Go to main content

Kunnskapsstatus – legemidler i fiskeoppdrett (2024)

Sammendrag

Legemidler som brukes i norsk akvakultur omfatter midler mot innvollsorm, bakterier (antibakterielle midler) og lakselus. I tillegg kommer anestesi- og desinfeksjonsmidler. I denne rapporten har søkelyset vært på midler brukt mot lakselus. Legemidler som brukes mot lakselus gis enten oppløst i vann til badbehandling eller som medisinfôr. Lakselus tilhører dyregruppen krepsdyr, og medikamenter som dreper disse kan også påvirke andre krepsdyr, alt fra små frittsvømmende arter, tidlige livsstadier, bunnlevende organismer og arter som holder til i strandsonen. Spørsmål om negative effekter har særlig vært rettet mot viktige kommersielle arter som reke, krabbe og hummer. I tillegg kommer spørsmål om mulige effekter på andre arter enn skalldyr som planktoniske og bunnlevende organismer, tidlige livsstadier av fisk og dyr og i tillegg tang og tare i strandsonen. I denne rapporten gis det en oversikt over kunnskapsstatus om hvordan badmidler og fôrbaserte legemidler spres i miljøet og hvilke effekter bruken av disse legemidlene har på andre arter enn lakselus (non-target arter). Der det er mulig har vi begrenset oss til å vurdere effekten på marine arter. Vi har inkludert tilgjengelig litteratur frem til oktober 2023.

Kunnskapen i denne rapporten er grunnlaget for to risikovurderingen av avlusningsmidler brukt i norsk oppdrettsnæring. Det er gjort en individuell risikovurdering for hvert av de seks avlusningsmidlene. Den individuelle risikovurderingen er videre, sammen med kunnskapsrapporten, brukt i en helhetlig risikovurdering av hvert produksjonsområde (Grefsrud mfl. 2024).

 

1 - Kunnskapsstatus – legemidler i fiskeoppdrett

1.1 - Innledning

Her gis en oversikt over legemidler som brukes i norsk akvakultur (t.o.m. 2023) for behandling mot innvollsorm, bakterier (antibakterielle midler) og lakselus. I tillegg kommer anestesi- og desinfeksjonsmidler. Vi har i hovedsak valgt å sette søkelys på midler brukt mot lakselus, som gis enten som badmidler eller i fôret, og mulige effekter av disse på andre arter enn lakselus (non-target arter) og der det er mulig, begrenset oss til å vurdere effekten på marine arter. Kunnskapen i denne rapporten er grunnlaget for to risikovurderingen av avlusningsmidler brukt i norsk oppdrettsnæring. Det er gjort en individuell risikovurdering for hvert av de seks avlusningsmidlene. Denne individuelle risikovurderingen er, sammen med kunnskapsrapporten, brukt til en helhetlig risikovurdering av hvert produksjonsområde (Grefsrud mfl. 2024).

Forbruk av avlusningsmidler er rapporteringspliktig i Norge. Statistikk over årlig forbruk av alle typer legemidler brukt i oppdrettsnæringen er publisert av Folkehelseinstituttet (Folkehelseinstituttet 2022). Antall årlige forskrivninger per produksjonsområde er tilgjengelig fra Mattilsynet (VetReg). Forbruket varierer fra år til år, mellom produksjonsområder, tiden på året og er også avhengig av lakselusens følsomhet for de ulike avlusningsmidlene (nedsatt følsomhet, resistens). Nedsatt følsomhet mot et avlusningsmiddel i et område vil medføre at dette middelet ikke brukes og blir eventuelt erstattet av et annet middel eller annen avlusningsmetode. 

Når det gjelder å sikre at oppdrettsfisk til konsum ikke inneholder rester av legemidler i helseskadelige konsentrasjoner, er det etablert tilbakeholdelsestider, som er et minimumskrav til tiden det skal gå mellom fullført medisinering og slakting. I tillegg innførte Norge på slutten av 1990-tallet et omfattende kontrollsystem, som følger EUs regelverk (European Commission 1996). Der analyseres oppdrettsfisk for å kontrollere at det ikke er rester av legemidler over den etablerte grenseverdien (Maximum Residue Limit, MRL) (European Commission 2009). Disse resultatene publiseres årlig i en egen rapport (Bernhard og Hannisdal 2021) og vil ikke bli omtalt mer i denne kunnskapsrapporten.

Lakselus tilhører dyregruppen krepsdyr, og medikamenter som dreper disse kan også påvirke andre krepsdyr, alt fra små frittsvømmende arter, tidlige livsstadier, bunnlevende organismer og arter som holder til i strandsonen. Spørsmål om negative effekter har særlig vært rettet mot viktige kommersielle arter som reke, krabber og hummer. I tillegg kommer spørsmål om mulige effekter på andre arter enn skalldyr som planktoniske og bunnlevende organismer, tidlige livsstadier av fisk og dyr og i tillegg tang og tare i strandsonen. I denne rapporten gis det en oversikt over kunnskapsstatus om hvordan badmidler og fôrbaserte legemidler spres i miljøet og hvilke effekter bruken av legemidler har på non-target arter. Vi har inkludert tilgjengelig litteratur frem til oktober 2023. Det refereres i teksten til behandlingsdose som er den anbefalte doseringen fra produsenten for å behandle laks. Når et medikament har markedsføringstillatelse, er dose og behandlingsprosedyre godkjent av Statens Legemiddelverk (Statens Legemiddelverk 2022).

1.2 - Desinfeksjonsmidler

Formalin (formaldehyd løst i vann) brukes i fiskeoppdrett både som desinfeksjonsmiddel og mot overflateinfeksjoner forårsaket av bakterier, parasitter og sopp på fisk i ferskvannsfasen. Forbruket ble tidligere ikke registrert, men fra 2016 omsettes formalin gjennom godkjente legemiddelgrossister og inngår i registreringene. Ved teknisk bruk kreves ikke forskrivning av autorisert dyrehelsepersonell og bruken reguleres av et annet lovverk enn det lovverket som regulerer bruken av legemidler. Forbruket av formalin i 2016 var på 39 815 kg aktiv substans (figur 1). Forbruket økte til 46 579 kg i 2017, og i 2023 ble det rapportert forbruk på 53 105 kg. Behandlingsdoser som er beskrevet i litteraturen er 167 og 225 ppm og 0,01% (Poppe og Berg 1999, Treves-Brown 2000). Formaldehyd kan produseres naturlig på flere måter og er en del av karbonkretsløpet i naturen. Formaldehyd er godt løselig i vann og metaboliseres via maursyre eller metanol til karbondioksid og vann. Hvor store utslipp av formalin til miljøet som er forårsaket av oppdrettsvirksomhet er vanskelig å stadfeste.

1.3 - Legemidler mot innvollsorm

Salget av midler mot bendelmark ( Eubothrium sp.) i perioden før 2000 var på mindre enn 240 kg per år (figur 1). I 2014 ble det benyttet totalt 625 kg, og i 2015 økte forbruket til 942 kg. Forbruket har siden blitt redusert og utgjorde 62 kg i 2022, av dette var 59 kg praziquantel og 3 kg fenbendazol. Forbruket i 2023 var 131 kg praziquantel mens fenbendazol ikke ble brukt. Praziquantel og fenbendazol gis til fisken via fôret og kan spres til sedimentet via spillfôr og fekalier. En undersøkelse viste at konsentrasjonen av praziquantel ble halvert i det øverste laget av sedimentet (< 2 cm) ila en måned mens i det dypere laget (5-7 cm) var det ingen reduksjon (Hektoen 1995). I samme tidsperiode ble det ikke registrert noen reduksjon i konsentrasjonen av fenbendazol i noen del av sedimentet. Effektene av praziquantel og fenbendazol på muslinger, snegler, krepsdyr og børstemark var imidlertid små og risikoen for påvirkning på miljøet ble vurdert som lav.

1.4 - Antibakterielle midler

Det er i dag få problemer med bakterielle sykdommer i norsk fiskeoppdrett, noe som har medført et lavt forbruk av antibakterielle midler (antibiotika og kjemoterapeutika) siden midt på 90 tallet. Salget av antibakterielle midler til behandling av oppdrettsfisk, målt som kg aktiv substans, hadde en nedgang fra 511 kg, til 301 kg og 212 kg i perioden 2014-2016, ifølge tall fra Folkehelseinstituttet (figur 1). Forbruket i 2023 var på 523 kg fordelt på 490 kg florfenikol og 33 kg oksolinsyre. I forhold til det totale forbruket (human, veterinær og akvakultur) av antibakterielle midler i Norge, utgjorde forbruket i akvakultur rundt 2% av totalen i 2019 (NORM/NORM-VET 2020). Forbruket varierer imidlertid noe fra år til år og påvirkes for eksempel av størrelsen på fisken som behandles  (Sommerset mfl. 2024)  .

Antibakterielle midler gis til fisken via fôret og følger for en stor del det organiske avfallet (fekalier og spillfôr) ut i miljøet. Miljøeffektene av en medisinering er derfor i hovedsak begrenset til bunnlevende organismer i nærområdet rundt anlegg som behandles men det er også påvist rester av antibakterielle midler i villfisk fanget nært anlegg som var under medisinering og i blåskjell som vokste på anlegget (Ervik mfl. 1994). Antibakterielle midler er lite toksiske for høyerestående arter, men kan forårsake utvikling av bakterier med nedsatt følsomhet for disse stoffene. Dette forekom særlig i tidsperioden der forbruket av antibakterielle midler var stort. I en undersøkelse, Samuelsen mfl. (1992) ble det funnet en økt mengde bakterier med nedsatt følsomhet for oksolinsyre i blåskjell (Mytilus edulis). Blåskjellene var tatt fra et oppdrettsanlegg som tidligere hadde brukt dette medikamentet. Også i bakterier isolert fra bunnsediment ble det registrert nedsatt følsomhet for flere antibakterielle midler (Samuelsen mfl. 1992, Sandaa og Enger 1994). Fra midten av 1990 tallet har imidlertid forbruket av antibakterielle midler vært lite og regelmessig testing av fiskepatogene bakterier isolert fra laksefisk i oppdrett har bare avdekket enkelte tilfeller av nedsatt følsomhet. I 2023 er det fortsatt lite tegn til utbredt eller økende resistens blant bakterier vi finner hos syk oppdrettsfisk i Norge. Som i tidligere år er det igjen identifisert nedsatt følsomhet for oksolinsyre hos enkelte stammer av Yersinia ruckeri fra et settefiskanlegg i produksjonsområde 7. Nedsatt følsomhet for oksolinsyre ble også påvist hos Flavobacterium psychrophilum typet til ST170, isolert fra syk settefisk av laks i produksjonsområde 5. Det finnes ikke absolutt grenser for bestemmelse av såkalt ‘breakpoint’ verdier, i forhold til testemetoden som er brukt, men det er påvist verdier på grensen til nedsatt følsomhet for oksolinsyre hos flere stammer av Vibrio anguillarum isolert fra syke laksefisk i produksjonsområde 3 og produksjonsområde 5 (Sommerset mfl. 2024). Det ble ikke påvist nedsatt følsomhet for antibakterielle midler hos fiskepatogene bakterier isolert fra marine fiskearter i 2023. På grunn av det lave forbruket av antibakterielle midler og få tilfeller av påvist resistens er det per i dag ikke å anse som noe alvorlig problem.

 

Figur 8.1. Årlig forbruk av antibakterielle midler, midler mot innvollsorm, overflateinfeksjon i ferskvann og beroligende og bedøvende midler fra 1990 til 2022 (statistikk fra Folkehelseinstituttet).
Figur 1. Årlig forbruk av antibakterielle midler, midler mot innvollsorm, overflateinfeksjon i ferskvann og beroligende og bedøvende midler fra 1990 til 2022 (statistikk fra Folkehelseinstituttet ).

1.5 - Legemidler mot lakselus

Basert på hvordan avlusningsmidlene administreres kan en dele medikamentene i to grupper, de som brukes til badebehandling (hydrogenperoksid, azametiphos, deltametrin og imidakloprid) og de som administreres til fisken via fôret (diflubenzuron, teflubenzuron, emamektin-benzoat). I tabell 8.1 er det gitt en oversikt over aktiv substans, produktnavn, behandlingsform, anbefalt dosering og behandlingstid for de ulike avlusningsmidlene og hvilke livsstadier til lakselusen som avlusningsmidlet er effektivt mot. Etter et generelt lavt forbruk av midler mot lakselus på begynnelsen av 2000-tallet økte forbruket årlig fra 2008 og fram til 2015. Fra 2016 har det imidlertid vært en årlig reduksjon i forbruket. De siste års reduksjon i forbruket er i hovedsak forårsaket av at oppdretterne har tatt i bruk ikke-medikamentelle metoder som varmt vann, ferskvann og mekanisk fjerning av lakselus (se også kunnskapsstatus velferd).


Behandlings form Aktiv substans Produktnavn Anbefalt dosering Behandlings tid Livsstadie Virkning
Bad Hydrogenperoksid Paramove®50 Nemona® 1500-2100 mg/l 15-20 min Preadult og adult Mekanisk paralyse, kan også medføre indre skader
Azametifos Azasure® Salmosan® vet 100 µg/l 30-60 min Preadult og adult Paralyse, reduserer acetylcholinesterase aktvitet i nervesystem.
Deltametrin Apha Max® 2 µg/l 30 min Alle stadier Paralyse, påvirker spenningspotensialet i nervecellen.
Imidakloprid Ectosan® Vet 20 mg/l 60 min Preadult og adult Paralyse, acetylcholin antagonist, binder seg til kolinerge nikotinreseptorer.
Medisinpellet Diflubenzuron Reeleze® vet 3-6 mg/kg 14 dager Stadier med skallskifte Hemmer kitinsyntese ved skalldannelse
Teflubenzuron Ektobann® vet 10 mg/kg 7 dager Stadier med skallskifte Hemmer kitinsyntese ved skalldannelse
Emamectin benzoate Slice® vet 50 µg/kg 7 dager Alle stadier Paralyse, påvirker spenningspotensialet i nervecellen.

Tabell 1. Oversikt over de kjemiske avlusningsmidlene som brukes i Norge per 2022 (Statens Legemiddelverk 2022).

 

1.5.1 - Badmidler

Spredning og fortynning

Feltundersøkelser som beskriver hvordan avlusningsmidler spres og fortynnes i miljøet etter behandling er begrenset (Ernst mfl. 2001, Ernst mfl. 2014, Langford mfl. 2014, Fagereng og Haavik 2015, Andersen og Hagen 2016, Fagereng 2016). Slike feltundersøkelser er både omfattende og kostbare, og vil kun gi et øyeblikksbilde for den undersøkte lokaliteten og situasjonen som er der og da mht. temperatur, strøm og vind. For en mer generell beskrivelse benyttes matematiske spredningsmodeller  (Brokke 2015, Refseth mfl. 2019, Rico mfl. 2019, Sævik mfl. 2021)  . I Skottland og Irland benyttes modeller som BathAuto og AutoDEPOMOD for å studere spredningen av badmidler og annet utslipp fra oppdrettsanlegg lokalisert i grunne estuarier, Lochs og kystnære lokaliteter (Rico mfl. 2019). Miljøforholdene i norske fjorder og kystområder er imidlertid noe ulikt og det er utviklet modeller som er spesifikke for norske oppdrettsanlegg (Brokke 2015, Refseth mfl. 2019, Sævik mfl. 2021).

Brokke (2015) gjorde noen foreløpige beregninger av spredningen til en bestemt mengde av et passivt sporstoff, basert på numeriske strømmodellresultater fra Hardangerfjorden. Det ble benyttet en modell med 200 meters romlig oppløsning. Beregningene viste at sporstoffet normalt ble fortynnet til under 1% av den opprinnelige konsentrasjonen (behandlingsdosen) i løpet av 24 timer, men i bakevjer kunne konsentrasjonen fortsatt være opptil 3%. Fortynning var høyest i strømrike deler og minst i bakevjer, bukter og andre steder med liten strøm (Brokke 2015).

Sævik mfl. (2021) benyttet modellene ROMS og Ladim for å simulere utslipp av badmidler fra 16 operative anlegg i 2020, ett utslipp per dag i 61 påfølgende dager og med et utslippsvolum på 16000 m3 (40 x 40 x 10 m). De fire parameterne som ble beregnet var påvirkningsareal, påvirkningsdistanse, fortynningshastighet og sannsynligheten for en organisme å bli eksponert for en konsentrasjon som gir negativ effekt. Dersom en regner med at utslippet må fortynnes til 1% av utslippskonsentrasjonen før effekten er borte vil det i snitt ha påvirket et areal på 0,9 km2, beveget seg 1,9 km i horisontal retning og tiden som det tok (fortynningstid) var 6,8 timer. Ved å sette grensen for effekt ved 0,1% av utslippskonsentrasjonen vil påvirkningsarealet være 7,0 km2, påvirkningsdistansen 5,9 km og fortynningstiden øker til 21 timer. Ved en grense på 10% av utslippskonsentrasjonen reduseres verdiene til henholdsvis 0,04 km2, 0,25 km, og 0,83 timer. Dersom anlegget er plassert i en fjord vil fortynningen av utslippet skje langsommere og påvirkningsområdet bli større enn dersom anlegget ligger ute ved kysten. Den parameteren som hadde størst påvirkning på resultatene (beregningene) var artenes sensitivitet/følsomhet for avlusningsmiddel, men også forhold som strømhastigheten på lokasjonen når utslippet fant sted og hvor anlegget var plassert hadde en betydning. Det ble også beregnet sannsynligheten for et individ å bli eksponert for en viss konsentrasjon ved en tilfeldig plassering fra utslippspunktet. Dersom grenseverdien for effekt settes til en fortynningsgrad på 10% av utslippskonsentrasjonen vil sannsynligheten for at et individ eksponeres for denne konsentrasjonen være 10% ved en distanse på 0,1 km fra utslippet, 1% ved 0,6 km og 0,1% ved en distanse på 1,1 km. Tilsvarende verdier for en fortynningsgrad på 1 og 0,1% av utslippskonsentrasjonen er 10% ved 1,1 km, 1% ved 2,7 km og 0,1% ved 4,2 km (fortynningsgrad 1% av utslippskonsentrasjonen) og 10% ved 3,4 km, 1% ved 6,8 km og 0,1% ved 10 km (fortynningsgrad 0,1% av utslippskonsentrasjonen). Disse verdiene kan virke lave i forhold til påvirkningsdistansen, men er beregnet med bakgrunn av en tilfeldig valgt retning fra utslippspunktet mens påvirkningsdistansen er fastsatt dvs. er avhengig av strømretning og strømhastighet på det tidspunktet utslippet fant sted. Beregningene viste også at sannsynligheten for en vertikal spredning av utslippet til dypere enn 40 meter var liten. (Sævik mfl. 2021).

Følsomme arter/nøkkelarter og tidlige livsstadier nær utslippsområdet

Gjennom året vil det forekomme naturlige endringer i sammensetningen av arter som befinner seg i et bestemt område, både i diversitet, mengde og tetthet. For eksempel er det arter som kun finnes i enkelte geografiske områder, og enkelte livsstadier som kun forekommer deler av året. Det kan derfor være utfordrende å skille endringer som følger av eksponering for legemidler fra de naturlige endringene. Badmidler vil i hovedsak påvirke arter som lever i de øvre frie vannmassene som for eksempel hoppekreps og krill, men også frittsvømmende larvestadier av ulike arter som hummer, krabber, rur og blåskjell. Sannsynligheten for at arter som oppholder seg i dypere vannlag skal bli eksponert for badmidler, er mindre. Anleggets beliggenhet og vind- og strømforhold på utslippsdagen avgjør om arter i strandsonen kan bli eksponert. Om vinteren med en homogen vannmasse uten temperatur- eller saltholdighetssjiktning kan et utslipp med hydrogenperoksid, som er tyngre enn vann, synke raskt til bunnen og dermed påvirke bunnlevende arter som for eksempel dypvannsreker. Når, hvor og hvor ofte en slik situasjon kan oppstå er avhengig av lokale forhold (Refseth mfl. 2019). Deltametrin vil i hovedsak påvirke arter som lever i de frie vannmasser, men vil også kunne påvirke arter i sedimentet da det binder seg lett til partikler.

Effekten av et utslipp vil være størst når det sammenfaller med for eksempel vår eller høstoppblomstringen av dyreplankton og som inkluderer frittsvømmende larvestadier av viktige kommersielle arter. Om vinteren når det er få planktoniske arter til stede, er risikoen for effekter av badmidler mindre.

Et forebyggende tiltak er at tømming av badmidler ved bruk av brønnbåt må skje med en distanse på 500 m fra et rekefelt og foretas når båten er i bevegelse (jfr. Forskrift om transport av akvakulturdyr § 22a).

Artenes følsomhet

En arts toleranse eller også kalt følsomhet for et avlusningsmiddel bestemmes på grunnlag av standard toksisitetstester som gjennomføres i laboratoriet. Dødelig endepunkt inkludere døde og immobiliserte/paralyserte individer og LC50 er den beregnede mediankonsentrasjon hvor 50% av individene er døde eller immobilisert/paralysert. Eksponering for et avlusningsmiddel kan også medføre ikke-dødelige effekter som for ek sempel endret atferd, respirasjon, immun respons og fotosyntese så vel som stress og andre morfologiske vevsendringer. Dette går inn under fellesbetegnelsen EC 50 , hvor 50% av individene er påvirket . I noen artikler er endepunkt som immobilisering/paralyse oppgitt som EC50 i stedet for LC50. Det er ikke bare konsentrasjonen som har betydning, men også hvor lang tid individene utsettes for avlusningsmiddelet. Vi har valgt å oppsummere studier hvor det er brukt eksponeringstid inntil 24 timer og definerer dette som kortidseksponering basert på hvor fort avlusningsmidlene spres og fortynnes i miljøet. Eksponeringstid over 24 timer blir betegnet som langtidseksponering.

I denne oppsummering har vi valgt å inkludere endepunkter som dødelighet og ikke-dødelige effekter etter korttids- og langtidsseksponering. Vi har også valgt å dele artene inn i hovedgrupper som fisk, virvelløse dyr (eks. børstemark, skjell, krepsdyr) og alger.

1.5.1.1 - Hydrogenperoksid

Hydrogenperoksid er et oksidasjonsmiddel med kjemisk formelen H2O2 som blant annet brukes som blekemiddel i industrien, til desinfeksjon og til avlusning av fisk. Når lakselus eksponeres for hydrogenperoksid tas det opp oralt og gjennom gjeller/skallet. Inni lusa spaltes hydrogenperoksid til oksygen og vann noe som kan forårsake midlertidig eller permanent skade på innvendige strukturer og som får parasitten til å løsne fra verten og flyte til overflaten (Thomassen 1993, Bruno og Raynard 1994). Virkning av hydrogenperoksid kan også skyldes at substansen har sterk oksiderende effekt på makromolekyler. Hydroksylradikaler kan angripe lipider og makromolekyler i celler og dermed inaktivere enzymer og DNA replikasjon (Robbins og Cotran 1989, Urbina mfl. 2019). Det er også vist at hydrogenperoksid påvirker utvikling av embryo i hunnlusens egg som videre fører til redusert klekkesuksess (Johnson mfl. 1993, Aaen mfl. 2014). Hydrogenperoksid brukt til avlusning selges i Norge under navnene Nemona ® og Paramove ® 50 . Behandlingsdosen for Nemona ® varierer fra 1500 til 2100 mg/l, avhengig av temperaturen og behandlingstiden er anbefalt å være 20 minutter. Behandlingsdosen ved bruk av Paramove ® 50 . er 1500 mg/l og behandlingstiden er anbefalt å vare i 15-20 minutter. For både Nemona ® og Paramove ® 50 er det oppgitt at det skal brukes med stor forsiktighet ved sjøtemperaturer mellom 14°C og 18°C. Laks skal ikke behandles hvis temperaturen er over 18°C . Det brukes mot preadulte og adulte lakselus. I tillegg til å brukes mot lakselus kan hydrogenperoksid også brukes mot amøbegjellesyke (AGD) hos laks. Da brukes en lavere dose og kortere behandlingstid enn ved avlusning.

Forbruk

Statistikken over forbruket viser samlet salg av rent (100%) hydrogenperoksid. På midten av 1990-tallet begynte næringen å bruke hydrogenperoksid som avlusningsmiddel. Forbruket var imidlertid veldig lite sammenlignet med dagens nivå (figur 2). Fra 1998 til 2009 var stoffet ikke i bruk, men i 2010 og fram til 2013 økte det fra 3071 til 8262 tonn. Forbruket var størst i 2015, på 43246 tonn, men har siden blitt sterkt redusert. Forbruket i 2022 var på 3004 tonn, og det ble skrevet ut 28 resepter/forskrivninger i vinterhalvåret og 7 i sommerhalvåret. Hydrogenperoksid ble særlig brukt i produksjonsområde 5 og 6 (7 og 8 forskrivninger, henholdsvis). Det ble ikke brukt i produksjonsområdene 4, 7, 11 eller 13. Forbruket i 2023 var på 1571 tonn.

 

Figur 8.2. Årlig forbruk av hydrogenperoksid (i tonn) i norsk akvakultur fra 1992 til 2022 (statistikk fra Folkehelseinstituttet).
Figur 2. Årlig forbruk av hydrogenperoksid (i tonn) i norsk akvakultur fra 1992 til 2022 (statistikk fra Folkehelseinstituttet).

Spredning og fortynning

Ved utslipp fra merd eller brønnbåt vil badebehandlingsmidler i hovedsak følge overflatestrømmen, på samme måte som næringssalter og finpartikulært materiale. I konsentrert form er hydrogenperoksid tyngre enn vann, men på grunn av de små mengdene som tilsettes ved behandling vil tettheten av behandlingsløsningen endres lite i forhold til tettheten av sjøvann. Det kan imidlertid være nok til at behandlingsløsningen kan synke til bunns under spesielle forhold på vinteren. I lagdelte vannmasser (sjiktning) vil hydrogenperoksid også synke, men denne prosessen stopper når utslippet treffer på vannmasser med samme eller høyere tetthet.

Refseth mfl. (2019) benyttet spredningsmodeller for å simulere horisontal og vertikal spredning ved utslipp fra fire lokaliteter og to størrelser på merdene (120 m og 160 m), samt brønnbåt (8 utslipp per avlusning) (Refseth mfl. 2019). Det ble gjort to ulike simuleringsscenarier; 1) utslipp fra én enkelt merd (120 og 160 m merd, 48 utslipp spredt over 12 måneder) og 2) utslipp fra fire merder (120 m merd, 4 utslipp spredt over 2 dager, månedlig gjennom ett år, totalt 48 utslipp). Den vertikale spredningen av et utslipp var hovedsakelig avhengig av lagdelingen i vannmassene på utslippstidspunktet, som varierte til ulike tider av året. For eksempel på én lokalitet (Indre Skjervøy) sank hydrogenperoksid til havbunnen når vannsøylen var godt blandet, fra midten av desember til april, og synkeprosessen i seg selv reduserte konsentrasjonene av hydrogenperoksid til ca. 200 mg/l i løpet av kort tid. Reduksjonen var imidlertid mindre ved simulert utslipp fra 160 m merd sammenlignet med 120 m merd. I sommermånedene hvor det var lagdeling (sjiktning) i vannsøylen viste modellen at hydrogenperoksid hovedsakelig ville forbli i det øvre sjiktet fra 0 til 20 m og dermed vil fortynningsprosessen være mest avhengig av den horisontale bevegelsen av vannmassene. Det var relativt små forskjeller i synkedybde fra de ulike merdstørrelsene på 120 og160 m. Konsentrasjonen av hydrogenperoksid etter et utslipp der lusemiddelet fordeles i de øvre 20 m av vannsøylen vil være mellom 800 og1300 mg/l. På en annen lokalitet (Kjelneset) hvor det var sterk lagdeling av vannmassene hele året, sank hydrogenperoksid maksimalt til 35-40 m i vintermånedene og konsentrasjonen etter utslipp varierte mellom 600-1700 mg/l. Fra midten av mars til oktober, viste simuleringene at hydrogenperoksid forekom nesten bare i de 10 øverste meterne og konsentrasjonen etter utslipp varierte derfor mellom 1200 og 1700 mg/l. Forskjellen i synkedybde ved utslipp fra 160 m merder sammenlignet med 120 m merder var under 2 m for hele året, unntatt januar og februar.

Ved simulert utslipp fra brønnbåt (8 utslipp per avlusning) sank hydrogenperoksid til ca. 20 m i sommermånedene og 100 m i mars og desember, men det bør bemerkes at dette er maksimal dybde. Konsentrasjonen av hydrogenperoksid etter utslipp fra brønnbåt ble beregnet til mellom 5.5-18.5 mg/l i sommermånedene og 1-9.5 mg/l i vintermånedene.

Simulering av den horisontale spredningen viste at konsentrasjonen av hydrogenperoksid avtok i avstand og tid fra utslippspunktet. I en enkel utslippssimulering (120 og 160 m merd, 48 utslipp spredt over 12 måneder) ble en konsentrasjon på 1000 mg/l spredt til et relativt lite område rundt utslippspunktet, innenfor ca. 1 km og > 10 mg/l ble spredt innenfor en radius på 2-3 km ved tre av fire lokasjoner (Refseth mfl. 2019). Konsentrasjoner over 10 og 1 mg/l kunne forventes å være til stede i gjennomsnitt inntil 1,75 og 6 timer etter et enkelt utslipp, og der forskjeller i eksponeringstid var avhengig av merdstørrelsen (120 og 160 m). Ved simuleringer av fire utslipp (120 m merd, 4 utslipp spredt over 2 dager, månedlig gjennom ett år, totalt 48 utslipp, forble konsentrasjoner på 1000 mg/l for det meste nær utslippspunktene, innenfor en radius på ca. 1-2 km. Konsentrasjoner over 1 mg/l forekom i gjennomsnitt inntil 7-10,5 timer etter utslipp, mens tilsvarende varighet for konsentrasjoner over 10 mg/l var 2,1-3,5 timer.

Ved utslipp fra brønnbåt i fart var konsentrasjonen av hydrogenperoksid betydelig lavere (8 mg/l) sammenlignet med utslipp fra oppdrettsanlegg (1000 mg/l). Horisontal spredning var begrenset og gjennomsnittlig tid etter utslipp med en konsentrasjon > 1 mg/l var kort (1,6 timer).

Nedbrytning

Nedbrytning av et stoff over tid måles gjerne som halveringstid, tiden det tar for å redusere mengden/konsentrasjonen av et stoff til halvparten. Hydrogenperoksid spaltes til vann og oksygen og denne reaksjonen er avhengig av flere faktorer som temperatur, UV lys, pH og tetthet av organiske partikler (Lyons mfl. 2014). Det er gjennomført en del studier på nedbrytning av hydrogenperoksid, men resultatene er sprikende. En mulig årsak til dette er at informasjon om vannkvalitet, temperatur og andre faktorer som kan ha påvirket resultatene ikke er oppgitt i alle studiene.

Bruno og Raynard (1994) fant en halveringstid i vann på omkring 7 dager ved 15°C (Bruno og Raynard 1994). Lyons mfl. (2014) beregnet halveringstiden til 28 dager i filtrert sjøvann ved 10°C og med en utgangskonsentrasjon på 1386 mg/l men når utgangskonsentrasjonen varierte mellom 300-1800 mg/l, varierte også halveringstidene til mellom 8 til 19 dager. Resultatene viste imidlertid ingen trend i forhold til utgangskonsentrasjonen og halveringstiden. Et annet funn var at nedbrytningen gikk raskere i filtrert sjøvann enn i ufiltrert sjøvann som i tillegg inneholdt plankton (Lyons mfl. 2014). Imidlertid, i et studie av Wong mfl. (2003) førte tilstedeværelsen av ulike planktonarter til raskere nedbrytning av hydrogenperoksid (Wong mfl. 2003).

Fagereng (2016) fant også at halveringstidene varierte med utgangskonsentrasjon (160, 22, 3 mg/l) men også med temperatur (8,7 og 12°C). Raskest gikk nedbrytningen ved 12°C (halveringstid på 3-4 dager) mens halveringstiden ved 8,7°C ble målt til 28 dager . Strachan og Kennedy (2021) beregnet en halveringstid til hydrogenperoksid i sjøvann på kun 8.9 timer ved 10°C (pH 7,6 og saltholdighet 23,5 ‰ ). Dette studiet ble gjennomført med sediment i bunnen av forsøksenheten for å simulere en naturlig situasjon i tilknytning til bruk av hydrogenperoksid som avlusningsmiddel på grunnere lokaliteter (Strachan og Kennedy 2021). På grunn av at hydrogenperoksid kan reagere med partikler kan det være tilsettingen av sediment i systemet som har medført en raskere nedbrytning sammenlignet med de andre studiene.

Konsentrasjon i miljøet

Det er gjennomført to feltstudier hvor det ble gjort målinger av hydrogenperoksid konsentrasjonen i tilknytning til utslipp fra merd. Undersøkelsene ble gjennomført på to oppdrettslokaliteter på Vestlandet en dag tidlig i oktober 2015 (Fagereng og Haavik 2015, Fagereng 2016) og over to dager i midten av april 2016 (Andersen og Hagen 2016, Fagereng 2016). Undersøkelsen i oktober 2015 var ved et anlegg hvor dybden var rundt 190 m, og vannprøver ble tatt i 8 ulike dyp fra 10 til 150 m. Åtte ulike tidspunkt ble valgt, fra 2 til 20 minutter etter utslippet. Noen målinger ble også gjort etter 30 og 40 minutter. Prøver ble tatt i tre ulike retninger fra anlegget i to prøveserier. Det var svak strøm på observasjonsdagen. Laksen ble behandlet for AGD med behandlingsdose 1330 mg/l som er lavere enn ved behandling mot lus. Undersøkelsen i april var gjort ved et anlegg hvor dybden var ca. 60 m. Vannprøver ble tatt på seks ulike dyp fra 2 til 60 m, på 10 ulike tidspunkt, fra 5 minutter før behandling til 25 minutter etter behandling, og ved 4 ulike stasjoner rundt anlegget hvor den største avstanden var 15 meter fra kanten av anlegget. Det ble gjennomført tre behandlinger med påfølgende prøvetaking og der behandlingsdosen varierte fra 1800 til 2300 mg/l. Sjøtemperaturen var 6°C og strømmen ble vurdert å være svak under prøvetakingen.

I majoriteten av prøvene fra april undersøkelsen ble det målt lave konsentrasjoner av hydrogenperoksid , men prøvene viste spredning av hydrogenperoksid både i horisontal og vertikal retning fra anlegget. Totalt var konsentrasjonen i 78% av prøvene under 1 mg/l og i kun 5% av prøvene ble det målt høyere verdier enn 100 mg/l. De høyeste konsentrasjonene ble funnet på 5-20 meters dyp, men i et målepunkt på 60 m dybde rett under anlegget ble det funnet en konsentrasjon på 723 mg/l 8 minutter etter utslipp. Sju minutter senere var konsentrasjonen redusert til 323 mg/l. Resultatene viser både horisontal og vertikal spredning men der horisontal spredning, totalt sett, har størst betydning (Fagereng 2016).

I oktober undersøkelsen (2015) ble prøvene ble tatt i en gradient fra 0 til 70 meter fra anlegget, ved ulike dyp og tidspunkt etter utslippet. I majoriteten av prøvene var konsentrasjonen lik eller mindre enn 5 mg/l og det ble konkluderte med at hydrogenperoksid ble raskt fortynnet, både i avstand og tid etter behandling (Fagereng og Haavik 2015, Fagereng 2016). Den høyeste konsentrasjonen ble målt til 25 mg/l og funnet i én prøve tatt 15 m fra anlegget på 10 m dyp 25 minutter etter utslipp (Fagereng 2016). Det ble ikke gjort observasjoner i dette studiet som antydet vertikal spredning av betydning av hydrogenperoksid.

Artenes følsomhet

Oppsummering av arters følsomhet ved kortidseksponering (≤ 24 timer) og langtidseksponering (> 24 timer) for hydrogenperoksid og den konsentrasjonen som gir 50% dødelighet/paralyse, LC 50 /EC 50 , er gitt i figur 3 og tabell 2.

 

Figur 8.3. Akutt og kronisk marin toksisitetsdata for hydrogenperoksid. i) Plottet viser LC50/EC50-verdiene, basert på dødelighet som endepunkt, ved korttidseksponering (≤ 24 timer; sirkler farget i oransje) og langtidseksponering (> 24 timer; sirkler farget i grønt) for ulike marine arter. Artene er rangert i henhold til de gjennomsnittlige toksisitetsverdiene (merket med en solid svart linje). Hvis data ble uttrykt som større enn eller lik (≥), ble selve verdien plottet. De stiplede vertikale linjene representerer minimums- og maksimumskonsentrasjoner som anbefales for behandling av lakselus med hydrogenperoksid. * arter som finnes i Norge. ii) Smultringplottet viser antall (n) arter i datasettet som er relevante norske arter (blått felt) og andre (rødt felt) i dyregruppene som er representert.
Figur 3. Akutt og kronisk marin toksisitetsdata for hydrogenperoksid. i) Plottet viser LC50/EC50-verdiene, basert på dødelighet som endepunkt, ved korttidseksponering (≤ 24 timer; sirkler farget i oransje) og langtidseksponering (> 24 timer; sirkler farget i grønt) for ulike marine arter. Artene er rangert i henhold til de gjennomsnittlige toksisitetsverdiene (merket med en solid svart linje). Hvis data ble uttrykt som større enn eller lik (≥), ble selve verdien plottet. De stiplede vertikale linjene representerer minimums- og maksimumskonsentrasjoner som anbefales for behandling av lakselus med hydrogenperoksid. * arter som finnes i Norge. ii) Smultringplottet viser antall (n) arter i datasettet som er relevante norske arter (blått felt) og andre (rødt felt) i dyregruppene som er representert.

Korttidseksponering (≤ 24 timer); dødelige effekter

Fisk

De fleste studiene som har undersøkt effekten av hydrogenperoksid på marin fisk har fokusert på oppdrettsfisk og spesielt laksefisk. Det er lite sannsynlig at villfisk som oppholder seg i nærheten av oppdrettsanlegg vil bli eksponert for tilsvarende høye konsentrasjoner som fisk under behandling. Studiene viser at følsomheten øker med økende temperatur, eksponeringstid og konsentrasjon (Johnson mfl. 1993, Thomassen 1993, Kiemer og Black 1997, Overton mfl. 2018). Det ble f.eks. observert liten dødelighet (7,7%) hos Atlantisk laks ( Salmo salar ) som ble eksponert i 20 minutter med en konsentrasjon på 1500 mg/l ved 14°C, men dødeligheten økte til 100% når temperaturen økte til 18°C (Johnson mfl. 1993). Dødeligheten var 5% for kongelaks ( Oncorhynchus tshawytscha ) eksponert i 20 minutter for 1500 mg/l, men dødeligheten økte til 100% med en eksponeringstid på 40 min (Johnson mfl. 1993). Estimert LC 50 for Atlantisk laks eksponert i 30 minutter var 8800 mg/l ved 6°C, 3600 mg/l ved 13°C and 1900  mg/l ved 18°C (Thomassen 1993). På grunn av den økte følsomheten for hydrogenperoksid ved høyere temperaturer anbefales det å ikke behandle Atlantisk laks når vanntemperaturen er høyere enn 18°C og at det brukes med stor forsiktighet ved vanntemperaturer mellom 14 ºC og 18 ºC ( felleskatalogen.no) .

Det er noen studier som omhandler andre marine fiskearters følsomhet for hydrogenperoksid (Tabell 2). LC 50 for de mest følsomme artene som er undersøkt basert på 24 timers eksponering var stillehavshestemakrell ( Trachurus japonicus ; 89 mg/l) etterfulgt av kameleonkutling ( Tridentiger trigonocephalus ; 155 mg/l), trepigget stingsild ( Gasterosteus aculeatus ; 158 mg/l), rognkjeks ( Cyclopterus lumpus ; 167 mg/l), stjerneflyndre ( Platichthys stellatus ; 173 mg/l), kaninfisk ( Siganus fuscescens ; 224 mg/l) og stillehavsulke ( Oligocottus maculosus ; 252 mg/l) (Kanda mfl. 1989, Refseth mfl. 2016, Strachan og Kennedy 2021). Egg fra atlantisk torsk ( Gadus morhua) var lite sensitive for hydrogenperoksid (LC 50 342 mg/l), og kan skyldes at eggene er beskyttet av det ytre skallet (Refseth mfl. 2016).

Virvelløse dyr

Det finnes mye kunnskap om virvelløse dyrs følsomhet for hydrogenperoksid, og de fleste av disse studiene har fokusert på krepsdyr (tabell 8.2). Egg fra hoppekreps ( Acartia tonsa ) er mest følsom, med en EC 50 på 1,5 mg/l etter tre timers eksponering (Keen 2020). En rekke andre marine arter er også følsomme for hydrogenperoksid ved kort eksponeringstid og omfatter villfanget dyreplankton (arter ikke spesifisert) (1 time EC 50 =7 mg/l) (Keen 2020), blomsterreke ( Pandalus montagui ; 6 timer EC 50 =11 mg/l) (Fagereng 2016), hoppekreps ( Calanus spp.; 1 time LC 50 =31-77 mg/l) (Escobar-Lux mfl. 2019), norsk storkrill ( Meganyctiphanes norvegica; 1 time LC 50 =33 mg/l) (Escobar-Lux og Samuelsen 2020), krabbelarver ( Porcellanidae og Brachyura ; 1 time EC 50 =46-55 mg/l) (Keen 2020) og hoppekreps (Acartia hudsonica ) (40 minutter LC 50 =68 mg/l)(Van Geest mfl. 2014c). Til sammenligning finnes det også en rekke studier som rapporterer om lite sensitive arter med veldig høy LC 50 /EC 50 eller ingen effekt, hverken dødelighet eller paralyse. For eksempel, én times eksponering for hydrogenperoksid (1700 mg/l) ga ingen dødelighet for stripestrandreke ( Palaemon elegans ), tangpungreke ( Praunus flexuous ) (Brokke 2015) eller voksen Amerikansk hummer ( Homarus americanus ) som ble eksponert for hydrogenperoksid opp til 3750 mg/l (Burridge mfl. 2014). Tilsvarende verdier er rapportert for Chilensk steinkrabbelarver ( Metacarcinus edwadsii ) og Amerikansk mudderreke ( Crangon septemspinosa ) med henholdsvis 1642 mg/l og 3182 mg/l (Burridge mfl. 2014, Gebauer mfl. 2017). Nylige resultater viser at sårbarheten til California flekkreke ( Pandalus platyceros ) varierer med livsstadier og varighet av eksponeringen. Den laveste LC 50 verdien, basert på én og tre timers eksponering ble funnet på egg, 73 og 74 mg/l, etterfulgt av larver stadium I med LC 50 verdier på 77 og 54 mg/l, larver stadium III (165 og 154 mg/l), larver stadium V (433 og 376 mg/l) og juvenile (809 og 765 mg/l) (Mill mfl. 2022).

Ved en eksponeringstid på 24 timer ble det funnet relativt lave LC 50 /EC 50 verdier hos raudåte ( Calanus finmarchicus; 6 mg/l) (Hansen mfl. 2017), hoppekreps ( Tisbe battagliai ; 11 mg/l )  (Uzyczak 2019)  , Stillehavsreke ( Pandalus danae ; 40-104 mg/l) (Strachan og Kennedy 2021), California flekkreke ( Pandalus platyceros ; 34-107 mg/l) (Mill mfl. 2022), Stillehavsspøkelseskreps ( Neotrypaea californiensis ; 70 mg/l) (Strachan og Kennedy 2021) og dypvannsreke ( Pandalus borealis ; 37-41.2 mg/l) (Refseth mfl. 2016, Strachan og Kennedy 2021). Noen arter var imidlertid lite sensitive for hydrogenperoksid og forholdsvis høye verdier av LC 50 /EC 50 ble rapportert etter 24 timers eksponering for tangloppe ( Corophium volutator; 611 mg/l) (Smit mfl. 2008), vannameireke ( Litopenaeus vannamei ; 812 mg/l) (Furtado mfl. 2014), saltsjøkreps ( Artemia salina ; 918 mg/l) (Matthews 1995) og tangloppe ( Gammarus sp ; 2520 mg/l) (Refseth mfl. 2016). Ved å bruke data publisert av Brokke (2015) ble LC 50 for stripestrandreke ( Palaemon elegans ) og tangpungreke ( Praunus flexuous ) estimerte til henholdsvis 238 mg/l og 117 mg/l (Refseth mfl. 2019). Ved en konsentrasjon på 1700 mg/l tok det 6,1 timer før dødeligheten nådde 50% for stripestrandreke og 1,8 timer for tangpungreke. Ved en konsentrasjon på 425 mg/l tok det henholdsvis 23 og 4,2 timer (Brokke 2015).

I to studier ble det påvist dødelighet hos dypvannsreke ( Pandalus borealis ) etter eksponering for hydrogenperoksid, men ikke rapportert LC 50 verdier , (Bechmann mfl. 2019, Frantzen mfl. 2020). Én times eksponering for 1,5 og 15 mg/l ga ingen signifikant dødelighet (Bechmann mfl. 2019) og det samme gjaldt to timers eksponering for 1,5 mg/l (Frantzen mfl. 2020). Dødelighet på 38-50% ble observert 3-7 dager etter en to timers eksponering for 15 mg/l. I det samme studiet ble det gjennomført en 2 timers eksponering for 1,5 eller 15 mg/l hver dag i tre påfølgende dager. Ingen dødelighet ble observert etter først eller andre eksponering, men som følge av den tredje eksponeringen døde 46% av rekene ved 15 mg/l og dødeligheten hadde økt ytterligere, til 80%, etter to dager i friskt sjøvann. To dager etter siste eksponering for 1,5 mg/l dvs. etter to dager i friskt sjøvann var dødeligheten på 33%. I det andre studiet ble eggbærende dypvannsreker utsatt for to konsentrasjoner, 1,6 og 16 mg/l i to timer. Disse konsentrasjonene resulterte ikke i dødelighet eller tap av egg, selv etter 28 dager i friskt sjøvann (Frantzen mfl. 2020).

Bortsett fra for krepsdyr finnes det forholdsvis lite kunnskap om følsomheten for hydrogenperoksid hos andre virvelløse dyr. Hjuldyr ( Brachionus plicatilis ) er følsom for hydrogenperoksid ved 24 timers eksponering, med estimert LC 50 på 2,4 mg/l (Smit mfl. 2008). De to børstemarkene, Capitella spp. og Ophryotrocha spp. viste ulik sensitivitet med LC 50 på henholdsvis 1227 mg/ og 296 mg/l umiddelbart etter én times eksponering (Fang mfl. 2018). Dødeligheten økte imidlertid med tiden og 72 timer etter eksponering var LC 50 verdiene henholdsvis 159 mg/l og 64 mg/l. Eksponering av kongsnegl ( Buccinum undatum ) i 24 timer gav en LC 50 på 367 mg/l (Refseth mfl. 2016).

Alger

Bare en studie har undersøkt følsomhet til alger ved eksponering for hydrogenperoksid (Haugland mfl. 2019). Én times eksponering ved konsentrasjoner på 85 og 170 mg/l resulterte i 67 og 100% dødelighet hos juvenile sukkertare ( Saccharina latissimi ). Dødeligheten ble registrert etter 15 dager i friskt sjøvann og LC 50 ble beregnet til 81 mg/l.

Korttidseksponering (≤ 24 timer); ikke dødelige effekter

Fisk

Korttidseksponering (20-40 min) for høye konsentrasjoner av hydrogenperoksid (1250 til 3000 mg/l) forårsaket endringer i gjellevev hos Atlantisk laks og effekten økte med økende temperatur (Johnson mfl. 1993, Kiemer og Black 1997, Wynne mfl. 2020). Høye konsentrasjoner (1250-1800 mg/l) utløste også stress hos Atlantisk laks med stigende nivåer av blod/plasma glukose, laktat og kortisol nivåer og endrede elektrolytt konsentrasjoner i plasma (Bowers mfl. 2002, Chalmers mfl. 2018, Wynne mfl. 2020). Lavere konsentrasjoner ser også ut til å utløse stress respons i fisk. For eksempel, én times eksponering for 50 mg/l ga økt stress respons i havabbor ( Dicentrarchus labrax ), målt som endringer i plasmaverdiene av kortisol, hemoglobin, laktat, kalsium, magnesium, hematokrit og albumin (Roque mfl. 2010). Lignende stressrespons ble registrert i gyllen havkaruss ( Sparus aurata ) ved bruk av samme eksponeringsregime (én time, 50 mg/l) (Mansour mfl. 2020). Hos Japansk flyndre ( Paralichthys olivaeceus ) resulterte én times eksponering med 300 og 500 mg/l i redusert lysozym aktivitet og signifikante endringer i antall slimceller i gjellene (Hwang mfl. 2016). Eksponering for hydrogenperoksid resulterte også i økt oksidativ stress hos flere marine arter, blant annet i Atlantisk laks (Chalmers mfl. 2018) og i Amerikansk gjørs ( Sander vitreus ) der en fant økt katalaseaktivitet i gjellene etter tre én times eksponeringer for 10 mg/l og med 72 timer mellom hver eksponering (Tort mfl. 2005). To eksponeringer på 30 minutter med en konsentrasjon på 340 mg/L ved 26°C førte til tap av slimceller og skader på gjellevev hos gulhalekongefisken, Seriola lalandi (Woolley mfl. 2022).

Virvelløse dyr

Ikke-dødelige effekter som følge av korttidseksponering for hydrogenperoksid har ikke vært studert i særlig detalj i virvelløse dyr generelt, men studier på krepsdyr påviser både fysiologiske og biokjemiske endringer og endringer i atferd. Én times eksponering for konsentrasjonene 8,5 og 17 mg/l resulterte i redusert oksygen opptak hos hoppekreps ( Calanus sp.), samt endringer i atferd som redusert fluktrespons (Escobar-Lux mfl. 2019). Også hos yngel av Europeisk hummer ( Homarus gammarus ) ble det observert atferdsendringer som følge av én times eksponering for 85 mg/l (Escobar-Lux mfl. 2020). Blant annet ble det påvist redusert evne til å finne skjul, men effekten var kortvarig (24 timer). Gjentatt eksponeringer over tre dager (2 timer hver dag) for små konsentrasjoner (1,5 - 15 mg/l) medførte redusert matinntak hos dypvannsreke ( Pandalus borealis ), mens én times eksponering for de samme konsentrasjonene medførte vevsødeleggelser på gjeller og i lever (lipid peroksidering)  (Bechmann mfl. 2019)  . Hos sandreke ( Crangon crangon ) eksponert i fem timer for 69 mg/l hydrogenperoksid sank oksygenopptaket med 26% og førte til redusert syrenivået i muskelcellene (intracellulær pH) (Abele-Oeschger mfl. 1997). Endringer/ redusert fôrinntak og atferd ble observert hos flere marine hoppekrepsarter (voksne og larver) etter eksponering for 5 mg/l og EC 50 ble vurdert til å være mellom 2,6 og 10 mg/l (Van Geest mfl. 2014a).

To studier viste at b efruktningsevnen hos stillehavskråkebolle ( Strongylocentrotus purpuratus ) ble påvirket av en 20 minutters eksponering for hydrogenperoksid. Én studie rapporterte en 50% reduksjon i befruktningsevnen ved en eksponering for 7,3 mg/l, mens i den andre studien ble det rapportert 25% reduksjon ved eksponering for 2,8 mg/l (Strachan og Kennedy 2021, Woof og Kennedy 2021). Drøbakkråkebolle ( Strongylocentrotus droebachiensis ) ble eksponert for konsentrasjoner fra 10 til 500 mg/l hydrogenperoksid i 24 timer (Refseth mfl. 2016). Noe dødelighet ble observert, mest i den høyeste dosen, men det var ikke mulig å beregne LC 50 . Endring i adferd av kråkebollene ble imidlertid registrert for alle dosene unntatt 10 mg/l og resultatene indikerer derfor at grenseverdien for adferdsendringer ligger mellom 10 og 100 mg/l.

Alger

Eksponering for hydrogenperoksid påvirker evnen til fotosyntese for en rekke marine alger, men effekten varierer med art og konsentrasjon (Dummermuth mfl. 2003). Artene som har blitt testet er rødalgene Coccotylus truncates, Devaleraea ramentacea, Palmaria palmata, Phycodrys rubens , Odonthalia dentata, Polysiphonia arctica og Ptilota gunneri , grønnalgene Acrosiphonia sp., Monostroma aff. Arcticum og Chaetomorpha melagonium og brunalgene Alaria esculenta, Laminaria digitate, Laminaria solidungula, Fucus distichus og Saccorhiza dermatodea . Optimal fotosynteseeffektivitet (F v /F m ) ble redusert i fire av de røde makroalgene etter 30 minutters eksponering for 17 mg/l, mens for to av rødalgene skjedde dette ved høyere konsentrasjoner, henholdsvis 170 og 340 mg/l. Hos de tre grønnalgene ble det registrert redusert fotosynteseeffektivitet ved konsentrasjoner høyere enn 34 mg/l, mens for brunalgene skjedde dette ved konsentrasjoner høyere enn 170 mg/l (Dummermuth mfl. 2003). Collén og Pedersen 1996 rapporterte redusert fotosynteseeffektivitet hos grønnalgen Ulva rigida etter 45 minutters eksponering for 34 mg/l eller høyere og total stopp ved en konsentrasjon på 2400 mg/l (Collén og Pedersén 1996). Hydrogenperoksid ga også negative effekter på fotosyntesekapasiteten hos grønnalgen Pseudokirchneriella subcapitata og diatomarten ( Navicula seminulum ) ved eksponering i 3 timer under varierende lysbetingelser (Drábková mfl. 2007). Økt lysintensitet viste seg å øke følsomheten for hydrogenperoksid betraktelig. For grønnalgen Pseudokirchneriella subcapitata var estimert EC 50 (basert på F v /F m ) 21,3 mg/l i mørket og 4,2 mg/l ved den høyeste lysintensiteten på 500 μmol/m 2 /s (photo active radiation) , mens for diatomarten ( Navicula seminulum) ble EC 50 estimert til henholdsvis 71,3 og15,8 mg/l under samme eksperimentelle betingelser. Eksponering i én time for 85 og 170 mg/l resulterte i redusert fotosyntese målt som effektivitet (α) og kapasitet (P MAX ) i sukkertare ( Saccharina latissimi ) (Haugland mfl. 2019). Fotosyntesen ble redusert med 90% ved eksponering for konsentrasjoner over 85 mg/l og estimert EC 50 var 28 and 35 mg/l, henholdsvis for de to parameterne. En times eksponering av rødalgen Lithothamnion soriferum påvirket fotosyntesen ved konsentrasjoner over 200 mg/l og EC 50 ble beregnet til 268 mg/l (Legrand mfl. 2022) .

Langtidseksponering (> 24 timer); dødelig effekter

Fisk

LC50 for Stillehavsilverside (Atherinops affinis) og pukkellaks (Oncorhynchus gorbuscha) var henholdsvis 172 og 227 mg/l, basert på 96 og 48 timers eksponering (Strachan og Kennedy 2021, Sahota mfl. 2022).

Virvelløse dyr

De mest sensitive artene av virvelløse dyr er raudåte ( Calanus finmarchicus ) med LC 50 på 2,5-3,9 mg/l, embryoer av Middelhavsblåskjell ( Mytilus galloprovincialis ) LC 50 2,9 mg/l, Amerikansk pungreke ( Mysidopsis bahia ) LC 50 7,7 mg/l, hoppekreps ( Tisbe battagliai ) LC 50 8,9 mg/l og tangloppe ( Corophium volutator ) LC 50 46 mg/l (Smit mfl. 2008, Hansen mfl. 2017, Strachan og Kennedy 2021). Høyere verdier er rapportert for sjøsaltkreps ( Artemia salina ; 168-188 mg/) og vannameireke ( Litopenaeus vannamei ; 493-687 mg/l) (Smit mfl. 2008, Furtado mfl. 2014). Ved eksponering av blåskjell ( Mytilus edulis ) for 1-5 mg/l over 30 dager ble det rapportert at dødeligheten økte jevnt gjennom eksponeringsperioden, avhengig av konsentrasjon og størrelse på blåskjellet. De minste skjellene var de mest sensitive der 90% døde ved eksponering for 5 mg/l, mens tilsvarende verdi for de største skjellene var 81% (Haque og Kwon 2016).

Langtidseksponering (> 24 timer); ikke-dødelige effekter

Fisk

Det ble ikke funnet endringer i appetitt hos pukkelaksyngel ved eksponering i 48 timer for konsentrasjoner på 20-150 mg/l eller ved eksponering i 96 timers for 20 mg/l. Svømmeatferd ble derimot påvirket hos yngel som ble utsatt for 100 mg/l i 48 timer (Sahota mfl. 2022).

Virvelløse dyr

Ikke-dødelige effekter etter langtidseksponering har vært studert hos raudåte (Hansen mfl. 2017) og blåskjell (Haque og Kwon 2016). Det ble ikke funnet signifikante effekter på de antioksiderende enzymene SOD, CAT, GPx, GST, MDA og glutation hos raudåte ( Calanus finmarchicus ) etter 96 timers eksponering for 0,75 mg/l (Hansen mfl. 2017). For blåskjell ( Mytilus edulis ) ble det funnet at oksygen forbruket, fotaktiviteten og byssustrådproduksjonen avtok med økende konsentrasjon av hydrogenperoksid (1-4 mg/l) i løpet av 30 dagers eksponering (Haque og Kwon 2016). Eksponering i 48 timer gav en akutt effekt på larveutviklingen hos Middelhavsblåskjell med en EC 50 på 0,122 mg/L (Adam et al. 2022).

Alger

Kun tre studier har kartlagt langtidseffekten av hydrogenperoksid på marine alger. Basert på vekstrate ble det funnet at en 75 timers eksponering resulterte i EC 50 på henholdsvis 0,6, 0,9 og 1,4 mg/l for diatomene Skeletonema sp ., Nitzschia closterium og Skeletonema costatum (Florence og Stauber 1986, Knight mfl. 1997, Uzyczak 2019).

Resultatene for toksisitetsstudiene er oppsummering i tabell 2.

Endringer i samfunnsstruktur ved bruk av hydrogenperoksid

I perioden september 1999 til august 2004 ble mulige endringer i flora og fauna kartlagt ved fire oppdrettslokaliteter i Skottland som følge av bruk av lusemidler, deriblant også hydrogenperoksid (Scottish Environmental Protection Agency [SEPA] 2005). Det kunne imidlertid ikke påvises noen sammenheng mellom bruk av lusemidler og endring i artssammensetningen i de undersøkte områdene (sesong og livssyklus). For eksempel, oppblomstringer av planteplankton var upåvirket og det samme gjaldt bunnslåing av rur ( Balanus spp.). Larver av rur er frittsvømmende i vannmassene og kan teoretisk bli påvirket ved bruk av hydrogenperoksid. Det er foreløpig ikke publisert norske studier som viser funn av endringer i artssammensetning i et område eller endringer i en arts tallrikhet som følge av eksponering for hydrogenperoksid.

1.5.1.2 - Organofosfater

Azametifos tilhører gruppen kjemiske forbindelser som kalles organofosfater. De virker hemmende på enzymet acetylkolinesterase (AChE) som har som oppgave å bryte ned transmittorsubstansen acetylkolin i nervesynapsen. Acetylkolin er viktig for signaloverføring både i det sentrale og perifere nervesystemet. Hemming av dette enzymet fører til økt mengde acetylkolin i nervesynapsen, noe som gir overstimulering av musklene etterfulgt av depolariseringsblokkade som fører til lammelse og død. Azametifos selges i Norge under navnet Azasure ® . Det har effekt på både preadulte og adulte stadier av lakselus. Behandlingsdosen for l aks er 100 μg/l i minst 30 minutter, men ikke lenger enn 60 minutter. Er sjøtemperaturer høyere enn 10°C anbefales det å behandle i maksimum 30 minutter. Neguvon og Nuvan er organofosfater som tidligere ble brukt som avlusningsmidler, og virkestoffene er henholdsvis triklorfon og diklorvos. Triklorfon og diklorvos har samme virkningsmekanisme som azametifos, men noe svakere effekt. Når triklorfon løses i vann spaltes det til diklorvos (Samuelsen 1987).

Forbruk

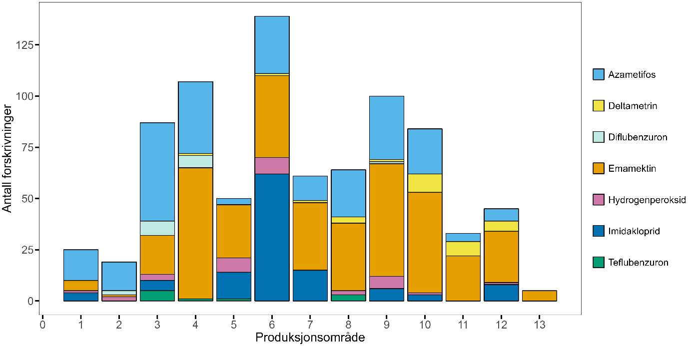
Forbruket av organofosfater var høyt på begynnelsen av 1980-tallet, med maks forbruk i 1985 på 28 260 kg triklorfon (figur 4). Triklorfon og diklorvos ble brukt fram til 1995. Organofosfater ble ikke brukt i perioden fra 2000 til 2007 og fra 2008 er det kun benyttet azametifos. Forbruket av azametifos økte jevnlig fra 66 kg i 2008 til 4 630 kg i 2014 og 3 904 kg i 2015. Siden 2016 har imidlertid forbruket vært lavt, men med en svak årlig økning fram til 577 kg i 2022. Det ble skrevet ut 242 resepter/forskrivninger i 2022, 157 i vinterhalvåret og 85 i sommerhalvåret. Antall forskrivninger var størst i produksjonsområde 3 (48 forskrivninger). Det ble ikke brukt azametifos i produksjonsområde 13. Forbruket i 2023 var på 740 kg.

 

Figur 8.4. Forbruk av organofosfater som legemidler i norsk akvakultur fra 1981 til 2022 (statistikk fra Folkehelseinstituttet).
Figur 4. Forbruk av organofosfater som legemidler i norsk akvakultur fra 1981 til 2022 (statistikk fra Folkehelseinstituttet).

Spredning og fortynning

Azametifos er svært vannløselig (> 1 g/l) med en lav oktanol/vann fordelingskoeffisient (log Kow = 1,05). På grunn av den høye vannløseligheten er det veldig liten sannsynlighet for at det binder seg til organisk materiale (SEPA 2005). Ved utslipp fra anlegg og brønnbåt etter behandling vil azametifos i hovedsak spres i miljøet via overflatestrømmer. Toksisiteten for azametifos er lav for flere arter og derfor vil området der en organisme kan bli eksponert for dødelige konsentrasjoner være lite (Parsons mfl. 2020, Sævik mfl. 2021). Parsons mfl. (2020) simulerte spredning av azametifos i det marine miljø etter avlusning ved 23 anlegg langs norskekysten som i løpet av 2017-2018 hadde brukt azametifos. Spredningen ble simulert i 24 timer etter utslipp og grenseverdien for effekt som ble brukt var 50% tålegrensene for hummerlarver (LC50 og EC50). Beregningene viste at områdene der konsentrasjonen av azametifos var høyere enn grenseverdien var små og varierte mellom anleggene fra 0,04 til 0,2 km2 (Parsons mfl. 2020). Modellering gjort i Skottland viste at konsentrasjoner rundt et anlegg vil reduseres fra 100 µg/l til under 0,2 µg/l i løpet av 24 timer i strømfattige områder og til 0,02 µg/l i strømrike områder og at azametifos mest sannsynlig vil fordeles i det øvre vannlaget, fra 0 til 10 m (SEPA 2005).

Det er gjennomført to feltundersøkelser i Canada (nordlige deler av Fundybukta) hvor azametifos ble sluppet sammen med et fargestoff for å studere spredningen etter utslipp (Ernst mfl. 2001, Ernst mfl. 2014). Den første undersøkelsen ble gjort i oktober 1996, ved tre ulike lokaliteter (uten laks i merd), og viste noe ulik spredning på de tre lokalitetene (Ernst mfl. 2001). Fargestoffet kunne detekteres opp til 5 timer etter utslipp og var synlig i avstander fra 900 m til 3 km fra utslippsstedet. For to av lokalitetene fordelte stoffet seg ned til ca. 10 m, mens for den tredje lokaliteten ble det funnet rester ned til 25 m. I den andre undersøkelsen, september 2010, der utslippet skjedde fra både merd og brønnbåt (med laks), fant man målbare rester av azametifos (konsentrasjon ikke oppgitt) opp til 1,7 km fra merden og 150 m fra brønnbåten. Høyeste konsentrasjon som ble målt var på litt over 25 µg/l i en prøve tatt 1 m fra merdkanten (Ernst mfl. 2014). Det var mye organiske partikler i merden, men azametifos ble i hovedsak funnet oppløst i vann, og ikke bundet til partikler.

I de samme undersøkelsene ( Ernst mfl. 2001, Ernst mfl. 2014) ble det samlet inn vannprøver på ulike tidspunkt etter utslipp. Utslippene var på forhånd tilsatt fargestoff slik at det var mulig å observere drift (retning, hastighet), spredning (areal) og fortynningshastighet. Av til sammen 40 vannprøver var det kun 4 prøver som hadde immobiliserende effekt på sandtangloppe ( Eohaustorius estuarius) etter 1 times eksponering. Sandtangloppe er følsom for azametifos med EC 50 på 3 µg/L. De positive vannprøvene ble alle samlet inn ila de første 30 minuttene etter utslipp ( Ernst mfl. 2001) . Sandtangloppe ble også brukt i en senere undersøkelse (Ernst mfl. 2014) der en kun registrerte effekt når disse ble eksponert (1 time) for selve behandlingsløsningen, mens vannprøver tatt like etter utslippet gav ingen effekt. Lengre eksponering (48 timer) gav imidlertid effekt av vannprøver tatt opp til 850 m fra utslippsstedet.

I et liknende forsøk (Burridge og Van Geest, 2014) ble voksne Amerikansk hummer (Homarus americanus), blomsterreker (Pandalus montagui), sandskjell (Mya arenaria) og Amerikansk kamskjell (Placopecten magellanicus) plassert i bur, i og rundt oppdrettsanlegget som brukte azametifos (Burridge og Geest 2014). Det ble kun registrert dødelighet hos A merikansk hummer og bare når disse var plassert inne i merden, mens alle overlevde i burene som var plassert på ulike dyp og i ulike distanser fra anlegget.

Nedbrytning

Azametifos kan brytes ned både via hydrolyse og fotolyse. Effekten av fotolyse er stor og ved høy lysintensitet ble halveringstiden av azametifos løst i vann (renhet 98,8%) beregnet til 0,1 dager mens i mørket var halveringstiden 49 dager (European Chemical Agency 2018). Det betyr at hydrolyse ser ut til å være en langsom prosess sammenlignet med fotolyse. I et annet studie var formålet å kartlegge nedbrytningshastigheten til azametifos via hydrolyse (renhet 99,4%) ved varierende pH (4, 7 og 9) og temperaturer (European Chemical Agency 2018). Nedbrytningshastigheten økte med økende alkalinitet og temperatur. For eksempel ble halveringstiden ved pH 7 estimert til 14 dager ved 20°C og 26,6 dager ved 12°C. Det skotske miljødirektoratet oppgir en halveringstid på 8,9 dager og at konsentrasjonen ble redusert med 1% i løpet av 1 time og med 21% etter 3 dager (SEPA 2008). Hvilken temperatur, pH eller lysforhold som ble brukt i forsøket er imidlertid ikke oppgitt. Urbina mfl. (2019) oppgir en halveringstid på 10,8 dager ved 20°C og pH 7 mens Strachan og Kennedy (2021) beregnet halveringstiden av azametifos i sjøvann til 12,7 dager ved pH 7.6 og 10°C og med en saltholdighet på 23,5%  (Urbina mfl. 2019, Strachan og Kennedy 2021) . Det er litt uklart hvordan lysforholdene var under forsøkene. Strachan og Kennedy (2021) gjennomførte studiene med sediment i bunnen av forsøksenheten for å simulere en situasjon med avlusning på grunne lokaliteter. Azametifos forble imidlertid i vannfasen gjennom observasjonsperioden på 98 dager. Garcés mfl. (2020) observerte en raskere reduksjon av azametifos i vannprøver tatt ved oppdrettslokaliteter sammenlignet med prøver tatt fra en oppdrettsfri lokalitet (Garcés mfl. 2020) . Etter fem dager (i mørket) var reduksjonen opp mot 70% i vannprøvene fra områder med oppdrettsanlegg mot 26% i vannprøver fra den oppdrettsfrie lokaliteten. Reduksjonen som følge av hydrolyse i samme tidsrom ble beregnet til 28%.

Informasjon som kan være viktig for å vurdere nedbrytningshastigheten av azametifos som er rapportert i de ulike studiene (pH, temperatur, saltholdighet, lysforhold, utgangskonsentrasjon, mikrobiologiske forhold) er i flere tilfeller ikke oppgitt og det er derfor vanskelig å vurdere de ulike resultatene opp mot hverandre. Imidlertid bør det gjennomføres kontrollerte studier av nedbrytningshastigheten av azametifos i sjøvann med spesielt fokus på effekten av lyseksponering (fotolyse).

Konsentrasjon i miljøet

Langford mfl. (2015) gjorde undersøkelser ved tre norske anlegg som hadde brukt azametifos og ved ett anlegg fant de en konsentrasjon på 26 ng/l i en vannprøve tatt like ved anlegget i uken etter behandlingen. Også prøver tatt i større avstand fra anlegget var positive, men konsentrasjonene ble suksessivt lavere med økende avstand fra anlegget og ble målt til 0,5 ng/l én km unna. Funn av målbare konsentrasjoner av azametifos så lenge etter en behandling er litt overraskende, men ble ikke kommentert i rapporten (Langford mfl. 2015). Denne undersøkelsen indikerer derfor at azametifos kan være til stede i miljøet lengre enn det som er vist i andre studier.

Artenes følsomhet

Oppsummering av arters følsomhet ved kortidseksponering (≤ 24 timer) og langtidseksponering (> 24 timer) for azametifos og den konsentrasjonen som gir 50% dødelighet/paralyse, LC 50 /EC 50 , er gitt i figur 5 og tabell 3.

Korttidseksponering (≤ 24 timer); dødelige effekter

Fisk

Effekten av en korttidseksponering med azametifos har bare blitt undersøkt for et begrenset antall marine fiskearter. Dødelighet hos Atlantisk laks ( Salmo salar ) nådde 5, 60 og 80% etter én times eksponering for henholdsvis 1000, 3000 og 5000 m g/l (Sievers mfl. 1995), 24 timer etter eksponeringen var dødelighet økt til 15% i gruppen eksponert for den laveste konsentrasjonen og 100% for den høyeste konsentrasjonen. Ingen dødelighet ble observer når Europeisk havabbor ( Dicentrarchus labrax ) ble eksponert for 100 µg/l i 1-4 timer (Intorre mfl. 2004). 24 timers LC 50 ble estimert til 7,9 µg/l for stjerneflyndre ( Platichthys stellatus ), 11,1 µg/l for trepigget stingsild ( Gasterosteus aculeatus ) og 4,7 µg/l for Stillehavsulke ( Oligocottus maculosus ) (Strachan og Kennedy 2021).

 

Figur 8.5. Akutt og kronisk marin toksisitetsdata for azametifos. i) Plottet viser LC50/EC50-verdiene, basert på dødelighet som endepunkt, ved korttidseksponering (≤ 24 timer; sirkler farget i oransje) og langtidseksponering (> 24 timer; sirkler farget i grønt) for ulike marine arter. Artene er rangert i henhold til de gjennomsnittlige toksisitetsverdiene (merket med en solid svart linje). Hvis data ble uttrykt som større enn eller lik (≥), ble selve verdien plottet. De stiplede vertikale linjene representerer minimums- og maksimumskonsentrasjoner som anbefales for behandling av lakselus med azametifos. * arter som finnes i Norge. ii) Smultringplottet viser antall (n) arter i datasettet som er relevante norske arter (blått felt) og andre (rødt felt) i dyregruppene som er representert.
Figur 5. Akutt og kronisk marin toksisitetsdata for azametifos. i) Plottet viser LC50/EC50-verdiene, basert på dødelighet som endepunkt, ved korttidseksponering (≤ 24 timer; sirkler farget i oransje) og langtidseksponering (> 24 timer; sirkler farget i grønt) for ulike marine arter. Artene er rangert i henhold til de gjennomsnittlige toksisitetsverdiene (merket med en solid svart linje). Hvis data ble uttrykt som større enn eller lik (≥), ble selve verdien plottet. De stiplede vertikale linjene representerer minimums- og maksimumskonsentrasjoner som anbefales for behandling av lakselus med azametifos. * arter som finnes i Norge. ii) Smultringplottet viser antall (n) arter i datasettet som er relevante norske arter (blått felt) og andre (rødt felt) i dyregruppene som er representert.

 

Virvelløse dyr

Tilgjengelig kunnskap om effekter av azametifos på virvelløse dyr handler i stor grad om krepsdyr. Det er imidlertid generelt stor variasjon i effekten avhengig av art, eksponeringstid og temperatur. De laveste LC 50 /EC 50 verdiene, dvs. arter med høyest sensitivitet, basert på 24 timers eksponering er funnet hos lakselus ( Lepeophtheirus salmonis (0,12 µg/l) (Helgesen og Horsberg 2013) og skottelus ( Caligus rogercresseyi (0,24 µg/l) (Agusti mfl. 2016). Lave verdier er også funnet for Chilensk steinkrabbelarver ( Metacarcinus edwardsii ) (0,94 µg/l) (Gebauer mfl. 2017) og Amerikansk hummerlarver ( Homarus americanus ) (0,9 µg/l) (Pahl og Opitz 1999), men med en kortere eksponeringstid på henholdsvis 30 minutter og 12 timer. De fleste terskelverdiene som er estimert for andre arter er imidlertid noe høyere (tabell 3) og kan også være høyere enn behandlingsdosen på 100 µg/l. For eksempel, én times LC 50 /EC 50 for Europeisk hummerlarver ( Homaurs gammarus ) var henholdsvis 21-43 µg/l og 9-16 µg/l (Parsons mfl. 2020). Én times EC 50 for larver av krabbeartene Porcellanidae og Brachyuran , ble estimert til 203 og 103 µg/l (Keen 2020), mens én times LC 50 for hoppekreps ( Acartia tonsa ) var 166-220 µg/l og mellom 83-529 µg/l for villfanget dyreplankton (arter ikke identifisert) (Keen 2020). Amerikansk hummerlarver eksponert i fem minutter resulterte i LC 50 på 34-50 µg/l, mens eksponering i 30 minutter, én time og 24 timer resulterte i LC 50 verdier henholdsvis på 27-38 µg/l, 22-27 µg/l og 8,9 µg/l (Pahl og Opitz 1999, Burridge mfl. 2014). Ingen dødelighet ble observert hos larver av Amerikansk hummer (stadium I-IV) eksponert for 0,21-42 µg/l i tre timer, men immobiliserte individer ble registrert i alle stadier (I-IV) ved konsentrasjoner > 2,0 µg/l (de Jourdan mfl. 2022). En times eksponering gav EC50 på henholdsvis 15,5, 11,5 og 11,4 µg/l for stadium I-III, mens det ikke ble observert immobilisering av stadium IV larver. Etter tre timers eksponering ble EC50 beregnet til 4,0, 4,3, 2,9 og 7,3 µg/l for stadium I-IV (de Jourdan mfl. 2022). Lav dødelighet av azametifos eksponering ble registrert hos Salina saltsjøkreps ( Artemia salina ) eksponert i 24 timer for konsentrasjoner inntil 10 000 µg/l (Ernst mfl. 2001).

Terskelverdier for sensitivitet er også beregnet for flere marine rekearter. I et tidligere omtalt eksperiment (Ernst mfl. 2014) ble også Amerikansk mudderreke ( Crangon septemspinosa ) og Amerikansk pungreke ( Mysis stenolepsi ) eksponert for vannprøver tatt i tilknytning til avlusning av et oppdrettsanlegg. É n times eksponering gav dødelighet på mindre enn 50% mens en 24 timers eksponering gav LC 50 på 34 µg/l for Crangon septemspinosa og 7-24 µg/l for Mysis stenolepis  (Ernst mfl. 2014)  . Én times eksponering for konsentrasjoner opp til 85,5 μg/l ga ingen signifikant dødelighet hos pungreke ( Mysidae sp.) eller Amerikansk mudderreke ( Crangon septemspinosa )  (Burridge mfl. 2014)  eller hos stripestrandreke ( Paleamon elegans ) eller tangpungreke ( Praunus flexuosus ) eksponert for konsentrasjoner inntil 200 μg/l (Brokke 2015) . Lengre eksponeringstid gav imidlertid økt dødelighet, og estimert 24 timers LC 50 var henholdsvis 13, 191, 268 og 29 µg/l for Mysid sp, Amerikansk mudderreke , stripestrandreke og tangpungreke (Burridge mfl. 2014, Brokke 2015).

Så lang vi kjenner til er det kun et studium som har undersøkt effekten av azametifos på andre marine virvelløse dyr enn krepsdyr. Hjuldyret ( Brachionus plicatilis) ble eksponert i 24 timer for konsentrasjoner inntil 10 000 μg/l uten at dette resulterte i dødelighet, og dermed kunne ikke LC 50 beregnes (Ernst mfl. 2001).

Effekten ved repeterende korte eksponeringsperiode r, gjerne én eksponering per dag over flere dager, er undersøkt hos California flekkreke ( Pandalus platyceros ) og Amerikansk hummer. Effekten av 3x1 times eksponering, ble undersøkt ved 5, 11 og 17°C hos voksne California flekkreke i ulike faser i skallskiftesyklusen (Mill og Kennedy 2021). Individer som var mellom to skallskifter tålte eksponering for konsentrasjoner opp til 100 µg/l, ved alle temperaturene. Dersom rekene ble eksponert for azametifos like etter skallskifte var imidlertid sensitiviteten større, og økte med øktende temperatur. Estimert LC 50 verdier var på henholdsvis 40, 27 og 17  μg/l ved temperaturer på 5, 11 og 17°C (Mill og Kennedy 2021). Egg og yngel av California flekkreke var mindre sensitive enn larver, med LC 50 verdier på 187-220 μg/l (egg), og 178-236 μg/l (yngel) mens larver i stadium I, III og IV med LC 50 mellom 10-47μg/l var mer på linje med voksne individer (Mill mfl. 2022). Effekten av repeterende eksponeringer med 0,06, 0,5 og 5 μg/l azametifos, 5 eksponeringer à 1 time innenfor en periode på 48 timer, ble undersøkt hos voksen Amerikansk hannhummer (Daoud mfl. 2016). Dødelighet i gruppen utsatt for 5 μg/l nådde 47% etter 3x1 timers eksponering, 83% etter 4x1 times eksponering og 93% etter 5x1 times eksponering, sammenlignet med 3% i kontrollgruppen. Estimert LC 50 var 0,45 µg/l  (Daoud mfl. 2016)  . Repeterende eksponering (4x30 minutter) ga ingen dødelighet hos voksne amerikansk hummer når de ble eksponert for lave konsentrasjoner av azametifos (de Jourdan mfl. 2022). Utgangspunktet for eksponeringen var 1,0 m g/l azametifos, men den faktiske konsentrasjonen var mye lavere.

Flere studier har undersøkt effekten av azametifos på marine virvelløse dyr, uten å rapportere LC 50 eller EC 50 . Vi gjengir noen av disse studiene. Én times eksponering gav 100% akutt dødelighet av Europeisk hummerlarver ( Homarus gammarus ) (uten å definere hvilket stadium) ved 100 μg/l (Robertson mfl. 1992) mens en eksponering for 10 μg/l resulterte i en dødelighet på 70% etter to døgn. Ingen effekt kunne observeres ved en konsentrasjon på 1 μg/l (Robertson mfl. 1992). Burridge mfl. (2000) fant ingen dødelighet blant voksne Amerikansk hummer eller larver (stadium IV) ved eksponering for konsentrasjoner på 0,5-24 μg/l fra 15 til 120 minutter. Derimot, ved gjentagende eksponeringer, 9 x 30 minutter for konsentrasjoner fra 10 til 25 µg/l resultert dette i dødelighet på 20 til 80% (Burridge mfl. 2000). I en serie eksperimenter ble Amerikansk rognhummer eksponert for konsentrasjoner fra 1,25 til 10 μg/l azametifos i én time annen hver uke med 3 til 4 repetisjoner (Burridge mfl. 2008). Dosene fra 1.25 til 5 μg/l hadde ingen effekt på hverken dødelighet eller gyting. Den høyeste dosen (10 μg/l) gav en dødelighet på 43 til 100% avhengig av antall repetisjoner (3 eller 4) og påvirket gytingen hos overlevende individer. Effekten på gyting og dødelighet var mindre når eksperimentet ble gjennomført i desember-januar sammenlignet med mars-april (Burridge mfl. 2008). Ingen signifikant dødelighet ble observert hos larver eller voksne dypvannsreke ( Pandalus borealis ) som ble eksponert i to timer for veldig lave konsentrasjoner (100 og 200 ng/l)  (Bechmann mfl. 2020, Frantzen mfl. 2020)  . Chilensk østers (Ostrea chilensis) ble eksponert 1 time daglig i 8 dager for 15 og 100 µg/l azametifos ved to temperaturer (Montory mfl. 2023). Seksti dager etter eksponering var dødeligheten på 9 og 21% ved henholdsvis 12°C og 15°C, sammenlignet med kontrollgruppene hvor det var ingen dødelighet.

Dichlorvos ble brukt tidlig på 1990-tallet og er ikke lenger i bruk, men vi har likevel valgt å gjengi de undersøkelsene som ble gjort på non-target arter. Når voksen Europeisk hummer ( Homarus gammarus ) ble eksponert for diklorvos i en konsentrasjon på 1000 µg/l var begge hummerne døde innen 30 minutter mens ved en dose på 100 µg/l ble det registrert én død hummer etter 4,5 timer og én etter 6 timer (Egidius og Møster 1987). I samme studie ble det vist at både strandkrabbe ( Carsinus maenas ) og taskekrabbe ( Cancer pagurus ) var mindre følsomme enn hummer for eksponering for diklorvos, og overlevde 10 timer i en konsentrasjon på 1000 µg/l.

Alger

Vi har ikke kjennskap til at det er gjort studier på marine alger og effekter av korttidseksponering med azametifos.

Korttidseksponering (≤ 24 timer): ikke-dødelige effekter

Ikke-dødelige effekter på marine arter som følge av eksponering for azametifos er oppsummert under og inkluderer atferd, fysiologiske effekter og effekter på reproduksjon.

Fisk

Acetylkolinesterase (AChE) aktiviteten i hjernen til voksne havabbor ( Dicentrarchus labrax ) ble redusert med 56-58% i opptil 4 dager etter én, to og fire timers eksponering for 100 µg/l azametifos (Intorre mfl. 2004). Et annet studie undersøkte regnbueørret ( Oncorhynchus mykiss ) fra et oppdrettsanlegg i Skottland der fisken ble eksponert for 200 µg/l i 45 minutter og der behandlingen ble gjentatt etter 12 og 21 dager (Barisic mfl. 2019). Dette behandlingsregimet gav endringer i totalt protein, albumin og kreatinin, total bilirubin, jern, kobber, alanine transaminase, haemoglobin, fosfat og aktivitet til glukose-6-fosfat-dehydrogenase, og i tillegg ble det påvist vevsendringer i gjeller, lever, milt og nyrer. Proteiner, som blant annet er assosiert med klogging , immunrespons, frie heme og haemoglobin bindinger samt lipid bindinger, ble også endret som følge av eksponeringen (Barisic mfl. 2019).

Virvelløse dyr

Eksponering for azametifos er vist å kunne påvirke evnen til å holde seg skjult, en anti-rovdyr respons, hos yngel av Amerikansk hummer (Homarus americanus) (Abgrall mfl. 2000). Når hummeren ble eksponert for azametifos gikk de ut av skjulet og både konsentrasjon og eksponeringstid påvirket hvor lang tid det tok før de returnerte til skjulet igjen (Abgrall mfl. 2000). Hvordan azametifos påvirket Amerikansk rognhummer, og spesifikt tap av egg, ble undersøkt ved å eksponere dem for 1,5-10 µg/l én time annen hver uke like etter at eggene var befruktet og lagt på halen til hummeren, og om våren dvs. like før eggene skulle klekkes (Burridge mfl. 2008). Fire eksponeringer om vinteren ga ingen effekt mens tre til fire eksponeringer for den høyeste konsentrasjonen på 10 µg/l om våren medførte at hummeren mistet i snitt 34% av eggene (Burridge mfl. 2008). Daglig eksponering i 30 minutter for 1 µg/l azametifos i 4 dager (nominell konsentrasjon 1 µg/l, men reell konsentrasjon < 1 µg/l), medførte økende aggresjon hos voksen amerikansk hummer (de Jourdan mfl. 2022). Mål for aggresjon var at hummeren løftet overkroppen og spredte klørne i et slags angrep. Andelen hummer som utrykte dette var 60,5% etter én eksponering, men hadde økt til 93,4% etter den fjerde eksponeringen. Én times eksponering for lave konsentrasjoner av azametifos (0,06-5 µg/l) fem ganger i løpet av 48 timer, resulterte i reduserte AChE nivåer ved konsentrasjoner på 0,5 og 5 µg/l hos voksen amerikansk hannhummer (Daoud mfl. 2016). Etter siste eksponering for den høyeste konsentrasjonen (5 µg/l) ble det også påvist endring i mengden av laktat, natrium og klor i haemolymfen til hummeren. I hummerne eksponert for 0,5 µg/l ble det påvist signifikant reduksjon i muskulær citrat-syntese aktivitet (Daoud mfl. 2016). Tre timers eksponering for 0,21-42 µg/l azametifos medførte redusert AChE nivåer sammenlignet med kontrollen hos larver av Amerikansk hummer (stadium I-III) (de Jourdan mfl. 2022). Det påvirket også skallskifte, der økende konsentrasjon gav reduksjon i skallskiftefrekvens. Ved eksponering for konsentrasjoner > 39 ug/l var det få individer som skiftet skall. Eksponering i 30 minutter for 1 og 3 µg/l azametifos hadde ingen effekt på utviklingen til Chilenske steinkrabbelarver, mens konsentrasjoner på 10 og 30 µg/l medførte at larvene fikk problemer med å svømme og å finne mat (Gebauer mfl. 2017).

Tre studier har undersøkt effekten av azametifos på dypvannsreke ( Pandalus borealis ). Svømmeaktiviteten til nyklekte larver ble undersøkt ved to ulike scenarier; én 2 timers eksponering for 100 ng/l, (dag 1 etter klekking) og tre 2 timers eksponeringer for 100 ng/l ved dag 1, 2 og 3 etter klekking (Bechmann mfl. 2020). Svømmeaktiviteten etter én 2 timers eksponering, målt ved dag 4, var ikke påvirket, men det ble påvist nedsatt svømmeaktivitet hos larver (stadium II) etter 13 dager. Det ble imidlertid ikke observer endringer i fôropptak, utvikling eller genuttrykk hos larvene (Bechmann mfl. 2020). Svømmeatferden til rognbærende reker ble påvirket etter 24 timers eksponering for 30 ng/l (snittkonsentrasjonen) (Bamber mfl. 2021) mens en kortere eksponeringstid på to timer ved noe høyere konsentrasjoner (100 og 200 ng/l) viste ingen effekt på atferd, embryoutvikling eller eggproduksjon (Frantzen mfl. 2020).

Èn og tre timers eksponering av rognbærende California flekkreke ( Pandalus platyceros ) med azametifos resulterte i redusert klekkesuksess og redusert bevegelsesevne til nyklekte larver (Mill mfl. 2022). Basert på klekkesuksess ble EC 50 estimert til 249 and 118 µg/l etter henholdsvis én og tre timers eksponering, mens NOEC og LOEC basert på bevegelsesevne til nyklekte larver ble estimert til henholdsvis 100 og 300 µg/l ved én times eksponering og 30 og 100 µg/l etter tre timers eksponering. Det var ingen endring i skallskiftefrekvensen for larver som ble eksponert for 25 µg/l. Hos voksne California flekkreke eksponert for konsentrasjoner opp til 100 µg/l og ved 3 ulike temperaturer ( 5, 11, 17°C) ble det ikke funnet endringer i skallskiftesuksess, skallskiftefrekvens, størrelse (ryggskjoldlengde og vekt) eller kondisjonsfaktor (Mill og Kennedy 2021). Derimot observerte man endret a dferdsrespons (antenneflikking) ved den høyeste temperaturen. Reker eksponert for 50 og 100  μ g/l ved en vanntemperatur på 17°C viste en reduksjon på henholdsvis 84 og 104% i antenneflikking, 24 timer etter eksponering (Mill og Kennedy 2021). Klekkesuksessen til hoppekreps ( Acartia tonsa ) ble ikke påvirket, hverken etter én eller tre timers eksponering for konsentrasjoner opp til 7500 µg/l (Keen 2020). Den samme studien viste derimot at utviklingen fra nauplii (< 24 timer etter klekking) til kopepoditter ble redusert ved økende konsentrasjoner av azametifos og EC 50 ble estimert til henholdsvis 120 og 30 μ g/l etter én og tre timers eksponering. Også reduserte eggproduksjon ble observert og EC 50 etter én og tre timers eksponering ble estimert til henholdsvis 84 og 51 μ g/l (Keen 2020).

Flere studier har undersøkt ikke dødelige effekter av azametifos (utvikling, reproduksjon, biokjemiske prosesser) på kråkeboller og bløtdyr. To studier som gjennomførte befruktningstester etter 20-minutters eksponering av stillehavskråkebolle ( Strongylocentrotus purpuratus ) resulterte i motstridende funn. I det ene studiet ble befruktningsandelen redusert med 30% ved eksponering for 100 µg/l og NOEC ble estimert til 25 µg/l (Woof og Kennedy 2021). I den andre studiet ble ikke befruktningsandelen signifikant endret selv ved den ekstremt høye dosen på 12500 µg/l (Strachan og Kennedy 2021). I et liknende studium ble drøbakkråkebolle ( Strongylocentrotus droebachiensis ) eksponert i 20 minutter og median inhiberingskonsentrasjon (IC 50 ) basert på befruktningssuksess ble estimert til 6840 µg/l (Ernst mfl. 2001). Befruktningssuksess ble også redusert for muslingen ( Choromytilus chorus ) ved eksponering for 1000 µg/l, men ingen endringer i larveutviklingen ble observert (Sanhueza mfl. 2018). For kråkebollene Paracentrotus lividus og Sphaerechinus granularis ble det ikke funnet noen signifikante effekter på befruktningssuksess, men henholdsvis 66% og 25% av larvene var misdannet etter eksponering for 1000 µg/l. I blåskjell ( Mytilus edulis ) eksponert for 100 μ g/l i 24 timer ble det påvist en betydelig reduksjon i acetylkolinesterase (AChE) aktiviten, både i hemolymfen (80%) og i gjellene (59%), mens én times eksponering for samme konsentrasjon resulterte i en reduksjon i AChE-aktiviteten på henholdsvis 25% og 30%. Eksponering i 24 timer gav også endring i cellelevedyktighet og reduksjon i fagocytisk indeks (9%), mens matinntaket ikke ble påvirket (Sanhueza mfl. 2018). Oksygenopptak og clearance rate (dvs hvor raskt blir en mikroalge fjernet fra vannet) ble undersøkt hos Chilensk østers ( Ostrea chilensis ) etter eksponering (7x1 time) for 15 og 100 µg/l azametifos ved 12°C og 15°C (Montory mfl. 2023). Økende temperatur medførte økt clearance rate også hos de eksponerte gruppene. Oksygenforbruket økte med økende temperatur, bortsett fra etter eksponering for 100 µg/l, hvor det ikke ble observert noen endringer. Matinntaket ble ikke påvirket hos villfanget hoppekreps eksponert for 620 µg/l i én time  (Van Geest mfl. 2014a)  .

Alger

Vi kjenner ikke til studier som har undersøkt ikke-dødelige effekter på alger som følge av kortidseksponering for azametifos.

Langtidseksponering (> 24 timer); dødelige effekter

Fisk

Bare et fåtall studier har kartlagt dødeligheten hos fisk etter langtidseksponering med azametifos. 96-timers LC 50 for trepigget stingsild ( Gasterosteus aculeatus ) og juvenile Stillehavssilverside ( Atherinops affinis ) var henholdsvis 190 og 980 µg/l (Ernst mfl. 2001, Strachan og Kennedy 2021). I tillegg, 48-timers LC 50 for pukkellaks ( Oncorhynchus gorbuscha ) yngel var 80 µg/l (Sahota mfl. 2022).

Virvelløse dyr

De fleste studier som har undersøkt dødelige effekter på marine virvelløse dyr etter langtidseksponering for azametifos har fokusert på amerikansk hummer ( Homarus americanus ). LC 50 etter 48 timers eksponering ble beregnet til henholdsvis 3,6, 1,0, 2,3 og 2,1 µg/l for larver i stadium I, II, III- og IV, mens for voksen hummer varierte verdiene mellom 0,6-3,2 µg/l avhengig av skallskifte og reproduksjonsstatus til hummeren, og tid på året testen ble utført (Burridge mfl. 1999, Burridge mfl. 2005). Tilsvarende lave LC/EC 50 verdier er funnet for hoppekreps ( Tisbe battagliai ) nauplii og kopepoditter (6,7 og 7,7 µg/l) og voksne sandtangloppe ( Eohaustorius estuaries ) (1,6-12,1 µg/l) etter 48 timers eksponering, og for tangloppe ( Gammarus spp ) < 5 µg/l etter 96 timers eksponering) (Ernst mfl. 2001). Relativt høye LC/EC 50 verdier ble derimot estimert for pungreke ( Mysidopsis bahia ; 1218 µg/l; 96 timer) og mudderorm ( Polydora cornuta ; 190 µg/l; 96 timer), mens ingen signifikant dødelighet ble observert blant drøbakkråkebollen ( Strongylocentrotus droebachiensis ) eksponert i 96 timer for konsentrasjoner opp til 1000 µg/l og Middelhavsblåskjell ( Mytilus galloprovincialis ) eksponert i 48 timer for konsentrasjoner opp til 12500 µg/l (Ernst mfl. 2001, Strachan og Kennedy 2021).

Langtidseksponering (> 24 timer); ikke-dødelige effekter

Fisk

Vi kjenner kun til ett studium som har sett på ikke-dødelige effekter på fisk. Svømmeatferd og evnen til å respondere på mat avtok hos pukkellaks ( Oncorhynchus gorbuscha ) yngel etter 48 timers eksponering med økende konsentrasjoner av azametifos (1-40 µg/l) (Sahota mfl. 2022).

Virvelløse dyr

Ti dagers kontinuerlig eksponering av amerikansk hummer for 0,06 μ g/l gaven signifikant effekt på hepatosomatiske og gonadosomatiske indekser, samt på lipid- og vanninnhold i hepatopancreas og acetylkolinesterase aktivitet i musklene (Couillard og Burridge 2015). Azametifos eksponering over syv dager for konsentrasjoner opp til 3,6 μ g/l ga ingen signifikante effekter på utviklingen til hoppekreps ( Tisbe battagliai ), hverken antall kopepoditter eller utviklingsrater (Macken mfl. 2015). Chilensk østerslarver ( Choromytilus chorus) eksponert over en periode på seks dager for 10 og 1000  g/l azametifos resulterte ikke i fenotypiske endringer dvs. deformiteter, men det ble funnet signifikante endringer i transkriptomet hvor gen-utrykkene for kritiske biologiske prosesser relatert til morfose og larveutvikling var endret (Núñez-Acuña mfl. 2022) .

Alger

Et studium på stortare ( Macrocystis pyrifera ) viste ingen negativ effekt på spiring eller vekst etter 48 timers eksponering med konsentrasjoner opp til 12,500 μ g/l (Strachan og Kennedy 2021). LOEL for både spiring og vekst ble foreslått til 20 μ g/l.

Endringer i samfunnsstruktur ved bruk av azametifos

Burridge og Van Geest (2014) referer til en upublisert studie gjennomført ved lakseanlegg i New Brunswick, Canada i perioden august til september 1996, dvs en seinsommer/høstsituasjon. Det ble gjort målinger før, under og etter behandlinger med azametifos og de fant ingen endringer i oksygen eller klorofyll-a, noe som indikerer at det ikke forekommer endringer i primærproduksjonen (Burridge og Geest 2014). Det er foreløpig ikke publisert norske studier som viser funn av endringer i artssammensetning eller endringer i en arts mengde som følge av bruk av azametifos.

1.5.1.3 - Pyretroider (deltametrin og cypermetrin)

Deltametrin og cypermetrin tilhører stoffgruppen pyretroider. Disse stoffene påvirker nervecellene i lakselus ved å forsinke/forhindre at Na + kanalene lukkes etter depolarisering og forstyrrer dermed en normal repolarisering av cellene. Dette forstyrrer overføring av impulser i parasittenes nervebaner, som igjen medfører ukontrollerte muskelbevegelser etterfulgt av paralyse og død.. Deltametrin selges i Norge under navnet Alpha Max®. Anbefalte dosering av deltametrin er 2 µg/l (tilsvarende 2000 ng/l), og behandlingstiden er 30 minutter. Det er oppgitt at effekten reduseres ved sjøtemperaturer lavere enn 6°C. Det påpekes at nøtene bør være rene ved behandling for å sikre mest mulig effekt. Deltametrin skal ikke benyttes hvis det oppbevares hummer eller krabbe i umiddelbar nærhet (< 200 m) (Veterinærkatalogen 2022). Cypermetrin var sist solgt i Norge i 2017, og ble da solgt under produktnavnene Excis ® vet. og Betamax ® vet. Cypermetrin er noe mindre potent enn deltametrin, og anbefalte doseringer var 5 µg/l (tilsvarende 5000 ng/l) som Excis vet og 15 µg/l (tilsvarende 15 000 ng/l) som Betamax vet. Pyretrium (solgt under navnet Py-Sal) ble brukt kun i noen få år i Norge, 1993- 1996.

Forbruk

Pyretroider ble tatt i bruk i 1994, og da som pyretrium, med et totalt forbruk på 32 kg (figur 6). Pyretrium ble noen år seinere erstattet av delta- og cypermetrin. Det totale årlige forbruket fram til 2000 var i snitt 31 kg, men økte så til 96 kg, fordelt på 23 kg deltametrin og 73 kg cypermetrin. I 2009 økte igjen det årlige forbruket til 150 kg, 62 og 88 kg for delta- og cypermetrin. I 2014 var det totale forbruket 320 kg (919 forskrivninger), men har de senere årene blitt redusert til å utgjøre kun 3 kg deltametrin i 2022 og 2 kg i 2023. Det ble skrevet ut 29 resepter/forskrivninger i 2022, 16 i vinterhalvåret og 13 i sommerhalvåret. Forbruket av deltametrin i 2022 var høyest i produksjonsområde 10, med 9 forskrivninger, mens det ikke ble brukt i produksjonsområdene 1, 2, 3, 5 og 13.

 

Figur 8.6. Årlig forbruk av pyretroider (kg) som legemidler i norsk akvakultur fra 1994 til 2022 (statistikk fra Folkehelseinstituttet).
Figur 6. Årlig forbruk av pyretroider (kg) som legemidler i norsk akvakultur fra 1994 til 2022 (statistikk fra Folkehelseinstituttet).

 

Spredning og fortynning

Deltametrin er lite løselig i vann (< 0,002 mg/l, log Kow > 4) (Veterinærkatalogen 2022) og vil derfor lett kunne binde seg til ulike substanser , partikler og sediment slik at konsentrasjonen i vannfasen reduseres raskere enn bare ved kjemisk nedbrytning eller fortynning  (Strachan og Kennedy 2021) . På den annen side inneholder produktene dispergeringsmidler og stabilisatorer, noe som kan bidra til å holde disse stoffene i løsningen. Næringssalter, finpartikulært materiale og badebehandlingsmidler vil i hovedsak følge overflatestrømmen. Parsons mfl. (2020) simulerte spredning av deltametrin i det marine miljø etter avlusning ved 23 anlegg langs norskekysten som hadde brukt deltametrin i løpet av 2017-2018. Spredningen ble simulert i 24 timer etter slipp og påvirkningsområdet ble beregnet i forhold til 50% tålegrensen (LC50) for Europeisk hummerlarver (Homarus gammarus). Beregningene viste at påvirkningsområdet ved bruk av deltametrin varierte fra 21,1 til 39,0 km2 (Parsons mfl. 2020). En lignende studie simulerte også spredningen av deltametrin i det marine miljøet etter utslipp fra ett oppdrettsanlegg (Arnberg mfl. 2023). Anlegget bestod av 7 merder behandlet sekvensielt over 3 dager. De beregnet at en konsentrasjon av deltametrin som er dødelige for dypvannsreker (Pandalus borealis) (2 ng/l) kan spre seg omtrent 4–5 km unna utslippspunktet, dekke et område på opptil 6.4 km2 og være til stede i vannsøylen i enkelte områder i omtrent 35 timer. E n annen studie fant veldig rask reduksjon av deltametrin i kar som også inneholdt sandtangloppe ( Echinogammarus finmarchicus ) , 77% reduksjon innen 24 timer. Dette betyr at selv om fortynning er den viktigste årsaken til reduksjon i konsentrasjonen av deltametrin i miljøet vil andre faktorer som binding/absorpsjon til organisk materiale og annet materiale som plastikk, også bidra (Van Geest mfl. 2014c). Willis mfl. (2005) simulerte spredning og fortynning av cypermetrin fra et anlegg i Skottland. De høyeste konsentrasjonene i deres simulering var 25 minutter etter behandling, og verdiene varierte fra 195 til 218 ng/l for tre ulike simuleringer (dag 1, 2 og 6). Simuleringen viste altså at cypermetrin raskt ble fortynnet og spredt etter utslipp (Willis mfl. 2005).

Nedbrytning

Mengden av deltametrin var redusert med 77% etter 24 timer i kar som også inneholdt sandtangloppe ( Echinogammarus finmarchicus ) , men det oppgis ikke om denne reduksjonen var som følge av binding til annet materiale eller om det skyldtes ren nedbrytning (Van Geest mfl. 2014c). I sjøvann (13°C) tilsatt deltametrin i konsentrasjoner på 2,5, 5, 10, 20 og 40 µg/l ble det registrert en gjennomsnittlig reduksjon i konsentrasjonene på 70% etter 48 timer (Van Geest mfl. 2014c). Etter 3 timer var reduksjonen i 10 µg/l løsningen på 29%. To andre studier viser svært ulike resultater. En halveringstid på mindre enn 3 timer ble beregnet for deltametrin i renset sterilt vann uten tilgang på lys (Maguire mfl. 1989), mens i en annen studie ble halveringstiden for deltametrin løst i vann med temperatur på 25°C og pH 9 beregnet til 2,5 dager (Tomlin 2000). Deltametrin ble tilsatt et system bestående av vann og sediment (3:1) for å se på fordeling og nedbrytning (Strachan og Kennedy 2021) . I løpet av 24 timer hadde 49% av den opprinnelige dosen blitt absorbert av sedimentet. Etter 96 timer var gjenværende deltametrin fordelt med 92% i sedimentet og 8% i vannet. I sediment ble det beregnet en halveringstid på 45,2 dager. Halveringstiden i vann ble beregnet til 17,9 dager, men denne halveringstiden er basert på både absorpsjonen fra vann til sediment og nedbryting i vannfasen. Halveringstid på over 17 dager er mer enn det som er rapportert i tidligere studier, men halveringstiden kan variere avhengig av for eksempel temperatur, pH og tilstedeværelse av organisk materiale.

I en annen studie ble halveringstiden til deltametrin i sediment undersøkt ved 10 og 4°C, samt med bakterier tilstede i sedimentet (aktivt sediment) og i sterilisert sediment (Benskin mfl. 2016). I tillegg ble det testet om det var forskjell på rent deltametrin og deltametrin tilsatt som AlphaMax. Halveringstid for deltametrin tilsatt som AlphaMax ved 10°C i aktivt sediment ble beregnet til 201 ± 27 dager og til 227 ± 31 dager i sterilisert sediment. Når deltametrin ble tilsatt som ren-substans var halveringstidene henholdsvis 330 ± 107 dager (aktivt sediment) og 352 ± 62 dager (sterilisert sediment). Ved 4°C ble det bare beregnet halveringstid for deltametrin tilsatt som AlphaMax i aktivt sediment, og var på 285 ± 112 dager.

Det er gjort få studier hvor man har sett på eliminasjon av deltametrin fra biologisk vev. Eliminasjon av deltametrin fra bløtvev til blåskjell skjer i to faser, noe som er relativt vanlig for mange legemidler (to-fase eliminasjon). Den første fasen er en meget rask eliminasjon som så går over i den andre fase hvor eliminasjonen er mer langsom. For blåskjell var det en meget rask eliminasjon i løpet av de første 24 timene, fra ca. 120 til 4-5 ng/l i hovedforsøket og fra 4-4,5 til 1-2,2 ng/l i eliminasjonsforsøket (Brooks mfl. 2019). Etter 4-5 dager var det ikke lenger målbare konsentrasjoner.

Konsentrasjon i miljøet

Deltametrin ble funnet i sedimentprøver tatt i nærheten av en lokalitet som hadde vært brakklagt i 2 år ( 0,039–3,2 ng/g tørrvekt) og i prøver fra en lokalitet med pågående produksjon av fisk ( 0,9–2,8 ng/g tørrvekt) (Hamoutene mfl. 2018). Ett år senere ble median konsentrasjonen målt til 388 ng/g i sedimentprøver fra lokaliteten med produksjon (Hamoutene og Salvo 2020). Ingen behandling med deltametrin var foretatt i mellomtiden, så det er uklart hvorfor nivået økte, men det kan muligens skyldes oppkonsentrering i enkelte tilfeldige områder eller at det er blitt frigjort fra dypere lag. I en norsk undersøkelse fra 2014 ble det ikke funnet pyretroider, verken i vann- eller sedimentprøver, men små rester ble funnet i blåskjell samlet inn ved anlegget (4,8 ng/g) (Langford mfl. 2015). En fersk studie rapporterte påvisbare nivåer av deltametrin i vann og sedimentprøver tatt i nærheten av et norsk oppdrettsanlegg (Arnberg mfl. 2023). Ved å sette ut ark av silkongummi som absorberer deltametrin fra vannfasen, fant en spredning til en avstand på minst 120 m fra utslippspunktet og konsentrasjonen var høyest i prøvene tatt 15 meter fra anlegget. I sedimentprøver samlet inn 5 uker etter behandling varierte konsentrasjonene fra deteksjonsgrensen (LOD) for den analytiske metoden til 0,19 ng/g dw, i avstander opp til 400 m fra nærmeste merd. Ved et annet norsk oppdrettsanlegg ble det samlet inn sedimentprøver 6 uker etter behandling med deltametrin og i avstand 0-300 m fra utslippet. Ingen prøver hadde konsentrasjoner over deteksjonsgrensen (0,02-0,1 ng/g tørrvekt) (Arnberg mfl. 2023).

I en skotsk feltundersøkelse ble spredning og fortynning av cypermetrin studert etter bruk av Excis i et oppdrettsanlegg (Hunter og Frasier 1995 referert i Willis mfl. 2005). Den høyeste målte konsentrasjonen var 187 ng/l, 25 minutter etter utslipp i en vannprøve tatt ca. 25 fra anlegget i strømretningen.

Artenes følsomhet

Det er gjort noen feltstudier der utvalgte arter er satt i bur i nærheten av anlegg hvor det har vært sluppet ut behandlingsvann som inneholder deltametrin. I et forsøk gjennomført i Norge ble stripestrandreke satt i bur i ulike dyp og avstander fra et oppdrettsanlegg som behandlet laksen med deltametrin. Det ble ikke observert dødelighet i grupper som var plassert lengre enn 50 m fra anlegget (Grøsvik og Andersen 1997) . I en feltundersøkelse i Canada hvor behandlingsløsningen med deltametrin var tilsatt fargestoff for visuelt å kunne observere spredningen av utslippet, ble det tatt vannprøver av utslippsvannet i avstander inntil 1500 m fra anlegget (Ernst mfl. 2014). Restkonsentrasjoner ble ikke analysert, men sandtangloppe (Eohaustorius estuarius) (48 timers LC50 = 1,0-3,6 ng/l) ble brukt som indikator (Ernst mfl. 2001). Vannprøver tatt inntil 500 m fra anlegget ga noe dødelighet ved 1 times eksponering, men ved 48 timers eksponering ble det observert dødelighet i vannprøver tatt opptil 1000 m fra anlegget.

Eksponering via vann

Oppsummering av arters følsomhet ved kortidseksponering (≤ 24 timer) og langtidseksponering (> 24 timer) via vann for deltametrin og den konsentrasjonen som gir 50% dødelighet/paralyse, LC 50 /EC 50 , er gitt i figur 7 og tabell 4.

 

Figur 8.7. Akutt og kronisk marin toksisitetsdata for deltametrin. i) Plottet viser LC50/EC50-verdiene, basert på dødelighet som endepunkt, ved korttidseksponering (≤ 24 timer; sirkler farget i oransje) og langtidseksponering (> 24 timer; sirkler farget i grønt) for ulike marine arter. Artene er rangert i henhold til de gjennomsnittlige toksisitetsverdiene (merket med en solid svart linje). Hvis data ble uttrykt som større enn eller lik (≥), ble selve verdien plottet. De stiplede vertikale linjene representerer minimums- og maksimumskonsentrasjoner som anbefales for behandling av lakselus med deltametrin. * arter som finnes i Norge. ii) Smultringplottet viser antall (n) arter i datasettet som er relevante norske arter (blått felt) og andre (rødt felt) i dyregruppene som er representert.
Figur 7. Akutt og kronisk marin toksisitetsdata for deltametrin. i) Plottet viser LC50/EC50-verdiene, basert på dødelighet som endepunkt, ved korttidseksponering (≤ 24 timer; sirkler farget i oransje) og langtidseksponering (> 24 timer; sirkler farget i grønt) for ulike marine arter. Artene er rangert i henhold til de gjennomsnittlige toksisitetsverdiene (merket med en solid svart linje). Hvis data ble uttrykt som større enn eller lik (≥), ble selve verdien plottet. De stiplede vertikale linjene representerer minimums- og maksimumskonsentrasjoner som anbefales for behandling av lakselus med deltametrin. * arter som finnes i Norge. ii) Smultringplottet viser antall (n) arter i datasettet som er relevante norske arter (blått felt) og andre (rødt felt) i dyregruppene som er representert.

 

Kortidseksponering (≤ 24 timer): dødelige effekter

Fisk

Effekten av deltametrin eksponering av fisk er lite undersøkt. I en studie med tre ulike fiskearter; stjerneflyndre ( Platichthys stellatus ), trepigget stingsild ( Gasterosteus aculeatus) og Stillehavsulke ( Oligocottus maculosus ), varierte LC 50 fra 498 til 870 ng/l ved eksponering i 24 timer (Strachan og Kennedy 2021).

Virvelløse dyr

Flere studier har undersøkt effekten av deltametrin eksponering på virvelløse dyr. Larver (stadium I) av dypvannsreke ( Pandalus borealis ) var sensitiv for en konsentrasjon på 2 ng/l der mer enn 80% av nyklekte larver døde etter 2 timers eksponering (Bechmann mfl. 2020). Det ble også observert forsinket dødelighet, 4-12 dager etter eksponering. Dette var i motsetning til kontrollen hvor litt under 20% av larvene var døde etter 13 dager. I et eksperiment hvor voksne dypvannsreke med utrogn ble eksponert for 3,2 ng/l deltametrin i 2 timer ble det ikke registrert akutt dødelighet ved forsøksslutt (dag 0) men en forsinket dødelighet ble registrert der 70 til 80% av rekene var døde syv dager etter eksponering (Frantzen mfl. 2020). Kontinuerlig eksponering av voksne egg-bærende dypvannsreker for en dose av deltametrin på 1 ng/l førte først til økt svømmeaktivitet etterfulgt av redusert aktivitet og etter 24 timer var alle rekene døde eller dødende (Bamber mfl. 2021). Et tilsvarende forsøk med 0,2 ng/l gav liten dødelighet og LC50 ble derfor vurdert til å være mellom 0,2 ng/l og 1 ng/l (Bamber mfl. 2021). Disse resultatene er i tråd med en fersk studie som rapporterte 80% dødelighet hos voksen dypvannsreker eksponert i 1 time for en dose på 2 ng/l deltametrin, en gang daglig over en 3 dagers periode (Arnberg mfl. 2023). Andre studier har imidlertid rapportert høyere LC50 verdier for denne arten. En 24 timers eksponering av voksne og juvenile dypvannsreker gav LC50 på henholdsvis 44,8 og 37,5 ng/l (Strachan og Kennedy 2021). For to andre rekearter (California flekkreke Pandalus platyceros, Stillehavskystreke Pandalus danae) og stillehavsspøkelseskreps (Neotrypaea californiensis) varierte LC50 fra 34,4 til 54,4 ng/l for voksne individer og mellom 36,5 og 44,1 ng/l for juvenile (Strachan og Kennedy 2021). Fem livsstadier av California flekkreke (Pandalus platyceros) (egg, stadium I, stadium III, stadium V og juvenile) ble eksponert for deltametrin i en og tre timer (Mill mfl. 2022). For endepunkt morbiditet (LC50) var reker i larvestadium I mest sensitive, og LC50 ved 1 times eksponering varierte fra 1,2 til 18 ng/g for stadium I, III, V mens LC50 for juvenile reker ble beregnet til 124 ng/l. Egg var lite sensitive med en LC50> 1000 ng/l. Tre timers eksponering gav noe større dødelighet, men forskjellene var små (Tabell 8.6). Europeisk hummerlarver ( Homarus gammarus ) var sensitive for deltametrin og LC 50 ved en times eksponering ble beregnet til 2,6 ng/l fo r stadium I og 2,9 ng/l for stadium II (Parsons mfl. 2020). Imidlertid var en del larver immobilisert og EC 50 basert på både dødelighet og immobilisering ble beregnet til 0,6 for stadium I og 0,4 ng/l for stadium II. Ett døgn (24 timer) etter eksponering var de fleste av de immobiliserte larvene også døde. En times eksponering av amerikanske hummerlarver (stadium III) gav en LC 50 på 36,5 ng/L (Fairchild mfl. 2010). I samme studie ble LC 50 for sandtangloppe ( Eohaustorius estuarius ) og Amerikansk mudderreke ( Crangon septemspinosa ), beregnet til 13,1 og 142 ng/l etter 1 times eksponering. For sandtangloppen Echinogammarus finmarchicus var LC 50 og EC 50 henholdsvis 70 og 47 ng/l etter 1 times eksponering og 9,4 og 6,7 ng/l etter 24 timers eksponering (Van Geest mfl. 2014c).

Larver av Chilensk steinkrabbe ( Metacarcinus edwardsii ) ble eksponert i 40 minutter for konsentrasjoner av deltametrin fra 0,1 til 8 µg/l. 100% immobilitet ble registrert for alle dosene og inntil 33% akutt dødelighet for de tre høyeste dosene. Dødeligheten fortsatte imidlertid i alle gruppene og 24 timer etter eksponering ble det beregnet en LC 50  på 1,252 µg/l. Etter 48 timer var dødeligheten i eksponerte grupper 100% mens dødeligheten i kontrollgruppene var < 20% (Gebauer mfl. 2017). En studie fra Canada viste at hoppekreps (art ikke oppgitt) eksponert for 200 og 2000 ng deltametrin/l ble immobilisert og sank til bunnen av tanken i løpet av 15–60 minutter (Burridge og Geest 2014). Etter fem timer i friskt vann var de fremdeles immobilisert, men ingen dødelighet ble observert i løpet av perioden. Eksponering av børstemarken grønn sandorm (Alitta [ Nereis] virens ) for behandlingsløsningen i 48 timer (2 µg/l) gav ingen dødelighet og LC 50 ble beregnet til 16 µg/l mens EC 50 (immobilisering) ble beregnet til 2,7 µg/l, altså høyere enn dosen som brukes til avlusning (Van Geest mfl. 2014b).

Crane mfl. (2011) brukte datasett fra tidligere studier til å beregne LC 10 (dose som gir effekt på 10% av individene) for fem ulike arter av krepsdyr [hoppekreps ( Acartia tonsa ), pungreke ( Americamysis bahia ), mudderreke ( Crangon crangon ), gulfreke ( Penaeus duorarum ), vinkekrabbe ( Uca pugilator )] og en fiskeart (tannkarpe). Disse verdiene ble videre brukt til å plotte sensitivitetskurver (SSD – Species Sensitivity Distribution). SSD kurver kan brukes til å beregne grenseverdier for effekter som HC 5 (grenseverdi som beskytter 95% av artene i et område). Analysene viste at en konsentrasjon på 9,3 ng/l var grenseverdien for å beskytte 95% avartene ved en eksponeringstid på 3 timer. Ved 24 timers eksponering ble grenseverdien beregnet til 2,5 ng/l. Noen av artene som er brukt i dette studiet er mindre aktuelle når en snakker om norske forhold (Crane mfl. 2011).

Alger

Vi har ikke funnet studier som omhandler dødelige effekter ved kortidseksponering av alger.

Korttidseksponering (≤ 24 timer); ikke dødelige effekter

Fisk

Vi har ikke funnet studier på ikke-dødelige effekter ved korttidseksponering av non target fiskearter.

Virvelløse dyr

Dypvannrekelarver ( Pandalus borealis ) eksponert for 2 ng/l deltametrin i to timer viste redusert svømmeaktivitet/bevegelse (Bechmann mfl. 2020). Ingen larver (stadium I) av dypvannsreke som ble eksponert for deltametrin, 2 ng/l i to timer, skiftet skall til stadium 2 i løpet av de påfølgende 13-14 dagene (Bechmann mfl. 2020). Det ble ikke funnet noen effekt på utviklingen av embryo eller tap av egg når voksne egg-bærende dypvannsreker ble eksponert i 2 timer for deltametrin (0,002 ng/l, 0,02 ng/l, 0,2 ng/l og 6 ng/l) (Frantzen mfl. 2020). For den høyeste dosen ble det imidlertid registrert signifikant forskjell i oppførsel hos rekene der stress-svømming, panikk-svømming og immobilisering ble observert. (Bamber mfl. 2021) observerte økt aktivitet hos reker som ble eksponert for 0.2 ng/l deltametrin. Den økte aktiviteten vedvarte under hele eksponeringsperioden på 24 timer, men etter 3,5 dager hadde rekene returnert til normaltilstand. Fire uker senere var det ikke observert økt dødelighet i de eksponerte gruppene sammenlignet med kontrollgruppene. Mill mfl. (2022) undersøkte om eksponering for deltametrin påvirket klekkesuksessen til egg fra California flekkreke (Pandalus platyceros) og beregnet en EC50 på 1066 ng/l ved en times eksponering mens 3 timers eksponering gav EC50 på 655 ng/l. Tre timers eksponering av stadium I larver av samme art forlenget skallskiftesyklus fra stadium IV til V. Basert på mobilitet til larvene etter klekking ble det beregnet en NOEL-verdi på 300 ng/l og en LOEL på 1000 ng/l, og det var ingen forskjell mellom en og tre timer eksponering (Mill mfl. 2022). Studie av b efruktningsevnen hos stillehavskråkebollen ( Strongylocentrotus purpuratus ) ga en NOEL på 2 µg/l og en LOEL på 5,1 µg/l ved en eksponering på 20 minutter (Strachan og Kennedy 2021).

Alger

Vi har ikke funnet studier på ikke dødelige effekter ved kortidseksponering av alger.

Langtidseksponering (> 24 timer); dødelige effekter

Fisk

En 96 timers eksponering av Stillehavssilverside ( Atherinops affinis ) og Stillehavsulke (Oligocottus maculosus) med deltametrin gav LC 50 på 1600 og 870 ng/l (Strachan og Kennedy 2021). LC50 for pukkellaks (Oncorhynchus gorbuscha) var 980 µg/l, basert på 48 timers eksponering (Strachan og Kennedy 2021, Sahota mfl. 2022).

Virvelløse dyr

LC 50 for Amerikanske hummerlarver ( Homarus americanus ) stadium III og post larver stadium IV, eksponert for deltametrin i 96 timer, ble beregnet til 3,7-4,9 ng/l og 28,2 ng/l (Fairchild mfl. 2010). I samme studie og under samme forhold, ble LC 50 beregnet til å ligge mellom 1,7 og 8,0 ng/l for sandtangloppe ( Eohaustorius estuarius ) og til 45,3 ng/l for Amerikansk mudderreke ( Crangon septemspinosa ). Amerikansk pungreke ( Mysidopsis bahia ) var mindre sensitiv, og eksponering i 96 timer gav en LC 50 på 1,6 µg/l tilsvarende 1600 ng/l (Strachan og Kennedy 2021). I samme forsøk ble Middelhavsblåskjell ( Mytilus galloprovincialis ) eksponert i 48 timer for konsentrasjoner opp til 100 µg/l uten at økt dødelighet ble registrert. For voksen Amerikansk hummer eksponert for deltametrin i 10 dager ble det estimert en LC50 på 14,7 ng/l (Burridge og Geest 2014). Denne verdien er imidlertid ganske lik LC50 verdiene som er beregnet både for 1 times eksponering (18,8 ng/l) og 24 timers eksponering (15 ng/l) (Burridge mfl. 2014). Årsaken(e) til hvorfor en lengre eksponering ikke fører til økt total dødelighet er ikke kjent men tilsvarende effekt er påvist også for andre arter som sandtangloppe ( Eohaustorius estuarius ) og Amerikansk mudderreke (Crangon septemspinosa) (Fairchild mfl. 2010).

Langtidseksponering (> 24 timer); ikke dødelige effekter

Fisk

Gyllen havkaruss ( Sparus aurata  L) som ble eksponert for deltametrin (0,1 μg/L) i 1, 3, 7 og 14 dager fikk endret immunstatus, hepatosomatisk indeks og flere metabolske parametere (Guardiola mfl. 2014). I en studie ble Europeisk ål ( Anguilla anguilla L.) eksponert for to doser av deltametrin (0,05 og 0,1 μg/L) i 1 og 3 dager, og ble deretter overført til friskt sjøvann. Etter tre dagers eksponering ble økt erytrocytiske nukleære abnormiteter observert, men denne effekten ble reversert etter overføring til friskt sjøvann. Det ble også observert økt omsetning av erytrocytter og denne effekten ble delvis reversert etter overføring til friskt sjøvann (Marques mfl. 2014). Pukkellaks (Oncorhynchus gorbuscha) ver ken unngikk eller ble tiltrukket av deltametrin ved doser opp til 400 ng/L , mens luktrespons ble påvirket ved 500 ng/l. Videre viste studien at kritisk svømmehastighet ble signifikant lavere ved eksponering for 200 ng/L (Strachan og Kennedy 2021, Sahota mfl. 2022).

Virvelløse dyr

Når kinaullhåndskrabbe ( Eriocheir sinensis ) ble eksponert for deltametrin i ulike doser fra 0,073 til 1,164 µg/l i opp til 96 timer ble det påvist økt oksidativt stress ved samtlige doser men ingen dødelighet ble rapportert (Hong mfl. 2018b) . En 6-dagers eksponering for deltametrin (10 og 1000 ng/L) resulterte ikke i fenotypiske endringer i Choromytilus chorus larver, men signifikante genotypiske endringer ble observert relatert til kritiske biologiske prosesser som morfogenese og larveutviklingen (Núñez-Acuña mfl. 2022).

A lger

Det var ingen negativ effekt på spiring (germination) og vekst for kjempetare (Macrocystis pyrifera) eksponert for opptil 20 µg/l deltametrin i 48 timer (Strachan og Kennedy 2021).

Eksponering via sediment

Det er også gjort sensitivitetsforsøk med deltametrin ved eksponering via sediment. O ppsummering av arters følsomhet ved eksponering via sediment for deltametrin og den konsentrasjonen som gir 50% dødelighet/paralyse, LC 50 /EC 50 , er gitt i figur 8 og tabell 5.

 

Figur 8.8. Marin toksisitetsdata for deltametrin. i) Plottet viser LC50/EC50-verdiene, basert på dødelighet som endepunkt ved eksponering via sediment for ulike marine arter. Artene er rangert i henhold til de gjennomsnittlige toksisitetsverdiene (merket med en solid svart linje). Hvis data ble uttrykt som større enn eller lik (≥), ble selve verdien plottet. * arter som finnes i Norge. ii) Smultringplottet viser antall (n) arter i datasettet som er relevante norske arter (blått felt) og andre (rødt felt) i dyregruppene som er representert.
Figur 8. Marin toksisitetsdata for deltametrin. i) Plottet viser LC50/EC50-verdiene, basert på dødelighet som endepunkt ved eksponering via sediment for ulike marine arter. Artene er rangert i henhold til de gjennomsnittlige toksisitetsverdiene (merket med en solid svart linje). Hvis data ble uttrykt som større enn eller lik (≥), ble selve verdien plottet. * arter som finnes i Norge. ii) Smultringplottet viser antall (n) arter i datasettet som er relevante norske arter (blått felt) og andre (rødt felt) i dyregruppene som er representert.

Fisk

Basert på 10 dagers eksponering via sediment med Stillehavsulke (Oligocottus maculosus) og pukkellaks (Oncorhynchus gorbuscha) ble LC50 beregnet til 0,511 og 1,035 µg/kg (Strachan og Kennedy 2021, Sahota mfl. 2022). Ved eksponering av pukkellaks (Oncorhynchus gorbuscha) via sediment i 10 dager (10–500 ng/kg) ble det ikke observert noen signifikant endring i luktrespons (Sahota mfl. 2022).

Virvelløse dyr

Sediment anriket med deltametrin forårsaket dødelighet hos sandtangloppe og en 10 dagers eksponering resulterte i en LC 50 på 16 µg/kg sediment (Van Geest mfl. 2014c). Basert på 10 dagers eksponering ble LC 50 beregnet til 7,8 µg/kg for tangloppe ( Monocorophium insidiosum) , 0,0 22-0,54 µg/kg for sandtangloppe ( Eohaustorius estuarius ) og 0,0242 og 0,0536 µg/kg for juvenile og voksen California flekkreke ( Pandalus platyceros ) (Burridge og Geest 2014, Tucca mfl. 2014, Van Geest mfl. 2014c, Strachan og Kennedy 2021). En 14 dager eksponering av Amerikansk mudderreke (Crangon septemspinosa) gav LC50 på 8,6 µg/kg (referert i Burridge og Van Geest 2014) mens en 15 dagers eksponering av små amerikanske hummer (Hommarus americanus) gav en LC50 på omtrent 2,5 µg/kg (Daoud mfl. 2023). Sistnevnte studie rapporterte ingen negative effekter på skallskiftesyklus, vekst, veksthastighet eller respirasjonsrate hos ung amerikansk hummer etter 15 dagers eksponering for sediment som inneholdt deltametrin (0,5 µg/kg).

Grønn sandorm (Alitta [ Nereis] virens ) ble utsatt for sand eller naturlig sediment tilsatt deltametrin (Van Geest mfl. 2014b). I en 7-dagers test ble det observert dødelighet opp til 20% ved konsentrasjoner fra 110 til 700 μg/kg i sand og ved 400 μg/kg i naturlig sediment, noe som indikerer at det noe høyere innholdet av totalt organisk karbon i det naturlige sedimentet sannsynligvis reduserte biotilgjengeligheten (og dermed toksisiteten) til deltametrin for ormene. Ikke-dødelige effekter (nedsatt mobilitet, endret graveadferd, ødelagte/skadede ledd) ble observert hos de fleste ormer utsatt for konsentrasjoner ≥ 100 μg/kg i sand mens det samme omfanget av effekter ble bare observert ved 400 μg/kg i naturlig sediment. Estimerte EC50 verdi i sand med alle effekter inkludert var 130 μg/kg og 230 μg/kg for de mest alvorlige effektene. Tilsvarende verdier for sediment var henholdsvis 200 og 230 μg/kg. Ingen effekter ble observert i 30-dagers tester med sediment tilsatt deltametrin i konsentrasjoner opp til 150 μg/kg (Van Geest mfl. 2014b). I en annen studie viste grønn sandorm (Alitta [ Nereis] virens ) seg å være svært mye mer sensitiv med en LC50 på 0.31 ng/kg etter 10 dagers eksponering  (Strachan og Kennedy 2021)  .

Deltametrin i kombinasjon med azametifos

Det er gjennomført noen studier hvor toksisitet av en kombinasjon av deltametrin og azametifos er undersøkt. Motivasjonen til å gjennomføre slike studier var at en slik kombinasjon har vært brukt til behandling av laks, særlig for noen år siden. Voksne stripestrandreke (Palaemon elegans), voksne tangpungreker (Pranus flexuosus), voksne dypvannsreker med utrogn og larver av dypvannsreken (Pandalus borealis) ble eksponert for ulike mengder og blandingsforhold av azametifos og deltametrin men det eksperimentelle oppsettet var ikke tilstrekkelig i noen av studiene til å konkludere om bruk av disse medikamentene i kombinasjon forsterket effekten i stor grad (Brokke 2015, Bechmann mfl. 2020, Frantzen mfl. 2020). Dødeligheten ser for det meste ut til å følge effekten av deltametrin men noe forhøyet dødelighet kan forekomme med bruk av kombinasjoner. Dypvannsreker (Pandalus borealis) eksponert for en kombinasjon av 30 ng azametifos /l og 1 ng deltametrin /l viste lignende resultat som reker eksponert for bare deltametrin: økt svømmeaktivitet som deretter ble redusert og etter 24 timer var rekene død eller dødende (Bamber mfl. 2021).

Deltametrin i kombinasjon med hydrogenperoksid

Det er gjennomført et studium hvor effekten av en kombinasjon av deltametrin og hydrogenperoksid ble undersøkt på voksne dypvannsreker (Pandalus borealis) (Frantzen mfl. 2020). Kombinasjonen var 2,4 mg/l (hydrogenperoksid) og 6 ng/l (deltametrin). Det eksperimentelle oppsettet var ikke tilstrekkelig til å konkludere om det var en forsterkende effekt med en slik kombinasjon. Toksisiteten ser ut til å følge effekten av deltametrin.

Endringer i samfunnsstruktur ved bruk av deltametrin/cypermetrin

Det er ikke publisert norske studier som viser funn av endringer i artssammensetning eller endringer i en arts mengde som følge av eksponering for deltametrin/cypermetrin. I Skottland ble det i perioden september 1999 til august 2004 undersøkt mulige endringer i flora og fauna ved fire oppdrettslokaliteter som følge av bruk av flere lusemidler, deriblant også cypermetrin (SEPA 2005, Willis mfl. 2005). De fant ingen effekter på dyreplankton, hverken på artsnivå eller samfunnsnivå. De fant endringer i artssammensetning, men dette ble forklart med flekkvis fordeling av organisk materiale, sesong og livs-syklus. Oppblomstring av planteplankton også var upåvirket av bruken av legemidler. Undersøkelser på bunnslåing av rur viste ingen effekter. Larver av rur ( Balanus spp.) er frittsvømmende i vannmassene og kan teoretisk bli påvirket av badmidler som cypermetrin.

1.5.1.4 - Imidakloprid

Imidakloprid er et insektmiddel som tilhører gruppen av kjemiske forbindelser kalt neonikotinoider. De er syntetisk produsert og ligner i oppbygging på nikotin. Neonikotinoider er designet for spesifikt å binde seg irreversibelt til kolinerge nikotinreseptorer (nAChRs) i ganglia (CNS, autonome nervesystem) og i motoriske endeplater i tverrstripet muskulatur. Imidakloprid konkurrerer med transmittersubstansen acetylkolin om reseptorbindingen og på denne måten forstyrres impulsene i nervesystemet. Dette fører til paralyse og til slutt insektenes død (Jeschke mfl. 2011). Studier på flere ulike ferskvannsarter har vist at det kan være en forsinket effekt som følge av eksponering for neonikotinoider, men også en kumulativ/opphopende effekt over tid (Beketov og Liess 2008, Tennekes og Sánchez-Bayo 2011). På grunn av strukturelle forskjeller mellom pattedyr- og insekters nikotinreseptorer, og den høyere bindingsaffiniteten til imidakloprid til insektenes reseptorer anses imidakloprid som et selektivt giftstoff og betraktes å være bare mildt giftig for pattedyr. Mange virvelløse dyr er imidlertid ekstra følsomme for disse forbindelsene og spesielt pollinerende innsekter som humler og honningbier. Derfor ble f lere neonikotinoider, deriblant imidakloprid, forbudt å bruke i Europa i 2013 på blomstrende avlinger. I 2018, ble forbudet utvidet til å gjelde alle typer avlinger. Til tross for dette er imidakloprid fremdeles mye brukt som insektmiddel verden over, og blir også brukt i flere land i Europa ved såkalt nødstilfelle (Harrison-Dunn 2021).

Imidakloprid ble i 2021 godkjent til bruk som avlusningsmiddel på Atlantisk laks og regnbueørret, og selges under navnet Ectosan® Vet (Benchmark Animal Health). Det brukes til badbehandling og har effekt på både preadult og adulte stadier av lakselus. Behandlingsdosen er oppgitt å være 20 mg imidakloprid per liter vann i 60 minutter. Behandlingen skal skje i brønnbåt. Behandlingsvannet overføres så til en egen tankbåt der det må gjennom en validert renseprosess og ikke slippes ut i sjøen dersom konsentrasjonen i utslippsvannet er høyere enn 0,30 µg imidakloprid/liter vann. Utslippet skal i tillegg skje ved en minimumsdybde på 30 meter. (Felleskatalogen 2021).

Forbruk

Imidakloprid ble tatt i bruk i behandling av laks mot lakselus i 2021. Forbruket var i 2021 på 3252 kg fordelt på 29 forskrivninger. I 2022 økte forbruket til 6564 kg fordelt på 116 forskrivninger (figur 9), 72 i vinterhalvåret og 44 i sommerhalvåret. Forbruket i 2022 var høyest i produksjonsområde 6 med 62 forskrivninger. Imidakloprid ble ikke brukt i produksjonsområde 2, 4, 8, 11, 13. Forbruket i 2023 var på 6454 kg.

 

Figur 8.9. Årlig forbruk av imidakloprid (kg) som legemidler i norsk akvakultur fra 2021 til 2022 (statistikk fra Folkehelseinstituttet).
Figur 9. Årlig forbruk av imidakloprid (kg) som legemidler i norsk akvakultur fra 2021 til 2022 (statistikk fra Folkehelseinstituttet).

Spredning og fortynning

Imidakloprid er godt løselig i vann (510-610 mg/l ved 20°C, pH på 7) og har en lav oktanol/vann fordelingskoeffisient (logKOW=0,57) (Canadian Council of Ministers of the Environment 2007, Bonmatin mfl. 2015). På grunn av vannløseligheten vil binding til organisk materiale være begrenset. Imidakloprid brukt i landbruket vil kunne sive/spre seg til grunnvann og overflatevann i elver, dammer, innsjøer og vannpytter (Bonmatin mfl. 2015). Elvemunnings- og kystmiljøer kan dermed motta imidakloprid transportert nedstrøms fra jordbruksområder.

Vi har kun funnet et studium som kan ha relevans for spredning av imidakloprid i det marine miljø selv om forholdene langt fra er like. I et brakkvannsområde i Willapa Bay i USA ble imidakloprid brukt til å kontrollere to arter av mudderreke (Callianassa sp og Upogebia sp) (Felsot og Ruppert 2002). Mudderrekene graver huler og ganger som skjul i mudderet, og er av den grunn betraktet som en plage for østersproduksjonen i området. Imidakloprid ble testet som et alternativ til å kontrollere/fjerne disse artene. Området ble sprøytet med en imidakloprid-løsning (468 l/hektar [10.000 m2]) og med et totalt forbruk på 1,12 kg imidakloprid/hektar. Vann og sedimentprøver ble tatt før og etter behandlingen. Vannprøvene ble tatt i tilknytning til tidevannsstrømmen langs en transekt fra utslippsstedet og til 152 m. Sedimentprøver ble tatt 0, 14 og 28 dager etter behandling, og i en distanse på 0, 30, 61, 122 og 244 m fra utslippsstedet. Det ble påvist restkonsentrasjoner i vannprøver tatt 10 minutter etter behandling i et transekt opp til 152 m fra utslippsstedet, men ikke i vannprøver tatt 30 minutter etter behandling eller senere (opptil en måned etter behandling). Restkonsentrasjoner ble derimot funnet i sedimentprøvene, og de høyeste konsentrasjonene av imidakloprid (330-593 μg/kg) ble målt like etter behandling. Én dag etter behandling var konsentrasjonene redusert med > 96%. Allikevel ble restkonsentrasjoner påvist én måned etter behandling med 3,86-6,33 μg/kg.

Vi har lite kunnskap om spredning av imidakloprid til det marine miljøet ved bruk som avlusningsmiddel i fiskeoppdrett, annet enn at det kun skal slippes ut ved konsentrasjoner ≤ 0,3 µg imidakloprid/l vann.

Nedbrytning

Nedbrytning av imidakloprid i vann vil variere med en rekke faktorer som lys, temperatur, pH og bakteriesamfunn (Bonmatin mfl. 2015). Nedbrytningshastigheten øker ved økt temperatur, økt lysintensitet og høyere pH (Sarkar mfl. 1999, Zheng og Liu 1999, Guzsvány mfl. 2006, Canadian Council of Ministers of the Environment [CCME] 2007). Halveringstid (DT50) som følge av hydrolyse (kjemiske nedbrytning) er oppgitt i Felleskatalogen å være 15 dager (Felleskatalogen 2021). Imidlertid oppgir Sarkar mfl. (1999) en halveringstid på 33-44 dager ved 25°C og pH på 7 mens i rapporten CCME (2007) konkluderes det med at imidakloprid er stabil overfor hydrolyse ved miljørelevant pH. Som for azametifos ser det ut til at effekten av fotolyse (nedbrytning vha lys) er stor også for imidakloprid. Halveringstiden ved pH 7 og under påvirkningen av varierende lysintensitet ble estimert til mellom 0,2 og 22 timer noe som tyder på at under gunstige forhold som f.eks. grunt vann med større lysgjennomtrengning kan imidakloprid raskt brytes ned (CCME 2007, Bonmatin mfl. 2015). Ved å ta hensyn til variable lysfrekvenser i løpet av en dag ble halveringstiden estimert til rundt 4 timer (Tomlin 2000, Krohn og Hellpointner 2002). I et laboratorieeksperiment med en kombinasjon av vann og sediment ble halveringstiden av imidakloprid i fravær av lys beregnet til 30 dager i vannfasen, og mellom 130 og 160 dager for ulike typer sedimenter (Spiteller 1993, Krohn og Hellpointner 2002), mens under naturlige forhold ble halveringstiden estimert til henholdsvis 1,4 og 8,2 dager for imidakloprid i vannfasen og gjennomsnittlig halveringstid for hele systemet (vann og sediment) beregnet til 14,8 dager (CCME 2007). I et laboratorieforsøk fra Bangladesh ble det registrert 47-55% reduksjon i konsentrasjonen av imidakloprid i vannfasen etter syv dager ved en temperatur på 28±2°C, mens i en lignende undersøkelse i Portugal ble halveringstiden estimert til 10 dager ved en temperatur på 15-25±2°C (Rico mfl. 2018, Sumon mfl. 2018). Formuleringen av imidakloprid som brukes påvirker også persistens i miljøet. Det ble funnet høyere halveringstid for pulverformuleringer enn for væske (Sarkar mfl. 1999).

I feltstudier der imidakloprid er brukt som insektmiddel er det estimert halveringstider i ulike miljø. Når imidakloprid brukes mot skadeinsekter vil dosen typisk være fra 50 til 320 g/hektar avhengig av hvilke planter som skal behandles (CCME 2007). Under naturlige forhold der imidakloprid påføres lokaliteten med sprøyting, er nedbrytningen relativ hurtig. I et studium hvor imidakloprid ble sprayet over mudderflater ble det kun funnet restkonsentrasjoner den første dagen etter eksponering, som følge av rask fortynning og nedbrytning (Felsot og Ruppert 2002). I et bassengsystem med temperaturer på 10–24°C og høye nivåer av ultrafiolett stråling ble halveringstiden estimert til 28±8 timer (Colombo mfl. 2013). Ved bruk av imidakloprid på rismarker ble halveringstiden beregnet til 0,9-3 dager ved temperaturer på 20-30°C (Daam mfl. 2013, Pereira mfl. 2017). I motsetning til disse studiene, som viser rask nedbrytning, har andre studier påvist en betydelig lavere fortynning/nedbrytningshastighet under forhold med høyt innhold av partikulært materiale og vannplanter som kan ha redusert effekten av fotolyse. I en undersøkelse gjort på en rismark ble halveringstiden i vannfasen beregnet til 4 dager i den første måneden (Sánchez-Bayo og Goka 2006). Etter en måned hadde systemet kommet i likevekt mellom vann og jordfasen og konsentrasjonen i vannfasen stabiliserte seg på 0,75 μg imidakloprid/l i resten av observasjonsperioden på fire måneder mens snittkonsentrasjonen i jordfasen var 13 ± 9  g/kg tørrvekt. I et annet studium hvor utgangskonsentrasjonene var mellom 0,001-15,4 mg imidakloprid/l vann skjedde det en reduksjon på 50-60% i løpet av 14 dager for de høyeste konsentrasjonene og der årsaken var en kombinasjon av nedbrytning og binding til organisk materiale (Kreutzweiser mfl. 2007).

Konsentrasjon i miljøet

Det er viktig å merke seg at kilden til imidakloprid i det marine miljøet er per dags dato kun fra landbruket, og ikke lakseoppdrett. Siden Norge nylig godkjente bruken av Ectosan Vet, foreløpig det eneste landet i verden, har ingen studier så langt blitt publisert der en har undersøkt for mulige restkonsentrasjoner i det marine miljøet som følge av bruken i lakseoppdrett. I forbindelse med søknad om markedsføringstillatelse har Benchmark gjennomført ulike studier, men resultatene er ikke offentlig tilgjengelig.

Vannprøver: Feltstudier som viser tilstedeværelse av imidakloprid i miljøet er hovedsakelig gjort i ferskvann, snarere enn marine systemer, og imidakloprid er funnet i nivåer fra nanogram til mikrogram per liter (Morrissey mfl. 2015, Giorio mfl. 2021). Noen av de høyeste konsentrasjonene av imidakloprid i ferskvann er funnet i Australia (opptil 294 μg/l), Nederland (opptil 320 μg/l), USA (opptil 3,29 μg/l), Sverige (opptil 15 μg/l) og Canada (opptil 11,9 μg/l)  (Kreuger mfl. 2010, Starner og Goh 2012, Van Dijk mfl. 2013, Laicher mfl. 2022)  . Overvåkningsstudier har vist relativt lave konsentrasjoner av imidakloprid i tidevannsområder og marine farvann i Japan (< LOQ-267 ng/l), Portugal (1-8 ng/l), Kina (< LOQ-43 ng/l), Canada (1,33-193 ng/l) og den belgiske delen av Nordsjøen (0,3-10 ng/l)  (Gonzalez-Rey mfl. 2015, Hano mfl. 2019, Vanryckeghem mfl. 2019, Lalonde og Garron 2020, Naumann mfl. 2022, Wang mfl. 2022)  .

Sediment: Når det gjelder konsentrasjoner av imidakloprid i sediment har de fleste funn vist veldig lave (lav ng/g) eller ikke påvisbare konsentrasjoner  (Bonmatin mfl. 2019, Wang mfl. 2022)  . I et studium fra det sørlige Kinahavet (inkludert Hangzhou bukta) ble den totale konsentrasjonen av neonikotinoider funnet til 11,9 ± 6,2 ng/g tørrvekt sediment. For imidakloprid alene var den høyeste konsentrasjonen 5,6 ng/g (Chen mfl. 2022). I et brakkvannsområde i Willapa Bay (USA) ble det funnet tilsvarende lave konsentrasjoner, 3,86-6,33 ng/g i sediment 28 dager etter utslipp.

Fauna: På grunn av egenskapene til imidakloprid, blant annet den høye vannløseligheten, er sannsynligheten for at det binder seg til organisk materiale redusert. Laboratoriestudier har likevel vist at vannlevende arter som for eksempel tigerreker (Penaeus monodon) og Australsk svømmereke (Metapenaeus macleayi) tar opp imidakloprid og at det fordeles til ulike vev i kroppen (Iturburu mfl. 2017, Ewere mfl. 2019a, Butcherine mfl. 2021). Svært få feltstudier har undersøkt restkonsentrasjoner av imidakloprid i non target arter. Lave nivåer, (3,8-86,3 ng/g) ble funnet i salamander (Desmognathus spp.) som ble fanget i ferskvannsbekker i USA i samme område som det var brukt imidakloprid  (Crayton mfl. 2020)  .

Artenes følsomhet

Imidakloprid er som tidligere beskrevet selektivt for kolinerge nikotinreseptorer (nAChRs) i virvelløse dyr, og de fleste studier har i hovedsak undersøkt følsomheten for virvelløse dyr i ferskvann og i mindre grad på fisk og amfibier (Morrissey mfl. 2015, Mužinić og Želježić 2018). Det er også begrenset informasjon tilgjengelig om marine arters følsomhet for imidakloprid sammenlignet med ferskvannsarter og spesielt arter som finnes i norske farvann. I tillegg til paralyse/dødelighet kan imidakloprid også ha negative effekter på overlevelse, vekst, fôring, bevegelse, biokjemiske reaksjoner og DNA-strukturer  (Iturburu mfl. 2018, Sievers mfl. 2018, Wang mfl. 2018, Huang mfl. 2021)  .

Oppsummering av arters følsomhet ved kortidseksponering (≤ 24 timer) og langtidseksponering (> 24 timer) via vann for imidakloprid og den konsentrasjonen som gir 50% dødelighet/paralyse, LC 50 /EC 50, er gitt i figur 10 og tabell 6.

 

Figur 8.10. Akutt og kronisk marin toksisitetsdata for imidakloprid. i) Plottet viser LC50/EC50-verdiene, basert på dødelighet som endepunkt, ved korttidseksponering (≤ 24 timer; sirkler farget i oransje) og langtidseksponering (> 24 timer; sirkler farget i grønt) for ulike marine arter. Artene er rangert i henhold til de gjennomsnittlige toksisitetsverdiene (merket med en solid svart linje). Hvis data ble uttrykt som større enn eller lik (≥), ble selve verdien plottet. De stiplede vertikale linjene representerer minimums- og maksimumskonsentrasjoner som anbefales for behandling av lakselus med imidakloprid. * arter som finnes i Norge. ii) Smultringplottet viser antall (n) arter i datasettet som er relevante norske arter (blått felt) og andre (rødt felt) i dyregruppene som er representert.
Figur 10. Akutt og kronisk marin toksisitetsdata for imidakloprid. i) Plottet viser LC50/EC50-verdiene, basert på dødelighet som endepunkt, ved korttidseksponering (≤ 24 timer; sirkler farget i oransje) og langtidseksponering (> 24 timer; sirkler farget i grønt) for ulike marine arter. Artene er rangert i henhold til de gjennomsnittlige toksisitetsverdiene (merket med en solid svart linje). Hvis data ble uttrykt som større enn eller lik (≥), ble selve verdien plottet. De stiplede vertikale linjene representerer minimums- og maksimumskonsentrasjoner som anbefales for behandling av lakselus med imidakloprid. * arter som finnes i Norge. ii) Smultringplottet viser antall (n) arter i datasettet som er relevante norske arter (blått felt) og andre (rødt felt) i dyregruppene som er representert.

Korttidseksponering (≤ 24 timer); dødelige effekter

Fisk

Så vidt vi kjenner til, er det ingen publiserte LC50-verdier for effekter av imidakloprid ved korttidseksponering (≤ 24 timer) av marin fisk. Basert på studier med ferskvannsarter ser det imidlertid ut til at imidakloprid induserer dødelige effekter, men ved konsentrasjoner det er lite sannsynlig vil forekomme i det marine miljøet som følge av en behandling i Norge. For eksempel var 24-timers LC50-verdiene rapportert for niltilapia (Oreochromis niloticus), sebrafisk (Danio rerio), vanlig karpe (Cyprinus carpio) og kinesisk værål (Misgurnus anguillicaudatus) henholdsvis 13 mg/l, 312-434 mg/l, 13-94 mg/l og 168 mg/l  (Xia mfl. 2016, Wu mfl. 2018, Islam mfl. 2019, Chang mfl. 2020) .

Virvelløse dyr

Blå svømmekrabbe (Callinectes sapidus) er den mest følsomme arten som er testet så langt blant virvelløse dyr. Eksponering av megalope, det larvestadiet som bunnslår, i 24-timer resulterte i LC50 på 10 µg/l, mens yngel/juvenile var mindre følsomme (24-timers LC50 = 1112 µg/l)  (Osterberg mfl. 2012)  . Til sammenligning, LC 50 /EC 50 for tangloppen (Gammarus lawrencianus) og amerikansk pungreke (Americamysis bahia) var henholdsvis 39,2 og 115 µg/l, og for hoppekrepsen (Nitocra spinipes) varierte det mellom 200 og > 132 000 µg/l (avhengig av om endepunktet var dødelighet eller immobilitet)  (Knysh mfl. 2021, Moeris mfl. 2021)  . For larver av stillehavsøsters ( Magallana gigas ) eksponert for imidakloprid i 24 timer, ble LC 30 beregnet til 70 mg/l (Kuchovská mfl. 2021).

Alger

Vi kjenner ikke til studier som har undersøkt effekten av korttidseksponering av imidakloprid på alger.

Korttidseksponering (≤ 24 timer); ikke dødelige effekter

Virvelløse dyr

Larver av stillehavsøsters ( Magallana gigas ) eksponert for imidakloprid i 24 timer fra 20 ng/l til 200 mg/l utviklet deformiteter/misdannelser ved konsentrasjoner ≥ 200 µg/l (Kuchovská mfl. 2021). Andelen larver som stoppet i utviklingen endret seg ikke før konsentrasjonen var høyere enn 200 mg/l. Heller ikke svømmeatferd ble påvirket av imidakloprid før konsentrasjonen var minst 20 μg/l. NOEC og LOEC ble satt til henholdsvis 20 og 200 µg/l (Kuchovská mfl. 2021).

Langtidseksponering (> 24 timer); dødelige effekter

Fisk

Svært få studier er gjort på dødelige effekter av imidakloprid på marin fisk etter en langtidseksponering. 72-timers LC50 for embryoer av liten gul trommefisk (Larimichthys polyactis) ble beregnet til 12,5 mg/l (He mfl. 2022), mens 96-timers LC50 for fårehodetannkarpe (Cyprinodon variegatus) og kongelaks (Oncorhynchus tshawytscha) var henholdsvis 161 og 109 mg/l (Ward 1990, Frew og Grue 2012).

Virvelløse dyr

De dødelige effektene av imidakloprid etter langtidseksponering er blitt vurdert hos et lite antall marine virvelløse dyr. Noen av de laveste LC50/EC50-verdiene dvs. indikasjon på sårbarhet beregnet for marine krepsdyr ble rapportert for tangloppen (Gammarus lawrencianus) (48-144 timers eksponering; 5,5-18,7 μg/l) og amerikansk pungreke (Americamysis bahia) (48-96 timers eksponering: 36-159 μg/l)  (Lintott 1992 referert i CCME 2007, Knysh mfl. 2021) .

Høyere LC50/EC50-verdier er rapportert for vannameireke (Litopenaeus vannamei; 162 μg/l), larver og voksne glassreker (Palaemonetes pugio; henholdsvis 308,8 og 563,5 μg/l) og kurumareke ( Marsupenaeus japonicas ; 50 mg/l ) etter 96-timers eksponering. 48 timers eksponering gav LC50/EC50-verdier på henholdsvis 175 og 408 μg/l i post-larver og juvenile tigerreker (Penaeus monodon) og 361 mg/l i saltsjøkreps (Artemia sp.)  (Song mfl. 1997, Key mfl. 2007, Hano mfl. 2017, Hook mfl. 2018, Butcherine mfl. 2021)  .

Imidakloprid påvirket ikke overlevelsen av farfantereken (Farfantepenaeus aztecus, 96-timer), hoppekreps (Acartia tonsa, 120-timer) eller australiareken (Metapenaeus macleaya, 192-timer) ved eksponering for konsentrasjoner opp til henholdsvis 320, 10 og 4 μg/l  (Al-Badran mfl. 2019, McLuckie mfl. 2020, Picone mfl. 2022)  . Eksponering av hoppekreps (Nitocra spinipes) gav LC50-verdier på > 132 mg/l ved eksponering i 48 og 72 timer og 25 mg/l ved 96 timers eksponering. Estimerte EC50 verdier, basert på immobilitet, var vesentlig lavere og henholdsvis 590, 160 og 25 μg/l  (Moeris mfl. 2021)  . Så vidt vi er kjent med, er dødeligheten av imidakloprid etter langtidseksponering kun vurdert i et begrenset antall bløtdyr og med relativt høye LC50 verdier. For indisk sandskjell (Katelysia opima) ble LC50 estimert til 86,6 mg/l etter 96-timers eksponering  (Suvare mfl. 2010)  og 9 dagers eksponering for opptil 50 mg/l imidakloprid gav ikke signifikant dødelighet hos embryoer av Ramshornsnegle (Marisa cornuarietis)  (Sawasdee og Köhler 2009)  eller hos Østlig østers (Crassostrea virginica) etter eksponering for opptil 145 mg/l i 96 timer (Wheat og Ward 1991).

Langtidseksponering (> 24 timer); ikke-dødelige effekter

Fisk

Endringer i enzymaktiviteten for oksidativt stress og genuttrykk relatert til immunologi, hormonforstyrrelse, avgiftning, oksidativt stress og apoptose ble funnet hos embryo av gul trommefisk (L. polyactis) som ble eksponert i 72-timer for imidakloprid (31, 130 og 500 μg/l) (He mfl. 2022). De ikke-dødelige effektene av imidakloprid, vist i studier med ferskvannsfisk, inkluderer i tillegg histopatologiske og hematologiske endringer, nevrotoksisk respons, endret svømmeatferd og DNA-skader  (Ansoar-Rodríguez mfl. 2015, Crosby mfl. 2015, Topal mfl. 2017, Hong mfl. 2018a, Américo-Pinheiro mfl. 2019)  .

Virvelløse dyr

Ikke-dødelige effekter på marine virvelløse dyr etter langtidseksponering for imidakloprid er forholdsvis lite studert. Appetitt, kroppsvekt og totalt lipidinnhold hos voksne tigerreker (Penaeus monodon) ble negativt påvirket ved eksponering for imidakloprid via vann (5 μg/l i 8 dager) og via fôr (75 μg/g) i 21 dager og førte til enzyminduksjon (AChE, CAT og GST)  (Butcherine mfl. 2020, Butcherine mfl. 2022)  . Redusert matinntak ble også observert hos larver av tigerreker (P. monodon) etter en 48-timers eksponering for imidakloprid 0,5-5 μg/l (Hook mfl. 2018). Fem ukers eksponering for imidakloprid resulterte i redusert vekst hos farfantereker (Farfantepenaeus aztecus) ved en konsentrasjon på ≥ 1 μg/l og ved en konsentrasjon på ≥ 0,5 μg/l økte antall dager mellom skallskifte  (Al-Badran mfl. 2019)  mens unormal atferd (svømming og matinntak) ble registrert etter 5 dagers eksponering for ≥ 0,5 μg/l. Eksponering for imidakloprid hadde negativ påvirkning på larveutviklingen hos hoppekrepsen (Acartia tonsa) og 120 timers eksponering gav en EC50 på 8,84 μg/l  (Picone mfl. 2022)  . Skallskiftefrekvens og metabolsk likevekt (metabolic homeostase) hos juvenile Australsk svømmereke (Metapenaeus macleayi) ble endret etter 8-dagers eksponering for konsentrasjoner av imidakloprid fra 0.35 til 4 μg/l  (McLuckie mfl. 2020)  . Vannameireker (Litopenaeus vannamei) fikk redusert vekst og redusert immunitet når de ble eksponert for imidakloprid > 5,4 μg/l i 28 dager (Fu mfl. 2022). Det ble også registrert vevsskade, endringer i genuttrykk, og mikrobiologiske endring i tarmen  (Fu mfl. 2022)  . Fire dagers eksponering av Sydney steinøsters (Saccostrea glomerata) for imidakloprid (0.01 - 2 mg/l) gav endret filtrasjonshastighet ved doser på 0,5 og 1 mg/l, endret acetylkolinesteraseaktivitet ved en dose på 1 mg/l og endring i genuttrykk ved en dose på 2 mg/l) (Ewere mfl. 2019a). En 2-ukers eksponering påvirket enzymatiske aktiviteter (katalase og glutation-S-transferase) ved doser på 0,01 og 0,05 mg/l og ernæringskvalitet (dose ≥ 0,01 mg/l), selv om ingen endring i tilstandsindeksen ble observert (Ewere mfl. 2019b). Eksponering i 42 timer for imidakloprid (≥ 1 μg/l) induserte endring i genuttrykk koblet til avgiftning, ROS-produksjon, cellesyklus og apoptoseregulering hos larver av stillehavsøsters (Magallana gigas)  (Kuchovská mfl. 2021)  . En 4-dagers eksponering for imidakloprid (38.5 og 86.6 mg/l) endret totalt glykogeninnhold i Indisk sandskjell (Katelysia opima)  (Suvare mfl. 2010)  , mens doser på 0,1 og 1 mg/l endret AChE-aktivitet i gjellevevet til middelhavsblåskjell (Mytilus galloprovincialis)  (Dondero mfl. 2010)  og en dose på 100 μg/l i 96 timer endret gjelle- og fordøyelseskjertelvevet til hetteøsters (Saccostrea sp.)  (Moncaleano-Niño mfl. 2018)  . Det ble imidlertid ikke observert endringer i dannelsen av tentakler og øyne, klekking eller vekt hos embryoer av ramshornsnegl (Marisa cornuarietis), etter eksponering for imidakloprid i 9 dager opp til 50 mg/l men enkelte embryoer hadde redusert hjertefrekvens ved doser på 25 og 50 mg/l  (Sawasdee og Köhler 2009)  . En 48-timers eksponering for imidakloprid hemmet larveutviklingen hos akropora korallen (Acropora tenuis), og estimert EC50 og NEC var 347 og 263 μg/l  (Flores mfl. 2020)  .

Alger

Studier på ferskvannsalger er mer utbredt enn på marine alger og resultatene antyder at alger er noe mindre følsom for imidakloprid enn virvelløse dyr. For eksempel, vekst av den encellede ferskvannsgrønnalgen Desmodesmus subspicatus ble hemmet av imidakloprid med en estimerte 72-timers IC50 på 389 mg/l  (Tišler mfl. 2009, Malev mfl. 2012) . Inhibering av vekst ble også observert hos mikroalgen (Pseudokirchneriella subcapitata) eksponert for imidakloprid inntil 1000 mg/l  (Kungolos mfl. 2009)  . Den grønne mikroalgen (Chlorella vulgaris) var imidlertid mer sensitiv og 72-timers IC50 basert på hemming av veksthastighet var 13 mg/l  (Adochite og Andronic 2021)  . Det er verdt å merke seg at det kommersielle produktet Confidor 200SL så ut til å være mer giftig for D. subspicatus enn imidakloprid i ren form  (Tišler mfl. 2009, Malev mfl. 2012)  .

Endringer i samfunnsstruktur som følge av bruk av imidakloprid

Så vidt vi er kjent med har ingen studier vært gjort på økologiske effekter av imidakloprid på marine økosystemer, selv om flere har rapportert at imidakloprid i ferskvannsmiljøer endrer samfunnets struktur og dynamikk  (Van Dijk mfl. 2013, Macaulay mfl. 2021, Merga og Van den Brink 2021).

1.5.2 - Fôrmidler

Spredning og fortynning

Fôrbasert avlusningsmidler er lite vannløselige og ved behandling vil de hovedsakelig være bundet til organisk materiale som medisinerte fôrpellets og fekalier. Derfor vil spredningen være tilnærmet lik som beskrevet for partikulært organisk materiale, og bestemmes av dyp, vannstrøm, hvor raskt partiklene synker og hvor lett de går i oppløsning. Det er vist at for norske lokaliteter med lave strømhastigheter < 5 cm/s vil det meste av det organiske materialet (spillfôr og store fekalier) konsentreres rett under og i nærhet av oppdrettsanlegget. For lokaliteter med høye strømhastigheter > 10 cm/s vil partiklene spres over et større område med relativt lave nivåer rett under merdene. Nedbrytning (målt som halveringstid) i sediment kan være viktig konsentrasjonsreduserende faktor. For fôrmidler er det gjort en risikovurdering for nærsone (< 500 m fra anlegg) og fjernsone (> 500 m fra anlegg).

Følsomme arter/nøkkelarter og tidlige livsstadier nær utslippsområdet

Fôrmidler vil i hovedsak påvirke arter som lever på havbunnen. Non-target arter vil kunne få i seg avlusningsmidler direkte gjennom spillfôr og fekalier i en lengre periode etter behandling og indirekte ved å spise byttedyr som inneholder lusemidler. Kreps dyr som har redusert appetitt ved lavere temperaturer, som for eksempel om vinteren, vil være mindre sårbare i den perioden. Siden di- og teflubenzuron påvirker kitin-syntesen, vil dyregrupper med kitin i skallet være spesielt sårbare. Dødelighet inntreffer i tilknytning til skallskifte, og arter som gjennomgår flere skallskifter årlig og yngre individer med hyppige skallskifter er spesielt sårbare.  

Artenes følsomhet

En arts toleranse eller også kalt følsomhet for et avlusningsmiddel bestemmes på grunnlag av standard toksisitetstester som gjennomføres i laboratoriet. Dødelig endepunkt inkludere døde og immobiliserte/paralyserte individer og LC50 er den beregnede mediankonsentrasjon hvor 50% av individene er døde eller immobilisert/paralysert. Eksponering for et avlusningsmiddel kan også medføre ikke-dødelige effekter som for ek sempel endret atferd, respirasjon, immun respons og fotosyntese så vel som stress og andre morfologiske vevsendringer. Dette går inn under fellesbetegnelsen EC 50 , hvor 50% av individene er påvirket . I noen artikler er endepunkt som immobilisering/paralyse oppgitt som EC50 i stedefor LC50. Det er ikke bare konsentrasjonen som har betydning, men også hvor lang tid individene utsettes for avlusningsmiddelet. Oppsummeringen er delt inn etter eksponeringstid (kort, lang), eksponeringsmetode (vann, organisk materiale, sediment) dødelige og ikke-dødelige effekter, og i hovedgrupper som fisk, virvelløse dyr og alger. For fôrmidler vil eksponeringen hovedsakelig være via sediment, direkte eller indirekte, men de fleste toksisitetsstudiene er gjort ved eksponering via vann. Disse studiene er dermed mindre relevante enn studier gjort ved eksponering via sediment eller fôr.

1.5.2.1 - Flubenzuroner (diflu- og teflubenzuron)

Flubenzuroner er betegnelsen på en gruppe avlusningsmidler som administreres til fisken via fôret. Stoffene virker ved å hemme syntesen dvs. produksjon av kitin som er et hornaktig stoff som bygger opp hudskjelettet hos blant annet krepsdyr og insekter. I norsk fiskeoppdrett brukes både diflubenzuron og teflubenzuron. Diflubenzuron selges som Reeleze® vet i Norge og anbefalt dosering er 3-6 mg/kg laks per dag i 14 påfølgende dager. Teflubenzuron selges som Ektobann® Vet og anbefalt dosering er 10 mg/kg laks per dag i syv påfølgende dager. Legemidlene overføres fra vert (i dette tilfellet laks) til parasitt (lakselus) ved at parasitten spiser slim, hud og blod fra fisken. Flubenzuroner er effektive mot alle stadier av parasitten som gjennomgår et skallskifte. Behandling med flubenzuroner bør ikke gjentas før tidligst etter 12 uker på grunn av akkumulering og lang halveringstid i miljøet. Det er ikke anbefalt å bruke flubenzuroner ved sjøtemperaturer < 9°C. Det anbefales videre redusert bruk i perioden juni-august da dette er en tid på året med høyere skallskifteaktivitet hos krepsdyr.

Nærings og Fiskeridepartementet fastsatte i 2017 nye regler som skal bidra til å hindre uakseptable miljøeffekter av legemidler brukt i oppdrettsnæringen, inkludert kitinsyntesehemmere. Akvakulturdriftsforskriften § 15a. Vilkår for bruk av kitinsyntesehemmere. «Kitinsyntesehemmere gitt gjennom fôret kan ikke brukes på samme lokalitet før det er gått minst 6 måneder fra siste behandling. Dette gjelder uansett hvilken kitinsyntesehemmer som er benyttet. Kitinsyntesehemmere kan ikke brukes på lokaliteter nærmere enn 1000 meter fra rekefelt jf. de felt som til enhver tid vises i Fiskeridirektoratets nettbaserte kartverktøy. Avstanden måles som beskrevet i § 18 andre punktum.»

Forbruk

Flubenzuroner ble første gang tatt i bruk 1996 med et totalt forbruk på 770 kg hvorav 79% var teflubenzuron (figur 11). Flubenzuroner var i bruk frem til 2001 og ble gjenintrodusert i 2009 med et totalt forbruk på 3 441 kg, hvorav 59% var teflubenzuron. Høyeste årlige forbruk ble registrert i 2016 med 4824 kg diflubenzuron og 4209 kg teflubenzuron (121 og 52 forskrivninger for henholdsvis diflu- og teflubenzuron). Siden har det årlige forbruket blitt kraftig redusert, til 732 kg i 2022 der diflubenzuron utgjorde 71%. I 2022 ble det skrevet ut 16 resepter/forskrivninger på diflubenzuron og 10 resepter/forskrivninger for teflubenzuron. Det ble gitt 11 forskrivninger i vinterhalvåret (første og fjerde kvartal), og 15 i sommerhalvåret (andre og tredje kvartal). I 2022 ble flubenzuron kun brukt i produksjonsområde 2-5, 8-9. Forbruket i 2023 var på 571 kg diflubenzuron og 294 kg teflubenzuron.

 

Figur 8.11. Årlig forbruk av flubenzuroner (i kg) i norsk akvakultur, fra 1996 til 2022 (statistikk fra Folkehelseinstituttet).
Figur 11. Årlig forbruk av flubenzuroner (i kg) i norsk akvakultur, fra 1996 til 2022 (statistikk fra Folkehelseinstituttet).

Spredning og fortynning

Flubenzuroner har vannavvisende (hydrofobe) egenskaper (diflubenzuron har log Kow 3,8 og teflubenzuron har log Kow 5,4), høy affinitet til organisk materiale og er lite løselig i vann (Marsella mfl. 2000). Flubenzuroner gis i fôret som fisken spiser, men opptaket fra laksens tarm er imidlertid lavt til moderat (biotilgjengelighet 10–30%) og siden laksen også i liten grad omdanner (metaboliserer) disse stoffene, vil mesteparten bli skilt ut fra fisken i uforandret form via urin eller bundet til fekalier. Medikamentene tilføres dermed miljøet som spillfôr under behandling, og via fekalier og urin i opptil et par uker etter at medisineringen er avsluttet. Hvor stor del som skilles ut i urinfasen er ikke kjent.

Spredning av flubenzuroner vil altså være både via vannfasen, men i hovedsak som bundet til organisk materiale. Det at stoffene lett binder seg til organisk materiale kan bidra til å redusere konsentrasjonen i vannfasen. Denne prosessen er beskrevet fra mindre ferskvannsdammer og små estuarier, men ikke i et marint system. Ut lekking av flubenzuroner fra organisk materiale, som pellets og fekalier, til vannfasen vil være liten (Selvik mfl. 2002, Samuelsen 2016). Flubenzuroner vil derfor hovedsakelig spres med det organisk materiale til sedimentet, og vil følge samme spredningsmønster som organisk avfall fra anlegget. Tilførselen til miljøet vil være begrenset til perioden med medisinering og en kort tid etter (Samuelsen mfl. 2015). Kjemisk analyse har vist at fekalier kan ha betydelig høyere konsentrasjoner av medikamentene enn nivået var i den medisinerte pelleten (Ole Samuelsen, Havforskningsinstituttet, upubliserte data). Medisinerte pellets og intakte fekalier vil generelt synke raskt, mens små svevepartikler, som kan utgjøre om lag 5–10%, kan spres med strømmen over større områder. Opp til 2,7% av partiklene kan nå lengre enn 2 km fra anlegget (Bannister mfl. 2016), men spredningen er avhengig av strømhastigheten på de ulike lokalitetene. Mengden av flubenzuroner i sedimentet vil derfor være størst nær anlegget og særlig på lokaliteter med lav strømhastighet.

Nedbrytning

Kjemisk nedbrytning av flubenzuroner løst i vann kan forekomme ved spaltning (hydrolyse) og ved påvirkning av sollys (foto-nedbrytning). Oppløst i vann brytes både diflubenzuron og teflubenzuron ned under påvirkning av naturlig lys, men nedbrytningshastigheten påvirkes av vannets pH og temperatur og er beskrevet å være raskere under basiske forhold (Mabury og Crosby 1996, Marsella mfl. 2000). Hydrolyse av diflubenzuron med halveringstider på 7 til 32 dager er rapportert (Ivie mfl. 1980, Boelhouwers mfl. 1988). Andre studier derimot hevder at hydrolyse av flubenzuroner i vann er en svært langsom prosess eller helt fraværende (Marsella mfl. 2000). Betydningen av hydrolyse og foto-nedbrytning av flubenzuroner i sjøvann ved aktuelle temperaturer og lysregimer fra norske farvann er ikke kjent.

To laboratorieundersøkelser viser at flubenzuroner bundet til organisk materiale i marine sedimenter, under både oksygenrike og oksygenfattige forhold, er stabile  (Selvik mfl. 2002, Samuelsen 2016) . Marint sediment ble anriket med flubenzuroner enten som knuste eller hele medisinerte pellets eller som medisinholdige fekalier og plassert i tanker med rennende vann. Forsøkene gikk over 6 måneder, og resultatene viste ingen signifikant reduksjon i konsentrasjonen av verken diflubenzuron eller teflubenzuron, til tross for stor mikrobiell aktivitet. Dette betyr at mikrobiell nedbrytning og utlekking av flubenzuroner fra organisk materiale til vannfasen er svært liten. Feltundersøkelser konstaterer en gradvis reduksjon av flubenzuroner i sedimentet over tid, og basert på slike undersøkelser er det beregnet halveringstider på 110–170 dager for teflubenzuron (SEPA 1999a, Samuelsen mfl. 2015). Mulige årsaker til en slik reduksjon kan være nedbrytning av organiske materiale, at organismer som børstemark som inneholder medisinrester blir spist av andre organismer, eller at andre mer mobile organismer enn børstemark også konsumerer organisk materiale med medisinrester. Organiske partikler kan også transporteres til andre områder ved resuspensjon. For diflubenzuron varierte halveringstiden med temperatur fra 100 dager ved 5°C til 30 dager ved 15°C (Norsk institutt for vannforskning 1998).

Det er gjort noen studier hvor man har sett på eliminasjonen av flubenzuroner i ulike arter. Eliminasjonshastigheten av di- og teflubenzuron i atlantisk laks er beregnet til mellom 2,5 og 6,5 dager avhengig av temperatur (European Medicines Agency 1999a, b). I yngel av europeisk hummer ( Homarus gammarus ) ble halveringstiden av teflubenzuron beregnet til 3,5 dager ved 14 o C (Samuelsen mfl. 2014). Blåskjell eksponert for teflubenzuron oppløst i vann (1 µg/l) over 14 dager nådde et stabilt nivå etter ca. 10 dager og en konsentrasjon på ca. 1500 ng/g våtvekt ble målt ved forsøksslutt (Brooks mfl. 2019). Halveringstiden ble beregnet til 4,7 dager. Forsøket ble utført ved 3 ulike saliniteter, men dette påvirket hverken opptak eller utskilling i nevneverdig grad. At flubenzuroner skilles ut så raskt fra alle de undersøkte artene indikerer at stoffene ikke vil akkumulere i næringskjeden, i motsetning til hva en ser for en del langsomt nedbrytbare (persistente) organiske miljøgifter.

Konsentrasjon i miljøet

Vannprøver: Tilstedeværelse av flubenzuroner i miljøet har sammenheng med forbruk og hvordan stoffene sprer seg, fortynnes og nedbrytes. Flubenzuroner oppløst i vannfasen har blitt funnet opptil 1100 m fra oppdrettsanlegg og i en periode på minst to uker etter avsluttet medisinering (Norsk institutt for vannforskning 1998, Langford mfl. 2011). Den høyeste konsentrasjonen ble målt til 295 ng/l diflubenzuron i en vannprøve tatt 300 meter fra et anlegg som brukte dette medikamentet. I en annen undersøkelse ble det imidlertid påvist bare små konsentrasjoner av teflubenzuron i vannfasen i forbindelse med medisinering (Samuelsen mfl. 2015).

Svevepartikler: Under medisineringen og i noen dager etter vil fekalier fra fisken inneholde rester av flubenzuroner og der de minste partiklene (svevepartikler) kan bli transportert med vannstrømmen bort fra anlegget. Partikulært materiale filtrert fra vannprøver tatt på 10 m dyp og i varierende avstand fra to anlegg under medisinering inneholdt flubenzuroner (Langford mfl. 2011). Ett anlegg hadde brukt både di- og teflubenzuron og konsentrasjonene varierte fra 1,1 til 15,2 ng/l for diflubenzuron og 5,5 ng/l for teflubenzuron. Prøvene ble tatt fra 0 til 900 m fra anlegget. Tilsvarende verdier for et anlegg som kun hadde brukt diflubenzuron var 0,3 til 17,7 ng/l og prøvene ble tatt fra 0 til 1000 m fra anlegget. Samuelsen mfl. (2015) brukte sedimentfeller satt ut på ulike dyp og i fire avstander (0, 250, 700, 1100 m) fra et anlegg som medisinerte med teflubenzuron. Konsentrasjonen av teflubenzuron og mengden av organisk materiale i fellene like ved anlegget var svært høye, opp til 2396  g/g, mens innsamlet organisk materiale i fellene på 250, 700 og 1100 m var svært lite, men viste allikevel at partikler som inneholder teflubenzuron ble transportert med vannstrømmen så langt som 1100 m fra anlegget. Feltundersøkelsene viser derfor at flubenzuroner kan spres med strømmen over store avstander  (Samuelsen mfl. 2015) .

Sediment: Diflubenzuron og teflubenzuron er funnet i bunnsediment samlet inn rundt oppdrettsanlegg og i en avstand på inntil 1400 m fra anleggene (Langford mfl. 2011, Samuelsen mfl. 2015, Tucca mfl. 2017, Parsons mfl. 2021). Restkonsentrasjonene i prøvene tatt på stasjoner lengst fra anleggene var imidlertid små. Høyeste konsentrasjon av teflubenzuron målt i en sedimentprøve fra et oppdrettsanlegg var 40,0  g/g (våtvekt) (Samuelsen mfl. 2015). Tilsvarende konsentrasjon av diflubenzuron var 49,5  g/g sediment (tørrvekt) (Norsk institutt for vannforskning 1998).

Feltundersøkelser rundt fire oppdrettsanlegg på Vestlandet i 2015 og 2016, som tidligere hadde brukt både di- og teflubenzuron, fant restkonsentrasjoner i sedimentprøver i en avstand fra 30 til 1400 m fra anleggene (Parsons mfl. 2021). Tidspunktet for prøveinnsamling varierte fra 8 til 22 måneder etter siste behandling. Diflubenzuron ble funnet i 76% av sedimentprøvene og varierte fra 2,3 til 249 ng/g (tørrvekt) mens for teflubenzuron var 92% av prøvene positive og varierte fra 1,3 til 3363 ng/g tørrvekt. De høyeste nivåene ble funnet i prøver tatt like ved anleggene og med avtagende konsentrasjoner med økende avstand fra anleggene. I en annen undersøkelse fra Norge ble diflubenzuron og/eller teflubenzuron funnet i sedimentprøver fra tre undersøkte oppdrettsanlegg. Konsentrasjonene varierte mellom 0,6 og 136,6 ng/g tørrvekt for diflubenzuron og 7,2 og 269,2 ng/g tørrvekt for teflubenzuron. Prøvene ble tatt i en avstand fra 0 til 900 m fra anleggene (Langford mfl. 2011) . I en undersøkelse som inkluderte flere anlegg i Skottland ble de høyeste konsentrasjonene av teflubenzuron funnet like ved anleggene og varierte fra 0,2  g/g til 15,0  g/g mens i en avstand på 100 m fra anleggene varierte konsentrasjonene fra 0 til 2,8  g/g (Forum 2016). Restkonsentrasjoner av diflubenzuron (0,13, 0,49 og 0,86 ng/g) og teflubenzuron (60,73, 3,13 og 2,54 ng/g) ble rapportert i sedimentprøver samlet inn i avstander på 0, 10 og 100 m fra ett oppdrettsanlegg i Chile (Tucca mfl. 2017). Feltundersøkelsene viser derfor at flubenzuroner er persistente og kan finnes i bunnsedimentet i lang tid etter en medisinering.

Fauna: Non-target arter som lever i nærheten av oppdrettsanlegg kan få i seg legemidler ved å konsumere medisinholdig organisk materiale direkte eller ved å spise andre arter som inneholder medisinrester. Samuelsen mfl. (2015) fant rester av teflubenzuron i 24 av 30 arter (fisk og krepsdyr) som ble fanget inn i en avstand på maksimum 300 m fra et anlegg like etter at medisineringen var avsluttet. Konsentrasjonene var generelt lave, men det ble funnet høye verdier i enkeltindivider av for eksempel sei ( Pollachius virens ) med 1354 ng/g, noe som kan tyde på konsum av pellet fra oppdrettsanlegget og i trollkrabbe ( Lithodes maja ) med 865 ng/g. Høyest var likevel konsentrasjonen i en prøve med børstemark ( Capitella capitata, Nereis sp.) tatt like ved anlegget 3 måneder etter medisinering med 8353 ng/g (våtvekt). Børstemark finner en ofte i bunnsedimentet nært til oppdrettsanlegg og disse er viktige for omsetningen av organisk avfall fra anlegget. Åtte måneder etter medisinering var det fremdeles høye konsentrasjoner av teflubenzuron i børstemark , mens kun små mengder ble funnet i enkelte individer av dypvannsreker (<16 ng/g) og i brunmaten i taskekrabbe (20 ng/g) og sjøkreps (< 45 ng/g). I prøver av pelagisk eller bunnlevende fisk kunne det derimot ikke påvises rester av teflubenzuron etter så lang tid (Samuelsen mfl. 2015). Andre feltundersøkelser har også funnet rester av flubenzuroner i eremittkreps ( Pagurus sp.), kongsnegl ( Buccinum undatum ), svartslangestjerner ( Ophiocomina nigra ), blomsterreker ( Pandalus montagui ), sjøkreps ( Nephrops norwegicus ) taskekrabbe ( Cancer pagurus ), dypvannsreker ( Pandalus borealis ), blåskjell ( Mytilus edulis ) og tanglopper (Norsk institutt for vannforskning 1998, Langford mfl. 2011, Parsons mfl. 2021). Generelt er det små mengder som er funnet, med noen få unntak, og der de høyeste konsentrasjonene oftest er funnet i dyr fanget inn kort tid etter avsluttet medisinering. Langford mfl. (2011) fant opp til 537.9 ng/g (våtvekt) av diflubenzuron i taskekrabbe fanget inn like etter medisinering i en avstand på 100-300 m fra anlegget. Høyeste konsentrasjon av teflubenzuron funnet i taskekrabbe var 185.7 ng/g (Langford mfl. 2011). Prøver fra fem ulike blåskjellanlegg i Trondheimsområdet ble undersøkt for rester av diflubenzuron, teflubenzuron og emamektin-benzoat (Brooks mfl. 2019). Tre av blåskjellanleggene lå i nærheten av oppdrettsanlegg som hadde behandlet med ulike legemidler og skjellene kunne da potensielt ta opp disse. Det ble ikke funnet restkonsentrasjoner av flubenzuroner i blåskjell, men forbruket av legemidler i de aktuelle områdene ble ikke oppgitt.

Følsomme arter/nøkkelarter og tidlige livsstadier nær utslippsområdet

Gjennom året vil det naturlig være e ndringer i artssammensetningen, både i diversitet, mengde og tetthet. Flubenzuroner vil i hovedsak påvirke arter som lever på havbunnen og i sedimentet. Non-target-arter vil kunne få i seg avlusningsmidler gjennom spillfôr og fekalier i en lengre periode etter behandling. Kreps dyr som har redusert appetitt ved lavere temperaturer, som for eksempel om vinteren, vil være mindre sårbare i den perioden. Siden di- og teflubenzuron påvirker kitin-syntesen, vil dyregrupper med kitin i skallet være spesielt sårbare. Dødelighet inntreffer i tilknytning til skallskifte, og arter som gjennomgår flere skallskifter årlig og yngre individer med hyppige skallskifter er spesielt sårbare.

Artenes følsomhet

Ulike studier bruker forskjellige eksperimentelle oppsettet for å studere effektene av flubenzuroner og der forsøksorganismene eksponeres for flubenzuroner gjennom fôr, sediment eller oppløst i vann.

Eksponering via vann

Oppsummering av arters følsomhet ved kortidseksponering (≤ 24 timer) og langtidseksponering (> 24 timer) via vann for diflubenzuron og teflubenzuron og den konsentrasjonen som gir 50% dødelighet/paralyse, LC 50 /EC 50 , og konsentrasjonen som ikke gir observerbar effekt (NOEC) er gitt i tabell 7.

Korttids- og langtidseksponering; dødelige effekter

Den høyeste konsentrasjonen som har vært målt i vannfraksjonen i forbindelse med bruk av flubenzuroner i Norge er 295 ng/l (Langford mfl. 2011). Flere studier har imidlertid vist at LC 50 -verdien for testorganismer som er eksponert for flubenzuroner oppløst i vann er høyere. For eksempel, for hoppekreps ( Tisbe battaglia) var LC 50 verdiene etter 24 og 48 timers eksponering større enn 1000 µg/l for diflubenzuron og 40 og 230 µg/l for teflubenzuron (Macken mfl. 2015). Cunningham og Myers (1987) eksponerte vinkekrabbe ( Uca pugilator ) for diflubenzuron i en periode på 24 timer i uken i 10 uker og beregnet NOEC for dødelighet til 2 µg/l (Cunningham og Myers 1987). Imidlertid gav eksponering av hoppekreps ( Tisbe battaglia ) i 7 dager NOEC verdier på 0,01 µg/l for diflubenzuron og 0,0032 µg/l for teflubenzuron (Macken mfl. 2015). Disse verdiene er betydelig lavere enn mange av verdiene målt i vannfasen, men vi vet lite om den reelle eksponeringstiden av non-target organismer for flubenzuroner løst i vann, ved en behandling. Eksponering for 1 og 3 µg/l diflubenzuron gav forhøyet dødelighet hos larver av krabbeartene Rhithropanopeus harrisii og Sesarma reticulatum og påvirket kitinsyntesen i krabben Rhithropanopeus harrisii (Christiansen mfl. 1978, Christiansen mfl. 1984). Eksponering for diflubenzuron (50 µg/l gav høy dødelighet ved skallskifte hos larver av hesteskokrabbe ( Limulus polyphemus ) (Weis og Ma 1987). Reback and French (1996) eksponerte juvenile av arten blå svømmekrabbe ( Callinectes sapidus ) for diflubenzuron i 24 timer. De fant at krabbene var mest sårbare når første eksponering ble gjort samme dag som skallskifte startet og med påfølgende eksponering en gang per uke. LC 50 ble beregnet til 18,5 µg/l (Rebach og French 1996).

Korttid- og langtidseksponering; ikke-dødelige effekter

Eksponering for flubenzuroner kan forårsake ikke-dødelige effekter og som kan påvirke evnen til å overleve i naturen. Vinkekrabbe ( Uca pugilator ) ble eksponert for diflubenzuron oppløst i vann, 24 timer én gang per uke i 10 uker og NOEC for skallskifte og adferd (fluktreaksjon) ble estimert til henholdsvis 20 og 0,2 µg/l (Cunningham og Myers 1987). Adferdsforsøkene ble gjennomført 14 dager etter siste medisinering og konsentrasjonen av teflubenzuron i dyrene da forsøkene ble gjennomført var da under 1 ng/g. Eksponering for 5 µg/l påvirket evnen til regenerering av ekstremiteter hos vinkekrabbe ( Uca pugilator ) (Weis mfl. 1987).

Eksponering via organisk materiale

Korttid- og langtidseksponering; Dødelige effekter

Det er også gjort forsøk der forsøksdyrene eksponeres for flubenzuroner via organisk materiale. Effekt av flubenzuroner bundet til organisk materiale inkluderer ulike reservoarer som fekalier, fôrspill og levende organismer, for eksempel børstemark. Voksne børstemark ( Capitella capitata, Nereis sp.) kan overleve med høye konsentrasjoner av flubenzuroner over lang tid (Norsk institutt for vannforskning 1998, Méndez 2006, Samuelsen mfl. 2015). Økt dødelighet ble registret i Capitella sp etter inntak av teflubenzuron via fôr i doser på 1, 2 og 4 g/kg fôr i 32 dager (Fang mfl. 2020). Høyest dødelighet på 27% ble registrert i gruppen som fikk f ô r med 4 g teflubenzuron/kg mens dødelighet for dosene 1 og 2 g/kg fôr var henholdsvis 15 og 12%. Dødeligheten i kontrollgruppene var < 5%. K onsentrasjonen av teflubenzuron i dyrene ble målt til mellom 9,24 og 10,32 µg/g for de ulike dosene (Fang mfl. 2020). Høyeste konsentrasjon som er målt i børstemark i feltprøver er 8,35 µ g/g (Samuelsen mfl. 2015). Når larver og juvenile Capitella sp. ble eksponert for sediment tilsatt 3 doser med teflubenzuron (8,4, 25 og 41,8 µg/g tørrvekt) i 32 dager økte dødeligheten signifikant i de eksponerte gruppene i forhold til kontrollgruppene (Méndez 2005) men det var ingen klar sammenheng mellom dose og dødelighet. Det ble ikke registrert økt dødelighet av voksne Capitella sp. I (opprinnelse Setauket Harbour, USA) ved eksponering for teflubenzuron anriket sediment (8,4, 25, 41,8 µg/g tørrvekt) i 10 dager mens noe dødelighet ble observert i gruppene av Capitella sp. B (opprinnelse Barcelona, Spania) dog uten at resultatene kunne knyttes direkte til teflubenzuron eksponeringen (Méndez 2006). Samuelsen mfl. (2014) studerte i laboratorieforsøk effekten av oralt administrert teflubenzuron på yngel av europeisk hummer med doser tilsvarende konsentrasjoner funnet i fekalier og i medisinert fôr. Eksponeringen varte syv påfølgende dager for å simulere utslipp ved medisinering og med en total lengde på eksperimentet på 95 dager. Dette gav en kumulativ dødelighet på 30 til 50% i de medisinerte gruppene sammenlignet med 13% i kontrollgruppene. I tillegg ble det registrert misdannelser som deformerte klør, forkalkede gangbein, stive antenner og reduserte gjellelokk hos individer som overlevde skallskifte. Ingen misdannelser ble registrert i kontrollgruppene. Individer med misdannelser vil ha mindre sjanser for å overleve i naturen. Totaleffekten (dødelighet og misdannelser) var i størrelsesorden 50% i alle de medisinerte gruppene. Det laveste nivået målt i hummerne som døde var 12 ng/g, som er lavere enn enkelte konsentrasjoner som er funnet i flere arter i feltundersøkelser (Langford mfl. 2011, Samuelsen mfl. 2015, Parsons mfl. 2021). På den annen side var det ett individ der konsentrasjonen av teflubenzuron ble målt til 351 ng/g som overlevde skallskiftet. Oppfølgende studier med langtidseksponering av hummeryngel for teflubenzuron der doser tilsvarende 20, 10, 5, 2 og 0,4% av konsentrasjonen i medisinert fôr, gav også rundt 50% dødelighet ved høyeste dose, mens de to laveste dosene gav mindre enn 10% dødelighet (Ole Samuelsen, Havforskningsinstituttet, upubliserte data). I et dose-respons forsøk ble stripestrandreke ( Palaemon elegans ) fôret med 6 ulike doser (0,0025, 0,005, 0,05, 0,094, 0,188, 1,88 µg teflubenzuron/g reke) to ganger i uken i 9 uker (66 dager) (Samuelsen mfl. 2020). Kumulativ dødelighet var liten for de to laveste dosene (< 5%) men økte med økende dose til henholdsvis 15, 27, 82 og til 100% for den høyeste dosen. Basert på konsentrasjonen av teflubenzuron i rekene (døde og overlevende ved forsøkslutt) ble grenseverdier som vil gi lav, moderat og høy dødelighet (LC 5 , LC 50 og LC 90 ) beregnet til 1,2, 18,4 og 150,6 ng/g. Liknende resultater ble rapportert av Olsvik mfl. (2017) som fôret en gruppe stripestrandreke ( Palaemon elegans ) med teflubenzuron (0,2 µg teflubenzuron/g reke) to ganger i uken i en periode på 98 dager. Kumulativ dødelighet ved forsøkslutt var 50% og snittkonsentrasjonen i rekene ble målt til 10 ng/g (Olsvik mfl. 2017). Sammenlignet med stripestrandreke er blomsterreker noe mindre sensitive for teflubenzuron (Olsvik mfl. 2019). Etter fôring av rekene med 0.01 og 0.1 µg teflubenzuron/g reke to ganger per uke i 46 dager var kumulativ dødelighet 0 og 25% og snittkonsentrasjonen av teflubenzuron i rekene ble målt til henholdsvis 5,8 og 71 ng/g for de respektive dosene ved forsøksslutt. Tilsvarende konsentrasjoner av teflubenzuron som gav dødelighet er rapportert i reker fanget inn i nærheten av oppdrettsanlegg (Langford mfl. 2011, Samuelsen mfl. 2015, Parsons mfl. 2021).

Rognbærende dypvannsreker ( Pandalus borealis ) ble fôret med diflubenzuron (0,6 g per kg fôr) 4 ganger (lav dose) og 7 ganger (høy dose) i løpet av en periode på 14 dager ved to ulike temperaturer og pH (7°C og pH 8) og (9,5°C og pH 7,6) (Bechmann mfl. 2017). Trettiseks dager etter avsluttet medisinering var kumulativ dødelighet i de medisinerte gruppene mellom 61 og 73% mens i kontrollgruppene var dødeligheten 5% ved 7°C og pH 8 og 20% ved 9,5°C og pH 7,6. Konsentrasjonene av diflubenzuron i rekene 28 dager etter medisinering ble målt til 15-29 ng/g (lav dose, 7°C, pH 8) og 35-105 ng/g (høy dose, 7°C, pH 8). I gruppene med høyere temperatur (9,5°C ) og lavere pH (pH 7,6) ble konsentrasjonene målt til 6-18 ng/g (lav dose) og 12-43 ng/g (høy dose). Dypvannsreker uten rogn (post-hatch) ble i samme studie fôret med diflubenzuron i 8 dager ved temperaturer på 6,8 og 9,4°C etterfulgt av en observasjonsperiode på 42 dager. Ved forsøkslutt (50 dager) var kumulativ dødelighet ca 37% ved 6,8°C og ca 57% ved 9,4°C. Konsentrasjonen av diflubenzuron i rekene ved dag 8 varierte mellom 42-2411 ng/g ved 6,8°C og 65-3419 ng/g ved 9,4°C. Pelagiske larver av dypvannsreke ( Pandalus borealis ) ble eksponert for små fôrpartikler som inneholdt 0,7 g/kg diflubenzuron (Bechmann mfl. 2018). Partiklene fordelte seg i vann med en snittkonsentrasjon på 1,5 µg diflubenzuron/l. Eksponering over 14 dager etterfulgt av 20 dagers observasjon førte til en dødelighet på 66% sammenlignet med 10% i kontrollgruppen. En kjemisk analyse av stadium I larver på dag 8 viste en konsentrasjon på 180 ng diflubenzuron/g våtvekt. Høyest dødelighetsrate av rekelarvene ble observert mellom dag 8 og dag 16.

Korttid- og langtidseksponering; Ikke dødelige effekter

Mendez (2005) registrerte en forsinkelse i metamorfosen fra larve til juvenile hos børstemark ( Capitella sp.) eksponert for sediment tilsatt teflubenzuron. Størrelsen på eksponerte larver og juvenile var også mindre enn kontrolldyrene ved forsøksslutt (Méndez 2005). Det ble også registrerte deformerte munnbørster, som inneholder kitin, i voksne Capitella sp., etter 10 dagers eksponering for sediment anriket med 41,8 mg/g teflubenzuron (Mendez 2006). Fang mfl. 2020 registrerte reduksjon i vekst, f ô rinntak og respirasjon i en gruppe Capitella sp. f ô ret med teflubenzuron (4 g/kg f ô r) i en periode på 32 dager (Fang mfl. 2020). Morfologiske misdannelser som blakke øyne, stive og forkalkede gangbein og misdannet halevifte er beskrevet blant annet i blomsterreker og Europeisk hummer ( Homarus gammarus ) etter eksponering for teflubenzuron (Samuelsen mfl. 2014, Olsvik mfl. 2015, Olsvik mfl. 2019). I tillegg til morfologiske misdannelser er det også beskrevet endringer i genuttrykk, metabolske prosesser assosiert til kitinsyntese og energimetabolismen i ulike krepsdyr i forbindelse med eksponering for flubenzuroner. Europeisk hummer (juvenile) ble f ô ret med teflubenzuron i doser på 0,5 og 2 µg/g to ganger i uken i 16 uker (Olsvik mfl. 2015). Denne studien viste signifikant effekt på 21 av 39 undersøkte gener som blant annet regulerer skallskifte, skalldannelse, oksidativt stress, cellulært stress og detoksifisering. Kumulativ dødelighet i de eksponerte gruppene var liten, men 20% av individene i lav dose og 50% i høy dose hadde misdannelser i skallet ved forsøksslutt. I strandreker eksponert for teflubenzuron via f ô ret (0,2 µg/g) ble det registrert endringer i gener som regulerer stress og apoptose, skallskifte, skalldannelse og detoksifisering (Olsvik mfl. 2017). Langtidseksponering (113 dager) av små Europeisk hummer for lave doser med teflubenzuron forårsaket adferdsendringer (aktivitet, læring, utforsking) (Cresci mfl. 2018). Eksponerte individer brukte lengre tid for å finne og ta i bruk skjul, hadde et annet bevegelsesmønster og dårligere læringsevne enn kontrolldyrene. Blomsterreker ( Pandalus montagui ) f ô ret med to doser teflubenzuron ( 0,01 og 0,1 µg/g) to ganger per uke i 7 uker resulterte i deformiteter i skallet i begge de eksponerte gruppene ved forsøksslutt, 35 og 53% for henholdsvis lav og høy dose mens blakke øyne ble registrert hos 18% (lav dose) og 47% (høy dose) av individene (Olsvik mfl. 2019). De fant også noen endringer i genuttrykk og metabolske prosesser og redusert mengde av N-acetylglukosamin i de eksponerte dyrene, noe som indikerer effekt på kitinsyntesen. Eksponering for diflubenzuron påvirket reproduksjonen til tangloppe ( Corophium volutator ) og NOEC-verdien ble estimert til å være mellom 10 og 100 ng/g sediment (Norsk institutt for vannforskning 1998).

Effekten på 28 gener ble undersøkt i atlanterhavstorsk ( Gadus morhua ) etter f ô ring med diflubenzuron (3 mg/kg fisk daglig i 14 dager) eller administrert som en-dose intravenøs injeksjon av 3, 10 eller 50 mg/kg fisk (Olsvik mfl. 2013) . Generelt viste resultatene at effekten var liten, men det ble funnet endringer på gener involvert blant annet i fase I og lipid metabolisme.

Endringer i samfunnsstruktur som følge av bruk av flubenzuroner

Gjennom året vil det naturlig være endringer i artssammensetningen, både i diversitet, mengde og tetthet. For eksempel er det arter som kun finnes i enkelte geografiske områder, og enkelte livsstadier som kun forekommer deler av året. Det kan derfor være utfordrende å skille endringer som følge av eksponering for legemidler og de naturlige endringene. Det er foreløpig ikke publisert norske studier som viser funn av endringer i artssammensetning eller biomasse som følge av eksponering for flubenzuroner. Børstemark som Capitella sp. og Nereis sp. finnes ofte i sediment rikt på organisk materiale og er viktige for omsetningen av organisk avfall fra oppdrettsanlegg. Det er viktig å kartlegge mulige effekter av fôrbaserte legemidler som diflubenzuron og teflubenzuron på alle arter som er viktige for omsetningen av organisk materiale. Krepsdyr som lever i nærheten av oppdrettsanlegg som bruker flubenzuroner vil være utsatt og spesielt arter og stadier med kort skallskiftesyklus.

1.5.2.2 - Emamektin

Emamektin-benzoat, heretter bare kalt emamektin, tilhører stoffgruppen avermektiner og tilsettes fôret til fisken. Emamektin distribueres lett til ulike vev i laksen, som lever, nyre, hud, hjerne og muskel (Kim-Kang mfl. 2004, Sevatdal mfl. 2005, Olsvik mfl. 2008). Eliminasjonstiden er relativt lang i laks, opptil 90-120 dager etter behandling noe som også gir lang effekt mot lakselus (Sevatdal mfl. 2005, Graham 2012). Det er beskrevet at emamektin påvirker spenningspotensialet og forårsaker hyperpolarisering av nerveceller som resulterer i paralyse og død av parasitten, men de(n) eksakte virkningsmekanismen(e) som dreper lakselus er ikke helt klarlagt. Emamektin selges som SLICE i Norge og anbefalt dosering er 50 µg/kg laks/ørret daglig i 7 dager. Det er anbefalt begrensninger i behandlingshyppigheten pga. den lange halveringstiden til emamektin i sediment. Det bør ikke utføres mer enn tre behandlinger i løpet av 12 måneder, og ikke mer enn fem behandlinger i løpet av en 2 års produksjonssyklus.

Forbruk

Emamektin ble først brukt i 1999, 3,5 kg totalt (figur 12). Det årlige forbruket var under 100 kg fram til rundt 2011, men økte kraftig i perioden 2014 til 2016 (172, 259 og 232 kg). Det har siden blir redusert noe, og forbruket i 2022 var 79 kg. Det ble skrevet ut 386 resepter/forskrivninger i 2022, 123 i vinterhalvåret og 263 i sommerhalvåret. Emamektin ble brukt i alle produksjonsområdene. Det høyeste forbruket var i produksjonsområde 4 med 64 forskrivninger. Forbruket i 2023 var på 74 kg.

 

Figur 8.12. Årlig forbruk av emamektin (i kg) i norsk akvakultur, fra 1999 til 2022 (statistikk fra Folkehelseinstituttet).
Figur 12. Årlig forbruk av emamektin (i kg) i norsk akvakultur, fra 1999 til 2022 (statistikk fra Folkehelseinstituttet).

Spredning og fortynning

Emamektin har høy affinitet til organisk materiale (log Kow 5,0) og lav vannløselighet (550 µg/l) (SEPA 2017). Flere studier har rapportert at emamektin binder seg lett til sediment. I løpet av 24 timer hadde 24-34% blitt absorbert av sedimentet fra vannfasen, og etter 100 dager var andelen i vannfasen kun 0,3% (SEPA 2017). En annen studie rapporterte at 89% emamektin ble tatt opp i sedimentet fra vannfasen i løpet av de første 24 timene og etter 48 timer var det ikke målbare konsentrasjoner av emamektin i vannfasen (Strachan og Kennedy 2021). Men den motsatte prosessen kan også forekomme. Bright og Dionne 2005 fant at lekkasjen av emamektin fra medisinert fôr til sjøvann var på 5% i løpet av 6 timer og 25% etter 7 dager. Resuspensjon av organisk materiale kan også bidra til ytterligere spredning (Bright og Dionne 2005, Stomperudhaugen mfl. 2014). Emamektin vil hovedsakelig spres via fôrspill og fekalier og vil følge samme spredningsmønster som organisk avfall fra anlegget. Tilførselen til miljøet vil være begrenset til perioden med medisinering og en kort tid etter. Spredningen av partikkelbundet emamektin bestemmes av dybde, vannstrøm og hvor raskt partiklene synker og hvor lett de går i oppløsning. Medisinerte pellets og intakte fekalier vil generelt synke raskt, mens små svevepartikler som kan utgjøre om lag 5–10% (Bannister mfl. 2016), kan spres med strømmen over større områder. Opptil 2,7% av partiklene kan nå lengre enn 2 km fra anlegget. Det er også vist at for norske lokaliteter med lave strømhastigheter < 5 cm/s vil det meste av det organiske materiale konsentreres rett under og i nærheten av anlegget (Bannister mfl. 2016). For lokaliteter med høye strømhastigheter > 10 cm/s vil partiklene spres over et større område med relativt lave nivåer rett under merdene. Blåskjell fra fem ulike blåskjellanlegg i Trondheimsområdet ble undersøkt for rester av legemidler (Brooks mfl. 2019). Tre av blåskjellanleggene lå i nærheten av lakseanlegg som hadde behandlet med ulike legemidler og skjellene kunne da potensielt ta opp disse. Alle de undersøkte blåskjellene var negative for innhold av rester av emamektin.

Nedbrytning

Emamektin oppløst i vann kan brytes ned av lys (fotolyse) med en halveringstid på mellom 1,4 – 22 dager, avhengig av blant annet pH og daglengde og når på året målingene ble gjort (Bright og Dionne 2005). Halveringstiden for emamektin oppløst i vann er beregnet til henholdsvis 0,7 og 35,4 dager ved sommer og vinterforhold (Schering-Plough Animal Health 2002). Hydrolyse har liten betydning for nedbrytningen av emamektin ved pH 5-8, men ved pH 9 og 25°C ble halveringstiden for nedbrytning forårsaket av hydrolyse beregnet til 136 dager.

Emamektin ser ut til å være svært persistent i sedimenter. Undersøkelser gjort med både rent emamektin og det kommersielle avlusningsmidlet SLICE (som også inneholder metabolitten desmetyl-emamektin B1a) viste ingen reduksjon i konsentrasjonen over 135 dager, uavhengig om det var biologisk aktivt eller inaktivt sediment og uavhengig om temperaturen var 4 eller 10°C (Benskin mfl. 2016). Den korteste halveringstiden ble beregnet til 404 dager og var målt i inaktivert sediment tilsatt SLICE og ved en temperatur på 4°C). En annen undersøkelse fant heller ingen reduksjon i konsentrasjonen av emamektin i løpet av observasjonsperioden på 94 dager, uavhengig av type sediment (slam eller sand) og temperatur (4 eller 14°C) (Graham 2012). Til sammenlikning ble halveringstiden i sediment med 0.7 og 5.5% organisk materiale og under anaerobe forhold, funnet å være lengre enn 100 dager (Schering-Plough Animal Health 2002). I denne undersøkelsen ble det brukte radioaktivt merket emamektin og ved dag 100 var emamektin konsentrasjonen redusert til 66-68% av opprinnelig mengde og halveringstiden ble beregnet til 164 til 175 dager (Schering-Plough Animal Health 2002). Emamektin kan omdannes til metabolitten desmetyl-emamektin i naturlig sediment, men dette er en forholdsvis langsom prosess (Hamoutene mfl. 2023a). Oppløst emamektin ble tilsatt et kar med vann og sediment (3:1) for å undersøke fordeling og nedbrytning (Strachan og Kennedy 2021) . Emamektin bandt seg raskt til sediment og mindre enn 5% ble funnet i vannfasen etter 12 timer. Halveringstid i sediment ble estimert til 230 dager. I 2004 bestemte SEPA at en halveringstid for emamektin på 175 dager ikke var tilstrekkelig konservativ for modelleringsformål og valgte i stedet å bruke en halveringstid på 225 dager (SEPA 2004). I en nylig publisert studie ble halveringstiden til emamektin beregnet for ulike sediment (sand og gjørme), temperatur (4 og 10°C), tilstedeværelse av organisk materiale (fôrspill og fekalier) og det antibakterielle middelet oksytetrasyklin (Hamoutene mfl. 2023b). De beregnede halveringstidene for EMB varierte fra 188,6 dager til 510,5 dager i sedimentene uten oksytetrasyklin til stede og 217,4 til 6485,3 dager i nærvær av oksytetrasyklin (Hamoutene mfl. 2023b).

I jord er det stor forskjell på nedbrytningshastigheten ved aerobe og anaerobe forhold. Ved aerobe forhold ble halveringstiden beregnet til 74 dager mens halveringstiden ved anaerobe forhold ble beregnet til 349 dager (Schering-Plough Animal Health 2002).

Det er gjort få studier hvor man har sett på eliminasjon/nedbrytning av emamektin i biologisk vev. Halveringstiden i plasma, muskel og skinn i torsk (Gadus morhua) ble beregnet til henholdsvis 180, 247 og 235 timer ved 9°C etter oral administrering (Samuelsen 2010). I blåskjell som ble eksponert for 1 μg emamektin/l daglig i 14 dager ble det funnet nivåer på rundt 45 ng/g på dag 7 til 14 (Brooks mfl. 2019). I løpet av en syv dagers elimineringsperiode ble det ikke observert en signifikant reduksjon i nivået, og forfatterne anbefaler derfor at fremtidige studier har en lengre observasjonstid.

Konsentrasjon i miljøet

Vannprøver: Et fåtall studier har målt konsentrasjoner eller nivåer av emamektin i sjøvann. Ved to norske oppdrettsanlegg som ble undersøkt var konsentrasjonene under deteksjonsgrensen (LOD; 1 ng/l) i alle vannprøver tatt i økende avstander fra anleggene (Langford mfl. 2014). Vannprøvene ble tatt opp til 400 m og 530 m fra oppdrettsanleggene, men det er verdt å merke seg at behandling hadde funnet sted 2 måneder før prøvetaking på det ene oppdrettsanlegget og det andre anlegget hadde behandlet med emamektin for flere år siden (Langford mfl. 2014). Undersøkelser ved et skotsk oppdrettsanlegg hvor laks var under behandling når prøvene ble tatt, viste konsentrasjoner under deteksjonsgrensen (LOD; 0,25 ng/l) i vannprøver tatt like ved merdkanten og 25 m unna (Telfer mfl. 2006).

Sediment: Det er gjort noen studier for å kartlegge restkonsentrasjoner i marine bunnsediment i områdene rundt oppdrettsanlegg i Norge, Skottland, Chile og Canada. I Norge ble undersøkelsene gjort i tilknytning til to oppdrettsanlegg, hvorav det ene hadde behandlet to måneder før prøvetaking og det andre hadde brukt emamektin for flere år siden (Langford mfl. 2014). Emamektin ble funnet i sedimentprøver tatt 280 og 530 m fra de to anleggene, henholdsvis i konsentrasjoner < 2-2,4 ng/g tørrvekt (median = < 2) og < 2-6,5 ng/g tørrvekt (median = 2,1). En sammenligning med EQS-verdier fra Storbritannia viste at de norske sedimentene overskred "far-field EQS" på 0,76 ng/g våtvekt ved fem anledninger. Et nylig gjennomført studium fant at emamektin var under deteksjonsgrensen (LOD; < 1-2 ng/g tørrvekt) i 114 sedimentprøver samlet fra 12 norske oppdrettsanlegg på Vestlandet, alle hadde tidligere brukt emamektin (Aoife Parsons, Havforskningsinstituttet, upubliserte data).

Flere publiserte artikler, rapporter og offentlig tilgjengelige data viser tilstedeværelse av emamektin i det marine miljøet i Skottland, men i lave konsentrasjoner (ng/g)). Det skotske miljødepartementet SEPA har etablert en database med overvåkingsdata fra sedimentprøver fra oppdrettsanlegg siden 2001 og gjennomsnittskonsentrasjonen ved merdkanten, 25 m, 100 m og 150 m fra anlegget var henholdsvis 3,14, 2,2, 0,71 og 1,38 ng/g (SEPA 2017). I en annen skotsk undersøkelse ble det tatt sedimentprøver 10, 25, 50, 100 m og 1 km fra anlegget før medisinering og 1 uke, 1, 4 og 12 måneder etter medisinering (Telfer mfl. 2006). De aller fleste prøvene var negative, men det ble funnet konsentrasjoner av emamektin på 2.1 ng/g, 2,7 ng/g og 1,8 ng/g i sedimentprøver tatt 10 m fra merdkanten henholdsvis 1, 4 og 12 måneder etter behandling. Små mengder av metabolitten desmetylamino-emamektin ble funnet i noen av prøvene og høyeste verdi var 0,62 ng/g våtvekt. I sedimentfeller plassert 2 m over bunnen i 3 dager under medisineringen og 5, 25 og 50 m fra anlegget, ble konsentrasjonene målt til henholdsvis 366, 154 og 75 ng/g våtvekt (Telfer mfl. 2006). Et annet studium, fra Shetland, fant emamektin over deteksjonsgrensen (LOD 0,004 ng/g tørrvekt) i 98% av 302 sedimentprøver fra åtte oppdrettsanlegg. De høyeste konsentrasjonene ble funnet i umiddelbar nærhet og avtok med økende avstand fra anleggene (SEPA 2018, Bloodworth mfl. 2019). I 17% av prøvene var konsentrasjonen høyere enn standard "nærfelts-EQS" på 7,6 ng/g våtvekt, mens 100 m fra anlegget var det bare 7% av prøvene som var høyere enn "far-field EQS" på 0,76 ng/g våtvekt. Resultater fra enkeltprøver oppgis ikke i artikkelen.

I Canada ble det funnet rester av emamektin (0,057 til 0,8533 ng/g) i 13 sedimentprøver som ble samlet inn fra fem forskjellige oppdrettsanlegg og i avstand fra 20 til 500 meter (Park 2013). De høyeste konsentrasjonene ble funnet 80 m unna et av anleggene, der prøvene ble tatt mens behandlingen pågikk. To år etter at et anlegg på sørkysten av Newfoundland, Canada var lagt brakk ble det funnet lave (0-0,058 ng/g tørrvekt) konsentrasjoner av emamektin i prøvemateriale tatt på hardbunn (flokkulent materialet) innenfor en avstand på 150 m fra anlegget (Hamoutene mfl. 2018). Ved et annet oppdrettsanlegg som var i produksjon ble det funnet høyere konsentrasjoner (1,13-41,78 ng/g tørrvekt) i prøver tatt 20 m fra anlegget (Hamoutene mfl. 2018). Også i tilknytning til et oppdrettsanlegg i Patagonia, Chile ble det funnet emamektin i sediment, og gjennomsnitts konsentrasjoner på 8,4, 5,3 og 10,0 ng/g tørrvekt ble målt i prøver tatt henholdsvis 0, 10 og 100 m fra anlegget (Tucca mfl. 2017).

Fauna: Få studier har undersøkt for restkonsentrasjoner av emamektin i arter som lever rundt oppdrettsanlegg. På vestkysten av Skottland ca. 100 m fra et oppdrettsanlegg under behandling ble det målte lave (< 5 ng/g), men kvantifiserbare nivåer av emamektin i eremittkreps (Pagurus spp.), strandkrabbe (Carcinus maenas), trollhummer (Munida rugose), sjøstjerne (Asterias rubens), kongnegl (Buccinum undatum), blåskjell (Mytilus edulis), småflekket rødhai (Scyliorhinus canicular) og vanlig ulke (Myoxocephalus scorpius) (Telfer mfl. 2006). Emamektin ble funnet inntil en uke etter behandling i kongsnegl og inntil en måned etter behandling i eremittkreps. Etter 12 måneder ble det funnet små rester av emamektin kun i én enkel sjøstjerne. Ved et annet oppdrettsanlegg i Skottland ble det rapportert lave konsentrasjoner av emamektin i eremittkreps (5 ng/g), pigghå (1,2 ng/g) og trollhummer (2 ng/g) én uke etter behandling (SEPA 1999b). I prøver av blåskjell (Mytilus edulis) tatt i nærheten av lakseoppdrettsanlegg langs norskekysten var konsentrasjonen under deteksjonsgrensen (0.5-2 ng/g) i begge undersøkelsene (Langford mfl. 2014, Brooks mfl. 2019).

Følsomme arter/nøkkelarter og tidlige livsstadier nær utslippsområdet

Gjennom året vil det naturlig være endringer i artssammensetningen, både i diversitet, mengde og tetthet. Emamektin vil i hovedsak påvirke arter som lever på havbunnen. Non-target-arter vil kunne få i seg avlusningsmidler gjennom spillfôr og fekalier i en lengre periode etter behandling. Krepsdyr som har redusert appetitt ved lavere temperaturer, som for eksempel om vinteren, vil være mindre sårbare i den perioden.

Artenes følsomhet

Emamektin påvirker nervesystemet og har dermed en direkte effekt på organismen. Virkningsmekanismen til emamektin hos virvelløse dyr er bindingen til glutamat-styrte kloridkanaler som fører til en innstrømning av kloridioner i nervecellen og hyperpolarisering. En annen beskrevet virkningsmekanisme er økt produksjonen av den hemmende neurotransmitteren GABA ved nerveender, som vil føre til økt omfang av GABA-reseptor bindinger og forsterket effekt. Hos virvelløse dyr virker emamektin blant annet på muskelceller i det perifere nervesystemet, og forårsaker lammelse og til slutt død. Hos pattedyr er imidlertid den toksiske effekten lav siden emamektin ikke krysser pattedyrs blodhjernebarriere, og dermed ikke påvirker GABA-medierte nevroner i sentralnervesystemet (Roy mfl. 2000). Det er relativt få studier som har undersøkt dødelige og ikke-dødelige effekter av emamektin på marine arter, og langt de fleste har arbeidet med ulike krepsdyr. Siden det er brukt ulike eksperimentelle oppsett i studiene hvor artene er eksponert for emamektin enten gjennom fôr, sediment eller oppløst i vann er sammenligning av resultatene vanskelig.

Eksponering via vann

Oppsummering av arters følsomhet ved kortidseksponering (≤ 24 timer) og langtidseksponering (> 24 timer) via vann for emamektin og den konsentrasjonen som gir 50% dødelighet/paralyse, LC 50 /EC 50 , er gitt i figur 13 og tabell 8.

 

Figur 8.13.  Akutt og kronisk marin toksisitetsdata for emamektin. i) Plottet viser LC50/EC50-verdiene, basert på dødelighet som endepunkt, ved korttidseksponering (≤ 24 timer; sirkler farget i oransje) og langtidseksponering (> 24 timer; sirkler farget i grønt) for ulike marine arter. Artene er rangert i henhold til de gjennomsnittlige toksisitetsverdiene (merket med en solid svart linje). Hvis data ble uttrykt som større enn eller lik (≥), ble selve verdien plottet. * arter som finnes i Norge. ii) Smultringplottet viser antall (n) arter i datasettet som er relevante norske arter (blått felt) og andre (rødt felt) i dyregruppene som er representert.
Figur 13. Akutt og kronisk marin toksisitetsdata for emamektin. i) Plottet viser LC50/EC50-verdiene, basert på dødelighet som endepunkt, ved korttidseksponering (≤ 24 timer; sirkler farget i oransje) og langtidseksponering (> 24 timer; sirkler farget i grønt) for ulike marine arter. Artene er rangert i henhold til de gjennomsnittlige toksisitetsverdiene (merket med en solid svart linje). Hvis data ble uttrykt som større enn eller lik (≥), ble selve verdien plottet. * arter som finnes i Norge. ii) Smultringplottet viser antall (n) arter i datasettet som er relevante norske arter (blått felt) og andre (rødt felt) i dyregruppene som er representert.

Korttidseksponering (≤ 24 timer); dødelige effekter

Fisk

Eksponering av trepigget stingsild ( Gasterosteus aculeatus), stillehavsulke ( Oligocottus maculosus) og stjerneflyndre ( Platichthys stellatus) i 24 timer for emamektin oppløst i vann gav LC50 verdier på henholdsvis 1310, 1307 og 1208 mg/l (Strachan og Kennedy 2021).

Virvelløse dyr

Kort oppsummert, eksponering i 24 timer for emamektin oppløst i vann resulterte i relativ høye LC50 for alle krepsdyrartene som til nå er blitt testet. Disse inkluderer California spøkelsesreke (Neotrypaea californiensis; 385 µg/l), dypvannsreke (Pandalus borealis; 670-927 µg/l), stillehavskystreke (Pandalus danae; 577-738 µg/l) og California flekkreke (Pandalus platyceros; 482-893 µg/l) (Strachan og Kennedy 2021).

Alger

Så vidt vi er kjent med, er det ingen offentlig tilgjengelig data om dødelige effekter av emamektin på alger etter korttidseksponering.

Korttidseksponering (≤ 24 timer); ikke-dødelige effekter

Fisk og alger

Så vidt vi er kjent med, er det ingen offentlig tilgjengelig data om ikke dødelige effekter av emamektin på fisk eller alger etter korttidseksponering.

Virvelløse dyr

Bare et begrenset antall studier har undersøkt ikke-dødelige effektene av emamektin på marine virvelløse dyr etter kortvarig eksponering (< 24 timer). Purpurkråkebolle (Strongylocentrous purpuratus) ble eksponert i 20 minutter for emamektin oppløst i vann og EC25, NOEC og LOEC basert på befruktningssuksess ble estimert til henholdsvis 2100, 800 og 1260 µg/l (Strachan og Kennedy 2021).

Langtidseksponering (> 24): dødelige effekter

Fisk

Et begrenset antall studier har studert effekten av langtidseksponering på marin fisk. Eksponering for emamektin oppløst i vann i 96-timer resulterte i LC50 for Stillehavssilverside (Atherinops affinis) og tannkarpe (Cyprinodon variegatus) på henholdsvis 350 og 1430 µg/l (Strachan og Kennedy 2021). Pukkellaks (Oncorhynchus gorbuscha) eksponert for emamektin oppløst i vann i 48-timer resulterte i LC50, NOEC og LOEC på henholdsvis 1090, 30 og 100 µg/l (Sahota mfl. 2022).

Virvelløse dyr

Eksponering i 48 timer for emamektin oppløst i vann resulterte i LC50 for hoppekrepsartene Acartia clausi, Oithona similis, Pseudocalanus elongatus og Temora longicornis på henholdsvis 0,28-0,57, 15,5-232, 0,12-0,45 og 0,23-2,81 µg/l. De tidlige livsstadiene (nauplii og kopepoditt stadier) var generelt mer sårbare sammenlignet med voksne stadier (Willis og Ling 2003). Tilsvarende, 48-timers LC50 var 2,56 µg/l for hoppekreps (Tigriopus californicus) (Fisher mfl. 2016) og 240-timers LC50 var 6,3 µg/l for tangloppe (Corophium volutator) (SEPA 2017). Høyere LC50 ble rapportert for sandreke (Crangon crangon) (192 timer; 166 µg/l) og sjøkreps (Nephrops norvegicus) (192 timer; 572 µg/l) (SEPA 2017), mens 96-timers LC50 for Amerikansk pungreke (Americamysis bahia) varierte mye fra 0,043 til 617 µg/l (SEPA 2017, Strachan og Kennedy 2021). Basert på tilgjengelige data ser det ut til at toksisiteten til emamektin er lav i marine bløtdyr, med LC50 på 490-670 µg/l og 1605 µg/l for henholdsvis østlige østers (Crassostrea virginica) og Middelhavsblåskjell (Mytilus galloprovincialis) embryoer (SEPA 2017, Strachan og Kennedy 2021).

Alger

Så vidt vi er kjent med, er det ingen offentlig tilgjengelig data om dødelige effekter av emamektin på alger etter langtidseksponering.

Langtidseksponering (> 24): ikke-dødelige effekter

Fisk

Sahota mfl. (2022) undersøkte om pukkelaksyngel ville kunne «lukte» eller detektere emamektin og de fant at yngelen unngikk vann med konsentrasjoner høyere enn 300 µg/l. Det ble ikke funnet signifikant reduksjon i evnen til å lukte mat hos pukkelaksyngel eksponert for 10 til 750 µg/l emamektin i 48 timer eller 500 µg/l i 7 dager. Eksponering for 750 µg/L i 48 timer ga ingen effekt på svømmehastighet (Sahota mfl. 2022).

Virvelløse dyr

Eksponering for emamektin oppløst i vann over en periode på syv dager resulterte i en betydelig reduksjon i eggproduksjonen hos hoppekreps (Acartia clausi) (Willis og Ling 2003) og NOEC- og LOEC ble beregnet til henholdsvis 0,05 og 0,16 μg/l. Eksponering i 48-timer resulterte i unormal utvikling av larver av middelhavsblåskjell (Mytilus galloprovincialis), med estimerte EC50, NOEC- og LOEC på henholdsvis 1060, 600 og 1250 μg/l (Strachan og Kennedy 2021). Eksponering av sjøfjær (Pennatula phosphorea) for 0.8 mg/l emamektin i 8 dager førte ikke til dødelighet eller signifikante endringer i adferd eller metabolske modifiseringer (Taormina mfl. 2024). To, fire og seks dager etter eksponering ble konsentrasjonen av emamektin i sjøfjæren målt til henholdsvis 82, 91 og 83 μg/g tørrvekt (Taormina mfl. 2024).

Alger

Det ble ikke funnet effekter på spiring, vekst av zoosporer, hos kjempetare (Macrocystis pyrifera) etter 48 timers eksponering for emamektin oppløst i vann ved konsentrasjoner inntil 5000 µg/l (Strachan og Kennedy 2021).

Eksponering via organisk materiale

Oppsummering av arters følsomhet ved eksponering for emamektin via sediment og fôr og den konsentrasjonen som gir 50% dødelighet/paralyse, LC 50 /EC 50 , og konsentrasjonen som ikke gir observerbar effekt (NOEC) er gitt i figur 14 og tabell 9.

 

Figur 8.14. Marin toksisitetsdata for emamektin. i) Plottet viser LC50/EC50-verdiene, basert på dødelighet som endepunkt ved eksponering via sediment for ulike marine arter. Artene er rangert i henhold til de gjennomsnittlige toksisitetsverdiene (merket med en solid svart linje). Hvis data ble uttrykt som større enn eller lik (≥), ble selve verdien plottet. * arter som finnes i Norge. ii) Smultringplottet viser antall (n) arter i datasettet som er relevante norske arter (blått felt) og andre (rødt felt) i dyregruppene som er representert.
Figur 14. Marin toksisitetsdata for emamektin. i) Plottet viser LC50/EC50-verdiene, basert på dødelighet som endepunkt ved eksponering via sediment for ulike marine arter. Artene er rangert i henhold til de gjennomsnittlige toksisitetsverdiene (merket med en solid svart linje). Hvis data ble uttrykt som større enn eller lik (≥), ble selve verdien plottet. * arter som finnes i Norge. ii) Smultringplottet viser antall (n) arter i datasettet som er relevante norske arter (blått felt) og andre (rødt felt) i dyregruppene som er representert.

 

Langtidseksponering (> 24 timer); Dødelige og ikke dødelige effekter

Fisk

Pukkellaksyngel ble eksponert i 10-dager for sediment tilsatt emamektin og LC50, NOEC og LOEC ble estimert til henholdsvis 2065, 100 og 300 m g/kg tørrvekt (Sahota mfl. 2022). Behandling av Atlantisk laks med emamektin gitt oralt via medisinert fiskefôr (daglig dose inntil 500 m g/kg kroppsvekt i 7 dager) gav ingen signifikant dødelighet hverken under eller etter behandling (Roy mfl. 2000). Det var imidlertid tegn på emamektin-toksisitet uttrykt ved sløvhet, mørkere farge, manglende appetitt og koordinasjonsvikt uten at dette ble bekreftet ved obduksjon eller ved histopatologiske undersøkelser. Et lignende studium, også på Atlantisk laks, undersøkte om en daglig dose på 50 m g/kg kroppsvekt i 7 dager kunne påvirke genuttrykk i leveren (Olsvik mfl. 2008). Svært få gener viste seg å være påvirket like etter avsluttet medisinering (dag 0) og heller ikke etter 7 eller 28 dager. Forfatterne antydet allikevel at eksponering for emamektin kunne gi en midlertidig oksidativ stressrespons i fisken som igjen så ut til å påvirke proteinstabilitet, etterfulgt av en sekundær betennelse (Olsvik mfl. 2008).

Virvelløse dyr

Eksponering i 10 dager for sediment tilsatt emamektin resulterte i forholdsvis lave LC50 verdier for fjæremarken Arenicola marina på 111 μg/kg våtvekt, 146 μg/kg tørrvekt for sandtangloppe (Eohaustorius estuaries; og 19 μg/kg tørrvekt for tangloppe (Corophium volutator) (Kuo mfl. 2010, SEPA 2017) men høyere LC50 verdier for tangloppe (Monocorophium insidiosum; 890 μg/kg) og filleorm (Hediste diversicolor; 1368 μg/kg) (Mayor mfl. 2008, Tucca mfl. 2014). Ved eksponering i 30 dager for sediment tilsatt emamektin ble det beregnet en LC50 på 34.5 µg/kg for sandtangloppe (Eohaustorius estuarius), 227 µg/kg for børstemark (Neanthes virens) og > 4000 µg/kg for California flekkreke (Pandalus platyceros) (Barrett, 2022). Det ble ikke registrert signifikant økning i dødelighet hos California flekkreken (Pandalus platyceros) eksponert for sediment anriket med emamektin i konsentrasjoner opp til 4000 μg/kg (Park 2013). Et annet studie viste imidlertid at en eksponering av California flekkreken i 8 dager for emamektin anriket sediment (100, 400, 800, 1200, 4800 μg/kg) gav 15-20% dødelighet ved konsentrasjoner mellom 100 og 800 μg/kg, men kun 2 % dødelighet ved høyere konsentrasjoner (Veldhoen mfl. 2012). For Amerikansk hummeryngel (Homarus americanus) eksponert i 5, 10 og 15-dager ble LC50 estimert til henholdsvis 607, 250 og 69 μg/kg våtvekt og tiden det tok for å oppnå 50% dødelighet (LT50) var 304 dager for den laveste dosen (18,8 ng/g) og 2,4 dager for den høyete dosen ( 1066,7 μg/kg) (Daoud mfl. 2018). Eksponering i 28 dager for sediment hvor emamektin var tilsatt i ren form i konsentrasjoner inntil 1000 ng/g, gav ingen dødelighet av vanlig hjerteskjell (Cerastoderma edule) eller fjæremark (Arenicola marina) (Cheng mfl. 2020). Ved to dagers eksponering ble LC50 beregnet til 2009 - > 6533 μg/kg for tangloppe (Eohaustorius estuarius) (Jacova og Kennedy 2022). For børstemarken, grønn sandorm (Nereis virens), ble LC50 beregnet til 4415 - > 9600 μg/kg etter 10 dagers eksponering (Jacova og Kennedy 2022), ved lavere konsentrasjoner (inntil 400 µg/kg ) hadde en 30-dagers eksponering ingen innvirkning på overlevelsen (McBriarty mfl. 2018). Imidlertid ble det observert en konsentrasjonsavhengig økning i dødelighet hos tangloppe (Corophium volutator) eksponert for emamektin i 28 dager (LC50 316 μg/kg) (Cheng mfl. 2020) og for California flekkreke (Pandalus platyceros) og Amerikansk hummer (Homarus americanus) eksponert i 30 dager med LC50 på henholdsvis 745 ng/g tørrvekt og 17,9 μg/kg våtvekt (Park 2013, Daoud mfl. 2018).

Det ble ikke funnet effekt på skallsskifte hyppighet hos California flekkreke (Pandalus platyceros) eksponert i 10-dager for sediment anriket med emamektin (inntil 4 μg/g), sammenlignet med kontrollen (Park 2013). Det ble derimot observert flere atferdsendringer som endret antenneflikking, evnen til å vaske antennene, generell bevegelse og klobevegelse hos individer eksponert for 1,4 og/eller 3,33 μg/g sammenlignet med kontroll (Park 2013). Eksponering i 14 dager med emamektin gitt i fôr gav ingen effekt på skallskifte, men rekene unngikk å spise både medisinerte og umedisinerte pellets (Park 2013). Veldhoen mfl. (2012) rapporterte at kortvarig eksponering for emamektin (0,1-4,8 μg/g sediment) ikke førte til endringer i skallskifte eller vekt hos California flekkreke (Pandalus platyceros) etter 8 dagers eksponering. Imidlertid ble det funnet endringer i mRNA mønsteret i halemuskelvevet. Tre av tolv analyserte transkripsjoner ble signifikant påvirket (60S ribosomalt protein L22, splicesom RNA-helicase WM6/UAP56 og histidintriade nukleotidbindende protein 1), noe som tyder på at translasjon/transkripsjonsregulering og apoptosis veier kan bli endret ved eksponering. Disse effektene ble observert ved konsentrasjoner ved 0,1 μg/g emamektin/g sediment, med tilsvarende vevskonsentrasjoner på 0,5 ng emamektin/g reke. Mengden av mRNA, som koder for enzymet ß-N-acetlyglukosaminidase, som er viktig for skallskifte, ble ikke påvirket, og rekene hadde normal vekst, utvikling og reproduksjon (Veldhoen mfl. 2012). Tucca mfl. (2014) undersøkte en rekke biokjemiske responser i tangloppe (Monocoropphium insidiosum) eksponert for 25-100 ng/g via anriket sediment i opptil 10 dager, og fant at etter to dager var det en signifikant induksjon av GST (glutation-S- transferase) og TBARS (thiobarbituric acid reactive substances) aktivitet hos individer eksponert for henholdsvis 50 og 100 μg/kg. Etter 10 dager var induksjonen av både GST og TBARS bare signifikant forskjellig fra kontrollene i 100 μg/kg behandlingsgruppen (Tucca mfl. 2014). Amerikansk hummeryngel (Homarus americanus) viste unormal atferd og gjennomgikk ikke skallskifte når de ble eksponert for sediment anriket med emamektin (Daoud mfl. 2018). 10- og 15-dagers EC50, basert på unormal atferd, var henholdsvis 636,6 og 96,2 μg/kg våtvekt, mens 15-dagers EC50 basert på sviktende skallskifte var 32,7  μg/kg våtvekt (Daoud mfl. 2018).

Det ble funnet en signifikant reduksjon i vekt hos grønn sandorm (Alitta [Nereis] virens) og atferdsendringer som f.eks. redusert graveaktivitet etter å ha blitt eksponert i 30-dager for emamektin anriket sediment (400 μg/kg tørrvekt) (McBriarty mfl. 2018). Et lignende 30-dagers eksperiment med California flekkreke (Pandalus platyceros) viste ingen signifikant effekt på skallskiftefrekvens (hvor ofte de skiftet skall) eller skallskiftesyklus (antall dager mellom hvert skallskifte)  (Park 2013). Skallskifte indeks var imidlertid signifikant høyere for reker som ble eksponert for de høyeste konsentrasjonene > 808 μg/kg, og en indikasjon på at de mest sannsynlig vil dø ved neste skallskifte. Det ble også funnet endring i atferd (evne til å finne mat og orienteringsatferd som i antenneflikking, antennestelling og bruk av de små klørne på gangføttene) hos dyr som var eksponert for sediment anriket med konsentrasjoner av emamektin på 808 til 3330 μg/kg  (Park 2013). Et annet 30-dagers eksperiment hvor yngel av Amerikansk hummer ble eksponert for sediment tilsatt emamektin ble det funnet redusert vekst (ryggskjoldlengde og vekt) i stadium IV for konsentrasjoner ≥ 34 μg/kg, lengre tid mellom skallskifte fra stadium V til stadium VI ved eksponering for 34 μg/kg, men ingen effekt mellom stadium IV og stadium V, selv ved en konsentrasjon på 343 μg/kg  (Daoud mfl. 2018). Eksponering i 28 dager for sediment tilsatt emamektin (10-1000 μg/kg tørrvekt) ga ingen signifikant effekt på veksthastigheten til fjæremark (Arenicola marina) eller vanlig hjerteskjell (Cerastoderma edule), men en konsentrasjon på 100 μg/kg tørrvekt gav effekt på veksthastigheten til tangloppe (Corophium volutator) og NOEC på 30 μg/kg tørrvekt  (Cheng mfl. 2020). Eksponering for sediment anriket med emamektin (2,0-200 μg/kg) over 30 dager gav ingen signifikante adferdsendringer for California flekkreke (Pandalus platyceros ) men det ble registrert en signifikant økning i lengden på reker eksponert for 20 μg/kg, men ikke ved høyere eller lavere doser (Barrett 2022). Eksponering for emamektin (2,0-400 μg/kg) i sediment over 30 dager gav ingen signifikant endring i vekt av børstemark (Neanthes virens), mens for adferdsendringer ble det satt en LOEC på 200 μg/kg  (Barrett 2022).

En rekke studier har sett på effekten av emamektin (tilsatt i fôret) på skallskifte hos Amerikansk hummer (Homarus americanus). Én dose emamektin (1 mg/kg kroppsvekt) medførte skallskifte hos eggbærende hummer og resulterte dermed i tap av egg (Waddy mfl. 2002). Eggbærende hummer gitt fôr tilsatt emamektin fra 50 til 390 μg/kg kroppsvekt (en dose) fremskyndet skallskifte for de høyeste dosene og resulterte i NOEC og LOEC verdier, på henholdsvis 120 og 220 μg/kg kroppsvekt (Waddy mfl. 2007). Gjentatte doseringer med emamektin, 8 doser med 60 μg/kg kroppsvekt eller 4 doser med 125 μg/kg kroppsvekt og 14 dager mellom hver dose, medførte at henholdsvis 87 og 89% av hummerne fremskyndet skallskifte (Waddy mfl. 2010). Til sammenligning var det 35% som fremskyndet skallskifte av de individene som fikk en dose på 500 μg/kg kroppsvekt eller to doser på 250 μg/kg kroppsvekt). I tillegg hadde hummerne i 8- og 4-doser gruppene problemer med selve skallskiftet noe som medførte at en betydelig andel døde.

Alger

Så vidt vi er kjent med, er det ingen offentlig tilgjengelig data om dødelige eller ikke-dødelige effekter av emamektin på alger etter langtidseksponering.

Endringer i samfunnsstruktur som følge av bruk av emamektin

I Skottland ble det i perioden september 1999 til august 2004 undersøkt mulige endringer i flora og fauna ved fire oppdrettslokaliteter som følge av bruk av flere lusemidler (før og etter), deriblant også emamektin (Scottish Association for Marine Science 2005). De fant ingen effekter på dyreplankton, hverken på artsnivå eller samfunnsnivå. Telfer mfl. (2006) undersøkte fauna før, under og opp til 1 år (september 1997 til september 1998) etter behandling med emamektin på et skotsk oppdrettsanlegg. De vanligste artene rundt anlegget var kongsnegl (Buccinum undatum), eremittkreps (Pagurus spp.), strandkrabbe (Carcinus maenas) og svømmekrabbe (Liocarcinus depurator). Alle disse artene er alt-spisende og kunne dermed teoretisk spise rester av fôr og fekalier fra oppdrettsanlegget. Hvilke arter som ble funnet og antallet av hver art varierte gjennom året, men det var det ingen signifikant forskjell mellom før- og etter-undersøkelsen. De høyeste restkonsentrasjonene ble funnet i kongsnegl (2,2-5 ng/g) en uke etter behandling og i eremittkreps (2,5 ng/g) en måned etter behandling. Det ble ikke funnet målbare restkonsentrasjoner i hverken krepsdyr eller skjell. Artsdiversiteten under anlegget var lavere sammenlignet med kontrollområdet like etter behandling, men etter 12 måneder var artsdiversiteten tilsvarende som før behandling (Telfer mfl. 2006). I undersøkelser gjort rundt åtte oppdrettsanlegg på Shetland mai-juni 2017 ble rester av emamektin funnet i 97% av sedimentprøvene  (Bloodworth mfl. 2019)  . Ved statistisk analyse av resultatene ble det konkludert med at tilstedeværelse av emamektin i sedimentet hadde effekt på bunnsamfunnet (mengde, diversitet og struktur) og at særlig bunnlevende krepsdyrarter var sårbare . Det er foreløpig ikke publisert norske studier som viser funn av endringer i artssammensetning eller endringer i en arts mengde som følge av eksponering for emamektin , men gitt at forbruket er så høyt bør dette gjennomføres.

 

1.6 - Totalt forbruk av avlusningsmidler 2022 for produksjonsområde O1-13

Antall forskrivninger var høyest i produksjonsområde 6 (17%) i 2022, men det var også høyt forbruk i produksjonsområde 3-4 og produksjonsområde 9-10 (52%) (figur 15). Totalt var ca. 46% av forskrivningene med emamektin og ca. 29% av forskrivningen med azametifos. Begge avlusningsmidlene ble brukt i tilnærmet alle produksjonsområdene. Imidakloprid ble brukt mye i produksjonsområde 6 og totalt 14% for alle produksjonsområdene. Deltametrin ble brukt i hovedsak i produksjonsområde 10-12 (samme som i 2021), områder hvor den sensitive arten E uropeisk hummer ikke har sin naturlige utbredelse. H ydrogenperoksid ble generelt lite brukt, men hovedsakelig i vinterhalvåret. Azametifos og emamektin er brukt gjennom hele året (figur 16). Flubenzuroner er lite brukt, men ble brukt i sommerhalvåret i produksjonsområde 3-4.

 

Figur 8.15. Antall forskrivninger (N=834) for avlusningsmidler i produksjonsområde 1-13 i 2022 (statistikk fra VetReg).
Figur 15. Antall forskrivninger (N=834) for avlusningsmidler i produksjonsområde 1-13 i 2022 (statistikk fra VetReg).

 

 

Figur 8.16. Antall forskrivninger i produksjonsområde 1-13 i sommer- og vinterhalvåret 2022 (statistikk fra VetReg).
Figur 16. Antall forskrivninger i produksjonsområde 1-13 i sommer- og vinterhalvåret 2022 (statistikk fra VetReg).

1.7 - Referanser

 Aaen, SM, Aunsmo, A og Horsberg, TE (2014). "Impact of hydrogen peroxide on hatching ability of egg strings from salmon lice (Lepeophtheirus salmonis) in a field treatment and in a laboratory study with ascending concentrations." Aquaculture 422-423: 167-171.

Abele-Oeschger, D, Sartoris, FJ og Pörtner, H-O (1997). "Hydrogen peroxide causes a decrease in aerobic metabolic rate and in intracellular pH in the shrimp Crangon crangon." Comparative Biochemistry and Physiology Part C: Pharmacology, Toxicology and Endocrinology 117(2): 123-129.

Abgrall, P, Rangeley, RW, Burridge, LE og Lawton, P (2000). "Sublethal effects of azamethiphos on shelter use by juvenile lobsters (Homarus americanus)." Aquaculture 181(1): 1-10.

Adochite, C og Andronic, L (2021). "Toxicity of a Binary Mixture of TiO2 and Imidacloprid Applied to Chlorella vulgaris." International Journal of Environmental Research and Public Health 18(15): 7785.

Agusti, C, Bravo, S, Contreras, G, Bakke, MJ, Helgesen, KO, Winkler, C, Silva, MT, Mendoza, J og Horsberg, TE (2016). "Sensitivity assessment of Caligus rogercresseyi to anti-louse chemicals in relation to treatment efficacy in Chilean salmonid farms." Aquaculture 458: 195-205.

Al-Badran, AA, Fujiwara, M og Mora, MA (2019). "Effects of insecticides, fipronil and imidacloprid, on the growth, survival, and behavior of brown shrimp Farfantepenaeus aztecus." PLoS One 14(10): e0223641.

Américo-Pinheiro, JHP, da Cruz, C, Aguiar, MM, Torres, NH, Ferreira, LFR og Machado-Neto, JG (2019). "Sublethal Effects of Imidacloprid in Hematological Parameters of Tilapia (Oreochromis niloticus)." Water, Air, & Soil Pollution 230(8): 193.

Andersen, PA og Hagen, L (2016). Fortynningsstudier-hydrogenperoksid. 156-8-16. Norway, Aqua Kompetanse A/S.

Ansoar-Rodríguez, Y, Christofoletti, CA, Marcato, AC, Correia, JE, Bueno, OC, Malaspina, O og Fontanetti, CS (2015). "Genotoxic Potential of the Insecticide Imidacloprid in a Non-Target Organism (Oreochromis niloticus-Pisces)." Journal of Environmental Protection 6: 1360-1367.

Arnberg, M, Refseth, GH, Allan, IJ, Benedetti, M, Regoli, F, Tassara, L, Sagerup, K, Drivdal, M, Nøst, OA, Evenset, A og Carlsson, P (2023). "Acute and Sublethal Effects of Deltamethrin Discharges from the Aquaculture Industry on Northern Shrimp (Pandalus borealis Krøyer, 1838): Dispersal Modeling and Field Investigations." Environmental Science & Technology 57(9): 3602-3611.

Bamber, S, Rundberget, JT, Kringstad, A og Bechmann, RK (2021). "Effects of simulated environmental discharges of the salmon lice pesticides deltamethrin and azamethiphos on the swimming behaviour and survival of adult Northern shrimp (Pandalus borealis)." Aquatic Toxicology 240: 105966.

Bannister, RJ, Johnsen, IA, Hansen, PK, Kutti, T og Asplin, L (2016). "Near- and far-field dispersal modelling of organic waste from Atlantic salmon aquaculture in fjord systems." ICES Journal of Marine Science 73(9): 2408-2419.

Barisic, J, Cannon, S og Quinn, B (2019). "Cumulative impact of anti-sea lice treatment (azamethiphos) on health status of Rainbow trout (Oncorhynchus mykiss, Walbaum 1792) in aquaculture." Scientific Reports 9(1): 16217.

Barrett, S (2022). Lethal and sublethal toxicity of the sea lice chemotherapeutants Salmosan®, Paramove® 50, ivermectin, and Slice® to Pacific marine benthic species. Master of Environmental Toxicology, Simon Fraser University.

Bechmann, RK, Arnberg, M, Bamber, S, Lyng, E, Westerlund, S, Rundberget, JT, Kringstad, A, Seear, PJ og Burridge, L (2020). "Effects of exposing shrimp larvae (Pandalus borealis) to aquaculture pesticides at field relevant concentrations, with and without food limitation." Aquatic Toxicology 222: 105453.

Bechmann, RK, Arnberg, M, Gomiero, A, Westerlund, S, Lyng, E, Berry, M, Agustsson, T, Jager, T og Burridge, LE (2019). "Gill damage and delayed mortality of Northern shrimp (Pandalus borealis) after short time exposure to anti-parasitic veterinary medicine containing hydrogen peroxide." Ecotoxicology and Environmental Safety 180: 473-482.

Bechmann, RK, Lyng, E, Berry, M, Kringstad, A og Westerlund, S (2017). "Exposing Northern shrimp (Pandalus borealis) to fish feed containing the antiparasitic drug diflubenzuron caused high mortality during molting." Journal of Toxicology and Environmental Health, Part A 80(16-18): 941-953.

Bechmann, RK, Lyng, E, Westerlund, S, Bamber, S, Berry, M, Arnberg, M, Kringstad, A, Calosi, P og Seear, PJ (2018). "Early life stages of Northern shrimp (Pandalus borealis) are sensitive to fish feed containing the anti-parasitic drug diflubenzuron." Aquatic Toxicology 198: 82-91.

Beketov, MA og Liess, M (2008). "Acute and delayed effects of the neonicotinoid insecticide thiacloprid on seven freshwater arthropods." Environmental Toxicology and Chemistry 27(2): 461-470.

Benskin, JP, Ikonomou, MG, Surridge, BD, Dubetz, C og Klaassen, E (2016). "Biodegradation potential of aquaculture chemotherapeutants in marine sediments." Aquaculture Research 47(2): 482-497.

Bernhard, A og Hannisdal, R (2021). Monitoring program for pharmaceuticals, illegal substances and contaminants in farmed fish. 1893-4536. Norway, Havforskningsinstituttet.

Bloodworth, JW, Baptie, MC, Preedy, KF og Best, J (2019). "Negative effects of the sea lice therapeutant emamectin benzoate at low concentrations on benthic communities around Scottish fish farms." Science of the Total Environment 669: 91-102.

Boelhouwers, EJ, Joustra, KD og Stegman, KH (1988). Hydrolysis of 14C labeled diflubenzuron in buffer solutions at pH 5, 7 and 9 56630/08/91. The Netherlands, Duphar International Research BV

Bonmatin, J-M, Noome, DA, Moreno, H, Mitchell, EAD, Glauser, G, Soumana, OS, Bijleveld van Lexmond, M og Sánchez-Bayo, F (2019). "A survey and risk assessment of neonicotinoids in water, soil and sediments of Belize." Environmental Pollution 249: 949-958.

Bonmatin, JM, Giorio, C, Girolami, V, Goulson, D, Kreutzweiser, DP, Krupke, C, Liess, M, Long, E, Marzaro, M, Mitchell, EAD, Noome, DA, Simon-Delso, N og Tapparo, A (2015). "Environmental fate and exposure; neonicotinoids and fipronil." Environmental Science and Pollution Research 22(1): 35-67.

Bowers, JM, Speare, DJ og Burka, JF (2002). "The effects of hydrogen peroxide on the stress response of Atlantic Salmon (Salmo salar)." Journal of Veterinary Pharmacology and Therapeutics 25(4): 311-313.

Bright, DA og Dionne, S (2005). Use of emamectin benzoate in the Canadian finfish aquaculture industry: a review of environmental fate and effects. Canada, Environment Canada.

Brokke, KE (2015). Mortality caused by de-licing agents on the non-target organisms chameleon shrimps (Pranus flexuosus) and grass prawn (Palaemon elegans) MSc, University of Bergen.

Brooks, SJ, Ruus, A, Rundberget, JT, Kringstad, A og Lillicrap, A (2019). "Bioaccumulation of selected veterinary medicinal products (VMPs) in the blue mussel (Mytilus edulis)." Science of the Total Environment 655: 1409-1419.

Bruno, DW og Raynard, RS (1994). "Studies on the use of hydrogen peroxide as a method for the control of sea lice on Atlantic salmon." Aquaculture International 2(1): 10-18.

Burridge, LE og Geest, JLV (2014). A review of potential environmental risks associated with the use of pesticides to treat Atlantic salmon against infestations of sea lice in Canada.

Burridge, LE, Haya, K og Waddy, SL (2005). "Seasonal lethality of the organophosphate pesticide, azamethiphos to female American lobster (Homarus americanus)." Ecotoxicology and Environmental Safety 60(3): 277-281.

Burridge, LE, Haya, K og Waddy, SL (2008). "The effect of repeated exposure to azamethiphos on survival and spawning in the American lobster (Homarus americanus)." Ecotoxicology and Environmental Safety 69(3): 411-415.

Burridge, LE, Haya, K, Waddy, SL og Wade, J (2000). "The lethality of anti-sea lice formulations Salmosan® (Azamethiphos) and Excis® (Cypermethrin) to stage IV and adult lobsters (Homarus americanus) during repeated short-term exposures." Aquaculture 182(1): 27-35.

Burridge, LE, Haya, K, Zitko, V og Waddy, S (1999). "The lethality of Salmosan (azamethiphos) to American lobster (Homarus americanus) larvae, postlarvae, and adults." Ecotoxicology and Environmental Safety 43(2): 165-169.

Burridge, LE, Lyons, MC, Wong, DKH, MacKeigan, K og VanGeest, JL (2014). "The acute lethality of three anti-sea lice formulations: AlphaMax®, Salmosan®, and Interox®Paramove™50 to lobster and shrimp." Aquaculture 420-421: 180-186.

Butcherine, P, Kelaher, BP og Benkendorff, K (2022). "Assessment of acetylcholinesterase, catalase, and glutathione S-transferase as biomarkers for imidacloprid exposure in penaeid shrimp." Aquatic Toxicology 242: 106050.

Butcherine, P, Kelaher, BP, Taylor, MD, Barkla, BJ og Benkendorff, K (2020). "Impact of imidacloprid on the nutritional quality of adult black tiger shrimp (Penaeus monodon)." Ecotoxicology and Environmental Safety 198: 110682.

Butcherine, P, Kelaher, BP, Taylor, MD, Lawson, C og Benkendorff, K (2021). "Acute toxicity, accumulation and sublethal effects of four neonicotinoids on juvenile Black Tiger Shrimp (Penaeus monodon)." Chemosphere 275: 129918.

Canadian Council of Ministers of the Environment (2007). Canadian water quality guidelines: imidacloprid. Scientific supporting document. Winnipeg, Canada,

Chalmers, L, Vera, LM, Taylor, JF, Adams, A og Migaud, H (2018). "Comparative ploidy response to experimental hydrogen peroxide exposure in Atlantic salmon (Salmo salar)." Fish & Shellfish Immunology 81: 354-367.

Chang, Y, Mao, L, Zhang, L, Zhang, Y og Jiang, H (2020). "Combined toxicity of imidacloprid, acetochlor, and tebuconazole to zebrafish (Danio rerio): acute toxicity and hepatotoxicity assessment." Environmental Science and Pollution Research 27(10): 10286-10295.

Chen, Y, Zhang, L, Hu, H, Wu, R, Ling, J, Yue, S, Yang, D, Yu, W, Du, W, Shen, G og Zhao, M (2022). "Neonicotinoid pollution in marine sediments of the East China Sea." Science of the Total Environment 842: 156658.

Cheng, B, Van Smeden, J, Deneer, J, Belgers, D, Foekema, E, Roessink, I, Matser, A og Van den Brink, PJ (2020). "The chronic toxicity of emamectin benzoate to three marine benthic species using microcosms." Ecotoxicology and Environmental Safety 194: 110452.

Christiansen, ME, Costlow, JD og Monroe, RJ (1978). "Effects of the insect growth regulator Dimilin® (TH 6040) on larval development of two estuarine crabs." Marine Biology 50(1): 29-36.

Christiansen, ME, Gosling, EM og Williams, MA (1984). "Effect of the insect growth regulator diflubenzuron (Dimilin®) on the uptake of glucose and N-acetylglucosamine into the cuticle of crab larvae." Marine Biology 83: 225-230.

Collén, J og Pedersen, M (1996). "Production, scavenging and toxicity of hydrogen peroxide in the green seaweed Ulva rigida." European Journal of Phycology 31(3): 265-271.

Colombo, V, Mohr, S, Berghahn, R og Pettigrove, VJ (2013). "Structural Changes in a Macrozoobenthos Assemblage After Imidacloprid Pulses in Aquatic Field-Based Microcosms." Archives of Environmental Contamination and Toxicology 65(4): 683-692.

Couillard, CM og Burridge, LE (2015). "Sublethal exposure to azamethiphos causes neurotoxicity, altered energy allocation and high mortality during simulated live transport in American lobster." Ecotoxicology and Environmental Safety 115: 291-299.

Crane, M, Gross, M, Maycock, D, Grant, A og Fossum, B (2011). "Environmental quality standards for a deltamethrin sea louse treatment in marine finfish aquaculture based on survival time analyses and species sensitivity distributions." Aquaculture Research 42: 68-72.

Crayton, SM, Wood, PB, Brown, DJ, Millikin, AR, McManus, TJ, Simpson, TJ, Ku, K-M og Park, Y-L (2020). "Bioaccumulation of the pesticide imidacloprid in stream organisms and sublethal effects on salamanders." Global Ecology and Conservation 24: e01292.

Cresci, A, Samuelsen, OB, Durif, CMF, Bjelland, RM, Skiftesvik, AB, Browman, HI og Agnalt, A-L (2018). "Exposure to teflubenzuron negatively impacts exploratory behavior, learning and activity of juvenile European lobster (Homarus gammarus)." Ecotoxicology and Environmental Safety 160: 216-221.

Crosby, EB, Bailey, JM, Oliveri, AN og Levin, ED (2015). "Neurobehavioral impairments caused by developmental imidacloprid exposure in zebrafish." Neurotoxicology and Teratology 49: 81-90.

Cunningham, PA og Myers, LE (1987). "Effects of diflubenzuron (Dimilin®) on survival, molting, and behavior of juvenile fiddler crabs, Uca pugilator." Archives of Environmental Contamination and Toxicology 16(6): 745-752.

Daam, MA, Santos Pereira, AC, Silva, E, Caetano, L og Cerejeira, MJ (2013). "Preliminary aquatic risk assessment of imidacloprid after application in an experimental rice plot." Ecotoxicology and Environmental Safety 97: 78-85.

Daoud, D, Battison, A, Lefort, N og Van Geest, JL (2016). "Repeated sublethal exposures to the sea lice pesticide Salmosan® (azamethiphos) on adult male lobsters (Homarus americanus) causes neuromuscular dysfunction, hypoxia, metabolic disturbances and mortality." Ecotoxicology and Environmental Safety 134: 106-115.

Daoud, D, Greenwood, SJ, de Jourdan, B, Asnicar, D og Taylor, LJ (2023). "Development, growth and metabolic effects in stage IV lobster (Homarus americanus) following chronic exposure to sediments spiked with commercial formulations of deltamethrin and permethrin." Frontiers in Physiology 14.

Daoud, D, McCarthy, A, Dubetz, C og Barker, DE (2018). "The effects of emamectin benzoate or ivermectin spiked sediment on juvenile American lobsters (Homarus americanus)." Ecotoxicology and Environmental Safety 163: 636-645.

de Jourdan, B, Benfey, T, Burridge, L, Surette, M, McCarthy, AF, Barría-Araya, AM og Daoud, D (2022). "Evaluating non-lethal and latent effects of the anti-sea lice pesticide azamethiphos on larvae and adults of the American lobster (Homarus americanus)." Aquaculture Research 53(17): 6355-6368.

Dondero, F, Negri, A, Boatti, L, Marsano, F, Mignone, F og Viarengo, A (2010). "Transcriptomic and proteomic effects of a neonicotinoid insecticide mixture in the marine mussel (Mytilus galloprovincialis, Lam.)." Science of the Total Environment 408(18): 3775-3786.

Drábková, M, Admiraal, W og Maršálek, B (2007). "Combined exposure to hydrogen peroxide and light selective effects on cyanobacteria, green algae, and diatoms." Environmental Science & Technology 41(1): 309-314.

Dummermuth, AL, Karsten, U, Fisch, KM, König, GM og Wiencke, C (2003). "Responses of marine macroalgae to hydrogen-peroxide stress." Journal of Experimental Marine Biology and Ecology 289(1): 103-121.

Egidius, E og Møster, B (1987). "Effect of Neguvon® and Nuvan® treatment on crabs (Cancer pagurus, C. maenas), lobster (Homarus gammarus) and blue mussel (Mytilus edulis)." Aquaculture 60(2): 165-168.

Ernst, W, Doe, K, Cook, A, Burridge, L, Lalonde, B, Jackman, P, Aubé, JG og Page, F (2014). "Dispersion and toxicity to non-target crustaceans of azamethiphos and deltamethrin after sea lice treatments on farmed salmon, Salmo salar." Aquaculture 424-425: 104-112.

Ernst, W, Jackman, P, Doe, K, Page, F, Julien, G, MacKay, K og Sutherland, T (2001). "Dispersion and toxicity to non-target aquatic organisms of pesticides used to treat sea lice on salmon in net pen enclosures." Marine Pollution Bulletin 42(6): 432-443.

Ervik, A, Thorsen, BK, Eriksen, VL, Lunestad, BT og Samuelsen, OB (1994). "Impact of administering antibacterial agents on wild fish and blue mussels Mytilus edulis in the vicinity of fish farms." Diseases of aquatic organisms 18: 45-51.

Escobar-Lux, RH, Fields, DM, Browman, HI, Shema, SD, Bjelland, RM, Agnalt, A-L, Skiftesvik, AB, Samuelsen, OB og Durif, CMF (2019). "The effects of hydrogen peroxide on mortality, escape response, and oxygen consumption of Calanus spp." FACETS 4(1): 626-637.

Escobar-Lux, RH, Parsons, AE, Samuelsen, OB og Agnalt, A-L (2020). "Short-term exposure to hydrogen peroxide induces mortality and alters exploratory behaviour of European lobster (Homarus gammarus)." Ecotoxicology and Environmental Safety 204: 111111.

Escobar-Lux, RH og Samuelsen, OB (2020). "The acute and delayed mortality of the Northern krill (Meganyctiphanes norvegica) when exposed to hydrogen peroxide." Bulletin of Environmental Contamination and Toxicology.

European Chemical Agency (2018). CLH report: Proposal for Harmonised Classification and Labelling Based on Regulation (EC) No 1272/2008 (CLP Regulation), Annex VI, Part 2. International Chemical Identification for Azamethiphos. 252-626-0. United Kingdom,

European Commission (1996). Council Directive 96/23/EC of 29 April 1996 on measures to monitor certain substances and residues thereof in live animals and animal products and repealing Directives 85/358/EEC and 86/469/EEC and Decisions 89/187/EEC and 91/664/EEC.

European Commission (2009). Commission Regulation (EU) No. 37/2010 on pharmacologically active substances and their classification regarding maximum residue limits in foodstuffs of animal origin.

European Medicines Agency (1999a). Committee for Veterinary Medicinal Products. Diflubenzuron. Summary report (2). EMEA/MRL/621/99-FINAL EMEA. London, UK, European Medicines Evaulation Agency.

European Medicines Agency (1999b). Committee for Veterinary Medicinal Products. Teflubenzuron. Summary report (2). EMEA/MRL/547/99-FINAL EMEA. London, UK, European Medicines Evaluation Agency,.

Ewere, EE, Powell, D, Rudd, D, Reichelt-Brushett, A, Mouatt, P, Voelcker, NH og Benkendorff, K (2019a). "Uptake, depuration and sublethal effects of the neonicotinoid, imidacloprid, exposure in Sydney rock oysters." Chemosphere 230: 1-13.

Ewere, EE, Reichelt-Brushett, A og Benkendorff, K (2019b). "Imidacloprid and formulated product impacts the fatty acids and enzymatic activities in tissues of Sydney rock oysters, Saccostrea glomerata." Marine Environmental Research 151: 104765.

Fagereng, M og Haavik, S (2015). Monitoring of hydrogen peroxide in surrounding seawater after treatment of farmed fish in net pen. Preliminary report of field experiments in October 2015. Norway, University of Bergen.

Fagereng, MB (2016). Bruk av hydrogenperoksid i oppdrettsanlegg; fortynningstudier og effekter på blomsterreke (Pandalus montagui) [Use of hydrogen peroxide on fish farms; dilution studies and effects on pink shrimp (Pandalus montagui)]. MSc, University of Bergen.

Fairchild, WL, Doe, KD, Jackman, PM, Arsenault, JT, Aube, JG, Losier, M og Cook, AM (2010). Acute and chronic toxicity of two formulations of the pyrethroid pesticide deltamethrin to an amphipod, sand shrimp and lobster larvae.

Fang, J, Samuelsen, OB, Strand, Ø, Hansen, PK og Jansen, H (2020). "The effects of teflubenzuron on mortality, physiology and accumulation in Capitella sp." Ecotoxicology and Environmental Safety 203: 111029.

Fang, J, Samuelsen, OB, Strand, Ø og Jansen, H (2018). "Acute toxic effects of hydrogen peroxide, used for salmon lice treatment, on the survival of polychaetes Capitella sp. and Ophryotrocha spp." Aquaculture Environment Interactions 10: 363-368.

Felleskatalogen (2021). Ectosan Vet. https://www.felleskatalogen.no/medisin-vet/ectosan-vet-benchmark-animal-health-699283

Felsot, AS og Ruppert, JR (2002). "Imidacloprid Residues in Willapa Bay (Washington State) Water and Sediment Following Application for Control of Burrowing Shrimp." Journal of Agricultural and Food Chemistry 50(15): 4417-4423.

Fisher, G, Shultz, L og Kelly, M (2016). "Joint action effects of emamectin benzoate and cypermethrin on the marine copepod Tigriopus californicus." Ursidae: The Undergraduate Research Journal at the University of Northern Colorado 5(3).

Florence, TM og Stauber, JL (1986). "Toxicity of copper complexes to the marine diatom Nitzschia closterium." Aquatic Toxicology 8(1): 11-26.

Flores, F, Kaserzon, S, Elisei, G, Ricardo, G og Negri, AP (2020). "Toxicity thresholds of three insecticides and two fungicides to larvae of the coral Acropora tenuis." PeerJ 8: e9615.

Folkehelseinstituttet (2024). Bruk av legemidler i fiskeoppdrett i 2023 - FHI www.fhi.no

Forum, SAR (2016). Towards Understanding of the Environmental Impact of aSea Lice Medicine – the PAMP Suite. Scotland, United Kingdom,

Frantzen, M, Bytingsvik, J, Tassara, L, Reinardy, HC, Refseth, GH, Watts, EJ og Evenset, A (2020). "Effects of the sea lice bath treatment pharmaceuticals hydrogen peroxide, azamethiphos and deltamethrin on egg-carrying shrimp (Pandalus borealis)." Marine Environmental Research 159: 105007.

Frew, JA og Grue, CE (2012). "Development of a new method for the determination of residues of the neonicotinoid insecticide imidacloprid in juvenile chinook (Oncorhynchus tshawytscha) using ELISA detection." Journal of Environmental Monitoring 14(3): 1024-1034.

Fu, Z, Han, F, Huang, K, Zhang, J, Qin, JG, Chen, L og Li, E (2022). "Impact of imidacloprid exposure on the biochemical responses, transcriptome, gut microbiota and growth performance of the Pacific white shrimp Litopenaeus vannamei." Journal of Hazardous Materials 424: 127513.

Furtado, PS, Serra, FP, Poersch, LH og Wasielesky, W (2014). "Short communication: Acute toxicity of hydrogen peroxide in juvenile white shrimp Litopenaeus vannamei reared in biofloc technology systems." Aquaculture International 22(2): 653-659.

Garcés, DV, Fuentes, ME og Quiñones, RA (2020). "Effect of Azamethiphos on enzymatic activity and metabolic fingerprints of marine microbial communities from the water column." Aquaculture 529: 735650.

Gebauer, P, Paschke, K, Vera, C, Toro, JE, Pardo, M og Urbina, M (2017). "Lethal and sub-lethal effects of commonly used anti-sea lice formulations on non-target crab Metacarcinus edwardsii larvae." Chemosphere 185: 1019-1029.

Giorio, C, Safer, A, Sánchez-Bayo, F, Tapparo, A, Lentola, A, Girolami, V, van Lexmond, MB og Bonmatin, J-M (2021). "An update of the Worldwide Integrated Assessment (WIA) on systemic insecticides. Part 1: new molecules, metabolism, fate, and transport." Environmental Science and Pollution Research 28(10): 11716-11748.

Gonzalez-Rey, M, Tapie, N, Le Menach, K, Dévier, M-H, Budzinski, H og Bebianno, MJ (2015). "Occurrence of pharmaceutical compounds and pesticides in aquatic systems." Marine Pollution Bulletin 96(1): 384-400.

Graham, JE (2012). The determination of emamectin benzoate and its fate in the environment as a result of fish farming. PhD, The University of Aberdeen.

Grefsrud, ES, Andersen, LB, Grøsvik, BE, Hansen, PK, Husa, V, Karlsen, Ø, Madhun, AS, Samuelsen, O, Sandlund, N, Solberg, MF, Stien, LH og Svåsand, T (2024). Risikorapport norsk fiskeoppdrett 2024- Produksjonsdødelighet hos oppdrettsfisk og miljøeffekter av norsk fiskeoppdrett. 2024-4. Norway, Havforskningsinstitittet.

Grøsvik, E og Andersen, R (1997). Investigation of environmental effects in the field. Unpublished report submitted to Apharma, Norway by Rogaland Research.

Guardiola, FA, Gónzalez-Párraga, P, Meseguer, J, Cuesta, A og Esteban, MA (2014). "Modulatory effects of deltamethrin-exposure on the immune status, metabolism and oxidative stress in gilthead seabream (Sparus aurata L.)." Fish & Shellfish Immunology 36(1): 120-129.

Guzsvány, V, Csanádi, J og Gaál, F (2006). "NMR study of the influence of pH on the persistence of some neonicotinoids in water." Acta chimica slovenica 53(1): 52.

Hamoutene, D, Gagnon, M, Davies, J, Le, A, Black, M, Blais, DR og Kingsbury, M (2023a). "Metabolization of emamectin benzoate into desmethyl emamectin benzoate in spiked marine sediments." Chemosphere 313: 137635.

Hamoutene, D, Kingsbury, M, Davies, J, Le, A, Blais, DR og Gagnon, M (2023b). "The persistence of emamectin benzoate in marine sediments with different organic matter regimes, temperature conditions, and antibiotic presence." Marine Pollution Bulletin 197: 115714.

Hamoutene, D og Salvo, F (2020). "Biodegradation of some aquaculture chemotherapeutants weathered in flocculent samples collected at hard-bottom sites in Newfoundland (Canada)." Marine Chemistry 224: 103811.

Hamoutene, D, Salvo, F, Egli, SN, Modir-Rousta, A, Knight, R, Perry, G, Bottaro, CS og Dufour, SC (2018). "Measurement of Aquaculture Chemotherapeutants in Flocculent Matter Collected at a Hard-Bottom Dominated Finfish Site on the South Coast of Newfoundland (Canada) After 2 Years of Fallow." Frontiers in Marine Science 5(228).

Hano, T, Ito, K, Ohkubo, N, Sakaji, H, Watanabe, A, Takashima, K, Sato, T, Sugaya, T, Matsuki, K, Onduka, T, Ito, M, Somiya, R og Mochida, K (2019). "Occurrence of neonicotinoids and fipronil in estuaries and their potential risks to aquatic invertebrates." Environmental Pollution 252: 205-215.

Hano, T, Ohkubo, N, Ito, M, Onduka, T, Ito, K og Sakaji, H (2017). "Comparative toxicity of seven neonicotinoid insecticides and their two metabolites to juveniles of the marine crustacean kuruma prawn (<i>Marsupenaeus japonicas</i>)." 環境毒性学会誌 20(1): 35-48.

Hansen, BH, Hallmann, A, Altin, D, Jenssen, BM og Ciesielski, TM (2017). "Acute hydrogen peroxide (H2O2) exposure does not cause oxidative stress in late-copepodite stage of Calanus finmarchicus." Journal of Toxicology and Environmental Health, Part A 80(16-18): 820-829.

Haque, MN og Kwon, S-H (2016). "Physiological effects of biocide on marine bivalve blue mussels in context prevent macrofouling." Journal of Ecology and Environment 40(1): 16.

Haugland, BT, Rastrick, SPS, Agnalt, AL, Husa, V, Kutti, T og Samuelsen, OB (2019). "Mortality and reduced photosynthetic performance in sugar kelp Saccharina latissima caused by the salmon-lice therapeutant hydrogen peroxide." Aquaculture Environment Interactions 11: 1-17.

He, X, Han, M, Zhan, W, Liu, F, Guo, D, Zhang, Y, Liang, X, Wang, Y og Lou, B (2022). "Mixture effects of imidacloprid and difenconazole on enzymatic activity and gene expression in small yellow croakers (Larimichthys polyactis)." Chemosphere 306: 135551.

Hektoen, H (1995). Miljøvirkninger av havbruk. 82-12-00558-5. Norge, Norges Forskningsråd.

Helgesen, KO og Horsberg, TE (2013). "Single-dose field bioassay for sensitivity testing in sea lice, Lepeophtheirus salmonis: development of a rapid diagnostic tool." Journal of Fish Diseases 36(3): 261-272.

Hong, X, Zhao, X, Tian, X, Li, J og Zha, J (2018a). "Changes of hematological and biochemical parameters revealed genotoxicity and immunotoxicity of neonicotinoids on Chinese rare minnows (Gobiocypris rarus)." Environmental Pollution 233: 862-871.

Hong, Y, Yang, X, Huang, Y, Yan, G og Cheng, Y (2018b). "Oxidative stress and genotoxic effect of deltamethrin exposure on the Chinese mitten crab, Eriocheir sinensis." Comparative Biochemistry and Physiology Part C: Toxicology & Pharmacology 212: 25-33.

Hook, SE, Doan, H, Gonzago, D, Musson, D, Du, J, Kookana, R, Sellars, MJ og Kumar, A (2018). "The impacts of modern-use pesticides on shrimp aquaculture: An assessment for north eastern Australia." Ecotoxicology and Environmental Safety 148: 770-780.

Huang, Y, Hong, Y, Yin, H, Yan, G, Huang, Q, Li, Z og Huang, Z (2021). "Imidacloprid induces locomotion impairment of the freshwater crayfish, Procambarus clarkii via neurotoxicity and oxidative stress in digestive system." Aquatic Toxicology 238: 105913.

Hunter, R og Fraser, N (1995). "Field monitoring of the effects of cypermethrin as GPRD01." Report of Grampian Pharmaceuticals Limited, Research Division. Ref GP95033.

Hwang, BO, Kim, YK og Nam, YK (2016). "Effect of hydrogen peroxide exposures on mucous cells and lysozymes of gill tissues of olive flounder Paralichthys olivaeceus." Aquaculture Research 47(2): 433-444.

Intorre, L, Soldani, G, Cognetti-Varriale, AM, Monni, G, Meucci, V og Pretti, C (2004). "Safety of azamethiphos in eel, seabass and trout." Pharmacological Research 49(2): 171-176.

Islam, MA, Hossen, MS, Sumon, KA og Rahman, MM (2019). "Acute Toxicity of Imidacloprid on the Developmental Stages of Common Carp Cyprinus carpio." Toxicology and Environmental Health Sciences 11(3): 244-251.

Iturburu, FG, Simoniello, MF, Medici, S, Panzeri, AM og Menone, ML (2018). "Imidacloprid Causes DNA Damage in Fish: Clastogenesis as a Mechanism of Genotoxicity." Bulletin of Environmental Contamination and Toxicology 100(6): 760-764.

Iturburu, FG, Zömisch, M, Panzeri, AM, Crupkin, AC, Contardo-Jara, V, Pflugmacher, S og Menone, ML (2017). "Uptake, distribution in different tissues, and genotoxicity of imidacloprid in the freshwater fish Australoheros facetus." Environmental Toxicology and Chemistry 36(3): 699-708.

Ivie, GW, Bull, DL og Veech, JA (1980). "Fate of diflubenzuron in water." Journal of Agricultural and Food Chemistry 28(2): 330-337.

Jacova, R og Kennedy, C (2022). "Avermectin Toxicity to Benthic Invertebrates is Modified by Sediment Organic Carbon and Chemical Residence Time." Environmental Toxicology and Chemistry 41(8): 1918-1936.

Jeschke, P, Nauen, R, Schindler, M og Elbert, A (2011). "Overview of the status and global strategy for neonicotinoids." Journal of Agricultural and Food Chemistry 59(7): 2897-2908.

Johnson, S, Constible, J og Richard, J (1993). "Laboratory investigations on the efficacy of hydrogen peroxide against the salmon louse Lepeophtheirus salmonis and its toxicological and histopathological effects on Atlantic salmon Salmo salar and chinook salmon Oncorhynchus tshawytscha." Diseases of aquatic organisms 17(3): 197-204.

Kanda, T, Murata, H og Kuroki, A (1989). "Toxicity of removal agents of red tide plankton to the fishes with special reference to the toxicity of hydrogen peroxide, iron sulfate (II) and iron chloride (III)." Aquaculture Science 37(3): 221-224.

Keen, J (2020). The effects of the anti-sea lice chemotherapeutants Salmosan® and Interox® Paramove® 30 on marine zooplankton. MSc, Simon Fraser University.

Key, P, Chung, K, Siewicki, T og Fulton, M (2007). "Toxicity of three pesticides individually and in mixture to larval grass shrimp (Palaemonetes pugio)." Ecotoxicology and Environmental Safety 68(2): 272-277.

Kiemer, MCB og Black, KD (1997). "The effects of hydrogen peroxide on the gill tissues of Atlantic salmon, Salmo solar L." Aquaculture 153(3): 181-189.

Kim-Kang, H, Bova, A, Crouch, LS, Wislocki, PG, Robinson, RA og Wu, J (2004). "Tissue Distribution, Metabolism, and Residue Depletion Study in Atlantic Salmon Following Oral Administration of [3H]Emamectin Benzoate." Journal of Agricultural and Food Chemistry 52(7): 2108-2118.

Knight, B, Boyle, J og McHenery, J (1997). Hydrogen peroxide as Paramove - marine alga, growth inhibition test (72 h, EC50). 10913. Scotland UK, Inveresk Research.

Knysh, KM, Courtenay, SC, Grove, CM og van den Heuvel, MR (2021). "The Differential Effects of Salinity Level on Chlorpyrifos and Imidacloprid Toxicity to an Estuarine Amphipod." Bulletin of Environmental Contamination and Toxicology 106(5): 753-758.

Kreuger, J, Graaf, S, Patring, J og Adielsson, S (2010). "Pesticides in surface water in areas with open ground and greenhouse horticultural crops in Sweden 2008."

Kreutzweiser, D, Good, K, Chartrand, D, Scarr, T og Thompson, D (2007). "Non-target effects on aquatic decomposer organisms of imidacloprid as a systemic insecticide to control emerald ash borer in riparian trees." Ecotoxicology and Environmental Safety 68(3): 315-325.

Krohn, J og Hellpointner, E (2002). Environmental fate of imidacloprid. Pflanzenschutz Nachrichten Bayer. Volume 55, Special Edition. .

Kuchovská, E, Morin, B, López-Cabeza, R, Barré, M, Gouffier, C, Bláhová, L, Cachot, J, Bláha, L og Gonzalez, P (2021). "Comparison of imidacloprid, propiconazole, and nanopropiconazole effects on the development, behavior, and gene expression biomarkers of the Pacific oyster (Magallana gigas)." Science of the Total Environment 764: 142921.

Kungolos, A, Emmanouil, C, Tsiridis, V og Tsiropoulos, N (2009). "Evaluation of toxic and interactive toxic effects of three agrochemicals and copper using a battery of microbiotests." Science of the Total Environment 407(16): 4610-4615.

Kuo, JN, Buday, C, van Aggelen, G, Ikonomou, MG og Pasternak, J (2010). "Acute toxicity of emamectin benzoate and its desmethyl metabolite to Eohaustorius estuarius." Environmental Toxicology Chemistry 29(8): 1816-1820.

Laicher, D, Benkendorff, K, White, S, Conrad, S, Woodrow, RL, Butcherine, P og Sanders, CJ (2022). "Pesticide occurrence in an agriculturally intensive and ecologically important coastal aquatic system in Australia." Marine Pollution Bulletin 180: 113675.

Lalonde, B og Garron, C (2020). "Temporal and Spatial Analysis of Surface Water Pesticide Occurrences in the Maritime Region of Canada." Archives of Environmental Contamination and Toxicology 79(1): 12-22.

Langford, K, Bæk, K, Kringstad, A, Rundberget, T, Øxnevad, S og Thomas, KV (2015). Screening of the sea lice medications azamethiphos, deltamethrin and cypermethrin. Norway, Norsk Institutt for Vannforskning (NIVA).

Langford, KH, Øxnevad, S, Schøyen, M og Thomas, KV (2011). Environmental screening of veterinary medicines used in aquaculture – diflubenzuron and teflubenzuron. 1086-2011. Norwegian Climate and Pollution Agency (Klif).

Langford, KH, Øxnevad, S, Schøyen, M og Thomas, KV (2014). "Do antiparasitic medicines used in aquaculture pose a risk to the Norwegian aquatic environment?" Environmental Science & Technology 48(14): 7774-7780.

Legrand, E, Parsons, AE, Escobar-Lux, RH, Freytet, F, Agnalt, A-L, Samuelsen, OB og Husa, V (2022). "Effect of sea lice chemotherapeutant hydrogen peroxide on the photosynthetic characteristics and bleaching of the coralline alga Lithothamnion soriferum." Aquatic Toxicology 247: 106173.

Lintott, DR (1992). NTN 33893 (240 FS formulation): acute toxicity to the mysid, Mysidopsis bahia, under flow-through conditions. Toxicon Environmental Sciences, Jupiter, Florida (performing laboratory). Miles Incorporated, Kansas City, Missouri submitting company). 43 pp. Miles Report No. 103845.,

Lyons, MC, Wong, DKH og Page, FH (2014). Degradation of hydrogen peroxide in seawater using the anti-sea louse formulation Interox Paramove50.

Mabury, SA og Crosby, DG (1996). "Fate and disposition of diflubenzuron in rice fields." Environmental Toxicology and Chemistry 15: 1908-1913.

Macaulay, SJ, Hageman, KJ, Piggott, JJ, Juvigny-Khenafou, NPD og Matthaei, CD (2021). "Warming and imidacloprid pulses determine macroinvertebrate community dynamics in experimental streams." Global Change Biology 27(21): 5469-5490.

Macken, A, Lillicrap, A og Langford, K (2015). "Benzoylurea pesticides used as veterinary medicines in aquaculture: Risks and developmental effects on nontarget crustaceans." Environmental Toxicology and Chemistry 34(7): 1533-1542.

Maguire, RJ, Carey, JH, Hart, JH, Tkacz, RJ og Lee, HB (1989). "Persistence and fate of deltamethrin sprayed on a pond." Journal of Agricultural and Food Chemistry 37(4): 1153-1159.

Malev, O, Klobučar, RS, Fabbretti, E og Trebše, P (2012). "Comparative toxicity of imidacloprid and its transformation product 6-chloronicotinic acid to non-target aquatic organisms: Microalgae Desmodesmus subspicatus and amphipod Gammarus fossarum." Pesticide Biochemistry and Physiology 104(3): 178-186.

Mansour, AT, Espinosa, C, García-Beltrán, JM, Miao, L, Ceballos Francisco, DC, Alsaqufi, AS og Esteban, MÁ (2020). "Dietary supplementation of drumstick tree, Moringa oleifera, improves mucosal immune response in skin and gills of seabream, Sparus aurata, and attenuates the effect of hydrogen peroxide exposure." Fish Physiology and Biochemistry 46(3): 981-996.

Marques, A, Custódio, M, Guilherme, S, Gaivão, I, Santos, MA og Pacheco, M (2014). "Assessment of chromosomal damage induced by a deltamethrin-based insecticide in fish (Anguilla anguilla L.) – A follow-up study upon exposure and post-exposure periods." Pesticide Biochemistry and Physiology 113: 40-46.

Marsella, AM, Jaskolka, M og Mabury, SA (2000). "Aqueous solubilities, photolysis rates and partition coefficients of benzoylphenylurea insecticides." Pest Management Science 56(9): 789-794.

Matthews, RS (1995). "Artemia salina as a test organism for measuring superoxide-mediated toxicity." Free Radical Biology and Medicine 18(5): 919-922.

Mayor, DJ, Solan, M, Martinez, I, Murray, L, McMillan, H, Paton, GI og Killham, K (2008). "Acute toxicity of some treatments commonly used by the salmonid aquaculture industry to Corophium volutator and Hediste diversicolor: Whole sediment bioassay tests." Aquaculture 285(1): 102-108.

McBriarty, GJ, Kidd, KA og Burridge, LE (2018). "Short-Term Effects of the Anti-sea Lice Therapeutant Emamectin Benzoate on Clam Worms (Nereis virens)." Archives of Environmental Contamination and Toxicology 74(4): 539-545.

McLuckie, C, Moltschaniwskyj, N, Gaston, T, Dunstan, RH, Crompton, M, Butcherine, P, Benkendorff, K og Taylor, MD (2020). "Lethal and sub-lethal effects of environmentally relevant levels of imidacloprid pesticide to Eastern School Prawn, Metapenaeus macleayi." Science of the Total Environment 742: 140449.

Méndez, N (2005). "Effects of teflubenzuron on larvae and juveniles of the polychaete Capitella SP. B from Barcelona, Spain." Water, Air, and Soil Pollution 160(1): 259-269.

Méndez, N (2006). "Effects of teflubenzuron on sediment processing by members of the Capitella species-complex." Environmental Pollution 139(1): 118-124.

Merga, LB og Van den Brink, PJ (2021). "Ecological effects of imidacloprid on a tropical freshwater ecosystem and subsequent recovery dynamics." Science of the Total Environment 784: 147167.

Mill, K og Kennedy, CJ (2021). "Lethal and sublethal effects of the anti-sea lice formulation Salmosan® on the Pacific spot prawn (Pandalus platyceros)." Journal of the World Aquaculture Society 52(6): 1243-1258.

Mill, K, Sahota, C, Hayek, K og Kennedy, CJ (2022). "Effects of sea louse chemotherapeutants on early life stages of the spot prawn (Pandalus platyceros)." Aquaculture Research 53(1): 109-124.

Moeris, S, Vanryckeghem, F, Demeestere, K og De Schamphelaere, KAC (2021). "Neonicotinoid Insecticides from a Marine Perspective: Acute and Chronic Copepod Testing and Derivation of Environmental Quality Standards." Environmental Toxicology and Chemistry 40(5): 1353-1367.

Moncaleano-Niño, AM, Luna-Acosta, A, Gómez-Cubillos, MC, Villamil, L og Ahrens, MJ (2018). "Cholinesterase activity in the cup oyster Saccostrea sp. exposed to chlorpyrifos, imidacloprid, cadmium and copper." Ecotoxicology and Environmental Safety 151: 242-254.

Montory, JA, Cubillos, VM, Lee, MR, Chaparro, OR, Gebauer, P, Cumillaf, JP og Cruces, E (2023). "The interactive effect of anti-sea lice pesticide azamethiphos and temperature on the physiological performance of the filter-feeding bivalve Ostrea chilensis: A non-target species." Marine Environmental Research 183: 105837.

Morrissey, CA, Mineau, P, Devries, JH, Sanchez-Bayo, F, Liess, M, Cavallaro, MC og Liber, K (2015). "Neonicotinoid contamination of global surface waters and associated risk to aquatic invertebrates: A review." Environment International 74: 291-303.

Mužinić, V og Želježić, D (2018). "Non-target toxicity of novel insecticides." Archives of Industrial Hygiene and Toxicology 69(2): 86-102.

Naumann, T, Bento, CPM, Wittmann, A, Gandrass, J, Tang, J, Zhen, X, Liu, L og Ebinghaus, R (2022). "Occurrence and ecological risk assessment of neonicotinoids and related insecticides in the Bohai Sea and its surrounding rivers, China." Water Research 209: 117912.

NORM/NORM-VET (2020). Usage of Antimicrobial Agents and Occurrence of Antimicrobial Resistance in Norway. 1502-2307. Tromsø / Oslo, Norway,

Norsk institutt for vannforskning (1998). Environmental safety evaluation for the use of Lepsidon® vet 0.6g/kg “EWOS” against developing stages of sea lice on fish in aquaculture. Expert report, environmental safety. 3877-98. Norway,

Núñez-Acuña, G, Fernandez, C, Sanhueza-Guevara, S og Gallardo-Escárate, C (2022). "Transcriptome profiling of the early developmental stages in the giant mussel Choromytilus chorus exposed to delousing drugs." Mar Genomics 65: 100970.

Olsvik, PA, Aulin, M, Samuelsen, OB, Hannisdal, R, Agnalt, A-L og Lunestad, BT (2019). "Whole-animal accumulation, oxidative stress, transcriptomic and metabolomic responses in the pink shrimp (Pandalus montagui) exposed to teflubenzuron." Journal of Applied Toxicology 39(3): 485-497.

Olsvik, PA, Lie, KK, Mykkeltvedt, E, Samuelsen, OB, Petersen, K, Stavrum, A-K og Lunestad, BT (2008). "Pharmacokinetics and transcriptional effects of the anti-salmon lice drug emamectin benzoate in Atlantic salmon (Salmo salar L.)." BMC Pharmacology 8(1): 16.

Olsvik, PA, Lunestad, BT, Agnalt, A-L og Samuelsen, OB (2017). "Impact of teflubenzuron on the rockpool shrimp (Palaemon elegans)." Comparative Biochemistry and Physiology Part C: Toxicology & Pharmacology 201: 35-43.

Olsvik, PA, Samuelsen, OB, Agnalt, A-L og Lunestad, BT (2015). "Transcriptional responses to teflubenzuron exposure in European lobster (Homarus gammarus)." Aquatic Toxicology 167: 143-156.

Olsvik, PA, Samuelsen, OB, Erdal, A, Holmelid, B og Lunestad, BT (2013). "Toxicological assessment of the anti-salmon lice drug diflubenzuron on Atlantic cod Gadus morhua." Dis Aquat Organ 105(1): 27-43.

Osterberg, JS, Darnell, KM, Blickley, TM, Romano, JA og Rittschof, D (2012). "Acute toxicity and sub-lethal effects of common pesticides in post-larval and juvenile blue crabs, Callinectes sapidus." Journal of Experimental Marine Biology and Ecology 424-425: 5-14.

Overton, K, Samsing, F, Oppedal, F, Stien, LH og Dempster, T (2018). "Lowering treatment temperature reduces salmon mortality: a new way to treat with hydrogen peroxide in aquaculture." Pest Management Science 74(3): 535-540.

Pahl, BC og Opitz, HM (1999). "The effects of cypermethrin (Excis) and azamethiphos (Salmosan) on lobster Homarus americanus H. Milne Edwards larvae in a laboratory study." Aquaculture Research 30(9): 655-665.

Park, A (2013). The biological effects of emamectin benzoate (SLICE®) on spot prawn (Pandalus platyceros) MSc, University of Victoria.

Parsons, AE, Escobar-Lux, RH, Sævik, PN, Samuelsen, OB og Agnalt, A-L (2020). "The impact of anti-sea lice pesticides, azamethiphos and deltamethrin, on European lobster (Homarus gammarus) larvae in the Norwegian marine environment." Environmental Pollution 264: 114725.

Parsons, AE, Samuelsen, OB, Johnsen, IA, Hannisdal, R, Tjensvoll, T og Husa, V (2021). "Distribution and persistence of diflubenzuron and teflubenzuron in the marine environment around salmonid aquaculture Facilities." Frontiers in Marine Science 8.

Pereira, AS, José Cerejeira, M og Daam, MA (2017). "Ecological risk assessment of imidacloprid applied to experimental rice fields: Accurateness of the RICEWQ model and effects on ecosystem structure." Ecotoxicology and Environmental Safety 142: 431-440.

Picone, M, Distefano, GG, Marchetto, D, Russo, M, Baccichet, M, Zangrando, R, Gambaro, A og Volpi Ghirardini, A (2022). "Inhibition of Larval Development of Marine Copepods Acartia tonsa by Neonicotinoids." Toxics 10(4): 158.

Poppe, T og Berg, Ø (1999). Fiskehelse og Fiskesykdommer. Norway, Universitetsforlaget.

Rebach, S og French, DP (1996). "Effects of Dimilin on the Blue Crab, Callinectes sapidus, in Shallow-Water Habitats." Estuaries 19(2): 279-287.

Refseth, GH, Nøst, OA, Evenset, A, Tassara, L, Espenes, H, Drivdal, M, Augustin, S, Samuelsen, OB og Agnalt, A-L (2019). Assessment of environmental risk when using hydrogen peroxide in aquaculture - Ecotoxicological tests and modelling, SSD curve, dispersion modeling and proposals for risk reduction measures. 8948-1. Norway, Akvaplan niva AS.

Refseth, GH, Sæther, K, Drivdal, M, Nøst, OA, Augustine, S, Camus, L, Tassara, L, Agnalt, A-L og Samuelsen, OB (2016). Miljørisiko ved bruk av hydrogenperoksid. Økotoksikologisk vurdering og grenseverdi for effekt. 8200. Norway, Akvaplan niva AS.

Rico, A, Arenas-Sánchez, A, Pasqualini, J, García-Astillero, A, Cherta, L, Nozal, L og Vighi, M (2018). "Effects of imidacloprid and a neonicotinoid mixture on aquatic invertebrate communities under Mediterranean conditions." Aquatic Toxicology 204: 130-143.

Rico, A, Vighi, M, Van den Brink, PJ, ter Horst, M, Macken, A, Lillicrap, A, Falconer, L og Telfer, TC (2019). "Use of models for the environmental risk assessment of veterinary medicines in European aquaculture: current situation and future perspectives." Reviews in Aquaculture 0(0).

Robbins, SL og Cotran, RS (1989). Pathologic Basis of Disease. Toronto, Canada, Saunders.

Robertson, N, Madden, S, Moore, D og Davies, I (1992). Repeated short exposure of lobster larvae (Homarus Gammarus L.) to CGA18809. 13/92. Fisheries Research Services Report.

Roque, A, Yildiz, HY, Carazo, I og Duncan, N (2010). "Physiological stress responses of sea bass (Dicentrarchus labrax) to hydrogen peroxide (H2O2) exposure." Aquaculture 304(1): 104-107.

Roy, WJ, Sutherland, IH, Rodger, HDM og Varma, KJ (2000). "Tolerance of Atlantic salmon, Salmo salar L., and rainbow trout, Oncorhynchus mykiss (Walbaum), to emamectin benzoate, a new orally administered treatment for sea lice." Aquaculture 184(1): 19-29.

Sævik, PN, Agnalt, A-L, Samuelsen, OB og Myksvoll, M (2021). "Modelling chemical releases from fish farms: impact zones, dissolution time, and exposure probability." ICES Journal of Marine Science 79(1): 22-33.

Sahota, C, Hayek, K, Surbey, B og Kennedy, CJ (2022). "Lethal and sublethal effects in Pink salmon (Oncorhynchus gorbuscha) following exposure to five aquaculture chemotherapeutants." Ecotoxicology 31(1): 33-52.

Samuelsen, OB (2010). "A single-dose pharmacokinetic study of emamectin benzoate in cod, Gadus morhua L., held in sea water at 9 °C." Journal of Fish Diseases 33(2): 137-142.

Samuelsen, OB (2016). "Persistence and Stability of Teflubenzuron and Diflubenzuron When Associated to Organic Particles in Marine Sediment." Bulletin of Environmental Contamination and Toxicology 96(2): 224-228.

Samuelsen, OB, Lunestad, BT, Farestveit, E, Grefsrud, ES, Hannisdal, R, Holmelid, B, Tjensvoll, T og Agnalt, A-L (2014). "Mortality and deformities in European lobster (Homarus gammarus) juveniles exposed to the anti-parasitic drug teflubenzuron." Aquatic Toxicology 149: 8-15.

Samuelsen, OB, Lunestad, BT, Hannisdal, R, Bannister, R, Olsen, S, Tjensvoll, T, Farestveit, E og Ervik, A (2015). "Distribution and persistence of the anti sea-lice drug teflubenzuron in wild fauna and sediments around a salmon farm, following a standard treatment." Science of the Total Environment 508: 115-121.

Samuelsen, OB, Lunestad, BT, Husevåg, B, Hølleland, T og Ervik, A (1992). "Residues of oxolinic acid in wild fauna following medication in fish farms."

Samuelsen, OB, Parsons, AE, Agnalt, AL, Tjensvoll, T, Lunestad, BT og Hannisdal, R (2020). "Mortality in the rockpool shrimp Palaemon elegans following long-term exposure to low doses of the anti-parasitic drug teflubenzuron." Aquaculture Environment Interactions 12: 23-29.

Sánchez-Bayo, F og Goka, K (2006). "Ecological effects of the insecticide imidacloprid and a pollutant from antidandruff shampoo in experimental rice fields." Environmental Toxicology and Chemistry 25(6): 1677-1687.

Sandaa, R-A og Enger, Ø (1994). "Transfer in marine sediments of the naturally occurring plasmid pRAS1 encoding multiple antibiotic resistance." Applied and Environmental Microbiology 60(12): 4234-4238.

Sanhueza, S, Neira, K, Rojas, C, Genevière, A-M og Fernández, C (2018). "Effects of three pesticides used to control sea lice on the early development of Choromytilus chorus, Sphaerechinus granularis, and Paracentrotus lividus." Latin American Journal of Aquatic Research.

Sarkar, MA, Biswas, PK, Roy, S, Kole, RK og Chowdhury, A (1999). "Effect of pH and type of formulation on the persistence of imidacloprid in water." Bulletin of Environmental Contamination and Toxicology 63(5): 604-609.

Sawasdee, B og Köhler, H-R (2009). "Embryo toxicity of pesticides and heavy metals to the ramshorn snail, Marisa cornuarietis (Prosobranchia)." Chemosphere 75(11): 1539-1547.

Schering-Plough Animal Health (2002). Potential environmental impacts of emamectin benzoate, formulated as Slice®, for salmonids. Technical Report. 36 pp.

Scottish Association for Marine Science (2005). Ecological effects of sea lice medicines in Scottish sea lochs. Final Report 9. Feb. 2005. Scotland, United Kingdom,

Scottish Environmental Protection Agency (1999a). Calicide (teflubenzuron) - Authorisation for use as an in feed sea lice treatment in marine cage salmon farms. Risk assessment, EQS and recommendations. Scotland, United Kingdom,

Scottish Environmental Protection Agency (1999b). Emamectin Benzoate-An environmental risk assessment. Scotland, United Kingdom,

Scottish Environmental Protection Agency (2004). Regulation and Monitoring of Marine Cage Fish Farming in Scotland – A Procedures Manual, Attachment XI, Guidance on the use of emamectin benzoate at Marine Cage Fish Farms. Scottish Environmental Protection Agency.

Scottish Environmental Protection Agency (2005). Ecological effects of sea lice medicines in Scottish sea lochs. Final report. Scotland, United Kingdom, Scottish Environmental Protection Agency.

Scottish Environmental Protection Agency (2008). Regulation and monitoring of marine cage fish farming in Scotland - a procedures manual. UK, Scottish Environmental Protection Agency,.

Scottish Environmental Protection Agency (2017). Review of Environmental Quality Standard for Emamectin Benzoate. UC12191.03. Scotland, United Kingdom,

Scottish Environmental Protection Agency (2018). Fish farm survey report. Evaluation of a new seabed monitoring appraoch to investigate the impacts of marine cage fish farms. Scotland, United Kingdom, Scottish Environmental Protection Agency.

Selvik, A, Hansen, PK, Ervik, A og Samuelsen, OB (2002). "The stability and persistence of diflubenzuron in marine sediments studied under laboratory conditions and the dispersion to the sediment under a fish farm following medication." Science of the Total Environment 285(1): 237-245.

Sevatdal, S, Magnusson, Å, Ingebrigtsen, K, Haldorsen, R og Horsberg, TE (2005). "Distribution of emamectin benzoate in Atlantic salmon (Salmo salar L.)." Journal of Veterinary Pharmacology and Therapeutics 28(1): 101-107.

Sievers, G, Palacios, P, Inostroza, R og Dölz, H (1995). "Evaluation of the toxicity of 8 insecticides in Salmo salar and the in vitro effects against the isopode parasite, Ceratothoa gaudichaudii." Aquaculture 134(1): 9-16.

Sievers, M, Hale, R, Swearer, SE og Parris, KM (2018). "Contaminant mixtures interact to impair predator-avoidance behaviours and survival in a larval amphibian." Ecotoxicology and Environmental Safety 161: 482-488.

Smit, MGD, Ebbens, E, Jak, RG og Huijbregts, MAJ (2008). "Time and concentration dependency in the potentially affected fraction of species: The case of hydrogen peroxide treatment of ballast water." Environmental Toxicology and Chemistry 27(3): 746-753.

Sommerset, I, Wiik-Nielsen, J, Moldal, T, Oliveira, VHS, Svendsen, JC, Haukaas, A og Brun, E Fiskehelserapporten 2023, Veterinærinstituttets rapportserie nr. 8a/2024, utgitt av Veterinærinstituttet 2024

Song, MY, Stark, JD og Brown, JJ (1997). "Comparative toxicity of four insecticides, including imidacloprid and tebufenozide, to four aquatic arthropods." Environmental Toxicology and Chemistry 16(12): 2494-2500.

Spiteller, M (1993). "Aerobic metabolism of imidacloprid, 14C-NTN 33893, in an aquatic model ecosystem. Bayer AG." Institute for Metabolism Research, Leverkusen-Bayerwerk, Germany. Report No. PF 3950.

Starner, K og Goh, KS (2012). "Detections of the Neonicotinoid Insecticide Imidacloprid in Surface Waters of Three Agricultural Regions of California, USA, 2010–2011." Bulletin of Environmental Contamination and Toxicology 88(3): 316-321.

Statens Legemiddelverk (2023). Veterinærmedisin. https://legemiddelverket.no/veterinermedisin

Stomperudhaugen, ES, Langford, K, Schaanning, M og Hylland, K (2014). "Release of emamectin from sediment: effects of oil, organic material or infauna?" Journal of Soils and Sediments 14(8): 1469-1478.

Strachan, F og Kennedy, CJ (2021). "The environmental fate and effects of anti-sea lice chemotherapeutants used in salmon aquaculture." Aquaculture 544: 737079.

Sumon, KA, Ritika, AK, Peeters, ETHM, Rashid, H, Bosma, RH, Rahman, MS, Fatema, MK og Van den Brink, PJ (2018). "Effects of imidacloprid on the ecology of sub-tropical freshwater microcosms." Environmental Pollution 236: 432-441.

Suvare, V, Kulkarni, AS, Tendulkar, M, Mavalankar, S og Guhagarkar, AM (2010). "Effect of acute toxicity of imidacloprid on glycogen metabolism in estuarine clam, katelysia opima (Gmelin)." Nature Environment and Pollution Technology 9: 69-72.

Taormina, B, Escobar-Lux, RH, Legrand, E, Parsons, AE, Kutti, T, Husa, V, Hannisdal, R, Samuelsen OB, Agnalt, A-L (2024). "Effects of the sea lice chemotherapeutant, emamectn benzoate, on metabolism and behaviour of the sea-pen Pennatula phosphorea. Marien Pollution Bulletin 198: 115903

Telfer, TC, Baird, DJ, McHenery, JG, Stone, J, Sutherland, I og Wislocki, P (2006). "Environmental effects of the anti-sea lice (Copepoda: Caligidae) therapeutant emamectin benzoate under commercial use conditions in the marine environment." Aquaculture 260(1): 163-180.

Tennekes, H og Sánchez-Bayo, F (2011). "Time-dependent toxicity of neonicotinoids and other toxicants: Implications for a new approach to risk assessment." Journal of Environmental and Analytical Toxicology S4: S4-001.

Thomassen, JM (1993). Hydrogen Peroxide as a Delousing Agent for Atlantic Salmon. Chichester, United Kingdom, Ellis Horwood Limited

Tišler, T, Jemec, A, Mozetič, B og Trebše, P (2009). "Hazard identification of imidacloprid to aquatic environment." Chemosphere 76(7): 907-914.

Tomlin, CDS (2000). The Pesticide Manual. Twelfth Edition. Surrey, United Kingdom, British Crop Protection Council.

Topal, A, Alak, G, Ozkaraca, M, Yeltekin, AC, Comaklı, S, Acıl, G, Kokturk, M og Atamanalp, M (2017). "Neurotoxic responses in brain tissues of rainbow trout exposed to imidacloprid pesticide: Assessment of 8-hydroxy-2-deoxyguanosine activity, oxidative stress and acetylcholinesterase activity." Chemosphere 175: 186-191.

Tort, MJ, Hurley, D, Fernandez-Cobas, C, Wooster, GA og Bowser, PR (2005). "Effects of Hydrogen Peroxide Treatments on Catalase and Glutathione Activity in Walleye Sander vitreus." Journal of the World Aquaculture Society 36(4): 577-586.

Treves-Brown, KM (2000). Applied Fish Pharmacology. United Kingdom, Springer, Dordrecht.

Tucca, F, Díaz-Jaramillo, M, Cruz, G, Silva, J, Bay-Schmith, E, Chiang, G og Barra, R (2014). "Toxic effects of antiparasitic pesticides used by the salmon Industry in the marine amphipod Monocorophium insidiosum." Archives of Environmental Contamination and Toxicology 67(2): 139-148.

Tucca, F, Moya, H, Pozo, K, Borghini, F, Focardi, S og Barra, R (2017). "Occurrence of antiparasitic pesticides in sediments near salmon farms in the northern Chilean Patagonia." Marine Pollution Bulletin 115(1): 465-468.

Urbina, MA, Cumillaf, JP, Paschke, K og Gebauer, P (2019). "Effects of pharmaceuticals used to treat salmon lice on non-target species: Evidence from a systematic review." Science of the Total Environment 649: 1124-1136.

Uzyczak, J (2019). A 72-hour acute toxicity assessment of Nemona 49.5% using the marine algae Skeletonema sp. P0171L. United Kingdom, Center for Environment Fisheries & Aquaculture Science (CEFAS).

Van Dijk, TC, Van Staalduinen, MA og Van der Sluijs, JP (2013). "Macro-invertebrate decline in surface Water polluted with imidacloprid." PLoS One 8(5).

Van Geest, JL, Burridge, LE, Fife, FJ og Kidd, KA (2014a). "Feeding response in marine copepods as a measure of acute toxicity of four anti-sea lice pesticides." Marine Environmental Research 101: 145-152.

Van Geest, JL, Burridge, LE og Kidd, KA (2014b). "The toxicity of the anti-sea lice pesticide AlphaMax® to the polychaete worm Nereis virens." Aquaculture 430: 98-106.

Van Geest, JL, Burridge, LE og Kidd, KA (2014c). "Toxicity of two pyrethroid-based anti-sea lice pesticides, AlphaMax® and Excis®, to a marine amphipod in aqueous and sediment exposures." Aquaculture 434: 233-240.

Vanryckeghem, F, Huysman, S, Van Langenhove, H, Vanhaecke, L og Demeestere, K (2019). "Multi-residue quantification and screening of emerging organic micropollutants in the Belgian Part of the North Sea by use of Speedisk extraction and Q-Orbitrap HRMS." Marine Pollution Bulletin 142: 350-360.

Veldhoen, N, Ikonomou, MG, Buday, C, Jordan, J, Rehaume, V, Cabecinha, M, Dubetz, C, Chamberlain, J, Pittroff, S, Vallée, K, van Aggelen, G og Helbing, CC (2012). "Biological effects of the anti-parasitic chemotherapeutant emamectin benzoate on a non-target crustacean, the spot prawn (Pandalus platyceros Brandt, 1851) under laboratory conditions." Aquatic Toxicology 108: 94-105.

Veterinærkatalogen (2022). FELLESKATALOGEN over farmasøytiske preparater markedsført i Norge. https://www.felleskatalogen.no/medisin-vet

Waddy, SL, Burridge, LE, Hamilton, MN, Mercer, SM, Aiken, DE og Haya, K (2002). "Rapid Communication Emamectin benzoate induces molting in American lobster, Homarus americanus." Canadian Journal of Fisheries and Aquatic Sciences 59(7): 1096-1099.

Waddy, SL, Merritt, VA, Hamilton-Gibson, MN og Aiken, DE (2010). "Effect of emamectin benzoate on the molt cycle of ovigerous American lobsters Homarus americanus is influenced by the dosing regimen." Aquatic Biology 11(1): 47-52.

Waddy, SL, Merritt, VA, Hamilton-Gibson, MN, Aiken, DE og Burridge, LE (2007). "Relationship between dose of emamectin benzoate and molting response of ovigerous American lobsters (Homarus americanus)." Ecotoxicology and Environmental Safety 67(1): 95-99.

Wang, L, Zheng, M, Xu, H, Hua, Y, Liu, A, Li, Y, Fang, L og Chen, X (2022). "Fate and ecological risks of current-use pesticides in seawater and sediment of the Yellow Sea and East China Sea." Environmental Research 207: 112673.

Wang, X, Anadón, A, Wu, Q, Qiao, F, Ares, I, Martínez-Larrañaga, M-R, Yuan, Z og Martínez, M-A (2018). "Mechanism of Neonicotinoid Toxicity: Impact on Oxidative Stress and Metabolism." Annual review of pharmacology and toxicology 58(1): 471-507.

Ward, GS (1990). NTN-33893 technical: acute toxicity to sheepshead minnow, Cyprinodon variegatus, under static test conditions. Toxikon Environmental Sciences, Jupiter, Florida. Report number 100354. Submitted to Mobay Corporation, Agricultural Chemicals Division, Kansas City, Missouri. CDPR 120640 (DPN 51950-049).

Weis, JS, Cohen, R og Kwiatkowsi, JK (1987). "Effects of diflubenzuron on limb regeneration and molting in the fiddler crab, Uca pugilator." Aquatic Toxicology 10(5): 279-290.

Weis, JS og Ma, A (1987). "Effects of the pesticide diflubenzuron on larval horseshoe crabs, Limulus polyphemus." Bulletin of Environmental Contamination and Toxicology 39(2): 224-228.

Wheat, J og Ward, GS (1991). NTN-33893 technical: acute effect on new shell growth of the eastern oyster, Crassostrea virginica. Toxikon Environmental Sciences, Jupiter, Florida. Report number 101978. Submitted to Mobay Corporation, Agricultural Chemicals Division, Kansas City, Missouri. USEPA MRID 4225603.,

Willis, KJ, Gillibrand, PA, Cromey, CJ og Black, KD (2005). "Sea lice treatments on salmon farms have no adverse effects on zooplankton communities: a case study." Marine Pollution Bulletin 50(8): 806-816.

Willis, KJ og Ling, N (2003). "The toxicity of emamectin benzoate, an aquaculture pesticide, to planktonic marine copepods." Aquaculture 221(1): 289-297.

Wong, George TF, Dunstan, William M og Kim, D-B (2003). "The decomposition of hydrogen peroxide by marine phytoplankton." Oceanologica Acta 26(2): 191-198.

Woof, L og Kennedy, CJ (2021). The lethal and sublethal effects of anti-sea lice chemotherapeutants in marine benthic and pelagic invertebrates. MSc, Simon Fraser University.

Woolley, LD, Pilmer, LW, Stephens, FJ, Lim, ZX, Arthur, PG, GholipourKanani, H og Partridge, GJ (2022). "The effect of hydrogen peroxide concentration and water temperature on yellowtail kingfish Seriola lalandi in a repeated bathing treatment." Aquaculture 560: 738545.

Wu, S, Li, X, Liu, X, Yang, G, An, X, Wang, Q og Wang, Y (2018). "Joint toxic effects of triazophos and imidacloprid on zebrafish (Danio rerio)." Environmental Pollution 235: 470-481.

Wynne, JW, Stratford, C, Slinger, J, Samsing, F, Rigby, M, McCulloch, R, Quezada-Rodriguez, P og Taylor, RS (2020). "The interaction between temperature and dose on the efficacy and biochemical response of Atlantic salmon to hydrogen peroxide treatment for amoebic gill disease." Journal of Fish Diseases 43(1): 39-48.

Xia, X, Xia, X, Huo, W, Dong, H, Zhang, L og Chang, Z (2016). "Toxic effects of imidacloprid on adult loach (Misgurnus anguillicaudatus)." Environmental Toxicology and Pharmacology 45: 132-139.

Zheng, W og Liu, W (1999). "Kinetics and mechanism of the hydrolysis of imidacloprid." Pesticide Science 55(4): 482-485.

2 - Tabeller

  Media Eksponering Dyregruppe Latinsk navn Artsnavn Livsstadium Eksponerings tid (timer) LC50/EC50 (mg/l) Kilde
  Sjøvann Kortid Alger Saccharina latissima* Sukkertare* Juvenile 1 80.7 Haugland mfl, 2019
  Sjøvann Kortid Fisk Cyclopterus lumpus* Rognkjeks*   24 167 Refseth mfl, 2016
  Sjøvann Kortid Fisk Gadus morhua* Atlantisk torsk* Egg 24 342 Refseth mfl, 2016
  Sjøvann Kortid Fisk Gasterosteus aculeatus* Trepigget stingsild* Voksne 24 158 Strachan & Kennedy 2021
  Sjøvann Kortid Fisk Oligocottus maculosus Stillehavsulke Voksne 24 252 Strachan & Kennedy 2021
  Sjøvann Kortid Fisk Platichthys stellatus Stjerneflyndre Juvenile 24 173 Strachan & Kennedy 2021
  Sjøvann Kortid Fisk Siganus fuscescens Kaninfisk   24 224 Kanda mfl, 1989
  Sjøvann Kortid Fisk Trachurus japonicus Stillehavshestemakrell   24 89 Kanda mfl, 1989
  Sjøvann Kortid Fisk Tridentiger trigonocephalus Kameleonkutling   24 155 Kanda mfl, 1989
  Sjøvann Kortid Virvelløse dyr Acartia hudsonica Hudsonica hoppekreps   0,66 68 Van Geest mfl, 2014
  Sjøvann Kortid Virvelløse dyr Acartia tonsa Tonsa hoppekreps Egg 3 1,5 Keen 2020
  Sjøvann Kortid Virvelløse dyr Acartia tonsa Tonsa hoppekreps Egg 1 4,1 Keen 2020
  Sjøvann Kortid Virvelløse dyr Acartia tonsa Tonsa hoppekreps Voksne 3 9,1 Keen 2020
  Sjøvann Kortid Virvelløse dyr Acartia tonsa Tonsa hoppekreps Voksne 1 13 Keen 2020
  Sjøvann Kortid Virvelløse dyr Artemia salina Salina saltsjøkreps   24 800 Refseth 2017
  Sjøvann Kortid Virvelløse dyr Brachionus plicatilis Hjuldyr   24 2,4 Smit mfl, 2008
  Sjøvann Kortid Virvelløse dyr Brachyura Krabbe Larve (zoea) 1 55 Keen 2020
  Sjøvann Kortid Virvelløse dyr Buccinum undatum* Kongsnegl* Voksne 24 367 Refseth mfl, 2019
  Sjøvann Kortid Virvelløse dyr Calanoider Villfanget hoppekreps   1 10 Keen 2020
  Sjøvann Kortid Virvelløse dyr Calanus finmarchicus* Rødåte*   24 5,992 Hansen mfl, 2017
  Sjøvann Kortid Virvelløse dyr Calanus spp,* Hoppekreps* Voksne 1 30,6 Escobar-Lux mfl, 2019
  Sjøvann Kortid Virvelløse dyr Calanus spp,* Hoppekreps* Stadium V 1 77,1 Escobar-Lux mfl, 2019
  Sjøvann Kortid Virvelløse dyr Capitella sp* Capitella børstemark*   1 159,3 Fang mfl, 2018
  Sjøvann Kortid Virvelløse dyr Capitella sp* Capitella børstemark*   1 1227 Fang mfl, 2018
  Sjøvann Kortid Virvelløse dyr Corophium volutator * Volutator tangloppe*   24 611 Smit mfl, 2008
  Sjøvann Kortid Virvelløse dyr Crangon septemspinosa Amerikansk mudderreke   1 3182 Burridge mfl, 2014
  Sjøvann Kortid Virvelløse dyr Gammarus sp* Tangloppe* Juvenile 24 2520 Refseth mfl, 2019
  Sjøvann Kortid Virvelløse dyr Homarus americanus Amerikansk hummer Larver (stadium I) 1 1637 Burridge mfl, 2014
  Sjøvann Kortid Virvelløse dyr Homarus americanus Amerikansk hummer Voksne 1 3750 Burridge mfl, 2014
  Sjøvann Kortid Virvelløse dyr Homarus gammarus* Europeisk hummer* Larver (stadium I) 1 177 Escobar-Lux mfl, 2020
  Sjøvann Kortid Virvelløse dyr Homarus gammarus* Europeisk hummer* Larve (stadium II) 1 404 Escobar-Lux mfl, 2020
  Sjøvann Kortid Virvelløse dyr Homarus gammarus* Europeisk hummer* Larver (stadium III) 1 665 Escobar-Lux mfl, 2020
  Sjøvann Kortid Virvelløse dyr Homarus gammarus* Europeisk hummer* Larver (stadium IV) 1 737 Escobar-Lux mfl, 2020
  Sjøvann Kortid Virvelløse dyr Lithothamnion soriferum Korallalger   1 268 Legrand mfl, 2022
  Sjøvann Kortid Virvelløse dyr Litopenaeus vannamei Vannameireke Juvenile 24 812 Furtado mfl, 2014
  Sjøvann Kortid Virvelløse dyr Meganyctiphanes norvegica* Norsk storkrill *   1 32,5 Escobar Lux & Samuelsen 2020
  Sjøvann Kortid Virvelløse dyr Metacarcinus edwardsii Chilensk steinkrabbe Larver 1 1036 Gebauer mfl, 2017
  Sjøvann Kortid Virvelløse dyr Metacarcinus edwardsii Chilensk steinkrabbe Larver 1 1642 Gebauer mfl, 2017
  Sjøvann Kortid Virvelløse dyr Mysid sp, Pungreke   1 973 Burridge mfl, 2014
  Sjøvann Kortid Virvelløse dyr Neotrypaea californiensis Stillehavsspøkelseskreps Voksne 24 70 Strachan & Kennedy 2021
Sjøvann Kortid Virvelløse dyr Ophryotrocha spp,* Ophryotrocha børstemark* Voksne 1 64,3 Fang mfl, 2018
Sjøvann Kortid Virvelløse dyr Ophryotrocha spp,* Ophryotrocha børstemark* Voksne 1 296 Fang mfl, 2018
  Sjøvann Kortid Virvelløse dyr Palaemon elegans* Stripestrandreke* Voksne 24 238 Refseth mfl, 2019
  Sjøvann Kortid Virvelløse dyr Palaemon elegans* Stripestrandreke* Voksne 1 1700 Brokke 2015
  Sjøvann Kortid Virvelløse dyr Pandalus borealis* Dypvannsreke*   24 37 Refseth mfl, 2016
  Sjøvann Kortid Virvelløse dyr Pandalus borealis* Dypvannsreke* Juvenile 24 41,2 Strachan & Kennedy 2021
  Sjøvann Kortid Virvelløse dyr Pandalus danae Stillehavskystreke Juvenile 24 40,4 Strachan & Kennedy 2021
  Sjøvann Kortid Virvelløse dyr Pandalus danae Stillehavskystreke Voksne 24 104 Strachan & Kennedy 2021
  Sjøvann Kortid Virvelløse dyr Pandalus montagui * Blomsterreke *   6 11 Fagereng 2016
  Sjøvann Kortid Virvelløse dyr Pandalus montagui * Blomsterreke *   1 48 Fagereng 2016
  Sjøvann Kortid Virvelløse dyr Pandalus montagui * Blomsterreke *   6 170 Fagereng 2016
  Sjøvann Kortid Virvelløse dyr Pandalus montagui * Blomsterreke *   1 172 Fagereng 2016
  Sjøvann Kortid Virvelløse dyr Pandalus platyceros California flekkreke Juvenile 24 34,1 Strachan & Kennedy 2021
  Sjøvann Kortid Virvelløse dyr Pandalus platyceros California flekkreke Larver (stadium I) 3 54 Mill mfl, 2022
  Sjøvann Kortid Virvelløse dyr Pandalus platyceros California flekkreke Egg 1 73 Mill mfl, 2022
  Sjøvann Kortid Virvelløse dyr Pandalus platyceros California flekkreke Egg 3 74 Mill mfl, 2022
  Sjøvann Kortid Virvelløse dyr Pandalus platyceros California flekkreke Larver (stadium I) 1 77 Mill mfl, 2022
  Sjøvann Kortid Virvelløse dyr Pandalus platyceros California flekkreke Voksne 24 107 Strachan & Kennedy 2021
  Sjøvann Kortid Virvelløse dyr Pandalus platyceros California flekkreke Larver (stadium III) 3 154 Mill mfl, 2022
  Sjøvann Kortid Virvelløse dyr Pandalus platyceros California flekkreke Larver (stadium III) 1 165 Mill mfl, 2022
  Sjøvann Kortid Virvelløse dyr Pandalus platyceros California flekkreke Larve (stadium V) 3 376 Mill mfl, 2022
  Sjøvann Kortid Virvelløse dyr Pandalus platyceros California flekkreke Larver (stadium V) 1 433 Mill mfl, 2022
  Sjøvann Kortid Virvelløse dyr Pandalus platyceros California flekkreke Juvenile 3 765 Mill mfl, 2022
  Sjøvann Kortid Virvelløse dyr Pandalus platyceros California flekkreke Juvenile 1 809 Mill mfl, 2022
  Sjøvann Kortid Virvelløse dyr Porcellanidae * Porselenskrabbe * Larver (zoea) 1 46 Keen 2020
  Sjøvann Kortid Virvelløse dyr Praunus flexuosus * Tangpungreke* Voksne 24 117 Refseth mfl, 2019 **
  Sjøvann Kortid Virvelløse dyr Praunus flexuosus * Tangpungreke * Voksne 1 1700 Brokke 2015
  Sjøvann Kortid Virvelløse dyr Strongylocentrotus droebachiensis * Drøbakkråkebolle *   24 10 Refseth mfl, 2017
  Sjøvann Kortid Virvelløse dyr Strongylocentrotus droebachiensis * Drøbakkråkebolle *   24 100 Refseth mfl, 2017
  Sjøvann Kortid Virvelløse dyr Tisbe battagliai Battaglia hoppekreps   24 10,48 Uzyczak 2019
  Sjøvann Kortid Virvelløse dyr Zooplankton Dyreplankton   3 4 Keen 2020
  Sjøvann Kortid Virvelløse dyr Zooplankton Dyreplankton   1 7 Keen 2020
  Sjøvann Kortid Virvelløse dyr Zooplankton Dyreplankton   1 8,2 Keen 2020
  Sjøvann Langtid Fisk Atherinops affinis Toppsmelt Juvenile 96 172 Strachan & Kennedy, 2021
  Sjøvann Langtid Fisk Oncorhynchus gorbuscha Pukkellaks Yngel 48 227 Sahota mfl, 2021
  Sjøvann Langtid Virvelløse dyr Americamysis bahia Amerikansk pungreke   96 7,7 Strachan & Kennedy, 2021
  Sjøvann Langtid Virvelløse dyr Artemia salina Salina saltsjøkreps   96 168 Smit mfl, 2008
  Sjøvann Langtid Virvelløse dyr Artemia salina Salina saltsjøkreps   72 188 Smit mfl, 2008
  Sjøvann Langtid Virvelløse dyr Calanus finmarchicus* Rødåte* Voksne/Kopepoditter 72 3,824 Hansen mfl, 2017
  Sjøvann Langtid Virvelløse dyr Calanus finmarchicus* Rødåte* Voksne/Kopepoditter 48 3,912 Hansen mfl, 2017
  Sjøvann Langtid Virvelløse dyr Corophium volutator* Volutator tangloppe*   96 46 Smit mfl, 2008
  Sjøvann Langtid Virvelløse dyr Litopenaeus vannamei Vannameireke Juvenile 48 687 Furtado mfl, 2014
  Sjøvann Langtid Virvelløse dyr Litopenaeus vannamei Vannameireke Juvenile 72 590 Furtado mfl, 2014
  Sjøvann Langtid Virvelløse dyr Litopenaeus vannamei Vannameireke Juvenile 96 493 Furtado mfl, 2014
  Sjøvann Langtid Virvelløse dyr Mytilus galloprovincialis Middelhavsblåskjell Egg 48 2,9 Strachan & Kennedy, 2021
  Sjøvann Langtid Virvelløse dyr Mytilus galloprovincialis Middelhavsblåskjell Larver 48 0,122 Adam mfl, 2022
  Sjøvann Langtid Virvelløse dyr Tisbe battagliai Battaglia hoppekreps   48 8,9 Uzyczak 2019

Tabell 2. Oppsummering av ulike arters følsomhet ved kortidseksponering (≤ 24 timer) og langtidseksponering (> 24 timer) via vann for hydrogenperoksid. LC50/EC50 den konsentrasjonen som forårsaker 50% dødelighet/paralyse. * arter som finnes i Norge.

 

 

 

 

 

Media Eksponering Dyregruppe Latinsk navn Artsnavn Livsstadium Eksponerings tid (timer) LC50/EC50 (µg/l) Kilde
Sjøvann Kortid Fisk Gasterosteus aculeatus* Trepigget stingsild * Voksne 24 11,1 Strachan & Kennedy 2021
Sjøvann Kortid Fisk Oligocottus maculosus Stillehavsulke Voksne 24 4,72 Strachan & Kennedy 2021
Sjøvann Kortid Fisk Platichthys stellatus Stjerneflyndre Juvenile 24 7,9 Strachan & Kennedy 2021
Sjøvann Kortid Virvelløse dyr Acartia hudsonica Hudsonica hoppekreps Voksne + Nauplii 1 > 620 Van Geest mfl, 2014
Sjøvann Kortid Virvelløse dyr Acartia tonsa Tonsa hoppekreps Voksne 1 220 Keen 2020
Sjøvann Kortid Virvelløse dyr Acartia tonsa Tonsa hoppekreps Voksne 1 166 Keen 2020
Sjøvann Kortid Virvelløse dyr Acartia tonsa Tonsa hoppekreps Egg 3 190 Keen 2020
Sjøvann Kortid Virvelløse dyr Acartia tonsa Tonsa hoppekreps Voksne 3 98 Keen 2020
Sjøvann Kortid Virvelløse dyr Acartia tonsa Tonsa hoppekreps Voksne 3 127 Keen 2020
Sjøvann Kortid Virvelløse dyr Artemia salina Salina saltsjøkreps Voksne 24 > 10000 Ernst mfl, 2001
Sjøvann Kortid Virvelløse dyr Brachionus plicatilis Hjuldyr   24 > 10000 Ernst mfl, 2001
Sjøvann Kortid Virvelløse dyr Brachyura Krabbe Larver 1 203 Keen 2020
Sjøvann Kortid Virvelløse dyr Crangon septemspinosa Amerikansk mudderreke   1 33,6 Ernst mfl, 2014
Sjøvann Kortid Virvelløse dyr Crangon septemspinosa Amerikansk mudderreke   1 > 85,5 Burridge mfl, 2014
Sjøvann Kortid Virvelløse dyr Crangon septemspinosa Amerikansk mudderreke   24 191 Burridge mfl, 2014
Sjøvann Kortid Virvelløse dyr Homarus americanus Amerikansk hummer Larver (stadium II) 0,083 33,9 Pahl & Opitz 1999
Sjøvann Kortid Virvelløse dyr Homarus americanus Amerikansk hummer Larver (stadium II) 0,083 50,4 Pahl & Opitz 1999
Sjøvann Kortid Virvelløse dyr Homarus americanus Amerikansk hummer Larver (stadium II) 0,5 27,01 Pahl & Opitz 1999
Sjøvann Kortid Virvelløse dyr Homarus americanus Amerikansk hummer Larver (stadium II) 0,5 37,7 Pahl & Opitz 1999
Sjøvann Kortid Virvelløse dyr Homarus americanus Amerikansk hummer Larver (stadium I) 1 > 86,5 Burridge mfl, 2014
Sjøvann Kortid Virvelløse dyr Homarus americanus Amerikansk hummer Larver (stadium II) 1 20,7 Pahl & Opitz 1999
Sjøvann Kortid Virvelløse dyr Homarus americanus Amerikansk hummer Larver (stadium II) 1 26,5 Pahl & Opitz 1999
Sjøvann Kortid Virvelløse dyr Homarus americanus Amerikansk hummer Larver (stadium I) 1 15,5 de Jourdan mfl, 2022
Sjøvann Kortid Virvelløse dyr Homarus americanus Amerikansk hummer Larver (stadium II) 1 11,5 de Jourdan mfl, 2022
Sjøvann Kortid Virvelløse dyr Homarus americanus Amerikansk hummer Larver (stadium III) 1 11,4 de Jourdan mfl, 2022
Sjøvann Kortid Virvelløse dyr Homarus americanus Amerikansk hummer Larver (stadium I) 2 8,47 de Jourdan mfl, 2022
Sjøvann Kortid Virvelløse dyr Homarus americanus Amerikansk hummer Larver (stadium II) 2 6,8 de Jourdan mfl, 2023
Sjøvann Kortid Virvelløse dyr Homarus americanus Amerikansk hummer Larver (stadium III) 2 5,8 de Jourdan mfl, 2024
Sjøvann Kortid Virvelløse dyr Homarus americanus Amerikansk hummer Larver (stadium I) 3 4 de Jourdan mfl, 2022
Sjøvann Kortid Virvelløse dyr Homarus americanus Amerikansk hummer Larver (stadium II) 3 4,3 de Jourdan mfl, 2022
Sjøvann Kortid Virvelløse dyr Homarus americanus Amerikansk hummer Larver (stadium III) 3 2,9 de Jourdan mfl, 2022
Sjøvann Kortid Virvelløse dyr Homarus americanus Amerikansk hummer Larver (stadium IV) 3 7,3 de Jourdan mfl, 2022
Sjøvann Kortid Virvelløse dyr Homarus americanus Amerikansk hummer Larver (stadium II) 6 3,5 Pahl & Opitz 1999
Sjøvann Kortid Virvelløse dyr Homarus americanus Amerikansk hummer Larver (stadium II) 6 5,4 Pahl & Opitz 1999
Sjøvann Kortid Virvelløse dyr Homarus americanus Amerikansk hummer Larver (stadium II) 12 0,9 Pahl & Opitz 1999
Sjøvann Kortid Virvelløse dyr Homarus americanus Amerikansk hummer Larver (stadium II) 12 1,33 Pahl & Opitz 1999
Sjøvann Kortid Virvelløse dyr Homarus americanus Amerikansk hummer Larver (stadium I) 24 8,9 Burridge mfl, 2014
Sjøvann Kortid Virvelløse dyr Homarus americanus Amerikansk hummer Voksne 1 24,8 Burridge mfl, 2014
Sjøvann Kortid Virvelløse dyr Homarus americanus Amerikansk hummer Voksne 24 2,8 Burridge mfl, 2014
Sjøvann Kortid Virvelløse dyr Homarus americanus Amerikansk hummer Voksne 5 x 1 0,45 Dounia mfl, 2016
Sjøvann Kortid Virvelløse dyr Homarus gammarus* Europeisk hummer * Larver (stadium I) 1 9,2 Parsons mfl, 2020
Sjøvann Kortid Virvelløse dyr Homarus gammarus* Europeisk hummer * Larver (stadium I) 1 43,1 Parsons mfl, 2020
Sjøvann Kortid Virvelløse dyr Homarus gammarus* Europeisk hummer * Larver (stadium II) 1 15,5 Parsons mfl, 2020
Sjøvann Kortid Virvelløse dyr Homarus gammarus* Europeisk hummer * Larver (stadium II) 1 20,5 Parsons mfl, 2020
Sjøvann Kortid Virvelløse dyr Metacarcinus edwardsii Chilensk steinkrabbe Larver (zoea) 0,5 0,94 Gebauer mfl, 2017
Sjøvann Kortid Virvelløse dyr Metacarcinus edwardsii Chilensk steinkrabbe Larver (zoea) 0,5 2,84 Gebauer mfl, 2017
Sjøvann Kortid Virvelløse dyr Mysid sp, Pungreke   24 12,5 Burridge mfl, 2014
Sjøvann Kortid Virvelløse dyr Mysid sp, Pungreke   1 + 95 > 85,5 Burridge mfl, 2014
Sjøvann Kortid Virvelløse dyr Mysis stenolepis Stenolepis pungreke Voksne 24 7,4 Ernst mfl, 2014
Sjøvann Kortid Virvelløse dyr Mysis stenolepis Stenolepis pungreke Voksne 24 9,9 Ernst mfl, 2014
Sjøvann Kortid Virvelløse dyr Mysis stenolepis Stenolepis pungreke Voksne 24 23,5 Ernst mfl, 2014
Sjøvann Kortid Virvelløse dyr Neotrypaea californiensis Stillehavsspøkelseskreps Voksne 24 63 Strachan & Kennedy 2021
Sjøvann Kortid Virvelløse dyr Palaemon elegans * Stripestrandreke * Voksne 24 268,3 Brokke 2015
Sjøvann Kortid Virvelløse dyr Palaemon elegans * Stripestrandreke * Voksne 1+24 > 200 Brokke 2015
Sjøvann Kortid Virvelløse dyr Pandalus borealis* Dypvannsreke * Juvenile 24 7,63 Strachan & Kennedy 2021
Sjøvann Kortid Virvelløse dyr Pandalus borealis* Dypvannsreke * Voksne 24 81 Strachan & Kennedy 2021
Sjøvann Kortid Virvelløse dyr Pandalus danae Stillehavskystreke Juvenile 24 4,39 Strachan & Kennedy 2021
Sjøvann Kortid Virvelløse dyr Pandalus danae Stillehavskystreke Voksne 24 129 Strachan & Kennedy 2021
Sjøvann Kortid Virvelløse dyr Pandalus platyceros California flekkreke Egg 1 220 Mill mfl, 2022
Sjøvann Kortid Virvelløse dyr Pandalus platyceros California flekkreke Juvenile 1 236 Mill mfl, 2022
Sjøvann Kortid Virvelløse dyr Pandalus platyceros California flekkreke Larver (stadium I) 1 12 Mill mfl, 2022
Sjøvann Kortid Virvelløse dyr Pandalus platyceros California flekkreke Larver (stadium III) 1 34 Mill mfl, 2022
Sjøvann Kortid Virvelløse dyr Pandalus platyceros California flekkreke Larver (stadium V) 1 47 Mill mfl, 2022
Sjøvann Kortid Virvelløse dyr Pandalus platyceros California flekkreke Egg 3 187 Mill mfl, 2022
Sjøvann Kortid Virvelløse dyr Pandalus platyceros California flekkreke Juvenile 3 178 Mill mfl, 2022
Sjøvann Kortid Virvelløse dyr Pandalus platyceros California flekkreke Larver (stadium I) 3 10 Mill mfl, 2022
Sjøvann Kortid Virvelløse dyr Pandalus platyceros California flekkreke Larver (stadium III) 3 27 Mill mfl, 2022
Sjøvann Kortid Virvelløse dyr Pandalus platyceros California flekkreke Larver (stadium V) 3 40 Mill mfl, 2022
Sjøvann Kortid Virvelløse dyr Pandalus platyceros California flekkreke Juvenile 24 3,39 Strachan & Kennedy 2021
Sjøvann Kortid Virvelløse dyr Pandalus platyceros California flekkreke Voksne 24 106 Strachan & Kennedy 2021
Sjøvann Kortid Virvelløse dyr Pandalus platyceros California flekkreke Voksne 3 x 1 > 100 Mill mfl, 2021
Sjøvann Kortid Virvelløse dyr Pandalus platyceros California flekkreke Voksne 3 x 1 > 100 Mill mfl, 2021
Sjøvann Kortid Virvelløse dyr Pandalus platyceros California flekkreke Voksne 3 x 1 > 100 Mill mfl, 2021
Sjøvann Kortid Virvelløse dyr Pandalus platyceros California flekkreke Voksne 3 x 1 17,1 Mill mfl, 2021
Sjøvann Kortid Virvelløse dyr Pandalus platyceros California flekkreke Voksne 3 x 1 27,1 Mill mfl, 2021
Sjøvann Kortid Virvelløse dyr Pandalus platyceros California flekkreke Voksne 3 x 1 39,8 Mill mfl, 2021
Sjøvann Kortid Virvelløse dyr Porcellanidae * Porselenskrabbe * Larver (zoea) 1 103 Keen 2020
Sjøvann Kortid Virvelløse dyr Praunus flexuosus * Tangpungreke * Voksne 1 > 200 Brokke 2015
Sjøvann Kortid Virvelløse dyr Praunus flexuosus * Tangpungreke * Voksne 24 28,7 Brokke 2015
Sjøvann Kortid Virvelløse dyr Zooplankton Dyreplankton   1 529 Keen 2020
Sjøvann Kortid Virvelløse dyr Zooplankton Dyreplankton   1 360 Keen 2020
Sjøvann Kortid Virvelløse dyr Zooplankton Dyreplankton   1 83 Keen 2020
Sjøvann Kortid Virvelløse dyr Zooplankton Dyreplankton   3 103 Keen 2020
Sjøvann Kortid Virvelløse dyr Zooplankton Dyreplankton   3 54 Keen 2020
Sjøvann Langtid Fisk Atherinops affinis Toppsmelt Juvenile 96 980 Strachan & Kennedy 2021
Sjøvann Langtid Fisk Gasterosteus aculeatus* Trepigget stingsild *   96 190 Ernst mfl, 2001
Sjøvann Langtid Fisk Oncorhynchus gorbuscha Pukkellaks Yngel 48 80 Sahota mfl, 2021
Sjøvann Langtid Virvelløse dyr Americamysis bahia Amerikansk pungreke   96 1218 Strachan & Kennedy 2021
Sjøvann Langtid Virvelløse dyr Eohaustorius estuarius Sandtangloppe Voksne 48 1,6 Ernst mfl, 2001
Sjøvann Langtid Virvelløse dyr Eohaustorius estuarius Sandtangloppe Voksne 48 7,9 Ernst mfl, 2001
Sjøvann Langtid Virvelløse dyr Eohaustorius estuarius Sandtangloppe Voksne 48 12,1 Ernst mfl, 2001
Sjøvann Langtid Virvelløse dyr Gammarus spp * Tangloppe * Voksne 96 < 5 Ernst mfl, 2001
Sjøvann Langtid Virvelløse dyr Homarus americanus Amerikansk hummer Larver (stadium I) 48 3,57 Burridge mfl, 1999
Sjøvann Langtid Virvelløse dyr Homarus americanus Amerikansk hummer Larver (stadium II) 48 1,03 Burridge mfl, 1999
Sjøvann Langtid Virvelløse dyr Homarus americanus Amerikansk hummer Larver (stadium III) 48 2,29 Burridge mfl, 1999
Sjøvann Langtid Virvelløse dyr Homarus americanus Amerikansk hummer Larver (stadium IV) 48 2,12 Burridge mfl, 1999
Sjøvann Langtid Virvelløse dyr Homarus americanus Amerikansk hummer Voksne 48 0,61 Burridge mfl, 2005
Sjøvann Langtid Virvelløse dyr Homarus americanus Amerikansk hummer Voksne 48 1 Burridge mfl, 2005
Sjøvann Langtid Virvelløse dyr Homarus americanus Amerikansk hummer Voksne 48 1,39 Burridge mfl, 1999
Sjøvann Langtid Virvelløse dyr Homarus americanus Amerikansk hummer Voksne 48 2 Burridge mfl, 2005
Sjøvann Langtid Virvelløse dyr Homarus americanus Amerikansk hummer Voksne 48 2 Burridge mfl, 2005
Sjøvann Langtid Virvelløse dyr Homarus americanus Amerikansk hummer Voksne 48 3 Burridge mfl, 2005
Sjøvann Langtid Virvelløse dyr Homarus americanus Amerikansk hummer Voksne 48 3,24 Burridge mfl, 2005
Sjøvann Langtid Virvelløse dyr Mytilus galloprovincialis Middelhavsblåskjell Embryo 48 > 12500 Strachan & Kennedy 2021
Sjøvann Langtid Virvelløse dyr Polydora cornuta * Mudderbørstemark * Juvenile 96 2310 Ernst mfl, 2001
Sjøvann Langtid Virvelløse dyr Strongylocentrotus droebachiensis * Drøbakkråkebolle * Voksne 96 > 1000 Ernst mfl, 2001
Sjøvann Langtid Virvelløse dyr Tisbe battagliai Battaglia hoppekreps Copopodid 48 7,7 Macken mfl, 2015
Sjøvann Langtid Virvelløse dyr Tisbe battagliai Battaglia hoppekreps Nauplii 48 6,7 Macken mfl, 2015
Sjøvann Langtid Virvelløse dyr Tisbe battagliai Battaglia hoppekreps Nauplii 168 > 3,6 Macken mfl, 2015

Tabell 3. Oppsummering av ulike arters følsomhet ved korttidseksponering (≤ 24 timer) og langtidseksponering (> 24 timer) via vann for azametifos, LC50/EC50 den konsentrasjonen som forårsaker 50% dødelighet/paralyse, * arter som finnes i Norge,

 

 

 

Media Eksponering Dyregruppe Latinsk navn Artsnavn Livsstadium Eksponerings tid (timer) LC50/EC50 (ng/l) Kilde
Sjøvann Kortid Fisk Gasterosteus aculeatus * Trepigget stingsild * Voksen 24 498 Strachan & Kennedy 2021
Sjøvann Kortid Fisk Oligocottus maculosus Stillehavsulke Voksen 24 870 Strachan & Kennedy 2021
Sjøvann Kortid Fisk Platichthys stellatus Stjerneflyndre Juvenile 24 551 Strachan & Kennedy 2021
Sjøvann Kortid Virvelløse dyr Crangon septemspinosa Amerikansk mudderreke   24 27 Burridge mfl, 2014
Sjøvann Kortid Virvelløse dyr Crangon septemspinosa Amerikansk mudderreke   1 142 Fairchild mfl, 2010
Sjøvann Kortid Virvelløse dyr Echinogammarus finmarchicus Finmarchicus sandtangloppe   24 6,7 Van Geest mfl, 2014b
Sjøvann Kortid Virvelløse dyr Echinogammarus finmarchicus Finmarchicus sandtangloppe   24 9,4 Van Geest mfl, 2014b
Sjøvann Kortid Virvelløse dyr Echinogammarus finmarchicus Finmarchicus sandtangloppe   1 47 Van Geest mfl, 2014b
Sjøvann Kortid Virvelløse dyr Echinogammarus finmarchicus Finmarchicus sandtangloppe   1 70 Van Geest mfl, 2014b
Sjøvann Kortid Virvelløse dyr Eohaustorius estuarius Estuarius sandtangloppe   1 5,52 Fairchild mfl, 2010
Sjøvann Kortid Virvelløse dyr Eohaustorius estuarius Estuarius sandtangloppe   1 13,1 Fairchild mfl, 2010
Sjøvann Kortid Virvelløse dyr Homarus americanus Amerikansk hummer Larver (stadium II) 24 0,6 Burridge mfl, 2014
Sjøvann Kortid Virvelløse dyr Homarus americanus Amerikansk hummer Larver (stadium I) 24 0,8 Burridge mfl, 2014
Sjøvann Kortid Virvelløse dyr Homarus americanus Amerikansk hummer Larver (stadium IV) 24 1,7 Burridge mfl, 2014
Sjøvann Kortid Virvelløse dyr Homarus americanus Amerikansk hummer Larver (stadium I) 1 3,4 Burridge mfl, 2014
Sjøvann Kortid Virvelløse dyr Homarus americanus Amerikansk hummer Voksen 24 15 Burridge mfl, 2014
Sjøvann Kortid Virvelløse dyr Homarus americanus Amerikansk hummer Voksen 1 18,8 Burridge mfl, 2014
Sjøvann Kortid Virvelløse dyr Homarus americanus Amerikansk hummer Larver (stadium III) 1 36,5 Fairchild mfl, 2010
Sjøvann Kortid Virvelløse dyr Homarus gammarus * Europeisk hummer * Larver (stadium II) 1 0,4 Parsons mfl, 2020
Sjøvann Kortid Virvelløse dyr Homarus gammarus * Europeisk hummer * Larver (stadium I) 1 0,6 Parsons mfl, 2020
Sjøvann Kortid Virvelløse dyr Homarus gammarus * Europeisk hummer * Larver (stadium I) 1 2,6 Parsons mfl, 2020
Sjøvann Kortid Virvelløse dyr Homarus gammarus * Europeisk hummer * Larver (stadium II) 1 2,9 Parsons mfl, 2020
Sjøvann Kortid Virvelløse dyr Metacarcinus edwardsii Chilensk steinkrabbe Larver (zoea) 0,66 1252 Gebauer mfl, 2017
Sjøvann Kortid Virvelløse dyr Mysid sp, Pungreke   24 1,4 Burridge mfl, 2014
Sjøvann Kortid Virvelløse dyr Mysid sp, Pungreke   1 13,9 Burridge mfl, 2014
Sjøvann Kortid Virvelløse dyr Neotrypaea californiensis Stillehavsspøkelseskreps Voksen 24 34,4 Strachan & Kennedy 2021
Sjøvann Kortid Virvelløse dyr Palaemon elegans * Stripestrandreke * Voksen 24 6,3 Brokke 2015
Sjøvann Kortid Virvelløse dyr Palaemon elegans * Stripestrandreke * Voksen 1 119 Brokke 2015
Sjøvann Kortid Virvelløse dyr Pandalus borealis * Dypvannsreke * Voksen 24 44,8 Strachan & Kennedy 2021
Sjøvann Kortid Virvelløse dyr Pandalus borealis * Dypvannsreke * Juvenile 24 375 Strachan & Kennedy 2021
Sjøvann Kortid Virvelløse dyr Pandalus danae Stillehavskystreke Juvenile 24 36,5 Strachan & Kennedy 2021
Sjøvann Kortid Virvelløse dyr Pandalus danae Stillehavskystreke Voksen 24 54,5 Strachan & Kennedy 2021
Sjøvann Kortid Virvelløse dyr Pandalus platyceros California flekkreke Larver (stadium I) 1 1,2 Mill mfl, 2022
Sjøvann Kortid Virvelløse dyr Pandalus platyceros California flekkreke Larver (stadium I) 3 2,3 Mill mfl, 2022
Sjøvann Kortid Virvelløse dyr Pandalus platyceros California flekkreke Larver (stadium III) 3 8,9 Mill mfl, 2022
Sjøvann Kortid Virvelløse dyr Pandalus platyceros California flekkreke Larver (stadium III) 1 10 Mill mfl, 2022
Sjøvann Kortid Virvelløse dyr Pandalus platyceros California flekkreke Larver (stadium V) 3 12 Mill mfl, 2022
Sjøvann Kortid Virvelløse dyr Pandalus platyceros California flekkreke Larver (stadium V) 1 18 Mill mfl, 2022
Sjøvann Kortid Virvelløse dyr Pandalus platyceros California flekkreke Juvenile 24 44,1 Strachan & Kennedy 2021
Sjøvann Kortid Virvelløse dyr Pandalus platyceros California flekkreke Juvenile 3 97 Mill mfl, 2022
Sjøvann Kortid Virvelløse dyr Pandalus platyceros California flekkreke Juvenile 1 124 Mill mfl, 2022
Sjøvann Kortid Virvelløse dyr Pandalus platyceros California flekkreke Voksen 24 489 Strachan & Kennedy 2021
Sjøvann Kortid Virvelløse dyr Pandalus platyceros California flekkreke Egg 1 > 1000 Mill mfl, 2022
Sjøvann Kortid Virvelløse dyr Pandalus platyceros California flekkreke Egg 3 > 1000 Mill mfl, 2022
Sjøvann Kortid Virvelløse dyr Praunus flexuosus * Tangpungreke * Voksen 24 8,3 Brokke 2015
Sjøvann Kortid Virvelløse dyr Praunus flexuosus * Tangpungreke * Voksen 1 105,1 Brokke 2015
Sjøvann Kortid Virvelløse dyr Sandshrimp (unidentified) Sandreker (ikke identifisert) Juvenile 24 40,9 Strachan & Kennedy 2021
Sjøvann Langtid Fisk Atherinops affinis Toppsmelt Juvenile 96 1600 Strachan & Kennedy 2021
Sjøvann Langtid Fisk Cyprinodon variegatus Fårehodetannkarpe   96 480 Hoechst Celanese Corp,
Sjøvann Langtid Fisk Cyprinodon variegatus Fårehodetannkarpe   96 360 OPP Database
Sjøvann Langtid Fisk Cyprinodon variegatus Fårehodetannkarpe   96 580 OPP Database
Sjøvann Langtid Fisk Cyprinodon variegatus Fårehodetannkarpe   96 360 U,S, EPA 1992
Sjøvann Langtid Fisk Cyprinodon variegatus Fårehodetannkarpe   96 580 U,S, EPA 1992
Sjøvann Langtid Fisk Oncorhynchus gorbuscha Pukkellaks Yngel 48 980 Sahota mfl, 2021
Sjøvann Langtid Fisk Salmo salar * Atlantisk laks * Juvenile 96 590 Zitko mfl, 1979
Sjøvann Langtid Virvelløse dyr Alitta (Nereis) virens * Grønn sandorm * Juvenile 48 1400 Van Geest mfl, 2014
Sjøvann Langtid Virvelløse dyr Alitta (Nereis) virens * Grønn sandorm * Juvenile 48 3200 Van Geest mfl, 2014
Sjøvann Langtid Virvelløse dyr Alitta (Nereis) virens * Grønn sandorm * Juvenile 48 5400 Van Geest mfl, 2014
Sjøvann Langtid Virvelløse dyr Alitta (Nereis) virens * Grønn sandorm * Juvenile 48 16000 Van Geest mfl, 2014
Sjøvann Langtid Virvelløse dyr Americamysis bahia Amerikansk pungreke Ung voken 96 26,77 DeLorenzo mfl, 2013
Sjøvann Langtid Virvelløse dyr Americamysis bahia Amerikansk pungreke < 24 timer 96 1,7 OPP Database
Sjøvann Langtid Virvelløse dyr Americamysis bahia Amerikansk pungreke < 24 timer 96 3,7 OPP Database
Sjøvann Langtid Virvelløse dyr Americamysis bahia Amerikansk pungreke   96 16000 Strachan & Kennedy 2021
Sjøvann Langtid Virvelløse dyr Crangon septemspinosa Amerikansk mudderreke Juvenile 96 27,4 Fairchild mfl, 2010
Sjøvann Langtid Virvelløse dyr Crangon septemspinosa Amerikansk mudderreke Juvenile 96 45,3 Fairchild mfl, 2010
Sjøvann Langtid Virvelløse dyr Crassostrea virginica Østatlantisk østers 38 mm 96 15000 Dionne, 1990
Sjøvann Langtid Virvelløse dyr Crassostrea virginica Østatlantisk østers < 1 år 96 8200 OPP Database
Sjøvann Langtid Virvelløse dyr Crassostrea virginica Østatlantisk østers < 1 år 96 17900 OPP Database
Sjøvann Langtid Virvelløse dyr Echinogammarus finmarchicus Finmarchicus sandtangloppe   96 6,7 Van Geest mfl, 2014
Sjøvann Langtid Virvelløse dyr Echinogammarus finmarchicus Finmarchicus sandtangloppe   96 9,4 Van Geest mfl, 2014
Sjøvann Langtid Virvelløse dyr Echinogammarus finmarchicus Finmarchicus sandtangloppe   96 47 Van Geest mfl, 2014
Sjøvann Langtid Virvelløse dyr Echinogammarus finmarchicus Finmarchicus sandtangloppe   96 70 Van Geest mfl, 2014
Sjøvann Langtid Virvelløse dyr Eohaustorius estuarius Estuarius sandtangloppe Flere 96 1,66 Fairchild mfl, 2010
Sjøvann Langtid Virvelløse dyr Eohaustorius estuarius Estuarius sandtangloppe Flere 96 7,99 Fairchild mfl, 2010
Sjøvann Langtid Virvelløse dyr Homarus americanus Amerikansk hummer Larver 96 3,74 Fairchild mfl, 2010
Sjøvann Langtid Virvelløse dyr Homarus americanus Amerikansk hummer Larver 96 4,74 Fairchild mfl, 2010
Sjøvann Langtid Virvelløse dyr Homarus americanus Amerikansk hummer Larver 96 4,92 Fairchild mfl, 2010
Sjøvann Langtid Virvelløse dyr Homarus americanus Amerikansk hummer Larver 96 28,2 Fairchild mfl, 2010
Sjøvann Langtid Virvelløse dyr Mytilus galloprovincialis Middelhavsblåskjell Embryo 48 > 100000 Strachan & Kennedy 2021
Sjøvann Langtid Virvelløse dyr Palaemon serratus Vanlig stranreke   96 48,4 Oliveira mfl, 2012
Sjøvann Langtid Virvelløse dyr Palaemonetes pugio Glassreke Larver 96 5,04 DeLorenzo mfl, 2013
Sjøvann Langtid Virvelløse dyr Palaemonetes pugio Glassreke Voksen 96 5,8 DeLorenzo mfl, 2013
Sjøvann Langtid Virvelløse dyr Perinereis aibuhitensis Stillhavssandorm   96 260 Chen mfl, 2012
Sjøvann Langtid Virvelløse dyr Tisbe battagliai Battaglia hoppekreps Voksen 144 10,6 Barata mfl, 2002
Sjøvann Langtid Virvelløse dyr Tisbe battagliai Battaglia hoppekreps Nauplii 96 15,1 Barata mfl, 2002
Sjøvann Langtid Virvelløse dyr Tisbe battagliai Battaglia hoppekreps Voksen 144 88,7 Barata mfl, 2002

Tabell 4. Oppsummering av ulike arters følsomhet ved korttidseksponering (≤ 24 timer) og langtidseksponering (> 24 timer) via vann for deltametrin, LC50/EC50 den konsentrasjonen som forårsaker 50% dødelighet/paralyse, * arter som finnes i Norge,

 

Media Dyregruppe Latinsk navn Artsnavn Livsstadium Eksponerings tid (dag) LC 50 /EC 50 (µg/kg dw) Kilde
Sediment Fisk Oligocottus maculosus Stillehavsulke Voksen 10 0,511 Strachan & Kennedy 2021
Sediment Fisk Oncorhynchus gorbuscha Pukkellaks Yngel 10 1,035 Sahota mfl, 2022
Sediment Virvelløse dyr Alitta (Nereis) virens * Grønn sandorm *   10 0,00031 Strachan & Kennedy 2021
Sediment Virvelløse dyr Alitta (Nereis) virens * Grønn sandorm *   7 > 700 Burridge & Van Geest 2014
Sediment Virvelløse dyr Alitta (Nereis) virens * Grønn sandorm *   7 230 Van Geest mfl, 2014
Sediment Virvelløse dyr Alitta (Nereis) virens * Grønn sandorm *   30 > 150 Burridge & Van Geest 2014
Sediment Virvelløse dyr Crangon septemspinosa Amerikansk mudderreke   14 8,6 Burridge og Van Geest 2014
Sediment Virvelløse dyr Echinogammarus finmarchicus Finmarchicus sandtangloppe Voksen 10 16 Van Geest mfl, 2014
Sediment Virvelløse dyr Eohaustorius estuarius Sandtangloppe   10 0,022 Strachan & Kennedy 2021
Sediment Virvelløse dyr Eohaustorius estuarius Sandtangloppe   10 0,47-0,54 Burridge og Van Geest 2014
Sediment Virvelløse dyr Homarus americanus Amerikansk hummer Juvenile 15 2,5 Daoud mfl, 2023
Sediment Virvelløse dyr Monocorophium insidiosum * Tangloppe *   10 7,8 Tucca mfl, 2014
Sediment Virvelløse dyr Pandalus platyceros California flekkreke Juvenile 10 0,0242 Strachan & Kennedy 2021
Sediment Virvelløse dyr Pandalus platyceros California flekkreke Juvenile 10 0,0536 Strachan & Kennedy 2021

Tabell 5. Oppsummering av ulike arters følsomhet ved eksponering via sediment for deltametrin, LC50/EC50 den konsentrasjonen som forårsaker 50% dødelighet/paralyse, * arter som finnes i Norge,

 

Media Eksponering Dyregruppe Latinsk navn Artsnavn Livsstadium Eksponerings tid (timer) LC50/EC50 (µg/l) Kilde
Sjøvann Kortid Virvelløse dyr Americamysis bahia Amerikansk punkreke Megalopa 24 115 Lintott 1992
Sjøvann Kortid Virvelløse dyr Artemia parthenogenetica Parthenogenetica saltsjøkreps Nauplii 24 1170 Zhang mfl, 2012
Sjøvann Kortid Virvelløse dyr Gammarus lawrencianus Lawrencianus tangloppe 6,1 ± 0,2 mm total lengde 24 39,23 Knysh mfl, 2021
Sjøvann Kortid Virvelløse dyr Gammarus lawrencianus Lawrencianus tangloppe 6,1 ± 0,2 mm total lengde 24 39,87 Knysh mfl, 2021
Sjøvann Kortid Virvelløse dyr Nitocra spinipes Spinipes hoppekreps Voksen 24 200 Moeris mfl, 2021
Sjøvann Kortid Virvelløse dyr Nitocra spinipes Spinipes hoppekreps Voksen 24 132000 Moeris mfl, 2021
Sjøvann Langtid Fisk Cyprinodon variegatus Fårehodetannkarpe 29 mm, 0,77 g 96 161000 Ward 1990
Sjøvann Langtid Fisk Larimichthys polyactis Liten gul trommefisk Embryo 72 12500 He mfl, 2022
Sjøvann Langtid Fisk Oncorhynchus tshawytscha Kongelaks Juvenile 96 109000 Frew & Grue 2012
Sjøvann Langtid Virvelløse dyr Acartia tonsa Tonsa hoppekreps Egg 120 8,84 Picone mfl,2022
Sjøvann Langtid Virvelløse dyr Americamysis bahia Amerikansk punkreke Megalopa 48 96 Lintott 1992
Sjøvann Langtid Virvelløse dyr Americamysis bahia Amerikansk punkreke Megalopa 72 43 Lintott 1992
Sjøvann Langtid Virvelløse dyr Americamysis bahia Amerikansk punkreke Megalopa 96 36 Lintott 1992
Sjøvann Langtid Virvelløse dyr Americamysis bahia Amerikansk punkreke Juvenile 96 38 U,S, EPA 1992
Sjøvann Langtid Virvelløse dyr Americamysis bahia Amerikansk punkreke   96 159 U,S, EPA 1992
Sjøvann Langtid Virvelløse dyr Artemia sp, Saltsjøkreps Nauplii 48 361230 Song mfl,1997
Sjøvann Langtid Virvelløse dyr Artemia sp, Saltsjøkreps Nauplii 72 300000 Song mfl, 1997
Sjøvann Langtid Virvelløse dyr Callinectes sapidus Blå svømmekrabbe Megalopa 24 10 Osterberg mfl, 2012
Sjøvann Langtid Virvelløse dyr Callinectes sapidus Blå svømmekrabbe Juvenile 24 1112 Osterberg mfl, 2012
Sjøvann Langtid Virvelløse dyr Crassostrea virginica Østatlantisk østers   96 145000 Wheat & Ward 1991
Sjøvann Langtid Virvelløse dyr Farfantepenaeus aztecus Farfantereke Juvenile 96 320,00 Al-Badran mfl, 2019
Sjøvann Langtid Virvelløse dyr Gammarus lawrencianus Lawrencianus tangloppe 6,1 ± 0,2 mm total lengde 48 18,65 Knysh mfl, 2021
Sjøvann Langtid Virvelløse dyr Gammarus lawrencianus Lawrencianus tangloppe 6,1 ± 0,2 mm total lengde 72 12,79 Knysh mfl, 2021
Sjøvann Langtid Virvelløse dyr Gammarus lawrencianus Lawrencianus tangloppe 6,1 ± 0,2 mm total lengde 96 8,90 Knysh mfl, 2021
Sjøvann Langtid Virvelløse dyr Gammarus lawrencianus Lawrencianus tangloppe 6,1 ± 0,2 mm total lengde 120 8,71 Knysh mfl, 2021
Sjøvann Langtid Virvelløse dyr Gammarus lawrencianus Lawrencianus tangloppe 6,1 ± 0,2 mm total lengde 144 5,54 Knysh mfl, 2021
Sjøvann Langtid Virvelløse dyr Gammarus lawrencianus Lawrencianus tangloppe 6,1 ± 0,2 mm total lengde 48 27,04 Knysh mfl, 2021
Sjøvann Langtid Virvelløse dyr Gammarus lawrencianus Lawrencianus tangloppe 6,1 ± 0,2 mm total lengde 72 17,27 Knysh mfl, 2021
Sjøvann Langtid Virvelløse dyr Gammarus lawrencianus Lawrencianus tangloppe 6,1 ± 0,2 mm total lengde 96 12,55 Knysh mfl, 2021
Sjøvann Langtid Virvelløse dyr Gammarus lawrencianus Lawrencianus tangloppe 6,1 ± 0,2 mm total lengde 120 10,07 Knysh mfl, 2021
Sjøvann Langtid Virvelløse dyr Gammarus lawrencianus Lawrencianus tangloppe 6,1 ± 0,2 mm total lengde 144 4,36 Knysh mfl, 2021
Sjøvann Langtid Virvelløse dyr Katelysia opima Indisk sandskjell 4-4,4 cm 96 86600 Suvare mfl, 2010
Sjøvann Langtid Virvelløse dyr Litopenaeus vannamei Vannameireke Postlarver 96 162 Fu mfl, 2022
Sjøvann Langtid Virvelløse dyr Marsupenaeus japonicas Kurumareke Juvenile 96 50000 Hano mfl, 2017
Sjøvann Langtid Virvelløse dyr Metapenaeus macleayi Ausraliareke Juvenile 192 4,00 McLuckie mfl, 2020
Sjøvann Langtid Virvelløse dyr Nitocra spinipes Spinipes hoppekreps Voksen 48 590 Moeris mfl, 2021
Sjøvann Langtid Virvelløse dyr Nitocra spinipes Spinipes hoppekreps Voksen 48 132000 Moeris mfl, 2021
Sjøvann Langtid Virvelløse dyr Nitocra spinipes Spinipes hoppekreps Voksen 72 160 Moeris mfl, 2021
Sjøvann Langtid Virvelløse dyr Nitocra spinipes Spinipes hoppekreps Voksen 72 132000 Moeris mfl, 2021
Sjøvann Langtid Virvelløse dyr Nitocra spinipes Spinipes hoppekreps Voksen 96 25 Moeris mfl, 2021
Sjøvann Langtid Virvelløse dyr Nitocra spinipes Spinipes hoppekreps Voksen 96 25000 Moeris mfl, 2021
Sjøvann Langtid Virvelløse dyr Palaemonetes pugio Glassreke Voksen 96 563,5 Key mfl, 2007
Sjøvann Langtid Virvelløse dyr Palaemonetes pugio Glassreke Larver 96 308,8 Key mfl, 2007
Sjøvann Langtid Virvelløse dyr Penaeus monodon Tigerreke Postlarver 48 175,00 Hook mfl, 2018
Sjøvann Langtid Virvelløse dyr Penaeus monodon Tigerreke Postlarver 48 408,00 Butcherine mfl, 2021

Tabell 6. Oppsummering av ulike arters følsomhet ved korttidseksponering (≤ 24 timer) og langtidseksponering (> 24 timer) via vann for imidakloprid, LC50/EC50 den konsentrasjonen som forårsaker 50% dødelighet/paralyse, * arter som finnes i Norge,

 

  Media Eksponering Dyregruppe Latinsk navn Artsnavn Livstadium Eksponerings tid (timer) LC50/EC50 (µg/l) NOEC/LC10 (µg/l) Kilde
Diflubenzuron Sjøvann Kortid Virvelløse dyr Tisbe battagliai Battaglia hoppekreps Larver (nauplii) 24 > 1000   Macken mfl, 2015
Sjøvann Kortid Virvelløse dyr Tisbe battagliai Battaglia hoppekreps Kopepoditt 24 > 1000   Macken mfl, 2015
Sjøvann Langtid Virvelløse dyr Eurytemora affinis Affinis hoppekreps   48 2,2   Savitz mfl, 1994
Sjøvann Langtid Virvelløse dyr Tisbe battagliai Battaglia hoppekreps Larver (nauplii) 48 > 1000   Macken mfl, 2015
Sjøvann Langtid Virvelløse dyr Tisbe battagliai Battaglia hoppekreps Kopepoditt 48 > 1000   Macken mfl, 2015
Sjøvann Langtid Virvelløse dyr Tisbe battagliai Battaglia hoppekreps Larver (nauplii) 168   0,01 Macken mfl, 2015
Sjøvann  Langtid Virvelløse dyr Uca pugilator Vinkekrabbe Juvenile 10 x 24   2 Cunningham & Myers 1987
Telfubenzuron Sjøvann Kortid Virvelløse dyr Tisbe battagliai Battaglia hoppekreps Larver (nauplii) 24 230   Macken mfl, 2015
  Sjøvann Kortid Virvelløse dyr Tisbe battagliai Battaglia hoppekreps Kopepoditt 24 1000   Macken mfl, 2015
  Sjøvann Langtid Virvelløse dyr Tisbe battagliai Battaglia hoppekreps Larver (nauplii) 48 40   Macken mfl, 2015
  Sjøvann Langtid Virvelløse dyr Tisbe battagliai Battaglia hoppekreps Kopepoditt 48 1000   Macken mfl, 2015
  Sjøvann Langtid Virvelløse dyr Tisbe battagliai Battaglia hoppekreps Larver (nauplii) 168   0,0032 Macken mfl, 2015

Tabell 7. Oppsummering av ulike arters følsomhet ved korttidseksponering (≤ 24 timer) og langtidseksponering (> 24 timer) via vann for diflubenzuron og teflubenzuron, LC50/EC50 den konsentrasjonen som forårsaker 50% dødelighet/paralyse, NOEC er den konsentrasjonen som ikke gir observerbar effekt,

 

Eksponering Media Dyregruppe Latinsk navn Artsnavn Livsstadium Eksponerings tid (timer) LC50/EC50 (µg/l) Kilde
Kortid Sjøvann Fisk Gasterosteus aculeatus* Trepigget stingsild * Voksne 24 1310 Strachan & Kennedy 2021
Kortid Sjøvann Fisk Oligocottus maculosus Stillehavsulke Voksne 24 1307 Strachan & Kennedy 2021
Kortid Sjøvann Fisk Platichthys stellatus Stjerneflyndre Juvenile 24 1208 Strachan & Kennedy 2021
Kortid Sjøvann Virvelløse dyr Neotrypaea californiensis Stillehavsspøkelseskreps Voksne 24 385 Strachan & Kennedy 2021
Kortid Sjøvann Virvelløse dyr Pandalus borealis* Dypvannsreke * Juvenile 24 670 Strachan & Kennedy 2021
Kortid Sjøvann Virvelløse dyr Pandalus borealis* Dypvannsreke * Voksne 24 927 Strachan & Kennedy 2021
Kortid Sjøvann Virvelløse dyr Pandalus danae Stillehavskystreke Juvenile 24 577 Strachan & Kennedy 2021
Kortid Sjøvann Virvelløse dyr Pandalus danae Stillehavskystreke Voksne 24 738 Strachan & Kennedy 2021
Kortid Sjøvann Virvelløse dyr Pandalus platyceros California flekkreke Juvenile 24 480 Strachan & Kennedy 2021
Kortid Sjøvann Virvelløse dyr Pandalus platyceros California flekkreke Voksne 24 893 Strachan & Kennedy 2021
Langtid Sjøvann Fisk Atherinops affinis Toppsmelt Juvenile 96 350 Strachan & Kennedy 2021
Langtid Sjøvann Fisk Cyprinodon variegatus Fårehodetannkarpe   96 1430 SEPA 2017
Langtid Sjøvann Fisk Oncorhynchus gorbuscha Pukkellaks Yngel 48 1090 Sahota mfl, 2022
Langtid Sjøvann Virvelløse dyr Acartia clausi * Clausi hoppekreps * Larver (nauplii) 48 0,57 Willis & Ling 2003
Langtid Sjøvann Virvelløse dyr Acartia clausi * Clausi hoppekreps * Kopepoditt 48 0,28 Willis & Ling 2003
Langtid Sjøvann Virvelløse dyr Acartia clausi * Clausi hoppekreps * Voksne 48 0,29 Willis & Ling 2003
Langtid Sjøvann Virvelløse dyr Americamysis bahia Amerikansk pungreke   96 617 Strachan & Kennedy 2021
Langtid Sjøvann Virvelløse dyr Americamysis bahia Amerikansk pungreke   96 0,04 SEPA 2017
Langtid Sjøvann Virvelløse dyr Americamysis bahia Amerikansk pungreke   96 0,4 SEPA 2017
Langtid Sjøvann Virvelløse dyr Corophium volutator * Volutator tangloppe *   240 6,3 SEPA 2017
Langtid Sjøvann Virvelløse dyr Crangon crangon Vanlig mudderreke   192 166 SEPA 2017
Langtid Sjøvann Virvelløse dyr Crassostrea virginica Østatlantisk østers   96 670 SEPA 2017
Langtid Sjøvann Virvelløse dyr Crassostrea virginica Østatlantisk østers   96 490 SEPA 2017
Langtid Sjøvann Virvelløse dyr Mytilus galloprovincialis Middelhavsblåskjell Embryo 48 1605 Strachan & Kennedy 2021
Langtid Sjøvann Virvelløse dyr Nephrops norvegicus* Sjøkreps *   192 572 SEPA 2017
Langtid Sjøvann Virvelløse dyr Oithona similis * Similis hoppekreps * Larver (nauplii) 48 15,8 Willis & Ling 2003
Langtid Sjøvann Virvelløse dyr Oithona similis * Similis hoppekreps * Kopepoditt 48 > 15,8 Willis & Ling 2003
Langtid Sjøvann Virvelløse dyr Oithona similis * Similis hoppekreps * Voksne 48 232 Willis & Ling 2003
Langtid Sjøvann Virvelløse dyr Pseudocalanus elongatus * Elongatus hoppekreps * Larver (nauplii) 48 0,12 Willis & Ling 2003
Langtid Sjøvann Virvelløse dyr Pseudocalanus elongatus * Elongatus hoppekreps * Kopepoditt 48 0,14 Willis & Ling 2003
Langtid Sjøvann Virvelløse dyr Pseudocalanus elongatus * Elongatus hoppekreps * Voksne 48 0,45 Willis & Ling 2003
Langtid Sjøvann Virvelløse dyr Temora longicornis * Longicornis hoppekreps * Larver (nauplii) 48 0,23 Willis & Ling 2003
Langtid Sjøvann Virvelløse dyr Temora longicornis * Longicornis hoppekreps * Kopepoditt 48 0,41 Willis & Ling 2003
Langtid Sjøvann Virvelløse dyr Temora longicornis * Longicornis hoppekreps * Voksne 48 2,81 Willis & Ling 2003
Langtid Sjøvann Virvelløse dyr Tigriopus californicus Stillehavs hoppekreps Voksne 48 2,56 Fisher mfl, 2016

Tabell 8. Oppsummering av ulike arters følsomhet ved korttidseksponering (≤ 24 timer) og langtidseksponering (> 24 timer) via vann for emamektin, LC50/EC50 den konsentrasjonen som forårsaker 50% dødelighet/paralyse, * arter som finnes i Norge,

 

Media Dyregruppe Latinsk navn Artsnavn Livsstadium Eksponerings tid (dag) LC 50 /EC 50 (µg/kg dw) NOEC Kilde
Sediment Fisk Oncorhynchus gorbuscha Pukkellaks Fry 10 2065   Sahota mfl, 2022
Sand Virvelløse dyr Alitta (Nereis) virens * Grønn sandorm *   30 > 400   McBriarty mfl, 2018
Sediment Virvelløse dyr Arenicola marina * Fjæremark *   10 111   SEPA 2017
Sediment Virvelløse dyr Arenicola marina * Fjæremark *   28 > 1000 1000 Cheng mfl, 2020
Sediment Virvelløse dyr Arenicola marina * Fjæremark *   28   1000 Cheng mfl, 2020
Sediment Virvelløse dyr Cerastoderma edule * Saueskjell *   28 > 1000 1000 Cheng mfl, 2020
Sediment Virvelløse dyr Cerastoderma edule * Saueskjell *   28   1000 Cheng mfl, 2020
Sediment Virvelløse dyr Cerastoderma edule * Volutator tangloppe *   10 153   Mayor mfl, 2008
Sediment Virvelløse dyr Cerastoderma edule * Volutator tangloppe *   10 193   SEPA 2017
Sediment Virvelløse dyr Cerastoderma edule * Volutator tangloppe *   28 316 100 Cheng mfl, 2020
Sediment Virvelløse dyr Cerastoderma edule * Volutator tangloppe *   28   30 Cheng mfl, 2020
Sediment Virvelløse dyr Eohaustorius estuarius Sandtangloppe   10 146   Kuo mfl, 2010
Sediment Virvelløse dyr Eohaustorius estuarius Sandtangloppe   2 2009-> 6000   Jacova mfl, 2022
Sediment Virvelløse dyr Eohaustorius estuarius Sandtangloppe   30 34,5   Barrett 2022
Sediment Virvelløse dyr Hediste (Nereis) diversicolor Filleorm   10 1368   Mayor mfl, 2008
Sediment Virvelløse dyr Homarus americanus Amerikansk hummer Larver (stadium IV) 5 607,05   Daoud mfl, 2018
Sediment Virvelløse dyr Homarus americanus Amerikansk hummer Larver (stadium IV) 10 250,23   Daoud mfl, 2018
Sediment Virvelløse dyr Homarus americanus Amerikansk hummer Larver (stadium IV) 15 68,82   Daoud mfl, 2018
Sediment Virvelløse dyr Homarus americanus Amerikansk hummer Larver (stadium IV) 30 17,87   Daoud mfl, 2018
Sediment Virvelløse dyr Monocorophium insidiosum * Tangloppe *   10 890   Tucca mfl, 2014
Sediment Virvelløse dyr Neanthes virens Børstemark   10 4415-> 9600   Jacova mfl, 2022
Sediment Virvelløse dyr Neanthes virens Børstemark   30 227   Barrett 2022
Sediment Virvelløse dyr Pandalus platyceros California flekkreke   10 > 4000   Park 2013
Sediment Virvelløse dyr Pandalus platyceros California flekkreke   30 745   Park 2013
Sediment Virvelløse dyr Pandalus platyceros California flekkreke   30 > 4000   Barrett 2022
Fôr Virvelløse dyr Homarus americanus Amerikansk hummer Voksne 7 644 µg/g fôr   Burridge mfl, 2004
Fôr Virvelløse dyr Homarus americanus Amerikansk hummer Juvenile (stadium V/VI) 7 > 589 µg/g fôr   Burridge mfl, 2004
Fôr Virvelløse dyr Pandalus platyceros California flekkreke   14 > 100 µg/g fôr   Park 2013

Tabell 9. Oppsummering av ulike arters følsomhet ved eksponering via sediment og fôr for emamektin, LC 50 /EC 50 den konsentrasjonen som forårsaker 50% dødelighet/paralyse, NOEC er den konsentrasjonen som ikke gir obseverbar effekt, * arter som finnes i Norge, † µg/kg våtvekt ,