Go to main content

Vandringsmønster hos postsmolt av laks fra Namsen i 2022 og 2023

— Rapport til Mattilsynet

Sammendrag

I 2022 og 2023 ble vandring av laksesmolt fra Namsen til kysten overvåket ved hjelp av akustisk telemetri, hvor lyttebøyer var plassert både i elven og fjorden. Totalt ble 389 laksesmolt merket over de to årene. Resultatene viser at mesteparten av utvandringen skjedde rundt månedsskiftet mai-juni, med en median dato på 30. mai i 2022 og 3. juni i 2023. I begge år startet utvandringen sammenfallende med økende vannføring. Utvandring fra elv til fjord ble observert gjennom hele døgnet uten noen klare preferanser for dag eller natt.

Omtrent halvparten av smolten forsvant før den nådde ut av indre del av Namsenfjorden. Flere studier har vist at migrasjonen gjennom estuarier og indre bukter kan medfører svært høy dødelighet, der predasjon er en viktig komponent. Blant de individene som passerte indre fjord, ble 82 % observert ved kysten. Laveste overlevelse fra merking til ytre fjord ble beregnet til 48 % og 33 % i henholdsvis 2022 og 2023. Det antas at den reelle overlevelsen er høyere, ettersom ikke all fisk blir registrert av lyttebøyene.

De fleste postsmolt fulgte korteste vei fra elvemunningen til kyst, dvs gjennom Namsenfjorden. En andel (ca. 11 % og 30 % i henholdsvis 2022 og 2023) svømte imidlertid via alternative ruter gjennom Raudsunda/Gyltfjorden. Det er rimelig å anta at de faktiske prosentene er noe høyere, da mottakerdekningen langs denne ruten var dårligere enn langs Namsenfjorden, spesielt i 2022. Videre indikerer resultatene at fisken har retning mer direkte vestover mot åpent hav og ikke vandrer nordover mot Vikna.

Postsmolten brukte i gjennomsnitt 1,7 dager fra elvemunningen til kysten i 2022 og 3,1 dager i 2023, tilsvarende progresjonshastigheter på henholdsvis 0,34 m/s (2,67 kl/s) og 0,24 m/s (1,8 kl/s). Dette stemmer med tidligere registrerte hastigheter fra lignende studier.

1 - Introduksjon

Effekten lakselus har på vill laksefisk er per i dag avgjørende for regulering av eventuell vekst i havbruksnæringen. Effekten lus har på laksesmolt under vandring fra elv til hav, såkalt postsmolt, er spesielt vektlagt.

Økning i oppdrett av laks i åpne merder har medført ett høyere smittepress av lakselus på grunn av stor og kontinuerlig vertstilgang for lusa. Forhøyet smittepress av lakselus i områder med intensivt lakseoppdrett rammer både vill og oppdrettet laksefisk. Fordi vill laksefisk ikke kan behandles mot lus kan lusemengden etter hvert føre til skader på individer som igjen kan resultere i dødelighet og negativ påvirkning på hele bestander. Å holde smittepresset av lakselus på ett akseptabelt nivå for vill laksefisk er nå styrende for muligheten oppdrettsnæringen har til å vokse og reguleres gjennom det såkalte Trafikklyssystemet (www.trafikklyssystemet.no). I vurderingen av hva som er akseptabel miljøbelastning fra oppdrett vurderes blant annet dødeligheten til utvandrende postsmolt laks. For å estimere dødeligheten på utvandrende postsmolt av laks gjennomføres både en tråling etter laks (Nilsen m.fl., 2024), samt at det benyttes såkalte virtuelle smoltmodeller (Kristoffersen m.fl., 2018; Johnsen m.fl., 2021). Dette er datamodeller hvor en simulerer vandringen til laks ut fjordene. I disse modellene inngår utvandringstider, form på utvandring, vandringsrute og progresjonshastighet. Per i dag antar vandringsmodellene at den utvandrende postsmolten vandrer korteste rute fra elv til hav, og det gis en fast svømmehastighet.

I hvilken grad laks smittes av lakselus både i modellen og virkeligheten er avhengig av hvor den vandrer, hvor lenge den er eksponert for lakselus, og tettheten av lakselus i laksens vandringsrute. Avvik fra antatt vandringsrute kan ha vesentlig betydning for estimatene på smitte, og derav estimert lakselusrelatert dødelighet.

Laksesmolt fra Namsen har som de fleste andre laksebestander en rekke alternative utvandringsruter fra elv til hav. Disse kan i ulik grad være utsatt for smittepress fra lakselus produsert i oppdrettsanlegg langs denne delen av kysten. Spredningsmodell for smittsomme laksekopepoditter (www.lakselus.no) har gjennom flere år vist en generelt høyere tetthet rundt Vikna og i fjord- og kyststrøk både nord og sør for utløpet av Namsenfjorden. I selve Namsenfjorden, og i Folda, havområdet utenfor, har tettheten generelt vært lavere. Kunnskap om vandringstidspunkt, -rute og -hastighet er derfor avgjørende når eventuell negativ påvirkning fra lakselus skal beregnes for laks fra Namsen og i produksjonsområdet for øvrig.

Målet med forsøket var å kartlegge utvandring, vandringsrute og progresjonshastighet for laksesmolt fra Namsen i 2022 og 2023. Dette ble gjort ved å merke smolt med akustiske sendere i elva før og under utvandringen. Tidspunkt for utvandring, vandringsrute og progresjonshastighet ble undersøkt ved å plassere ut lyttebøyer i nedre del av elven, i elveutløpet, og strategisk i Namsenfjorden, nærliggende fjorder og sund samt i Folda sør for Viknaøyene. Denne rapporten oppsummeres resultatene fra både 2022 og 2023.

Prosjektet er finansiert av Mattilsynets OK program lakselus og Havforskningsinstituttet (prosjekt 15696 – Overvåking av lakselus). Vi vil rette en stor takk til Niklas Högstedt og lokale elveeiere for lokalkunnskap, hjelp med fangst av smolt og gjennomføring av forsøket. Fangst av smolt i Namsen ble gjort med tillatelse fra Statsforvalteren i Trøndelag og merking av smolt ble gjort i henhold til vedtak på søknad fra Forsøksdyrsforvaltningens tilsyns- og søknadssystem (FOTS), ID 28857.

2 - Materiale og Metode

Metoden som benyttes i dette studiet kalles akustisk telemetri og er velutprøvd gjennom flere år og på flere fiskearter. I korte trekk går metoden ut på at laksesmolt fanges i elv før og under utvandring, påføres små merker som sender ut kodede lydsignaler før de settes ut igjen omtrent på samme sted de ble fanget. Lydsignalene fra merkene oppfattes av lyttebøyer som er strategisk posisjonert i elven, i utløpet av elv, i fjorden og ved kysten for å kunne spore vandringsrute fra elv til hav. Samtidig kan progresjonshastighet (hvor raskt fisken flytter seg mellom to punkter, enten ved hjelp av egen svømming eller vannstrømmer) i de ulike delene av fjorden beregnes.

2.1 - Områdebeskrivelse

Namsen (139.Z) er den største elva i produksjonsområde 7 (Nord-Trøndelag med Bindal), med en lengde på 228 kilometer og en midlere vannføring på 285 m3/s. Namsen har i tillegg flere større og mindre sidevassdrag som øker den totale elvestrekningen betydelig og drenerer et nedbørsfelt på ca. 6 298 kvadratkilometer. Namsen har sitt opphav i fjellene sør i Nordland og renner ut i sjøen ved Namsos i indre del av Namsenfjorden. En stor del av Namsen og sidevassdragene er tilgjengelig for laks og sjøørret. Gytebestandsmål for laks i Namsen er beregnet til 18 654 kg hunnlaks med en teoretisk produksjon på mer enn 620 000 smolt (Ugedal m.fl. 2023) Namsen er med dette den klart største lakseelva i regionen og har status som nasjonalt laksevassdrag, hvor laks skal gis spesiell beskyttelse mot inngrep og aktiviteter som kan true bestander («Forskrift om særskilte krav til akvakulturrelatert virksomhet i eller ved nasjonale laksevassdrag og nasjonale laksefjorder», https://lovdata.no/dokument/SF/forskrift/2009-06-22-961 ). I tillegg til Namsen er det 4 andre lakseførende elver som har utløp i Namsenfjorden og totalt 22 lakseelver i hele produksjonsområdet (figur 1).

Namsenfjorden strekker seg vel 35 km i nordvestlig retning fra Namsos mellom fastlandet i sør og Otterøya i nord. Utenfor ligger Folda, et havområde sør for Vikna med en rekke små øyer og skjær. Nord for Otterøya finnes alternative vandringsruter for laks på vei ut fra Namsen. Et smalt sund, Lokkaren, like ved Namsos gir mulige utvandringsruter i Raudsunda og Gyltfjorden på begge sider av øya Jøa. Videre i rapporten blir denne utvandringsruten omtalt som Raudsunda/Gyltfjorden. Selve Namsenfjorden og indre del av fjordområdene nordenfor er definert som nasjonale laksefjorder hvor oppdrett av laks ikke er tillatt uten spesiell tillatelse. Utenom de nasjonale laksefjordene er det generelt høy tetthet med oppdrettslokaliteter både nord og sør for Namsenfjordens utløp.

Vikna består av noen større og veldig mange mindre øyer nord for havområdet Folda. Nærøysundet skiller Vikna fra fastlandet ved Rørvik. Videre vestover er det noen flere sund og passasjer mellom øyene, men disse er svært grunne og smale og vil sannsynligvis ikke bli benyttet av laksesmolt på vandring. Det er generelt høy tetthet av oppdrettslokaliteter både nord og sør på Vikna mens det er få eller ingen på vestsiden.

Kart over lakseførende elver i produksjonsområde 7
Figur 1. Lakseførende elver i produksjonsområde 7 (blått område). Namsen er markert med tykk blå linje. Grønne områder viser nasjonale laksefjorder.

 

2.2 - Utsetting av lyttebøyer

Lyttebøyene er passive hydrofoner som lytter etter kodede lydsignaler på 69 KHz fra små sendere på merket fisk. Lyttebøyene lagrer informasjon om fiskens ID, tid/dato og eventuell annen informasjon fra senderen. Det er ikke gjort spesifikk test av rekkevidde på lydsignalet under dette studiet, men tilsvarende sendere har gitt en rekkevidde på omtrent 200 m ved lignende studier.

I 2022 ble det satt ut 107 lyttebøyer (Vemco VR2Tx eller VR2AR) i sjøen for å dekke alle utvandringsveier gjennom og ut av Namsenfjorden (figur 2). Så fremt det var mulig ble alle lyttebøyer plassert på omtrent 15 m dyp i sjøen. I tillegg ble det satt 5 lyttebøyer i ferskvann i Namsen for å kartlegge utvandringen fra elven. En del (n=20) av lyttebøyene er ikke gjenfunnet (se figur 6 for en oversikt over tapte lyttebøyer i 2022). I 2023 ble det satt ut 89 lyttebøyer (Vemco VR2Tx eller VR2AR) i sjøen, samt 2 lyttebøyer i ferskvann i Namsen (figur 2). En del (n=18) av lyttebøyene ble ikke gjenfunnet (se figur 11 for en oversikt over tapte loggerne i 2023).

De fleste lyttebøyene er plassert i såkalte gardiner, som betyr at de står i en rekke med overlappende rekkevidde på tvers av fjorden. Dette gjelder både i Namsenfjorden og i Rausunda/Gyltfjorden. Basert på en estimert rekkevidde for sendere på 200 meter er maksimal avstand mellom loggerne i disse gardinene satt til 400 meter. På tross av dette blir likevel ikke all merket fisk som svømmer gjennom gardinene registrert på loggerne. Dette kan blant annet skyldes midlertidig redusert rekkevidde på grunn av annen støy i miljøet, signalkollisjoner mellom flere fisk i samme område eller at fisken passerer så raskt at det samfaller med perioden mellom to sendinger.

Lyttebøyene ble ikke plassert som gardiner i det mer åpne området i Folda. Området er for stort til å kunne bli dekket av tilgjengelige lyttebøyer, og de ble derfor fordelt i et jevnt mønster med omtrent 3 km mellom hvert utlegg . Hensikten med dette var å gi lik sannsynlighet for registrering av fisk over et større område. Videre i rapporten blir dette området omtalt som havet .

Kart som viser posisjon til lyttebøyene brukt i forsøket
Figur 2. Posisjonering av lyttebøyene i Namsenfjorden i 2022 og 2023 (rødt og svarte sirkler). Svarte kryss viser fangst/utslippssteder for fisk fanget med el-fisking (2022); grønt kryss viser posisjon for smoltruse (2022-2023). Navnene på kartet refererer til mottakergardinene som brukt i analysene, mens fargene viser områder.

 

2.3 - Merking av fisk

Fisk ble fanget i forkant av forventet utvandring og under selve utvandringen. I 2022 ble det brukt både smoltruse og elektrisk fiskeapparat til fangsten (figur 3). Fangsten med el-fiskeapparat (n = 91) ble gjort på flere steder i det anadrome strekket av vassdraget i perioden 9-29 april (figur 2). Fangsten med smoltruse (n=124) ble gjort i sideelven Nordelva (64,47866 N 11,71418 Ø; figur 2) i perioden 30.mai – 2.juni. Total ble det merket 215 laksesmolt i 2022 (gjennomsnitt totallengde 132 ± 7 mm). I 2023 ble det kun benyttet smoltruse i Nordelva til fangsten, som foregikk i perioden 20.mai til 12.juni. Total ble det fanget 174 laksesmolt (gjennomsnitt totallengde 132 ± 6 mm) i 2023.

All fangst ble transportert skånsomt til en merkestasjon ved elvebredden. I noen tilfeller ble fisk holdt inntil 5 dager i romslige oppbevaringsenheter i elva i påvente av merking. Før videre håndtering ble fisken bedøvd med Benzoac VET (15-20 ml/100 l vann). Når fisken var tilstrekkelig bedøvd ble det målt lengde og vekt, samt tatt en liten vevsprøve av gattfinnen til genetiske analyser. En akustisk sender ble deretter plassert i bukhulen på fisken gjennom et snitt, og såret lukket med sutur (1-2 sting). Etter merking ble fisken observert i et oppbevaringskar til allmenntilstanden ble vurdert som god. Fisken ble deretter sluppet tilbake i elva ved merkestasjonen.

All laksen over 12,5 cm ble merket med ID-LP6 akustiske sendere (Thelma Biothel). Disse er 6,3 mm i diameter, 14,5 mm lange, og veier 1,2 g i luft og 0,7 g i vann. Senderne er programmert til å sende signal hvert 30-90 sekund, og estimert batterilevetid er 98 dager. Sendestyrken er 137 (dB re 1 uPa @ 1m). Merkene sender bare ID.

Øverst til venstre: bilde av en person som el-fisker i Namsen tidlig på våren. Nederst til venstre: bilde av smoltrusen i sideelven. Øverst til høyre: bilde av noen laksesmolt i en bøtte. Nederst til høyre: bilde av en laks med parrmerker på en måleband
Figur 3. Fisken ble fanget ved bruk av el-fiskeapparat (øverst til venstre) eller i en smoltruse plassert i Nordelva (nederst til venstre). Laks over 12,5 cm ble merket med akustiske sendere (til høyre).

 

2.4 - Hydrografiske og oseanografiske data

Vannføring og vanntemperatur i Namsen ble hentet fra https://sildre.nve.no, stasjon Bertnem (139.17.0). Målestasjonen ligger 16 m.o.h. i Overhalla (64.468°N, 12.061°Ø) og har vært i drift siden januar 1961. Strøm, temperatur og saltholdighet i Namsenfjorden og områdene rundt ble hentet fra HI sitt modellsystem for de norske fjordene. Modellen har 160m x 160m oppløsning og opererer på samme måte som modellsystemet Norkyst (https://link.springer.com/article/10.1007/s10236-020-01378-0). Middelverdier i to meters dybde (der laksesmolt svømmer) ble beregnet for de relevante perioder i 2022 og 2023.

2.5 - Dataanalyse

Fisk som enten ikke ble registrert på noen lyttebøyer etter merking, hadde bare 1 deteksjon i løpet av hele studiet, ble kun registrert i ferskvann eller ble detektert som stasjonær i elven eller elvemunningen ble ikke tatt med videre i analysene. Med "stasjonær" menes her at fisken er registrert på samme posisjon over en lengre periode, uten at det har blitt registrert noe annet sted etterpå. Korteste sjøavstand mellom deteksjoner er beregnet ved bruk av et raster med en romlig oppløsning på 20 meter, der hver celle dekker et område på 20x20 meter. Denne oppløsningen ble valgt som et kompromiss mellom ønsket presisjonsnivå og prosesseringskapasitet. Migrasjonsrutene er vist som korteste sjøvei mellom lyttebøyer der fisken er detektert, og representerer ikke nødvendigvis hvor fisken har vandret. Vandringshastighet (eller progresjonshastighet ) er beregnet fra siste deteksjon i gardinen fisken forlater til siste deteksjon i gardinen den kommer til, basert på korteste sjøvei mellom deteksjoner. Merk at progresjonshastighet representerer ikke nødvendigvis smoltens svømmehastighet, men bestemmes både av deres aktive bevegelser og vannstrømmene, som hovedsakelig påvirkes av tidevann, vind og ferskvannstilsig.

3 - Resultater

3.1 - Vandringsmønster 2022

Av de 215 smolt merket i Namsen i 2022 ble 63 individer ikke registrert på noen lyttebøyer etter merking, 10 individer hadde bare 1 deteksjon i løpet av hele studie, 3 individer ble kun registrert på lyttebøyen i ferskvann og 6 individer ble detektert som stasjonær i elven eller elvemunningen. Alle disse individene ble ekskluder fra videre analyser. De resterende 133 individer (62% av all merket fisk) vandret ut av elven og ble detektert i elvemunningen eller lenger ut i fjorden.

Deteksjonene i ferskvann var mangelfulle, med bare 29 individer detektert i de 5 lyttebøyene plassert i Namsen og bare 14 individer detektert i lyttebøyen nederst i elven. Imidlertid ble 69 individer detektert i elvemunningen. Første deteksjon her ble registrert 8. mai, mens siste fisk ble detektert her 11. juni. Median dato for første deteksjon i elvemunningen var 3. juni (figur 4). Første deteksjon i elvemunningen skjedde til alle døgnets tider , uten noen klare mønster (figur 4, blå innfelt).

Figuren viser en graf med antall fisk detektert i elvemunningen på y-axen og dato på x-axen. Det er også en innfelt figur som viser tid på døgnet fisken er registrert.
Figur 4. Akkumulert antall laks registret i elvemunningen i Namsen i 2022 (n=69). Blått område indikerer tiden når 25-75% av fisken ble registrert første gang her, mens stiplet linje indikerer median tid for første deteksjon på denne. Blå innfelt: Tid på døgnet for første registrering i elvemunningen. Alle barene summerer til 100%. Grått område viser tiden mellom solnedgang og soloppgang 2. juni 2022. Tidene er oppgitt i universell tid UTC, dvs. to timer bak norsk sommertid.

Temperatur og vannstand i 2022 er vist i figur 5. Første vannstandsøkning kom rundt 10 mai, etterfulgt av en kraftigere økning i perioden 18-26 mai. Temperaturen økte gradvis fra om lag 3 til 6 °C utover mai, etterfulgt av en rask økning fra 6 til 15 °C i løpet av juni.

Figuren viser en graf med 2 linjer, rød for vannføring og blå for temperatur, samt antall fisk detektert i elvemunningen som søyler. X-axen viser dato.
Figur 5. Vannføring (blå linje) og vanntemperatur (rød linje) ved NVE stasjonen på Overhalla, samt antall fisk (stolper) detektert i elvemunningen i Namsen i 2022. Antall fisk (stolper) følger skalaen til venstre y-akse delt på 100 (høyeste stolpe representerer 13 fisk).

Av de 133 fisk som startet vandringen forsvant 12 i Indre Namsenfjorden, 101 ble detektert langs Namsenfjorden og bare 6 fisk ble detektert i den alternative ruten via Raudsunda/Gyltfjorden. Videre var det 14 fisk som ikke ble detektert mellom indre Namsenfjorden og havet og det er derfor ikke kjent hvilken vei de tok. Antar man at disse svømmer korteste vei til havet, svømte 7 av de gjennom Namsenfjorden og 7 via Raudsunda/Gyltfjord (for detaljerte vandringsruter per enkeltfisk se vedlegg). Totalt ble 103 av de 215 fisk merket i 2022 detektert i havet eller i en av de ytterste gardinene (Ytre Namsenfjorden / Raudsunda). Minste overlevelse fra merking til havet er derfor estimert til 48% i 2022.

De samlede vandringsrutene i 2022 er vist i figur 6. Merk at linjene representerer korteste vei i sjø mellom to lyttebøyer fisken er detektert, og kan avvike fra fiskens reelle rute. Figuren viser at fisken hovedsakelig vandret ut langs Namsenfjorden og i liten grad bruker den alternative rute gjennom Raudsunda/Gyltfjorden, som er omtrent like langt. Selv om 6 fisk ble detektert i Raudsunda, ble ingen registrert i Lokkaren, noe som tyder på lav deteksjonsevne der. Det ble heller ikke registrert fisk verken i Langsundet eller i Nærøysundet (merk at en av loggerne i Nærøysundet ikke ble gjenfunnet). Dessuten var registreringene i Folda hovedsakelig fordelt på de sørlige lyttebøyene, noe som videre tyder på at postsmolten ikke vandret nordover mot Vikna, men hadde retning mer direkte vestover.

Kart over studieområdet med svarte linjer som representerer de antatte vandringsrutene for laksesmolt. Lyttebøyene er vist som sirkler av forskjellige størrelse og farge, avhengig av antall fisk detektert.
Figur 6. Samlede vandringsruter for laksesmolt merket i Namsen i 2022. Merk at linjene viser korteste avstand (i sjø) mellom to lyttebøyer hvor fisken er detektert, noe som kan avvike fra den reelle ruten fisk svømmer. Størrelse og fargen på sirklene viser antall fisk detektert. Tomme sirkler indikerer lyttebøyer uten deteksjoner. Tapte lyttebøyer er vist med et kryss.

Første deteksjon ut i havet var 15. mai og siste 21. juni. Median ankomstdato er 6. juni (figur 7, venstre). I snitt brukte fisk 1.7 dager (median 1.7 dager; range 0.7 – 3.3 dager) fra elvemunningen til gardinen ytterst i Namsenfjord og 2.6 dager (median 2.5 dager; range 2.0 – 3.5 dager) til gardinen i Raudsunda (figur 7, høyre) (merk at panel til høyre inkluderer bare fisk som også er detektert i elvemunningen).

Figuren viser et fiolin-plot med 2 paneler, der hver fiolin viser ankomsttid til hver mottakergardin
Figur 7. Ankomsttid til hver mottakergardin (se figur 2 for detaljer) for laksesmolt merket i Namsen i 2022, gitt som dato (venstre panel) og som antall dager fra siste deteksjon i elvemunningen (høyre panel). Fiolin-plottene illustrerer datafordelingen, der bredden på hver fiolin reflekterer tettheten i dataene. Medianverdier er angitt med røde prikker. Antall fisk detekter i hvert gardin er angitt til høyre i hvert panel. Merk at begge panel er i utgangspunktet basert på samme individer, men høyre panel inkluderer kun fisk som er også blitt detekter i elvemunningen .

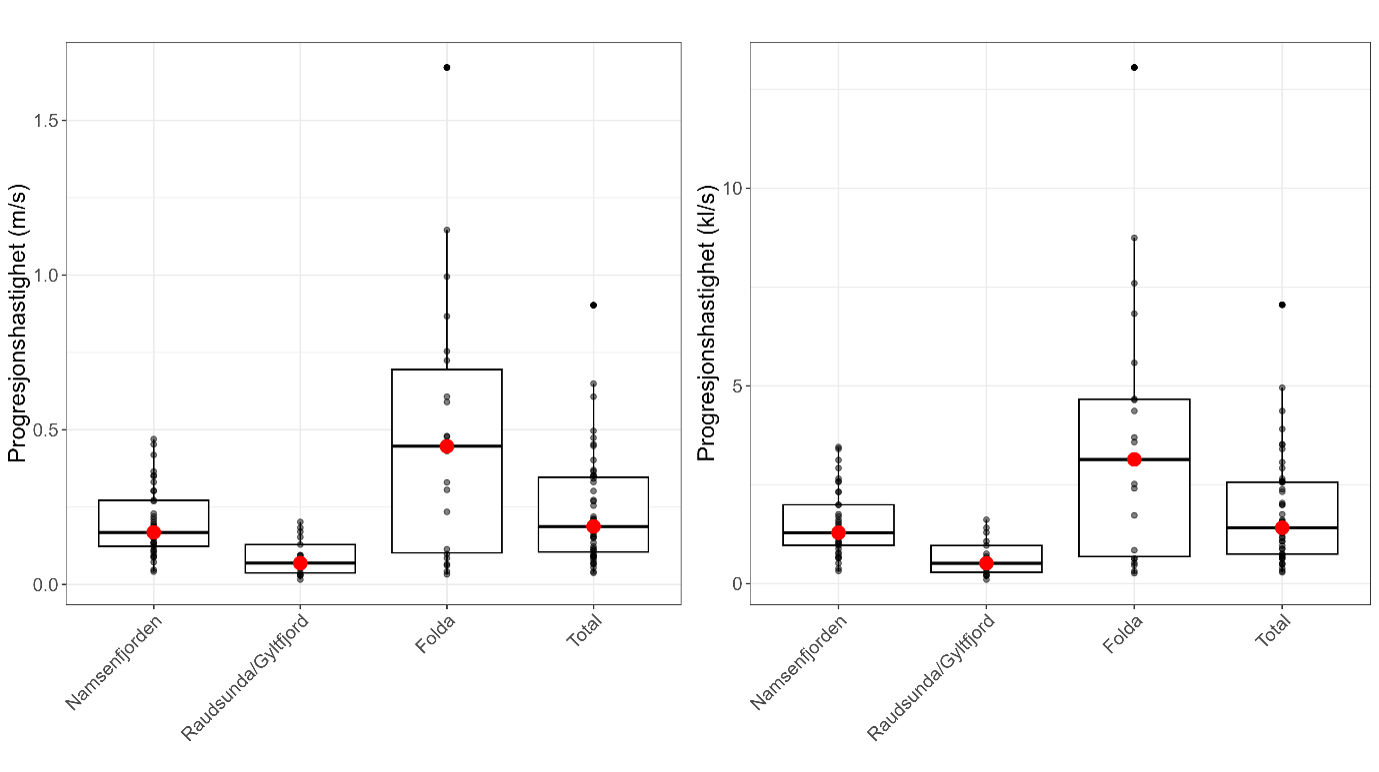
Gjennomsnitt progresjonshastighet for all fisk over alle områder var 0.34 m/s, tilsvarende 2.67 kl/s (figur 8). Progresjonshastighet var høyest i Folda (0.46 m/s; 3.52 kl/s) og innerst i Namsenfjorden (0.38 m/s; 2.91 kl/s). I Namsenfjorden vandret fisk raskere (0.29 m/s; 2.26 kl/s) sammenlignet med fisk som vandret gjennom Raudsunda/Gyltfjord (0.14 m/s; 1.07 kl/s i gjennomsnitt) (figur 8).

Figur med 2 paneler. Panelet til venstre viser en boxplot av progresjonshastigheter for laksesmolt i forskjellige områder (Indre Namsenfjorden, Namsenfjorden, Raudsunda/Gyltfjord, Folda, og Total) i meter i sekund. Panelet til høyre viser det same men i kroppslengde i sekundet.
Figur 8. Progresjonshastigheter for laksesmolt merket i Namsen i 2022 i ulike områder og over alle områder kombinert («Total»), beregnet som meter i sekundet (venstre panel) og som kroppslengder i sekundet (høyre panel). Svarte punktene viser gjennomsnitt for hver enkelt fisk. Boksen representerer de midterste 50% av dataene, med linjen i midten som viser medianverdien (fremhevet også med røde prikker). Halene viser variasjonen innenfor 1,5 ganger interkvartilområdet (IQR), mens uteliggere plottes som individuelle punkter utenfor halene.

3.2 - Vandringsmønster 2023

Av de 174 smolt merket i Namsen i 2023 ble 54 individer ikke registrert på noen lyttebøyer etter merking, 8 individer hadde bare 1 deteksjon, 12 individer ble kun registrert på lyttebøyen i ferskvann og 12 individer ble detektert som stasjonær i elven eller elvemunningen. De resterende 88 individene (51% av all merket fisk) vandret ut av elven og ble detektert i elvemunningen eller lenger ut i fjorden.

Av de 88 laksesmolt som startet utvandringen ble 55 detektert i elvemunningen, med median ankomstdato 30. mai (range 26. mai – 19. juni; figur 9). Merk at tid for registrering er sterk påvirket av når fisken ble merket og sluppet i elven (det ble ikke fanget noe fisk mellom 27. mai og 8. juni, og all fisk fanget etter 8. juni ble sluppet 13. juni) og representerer ikke nødvendigvis den naturlige utvandringsforløpet. Første deteksjon i elvemunningen skjedde til alle døgnets tider, uten noen klare mønster (figur 9, blå innfelt).

Figuren viser en graf med antall fisk detektert i elvemunningen på y-axen og dato på x-axen. Det er også en innfelt figur som viser tid på døgnet fisken er registrert.
Figur 9. Akkumulert antall laks registret i elvemunningen i Namsen i 2023 (n=55). Blått område indikerer tiden når 25-75% av fisken ble registrert første gang her, mens stiplet linje indikerer median tid for første deteksjon på denne. Blå innfelt: Tid på døgnet for første registrering i elvemunningen. Alle barene summerer til 100%. Grått område viser tiden mellom solnedgang og soloppgang 30. mai 2023. Tidene er oppgitt i universell tid UTC, dvs. to timer bak norsk sommertid.

Temperatur og vannstand i 2023 er vist i figur 10. Første større vannstandsøkning kom i første halvdel av mai og avtok rundt første juni. Temperaturen økte fra om lag 2 til 5 °C i månedsskiftet april/mai, holdt seg lav gjennom hele mai før den økte igjen i midten av juni (16 °C). Merk at antall fisk registrert hver dag er sterkt påvirket av når vi merket og slapp fisk (det ble ikke merket noen fisk mellom 27. mai og 13. juni).

Figuren viser en graf med 2 linjer, rød for vannføring og blå for temperatur, samt antall fisk detektert i elvemunningen som søyler. X-axen viser dato.
Figur 10. Vannføring (blå linje) og vanntemperatur (rød linje) fra NVE stasjonen i Overhalla, samt antall fisk (stolper) detektert i elvemunningen i Namsen i 2023. Antall fisk (stolper) følger skalaen til venstre y-akse delt på 100 (høyeste stolpe representerer 17 fisk).

Av de 88 fisk som startet vandringen ble 23 sist detektert i elvemunningen, 36 ble detektert langs Namsenfjorden og 17 fisk ble detektert i Raudsunda/Gyltfjorden. Videre var det 12 fisk som hadde ingen deteksjoner mellom indre Namsenfjorden og havet og det er derfor ikke kjent hvilken vei de tok. Antar man at disse svømmer korteste vei til havet, svømte 10 av de gjennom Namsenfjorden og 2 via Raudsunda/Gyltfjord (for detaljerte vandringsruter per enkeltfisk se vedlegg). Totalt ble 57 av de 174 fisk merket i 2023 detektert i havet eller i en av de ytterste gardinene. Minste overlevelse fra merking til sjøen er derfor estimert til 33% i 2023.

De samlede vandringsrutene i 2023 er vist i figur 11. Merk at linjene representerer korteste vei i sjø mellom to lyttebøyer fisken er detektert, og kan avvike fra fiskens reelle rute. Figuren viser at de fleste fisk følget Namsenfjorden på vei ut til havet, mens ca. 1/3 del svømte via Raudsunda/Gyltfjorden. De aller fleste av disse ble detektert i Nordsundet. Det ble ikke registrert noen fisk i Langsundet, mens begge lyttebøyer i Nærøysundet gikk dessverre tapt. Imidlertid var registreringene i Folda igjen hovedsakelig fordelt på de sørlige lyttebøyene, noe som igjen tyder på at postsmolten ikke vandret nordover mot Vikna, men hadde retning mer direkte vestover.

Kart over studieområdet med svarte linjer som representerer de antatte vandringsrutene for laksesmolt. Lyttebøyene er vist som sirkler av forskjellige størrelse og farge, avhengig av antall fisk detektert.
Figur 11. Samlede vandringsruter for laksesmolt merket i Namsen i 2023. Merk at linjene viser korteste avstand (i sjø) mellom to lyttebøyer hvor fisken er detektert, noe som kan avvike fra den reel rute fisk svømmer. Størrelse og fargen på sirklene viser antall fisk detektert. Tomme sirkler indikerer lyttebøyer uten deteksjoner. Tapte lyttebøyer er vist med et kryss.

 Første deteksjon i havet var 27. mai og siste var 24. juni. Median ankomstdato var 8. juni (figur 12, venstre). I snitt brukte fisken 3.1 dager (median 2.2 dager; range 0.9 – 13.9 dager) fra siste deteksjon i elvemunningen til første deteksjon i ytre Namsenfjord og 3.9 dager (median 3 dager; range 2.7 – 6 dager) til Nordsundet (figur 12, høyre) (merk at panelet til høyre inkluderer kun fisk som også er detektert i elvemunningen).

Figuren viser et fiolin-plot med 2 paneler, der hver fiolin viser ankomsttid til hver mottakergardin
Figur 12. Ankomsttid til hver mottakergardin (se figur 2 for detaljer) for laksesmolt merket i Namsen i 2023, gitt som dato (venstre panel) og som antall dager fra siste deteksjon i elvemunningen (høyre panel). Fiolin-plottene illustrerer datafordelingen, der bredden på hver fiolin reflekterer tettheten i dataene. Medianverdier er angitt med røde prikker. Antall fisk detekter i hvert gardin er angitt til høyre i hvert panel. Merk at begge panel er i utgangspunktet basert på samme individer, men høyre panel inkluderer kun fisk som er også blitt detekter i elvemunningen.

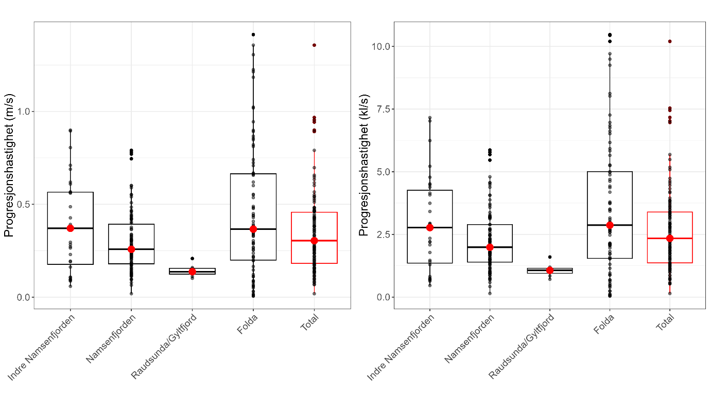
Gjennomsnitt progresjonshastighet for all fisk over alle områdene var 0.24 m/s eller 1.80 kl/s (figur 13). Høyest progresjonshastighet var registrert i Folda (0.48 m/s eller 3.6 kl/s). I Namsenfjorden var progresjonshastighet (0.20 m/s eller 1.54 kl/s) høyere enn i Raudsunda/Gyltfjorden (0.09 m/s eller 0.66 kl/s i gjennomsnitt) (figur 13).

Figur med 2 paneler. Panelet til venstre viser en boxplot av progresjonshastigheter for laksesmolt i forskjellige områder (Indre Namsenfjorden, Namsenfjorden, Raudsunda/Gyltfjord, Folda, og Total) i meter i sekund. Panelet til høyre viser det same men i kroppslengde i sekundet.
Figur 13. Progresjonshastigheter for laksesmolt merket i Namsen i 2023 i ulike områder og over alle områder kombinert («Total»), beregnet som meter i sekundet (venstre panel) og som kroppslengder i sekundet (høyre panel). Svarte punktene viser gjennomsnitts for hver enkelt fisk. Boksen representerer de midterste 50% av dataene, med linjen i midten som viser medianverdien (fremhevet også med røde prikker). Halene viser variasjonen innenfor 1,5 ganger interkvartilområdet (IQR), mens uteliggere plottes som individuelle punkter utenfor halene.

3.3 - Fysisk oseanografiske forhold

Strømforholdene var generelt ganske like mellom årene, med noen forskjeller utenfor fjordene. Strømmen i Namsenfjorden var litt svakere under smoltutvandringen i 2023 sammenlignet med 2022, noe som antakelig skyldes litt mindre avrenning fra Namsen (merk at tidsperioden som vises i 2023-kartet er forskjøvet 10 dager senere enn i 2022-kartet, noe som kan påvirke de observerte forskjellene). Strømmen var sterkest langs Namsenfjorden begge årene, og lavest i Raudsunda/Gyltfjord. Saltholdighet i 2m dybde var under 20 psu i så å si hele Namsenfjorden under smoltutvandringen begge årene, men økte raskt fra fjordens utløp og inn mot Folda. Området rundt Raudsunda/Gyltfjord hadde generelt høyere saltholdighet enn Namsenfjorden. Sjøtemperaturen var høyere i hele området i 2023-perioden enn 2022. Dette skyldes både at 2023-studieperioden var 10 dager senere på året samt at været var noe varmere i juni i 2023 enn i 2022. Merk at temperaturen i Namsenfjorden skiller seg ut i kartene fra omkringliggende fjordområder. Dette er mest sannsynlig et modellartefakt som ikke er helt reelt, og man kan anta at Namsenfjordens temperatur er mer lik omgivelsene enn det som kommer frem på kartene.

Figur med 6 paneler. De 3 øverste paneler viser et kart over studieområde der strømhastighet (venstre), saltholdighet (midten) og temperatur (høyre) i Namsen i 2022 er visualisert ved bruk av en fargeskala. De 3 nederste paneler viser tilsvarende for 2023.
Figur 14. Middelverdier av strømhastighet (m/s), saltholdighet (psu) og sjøtemperatur (°C) i to meters dybde i Namsenfjorden og områdene rundt under smolt utvandringen i 2022 (15. mai - 15. juni; øverst) og 2023 (25. mai – 25. juni; nederst). Data er hentet fra HI sitt modellsystem for de norske fjordene (160m x 160m oppløsning).

 

4 - Diskusjon

I 2022 og 2023 ble forløp til utvandringen og vandring av laksesmolt fra Namsen og gjennom fjorden undersøkt ved hjelp av akustisk telemetri hvor det var plassert lyttebøyer i både elv og fjord. Totalt ble det fanget og merket 389 laks i elven i løpet av de to årene. Fisken ble satt ut igjen ved merkestasjonen.

Mesteparten av den merkede laksen utvandret i månedsskiftet mai–juni begge årene, med kun fire dagers forskjell i median dato (30. mai – 3. juni) mellom årene. Utvandringen startet noe tidligere i 2022 og endte noe senere i 2023, noe som kan skyldes forskjeller i merkingsforløpet mellom årene. Mens nesten halvparten av fisken ble merket som presmolt tidlig i sesongen (april) i 2022, startet merkingen ikke før 20. mai i 2023. Dessuten var ikke fangsten i 2023 sammenhengende, men foregikk i to runder der all fisk fanget i andre runde ble holdt tilbake i inntil 5 dager før de ble sluppet samlet 13. juni. Utvandringsdata skal derfor tolkes med en viss varsomhet. Utvandringen til laks styres i stor grad av miljø og spesielt endringer i daglengde (fotoperiode), temperatur og vannføring er vist å være viktige (Otero m.fl., 2014; Haraldstad m.fl., 2017b; Harvey m.fl., 2020). I 2022 startet utvandringen for alvor 20. mai, sammenfallende med en kraftig økning i avrenning, og den avtok rundt 5. juni mens vannføring fortsatt var høy men fallende. Vanntemperaturen var rundt 6°C under hovedutvandringen. Utvandringsforløpet i 2023 er vanskeligere å tolke på grunn av de ovennevnte omstendighetene knyttet til merkerutiner, som gjør at den observerte utvandringskurven er kunstig forskjøvet i tid. Data indikerer riktignok en sammenheng mellom utvandring og økende vannføring også i 2023.

Smolten utvandret til alle døgnets tider, uten noe klart mønster. Flere studier har vist at smoltutvandring skjer hovedsakelig på natten, noe som kan sees som en strategi for å unngå predasjon fra rovdyr som jakter i dagslys (fugler og fisk) (Thorpe m.fl., 1994; Ibbotson m.fl., 2006; Haraldstad m.fl., 2017a). Denne nattlige migrasjon av smolt er imidlertid ofte rapportert i tempererte områder, der nettene er mørke. Namsenfjorden, derimot, ligger på 64,5 grader nord, og i begynnelsen av juni er solen under horisonten i kun 3,5 timer hver natt og det blir heller ikke helt mørkt i denne perioden. På grunn av dette kan nattlig migrasjon være mindre effektiv på nordlige breddegrader, noe som også er i samsvar med observasjoner fra andre arktiske elver der døgnaktiv (dagaktiv) migrasjon også er rapportert (Veselov m.fl., 1998; Carlsen m.fl., 2004).

Av de total 389 laksesmolt merket i 2022 og 2023 forvant 193 (ca. 50%) før de nådde ut av indre Namsenfjorden. Migrasjonen gjennom estuarier og indre bukter er en kritisk periode med svært høy dødelighet, og flere studier har vist at predasjonen av laksesmolt kan være betydelig i denne fasen (Lacroix and McCurdy, 1996; Mather, 1998; Serrano m.fl., 2009; Thorstad m.fl., 2012a). Utover disse områdene var smoltoverlevelsen betydelig bedre, hvor 82% av fisken som ble detektert forbi indre Namsenfjorden også ble registrert i Folda eller ved en av de ytterste mottakergardinene lenger ute mot havet. Laveste overlevelse fra merking til havet var derfra estimert til 41 % for begge årene. På grunn av ufullstendig deteksjon i mottakernettverket, er imidlertid dette trolig et underestimat av den faktiske overlevelsen. Dette støttes av at ca. 25 % av fisken detektert i Folda ikke ble registrert av lyttebøyene lenger inn. I tillegg kan fangst, håndtering og merking av vill smolt øke risiko for dødelighet.

Smolten fra Namsen vandret hovedsakelig korteste vei fra elvemunningen til de ytterste lyttebøyene, dvs. via Namsenfjorden. Likevel svømte ca. 11 % og 30 % av fisken via Raudsunda/Gyltfjord i henholdsvis 2022 og 2023. Det er rimelig å anta at de faktiske prosentene er noe høyere, da mottakerdekningen langs denne ruten var dårligere enn langs Namsenfjorden, spesielt i 2022. Det ble ikke registrert noen fisk i Vikna. Samtidig ble deteksjonene i Folda hovedsakelig fordel på de sørlige lyttebøyene både i 2022 og 2023. Resultatene tyder derfor på at postsmolten ikke vandrer nordover mot Vikna, men har retning mer direkte vestover mot åpent hav. I de virtuelle smoltmodellene benyttes korteste utvandringsrute fra elv til kyst (Kristoffersen m.fl., 2018; Johnsen m.fl., 2021). Årsakene til valg av vandringsrute hos postsmolt laks er dårlig kartlagt. Flere studier har knyttet migrasjonen til postsmolt til miljøfaktorer, ved å simulere migrasjonsrutene basert på regler for adferd og hydrodynamiske strømmodeller (Mork m.fl., 2012; Moriarty m.fl., 2016; Ounsley m.fl., 2020). Disse studiene indikerer regionale forskjeller i migrasjonsadferd, hvor fisken både kan følge vannstrømmen, eller ha en mer direkte vandringsrute uavhengig av strømmene. I denne studien var både saltholdighet og temperatur høyere i Raudsunda/Gyltfjord enn i Namsenfjorden, mens vannstrømmen var høyest i Namsenfjorden. For å kunne undersøke nærmere eventuelle preferanser for strømretning, saltholdighet og temperatur bør dataene knyttes til hydrodynamiske strømmodeller.

Smolten fra Namsen brukte i snitt 1.7 og 3.1 dager på vandringen fra elvemunningen til ytre Namsenfjorden i henholdsvis 2022 og 2023. Gjennomsnitt progresjonshastigheter på hele utvandringen var 0.34 m/s (tilsvarende 2.67 kl/s) i 2022 og 0.24 m/s (tilsvarende 1.80 kl/s) i 2023. Disse verdiene ligger innenfor tidligere observerte hastigheter på 0.4 - 3 kl/s (Thorstad m.fl., 2004; Finstad m.fl., 2005; Økland m.fl., 2006; Davidsen m.fl., 2009; Plantalech Manel‐La m.fl., 2009; Thorstad m.fl., 2012b; Urke m.fl., 2013; Halttunen m.fl., 2018; Bjerck m.fl., 2021; Jensen m.fl., 2022).

5 - Referanser

Bjerck, H. B., Urke, H. A., Haugen, T. O., Alfredsen, J. A., Ulvund, J. B. & Kristensen, T. (2021). Synchrony and multimodality in the timing of Atlantic salmon smolt migration in two Norwegian fjords. Scientific reports 11, 1-14.

Carlsen, K. T., Berg, O. K., Finstad, B. & Heggberget, T. G. (2004). Diel periodicity and environmental influence on the smolt migration of Arctic charr, Salvelinus alpinus, Atlantic salmon, Salmo salar, and brown trout, Salmo trutta, in northern Norway. Environmental Biology of Fishes 70, 403-413.

Davidsen, J., Rikardsen, A., Halttunen, E., Thorstad, E., Økland, F., Letcher, B., Skarðhamar, J. & Næsje, T. (2009). Migratory behaviour and survival rates of wild northern Atlantic salmon Salmo salar post‐smolts: effects of environmental factors. Journal of fish biology 75, 1700-1718.

Finstad, B., Økland, F., Thorstad, E., Bjørn, P. & McKinley, R. (2005). Migration of hatchery‐reared Atlantic salmon and wild anadromous brown trout post‐smolts in a Norwegian fjord system. Journal of fish biology 66 , 86-96.

Halttunen, E., Gjelland, K.-Ø., Glover, K. A., Johnsen, I. A., Serra-Llinares, R.-M., Skaala, Ø., Nilsen, R., Bjørn, P.-A., Karlsen, Ø. & Finstad, B. (2018). Migration of Atlantic salmon post-smolts in a fjord with high infestation pressure of salmon lice. Marine Ecology Progress Series 592, 243-256.

Haraldstad, T., Kroglund, F., Kristensen, T., Jonsson, B. & Haugen, T. O. (2017a). Diel migration pattern of A tlantic salmon (S almo salar) and sea trout (S almo trutta) smolts: an assessment of environmental cues. Ecology of freshwater fish 26, 541-551.

Haraldstad, T., Kroglund, F., Kristensen, T., Jonsson, B. & Haugen, T. O. (2017b). Diel migration pattern of Atlantic salmon (Salmo salar) and sea trout (Salmo trutta) smolts: an assessment of environmental cues. Ecology Of Freshwater Fish 26, 541-551.

Harvey, A. C., Glover, K. A., Wennevik, V. & Skaala, Ø. (2020). Atlantic salmon and sea trout display synchronised smolt migration relative to linked environmental cues. Scientific Reports 10, 3529.

Ibbotson, A., Beaumont, W., Pinder, A., Welton, S. & Ladle, M. (2006). Diel migration patterns of Atlantic salmon smolts with particular reference to the absence of crepuscular migration. Ecology of freshwater fish 15, 544-551.

Jensen, J., Strøm, J., Nikolopoulos, A., Primicerio, R., Skarðhamar, J., Atencio, B., Strand, J., Bjørn, P. & Bøhn, T. (2022). Micro-and macro-habitat selection of Atlantic salmon, Salmo salar, post-smolts in relation to marine environmental cues. ICES Journal of Marine Science 79, 1394-1407.

Johnsen, I. A., Harvey, A., Sævik, P. N., Sandvik, A. D., Ugedal, O., Ådlandsvik, B., Wennevik, V., Glover, K. A. & Karlsen, Ø. (2021). Salmon lice-induced mortality of Atlantic salmon during post-smolt migration in Norway. ICES Journal of Marine Science 78 , 142-154.

Kristoffersen, A. B., Qviller, L., Helgesen, K. O., Vollset, K. W., Viljugrein, H. & Jansen, P. A. (2018). Quantitative risk assessment of salmon louse-induced mortality of seaward-migrating post-smolt Atlantic salmon. Epidemics 23, 19-33.

Lacroix, G. & McCurdy, P. (1996). Migratory behaviour of post‐smolt Atlantic salmon during initial stages of seaward migration. Journal of fish biology 49, 1086-1101.

Mather, M. E. (1998). The role of context-specific predation in understanding patterns exhibited by anadromous salmon. Canadian Journal of Fisheries and Aquatic Sciences 55, 232-246.

Moriarty, P. E., Byron, C. J., Pershing, A. J., Stockwell, J. D. & Xue, H. (2016). Predicting migratory paths of post-smolt Atlantic salmon (Salmo salar). Marine Biology 163, 74.

Mork, K. A., Gilbey, J., Hansen, L. P., Jensen, A. J., Jacobsen, J. A., Holm, M., Holst, J. C., Ó Maoiléidigh, N., Vikebø, F., McGinnity, P., Melle, W., Thomas, K., Verspoor, E. & Wennevik, V. (2012). Modelling the migration of post-smolt Atlantic salmon (Salmo salar) in the Northeast Atlantic. ICES Journal of Marine Science 69, 1616-1624.

Nilsen, R., Serra Llinares, R. M., Sandvik, A. D., Lehmann, G. B., Skår, B., Uglem, I., Tonstad, A. M., Ambjørndalen, V. M. & Karlsen, Ø. (2024). Lakselusinfestasjon på vill laksefisk våren 2024-Fremdriftsrapport til Mattilsynet. Rapport fra havforskningen .

Otero, J., L'Abée-Lund, J. H., Castro-Santos, T., Leonardsson, K., Storvik, G. O., Jonsson, B., Dempson, B., Russell, I. C., Jensen, A. J., Baglinière, J.-L., Dionne, M., Armstrong, J. D., Romakkaniemi, A., Letcher, B. H., Kocik, J. F., Erkinaro, J., Poole, R., Rogan, G., Lundqvist, H., MacLean, J. C., Jokikokko, E., Arnekleiv, J. V., Kennedy, R. J., Niemelä, E., Caballero, P., Music, P. A., Antonsson, T., Gudjonsson, S., Veselov, A. E., Lamberg, A., Groom, S., Taylor, B. H., Taberner, M., Dillane, M., Arnason, F., Horton, G., Hvidsten, N. A., Jonsson, I. R., Jonsson, N., McKelvey, S., Næsje, T. F., Skaala, Ø., Smith, G. W., Sægrov, H., Stenseth, N. C. & Vøllestad, L. A. (2014). Basin-scale phenology and effects of climate variability on global timing of initial seaward migration of Atlantic salmon (Salmo salar). Global Change Biology 20, 61-75.

Ounsley, J. P., Gallego, A., Morris, D. J. & Armstrong, J. D. (2020). Regional variation in directed swimming by Atlantic salmon smolts leaving Scottish waters for their oceanic feeding grounds-a modelling study. ICES Journal of Marine Science 77, 315-325.

Plantalech Manel‐La, N., Thorstad, E., Davidsen, J., Økland, F., Sivertsgård, R., McKinley, R. & Finstad, B. (2009). Vertical movements of Atlantic salmon post‐smolts relative to measures of salinity and water temperature during the first phase of the marine migration. Fisheries Management and Ecology 16, 147-154.

Serrano, I., Rivinoja, P., Karlsson, L. & Larsson, S. (2009). Riverine and early marine survival of stocked salmon smolts, Salmo salar L., descending the Testebo River, Sweden. Fisheries Management and Ecology 16, 386-394.

Thorpe, J., Metcalfe, N. & Fraser, N. (1994). Temperature dependence of switch between nocturnal and diurnal smolt migration in Atlantic salmon. Mackinlay, DD (ed), 83-86.

Thorstad, E., Finstad, B., Sivertsgrd, R., Bjorn, P. & McKinleyd, R. (2004). Migration speeds and orientation of Atlantic salmon and sea trout post-smolts in a Norwegian fjord system. Environmental Biology of Fishes 71, 305-311.

Thorstad, E., Uglem, I., Finstad, B., Chittenden, C., Nilsen, R., Økland, F. & Bjørn, P. (2012a). Stocking location and predation by marine fishes affect survival of hatchery‐reared Atlantic salmon smolts. Fisheries Management and Ecology 19, 400-409.

Thorstad, E., Whoriskey, F., Uglem, I., Moore, A., Rikardsen, A. & Finstad, B. (2012b). A critical life stage of the Atlantic salmon Salmo salar: Behaviour and survival during the smolt and initial post‐smolt migration. Journal of fish biology 81, 500-542.

Ugedal, O., Fiske, P. & Finstad, B. (2023). Vedlegg I: Oversikt over laksevassdrag og utvandringstidspunkt for smolt. I: Vollset, K. W., Nilsen, F., Ellingsen, I., Karlsen, Ø., Paterson, R. A., Qviller, L., Skarðhamar, J., Stige, L.C., Ugedal, O. & Lien, V. S. (2023). Produksjonsområdebasert vurdering av lakselusindusert villfiskdødelighet i 2023. Rapport fra ekspertgruppe for vurdering av lusepåvirkning, Trondheim (2022).

Urke, H., Kristensen, T., Ulvund, J. & Alfredsen, J. (2013). Riverine and fjord migration of wild and hatchery‐reared Atlantic salmon smolts. Fisheries Management and Ecology 20, 544-552.

Veselov, A. J., Sysoyeva, M. & Potutkin, A. (1998). The pattern of Atlantic salmon smolt migration in the Varzuga River (White Sea Basin).

Økland, F., Thorstad, E., Finstad, B., Sivertsgård, R., Plantalech, N., Jepsen, N. & McKinley, R. (2006). Swimming speeds and orientation of wild Atlantic salmon post‐smolts during the first stage of the marine migration. Fisheries Management and Ecology 13 , 271-274.

6 - Vedlegg

Individuelle migrasjonsruter for laks merket i Namsen i 2022 og 2023 er vist i figurene V1 og V2. Merk at linjene viser korteste avstand (i sjø) mellom to lyttebøyer hvor fisken er detektert, noe som kan avvike fra den reel rute fisk svømmer. Grønne sirkler viser omtrentlige utslippssted i den nedre elvestrekningen (felles for all fisk). Røde sirkler viser lyttebøyer der fisken er detektert. Tomme sirkler indikerer lyttebøyer uten deteksjoner. Tapte lyttebøyer er vist med et kryss.

Figur med 12 paneler, der hvert panel viser et kart over studieområdet med en svart linje som viser vandringsruten til en fisk. ID til fisken er gitt øverst på hvert panel.
Figur V1. Individuelle migrasjonsruter for laks merket i Namsen i 2022. Linjene viser korteste avstand (i sjø) mellom to lyttebøyer hvor fisken er detektert. Grønne sirkler viser omtrentlige utslippssted. Røde sirkler viser lyttebøyer der fisken er detektert. Tomme sirkler indikerer lyttebøyer uten deteksjoner. Tapte lyttebøyer er vist med et kryss.
Figur med 12 paneler, der hvert panel viser et kart over studieområdet med en svart linje som viser vandringsruten til en fisk. ID til fisken er gitt øverst på hvert panel.
Figur V1 (fortsettelse fra forrige side). Individuelle migrasjonsruter for laks merket i Namsen i 2022.
Figur med 12 paneler, der hvert panel viser et kart over studieområdet med en svart linje som viser vandringsruten til en fisk. ID til fisken er gitt øverst på hvert panel.
Figur V1 (fortsettelse fra forrige side). Individuelle migrasjonsruter for laks merket i Namsen i 2022.
Figur med 12 paneler, der hvert panel viser et kart over studieområdet med en svart linje som viser vandringsruten til en fisk. ID til fisken er gitt øverst på hvert panel.
Figur V1 (fortsettelse fra forrige side). Individuelle migrasjonsruter for laks merket i Namsen i 2022.
Figur med 12 paneler, der hvert panel viser et kart over studieområdet med en svart linje som viser vandringsruten til en fisk. ID til fisken er gitt øverst på hvert panel.
Figur V1 (fortsettelse fra forrige side). Individuelle migrasjonsruter for laks merket i Namsen i 2022.
Figur med 12 paneler, der hvert panel viser et kart over studieområdet med en svart linje som viser vandringsruten til en fisk. ID til fisken er gitt øverst på hvert panel.
Figur V1 (fortsettelse fra forrige side). Individuelle migrasjonsruter for laks merket i Namsen i 2022.
Figur med 12 paneler, der hvert panel viser et kart over studieområdet med en svart linje som viser vandringsruten til en fisk. ID til fisken er gitt øverst på hvert panel.
Figur V1 (fortsettelse fra forrige side). Individuelle migrasjonsruter for laks merket i Namsen i 2022.
Figur med 12 paneler, der hvert panel viser et kart over studieområdet med en svart linje som viser vandringsruten til en fisk. ID til fisken er gitt øverst på hvert panel.
Figur V1 (fortsettelse fra forrige side). Individuelle migrasjonsruter for laks merket i Namsen i 2022.
Figur med 12 paneler, der hvert panel viser et kart over studieområdet med en svart linje som viser vandringsruten til en fisk. ID til fisken er gitt øverst på hvert panel.
Figur V1 (fortsettelse fra forrige side). Individuelle migrasjonsruter for laks merket i Namsen i 2022.
Figur med 12 paneler, der hvert panel viser et kart over studieområdet med en svart linje som viser vandringsruten til en fisk. ID til fisken er gitt øverst på hvert panel.
Figur V1 (fortsettelse fra forrige side). Individuelle migrasjonsruter for laks merket i Namsen i 2022.
Figur med 12 paneler, der hvert panel viser et kart over studieområdet med en svart linje som viser vandringsruten til en fisk. ID til fisken er gitt øverst på hvert panel.
Figur V1 (fortsettelse fra forrige side). Individuelle migrasjonsruter for laks merket i Namsen i 2022.
Figur med 4 paneler, der hvert panel viser et kart over studieområdet med en svart linje som viser vandringsruten til en fisk. ID til fisken er gitt øverst på hvert panel.
Figur V1 (fortsettelse fra forrige side). Individuelle migrasjonsruter for laks merket i Namsen i 2022.

Figur med 12 paneler, der hvert panel viser et kart over studieområdet med en svart linje som viser vandringsruten til en fisk. ID til fisken er gitt øverst på hvert panel.
Figur V2. Individuelle migrasjonsruter for laks merket i Namsen i 2023. Linjene viser korteste avstand (i sjø) mellom to lyttebøyer hvor fisken er detektert. Grønne sirkler viser omtrentlige utslippssted. Røde sirkler viser lyttebøyer der fisken er detektert. Tomme sirkler indikerer lyttebøyer uten deteksjoner. Tapte lyttebøyer er vist med et kryss.
Figur med 12 paneler, der hvert panel viser et kart over studieområdet med en svart linje som viser vandringsruten til en fisk. ID til fisken er gitt øverst på hvert panel.
Figur V2 (fortsettelse fra forrige side). Individuelle migrasjonsruter for laks merket i Namsen i 2023.
Figur med 12 paneler, der hvert panel viser et kart over studieområdet med en svart linje som viser vandringsruten til en fisk. ID til fisken er gitt øverst på hvert panel.
Figur V2 (fortsettelse fra forrige side). Individuelle migrasjonsruter for laks merket i Namsen i 2023.
Figur med 12 paneler, der hvert panel viser et kart over studieområdet med en svart linje som viser vandringsruten til en fisk. ID til fisken er gitt øverst på hvert panel.
Figur V2 (fortsettelse fra forrige side). Individuelle migrasjonsruter for laks merket i Namsen i 2023.
Figur med 12 paneler, der hvert panel viser et kart over studieområdet med en svart linje som viser vandringsruten til en fisk. ID til fisken er gitt øverst på hvert panel.
Figur V2 (fortsettelse fra forrige side). Individuelle migrasjonsruter for laks merket i Namsen i 2023.
Figur med 12 paneler, der hvert panel viser et kart over studieområdet med en svart linje som viser vandringsruten til en fisk. ID til fisken er gitt øverst på hvert panel.
Figur V2 (fortsettelse fra forrige side). Individuelle migrasjonsruter for laks merket i Namsen i 2023.
Figur med 12 paneler, der hvert panel viser et kart over studieområdet med en svart linje som viser vandringsruten til en fisk. ID til fisken er gitt øverst på hvert panel.
Figur V2 (fortsettelse fra forrige side). Individuelle migrasjonsruter for laks merket i Namsen i 2023.
Figur med 12 paneler, der hvert panel viser et kart over studieområdet med en svart linje som viser vandringsruten til en fisk. ID til fisken er gitt øverst på hvert panel.
Figur V2 (fortsettelse fra forrige side). Individuelle migrasjonsruter for laks merket i Namsen i 2023.
 Figur med 4 paneler, der hvert panel viser et kart over studieområdet med en svart linje som viser vandringsruten til en fisk. ID til fisken er gitt øverst på hvert panel.
Figur V2 (fortsettelse fra forrige side). Individuelle migrasjonsruter for laks merket i Namsen i 2023.