Go to main content

Oversikt over fiskeri- og prøvetaking i botnfisksektoren i 2023

— torsk, hyse (NØA), sei, blåkveite, pigghå og reker (Norskerenna og Skagerrak)

1 - Bakgrunn

Bakgrunnen for denne rapporten er eit ynskje både frå dei som driv med bestandsrådgjeving og dei som samlar inn data frå fiskeria om å få ein betre oversikt over prøvetakinga av alders-/lengde data frå det kommersielle fisket. Speglar prøvetakinga fiskeriet i stor nok grad, og er prøvetakingsomfanget passande?

Store delar av denne rapporten er basert på «halvautomatisk» analyse av sluttseddeldata (fangstdata) og data over prøvetakinga frå HI sin eigen database. Det kan derfor ligga til rette for årlege rapportar av denne typen, og med publisering tidleg på året.

Målgruppa for rapporten er forskarar og teknikarar ved HI, men den kan kanskje også ha ein viss interesse utanfor Havforskingsinstituttet.

2 - Organisering av bestandsrådgjevinga ved HI

Bestandsrådgjevinga ved HI er organisert i fleire rådgjevingsprosjekt med ein bestandsansvarleg forskar for kvar bestand. Sjølve utarbeidinga av råda skjer for det meste i eigne ICES arbeidsgrupper, og for delte bestandar med Russland i den felles norsk-russiske gruppa (Joint Russian-Norwegian Arctic Fisheries Working Group, JRN-AFWG; frå og med 2022). For tobis, kongekrabbe, snøkrabbe, fjordbrisling, kystsel og vågekval gir HI nasjonale kvoteråd, medan tunfisk blir handtert av ICCAT etter svært strenge krav til prøvetaking.

«ICES kategori 1» bestandar er datarike bestandar med fullt assessment, prediksjon og referansepunkt. I Tabell 1 vert det gitt eit oversyn over «ICES kategori 1» bestandar som HI har rådgjeving på, henta frå HI sin bestandstabell. Nokre bestandar har svært mykje data både frå eigne tokt og fiskeridata, medan andre vert rekna som datafattige. Mange av bestandane er delte med andre land, her kan hovudansvarleg for bestanden vere frå andre land enn Norge. For kategori 1 bestandar som er mindre viktige for Norge, leverer Norge data på fangst i tonn til ICES, og for desse er ikkje HI direkte involvert i bestandsrådgjevinga. Dette gjeld særleg Nordsjøbestandane.

Denne rapporten avgrensar seg til kategori 1 bestandar der bestandsansvarleg på HI aktivt tar del i bestandsrådgjevinga (deltek i ICES arbeidsgrupper) og der HI legg til rette eigen fangststatistikk (antall fanga per alder og/eller lengdegruppe, vekt ved alder osv). For resterande bestandar, samt nokre av dei større bestandane vert det berre gitt ein sterkt forenkla oversikt over norsk fangst og prøvetaking per år i Vedlegg 2.

Bestand Program Prosjektnr Faglig kontaktperson Art ICES arbeidsgr.
Blåkveite BH  16016 Kristin Windsland Reinhardtius hippoglossoides AFWG*
Hvitting Nordsjøen NS  16002 Yves Reecht Merlangius merlangus WGNSSK
Hyse Nordsjøen NS  16002 Yves Reecht Melanogrammus aeglefinus WGNSSK
Hyse nordøstarktisk BH 15565 Edda Johannesen Melanogrammus aeglefinus AFWG*
Lysing KY/NS  15925 Arved Staby Merluccius merluccius WGBIE
Pigghå NK  16016 Claudia Junge, Ole Thomas Albert** Squalus acanthias WGEF
Dypvannsreke Barentshavet BH   Fabian Zimmermann Pandalus borealis NIPAG
Dypvannsreke Nordsjøen NS  16005-01 Guldborg Søvik Pandalus borealis NIPAG
Sei Nordsjøen NS  16002 Yves Reecht Pollachius virens WGNSSK
Sei nordøstarktisk BH  15565 Arved Staby Pollachius virens AFWG
Snabeluer NK  16016 Magnus Aune Sebastes mentella AFWG*
Torsk kyst nord for 62 grader N BH/KY  15565/ 15626 Johanna Fall/Brian Stock Gadus morhua AFWG
Torsk Nordsjøen NS  16002 Côme Denechaud Gadus morhua WGNSSK
Torsk nordøstarktisk BH  15565 Bjarte Bogstad Gadus morhua AFWG*
Vanlig uer NK 16016 Magnus Aune Sebastes norvegicus AFWG
Tabell 1 . Forenkla presentasjon av HI sin bestandstabell. Her er bestandar rekna som kategori 1 av ICES tekne med (sjå tekst over for nærare forklaring). Program: NK=Norskehavet, BH=Barentshavet og Polhavet, KY= Kystøkosystemer, NS=Nordsjøen.
For bestandane under, samt uer-artane, lysing, reke i Barentshavet, hvitting- og hyse i Nordsjøen og vert det berre gitt ein svært forenkla oversikt i Vedlegg 1
Tunge Nordsjøen NS  16002 Halvard Midtun Solea solea WGNSSK
Tunge Skagerrak/Kattegat NS  16002 Halvard Midtun Solea solea WGNSSK
Rødspette Nordsjøen NS  16002 Jon Egil Skjæraasen Pleuronectes platessa WGNSSK
Sjøkreps Skagerrak NS 14932 Guldborg Søvik Nephrops norwegicus WGNSSK

*sidan invasjonen av Ukraina har Russland blitt ekskludert frå ICES og rådgjevinga blir gjort i en bilateral arbeidsgruppe på Teams.**Frå mai 2024 er Aurelien Delaval bestandsansvarleg.

I tillegg til rådgjevingsprosjekt per bestand er det fleire prosjekt som står for innsamlinga av fiskeridata, og som vert gjennomført i forskingsgruppe Fiskeridynamikk. Her vert alder- og lengdedata med meir frå dei kommersielle fiskeria samla inn ved hjelp av samplingsprogram. Referanseflåten er det klart største programmet i botnfisksektoren. Oversyn over prøvetakingsprogramma er vist i Tabell 2 , og nærare forklara i eige kapittel.

Prøvetakingsplattform Kode Prosjekt Prosjektleiar Program* Beskriving av plattforma
(Kommersielle prøver ) 1 **      
Referanseflåte hav 2 15561 Tom Williams BH  
Referanseflåte kyst 3 15561 Tom Williams BH  
(Turistfiske) 6 15716 Keno Ferter KY  
(Fritidsfiske) 7 15716 Keno Ferter KY  
Sjøtjenesten- kommersielt fiske 9 15570 Håkon Otterå BH Årleg bestilling
Kystvakt 10 15570 Håkon Otterå BH Årleg bestilling
Prøvebåt 11 15571 Håkon Otterå BH Kvalitetssystemet
(Møreforskning) 12 15571 Håkon Otterå BH Årleg bestilling
(Sjøtjenesten – innleid fartøy) 13 15570 Håkon Otterå BH Årleg bestilling
Kommersielle prøver sjø 17 **      
Kommersielle prøver land - annet 18 15571 Håkon Otterå BH Årleg bestilling
(Fiskerisampling – lotteri) 19 15726 Håkon Otterå NK  
Tabell 2 . Oversikt over prøvetakingsplattformar som samlar inn prøver frå fiskeria. Plattformer i parentes blir ikkje brukt i denne rapporten fordi dei enten ikkje blir brukt lenger eller ikkje er relevante for fiskeria i denne sektoren. Sjå detaljar i eige kapittel.

*NK=Norskehavet, BH=Barentshavet og Polhavet, KY= Kystøkosystemer.

**Kan bli brukt for diverse prøvetaking organisert gjennom "bestandsprosjekta".

Data frå fiskeria får vi frå Fiskeridirektoratet. Dette omfattar sluttsetel, elektronisk fangstdagbok m.m. For detaljar om dette gjev denne sida (Fiskeridata (sharepoint.com)) ein god oversikt. Hans Hagen Stockhausen ved Fiskeridynamikk er kontaktperson for bruk av «fiskeridata».

3 - Prøvetakingsplattformar

Under vert det gitt ein kort forklaring av kva plattformar ein bruker for å ta prøver frå fiskeria. Dette er presentert slik dataene er gruppert i Biotic, med «missiontype». Hovudstrategien for å dekke botnfiskartane er tre operative samplingprogram: Referanseflåten-Hav, Referanseflåte-Kyst, og Prøvebåten. Referanseflåtane er utforma for å dekke all fangst med reiskap som fiskar botnfisk frå norske fartøy. Prøvebåten er innretta for å dekke fiskeri av torsk, hyse og sei i nord, og direktefiske etter blåkveite. Desse samplingprogramma treff nokre reiskapsgrupper litt dårleg, og i tillegg gjer omsyn til forvaltning at nokre fiskeri må dekkast grundigare enn det relative volumet av fiske tilseier. Supplerande prøver vært derfor samla inn gjennom Referanseflåte-Light, og samarbeidande institusjonar som Møreforskning og Runde miljøsenter. Vi samlar også inn observasjonelle data frå kontrollverket (Fiskeridirektoratets sjøteneste og Kystvakta). Observasjonelle data er samla inn for andre føremål enn det vi nyttar dei til.

Kommersielle prøver (missiontype = 1): Lite nytta for botnfisk. Dette er prøvar frå kommersielt fiskeri, der prøven er teken om bord. Blir brukt i pelagisk fiskeri for bestandar som ikkje er dekka av denne rapporten.

Referanseflåte hav (missiontype = 2): Operativt samplingprogram. Den havgåande Referanseflåten vart etablert i 2000. Referanseflåten skal gi Havforskingsinstituttet inngåande informasjon om samansetning av enkeltfangster og den generelle fiskeriaktiviteten i norsk sone. Flåten er bredt samansett, og systemet for prøvetaking og bebreiding av innsamlede data er nesten identisk med det som er protokoll for instituttets eigne undersøkingar med forskingsfartøy. I 2022 bestod den havgåande referanseflåten av 15 fartøy. Fartøya rapporterer totalfangst av kommersielle artar frå kvart hal, i tillegg rapporterast det totalfangst (kommersielle arter, bifangst og utkast) frå eit hal kvar tredje dag. Frå desse hala rapporterer de lengde-vekt av opptil 20 individ av kvar art i halet, i tillegg samlast det inn otolittar frå dei kommersielle artane ein gong i veka. Referanseflåten er den største kjelda til fiskeridata ved HI. Saman med data frå Referanseflåte hav er også arkivert data frå Referanseflåte-light. Dette er supplerande prøver, frå fartøy som gjer forenkla prøvetaking av utvalde kommersielle arter, fyrst etablert for sei. Data er lagra med plattform/dataleverandør “kommersielle fartøy”, medan den ordinære Referanseflåte hav er lagra med plattform/dataleverandør som koder for fartøyet.

Referanseflåte kyst (missiontype = 3): Operativt samplingprogram. Kystreferanseflåten vart etablert i 2005. I 2022 bestod kystreferanseflåten av 20 mindre (9–16 meter) fartøy. Prøvetakinga er liknande som for den havgåande referanseflåten, men kystreferanseflåten rapporterer totalfangst (kommersielle arter, bifangst og utkast) frå kvar dagsfangst. Det tas lengdemålingar av heile fangsten, og samlast inn otolittar frå de kommersielle artane ein gong i veka.

Turistfiske (missiontype = 6): Dette er prøvar frå turistfiske, ikkje relevant sidan det berre finst sporadiske data for fangst og prøvetaking.

Fritidsfiske (missiontype = 7): Dette er prøvar frå fritidsfiske, ikkje relevant sidan det berre finst sporadiske data for fangst og prøvetaking.

Sjøtjenesten – kommersielt fiske ( missiontype =9): Observasjonelle data. Sjøtjenesten er Fiskeridirektoratet sitt kontrollorgan på havet. Dei gjennomfører kontroll av fangst og fiskereiskap for å sjekke om regelverket vert fulgt, og for å vurdere stenging av fiskefelt. Kontrollen vert gjort enten av inspektørar som vert sett ombord i fiskefartøy i ordinært fiske eller frå Sjøtjenesten sine eigne fartøy. Kontrollverksemda er risikobasert, slik at dei konsentrerer innsatsen sin etter ei risikovurdering over kva fiskeri som har utfordringar i høve til regelverk, konfliktar, minstemål, etc. HI får data frå disse kontrollane, i hovudsak lengdemålingar av kommersielle artar og i noko grad også otolittprøver. HI har årleg dialogmøte med Sjøtjenesten og sender også detaljert bestillingsbrev over kva data vi ynskjer. Sjølv om aktiviteten til Sjøtjenesten er risikobasert gjelder dette i stor grad kva fiskeri dei kontrollerer og i mindre grad kva fartøy dei kontrollerar. Sjå også missiontype 13 under.

Kystvakt (missiontype= 10): Observasjonelle data. Kystvakta gjennomfører mange fiskeri-inspeksjonar på havet frå sine fartøy. Kontrollverksemda er risikobasert på same måte som den Sjøtjenesten gjennomfører. HI får data frå disse kontrollane, i hovudsak lengdemålingar av kommersielle artar og i noko grad også otolittprøver. HI har årleg dialogmøte med Kystvakta (i lag med Sjøtjenesten) og sender også detaljert bestillingsbrev over kva data vi ynskjer. Sjølv om aktiviteten til Kystvakta er risikobasert gjelder dette i stor grad kva fiskeri dei kontrollerer og i mindre grad kva fartøy dei kontrollerar.

Prøvebåt (missiontype = 11): Operativt samplingprogram. Prøvebåten er eit innleigd fartøy (for tida «Falkungen») som vi brukar som utgangspunkt for prøvetaking på fiskebruk i Nord Norge. Prøvebåten vert brukt ca 180 døgn i året, i hovudsak i 1. halvår, og er bemanna med to personar frå HI i tillegg til skippar. Prøvebåten dekkar kystfiskeriet, i hovudsak mindre garn-, line-, juksa- og snurrevadfartøy som leverar fangsten sin rund eller sløyd i land. Det vert teke aldersprøvar av utvalde fangstar, vanlegvis 20 individ. I hovudsak torsk, hyse, sei og blåkveite. Prosedyre for gjennomføring av prøvetakinga er å finne i kvalitetssystemet til HI (-> Data -> toktbeskrivelser -> ).

Møreforskning (missiontype = 12): Supplerande prøver. Dette er prøvetaking gjennomført av Møreforskning på fiskemottak på Sunnmøre etter oppdrag frå HI. Disse prøvane vert no registrert under missiontype 18, sjå under. Missiontype 12 vert ikkje lenger brukt.

Sjøtjenesten – innleid fartøy (missiontype = 13): Observasjonelle data. Dette er data samla inn av Sjøtjenesten frå undersøkingar dei gjer med innleigde kommersielle fartøy. Dette vert ofte gjort for å undersøke innblanding av undermåls fisk eller uønska bifangst i områder som er stengt for fiske. Prøvane kan derfor ikkje sjåast på som representative for ordinært fiske og bør vanlegvis ikkje brukast som «fangstprøver». Missiontype 13 vert ikkje vist i denne rapporten.

Kommersielle prøver sjø (missiontype 17): Supplerande prøver. Blir brukt for prøvar av reker i sør, tekne av kommersielle fartøy etter avtale.

Kommersielle prøver land – annet (missiontype 18): Supplerande prøver. Dette er prøvar frå kommersielt fiskeri tekne på landanlegg (utanom Prøvebåten). Dette gjelder prøvetaking gjennomført av Møreforskning og Runde Miljøsenter på fiskebruk på Sunnmøre. I tillegg er det prøvar av sei levert på landanlegg sør for 62°N (Bulandet). HI sender årleg bestillingsbrev til Møreforskning og Runde Miljøsenter der vi bestiller slik prøvetaking.

Fiskerisampling – lotteri (missiontype = 19): Lite nytta for botnfisk. Dette er prøvar bestilt gjennom «fangstprøvelotteriet» (www.hi.no/fangstprover). Gjelder sild, kolmule, makrell, hestmakrell, brisling, tobis, øyepål, lodde og vassild. Ei liknande ordning er under planlegging også for botnfisksektoren.

4 - Berekning av fangst per alder

Prøvene frå fiskeriet vert, saman med sluttseteldata frå Fiskeridirektoratet, brukt til å estimere fangst ved alder for den norske fiskeflåten, gjennom modellen ECA (Estimating Catch at Age; Hirst et al. 2004). Denne er utvikla i samarbeid mellom Norsk Reknesentral og HI, og har vorte brukt sidan starten av 2000-talet. I 2020 vart denne modellen implementert i eit R-bibliotek, og tatt i bruk i det HI-utvikla programmet StoX (Johnsen et al. 2019): Stox-Reca. Her vert totalvekta frå heile det norske fiskeriet i løpet av eit år fordelt på aldersgrupper basert på aldersfordeling og individvekt i prøvegrunnlaget frå dei forskjellige prøvetakingsplattformane. Det er viktig at prøvane, i størst mogleg grad, er representative for fiskeriet, då desse fungerer som ei “stikkprøve”. Storleik og alderssamansetjing i fangstane varierer med kva reiskap som vert brukt, kvar og når den har vorte fiska, fartøy og hal. Både reiskap, område og kvartal er effektar som påverkar modellen, og dei forskjellige kombinasjonane av desse vert behandla separat. Ideelt sett vil ein ha prøver frå kvar av desse unike reiskap-/område-/kvartal-kombinasjonane. Derfor vert det samla inn prøver frå ei rekkje forskjellige plattformer, med mål om å få ei best mogleg dekning av det svært variable fiskeriet.

Fangst ved alder er ein viktig del av bestandsvurderinga for dei aldersstrukturerte bestandane ved HI. Stox-Reca inngår i rådgjevingsprosessen for følgjande bestandar:

  • Nordaustarktisk torsk og kysttorsk (62-67° og nord for 67°)

  • Nordaustarktisk hyse

  • Nordaustarktisk sei

  • Nordsjø torsk

  • Nordsjø hyse

  • Nordsjø sei

  • Vanleg uer

5 - Datagrunnlag og koding av data

Datagrunnlaget for denne rapporten kjem frå to kjelder; Fiskeridirektoratet sin sluttsetelstatistikk (FDIR_HI_LSS_FANGST_2023_PR_2024-02-05.psv", og HI sin database, Biotic (lasta ned 30-04-2024).

For alle bestandar er sluttseteldata filtrert på Fartøynasjonalitet=Norge. Ver merksam på at for 2016 og tidlegare er det noko endringar i koding av art (Art.FAO) og enkelte variabelnavn. Ein oversikt over talet på sluttsetellinjer per art (Art.FAO) dei siste 10 åra er vist i Vedlegg 1.

Bestandane vi omtalar er definert utfrå art og kvar fisken er fanga. For fangstområde brukar vi Fiskeridirektoratet sin kode «Nord.sør.for.62.grader.nord», der N for 62° er hovudområda; Ia, Ib, IIa1, IIa2, IIb1, IIb2 og sør for 62 er hovudområda IIIa, IVa, IVb, Ivc. Inndelinga vert vidare omtala under kvar bestand. Fangstar utanom disse områda er ikkje med i denne rapporten. Eindel artar (torsk, hyse, sei, reke) vert forvalta separat nord og sør for 62 grader, og disse vert splitta i statistikken tilsvarande. For torsk som har fleire bestandar nord for 62° splittar vi ikkje disse, sidan slik splitting ikkje er mogeleg i sluttsetelstatistikken. Resterande artar vert ikkje splitta eller filtrert geografisk, sjølv om hovudfangsten f.eks er i Nordsjøen.

I sluttsetelstatistikken vert Fiskeridirektoratet sitt kodesystem for reiskap brukt (kodeliste er å finna på Fdir sine heimesider). For å forenkla presentasjonen av fangstdata har dette blitt noko forenkla, etter reglar vist i Tabell 3 . Tilsvarande vart gjort for kodane brukt i Biotic (https://referenceeditor.hi.no/apps/referenceeditor/v2/tables).

Ny kode Kode i sluttsetel Kode i Biotic
Garn Settegarn, Udefinert garn 4000 – 4199
Line Andre liner, Autoline, Flyteline 5100 – 5199
Handsnøre Juksa/pilk, Dorg/harp/snik, Udefinert krokredskap 5200 – 5299
Not Snurpenot/ringnot, Udefinert not 3700 – 3799
Botntrål Bunntrål, Bunntrål par, Udefinert trål 3100 – 3199
Reketrål Reketrål (herunder sputniktrål) 3200 – 3299
Flytetrål Flytetrål, Flytetrål par 3500 – 3599
Snurrevad Snurrevad 3600 – 3699
Ruser og teiner Ruser, Havteiner, Teiner 4300 - 4399, 5300 - 5399
Anna Resterande koder Resterande koder
Tabell 3 . Oversikt over rekoding av reiskapstypar frå sluttsetelstatistikk og frå Biotic.

Data er ofte vist som aggregerte verdiar per strata. Her har vi definert eit stratum som kombinasjonen av Hovedområde (Fdir), kvartal og reiskapskode som vist ovanfor («Ny kode»).

I tabellar/figurar som visar vår prøvetaking har vi brukt “catch” -tabellen frå Biotic og variablane lengthsamplecount og agesamplecount. Vi har ikkje talt opp faktisk lengdemålt fisk (frå individual) eller faktisk aldersleste individ (frå agedetermination). Vi har og fokusert på å telja prøvar tekne og ikkje kor mange individ som er lengdemålt eller tekne aldersprøvar av. F.eks viser vi i Tabell 8 (og tilsvarande tabellar) tre verdiar som viser tal på prøvar:

  1. tal på prøvar med agesamplecount >=1 (referert til som A1)

  2. tal på prøvar med agesamplecount >=15 (referert til som A15)

  3. tal på prøvar med lengthsamplecount >=15 (referert til som L15)

I sluttsetelstatistikken vert det også oppgitt i kva form fisken vert landa. Dette er ikkje så relevant for sjølve bestandsrådgjevinga men vil påverka på korleis prøvetakinga kan gjerast. Det er for eksempel vanskeleg å finna alder på ein torskefilet. Fiskaren har ofte veldig presis vekt for «produktet» som må reknast om til rundvekt ved hjelp av omrekningsfaktorar. Vi kjem ikkje inn på denne problemstillinga i denne rapporten. For variablen «produkttilstand» i sluttsetelstatistikken har vi brukt følgande forenklingar vist i Tabell 4 .

Ny kode I sluttsetel
Rund Rund
Sløyd Sløyd uten hode, rundsnitt; Sløyd med hovud; Bukskåret/Japankutt; Japankuttet uten spord; Sløyd uten hode, uten ørebein; Sløyd uten hode, rettsnitt; Sløyd med hode uten gjeller; Hodekappet
Filet Filet med skinn, med bein; Filet med skinn, uten bein; Filet uten skinn, uten bein og buklapp; "Filet uten skinn og uten bein; Filet uten skinn, med bein; Filet u/skinn, u/bein,water-jet cutter; Filet m/skinn, u/bein, water-jet cutter
Anna Resterande kodar
Tabell 4 . Oversikt over rekoding av produkttilstand frå sluttsetelstatistikken.

Prøvetakingdata frå fiskeflåten som er lagra i biotic kan vera samla inn av spesielle grunnar eller ikkje vera representative for fangsten. Disse må brukast med varsemd og i mange tilfelle må deler av datamaterialet ekskluderast frå analysar som gjeld bestandssituasjonen. I denne rapporten presenterer vi ufiltrerte data, men viser eksempel på ting ein må vurdere i bruken av data i tre tabellar under. Vi har likevel fjerna prøver tekne av utkast (group = 23, 24 eller 25) i oppsummeringstabellen som kjem til slutt i kvart bestandskapittel. Vidare er det kun ein delprøve som vert talt med i dei tilfella ein har teke fleire prøvar frå same fangsten.

I Tabell 5 vert det gitt ein oversikt over «gruppe» (om prøven er teken frå ein bestemt del av fangsten, eks. frå utkast) per prøvetakingsplattform for alle artane i denne rapporten. Tilsvarande oversikt over «prøvetype» (korleis prøven er teken; eks. “representativ lengde- eller diametermåling) vert gitt i Tabell 6 .

I prøvetakinga er det ynskjeleg å ha prøvar frå mange ulike fartøy, i staden for mange prøvar frå få fartøy. Ein oversikt over kor mange unike fartøy vi har prøvar for per art og prøvetakingsplattform er vist i Tabell 7 .

For forklaring av kodane for group og missiontype vert det vist til reference-editor. (Group mellom 53-95 er tekne av spesifikke KV-fartøy).

  Missiontype
Group 10 11 17 18 2 3 9
20 0 0 0 0 66 15 0
23 0 0 0 0 891 2584 0
24 0 0 0 0 1 0 0
25 0 0 0 0 0 111 0
26 0 967 0 9 19563 5698 0
29 0 0 0 0 1088 0 0
41 0 0 0 0 0 0 699
49 0 3 0 0 0 0 0
51 23 0 0 0 0 0 0
52 0 0 48 0 0 0 0
57 3 0 0 0 0 0 0
60 38 0 0 0 0 0 0
78 104 0 0 0 0 0 0
82 231 0 0 0 0 0 0
88 23 0 0 0 0 0 0
89 41 0 0 0 0 0 0
90 17 0 0 0 0 0 0
91 132 0 0 0 0 0 0
92 45 0 0 0 0 0 0
93 404 0 0 0 0 0 0
94 408 0 0 0 0 0 0
95 205 0 0 0 0 0 0
NA 1 3 0 37 0 3 34
Tabell 5 . Talet på prøvar per GRUPPE (group) for kvar prøvetakingsplattform (missiontype) i 2023.

For forklaring av kodane for sampletype og missiontype vert det vist til reference-editor.

  Missiontype
Sampletype 10 11 17 18 2 3 9
10 1542 0 0 0 60 1344 426
20 30 442 0 19 1080 500 6
21 0 0 0 0 10 2 0
23 0 0 0 0 26 7 0
25 0 0 0 0 69 960 0
26 0 29 0 9 76 432 0
30 0 9 0 0 0 0 0
34 0 0 0 0 3199 17 0
90 1 0 0 0 0 3 47
91 86 0 0 0 0 329 1
92 14 0 48 0 1 0 0
NA 2 493 0 18 17088 4817 253
Tabell 6 . Talet på prøvar per PRØVETYPE (sampletype) for kvar prøvetakingsplattform (missiontype) i 2023.

For forklaring av kodane for missiontype vert det vist til reference-editor.

Art 10 11 2 3 9 17 18
blåkveite 22 40 13 5 3 - -
dypvannsreke 56 - 4 4 29 5 -
hvitting 62 7 13 16 5 - -
hyse 267 220 22 23 30 - 4
lysing 43 6 15 18 - - 1
pigghå - 3 9 15 - - 1
rødspette 44 53 11 20 - - 3
sei 225 239 24 25 55 - 4
sjøkreps 15 - 3 6 3 - -
snabeluer 15 1 12 5 2 - -
torsk 306 282 22 24 58 - 12
vanlig uer 32 30 16 12 11 - -
Tabell 7 . Talet på unike fartøy (catchplatform) vi har prøvar frå (linjer i biotic-catchsample) for kvar prøvetakingsplattform (missiontype) i 2023.

6 - Bestandskapittel

6.1 - Nordøstarktisk hyse

Bestandsansvarleg: Edda Johannesssen 

NØA hyse avgrensast i sør frå Nordsjøhyse ved 62°N. Hyse fanget i FAO område 27.1 og 27.2 reknast som NØA hyse.

6.1.1 - Fiskeri, rådgiving og bestandsutvikling

Totalbiomassen og gytebiomassen var på historisk maksimum 2010-2013 ( Figur 1 ). Dette skuldast redusert fiskepress, og dei sterke 2005-2006-årsklassane. Fangstane var på over 300 kt i 2011 og 2012, sidan då har dei vore på omlag 200 kt, men er nå på veg nedover p.g.a. dårleg rekruttering i åra etter 2017.

Kvoterådet for NØA hyse blir rekna ut av ICES Arctic Fisheries Working Group (AFWG) i april kvart år. I 2022 vart Russland ekskludert frå ICES. Sidan då har bestandsvurderinga vorten gjort av ei bilateral arbeidsgruppe (Joint Russian Norwegian Arctic Fisheries Working Group, JRN-AFWG). Rådet vert offisielt i juni kvart år. Kvota blir bestemt av den blanda Norsk Russiske fiskerikommisjon (Joint Russlan Norwegian Fishery Commision) i oktober kvart år. Kvota delast likt mellom Noreg og Russland, med ein liten del til tredjeland ( Figur 2 ).

  • Diagram som visar bestandsutvikling.

Figur 1 Utvikling i fangstar og fisketrykk (1950-2022), rekruttering og bestandsutvikling (1950-2023). Standard-graf frå bestandvurdering (Howell et al 2023).

Søylediagram over fangstutvikling. Figur 2 . Fangstar og kvote av NØA hyse 1960-2022 fordelt på land. Henta frå rådgjevingsarket (JRN-AFWG 2024).

6.1.2 - Utvikling i dei norske fiskeria

Mesteparten av dei norske fangstane vert tekne med botntrål, omlag like delar tas med snurrevad og line, delen som vert teken med snurrevad har auka noko, medan delen av trål og line har vorte noko redusert dei siste åra (Figur 3). Garn og andre reiskap er blitt mindre viktige og utgjer mindre enn 3% av totalen dei siste åra.

 

Søylediagram over fangstutvikling.
Figur 3 . Norske fangstar NØA hyse fordelt på reiskap.

 

Karta i Figur 4 viser fangstar fordelt på fiskeridirektoratets kvartal og hovudområde dei siste fire åra. Særskilt for 2023 var det relativ høg fangst i fjerde kvartal med line i russisk sone og mindre fangst i Aust-Finnmark samanlikna med året før.

 

Kart over fangst per hovedområde.
Figur 4 . Kakediagram over norske fangstar per hovudområde og kvartal 2020-2023.

 

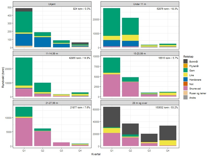
6.1.3 - Fordeling av hysefangster per fartøykategori 2023

Figur 5 viser fangst per reiskap, kvartal og lengdegruppe av fartøy. Mesteparten av fangstane tas av trålfartøy > 28 m i første og andre kvartal, linefartøya er stort sett under 15 m og fiskar meir jamt gjennom året, med dei største fangstane i fjerde kvartal. Snurrevad-fartøya er hovudsakleg 15-28 m og fisker mest i første til tredje kvartal ( Figur 5 ).

 

Søylediagram over landing per fartøystorleik og reiskap.
Figur 5 . NØA hyse 2023: Fangst per kvartal, reiskap og lengdegruppe fartøy. Totalfangst for lengdegruppa i tonn, og prosent av totalfangsten for alle fartøygrupper er vist inne i kvart panel.

 

Figur 6 viser produkt-tilstand ved levering fordelt på fartøy-gruppe og fylke. Mesteparten av hysefangsten vert levert sløyd i Troms og Finnmark av fartøy >28m.

 

Søylediagram over landing per fylke.
Figur 6 . Per produkttilstand, fartøy-lengdegruppe og landingsfylke.

 

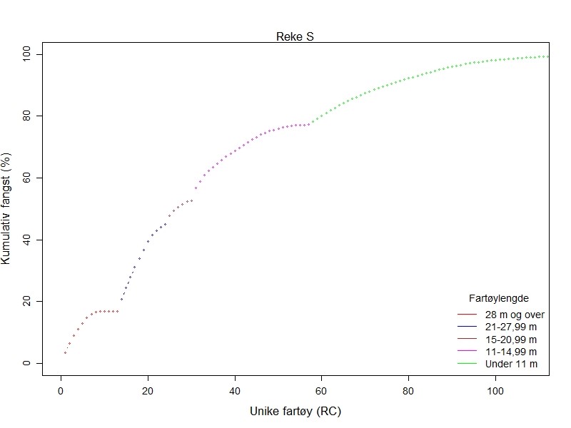
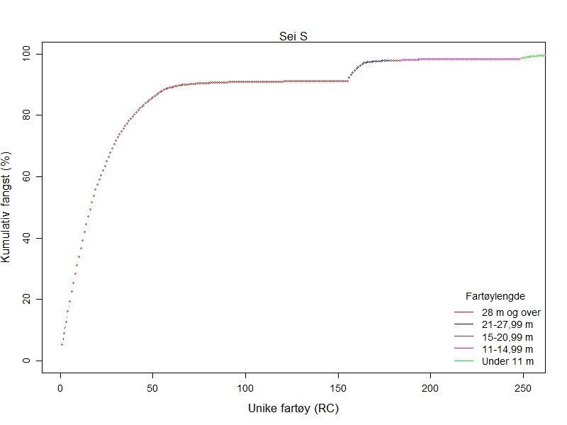
Over 70% av fangsten av NØA hyse vert fiska av om lag 100 fartøy over 28m, medan resten fordelar seg på mange hundre mindre fartøy ( Figur 7 ).

 

Linjediagram som viser kummulativ fangst per fartøygruppe.
Figur 7 . Kumulativ fangst (til 99% av totalfangst) per unike fartøy, og per lengdegruppe av fartøy, 2023. Fartøy uten radiokallesignal (RC) er ikkje med.

 

6.1.4 - Fangststatistikk og prøvar 2023

Antall og vekt ved alder regnast ut med StoX-Reca med data frå sluttsetel og biologiske prøver frå dataset-explorer, i Stox_reca vert biologiske prøver tilordna fangstane basert på periode, reiskap og område. For hyse vert dei 30 statistiske hovudområda gruppert i åtte hyse-område (sjå under). Denne gruppering har vore slik i alle fall sidan 2004.

Hyseområde 1 2 3 4 5 6 7 8  
Hovudområde 0 12 4 6 5,37,36,38, 39 7,30,34,35,50 20,21,22,23,25,26, 27 1,2,3,10,11,13,15, 18,24,15

For hyse nyttar vi kvartal og fire reiskapskoder (sida 2022): snurrevad, trål, line og anna. Vi nyttar berre biologiske prøvar som inkluderer alder. Dette starta vi med i 2022.

Figur 8 viser kart over fangstar i 2023 fordelt på reiskap, hovudområde og kvartal. Det meste av fangsten vert teke med trål i første kvartal, etterfølgt av trål og noko meir snurrevad i andre kvartal. Det var minst fangstar i 3. kvartal, mens det i fjerde kvartal vert teke en del hyse med line langs kysten og heil i aust, og ein del med trål ved Bjørnøya.

 

Kart over fangst per hovedområde.
Figur 8. Norsk fangst fordelt på hovudområde, reiskap og kvartal.

 

Tabell 8 viser biologiske prøver fordelt på hovudområde, reiskap og kvartal og plattform. Mesteparten av prøvene kjem frå referanseflåte hav. Tabell i indikerer at det blir samla inn uforholdsmessig mange prøver frå garn.

6.1.5 - Konklusjon/avrunding

Prøvetaking i 2023 ser ut til å vere tilfredsstillande. Det er truleg noko over-sampling frå garn-fiske, utan at dette er noko problem. Det kunne vore fleire aldersprøver frå snurrevad i område 3 i Q2, i fjor (fangstdata frå 2022) skapte manglande prøver frå dette området og kvartalet usikkerheit i alders-fordelinga i fangst-statistikken.

Tabell 8. Tonn rundvekt per stratum for NØA hyse 2023, samt N-prøver (A15/L15/A1) per plattform. KV=Kystvakt, PB=Prøvebåt, KL/KS=Kommersielle prøver land/sjø, RH=Ref-hav, RK=Ref-kyst, SJ=Sjøtjenesten. Dei 155 strata med siste 5% av totalfangsten har blitt slått saman til REST.

Stratum Tonn cperc KV PB KL RH RK SJ
12/Q1/Botntrål 11.206 12 1/1/1 - - 10/36/10 - -
12/Q2/Botntrål 8.771 22 - - - 6/16/6 - -
01/Q4/Line 6.311 29 - - - 11/22/11 - -
04/Q2/Botntrål 5.660 35 1/2/1 - - 5/23/5 - -
20/Q4/Botntrål 5.389 41 -/17/- - - 14/29/14 - -
04/Q1/Botntrål 4.958 46 - - - 18/48/19 - -/7/-
03/Q2/Snurrevad 4.266 51 -/10/- 9/9/9 - 7/13/8 - -/2/-
05/Q2/Botntrål 3.940 55 1/4/1 - - 4/5/4 - -
05/Q1/Botntrål 2.863 58 -/1/- - - 4/15/4 - -/22/-
05/Q1/Snurrevad 2.098 61 -/4/- 4/4/4 - 3/18/3 - -/2/-
20/Q3/Snurrevad 2.016 63 -/4/- - - 5/10/5 - -
10/Q1/Line 1.862 65 - - - 1/3/1 - -
05/Q4/Line 1.759 67 -/1/- 1/1/1 - 1/1/1 - -
03/Q3/Snurrevad 1.628 69 -/3/- 3/3/3 - 1/2/2 - -
12/Q2/Line 1.579 70 - - - 10/25/10 - -
03/Q4/Line 1.333 72 -/1/- 13/13/13 - - - -
03/Q2/Line 1.296 73 -/2/- 1/1/1 - - - -
11/Q4/Line 1.198 75 - - - 1/3/1 - -
12/Q1/Line 1.152 76 1/2/1 - - 3/12/3 - -
03/Q1/Line 1.115 77 -/1/- 3/3/3 - -/1/- 1/1/1 -
05/Q1/Line 1.107 78 -/1/- 2/2/2 - 4/12/4 - -
00/Q1/Snurrevad 1.010 79 - - - -/2/- - -/2/-
20/Q1/Botntrål 952 80 -/2/- - - 3/8/3 - -
04/Q2/Snurrevad 931 81 -/1/- 1/1/1 - 3/11/4 - -
05/Q3/Snurrevad 924 82 - - - - - -
20/Q4/Line 822 83 -/6/- - - 8/17/8 - -
05/Q3/Line 649 84 - - - 4/9/4 - -
05/Q2/Line 621 85 -/2/- - - 3/9/3 - -
01/Q3/Line 602 85 - - - 2/3/2 - -
20/Q3/Botntrål 531 86 -/1/- - - 2/4/2 - -
11/Q1/Line 450 87 - - - 3/8/3 - -
05/Q2/Snurrevad 447 87 -/2/- - - 1/2/1 - -
07/Q1/Snurrevad 401 87 - - 3/3/3 -/2/- -/1/- -
05/Q4/Snurrevad 394 88 -/2/- - - - - -
20/Q1/Line 390 88 -/1/- - - 11/35/11 - -
04/Q1/Snurrevad 381 89 -/1/- 3/3/3 - 2/5/2 -/2/- -
07/Q4/Snurrevad 377 89 -/3/- - 2/2/2 -/3/3 -/1/- -
20/Q2/Snurrevad 345 90 - - - 1/4/1 - -
03/Q1/Snurrevad 337 90 -/2/- - - 1/2/1 - -
03/Q3/Line 370 90 - - - - - -
04/Q3/Snurrevad 335 91 - 2/2/2 - -/-/1 - -
04/Q4/Line 272 91 -/1/- 4/4/4 - - - -
21/Q2/Botntrål 292 91 - - - - - -
05/Q1/Garn 257 92 - - - 5/11/10 5/9/19 -
07/Q2/Snurrevad 265 92 - - - - - -
07/Q3/Snurrevad 254 92 - - - - - -
00/Q3/Snurrevad 251 92 - - - - - -
12/Q4/Line 247 93 -/1/- 1/1/1 - 5/10/5 - -
03/Q4/Snurrevad 236 93 -/5/- 2/2/2 - - - -
11/Q3/Line 226 93 - - - 1/2/1 - -
04/Q4/Snurrevad 210 93 - 1/1/1 - - - -
10/Q4/Line 203 94 - - - 1/1/1 - -
07/Q1/Garn 161 94 - - - 1/1/2 1/3/3 -
00/Q1/Line 154 94 - 4/4/4 - - - -
04/Q3/Botntrål 147 94 - - - 9/12/9 - -
04/Q3/Line 165 94 - - - - - -
22/Q4/Botntrål 149 94 - - - - - -
00/Q1/Garn 147 95 -/1/- - - 1/2/1 5/10/33 -
03/Q1/Botntrål 142 95 -/2/- - - 1/4/1 - -
06/Q1/Botntrål 140 95 - - - - - -
REST 4.633 100 -/36/- 19/19/23 - 75/170/114 100/129/131 -/15/-

6.2 - Nordøstarktisk sei

Bestandsansvarleg: Arved Staby 

Sei fiska nord for 62 °N, i ICES områda 27.1 og 27.2 vert forvalta som nordaustarktisk sei (NØA sei). Største delen av NØA sei biomassen er fordelt på bankane mellom Stadt og Kirkenes, der storparten av 3-7 åringane finst.  

6.2.1 - Fiskeri, rådgjeving og bestandsutvikling

Sidan 2015 har NØA sei kvoten auka slik at 226 794 tonn kunne fiskast i 2023 (Figur 9). Med få unnatak har kvoten vore over 150 000 tonn sidan byrjinga av 1990 talet. Fiskeridødeligheten har vore under F mp (0,32) sidan 2013, og gytebestanden har vore over B trigger (226 000 tonn) sidan midten av 1990 talet (Figur 9). Rekruttering er varierande, og dei siste årsklassane som kan kallast over middels  er 2013 og 2016 årsklassane (3 åringar i Figur 9). 

 

Diagram som visar bestandsutvikling.
Figur 9. Utvikling i fangstar og fisketrykk, rekruttering og bestandsutvikling (1950-2023). Standard-graf frå bestandvurdering (Howell et al 2023). 

 

 

Norge tek den største delen av kvoten (mellom 85-93% etter 2015), deretter Russland (5-11%), Frankrike, Tyskland, Grønland, Island, UK og Færøyane (Figur 10). Storparten av fangstane vert tekne med botntrål (44% i 2023), medan snurrevad, seinot og garn tek nesten like mye (henholdsvis 20%, 18% og 17%, Figur 11). Sidan 2015 har prosentdelen tekne med snurrevad auka (Figur 11). Generelt sett fiskar ein med seinot mest sett 3-5 åringar, medan botntrål fiskar eldre/større fisk (5-8 åringar), og garn endå eldre/større fisk( 5-10 åringar).  

 

Diagram som visar bestandsutvikling.
Figur 10. Fangstar og kvote av NØA sei 1960-2022 fordelt på Norge og andre land (inkluderer Russland, Frankrike, Tyskland,  Grønland, Spania, Island, og UK). Henta frå (Howell et al 2023). 

 

 

 

Søylediagram over fangstutvikling.
Figur 11. Norske fangstar av NØA sei frå 2014 til 2023 fordelt på reiskap. 

 

Største delen av fiskeriet skjer nord for Vestfjorden i dei statistiske områda 3 – 5. Fangstane sør for Vestfjorden i områda 0 og 6 er forholdsvis små, medan område 7 har litt større fangstar. Nord for Vestfjorden er det i Troms og Finnmark (statistisk område 4) det er mest fiske (Figur 12).  

Totalt sett er det dei store fartøya (> 28m) som fiskar størst del av totalfangsten. Botntrål vert brukt gjennom heile året av disse. Rekna som kvantum vert størstedelen av snurrevad-fangstane tekne av fartøy over 21 m, mens den største delen av garnfangstane vert tekne med båtar opp til 14m, og då særleg i 1. og 4. kvartal. Seinot-fangstane vert tekne i 2. og 3. kvartal og med båtar større enn 21m (Figur 13). 

 

Kart over fangst per hovedområde.
Figur 12. Kakediagram over norske fangstar per hovudområde og kvartal 2020-2023. 

 

 

Søylediagram over landing per fartøystorleik og reiskap.
Figur 13. NØA sei 2023: Fangst per kvartal, reiskap og lengdegruppe fartøy. Totalfangst for lengdegruppa i tonn, og prosent av totalfangsten for alle fartøygrupper er vist inne i kvart panel. 

 

 

 

Søylediagram over landing per fylke.
Figur 14. Per produkttilstand, fartøy-lengdegruppe og landingsfylke.  

 

Det er båtar > 28m som tek største delen (70%) av fangstane (Figur 15). Det er også disse som levere mest i Troms og Finnmark, og Møre og Romsdal som rund og sløyd fisk (Figur 14).  20% av landingane er frå båtar mellom 11 – 28m, men ca. 5 % er med båtar < 11m.  

 

Linjediagram som viser kummulativ fangst per fartøygruppe.
Figur 15. Kumulativ fangst (til 99% av totalfangst) per unike fartøy, og per lengdegruppe av fartøy, 2023. Fartøy uten radiokallesignal (RC) er ikkje med. 

 

 

Kart over fangst per hovedområde.
Figur 16. Norsk fangst fordelt på hovudområde, reiskap og kvartal. 

 

 

Med unnatak av Vestfjorden vert NØA sei fiska i nesten alle områder året rundt. Dei siste årene er det ein auke i fangstar frå område 12 og 20 mellom fastlands Norge og Svalbard, spesielt i 1 og 4 kvartal. Seinot-fisket forgår stort sett i 2. og 3. kvartal, og hovudsakleg på bankane utanfor Møre (Buagrunnen og Langgrunna), samt bankane utanfor Finnmark (Sleppen) og Troms (Hjelmsøy og Ingøy). Sei vert tekne med snurrevad i dei nordlege områda gjennom heile året, medan mengda som vert fiska varierar noko mellom områder og kvartal. Garnfiskeriet forgår stort sett i de sørlege områdane (0, 6 og 7) samt i statistisk område 5, i 1. og 4. kvartal (Figur 16). 

6.2.2 - Prøvetaking

Det aller meste av fangsten av NØA sei vert fiska med botntrål, seinot, snurrevad, og garn. Av disse fire er det berre frå trålfangstar i nokre områder og periodar som vi manglar prøvar frå i 2023. Når det er sagt er det en liten del av totalfangsten som manglar prøvetaking (7,8%). Samanlikna med prøvetakinga frå garn-fangstane (ca. 37 000 tonn landa og over 3500 prøver), er talet på prøver tekne frå snurrevad bra (ca 44 000 tonn fiska og over 900 prøver), og for seinot tilstrekkeleg (ca 39 800 tonn og 575 prøver). En bør likevel vurdere å minke innsatsen i prøvetakinga frå garnfiskeriet og heller bruker litt meir innsats på innsamling av seinot prøver. 

Stratum Tonn cperc KV PB KL RH RK SJ
04/Q2/Not 13.354 7 -/5/- - - 1/1/1 - 3/4/3
04/Q3/Not 9.816 11 -/1/- - - 2/2/2 - -
04/Q4/Botntrål 9.722 16 -/5/- - - 5/8/5 - -/1/-
05/Q1/Botntrål 9.349 21 -/7/- - - 5/15/5 - -/46/-
05/Q1/Snurrevad 9.051 25 -/17/- 3/3/3 - 3/18/3 - -/4/-
04/Q1/Botntrål 8.721 29 -/5/- - - 17/50/18 - -/8/-
07/Q2/Not 8.320 34 - - - 12/18/12 - 1/1/1
04/Q3/Botntrål 7.398 37 -/10/- - - 9/13/9 - -
04/Q2/Botntrål 5.743 40 -/2/- - - 6/22/6 - -
05/Q1/Garn 5.688 43 - 1/1/1 - 9/22/11 11/17/16 -
03/Q3/Snurrevad 5.673 46 -/8/- 4/4/4 - -/3/1 - -
00/Q1/Garn 4.697 48 -/5/- 4/4/4 - 3/6/3 9/18/14 -
04/Q4/Garn 4.429 50 -/2/- 9/9/9 - 9/15/9 5/10/5 -/1/-
20/Q4/Botntrål 4.417 52 - - - 1/1/5 - -
03/Q3/Not 3.848 54 -/5/- - - 4/4/4 - -
12/Q1/Botntrål 3.739 56 - - - 4/16/6 - -
04/Q2/Snurrevad 3.723 58 -/2/- 1/1/1 - 7/17/7 - -/3/-
12/Q2/Botntrål 3.678 60 - - - 2/4/5 - -
05/Q4/Botntrål 3.508 61 -/2/- - - - - -/5/-
06/Q1/Garn 3.484 63 -/5/- 3/3/3 - 13/30/13 10/10/10 -
04/Q3/Snurrevad 3.139 65 -/4/- - - 3/9/4 - -
05/Q2/Botntrål 3.078 66 -/1/- - - 4/7/4 - -
00/Q1/Snurrevad 2.896 67 -/2/- 2/2/3 - -/2/- - -
05/Q4/Snurrevad 2.866 69 - 2/2/2 - - - -/7/-
03/Q2/Not 2.770 70 - - - 1/1/1 - 2/2/2
04/Q1/Snurrevad 2.738 72 -/2/- 1/1/1 - 2/5/2 - -
07/Q1/Garn 2.696 73 -/2/- - - 3/9/3 4/11/4 -
03/Q4/Snurrevad 2.645 74 -/8/- 2/2/2 - - - -
04/Q4/Snurrevad 2.430 75 -/4/- - - - - -
05/Q4/Garn 2.328 77 -/1/- 3/3/3 - - - -
07/Q1/Botntrål 2.196 78 -/1/- - - - - -
05/Q2/Garn 2.054 79 - 6/6/6 - 2/3/3 5/5/5 -
05/Q2/Snurrevad 1.874 80 -/4/- 2/2/2 - 1/3/1 - -
03/Q3/Garn 1.766 80 - 8/8/8 - - - -
07/Q4/Snurrevad 1.657 81 -/6/- - - -/5/3 - -
03/Q3/Botntrål 1.488 82 -/1/- - - 1/3/1 - -
03/Q1/Snurrevad 1.478 83 -/2/- 4/4/4 - 2/4/2 - -/1/-
05/Q3/Botntrål 1.392 83 -/1/- - - 5/6/5 - -
07/Q4/Botntrål 1.358 84 -/2/- - - - - -
07/Q3/Garn 1.345 85 -/2/- - - - 5/6/16 -
06/Q1/Botntrål 1.248 85 - - - - - -
03/Q4/Garn 1.167 86 - 8/8/8 - - - -
05/Q3/Garn 1.163 86 - - - 1/1/1 - -
03/Q2/Snurrevad 990 87 -/3/- 6/6/6 - 1/5/2 - -
20/Q3/Botntrål 1.141 87 - - - - - -
04/Q3/Garn 986 88 -/1/- 3/3/3 - -/1/- - -
04/Q1/Garn 955 88 - - - - - -
03/Q2/Botntrål 940 89 -/3/- - - 3/4/3 - -
07/Q3/Snurrevad 944 89 - - - - - -
05/Q3/Snurrevad 935 90 -/2/- - - 1/2/1 - -
13/Q3/Botntrål 921 90 - - - -/1/- - -
04/Q4/Handsnøre 795 91 - 11/11/11 - - -/1/- -
12/Q4/Garn 823 91 - - - - - -
04/Q4/Not 874 91 - - - - - -
05/Q2/Handsnøre 734 92 - - - - 1/1/1 -
03/Q1/Botntrål 733 92 -/1/- - - 1/5/1 - -
04/Q3/Handsnøre 656 93 - 3/3/3 - - - -
20/Q1/Botntrål 637 93 - - - -/1/- - -
12/Q4/Botntrål 631 93 - - - -/1/- - -
06/Q4/Botntrål 637 93 - - - - - -
07/Q3/Botntrål 562 94 -/2/- - - - - -
07/Q4/Garn 538 94 -/1/- - - 1/1/2 1/2/3 -
06/Q3/Botntrål 553 94 - - - - - -
06/Q2/Not 527 95 -/1/- - - 3/3/3 - -
00/Q2/Garn 487 95 - - - -/-/1 4/6/4 -
07/Q1/Snurrevad 480 95 -/1/- - - 1/2/1 - -
REST 10.194 100 -/36/- 25/25/26 6/6/6 98/173/116 94/107/140 -
Tabell 9. Tonn rundvekt per stratum for NØA sei 2023, samt N-prøver (A15/L15/A1) per plattform. KV=Kystvakt, PB=Prøvebåt, KL/KS=Kommersielle prøver land/sjø, RH=Ref-hav, RK=Ref-kyst, SJ=Sjøtjenesten. Dei 147 strata med siste 5% av totalfangsten har blitt slått saman til REST.

6.3 - Torsk nord for 62° nord

Bestandsansvarlege: Bjarte Bogstad (NØA torsk), Johanna Fall (kysttorsk nord for 67° N) og Brian Stock (kysttorsk 62-67° N). 

6.3.1 - Definisjon av bestandar

Torsk nord for 62°N er delt inn i tre bestandar – nordaustarktisk (NØA) torsk, kysttorsk mellom 62-67°N (kysttorsk midt, eller «kysttorsk sør» i følge ICES) og kysttorsk nord for 67°N (kysttorsk nord).  

NØA torsk er den største bestanden og ein av Norges viktigaste fiskeriressursar, med en fangst i 2023 på ca 583 000 tonn der litt under halvparten vart fanga av Noreg. NØA torsk migrerer årleg frå beiteområda i Barentshavet ned til gyteområda langs Norskekysten.  

Kysttorsken er vanleg i fjordar og ytre kystområde, og gjennomfører nokså korte migrasjonar. Den blir ofte referert til som eit bestandskompleks fordi genetiske undersøkingar og variasjon i demografi indikerer at det er mange populasjonar langs kysten som i varierande grad blander seg med kvarandre. Kysttorsk og NØA torsk kan berre skiljast sikkert frå kvarandre basert på otolittfasong eller genetikk, noko som gjer det vanskeleg å følgje med på uttaket av kysttorsk gjennom sesongen. Det er derfor ingen direkte kvote på kysttorsk. Det blir likevel gitt kvoteråd på kysttorsk som vert brukt for å vurdera behov for ytterlegare tekniske reguleringar som dreier fisket over mot NØA torsk. Gytebestanden til kysttorsk nord er anslått til omtrent 10 % av gytebestanden til NØA torsk, mens kysttorsk midt er ein betydeleg mindre bestand (fangst nivå rundt 1,3% av NØA torsk og 15% av kysttorsk nord).  

6.3.2 - Bestandsutvikling

 

Diagram som visar bestandsutvikling.
Figur 17. Utvikling i fangstar, rekruttering, fiskedødsrate, gyte- og totalbiomasse (1946-2022), NØA torsk. Standard-graf få bestandvurdering (Howell et al. 2024).

 

 

Bestandsmodellen for kysttorsk nord startar i 1994, då gytebestanden var på eit toppnivå (Figur 18). Gytebestanden minka deretter kraftig fram til 1999, for så å ta seg langsamt opp. I 2014 var bestanden på et nivå som tilsvarar c. 80 % av toppnivået på 1990-tallet og fiskedødelegheita var historisk låg. Mellom 2014 og 2016 dobla fiskedødelegheita seg, og frå 2016 snudde den positive utviklinga i bestanden. Gytebiomassen har fluktuert rundt eit lågare nivå dei siste åra. Fiskedødelegheita er over det avtalte nivået i forvaltningsplanen, og forventa fangst i 2024 er over dobbelt så høg som kvoterådet. 

 

Figurar over bestandsutvikling.
Figur 18. Utvikling i fangster, rekruttering, fiskedødsrate og gytebestand (1994-2023), kysttorsk nord (nord for 67N). Standard-graf fra bestandvurdering (ICES 2024). 

 

Bestanden av kysttorsk 62-67°N gjennomgjekk ein metoderevisjon i 2024. Der kvoterådet tidlegare var basert på trendar i fangst-per-eining-innsats av torsk fra Kystreferanseflåten sine garnbåter, brukast i staden toktindeksar frå kysttoktet og garn-ruse toktet og det er no for første gong blitt godkjent ein bestandsmodell som kan anslå status for bestanden. Modellen er ein såkalla produksjonsmodell (SPiCT), som modellerer den delen av bestanden som er rekruttert til fiskeria. Den nye modellen viser at bestanden er og har vore overfiska, og at biomassen til bestanden ligg rundt 40 % av kva som er optimalt for å oppnå et maksimalt langtidsutbytte (Figur 19).

 

Diagram som visar bestandsutvikling.
Figur 19. Utvikling i fangstar, relativ bestandstørrelse og fisketrykk (1977-2023), kysttorsk sør (62-67N). Standard-graf frå bestandsvurdering (ICES 2024). 

 

6.3.3 - Norske fiskeri

Torsk blir fiska gjennom heile året og i alle dei norske statistikkområda nord for 62°N. NØA torsk migrerer årleg frå beiteområda i Barentshavet ned til gyteområda langs Norskekysten, og då særleg områda rundt Lofoten der vinterfisket etter skrei føregår. Vinterfisket skjer i stor grad frå små båtar som fiskar med garn og line, medan det på andre tider av året fiskast torsk i Barentshavet med trål. 

Mesteparten av kysttorsken i nord blir fanga i samanheng med skreifisket under ein samla kvote for torsk, men det føregår også eit lokalt kystfiske etter torsk gjennom året som i stor grad fangar kysttorsk. Ei blanding av garn, snurrevad, botntrål og line/juksa vert brukt for å fange torsk. 

 

Søylediagram over fangstutvikling.
Figur 20. Norske fangster av torsk nord for 62° fra 2007 til 2023 fordelt på redskap. 

 

 

 

Kart over fangst per hovedområde.
Figur 21. Kakediagram over norske fangstar per hovudområde og kvartal 2020-2023. 

 

 

 

Søylediagram over landing per fartøystorleik og reiskap.
Figur 22. Torsk nord for 62° 2023: Fangst per kvartal, reiskap og lengdegruppe fartøy. Totalfangst for lengdegruppa i tonn, og prosent av totalfangsten for alle fartøygrupper er vist inne i kvart panel. 

 

 

 

Søylediagram over landing per fylke.
Figur 23.Per produkttilstand, fartøy-lengdegruppe og landingsfylke.  

 

 

 

Linjediagram som viser kummulativ fangst per fartøygruppe.
Figur 24. Kumulativ fangst (til 99% av totalfangst) per unike fartøy, og per lengdegruppe av fartøy, 2023. Fartøy uten radiokallesignal (RC) er ikkje med. 

 

 

 

Kart over fangst per hovedområde.
Figur 25. Norsk fangst fordelt på hovudområde, reiskap og kvartal.

   

 

6.3.4 - Korleis blir fangst ved alder berekna

Kysttorsk og NØA torsk kan berre skiljast sikkert frå kvarandre basert på otolittfasong eller genetikk, noko som gjer det vanskeleg å følgje med på uttaket av kysttorsk gjennom sesongen. Det er derfor ingen direkte kvote på kysttorsk. Grunnlaget for å estimera kommersielle torskefangstar er dei totale landingane av torsk, som deretter delast inn i typar torsk (NØA vs. kysttorsk) etter strukturen til otolittane i kommersielle fangstprøver. Sidan fangstane er skilt ved otolitttype, er antall aldersprøver kritiske for estimert fangst, særleg fangst av kysttorsk fordi bestandane er så mykje mindre enn skrei.  ECA-modellen blir brukt for å estimere kommersielle fangst-ved-alder for alle dei tre bestandane. I tillegg vert antatt fangst i fritids- og turistfiske for kysttorskbestandane inkludert. Total fritidsfiske fangst-ved-alder er oppskalert frå estimerte fangst-ved-aldersandelar i dei kommersielle landingane, bortsett frå fangst frå turistbedrifter som blir oppskalert i samsvar med tilgjengeleg biologisk prøvetaking frå denne sektoren. Tala frå turist- og fritidsfiskefangst av kysttorsk er svært usikre, og det blir arbeidd med å forbetra datagrunnlaget frå denne sektoren. 

6.3.5 - Prøvetaking

Prøvetakinga blir i hovudsak gjennomført med prøvebåten, som dekker kystfiskeriet nord for 67° samt referanseflåten og noko frå Kystvakten. 

I 2023 vart det lest totalt 8 960 torsk, 36 % vart klassifisert som norsk kysttorsk. 

 

Stratum Tonn cperc KV PB KL RH RK SJ
05/Q1/Garn 18.697 6 -/1/- 29/29/29 - 15/40/15 24/31/30 -
20/Q4/Botntrål 17.663 13 -/21/- - - 14/31/14 - -
05/Q1/Snurrevad 16.958 18 -/6/- 13/13/13 - 6/20/6 - -/5/-
04/Q1/Garn 14.322 23 -/2/- 20/20/22 - - 4/8/5 -
04/Q1/Snurrevad 14.180 28 -/2/- 4/4/4 - 1/5/1 -/2/- -
04/Q1/Botntrål 13.077 33 2/3/2 - - 19/53/19 - -/10/-
04/Q2/Snurrevad 9.951 36 -/3/- 2/2/2 - 4/17/5 - -/2/-
05/Q2/Garn 9.900 40 -/3/- 16/16/16 - 6/11/6 7/7/7 -
00/Q1/Garn 9.616 43 -/5/- 15/15/17 - 3/4/3 15/25/24 -
05/Q1/Botntrål 8.107 46 -/3/- - - 4/14/4 - -/30/-
03/Q1/Snurrevad 8.022 49 3/11/3 5/5/5 - 2/5/2 - -/2/-
03/Q2/Snurrevad 7.863 51 1/15/2 9/9/9 - 9/18/9 - -/1/-
04/Q2/Garn 6.937 54 -/3/- 7/7/7 - 2/5/3 - -
05/Q2/Snurrevad 6.323 56 -/6/- 3/3/3 - 1/3/1 - -
04/Q2/Botntrål 6.222 58 - - - 5/23/5 - -
12/Q1/Botntrål 5.567 60 - - - 12/35/13 - -
03/Q1/Garn 4.853 62 - 5/5/5 - - - -
03/Q2/Garn 4.759 63 -/3/- 5/5/5 - - - -
03/Q3/Snurrevad 4.152 65 -/7/- 4/4/4 - -/3/1 - -
12/Q2/Botntrål 4.116 66 - - - 4/13/4 - -
13/Q3/Botntrål 3.997 68 - - - 3/8/3 - -
00/Q1/Snurrevad 3.570 69 -/1/- 5/5/5 - -/2/- - -/4/-
03/Q2/Line 3.261 70 -/1/- 9/9/9 - - 1/1/1 -
03/Q3/Botntrål 3.239 71 -/5/- - - 2/3/2 - -
20/Q1/Botntrål 3.226 72 -/2/- - - 3/8/3 - -
20/Q3/Botntrål 3.065 73 -/3/- - - 5/8/5 - -
05/Q2/Botntrål 3.005 74 -/2/- - - 3/6/3 - -
03/Q4/Line 2.953 75 -/1/- 12/12/13 - - - -
12/Q1/Line 2.817 76 -/2/- - - 3/12/3 - -
03/Q1/Botntrål 2.738 77 -/2/- - - 2/5/2 - -
03/Q2/Botntrål 2.537 78 -/5/- - - 5/6/5 - -
00/Q2/Garn 2.425 79 - - - 1/1/1 3/3/5 -
04/Q2/Handsnøre 2.412 80 - 5/5/5 - - - -
03/Q1/Line 2.224 81 -/1/- 5/5/5 - -/1/- 3/3/3 -
03/Q3/Line 2.173 81 - 2/2/2 - - - -
05/Q1/Handsnøre 2.018 82 - 4/4/6 - - - -
01/Q4/Line 1.874 83 - - - 12/22/12 - -
04/Q4/Garn 1.871 83 -/2/- 4/4/4 - 2/3/7 5/10/5 -
20/Q4/Line 1.868 84 -/6/- - - 8/17/8 - -
05/Q1/Line 1.768 85 - 7/7/7 - 4/6/4 - -
04/Q4/Botntrål 1.649 85 -/3/- - - 3/7/3 - -/1/-
04/Q3/Snurrevad 1.610 86 -/2/- 2/2/2 - 2/3/3 - -
21/Q2/Botntrål 1.544 86 - - - - - -
04/Q1/Handsnøre 1.535 87 - 2/2/2 - - - -
03/Q2/Handsnøre 1.519 87 - - - - - -
12/Q2/Line 1.365 88 - - - 10/27/10 - -
10/Q1/Line 1.361 88 - - - 1/3/1 - -
20/Q1/Line 1.299 89 -/3/- - - 11/36/11 - -
12/Q4/Line 1.183 89 -/1/- 1/1/1 - 5/11/6 - -
13/Q4/Line 1.127 90 - - - 2/3/2 - -
11/Q4/Line 1.124 90 - - - 1/3/1 - -
20/Q3/Snurrevad 1.079 90 -/4/- - - 5/10/5 - -
23/Q3/Botntrål 1.060 91 -/1/- - - 2/5/2 - -
13/Q4/Botntrål 1.029 91 -/1/- - - - - -
05/Q2/Line 999 91 -/1/- 7/7/7 - 3/7/3 - -
04/Q3/Botntrål 964 92 -/1/- - - 6/11/6 - -
12/Q4/Botntrål 821 92 - - - -/1/- - -
04/Q4/Snurrevad 763 92 - 1/1/1 - - - -
03/Q4/Snurrevad 714 93 -/5/- 3/3/3 - - - -
00/Q1/Line 692 93 - 3/3/3 - - - -
15/Q4/Botntrål 648 93 -/2/- - - 2/2/2 - -
24/Q4/Botntrål 644 93 - - - - - -
03/Q1/Handsnøre 696 93 - - - - - -
13/Q1/Line 594 94 -/1/- - - - - -
00/Q1/Handsnøre 569 94 - 3/3/3 - - - -
03/Q3/Garn 568 94 - 6/6/6 - - - -
07/Q1/Garn 546 94 - - 8/8/9 1/1/1 1/3/4 -
00/Q2/Line 616 94 - - - - - -
04/Q1/Line 529 95 - 2/2/3 - - - -
04/Q2/Line 546 95 - - - - - -
REST 14.857 100 -/40/- 25/25/27 7/7/8 92/235/137 33/49/214 -/11/-
Tabell 10. Tonn rundvekt per stratum for torsk nord for 62°N i 2023, samt N-prøver (A15/L15/A1) per plattform. KV=Kystvakt, PB=Prøvebåt, KL/KS=Kommersielle prøver land/sjø, RH=Ref-hav, RK=Ref-kyst, SJ=Sjøtjenesten. Dei 165 strata med siste 5% av totalfangsten har blitt slått saman til REST.

6.3.6 - Konklusjon - har vi nok prøvar?

Tilgjengelege data for fangst-ved-alder og lengde dekka den største delen av fangstane ved dei respektive fiskeria. Like fullt er talet på fisk med alder per 1000 tonn no godt under standarden sett av EU sine datainnsamlingsforskrifter (AFWG 2024, Tabell 0.1). 

I tillegg til det totale talet på prøver er også aggregeringsnivået (tid og rom) som vert brukt ved oppdeling av disse fangstane i NØA torsk og kysttorsk ein viktig sak. Til trass for forbetringa i prøvetakingsdekninga i 2016–2020, bør antal prøver aukast i åra som kjem, med mål om å dekka alle kvartaler og områder som bidrar med dei høgaste fangstane.

Det er også verdt å nemne at Norge årleg sender til Russland data frå fangstprøver frå russiske fartøy som fiskar i norsk sone, og desse prøvene blir brukt til å rekne ut lengde- og aldersfordeling av fangstane i russisk fiske.

Ein annan viktig sak er knytta til det nye minstemålet (auka frå 44 til 55 cm i 2024), kor det trengst nok prøvar til å dela fangsten ved NØA/kysttorsk, område, reiskap og alder i kvar kvartal. ECA estimerer ein stor andel «liten» kysttorsk (under nytt minstemål) i snurrevad, line og trål i 2023. Prøvetakingsdekninga var litt låg for dette og vi ønsker fleire prøvar av snurrevad i framtida, særleg område 3 og 4 i andre og tredje kvartal. 

6.4 - Nordaustarktisk blåkveite

Bestandsansvarleg: Kristin Windsland 

Nordaustarktisk blåkveite ( Reinhardtius hippoglossoides ) finst langs Eggakanten mellom fastlands-Noreg og Svalbard og i djupare delar av Barentshavet. Eggakanten er eit hovudområde for vaksen blåkveite, medan områda nord og aust for Svalbard reknast som oppvekstområde.   

   Den nordaustarktiske blåkveitebestanden er ei pragmatisk definert forvaltningseining. Graden av utveksling med andre bestandar er ikkje fullt avklart, men både tidlegare og pågåande studiar indikerer at den kan være større enn tidlegare antatt (Albert og Vollen, 2015; Westgaard et al. 2016, Vihtakari et al. 2022, Ubeda et al. 2023)   

6.4.1 - Fiskeri, rådgjeving og bestandsutvikling

Då moratoriet tredde i kraft i 1992 var både total biomasse og gytebiomasse historisk lav (Figur 26). Som følgje av redusert fiskepress, vaks totalbestanden fram til 2013 og gytebestanden til 2016. Fangstane har auka etter at moratoriet stansa og ligg no høgare enn dei gjorde i perioden før moratoriet tredde i kraft, dvs. godt over 20 000 tonn. Dette har ført til ein nedgang i gytebestanden som no ligg under B pa

Kvoterådet for nordaustarktisk blåkveite har tradisjonelt blitt berekna av ICES Arctic Fisheries Working Group (AFWG) i april kvart år. I 2022 blei Russland ekskludert frå ICES og rådet har blitt berekna i ei bilateral arbeidsgruppe (Joint Russian Norwegian Arctic Fisheries Working Group, JRN-AFWG). Rådet blir publisert i juni kvart år. Kvoten blir fastsett av den blanda Norsk-Russiske fiskerikommisjon (Joint Norwegian-Russian Fisheries Commission, JNRFC) i oktober kvart år. Kvoten blir fordelt med 51 % til Norge, 45 % til Russland og 4 % til tredjeland. (Figur 27). 

 

Diagram som visar bestandsutvikling.
Figur 26. Utvikling i fangstar og fisketrykk (1980-2023), rekruttering og bestandsutvikling (1980-2024). Standard-graf frå bestandsvurderinga (Howell et al 2024). 

 

 

 

Diagram som visar bestandsutvikling.
Figur 27. Fangstar og kvote 1935-2023 fordelt på land. Kvote 1995-2009 er kvote satt for garn- og linefiskeria. Bifangst i trålfiskeriet kjem i tillegg. Basert på tall frå Howell et al 2024.

   

 

6.4.2 - Utvikling i dei norske fiskeria

Mesteparten av dei norske fangstane vert tatt med trål, garn og line (Figur 28). Andre reiskap har auka dei siste åra, men utgjer framleis mindre enn 2 %.  

 

Søylediagram over fangstutvikling.
Figur 28. Norske fangstar frå 2014 til 2023 fordelt på reiskap. 

 

 

Store delar av blåkveitefangstane vert tatt i andre og tredje kvartal, hovudsakeleg langs kontinentalskråninga, spesielt på Røstbanken. Ein del fangst vert også teke i fjerde kvartal i områda rundt Bjørnøya. 

 

Kart over fangst per hovedområde.
Figur 29. Kakediagram over norske fangstar per hovudområde og kvartal 2020-2023. 

 

 

Nær halvparten av fangsten vert teken av fartøy større enn 28 m, etterfølgt av fartøy mellom 11-15 meter som tek rundt 15 %. Mesteparten av fangsten tas i andre, tredje og fjerde kvartal. Fangstar i første kvartal er nesten utelukkande tatt av fartøy større enn 28 m.  Garnfangstar tas hovudsakeleg i andre og tredje kvartal, på fartøy i alle størrelsar under 28 m. Linefangstar vert tatt på fartøy av alle størrelsar, hovudsakeleg i andre og tredje kvartal. Det tas også litt i første og fjerde kvartal, men då hovudsakeleg på fartøy over 28 meter. Snurrevad-fangstar tas nesten kun i andre og tredje kvartal, hovudsakeleg på fartøy over 15 meter. Trålfangstane tas på fartøy over 28 meter og det tas betydelege fangstar i alle kvartal.  

 

Søylediagram over landing per fartøystorleik og reiskap.
Figur 30. Fangst 2023: Fangst per kvartal, reiskap og lengdegruppe fartøy. Totalfangst for lengdegruppa i tonn, og prosent av totalfangsten for alle fartøygrupper er vist inne i kvart panel. 

 

Mesteparten av fangsten leverast av fartøy under 15 meter eller over 28 meter (Figur 30, 31). Halvparten av fangstane leverast i Troms og Finnmark (45 %), etterfølgt av Nordland (31%) og Møre og Romsdal (20 %). Ein liten del leverast i Vestland. Fangstar frå fartøy over 28 meter vert i hovudsak levert som sløyd fisk, mens fangstar frå fartøy mindre enn 28 meter leverast hovudsakeleg som rund. 

 

Søylediagram over landing per fylke.
Figur 31. Fangst 2023 per produkttilstand, fartøy-lengdegruppe og landingsfylke.  

 

  Over 500 fartøy har rapportert blåkveite i fangsten. Over 40 % av fangsten vert tatt av litt under 100 fartøy over 28 meter (Figur 32). Rundt 40 % av fangsten leverast av rundt 400 fartøy under 15 meter.  

 

Linjediagram som viser kummulativ fangst per fartøygruppe.
Figur 32. Kumulativ fangst (til 99% av totalfangst) per unike fartøy, og per lengdegruppe av fartøy, 2023. Fartøy utan radiokallesignal (RC) er ikkje med. 

 

6.4.3 - Fangststatistikk og prøver 2023

Store delar av fangsten vert tatt med garn, line eller bunntrål i andre og tredje kvartal (Figur 30), etterfølgt av ein del fangst på snurrevad i andre kvartal. Det er minst fangst i første kvartal, medan det vert tatt ein del fangst med trål i fjerde kvartal. 

 

Kart over fangst per hovedområde.
Figur 33. Norsk fangst fordelt på hovudområde, reiskap og kvartal.  

 

 

6.4.4 - Konklusjon/avrunding

Prøvetakinga på blåkveite er ganske tynn fleire stader, og i nokre områder manglar den fullstendig (Tabell 11). Det trengs derfor fleire prøver frå line i område 3 og 6, snurrevad i område 5 og 6, garn i område 7 og bunntrål i område 30 og 43. 

 

Stratum Tonn cperc KV PB RH RK SJ
05/Q2/Garn 1.751 12 -/4/- 10/10/10 - -/2/- -
05/Q2/Line 1.265 21 -/1/- 4/4/4 -/1/- -/3/- -
05/Q3/Line 1.106 28 -/3/- 3/3/3 - -/1/- -
05/Q3/Garn 1.025 35 - 7/7/7 - -/1/- -
20/Q4/Botntrål 961 42 -/1/- - 2/18/2 - -
12/Q2/Line 674 46 - - 3/27/3 - -
03/Q3/Line 385 49 - - - - -
12/Q3/Line 378 51 - - -/8/- - -
12/Q2/Botntrål 332 54 - - -/7/- - -
42/Q3/Botntrål 314 56 - - - - -
04/Q2/Line 310 58 - 2/2/2 - - -
30/Q3/Botntrål 306 60 - - - - -
30/Q2/Botntrål 298 62 - - - - -
05/Q2/Snurrevad 288 64 - - - - -
12/Q4/Line 257 66 - - -/3/- - -
12/Q1/Botntrål 256 68 - - 1/10/1 - -
04/Q2/Snurrevad 254 69 - - - - -
04/Q3/Line 230 71 -/1/- 2/2/2 - - -
04/Q4/Botntrål 204 72 - - - - -
20/Q3/Botntrål 200 74 - - 2/4/2 - -
12/Q2/Snurrevad 195 75 - 1/1/1 -/1/- - -
20/Q1/Botntrål 189 76 - - 1/5/1 - -
03/Q2/Line 182 78 - - - - -
20/Q3/Line 181 79 - - - - -
12/Q2/Garn 176 80 - 2/2/2 - - -
06/Q2/Snurrevad 174 81 - - - - -
42/Q2/Botntrål 145 82 - - - - -
03/Q4/Line 134 83 - - - - -
12/Q1/Line 124 84 - - -/1/- - -
04/Q2/Garn 114 85 - 1/1/1 - - -
05/Q3/Snurrevad 110 85 - - - - -
04/Q1/Botntrål 107 86 - - -/2/- - -/1/-
12/Q4/Botntrål 103 87 - - - - -/1/-
05/Q1/Botntrål 99 88 - - -/1/- - -
04/Q3/Snurrevad 93 88 - - - - -
20/Q4/Line 78 89 - - -/3/- - -
05/Q3/Botntrål 93 89 - - - - -
06/Q3/Line 77 90 - - - - -
13/Q4/Line 77 90 - - - - -
04/Q3/Botntrål 71 91 - - - - -
12/Q3/Snurrevad 72 91 - - - - -
05/Q2/Botntrål 69 92 - - - - -
05/Q2/Handsnøre 64 92 - - - - -
07/Q2/Garn 62 93 - - - - -
00/Q2/Garn 61 93 - - - - -
04/Q2/Botntrål 61 94 - - 1/1/1 - -
20/Q1/Line 56 94 - - -/9/- - -
35/Q4/Garn 57 94 - - - - -
13/Q3/Botntrål 54 95 - - 2/7/2 - -
00/Q3/Garn 50 95 - - - - -
REST 736 100 - - 8/59/8 - -
Tabell 11. Tonn rundvekt per stratum for blåkveite 2023, samt N-prøver (A15/L15/A1) per plattform. KV=Kystvakt, PB=Prøvebåt, KL/KS=Kommersielle prøver land/sjø, RH=Ref-hav, RK=Ref-kyst, SJ=Sjøtjenesten. Dei 88 strata med siste 5% av totalfangsten har blitt slått saman til REST.

6.5 - Pigghå

Bestandsansvarleg: Claudia Junge/Ole Thomas Albert (frå mai 2024 Aurelien Delaval)

6.5.1 - Definisjon av bestand

I ICES betraktast pigghå ( Squalus acanthias ) i Nordaust-Atlanteren og tilstøytande farvatn som ein bestand (område 27.1-27.10, 27.12 og 27.14).   

6.5.2 - Bestandsutvikling

I ICES er pigghå klassifisert som en kategori 1 bestand, og er såleis den einaste datarike bruskfiskbestanden som ICES gir råd på. Pigghå har historisk gitt grunnlag for eit stort fiskeri, med etterfølgande kollaps i bestanden. Dei viktigaste fiskefelta låg i Nordsjøen, vest av Skottland, og i det Keltiske hav, og rundt 1990-tallet også i Norskehavet. Frå midten av 1950-tallet til slutten av 1970-tallet låg årlege internasjonale landingar på meir enn 40 000 tonn. Norske landinga etter 1980 nådde ein topp på 9633 tonn i 1991. Sidan 2011 har Norge landa 217-409 tonn årleg, tilsvarande 60-80% av den total fangsten. Artsdatabanken satt den på raudlista som kritisk truga i 2010, som sterkt truga i 2015 og som sårbar i 2021.

ICES har siden 2006 anbefalt null fangst av pigghå. Dei siste åra har det vore ein sterk  vekst i bestanden (Figur 34), og ICES gav i 2022 råd om ein TAC på 17 353 tonn for 2023 og 17 855 tonn for 2024. Kvoterådet utarbeidast av ICES Working Group on Elasmobranch Fishes (WGEF) i juni. Dette er anbefalt totalkvote og den er ikkje fordelt på nasjonalt nivå.  

6.5.3 - Norske fiskeri

Meir enn 250 fartøy har landa pigghå (Figur 39). Over 70% av fangsten tas av dei to minste fartøygruppane, og fangsten er spreitt mellom mange ulike fartøy. All pigghå leverast rund. Det har vist seg vanskeleg å finne marknader for pigghå etter raudlistinga og stans i fisket, og det meste av landa kvantum stammer frå bifangst i garnfisket (Figur 35).

Dei siste fire åra er den største mengda pigghå fiska i Møre og Romsdal og Trøndelag (statistikkområde 7), i kvartal 3 og 4 (Figur 38). Pigghå blir fanga også i statistikkområda 07, 28 og 08. Det landast litt pigghå gjennom heile året, men aller mest i kvartal 4 (Figur 36). Dei minste fartøya landa pigghå heile året, men aller mest i kvartal 1 og 4 (Figur 37). Fartøy i gruppa «11-14.99 m» landa mest i kvartal 2 og 4, mens fartøygruppa «21-27.99 m» landa pigghå i kvartal 3 og 4. Eitt fartøy i gruppa «21-27.99 m» landa en god del pigghå i Møre og Romsdal, mens dei minste fartøygruppene («under 11 m» og «11-14.99 m») landa pigghå i Møre og Romsdal, Trøndelag og Vestland (Figur 39 og 37).  

6.5.4 - Biologiske prøvar

Frå fisket blir det berre samla inn lengdeprøver av pigghå, ikkje aldersprøvar.  Dei biologiske prøvane blir nytta til å rekne ut blant anna lengdefordelingar på ulike reiskap og vekstmønster. Tabell 1 viser biologiske prøver fordelt på hovudområde, reiskap, kvartal og plattform. Det samlast inn få prøver. Dei fleste prøvene kjem frå referanseflåte kyst.

Det er for tida stor forskingsinnsats på bestandens biologi, vandringar og åtferd. Prøvetaking frå landingar i 2015-2017 viste at pigghå ble kjønnsmoden ved mykje lågare alder enn tidlegare antatt. Gravide huer var dominert av unge individ. Etter kvart som dei veks aukar produksjonen av avkom betrakteleg. For hofisk som føder ved hhv. 80 og 100 cm aukar atal og størrelsen av fostrene ved fødsel frå hhv. 5 stk. og 20 cm til 10 stk. og 25 cm. Det er såleis forventa at bestanden vil kunne auke vidare svært raskt. Havforskingsinstituttet gjennomfører derfor i samarbeid med Måløy Vidaregåande skule eit årleg pigghåtokt med autolinefartøyet “Skulebas". Formålet er å utvikle en indeks for førekomsten av pigghå i norske farvatn.  

6.5.5 - Konklusjon /avrunding

Prøvetaking i 2023 syner at pigghå i stor grad tas som bifangst i anna fiskeri. Fisket vil truleg kunne aukast biologisk forsvarleg, dersom det vert økonomisk grunnlag for eit direkte fiskeri. Det er fint å få inn prøver sånn at vi kan halde auge med kva slags størrelse pigghå som vert landa.

Diagram som visar bestandsutvikling. Figur 34. Utvikling i fangstar og høstingsrate (1905-2021), rekruttering og bestandsutvikling (1905-2022). Standardgraf frå bestandsvurdering (ICES, 2022)

 

Søylediagram over fangstutvikling.
Figur 35. Norske fangstar frå 2014 til 2023 fordelt på reiskap.

 

 

Kart over fangst per hovedområde.
Figur 36. Kakediagram over norske fangstar per hovudområde og kvartal 2020-2023.

 

 

Søylediagram over landing per fartøystorleik og reiskap.
Figur 37. Fangst per kvartal, reiskap og lengdegruppe fartøy i 2023. Totalfangst for lengdegruppa i tonn, og prosent av totalfangsten for alle fartøygrupper er vist inne i kvart panel.

 

 

Søylediagram over landing per fylke.
Figur 38. Per produkttilstand, fartøy-lengdegruppe og landingsfylke i 2023.

 

Linjediagram som viser kummulativ fangst per fartøygruppe. Figur 39. Kumulativ fangst (til 99% av totalfangst) per unike fartøy, og per lengdegruppe av fartøy, 2023. Fartøy uten radiokallesignal (RC) er ikkje med.

 

Kart over fangst per hovedområde.
Figur 40. Norsk fangst fordelt på hovudområde, reiskap og kvartal i 2023.

 

 

Stratum Tonn cperc RH RK
07/Q3/Garn 46 13 - -/1/-
07/Q2/Garn 36 23 - -/1/-
07/Q4/Garn 31 32 - -
08/Q4/Garn 30 41 -/3/- -
08/Q1/Garn 21 47 - -/2/-
06/Q4/Garn 19 52 - -
06/Q3/Garn 17 57 - -
09/Q1/Line 16 62 - -
07/Q1/Garn 13 66 - -/2/-
08/Q2/Garn 12 69 - -/1/-
28/Q1/Garn 9 72 - -/1/-
28/Q2/Garn 9 74 - -
28/Q4/Garn 8 76 - -
06/Q1/Garn 7 79 - -
09/Q4/Garn 7 81 -/2/- -/4/-
06/Q2/Garn 6 82 - -
07/Q1/Line 5 84 - -
28/Q4/Not 5 85 - -
41/Q4/Garn 4 86 - -
07/Q4/Line 4 87 - -
07/Q2/Line 4 89 - -
28/Q1/Not 3 89 - -
28/Q3/Garn 3 90 - -
05/Q4/Garn 3 91 - -
07/Q3/Snurrevad 3 92 - -
08/Q4/Ruser og teiner 3 92 - -
28/Q2/Line 2 93 - -
07/Q3/Line 2 94 - -
05/Q2/Line 2 94 - -
07/Q4/Snurrevad 2 94 - -
08/Q3/Garn 2 95 - -/1/-
REST 18 100 -/1/- -/3/-
Tabell 12. Tonn rundvekt per stratum for pigghå 2023, samt N-prøver (A15/L15/A1) per plattform. KV=Kystvakt, PB=Prøvebåt, KL/KS=Kommersielle prøver land/sjø, RH=Ref-hav, RK=Ref-kyst, SJ=Sjøtjenesten. Dei 69 strata med siste 5% av totalfangsten har blitt slått saman til REST.

6.6 - Sei i Nordsjøen

Bestandsansvarleg: Yves Reecht. 

Sei sør for 62°N i Nordsjøen (ICES område 27.4), Skagerrak (27.3a.20), og vest for Skottland (27.6.a og 27.6.b) vert definert som Nordsjøsei. Utbreiinga i Nordsjøen ligg nær (vest for Skottland) eller nord for den sørlege grensa for arts utbreiinga, og mest i område 27.4.a innanfor 27.4. 

6.6.1 - Bestandsstatus og rådgjeving

Etter høgt fiskepress på 1970, 1980 og 1990-tallet, har fangstane og fiskepresset vore ganske stabilt frå 2000 til 2010-talet, med fiskedødelighet nær eller litt over F MSY , og gytebiomasse over B trigger (Figur 1). På grunn av dårleg rekruttering dei siste ti åra, har gytebiomassen gått ned og var rundt B trigger i 2020. Dette førte til nedgong i fiskedødelighet og fangstane gjekk ned. Det er lite utkast av sei sidan fiskeriet har vorte meir selektivt sidan slutten av 90-tallet (Figur 41 og 42). 

  Kvoterådet for NS sei vert gitt av ICES North Sea and Skagerrak Working Group (WGNSSK) i juni. K voten vert bestemt årleg i trilaterale avtaler mellom Norge, EU og Storbritannia. 

 

Diagram som visar bestandsutvikling.
Figur 41. Utvikling i fangstar og fisketrykk (1967-2022), rekruttering og bestandsutvikling (1967-2023). Standard-graf frå bestandvurdering (ICES, 2023a). 

 

I åra 2017 til 2021 vart ikkje heile kvoten fiska, grunna låg rekruttering og minkande gytebiomasse. I tillegg var det en feil i modellen som vart brukt for råda i 2017-2018, noko som førte til for høge kvoteråd (Figur 42). 

 

Diagram som visar bestandsutvikling.
Figur 42. Fangst og kvote (siste ni år) av NS sei 1967-2022 fordelt på landing og utkast. Henta frå WGNSSK rapporten (ICES, 2023b). 

 

6.6.2 - Utviklinga i det norske fiskeriet

Norge er historisk sett eit av landa som fiskar mest sei i Nordsjøen, samen med Tyskland og Frankrike (og i nyare tid Skottland). Mesteparten av fiskeriet har føregått i kvartal 1 og 2, men i dei siste seks åra har fiskeriet skifta til kvartal 2 og 3. I 2021 og 2022 bestemte en del av trålflåten som vanlegvis fiskar Nordsjøsei, å heller fiske nord for 62 °N , på grunn av låg kvote av Nordsjøsei, samt bifangst av torsk (som også hadde en veldig låg kvote) på de vanlege fiskeplassane for sei i Nordsjøen. Fangstane av sei var derfor låge i disse åra (Figur 43), og kvoten vart ikkje fiska. I 2023 var kvoten fiska. Figur 44 viser at sesongskiftet gjeld i alle hovudområda. 

 

Søylediagram over fangstutvikling.
Figur 43. Norske fangstar av NS sei frå 2014 til 2023 fordelt på reiskap. 

 

 

Kart over fangst per hovedområde.
Figur 44. Kakediagram over norske fangstar per hovudområde og kvartal 2020-2023. 

 

 

6.6.3 - Fordeling av fangst per fartøykategori i 2023

Figur 5 viser fordeling av norske fangstar mellom typer av reiskap og kvartal, og innan ulike lengdegrupper av fartøy. Dei minste fartøya fiskar stort sett sei årets rundt med garn, men dei bidreg svært lite til den totale fangsten. Storparten av fangsten kjem frå fartøya over 28 meter lengde (ca 90%), og der mest vert teken av om lag 50 fartøy (Figur 47). Disse fartøya bruker mest not i kvartal 2 og trål i kvartal 3. Nesten halvparten av sei fanga av norske fartøy vert landa sløyd i Møre og Romsdal, medan mesteparten av resten vert landa i Vestland og Rogaland (Figur 6). Figur 8 viser at fangst med not i kvartal 2 for det meste skjer i norske farvatn i den nordlege Nordsjøen, medan fangstane i kvartal 3 (med trål) skjer overalt der sei finnes på den nordlege Nordsjøsokkelen. 

 

Søylediagram over landing per fartøystorleik og reiskap.
Figur 45. NS sei 2023: Fangst per kvartal, reiskap og lengdegruppe fartøy. Totalfangst for lengdegruppa i tonn, og prosent av totalfangsten for alle fartøygrupper er vist inne i kvart panel. 

 

 

 

Søylediagram over landing per fylke.
Figur 46. Per produkttilstand, fartøy-lengdegruppe og landingsfylke. 

 

 

 

Linjediagram som viser kummulativ fangst per fartøygruppe.
Figur 47. Kumulativ fangst (til 99% av totalfangst) per unike fartøy, og per lengdegruppe av fartøy, 2023. Fartøy utan radiokallesignal (RC) er ikkje med. 

 

 

 

Kart over fangst per hovedområde.
Figur 48. Norsk fangst fordelt på hovudområde, reiskap og kvartal. 

 

 

6.6.4 - Nordsjøsei prøvetaking 2023

Tabell 1 viser talet på prøvar i 2023 per prøveplatform og strata (statistisk område, kvartal og reiskap). Storparten av aldersinformasjonen, som vert brukt i bestandsvurderinga, kom frå den havgåande referanseflåten. 

 

Stratum Tonn cperc KV PB KL RH RK SJ
28/Q2/Not 4.710 17 - - 6/6/6 5/5/5 - -
42/Q3/Botntrål 3.626 30 - - - 7/7/7 - -
28/Q3/Botntrål 3.483 42 -/3/- - - 3/3/4 - -
28/Q1/Botntrål 2.391 51 -/4/- - - 3/5/3 - -
08/Q3/Botntrål 2.311 59 - - - 12/12/13 - -
08/Q2/Botntrål 1.628 65 -/5/- - - 7/7/7 - -
28/Q4/Botntrål 1.417 70 -/2/- - - 2/2/2 - -
42/Q1/Garn 943 73 - - - 6/19/6 - -
28/Q2/Botntrål 833 76 -/6/- - - 1/1/1 - -
42/Q4/Botntrål 724 79 - - - - - -
42/Q3/Garn 651 81 - - - 8/20/8 - -
42/Q4/Garn 606 83 - - - 7/21/7 - -
08/Q4/Botntrål 583 85 -/3/- - - 1/1/1 - -
28/Q3/Snurrevad 408 87 -/2/- - - - - -
28/Q2/Snurrevad 251 88 - - - - - -
08/Q1/Botntrål 229 88 - - - - - -
42/Q4/Snurrevad 191 89 - - - - - -
08/Q3/Snurrevad 189 90 - - - - 2/2/6 -
08/Q2/Not 189 90 - - - - - -
28/Q3/Not 186 91 - - - - - -
08/Q1/Garn 140 92 - - - 1/1/1 6/6/6 -
42/Q2/Botntrål 180 92 - - - - - -
08/Q4/Snurrevad 133 93 - - - - -/-/4 -
08/Q2/Snurrevad 118 93 - - - - 1/1/1 -
42/Q1/Snurrevad 113 93 - - - - - -
08/Q3/Garn 108 94 - - - 1/1/3 - -
28/Q1/Snurrevad 111 94 - - - - - -
28/Q4/Garn 90 95 - - - -/-/1 - -
28/Q3/Garn 91 95 - - - - - -
REST 1.434 100 -/150/- 111/111/113 - 182/417/216 140/185/201 6/83/6
Tabell 13. Tonn rundvekt per stratum for sei i Nordsjøen 2023, samt N-prøver (A15/L15/A1) per plattform. KV=Kystvakt, PB=Prøvebåt, KL/KS=Kommersielle prøver land/sjø, RH=Ref-hav, RK=Ref-kyst, SJ=Sjøtjenesten. Dei 100 strata med siste 5% av totalfangsten har blitt slått saman til REST.

6.7 - Nordsjøtorsk

Bestandsansvarleg: Côme Denechaud.  

NS torsk fins sør for 62°N i Nordsjøen (ICES 27.4.a, 27.4.b, 27.4.c), Skagerrak (27.3a.20), den austlege engelske kanal (27.7.d) og vest av Skottland (27.6.a).  

Nordsjøtorsken er ganske stadbunden, men nyare arbeid har vist at det finst fleire lokale bestandar, som kan identifiserast med hensyn til gyteområder, vandringsåtferd og genetisk identitet. Etter 3 år med workshops og benchmark vart NS torsken, i 2023, delt opp i tre underbestandar med tilsvarande områder (Figur 49):  

  • "Southern", i dei sørlegaste delane av Nordsjøen og i den østlige engelske kanal (grønt).  

  • "Viking", nordøst i Nordsjøen og i Skagerrak (raudt).  

  • "Northwestern", i dei vestlege delane av Nordsjøen og vest for Skotland (blått).  

 

Kart over bestandskomponentar.
Figur 49. Fordeling av NS torsk bestandsområder med diverse ICES statistiske områder og nasjonale eksklusive økonomiske soner.

 

 

Ein antek at dei tre bestandane er romleg fordelt i kvart sitt område under gyteperioda i 1. kvartal, men blandast i ukjent grad resten av året. Det føregår eit arbeid med innsamling av genetiske data og andre metodar for å kvantifisere blandinga. 

6.7.1 - Fiskeri, rådgjeving og bestandsutvikling

Som mange bestandar i Nordsjøen, hadde torsken sine historiske største fangstar i perioden 1970-1985. Kraftig overhausting og klima-relaterte endringar førte til ein betydeleg nedgang i biomassen og fangstar på 1990-tallet (Figur 50).  

 

Diagram som visar bestandsutvikling.
Figur 50. Utvikling i kombinerte fangstar og utkast (alle tre bestandene) mellom 1963 og 2022. Standardgraf frå 2023 råd (ICES 2023). 

 

Trass redusert fiskedødelegheit og forbetringar i forvaltning har bestanden stabilisert seg på eit lavt nivå sidan, og alle tre komponentane viser konsistente lave fangstar og dårleg rekruttering (Figur 51a-c). Det siste året ser ein teikn til mogleg auke i gytebiomassen, noko som kan bekreftast med nye data dei komande åra. 

  1. Southern

  Figurar over bestandsutvikling.

  1. Northwestern  

Diagram som visar bestandsutvikling.  

  1. Viking  

 

Diagram som visar bestandsutvikling.
Figur 51. Bestand-spesifikk utvikling i fangster og fiskeritrykk (1983-2022), rekrutering og bestandsutvikling (1983-2023) for Southern (øverst), Northwestern (i midten), og Viking (nederst) torsk. Standardgraf fra 2023 råd (ICES 2023).

   

 

«Southern» torsk er i dårlegast tilstand. Denne har hatt ekstremt lave fangstar, ein biomasse under B lim og svake årsklasser, sidan 2010. «Northwestern» torsk viser ein større, og moglegens aukande, biomasse over MSY B trigger . «Viking» torsk viser også positive trendar, sjølv om dette er på eit lavt nivå (~MSY B trigger ). Merk at desse trendane er populasjon s-spesifikke og ikkje område- spesifikke, då bestandane blandar seg utanom Q1, og har ein tendens å samle seg rundt områdegrensene. Nesten 65% av alle landingar (i volum) skjer i «Viking»-området, men består av ei blanding av desse bestandane.

Bestand beregningen for NS torsk vert gitt av ICES Working Group on the Assessment of Demersal Stocks in the North Sea and Skagerrak (WGNSSK), i april kvart år. Rådet blir offentleggjort i juni kvart år, og kvota blir bestemt under Nordsjøens trilaterale forhandlinger mellom Norge, UK og EU kvar haust.  

6.7.2 - Utvikling i det norske fiskeriet

NS torsken vert hovedsakeleg fanga med bunntrål og garn, med ein vaksande proporsjon av line- og snurrevad-fangstar dei siste 4 åra (Figur 52). Andre reiskap utgjer kun ein minimal andel av den totale fangsten, sannsynlegvis som bifangst.  

 

Søylediagram over fangstutvikling.
Figur 52. Norske fangstar av NS torsk frå 2014 til 2023 fordelt på reiskap.

 

Karta i Figur 53 viser den romlege fordelinga av NS torskefangstar per hovedområde og kvartal dei siste fire åra. Omtrent 50% av fangstene skjer i 3.kvartal. Merk mangel på fangstar i nærleiken av UK i 2020. Dette er grunna Brexit-relaterte problemer. 

 

Kart over fangst per hovedområde.
Figur 53. Kakediagram over norske fangstar per hovedområde og kvartal 2020-2023.  

 

6.7.3 - Fordeling av NS torskefangstar per fartøykategori i 2023

Figur 54 viser fangst per reiskap, kvartal og lengdegruppe av fartøy. Mesteparten av fangstane vert tatt av fartøy 21-27 m og > 28 m. Hovudsakleg med trål, garn, line og snurrevad i 3.kvartal. 

 

Søylediagram over landing per fartøystorleik og reiskap.
Figur 55 viser produkt-tilstand ved levering fordelt på fartøy-gruppe og fylke. Mesteparten av fangstane av NS torsk leverast sløyd i Vestland, av fartøy 21-27m og >28m.  

 

Figur 54. NS torsk 2023: Fangst per kvartal, reiskap og lengdegruppe fartøy. Totalfangst for lengdegruppa i tonn, og prosent av totalfangsten for alle fartøygrupper er vist inne i kvart panel.  

 

Søylediagram over landing per fylke.
Figur 55. Per produkttilstand, fartøy-lengdegruppe og landingsfylke.

   

 

Omtrent 100 unike fartøy på >28m står for omtrent 70% av fangsten av NS torsk. 20% vert tatt av omtrent 30 unike fartøy mellom 21-27m (Figur 56).  

 

Linjediagram som viser kummulativ fangst per fartøygruppe.
Figur 56. Kumulativ fangst (til 99% av totalfangst) per unike fartøy, og per lengdegruppe av fartøy, 2023. Fartøy uten radiokallesignal (RC) er ikkje med (xx% av totalfangsten).

 

 

6.7.4 - Fangststatistikk og prøver 2023

 

Kart over fangst per hovedområde.
Figur 57. Norsk fangst fordelt på hovedområde, reiskap og kvartal.  

 

 

Stratum Tonn cperc KV PB KL RH RK SJ
42/Q3/Garn 539 15 - - - 7/24/7 - -
42/Q3/Line 307 23 - - - 5/10/5 - -
42/Q1/Garn 211 29 - - - 8/15/8 - -
42/Q4/Garn 205 35 - - - 4/19/4 - -
08/Q3/Snurrevad 183 40 - - - - 6/6/7 -
28/Q3/Line 156 44 - - - - - -
08/Q3/Botntrål 130 48 - - - 3/3/9 - -
42/Q2/Garn 127 52 - - - -/6/4 - -
08/Q2/Botntrål 125 55 -/4/- - - 1/1/3 - -
08/Q3/Garn 122 58 - - - 2/3/8 1/1/1 -
42/Q2/Line 93 61 - - - 5/6/5 - -
41/Q3/Garn 93 64 - - - -/1/- - -
28/Q2/Snurrevad 82 66 -/1/- - - - - -
28/Q3/Botntrål 69 68 -/1/- - - 2/2/4 - -
08/Q1/Snurrevad 68 70 -/2/- - - - 13/13/13 -
41/Q3/Snurrevad 67 72 -/1/- - - - - -
08/Q4/Botntrål 65 73 -/1/- - - - - -
41/Q2/Garn 61 75 - - - -/-/2 - -
28/Q3/Snurrevad 57 77 -/1/- - - - - -
28/Q4/Botntrål 46 78 - - - -/-/1 - -
42/Q4/Line 42 79 - - - - - -
41/Q2/Snurrevad 40 80 - - - - - -
28/Q2/Botntrål 40 81 -/2/- - - - - -
42/Q3/Botntrål 37 82 - - - - - -
08/Q2/Snurrevad 36 83 - - - - 1/1/1 -
28/Q1/Garn 36 84 - - - -/1/- -/-/18 -
28/Q1/Botntrål 34 85 - - - -/1/- - -
08/Q3/Line 31 86 - - - - - -
08/Q2/Garn 29 87 - - - -/1/- -/-/9 -
08/Q1/Garn 29 88 - - - -/-/1 -/-/6 -
28/Q1/Snurrevad 29 89 - - - - - -
08/Q1/Botntrål 29 89 - - - - - -
28/Q2/Garn 26 90 - - - -/1/- - -
09/Q4/Reketrål 24 91 - - - - -/2/7 -
28/Q4/Line 22 91 - - - - - -
09/Q1/Reketrål 21 92 -/1/- - - - -/5/12 -
08/Q1/Reketrål 21 93 - - - - -/1/- -
08/Q4/Snurrevad 20 93 - - - - 1/1/6 -
09/Q2/Reketrål 19 94 - - - - -/-/13 -
09/Q3/Reketrål 17 94 - - - - 3/3/13 -/1/-
41/Q3/Handsnøre 13 94 - - - - - -
42/Q4/Botntrål 13 95 - - - - - -
REST 187 100 6/178/7 245/245/255 15/15/17 269/679/301 71/109/192 -/65/-
Tabell 14. Tonn rundvekt per stratum for torsk i Nordsjøen 2023, samt N-prøver (A15/L15/A1) per plattform. KV=Kystvakt, PB=Prøvebåt, KL/KS=Kommersielle prøver land/sjø, RH=Ref-hav, RK=Ref-kyst, SJ=Sjøtjenesten. Dei 82 strata med siste 5% av totalfangsten har blitt slått saman til REST.

 

6.8 - Dypvannsreke i Skagerrak og Norskerenna

  Bestandsansvarleg: Guldborg Søvik. 

Rekebestanden i sør finst sør for 62°N, i Skagerrak (27.3a.20) og Norskerenna (ICES 27.4.a øst). 

6.8.1 - Fiskeri, rådgjeving og bestandsutvikling

Dei historisk høgaste fangstane blei landet mellom midten av 1980-tallet og 2010 (Figur 58). Bestanden blir fiska på av Noreg, Danmark og Sverige, der Noreg har den største delen av totalkvota (Figur 59).  

Rekrutteringa har vore lågare sidan midten av 2000-tallet samanlikna med tidlegare år, noko som har ført til ein betydeleg bestandsnedgang det siste tiåret, der gytebiomassen har lege under B lim (Figur 58).  

Kvoterådet for Rekebestanden i sør blir utarbeidd av NAFO og ICES sin Pandalus arbeidsgruppe (NIPAG) i april kvart år. Rådet offentleggjerast i juni, og kvoten blir bestemt under bilaterale forhandlingar mellom Noreg og EU. 

 

Diagram som visar bestandsutvikling.
Figur 58. Utvikling i fangstar og fisketrykk (1971-2023), rekruttering og bestandsutvikling (1971-2023). Standard-graf frå bestandvurdering (Simpson and Zimmermann et al 2023). 

 

 

 

Søylediagram over landingar per år og nasjon. Samt kvote.
Figur 59. Landingar og estimert utkast 1970-2023 fordelt på land, og totalkvote 1992-2022. Fom. 2023 følgjer ikkje kvoteåret kalenderåret, men går frå 1. juli til 30. juni; kvoten for kvoteåret 2023 er difor ikkje lagt inn i figuren. Henta frå rådgjevingsarket (Simpson and Zimmermann et al 2023).

 

 

6.8.2 - Utvikling i det norske fiskeriet

  Dypvannsreke fangast med småmaska botntrål (reketrål) (Figur 60). Andre reiskap, som teiner, utgjer berre ein minimal del av dei totale landingane.

Karta i Figur 61 viser romleg fordeling av dei norske rekelandingane per hovudområde og kvartal dei siste fire åra. Fisket går føre seg gjennom heile året. Fisket i Norskerenna vest av Lindesnes har minka dei siste to åra. 

 

Søylediagram over fangstutvikling.
Figur 60. Norske landingar frå 2014 til 2023 fordelt på reiskap. 

 

 

Kart over fangst per hovedområde.
Figur 61. Kakediagram over norske landingar per hovudområde og kvartal 2020-2023. 

 

6.8.3 - Fordeling av rekelandingar per fartøykategori i 2023

Mesteparten av landingane vert tatt i første og andre kvartal (Figur 62). Landingane i 2023 var nokså likt fordelt på fartøy over og under 15 m. I 2023 ble det landa reke i alle fylka i Sør-Noreg, med unntak av Oslo (Figur 63). Små fartøy (< 11m) landar fangstane sine i Vestfold og Telemark, Viken og Agder, medan dei store fartøya landar fangstane i Agder og Rogaland. Dette seier litt om fiskemønsteret, med en hovudvekt av små fartøy aust i Skagerrak og ei hovudvekt av større fartøy lenger vest.

All reke vert landa rund, som kokt (store reker) eller rå (småreker). Mengden av kokt og rå reke kjem ikkje fram av produkttilstand. Delen kokreker varierer med mengda av dei forskjellige årsklassane i bestanden, men omtrent halvparten av den landa fangsten pleier å vere kokreke.  

Vel 15 unike fartøy 28 m og over tek i underkant av 20 % av rekefangstane i sør (Figur 7). Fartøy 21-27,99 m tar vel 30 % av fangstane medan fartøy 15-20,99 m tek i underkant av 10 %. Fartøygruppa under 11 m er den største og tek meir enn 20 % av fangstane. 

 

Søylediagram over landing per fartøystorleik og reiskap.
Figur 62. Landingar 2023: Landingar per kvartal, reiskap og lengdegruppe fartøy. Venstre øvste panel er sluttseddeldata der fartøylengde ikkje er oppgitt. Totallandingar for lengdegruppa i tonn, og prosent av totallandingane for alle fartøygrupper er vist inne i kvart panel. 

 

 

 

Søylediagram over landing per fylke.
Figur 63. Landingar 2023 per produkttilstand, fartøy-lengdegruppe og landingsfylke. Venstre øvste panel er sluttseddeldata der landingsfylke ikkje er oppgitt. 

 

 

 

Linjediagram som viser kummulativ fangst per fartøygruppe.
Figur 64. Kumulativ fangst (til 99% av totalfangst) per unike fartøy, og per lengdegruppe av fartøy, 2023. Fartøy utan radiokallesignal (RC) er ikkje med. 

 

 

6.8.4 - Fangststatistikk og prøver 2023

Det brukast ein lengde- og aldersbasert assessmentmodell for rekebestanden i sør. For å fordele fangstane på lengdegrupper, vert det tatt prøver frå kommersielle fangstar før sortering (solling) om bord. Det blei tatt 62 usorterte prøver frå kommersielle rekefangster i 2023, 48 frå fartøy som leverer prøver til Havforskingsinstituttet og 14 frå fangstinspeksjonar utført av Kystvaktfartøy. Vidare tek reketrålarne i Kystreferanseflåten i sør prøver av rekefangstane sine, men dei tek separate prøver frå dei tre fangstfraksjonane (kokt, rå og utkast). Desse prøvene nyttast også til å lengdefordele dei kommersielle fangstane, samt til å berekne utkast. I 2023 ble det tatt 59 slike prøver (beståande av tre delprøver) frå Skagerrak, og berre fire frå Norskerenna.  

Størsteparten av rekelandingane i 2023 blei tatt i Skagerrak (Figur 65 og Tabell 15). Landingane i Norskerenna var mykje større i kvartal 1 samanlikna med i dei tre andre kvartala, medan landingane i Skagerrak var meir jamt fordelt utover året. Ti av dei usorterte prøvene dekte fangstar i Norskerenna vest av Lindesnes, medan 52 dekte fangstar i Skagerrak (Tabell 15). Prøvane frå Skagerrak var jamt fordelt utover året, medan dei fleste prøvane frå Norskerenna var frå fyrste kvartal. Prøvetakinga dekte såleis både område og kvartal godt i forhold til fordelinga av landingane. Prøvene frå det sorterte ladingane dekte ikkje Norskerenna godt. Skagerrak var, på den andre sida, godt dekt og det var flest prøvar frå fyrste halvår, som samsvarer godt med at landingane i fyrste halvår var større enn i andre halvår. I tabellen under er prøver frå kommersielle fiskefartøy (KS) koda som fanga med sjøkrepstrål, og kjem derfor ut under «anna» kategorien.  

 

Kart over fangst per hovedområde.
Figur 65. Norske landingar i 2023 fordelt på hovudområde, reiskap og kvartal. 

 

 

Stratum Tonn cperc KV KS RK
09/Q2/Reketrål 1.060 24 -/3/- - -/16/-
09/Q1/Reketrål 1.059 47 -/8/- - -/21/-
08/Q1/Reketrål 771 64 -/14/- - -/1/-
09/Q3/Reketrål 607 78 -/7/- - -/12/-
09/Q4/Reketrål 578 90 -/6/- - -/10/-
08/Q2/Reketrål 170 94 -/3/- - -/2/-
REST 267 100 -/20/- -/48/- -/1/-
Tabell 15. Tonn rundvekt per stratum for reke i sør 2023, samt N-prøver (A15/L15/A1) per plattform. KV=Kystvakt, PB=Prøvebåt, KL/KS=Kommersielle prøver land/sjø, RH=Ref-hav, RK=Ref-kyst, SJ=Sjøtjenesten. Dei 26 strata med siste 5% av totalfangsten har blitt slått saman til REST.

7 - Referansar

Albert, O.T. and Vollen, T., 2015. A major nursery area around the Svalbard archipelago provides recruits for the stocks in both Greenland halibut management areas in the Northeast Atlantic. ICES Journal of Marine Science: Journal du Conseil, 72(3): 872-879.

David Hirst, Sondre Aanes, Geir Storvik, Ragnar Bang Huseby, Ingunn Fride Tvete, Estimating Catch at Age from Market Sampling Data by Using a Bayesian Hierarchical Model, Journal of the Royal Statistical Society Series C: Applied Statistics, Volume 53, Issue 1, January 2004, Pages 1–14, https://doi.org/10.1111/j.1467-9876.2004.00422.x

Howell, D., Bogstad, B., Chetyrkin, A., Fall, J., Filin, A., Hallfredsson, E. H., Höffle, H., Johannesen, E., Kovalev, Y., Mikhailov, A., Russkikh, A., Stesko, A., Vasilyev, D., Vihtakari, M., Windsland, K., & Yaragina, N. (2023). Report of the Joint Russian-Norwegian Working Group on Arctic Fisheries (JRN-AFWG) 2023. IMR-PINRO Joint Report Series 2023-7.

Howell et al 2024. Report of the Joint Russian-Norwegian Working Group on Arctic Fisheries (JRN-AFWG) 2024. IMR-PINRO 2024-X Available at: https://www.hi.no/hi/nettrapporter/imr-pinro-en-2023-7.

ICES. 2022. Spurdog (Squalus acanthias) in subareas 1–10, 12, and 14 (the Northeast Atlantic and adjacent waters). In Report of the ICES Advisory Committee, 2022. ICES Advice 2022, dgs.27.nea. https://doi.org/10.17895/ices.advice.19753588.

Johnsen, E., Totland, A., Skålevik, Å., Holmin, A. J., Dingsør, G. E., Fuglebakk, E., & Handegard, N. O. (2019). StoX: An open source software for marine survey analyses. Methods in Ecology and Evolution. 10 :1523 –1528. https://doi.org/10.1111/2041-210X.13250

Úbeda, J., Nogueira, A., Tolimieri, N., Vihtakari, M., Elvarsson, B., Treble, M., and Boje, J. 2023. Using multivariate autoregressive state‐space models to examine stock structure of Greenland halibut in the North Atlantic. Fisheries Management and Ecology: doi/10.1111/fme.12639.

Vihtakari, M., Elvarsson, B. Þ., Treble, M., Nogueira, A., Hedges, K., Hussey, N. E., Wheeland, L., et al. 2022. Migration patterns of Greenland halibut in the North Atlantic revealed by a compiled mark–recapture dataset. ICES Journal of Marine Science, 79: 1902–1917.

Westgaard, J.-I., Saha, A., Kent, M.P., Hansen, H.H., Knutsen, H., Hauser, L., Cadrin, S.X., Albert, O.T. and Johansen, T., 2016. Genetic population structure in Greenland halibut (Reinhardtius hippoglossoides) and its relevance to fishery management. Canadian Journal of Fisheries and Aquatic Sciences, 74:475-485. 

8 - Vedlegg

8.1 - Vedlegg 1. Tal på sluttsetellinjer per art (Art.FAO) og år.

   
  2014 2015 2016 2017 2018 2019 2020 2021 2022 2023
Blåkveite 10747 10415 12121 13216 12687 11051 11780 13461 11784 10565
Dypvannsreke 50082 53273 60621 59018 55381 53172 51278 44742 39515 36491
Hvitting 3770 3830 4678 4035 3361 3434 2527 3364 3696 4503
Hyse 95276 85637 85144 80142 79827 75685 73347 82248 86242 85513
Lysing 13364 13442 15069 14735 15698 15469 15298 14318 13103 12003
Pigghå 5613 4904 4805 3993 4175 4190 3368 3715 3315 3158
Rødspette 19609 17587 19506 17651 16087 14912 12677 15344 17854 17815
Sei 116270 108139 119081 113112 111707 106888 107248 118805 116156 119027
Sjøkreps 11988 11824 14719 16219 17279 18880 18856 19381 19725 20094
Snabeluer 1052 1242 1478 1600 1442 1434 1637 1923 2239 2113
Torsk 443282 368990 356466 341643 336352 286385 290150 306347 314103 309508
Tunge 1965 1959 1635 1457 1535 1038 811 666 480 316
Uer (vanlig) 21552 20566 24184 26117 26611 26637 25254 34342 34351 36322

8.2 - Vedlegg 2. Kort oppsummering frå andre bestandar.

Tabellane kjem fortløpande.

Tonn rundvekt per stratum for uer (vanlig) 2023, samt N-prøver (A15/L15/A1) per plattform.

KV=Kystvakt, PB=Prøvebåt, KL/KS=Kommersielle prøver land/sjø, RH=Ref-hav, RK=Ref-kyst, SJ=Sjøtjenesten. Dei 190 strata med siste 5% av totalfangsten har blitt slått saman til REST.

Stratum Tonn cperc KV PB RH RK SJ
12/Q2/Botntrål 669 9 - - 2/5/4 - -
20/Q4/Botntrål 530 16 - - 9/15/14 - -
04/Q2/Botntrål 481 22 - - 6/24/6 - -
04/Q1/Botntrål 395 27 -/1/- - 10/46/11 - -/2/-
12/Q1/Botntrål 379 32 - - 9/32/10 - -
04/Q4/Botntrål 341 36 - - 3/7/3 - -/1/-
04/Q3/Botntrål 310 40 -/1/- - 4/12/4 - -
04/Q4/Garn 266 44 - - -/1/4 4/7/4 -
05/Q1/Botntrål 266 47 - - 2/14/2 - -/7/-
03/Q3/Snurrevad 265 51 -/1/- - -/2/- - -
05/Q2/Botntrål 254 54 -/1/- - -/6/- - -
13/Q3/Botntrål 199 56 - - 2/6/2 - -
05/Q2/Garn 171 59 - - - 1/2/1 -
03/Q3/Garn 168 61 - - - - -
03/Q3/Botntrål 162 63 - - -/3/- - -
05/Q3/Garn 148 65 - - - - -
05/Q4/Garn 141 67 -/1/- - - - -
21/Q2/Botntrål 140 69 - - - - -
03/Q2/Botntrål 120 70 - - 1/6/1 - -
20/Q3/Botntrål 109 72 - - 1/3/1 - -
03/Q1/Botntrål 105 73 - - 1/5/1 - -
05/Q1/Garn 98 74 - - 1/15/1 3/6/3 -
04/Q3/Garn 83 75 - - -/-/1 - -
05/Q4/Botntrål 81 76 - - - - -/3/-
00/Q1/Garn 76 77 - - - 3/6/3 -
20/Q1/Botntrål 74 78 - - 2/7/2 - -
05/Q3/Botntrål 67 79 - - 3/5/3 - -
12/Q3/Line 65 80 - - 3/11/3 - -
12/Q3/Botntrål 62 81 - - 1/2/1 - -
06/Q1/Garn 60 82 - - -/7/- 10/10/10 -
03/Q2/Line 58 82 - - - - -
03/Q4/Garn 58 83 - - - - -
05/Q3/Line 56 84 - - -/1/- - -
04/Q3/Snurrevad 56 84 - - - - -
13/Q4/Botntrål 54 85 - - - - -
05/Q1/Snurrevad 53 86 - - -/2/- - -
05/Q2/Snurrevad 49 86 - - -/2/- - -
12/Q2/Line 38 87 - - 4/9/9 - -
03/Q3/Line 38 87 - - - - -
05/Q2/Line 37 88 - - -/3/- - -
06/Q2/Garn 36 88 - 1/1/1 - 9/9/10 -
00/Q3/Garn 36 89 - - - 1/2/1 -
00/Q4/Garn 33 89 -/1/- - - 3/6/3 -
06/Q4/Garn 33 90 - - - 8/8/8 -
07/Q2/Garn 30 90 - - - -/-/1 -
12/Q4/Botntrål 26 90 - - -/1/- - -
03/Q4/Snurrevad 23 91 -/1/- - - - -
24/Q4/Botntrål 25 91 - - - - -
13/Q2/Botntrål 24 91 - - - - -
00/Q1/Snurrevad 21 92 - - -/1/- - -
04/Q2/Snurrevad 21 92 - - -/1/- - -
07/Q3/Garn 20 92 - - - - -
03/Q4/Line 20 92 - - - - -
07/Q4/Garn 20 93 - - -/1/- - -
04/Q2/Garn 20 93 -/1/- - -/-/1 - -
12/Q1/Line 19 93 - - -/1/- - -
04/Q1/Garn 18 93 - - - - -
04/Q3/Line 17 94 - - - - -
22/Q4/Botntrål 17 94 - - - - -
03/Q2/Snurrevad 16 94 - - - - -
06/Q4/Botntrål 16 94 - - - - -
06/Q3/Garn 16 95 - - -/1/- 7/7/8 -
05/Q4/Snurrevad 15 95 - 1/1/1 - - -
06/Q3/Line 15 95 - - - 9/9/16 -
REST 391 100 -/1/- - 18/37/26 3/6/16 -/2/-

Tonn rundvekt per stratum for snabeluer 2023, samt N-prøver (A15/L15/A1) per plattform.

KV=Kystvakt, PB=Prøvebåt, KL/KS=Kommersielle prøver land/sjø, RH=Ref-hav, RK=Ref-kyst, SJ=Sjøtjenesten. Dei 79 strata med siste 5% av totalfangsten har blitt slått saman til REST.

Stratum Tonn cperc KV RH RK SJ
12/Q2/Botntrål 20.100 45 - 8/16/8 - -
12/Q2/Flytetrål 6.346 59 - 8/24/8 - -
12/Q1/Botntrål 3.396 67 - 6/23/6 - -
04/Q2/Botntrål 2.167 72 - 3/7/3 - -
20/Q4/Botntrål 2.124 77 -/1/- 12/20/13 - -
20/Q3/Botntrål 1.688 80 -/5/- 2/2/2 - -
04/Q1/Botntrål 1.526 84 - 1/6/1 - -/1/-
12/Q1/Flytetrål 1.441 87 - 3/11/3 - -
20/Q2/Botntrål 728 89 - -/1/- - -
04/Q3/Botntrål 602 90 - 1/1/1 - -
05/Q1/Botntrål 551 91 - - - -/4/-
04/Q4/Botntrål 409 93 - - - -
06/Q1/Botntrål 534 93 - - - -
12/Q3/Botntrål 392 94 - -/2/- - -
REST 2.520 100 -/1/- 16/73/23 -/1/- -/1/-

Tonn rundvekt per stratum for reke i Barentshavet 2023, samt N-prøver (A15/L15/A1) per plattform.

KV=Kystvakt, PB=Prøvebåt, KL/KS=Kommersielle prøver land/sjø, RH=Ref-hav, RK=Ref-kyst, SJ=Sjøtjenesten. Dei 47 strata med siste 5% av totalfangsten har blitt slått saman til REST.

Stratum Tonn cperc KV KS RK
24/Q3/Reketrål 18.059 52 -/3/- - -
24/Q2/Reketrål 4.594 65 - - -
15/Q2/Reketrål 4.314 78 -/1/- - -
15/Q3/Reketrål 3.936 89 - - -
23/Q2/Reketrål 629 91 -/1/- - -
16/Q3/Reketrål 599 92 - - -
24/Q4/Reketrål 439 94 - - -
17/Q3/Reketrål 401 95 - - -
REST 1.793 100 -/56/- -/48/- -/63/-

Tonn rundvekt per stratum for lysing 2023, samt N-prøver (A15/L15/A1) per plattform.

KV=Kystvakt, PB=Prøvebåt, KL/KS=Kommersielle prøver land/sjø, RH=Ref-hav, RK=Ref-kyst, SJ=Sjøtjenesten. Dei 136 strata med siste 5% av totalfangsten har blitt slått saman til REST.

Stratum Tonn cperc KV RH RK
07/Q3/Garn 183 8 -/2/- - -
08/Q3/Snurrevad 126 14 - - -/4/-
07/Q4/Garn 121 20 -/1/- - -
28/Q3/Snurrevad 107 25 -/1/- - -
07/Q2/Snurrevad 107 29 - - -
08/Q2/Botntrål 106 34 -/1/- - -
08/Q4/Botntrål 104 39 - - -
08/Q4/Snurrevad 104 44 -/1/- - -
28/Q2/Snurrevad 93 48 -/1/- - -
42/Q3/Botntrål 91 52 - - -
07/Q2/Garn 91 56 - -/3/- -
07/Q1/Garn 75 60 - -/2/- -/2/-
42/Q3/Garn 67 63 - -/14/- -
28/Q1/Botntrål 67 66 -/1/- - -
07/Q4/Snurrevad 63 69 - - -
08/Q3/Botntrål 60 71 - - -
08/Q3/Garn 46 74 -/1/- - -/2/-
28/Q3/Botntrål 40 75 - - -
28/Q3/Garn 33 77 - - -
28/Q2/Botntrål 31 78 -/1/- - -
28/Q2/Garn 28 80 - -/1/- -
28/Q4/Botntrål 28 81 - - -
28/Q4/Snurrevad 24 82 -/1/- - -
42/Q4/Garn 23 83 - -/12/- -
42/Q1/Garn 21 84 - -/3/- -
07/Q2/Botntrål 21 85 - - -
28/Q4/Garn 20 86 - - -
42/Q2/Garn 17 87 - -/4/- -
06/Q4/Garn 13 87 - - -
08/Q4/Garn 13 88 - -/2/- -
41/Q4/Garn 12 88 - - -
08/Q2/Garn 12 89 - - -
06/Q2/Garn 12 89 - - -
08/Q1/Botntrål 11 90 - - -
08/Q2/Snurrevad 11 90 - - -
06/Q1/Garn 9 91 - -/2/- -
07/Q3/Snurrevad 11 91 - - -
08/Q2/Flytetrål 8 92 - - -
06/Q3/Garn 8 92 - - -
08/Q4/Flytetrål 8 92 - - -
08/Q2/Reketrål 7 93 - - -
00/Q4/Garn 8 93 - - -
41/Q3/Snurrevad 7 93 - - -
28/Q3/Andre 5 94 - - -
42/Q3/Snurrevad 7 94 - - -
09/Q2/Reketrål 6 94 - - -
28/Q4/Flytetrål 7 94 - - -
09/Q3/Snurrevad 5 95 - - -
42/Q1/Botntrål 5 95 - - -
REST 111 100 - -/2/- -

Tonn rundvekt per stratum for hyse i Nordsjøen 2023, samt N-prøver (A15/L15/A1) per plattform.

KV=Kystvakt, PB=Prøvebåt, KL/KS=Kommersielle prøver land/sjø, RH=Ref-hav, RK=Ref-kyst, SJ=Sjøtjenesten. Dei 80 strata med siste 5% av totalfangsten har blitt slått saman til REST.

Stratum Tonn cperc KV PB KL RH RK SJ
28/Q2/Flytetrål 427 16 - - - - - -
08/Q2/Flytetrål 393 31 - - - - - -
08/Q3/Botntrål 174 38 - - - 5/5/11 - -
41/Q2/Botntrål 162 44 - - - - - -
09/Q2/Snurrevad 128 49 - - - - - -
28/Q3/Flytetrål 127 54 - - - - - -
08/Q2/Botntrål 102 57 -/2/- - - 1/2/3 - -/1/-
28/Q3/Botntrål 88 61 -/3/- - - 2/2/4 - -
42/Q3/Botntrål 78 64 - - - - - -
08/Q4/Botntrål 64 66 -/3/- - - - - -
08/Q3/Snurrevad 64 69 - - - - 6/6/6 -
08/Q3/Flytetrål 60 71 - - - - - -
42/Q3/Flytetrål 55 73 - - - - - -
09/Q3/Snurrevad 53 75 - - - - - -
28/Q3/Snurrevad 45 77 -/1/- - - - - -
42/Q3/Line 43 78 - - - 5/11/6 - -
08/Q1/Snurrevad 39 80 -/2/- - - - 13/13/13 -
28/Q4/Botntrål 36 81 -/2/- - - -/-/1 - -
28/Q3/Line 35 82 - - - -/-/1 - -
28/Q1/Botntrål 28 84 -/2/- - - 3/5/3 - -
08/Q4/Snurrevad 27 85 - - - - 5/5/5 -
28/Q2/Snurrevad 27 86 -/1/- - - - - -
08/Q1/Garn 24 87 - - - - 4/4/6 -
42/Q4/Botntrål 23 87 - - - - - -
28/Q2/Botntrål 22 88 -/4/- - - -/1/- - -
08/Q4/Garn 21 89 - - - -/-/3 - -
28/Q1/Garn 20 90 - - - -/1/- - -
08/Q4/Flytetrål 18 90 - - - - - -
09/Q3/Flytetrål 16 91 - - - - - -
08/Q2/Snurrevad 15 92 - - - - 1/1/1 -
42/Q4/Line 12 92 - - - - - -
28/Q2/Not 12 93 - - - - - -
41/Q3/Snurrevad 11 93 - - - - - -
41/Q2/Snurrevad 12 93 - - - - - -
28/Q1/Snurrevad 10 94 - - - - - -
28/Q4/Flytetrål 11 94 - - - - - -
08/Q2/Garn 10 95 - - - - 2/2/3 -
41/Q3/Flytetrål 10 95 - - - - - -
REST 133 100 4/103/4 73/73/77 5/5/5 235/604/272 81/125/153 -/49/-

Tonn rundvekt per stratum for hvitting 2023, samt N-prøver (A15/L15/A1) per plattform.

KV=Kystvakt, PB=Prøvebåt, KL/KS=Kommersielle prøver land/sjø, RH=Ref-hav, RK=Ref-kyst, SJ=Sjøtjenesten. Dei 136 strata med siste 5% av totalfangsten har blitt slått saman til REST.

Stratum Tonn cperc KV RH RK SJ
08/Q3/Botntrål 302 26 - -/3/- - -
08/Q2/Botntrål 137 38 -/1/- -/1/- - -
08/Q4/Botntrål 91 46 -/1/- - - -
08/Q3/Flytetrål 76 53 - - - -
28/Q2/Flytetrål 75 60 - - - -
08/Q2/Flytetrål 70 66 - - - -
41/Q2/Botntrål 51 70 - - - -
07/Q2/Snurrevad 31 73 - - - -
41/Q3/Flytetrål 30 76 - - - -
28/Q3/Botntrål 27 78 - - - -
28/Q3/Flytetrål 26 80 - - - -
08/Q4/Flytetrål 19 82 - - - -
42/Q3/Flytetrål 17 83 - - - -
07/Q1/Snurrevad 15 85 - - - -
00/Q1/Snurrevad 15 86 - - - -
28/Q2/Botntrål 13 87 - -/1/- - -
07/Q4/Snurrevad 13 88 - - - -
42/Q4/Flytetrål 11 89 - - - -
08/Q1/Botntrål 11 90 - - - -
28/Q1/Botntrål 8 91 -/2/- -/4/- - -
28/Q3/Snurrevad 7 91 - - - -
00/Q1/Garn 6 92 - - - -
05/Q2/Line 5 92 - - - -
08/Q1/Snurrevad 4 93 -/1/- - - -
42/Q1/Botntrål 4 93 - - - -
28/Q2/Snurrevad 4 93 - - - -
08/Q3/Snurrevad 3 94 - - -/1/- -
08/Q4/Snurrevad 3 94 - - - -
06/Q2/Garn 4 94 - - - -
06/Q1/Garn 2 95 - - - -
05/Q1/Snurrevad 3 95 - - - -
28/Q4/Flytetrål 3 95 - - - -
REST 57 100 -/1/- -/12/- - -/2/-

Tonn rundvekt per stratum for rødspette 2023, samt N-prøver (A15/L15/A1) per plattform.

KV=Kystvakt, PB=Prøvebåt, KL/KS=Kommersielle prøver land/sjø, RH=Ref-hav, RK=Ref-kyst, SJ=Sjøtjenesten. Dei 144 strata med siste 5% av totalfangsten har blitt slått saman til REST.

Stratum Tonn cperc KV RH RK
03/Q4/Snurrevad 103 11 - - -
04/Q3/Snurrevad 95 21 - - -
03/Q2/Snurrevad 77 30 - - -
04/Q4/Snurrevad 72 37 - - -
03/Q3/Snurrevad 57 44 - - -
07/Q2/Snurrevad 44 48 - - -
05/Q4/Snurrevad 43 53 - - -
07/Q1/Snurrevad 40 57 - - -/2/-
07/Q4/Snurrevad 39 61 - - -/1/-
00/Q4/Snurrevad 34 65 - - -
05/Q3/Snurrevad 32 68 - - -
05/Q1/Snurrevad 25 71 - -/1/- -
07/Q3/Snurrevad 21 73 - - -
04/Q2/Snurrevad 20 76 - - -
05/Q2/Snurrevad 20 78 - - -
04/Q1/Snurrevad 17 80 - - -/2/-
00/Q3/Snurrevad 17 81 - - -
05/Q1/Garn 17 83 - - -/1/-
05/Q2/Garn 13 85 - - -
03/Q1/Snurrevad 12 86 - - -
00/Q1/Snurrevad 11 87 - - -
00/Q1/Garn 11 88 - - -/3/-
07/Q1/Garn 10 90 - - -
04/Q1/Garn 9 91 - - -
00/Q2/Snurrevad 9 91 - - -
08/Q1/Snurrevad 7 92 - - -/10/-
08/Q3/Snurrevad 4 93 - - -/3/-
03/Q1/Garn 4 93 - - -
28/Q3/Botntrål 4 94 - - -
28/Q2/Botntrål 4 94 - - -
03/Q2/Garn 4 94 - - -
00/Q2/Garn 4 95 - - -
REST 49 100 -/1/- -/-/1 -/11/-

Tonn rundvekt per stratum for sjøkreps 2023, samt N-prøver (A15/L15/A1) per plattform.

KV=Kystvakt, PB=Prøvebåt, KL/KS=Kommersielle prøver land/sjø, RH=Ref-hav, RK=Ref-kyst, SJ=Sjøtjenesten. Dei 55 strata med siste 5% av totalfangsten har blitt slått saman til REST.

Stratum Tonn cperc KV RK SJ
07/Q4/Ruser og teiner 102 16 -/1/- - -
07/Q1/Ruser og teiner 94 31 -/7/- - -
07/Q2/Ruser og teiner 92 46 -/2/- - -
07/Q3/Ruser og teiner 57 55 - - -
08/Q3/Botntrål 29 60 - - -
08/Q2/Botntrål 18 62 - - -
09/Q2/Ruser og teiner 17 65 - - -
28/Q2/Ruser og teiner 16 68 - - -
08/Q4/Botntrål 15 70 - - -
09/Q1/Reketrål 15 72 - -/23/- -
09/Q3/Andre 14 74 - - -
28/Q4/Ruser og teiner 13 76 - - -
28/Q1/Ruser og teiner 11 78 -/1/- - -
09/Q2/Reketrål 9 80 - -/25/- -
09/Q2/Andre 9 81 - - -
28/Q3/Ruser og teiner 9 83 - - -
08/Q2/Ruser og teiner 9 84 - - -
08/Q1/Ruser og teiner 9 85 - - -
09/Q3/Ruser og teiner 8 87 - - -
07/Q4/Garn 8 88 - - -
09/Q4/Andre 8 89 - - -
09/Q4/Botntrål 7 90 - - -/1/-
09/Q1/Andre 6 91 - - -
28/Q3/Botntrål 5 92 - - -
09/Q4/Reketrål 4 93 - -/24/- -
09/Q1/Ruser og teiner 5 93 - - -
07/Q1/Garn 4 94 - - -
09/Q3/Reketrål 3 95 - -/19/- -
REST 34 100 -/1/- -/4/- -

Tonn rundvekt per stratum for tunge 2023, samt N-prøver (A15/L15/A1) per plattform.

KV=Kystvakt, PB=Prøvebåt, KL/KS=Kommersielle prøver land/sjø, RH=Ref-hav, RK=Ref-kyst, SJ=Sjøtjenesten. Dei 17 strata med siste 5% av totalfangsten har blitt slått saman til REST.

Stratum Tonn cperc
04/Q2/Handsnøre 0 21
09/Q2/Garn 0 38
09/Q1/Andre 0 47
08/Q4/Botntrål 0 54
09/Q4/Andre 0 61
08/Q2/Garn 0 68
09/Q2/Ruser og teiner 0 74
07/Q2/Snurrevad 0 79
09/Q1/Reketrål 0 83
09/Q1/Ruser og teiner 0 86
08/Q2/Botntrål 0 89
09/Q4/Garn 0 91
09/Q1/Garn 0 92
09/Q4/Reketrål 0 93
28/Q4/Snurrevad 0 94
08/Q1/Snurrevad 0 95
REST 0 100