay R, Josset Q, Poole R, Höjesjö J, Aarestrup K, Persson L, Tolvanen O (2019). Environmental influences on life history strategies in partially anadromous brown trout (Salmo trutta, Salmonidae). Fish and Fisheries 20, 1051-1082.

Nilsen F, Ellingsen I, Finstad B, Jansen PA, Karlsen Ø, Kristoffersen AB, Sandvik AD, Sægrov H, Ugedal O, Vollset KW, Myksvoll MS (2017). Vurdering av lakselusindusert villfiskdødelighet per produksjonsområde i 2016 og 2017. Rapport fra ekspertgruppe for vurdering av lusepåvirkning, 64 s.

Olsen EM, Knutsen H, Simonsen JH, Jonsson B, Knutsen JA (2006). Seasonal variation in marine growth of sea trout, Salmo trutta, in coastal Skagerrak. Ecology of Freshwater Fish 15, 446-452.

Peacock SJ, Krkošek M, Bateman AW, Lewis MA (2015). Parasitism and food web dynamics of juvenile Pacific salmon. Ecosphere 6, 1-16.

Pemberton R (1976). Sea trout in North Argyll sea lochs, population, distribution and movements. Journal of Fish Biology 9, 157-179.

Pert CC, Fryer RJ, Cook P, Kilburn R, McBeath S, McBeath A, Matejusova I, Urquhart K, Weir SJ, McCarthy U, Collins C, Amundrud T, Bricknell IR (2014). Using sentinel cages to estimate infestation pressure on salmonids from sea lice in Loch Shieldaig, Scotland. Aquaculture Environment Interactions 5, 49-59.

Plantalech Manel-La N, Thorstad EB, Davidsen JG, Økland F, Sivertsgård R, McKinley RS, Finstad B (2009). Vertical movements of Atlantic salmon post-smolts relative to measures of salinity and water temperature during the first phase of the marine migration. Fisheries Management and Ecology 16, 147-154.

Poole WR, Whelan KF, Dillane MG, Cooke DJ, Matthews M (1996). The performance of sea trout, Salmo trutta L., stocks from the Burrishoole system western Ireland, 1970–1994. Fisheries Management and Ecology 3, 73-92.

Pratten DJ, Shearer WM (1983). Sea trout of the North Esk. Aquaculture Research 14, 49-65.

Roff D (2002). Life history evolution. Sunderland, Massachusetts U.S.A.: Sinauer Associattes Inc.

Sandvik AD, Asplin LC, Albretsen J, Bjørn PA, Johnsen IA, Skarðhamar J, Myksvoll MS, Ådlandsvik B (2017a). Hydrodynamisk spredningsmodell for lakselus og konsentrasjon av smittsomme kopepoditter langs Norskekysten 2012 - 2017 Rapport fra Havforskningen 39-2017, 22 s.

Sandvik AD, Asplin LC, Bjørn PA, Johnsen IA, Skarðhamar J, Myksvoll MS, Ådlandsvik B, Skogen MD (2017b). Smittepress fra lakselus på vill laksefisk – estimert fra luselarvefelt med stor variabilitet. Rapport fra Havforskningen 40-2017, 36 s.

Sandvik AD, Bjørn Pål A, Ådlandsvik B, Asplin L, Skarðhamar J, Johnsen IA, Myksvoll MS, Skogen MD (2016). Toward a model-based prediction system for salmon lice infestation pressure. Aquaculture Environment Interactions 8, 527-542.

Sandvik AD, Bui S, Huserbråten M, Karlsen Ø, Myksvoll MS, Ådlandsvik B, Johnsen IA (2021). The development of a sustainability assessment indicator and its response to management changes as derived from salmon lice dispersal modelling. ICES Journal of Marine Science 78, 1781-1792.

Sandvik AD, Johnsen IA, Myksvoll MS, Sævik PN, Skogen MD (2020). Prediction of the salmon lice infestation pressure in a Norwegian fjord. ICES Journal of Marine Science 77, 746-756.

Serra-Llinares RM, Bjørn Pål A, Finstad B, Nilsen R, Asplin L (2016). Nearby farms are a source of lice for wild salmonids: a reply to Jansen et al. (2016). Aquaculture Environment Interactions 8, 351-356.

Serra-Llinares RM, Bjørn PA, Finstad B, Nilsen R, Harbitz A, Berg M, Asplin L (2014). Salmon lice infection on wild salmonids in marine protected areas: an evaluation of the Norwegian "National Salmon Fjords". Aquaculture Environment Interactions 5, 1-16.

Serra-Llinares RM, Bøhn T, Karlsen Ø, Nilsen R, Freitas C, Albretsen J, Haraldstad T, Thorstad EB, Elvik KMS, Bjørn PA (2020). Impacts of salmon lice on mortality, marine migration distance and premature return in sea trout. Marine Ecology Progress Series 635, 151-168.

Serra-Llinares RM, Freitas C, Nilsen R, Elvik KMS, Albretsen J, Bøhn T, Karlsen Ø, Bjørn PA (2018). Towards direct evidence of the effects of salmon lice (Lepeophtheirus salmonis Krøyer) on sea trout (Salmo trutta L.) in their natural habitat: proof of concept for a new combination of methods. Environmental Biology of Fishes 101, 1677-1692.

Shephard S, Gargan P (2017). Quantifying the contribution of sea lice from aquaculture to declining annual returns in a wild Atlantic salmon population. Aquaculture Environment Interactions 9, 181-192.

Shephard S, MacIntyre C, Gargan P (2016). Aquaculture and environmental drivers of salmon lice infestation and body condition in sea trout. Aquaculture Environment Interactions 8, 597-610.

Simmons O, Thorsteinsson M, Ólafsdóttir GÁ (2019). Trophic dynamics of anadromous brown trout and Arctic charr in NW Iceland and their correlation to salmon lice infection. Polar Biology 42, 2119-2130.

Skilbrei OT, Finstad B, Urdal K, Bakke G, Kroglund F, Strand R (2013). Impact of early salmon louse, Lepeophtheirus salmonis, infestation and differences in survival and marine growth of sea-ranched Atlantic salmon, Salmo salar L., smolts 1997–2009. Journal of Fish Diseases 36, 249-260.

Solomon DJ (2006). Migration as a life-history strategy for the sea trout. Sea trout: biology, conservation and management. Blackwell, Oxford, 224-233.

Stearns SC (1992). The Evolution of Life Histories: Oxford University Press, Oxford.

Stien A, Bjørn PA, Heuch PA, Elston DA (2005). Population dynamics of salmon lice Lepeophtheirus salmonis on Atlantic salmon and sea trout. Marine Ecology Progress Series 290, 263-275.

Stone J, Sutherland IH, Sommerville CS, Richards RH, Varma KJ (1999). The efficacy of emamectin benzoate as an oral treatment of sea lice, Lepeophtheirus salmonis (Krøyer), infestations in Atlantic salmon, Salmo salar L. J Fish Dis 22.

Strand JET, Davidsen JG, Jørgensen EH, Rikardsen AH (2011). Seaward migrating Atlantic salmon smolts with low levels of gill Na+, K+ -ATPase activity; is sea entry delayed? Environmental Biology of Fishes 90, 317-321.

Strand R, Finstad B (2007). Migratory behaviour in relation to smolt development and releasing strategies in Atlantic salmon (Salmo salar L.) smolts. Aquaculture 273, 277-283.

Susdorf R, Salama NKG, Lusseau D (2018a). Influence of body condition on the population dynamics of Atlantic salmon with consideration of the potential impact of sea lice. Journal of Fish Diseases 41, 941-951.

Susdorf R, Salama NKG, Todd CD, Hillman RJ, Elsmere P, Lusseau D (2018b). Context-dependent reduction in somatic condition of wild Atlantic salmon infested with sea lice. Marine Ecology Progress Series 606, 91-104.

Sætre R (2007). The Norwegian Coastal Current-Oceanography and Climate. Trondheim: Tapir Academic Press.

Taranger GL, Karlsen Ø, Bannister RJ, Glover KA, Husa V, Karlsbakk E, Kvamme BO, Boxaspen KK, Bjørn PA, Finstad B, Madhun AS, Morton HC, Svåsand T (2015). Risk assessment of the environmental impact of Norwegian Atlantic salmon farming. ICES Journal of Marine Science: Journal du Conseil 72, 997-1021.

Taranger GL, Svåsand T, Bjørn PA, Jansen PA, Heuch PA, Grøntvedt RN, Asplin L, Skilbrei OT, Glover KA, Skaala Ø, Wennevik V, Boxaspen KK (2012). Forslag til førstegangs målemetode for miljøeffekt (effektindikatorer) med hensyn til genetisk påvirkning fra oppdrettslaks til villaks, og påvirkning av lakselus fra oppdrett på viltlevende laksefiskbestander Rapport fra Havforskningen Nr. 13-2012 / Veterinærinstituttets rapportserie Nr. 7-2012, 40.

Thorstad EB, Todd CD, Uglem I, Bjørn PA, Gargan PG, Vollset KW, Halttunen E, Kålås S, Berg M, Finstad B (2016). Marine life of the sea trout. Marine Biology 163, 47.

Thorstad EB, Whoriskey F, Uglem I, Moore A, Rikardsen AH, Finstad B (2012). A critical life stage of the Atlantic salmon Salmo salar: behaviour and survival during the smolt and initial post-smolt migration. Journal of Fish Biology 81, 500-542.

Torrissen O, Jones S, Asche F, Guttormsen A, Skilbrei OT, Nilsen F, Horsberg TE, Jackson D (2013). Salmon lice – impact on wild salmonids and salmon aquaculture. Journal of Fish Diseases 36, 171-194.

Tully O, Gargan P, Poole WR, Whelan KF (1999). Spatial and temporal variation in the infestation of sea trout (Salmo trutta L.) by the caligid copepod Lepeophtheirus salmonis (Krøyer) in relation to sources of infection in Ireland. Parasitology 119, 41-51.

Tveiten H, Bjørn PA, Johnsen HK, Finstad B, McKinley RS (2010). Effects of the sea louse Lepeophtheirus salmonis on temporal changes in cortisol, sex steroids, growth and reproductive investment in Arctic charr Salvelinus alpinus. Journal of Fish Biology 76, 2318-2341.

Urke H, Kristensen T, Ulvund JB, Alfredsen JA (2013). Riverine and fjord migration of wild and hatchery-reared Atlantic salmon smolts. Fisheries Management and Ecology 20, 544-552.

Utne KR, Pauli BD, Haugland M, Jacobsen JA, Maoileidigh N, Melle W, Broms CT, Nøttestad L, Holm M, Thomas K, Wennevik V (2021). Poor feeding opportunities and reduced condition factor for salmon post-smolts in the Northeast Atlantic Ocean. ICES Journal of Marine Science 78, 2844-2857.

Vollset KW, Barlaup BT, Skoglund H, Normann ES, Skilbrei OT (2014a). Salmon lice increase the age of returning Atlantic salmon. Biol Lett 10.

Vollset KW, Halttunen E, Finstad B, Karlsen Ø, Bjørn PA, Dohoo I (2017). Salmon lice infestations on sea trout predicts infestations on migrating salmon post-smolts. ICES Journal of Marine Science 74, 2354-2363.

Vollset KW, Krkosek M (2021). Delayed maturity does not offset negative impact afflicted by ectoparasitism in salmon. Theoretical Ecology 14, 429-443.

Vollset KW, Krontveit RI, Jansen PA, Finstad B, Barlaup BT, Skilbrei OT, Krkošek M, Romunstad P, Aunsmo A, Jensen AJ, Dohoo I (2016). Impacts of parasites on marine survival of Atlantic salmon: a meta-analysis. Fish and Fisheries 17, 714-730.

Vollset KW, Nilsen F, Ellingsen I, Finstad B, Karlsen Ø, Myksvoll MS, Stige LC, Sægrov H, Ugedal O, Qviller L, Dalvin S (2021). Vurdering av lakselusindusert villfiskdødelighet per produksjonsområde i 2021. Rapport fra ekspertgruppe for vurdering av lusepåvirkning. 109.

Vollset KW, Skoglund H, Barlaup BT, Pulg U, Gabrielsen S-E, Wiers T, Skår B, Lehmann GB (2014b). Can the river location within a fjord explain the density of Atlantic salmon and sea trout? Marine Biology Research 10, 268-278.

Vollset KW, Urdal K, Utne KR, Thorstad EB, Sægrov H, Raunsgard A, Skagseth Ø, Lennox RJ, Østborg GM, Ugedal O, Jensen Arne J, Bolstad GH, Fiske P (2022). Ecological regime shift in the Northeast Atlantic Ocean revealed from the unprecedented reduction in marine growth of Atlantic salmon. Science Advances 8, eabk2542.

VRL (2017). Status for norske laksebestander i 2017. Rapport fra Vitenskapelig råd for lakseforvaltning, 10, 152 s.

VRL (2020). Status for norske laksebestander i 2020. Rapport fra Vitenskapelig råd for lakseforvaltning, 15, 147 s.

Wagner GN, Fast MD, Johnson SC (2008). Physiology and immunology of Lepeophtheirus salmonis infections of salmonids. Trends in Parasitology 24, 176-183.

Wagner GN, McKinley RS, Bjørn PA, Finstad B (2003). Physiological impact of sea lice on swimming performance of Atlantic salmon. Journal of Fish Biology 62, 1000-1009.

Wagner GN, McKinley RS, Bjørn PA, Finstad B (2004). Short-term freshwater exposure benefits sea lice-infected Atlantic salmon. Journal of Fish Biology 64, 1593-1604.

Wells A, Grierson CE, MacKenzie M, Russon I, Middlemiss C, Bjørn PA, Finstad B, Wendelar Bonga SE, Todd CD, Hazon N (2006). Physiological effects of simultaneous, abrupt seawater entry and sea lice (Lepeophtheirus salmonis) infestation of wild, sea-run brown trout (Salmo trutta) smolts. Canadian Journal of Fisheries and Aquatic Sciences 64, 1360-1369.

Wells A, Grierson CE, Marshall L, MacKenzie M, Russon IJ, Reinardy H, Sivertsgård R, Bjørn PA, Finstad B, Wendelaar Bonga SE, Todd CD, Hazon N (2007). Physiological consequences of premature freshwater return; for wild sea-run brown trout (Salmo trutta) postsmolts infested with sea lice (Lepeophtheirus salmonis). Canadian Journal of Fisheries and Aquatic Sciences 64, 1360-1369.

Wright DW, Oppedal F, Dempster T (2016). Early-stage sea lice recruits on Atlantic salmon are freshwater sensitive. Journal of Fish Diseases 39, 1179-1186.

Øverli Ø, Nordgreen J, Mejdell CM, Janczak AM, Kittilsen S, Johansen IB, Horsberg TE (2014). Ectoparasitic sea lice (Lepeophtheirus salmonis) affect behavior and brain serotonergic activity in Atlantic salmon (Salmo salar L.): Perspectives on animal welfare. Physiology & Behavior 132, 44-50.