Go to main content

Pigghåtoktet 2024

— Et samarbeidstokt mellom Havforskningsinstituttet og Måløy Videregående Skole, med opplæringsfartøyet MS Skulebas

Sammendrag

Pigghå er en datafattig og rødlistet art som historisk har gitt grunnlag for et stort fiskeri med årlige landinger på mer enn 40 000 tonn i mer enn 40 år. Etter langvarig overfiske og etterfølgende bestandssammenbrudd har det nå i en del år vært tegn til vekst i bestanden. I 2020 tok Måløy videregående skole, som eier en autoline/garnbåt, kontakt med Havforskningsinstituttet og presenterte et ønske om et samarbeid for å bidra til et ressurstokt på pigghå. Formålet med pigghåtoktserien på lang sikt er å etablere en bestandsindeks for pigghå basert på fangstrater i standardiserte årlige tokt. Toktet samler også inn informasjon om sammensetning av bestanden for å ytterligere underbygge bestandsanalysen. Denne rapporten inneholder foreløpig resultater fra 2024. Totalt ble det registrert 1431 pigghå samt andre arter gjennom 319 stasjoner, fra Rørvik i nord til Egersund i sør.

1 - Bakgrunn

Pigghå er en datafattig art som historisk har gitt grunnlag for et stort fiskeri med årlige landinger på mer enn 40 000 tonn i over 40 år. Etter langvarig overfiske og etterfølgende bestandssammenbrudd har det nå i en del år vært tegn til vekst i bestanden. En analyse av alderssammensetningen av pigghå levert på mottak (Albert et al., 2019) indikerer en mye raskere økning i årsklassestyrke enn det den gjeldende bestandsanalysen tilsier. Dette er i tråd med opplysninger fra fiskere flere steder langs kysten, men i mangel av en pålitelig bestandsindeks har det ikke vært vurdert hensiktsmessig verken å ta den ut av rødlisten eller å reduserebifangstreguleringene. Resultatet er vedvarende bekymring fra fiskere som ikke får fange en tilsynelatende tallrik ressurs og som opplever å bli hindret i fisket etter andre arter, og oppdrettsnæringen som opplever rømming som følge av at pigghå rapporteres å beite på død fisk og dermed ødelegger maskene i bunnen av merdene. ICES har gitt råd på bestanden siden 2006, og i 2022 ble det for første gang anbefalt et direkte fiske etter pigghå, begrenset til mellom 17 000 og 22 500 tonn årlig for årene 2023-2026 (ICES 2022, 2024). Måløy videregående skole disponerer et opplærlingsfartøy som benyttes til skolebåt for elever på linjen Fiske og fangst. Skolen tok kontakt med Havforskningsinstituttet i november 2020 og presenterte et ønske om et samarbeid for å bidra til et ressurstokt med autoline på pigghå. Bakgrunnen var dels at dette er en art som historisk har vært av stor betydning for Måløysamfunnet. Havforskningsinstituttet og Måløy VGS ble enige om å inngå et femårig toktsamarbeid fra og med 2021, der skolen stiller med båt og mannskap, mens Havforskningsinstituttet står for det vitenskapelige opplegget. Etter denne tiden vil videre samarbeid vurderes på nytt. I 2021 ble det første pigghåtoktet gjennomført med gode resultater (Andrade et al. 2022). På lang sikt er formålet med toktserien å etablere en bestandsindeks for pigghå basert på fangstrater i standardiserte årlige undersøkelser. Toktet samler også inn informasjon om sammensetning av bestanden for å ytterligere underbygge bestandsanalysen.

2 - Fartøy, design, utstyr og prøvetaking

2.1 - Fartøy, bemanning og drift

Måløy videregående skoles opplæringsfartøy "MS Skulebas» kan blant annet fiske med autoline, har dieselelektrisk hybriddrift og er bygget i 2023. Fartøyet er 38 m langt og 10.5 m bredt og har lugarplass til 20 personer.

Måløy Videregående skole sørget for skipper, styrmann, stuert og maskinist for toktet. Tolv elever og to lærere var dekksmannskap. Det var bytte av HI-personell, maskinist og lærer underveis i toktet. Fra Havforskningsinstituttet stilte 4 deltakere, Tone Vollen (toktleder del 1), Torfinn Erling Larsen, Hector Andrade (toktleder del 2) og Ingrid Marie Bruvold.

Det ble drevet 24 timers døgndrift. Elever gikk treskiftsordning med 4-8 vakter (4 timer jobb - 8 t fri), lærere gikk 6-6 vakter (6 t jobb - 6 t fri), mens HI-mannskapet gikk 8-8-4-4 vakter (8 t jobb - 8 t fri - 4 t jobb - 4 t fri). Dette ga god informasjonsutveksling mellom vaktlag.

2.2 - Dekningsområde og -periode

Toktet skulle dekke kystområdet fra Rørvik til Egersund. Det gikk over 28 døgn, kort tid etter skoleårets start. Vi startet med orienteringsmøter, utpakking og rigging av utstyr i Måløy mandag 2. september. Selve toktet startet fra Måløy torsdag 5. september og sluttet samme sted onsdag 2. oktober. Toktet var delt i to deler; en nordlig del som dekket området mellom Måløy og Rørvik (5.-19. september), og en sørlig del som dekket mellom Måløy og Egersund (19. september-2. oktober).

2.3 - Toktdesign

Toktdesignet for 2024 var i stor grad basert på samme prinsipper som for tidligere tokt (Vollen et al., 2021, Andrade et al., 2022, 2024), med hovedvekt på forhåndsbestemte tilfeldig plasserte stasjoner innenfor et dekningsområde. Formålet er å oppnå lik sannsynlighet for dekning innenfor hvert delområde, men også å geografisk spre de tilfeldige stasjoner over hele undersøkelsesområdet.

Basert på tidligere erfaringer var det ønskede dekningsområdet definert som «fra 10 nm utenfor grunnlinja til 20 nm innenfor grunnlinja, samt grunnere enn 150 meters bunndyp».

Det ble tatt utgangspunkt i en fullstendig liste med alle forhåndsbestemte stasjoner fra tidligere tokt som lå innenfor det ønskede dekninsområdet. Alle stasjoner ble plottet i kartprogrammet OpenCPN, og stasjoner som tydelig lå utenfor ønsket dybdeintervall ble fjernet fra lista. I tillegg ble lista supplert med noen nye, tilfeldige stasjoner i det nordligste området som hadde dårlig dekning fra tidligere. Fra den fullstendige stasjonslista ble ønsket antall stasjoner plukket ut tilfeldig, på samme måte som i 2022 og 2023. Den endelige listen for 2024 bestod av 256 faste stasjoner (Anneks 1). I tillegg ble det planlagt tre transekter med flyteline. Hvert transekt ble lagt langs en gradient fra kystnære/grunne stasjoner til åpent hav/dypere stasjoner for å undersøke om pigghå kunne fanges nær havoverflaten uavhengig av bunndybde. Hver transekt besto av 6-8 stasjoner plassert med 4 NM mellomrom. En oversikt over alle stasjoner som ble tatt kan ses i Anneks 2.

I tillegg til de forhåndsbestemte stasjonene hadde vi med oss et utvalg av «ekstrastasjoner» som kunne tas dersom det var tid og anledning. Dette var stasjoner som enten 1) hadde stor fangst av pigghå et av de tidligere toktene (uavhengig av om den var forhåndsbestemt eller var tatt på annet grunnlag), samt 2) forhåndsbestemte stasjoner som var tatt både i 2021, 2022 og 2023, uavhengig av hvor mye pigghå man fikk da; og 3) stasjoner hvor det var ønskelig å ta genetikkprøver av pigghå. I en periode med dårlig vær ble det satt noen ekstrastasjoner i Sognefjorden (både flyte- og bunnline) for å kartlegge forekomst av pigghå der (i ytterste fjerdedel av fjorden). Andre mulige ekstrastasjoner var områder der vi fikk tips fra fiskere om mye pigghå fanget som bifangst.

2.4 - Redskap

Hver linestubb bestod av 193 krok av type Mustad 39975DT nummer 12.0 med 140 cm mellom krokene. Båten hadde autolinesystem med terylen ile og linetau. Båten hadde fått satt inn en ny egnemaskin (Mustad Autoline MA-BM-3000 Autobaiter). Det ble egnet med hel makrell (størrelse 100-200 g). Forbruket ble ikke beregnet. Egnemaskinen kuttet biter som var anslagsvis 20 mm. Antall krok som gikk ut uten agn ble registrert maskinelt (sensor på egnemaskinen) og ved videoopptak på de fleste stubbene.

Stubbene ble satt med et 11 kg kjettinglodd i den ene enden (den enden som ble satt først), og 15 kg dregg + blåse og bøye i den andre (som ble satt sist og dratt først). Det var cirka 19 m fra kjettingloddet til første krok og cirka 5 m fra siste krok til dreggen. Bøya var utstyrt med flagg, refleks, AIS-sender og blink (Figur 1). Ståtiden ble regnet fra bøya ble kastet ut ved endt setting, til bøya ble tatt inn i båten ved starten på haling.

Det tok litt tid å finne den mest praktiske riggingen av de pelagiske linene, men etter litt prøving og feiling på første transekt endte vi med følgende oppsett: linene ble satt på 10 m dyp med tre blåser, en i hver ende og en på midten (Figur 2). Linene sank en del mellom blåsene slik at effektivt fiskedyp var fra 10 m til cirka 70 m. Maks fiskedyp ble registrert med et DST-merke som var tapet fast midt i bukta mellom to av blåsene.

2.5 - Maskinell registrering av egneprosent

Båten hadde sensorer på egnemaskinen som registrerte totalt antall krok og egneprosent, men totalt antall krok registrert av sensorene kunne være betydelig lavere enn det korrekte antallet (193 krok). Det virket som systemet klarte å telle krok med agn noenlunde korrekt, men at det feilet på blanke krok, særlig ved krokhekt og kostevaser. Antall krok med agn ble derfor beregnet som egneprosent*totalt antall krok/100.

2.6 - Prøvetaking

Alle pigghå som ble tatt ombord ble registrert med totallengde, vekt, kjønn og modning (spesialstadium i Biotic Editor). Andre ryggpigg ble skåret ut (se prøvetakingsmanualen, Anneks 3) og fryst inn i individuelle poser. Hos gravide hunner ble totalt antall fostre i stadium 5 og 6 talt (lagt inn under «merkenummer» i Biotic Editor). Det ble også tatt genetikk av et forhåndsbestemt begrenset antall pigghå i hvert statistikkområde. All annen fisk som kom om bord ble registrert til art, samt lengdemålt og veid. Det ble tatt ytterligere mål og prøver av hågjel, svarthå, brosme, lange, kveite, uer og blålange, i henhold til prøvetakingsmanualen. All fisk som det skulle tas prøver av ble avlivet, enten ved bløgging/utbløding eller ved stikk i hodet. Hvitfisk ble i stor grad tatt vare på til eget konsum (bløgget), mens skater ble satt ut igjen før vi kom nær neste stasjon, Mageprøver ble tatt av alle arter ved noen få stasjoner, for å dokumentere om disse artene hadde mer enn én makrellbit i magen, dvs. at de beitet agnet av flere linekroker før de ble krøket. Biologiske materiale etter prøvetaking ble sluppet ut til sjøs før båten kom til neste stasjon, for å unngå påvirkning av avfall på fiskelykken.

2.7 - Prøvetakingsutstyr

Det ble brukt elektronisk lengdemålingsbrett og Fish2Data med toktlogger. Systemene ble rigget opp 3. september av Jarle Hopland fra Fartøyinstrumentavdelingen, sammen med Tone Vollen. Vi hadde to Marel Marin-vekter tilgjengelig, en til veiing av fisk opp til 15 kg (M2400, 0-15 kg, oppløsning 2 g i intervall 0-6 kg og 5 g i intervall 6-15 kg) og en til veiing av større fisk (M2200, 0-30 kg, oppløsning 5 g i intervall 0-15 kg og 10 g i intervall 15-30 kg). Annet nødvendig utstyr inkluderte kniver, sakser og pinsetter, samt plastposer for å ta vare på pigger, og dramsglass med 96 % etanol for å ta vare på genetikkprøver. Vi hadde med oss en laserprinter som ble brukt til å skrive ut både skjemaer og lapper som ble brukt for merking av prøver. Det ble primært brukt «vannfast papir» med matt overflate til dette formålet.

En strømmåler av type Aquadopp 300 ble brukt for å måle strømstyrke og -retning i nærheten av lina. Denne ble festet på ilen og hang 15 m over dreggen. Batteriet på strømmåleren ble byttet cirka 1 gang per uke.

Dataloggeren som måler dyp og temperatur ble satt ved slutten av lina. Dataloggeren var av type StarOddi DST centi-TD, kalibrert til å måle dyp ned til 270 meter. Loggeren ble puttet inn i gummihus som enkelt kunne klipses av og på lina.

2.8 - Datahåndtering

Stasjonsdata ble primært registrert ved hjelp av HIs toktlogger, som hadde tilgang til data fra ekkolodd og gps via båtens TimeZero-kartplottersystem. Toktloggeren ble startet og stoppet av HI-personen som var på vakt. Det ble registret posisjon og tidspunkt for start og slutt på setting, samt starttidspunkt for draging. I tillegg registrerte toktloggeren bunndyp fra ekkolodd ved start og slutt av setting, samt maks og min dyp fra start til slutt av setting. Tilleggsopplysninger om værforhold (sjø og vind) samt egneprosent og totalt antall krok krok registrert fra egnemaskin-systemet ble ført manuelt på stasjonsskjema av skipper og styrmann.

For å skille mellom forhåndsbestemte stasjoner og andre stasjoner ble det brukt ulik «Stasjonstype» i Biotic; de forhåndsbestemte stasjonene ble registrert som kategori «9 - Vanlig fiskestasjon» og andre stasjoner som kategori «13 - Tilleggsstasjon». Hvis en forhåndsbestemt stasjon ble besøkt to ganger, ble den registrert første gangen som kategori 9, deretter 13. Hvis det var en del vase på lina ble dette registrert i Biotic Editor som redskap tilstand = 3. Stasjoner med veldig mye vase (tilstand = 4) eller hvor line er mistet eller ødelagt (tilstand = 7) skal ikke brukes i analyser.

Data fra strømmåler og dybdesensorer ble lastet ned en til to ganger i døgnet, når det var tid til det. Nedlasting av data tok cirka 30-40 min i starten, og prosessen ble raskere etter hvert.

2.9 - Videoopptak

Det ble brukt GoPro-kameraer for å filme de fleste stasjonene. Et kamera filmet lina på tur ut, slik at vi kunne beregne egneprosenten. Slik kunne vi sammenligne resultatene med båtens elektroniske tellesystem. Kamera nummer to ble plassert i dragerrommet. Det filmet lina på vei inn og dokumenterte fangsten.

«Ut-videoene» varte cirka 5 minutter siden kameraet måtte startes en stund før settingen kom i gang. «Inn-videoene» varte cirka 10 minutter. Serienummeret til den aktuelle stasjonen ble vist på et ark i starten av hver video.

Batteriet på kameraet måtte byttes/lades 3-4 ganger i døgnet. Vi gjorde det til en rutine å laste ned filmer fra kamera til pc ved batteribytte fordi overføringen tok lang tid. Serienummeret ble samtidig lagt til filnavnet for enkel identifisering. Harddisken på PC-en var utvidet, så videoene kunne lagres direkte på pc-en.

De fleste stasjonene ble filmet. Noen stasjoner mangler video fordi batteriet var tomt eller at kameraet av ulike grunner ikke ble startet. Analysering av inn-videoene er en tidkrevende prosess og ble gjort etter toktslutt.

3 - Foreløpige resultater

Det ble totalt tatt 319 stasjoner på toktet, hvorav 283 var bunnliner (dybdeintervall 13.7-387.0 m) og 36 pelagiske liner (bunndybde 77.6-1254.4 m). 316 av stasjonene var godkjente, hvilket vil si at redskapet og håndteringen av dette fungerte ok. Grunner til ikke-godkjent stasjon kunne være at lina ble slitt av, fikk stor vase eller stod ute i kortere/lengere tid enn planlagt. Av de godkjente stasjonene var 280 bunnline (251 faste stasjoner, 14 gjentatte stasjoner og 15 ekstrasjoner) og 36 pelagiske ekstrastasjoner. Stasjonene var spredt fra Rørvik i nord til Egersund i sør (Figur 3).

Området sør for Måløy (sør for 62° N) ble best dekket, med 212 godkjente stasjoner (66 % av stasjonene).

Antall egnede krok ble beregnet fra to kilder; 1) elektronisk/maskinell telling og 2) manuell telling fra video. Resultater fra begge metodene er vist i Figur 4. En gjennomgang ble gjort etter toktet for å bestemme hvilke tall som skulle bli brukt og punsjet i Biotic Editor. Den viste blant annet at maskinell telling sviktet helt i starten av toktet, før egnemaskinen ble reparert lørdag 14. september, etter serienummer 56105. Alt i alt ble videotellinger vurdert som mest pålitelige, men maskinell telling ble brukt i fire tilfeller hvor det var eneste alternativ. Basert på endelige tall var det i gjennomsnitt 132 egnede krok på hver line (min-maks, 68-176 krok) dvs. 61 tomme krok og 68% effektiv egning, og det var en økning av antall krok med ang i løpet av toktperioden.

På de fleste stasjonene er videopptak tilgjengelig, både når lina ble satt ut og dratt inn, samt data fra strømmåler og dybde- og temperaturdata fra dybdesensoren. Kvaliteten på videoene varierer avhengig av lysforhold. De beste videoene ble filmet på dagtid i fint vær. Ekstra lys ble satt opp for å filme lina på vei ut, og videoene ble bedre.

Fangst ble registrert på 274 godkjente stasjoner (269 bunnline og 5 pelagiske). Den mest tallrike arten som gikk på lina var pigghå (1431 individer), etterfulgt av hågjel (535 individer), brosme (316 individer), svarthå (152 individer) og lange (142 individer). Totalt fikk vi 28 ulike arter/grupper ombord, hvorav 64 % forekom sjeldent (< 10 individer totalt) (Tabell 1).

Pigghå ble tatt på 113 av 274 godkjente stasjoner (108 bunnliner og 5 pelagiske liner), tilsvarende 41% av stasjonene (Anneks 2). Forekomsten var høyest i områdene 61- 63 og 58.5-60 grader nord (Figur 5). Pigghå ble fanget i dybdeintervallet 0-175 m. Fangstene var mest tallrike på stasjoner grunnere enn 75 m, og få pigghå ble fanget på stasjoner dypere enn 125 m. Den aller største enkeltfangsten var på 90 individer. Den ble tatt på rundt 40 m dyp i nærheten av Oksøya nord for Haugesund (59.518° N, 5.155° Ø). Den minste pigghåen som ble fanget var 45 cm lang, mens den største var 118 cm. Hunnene ble større enn hannene (maks 118 cm for hunner og 90 cm for hanner) (Figur 6), Av totalt 1433 pigghå var 50.1 % (717 individer) hunner og 49.9 % (715 individer) hanner, mens ett individ ikke var kjønnsbestemt. Det ble registrert både umodne, modnende og kjønnsmodne individer av begge kjønn (Figur 7). Blant hannene var cirka 90 % av individene kjønnsmodne og blant hunner cirka 45 %. Blant hunnene ble det registrert både egg i livmor uten synlige embryoer, «halvgåtte» fostre som hadde stor plommesekk (cirka ett år etter befruktning, modningstadium 5) og fostre som var uten plommesekk og klar til å slippes (cirka to år etter befruktning, modningstadium 6). I Sognefjorden ble det ikke fanget pigghå på flyteline.

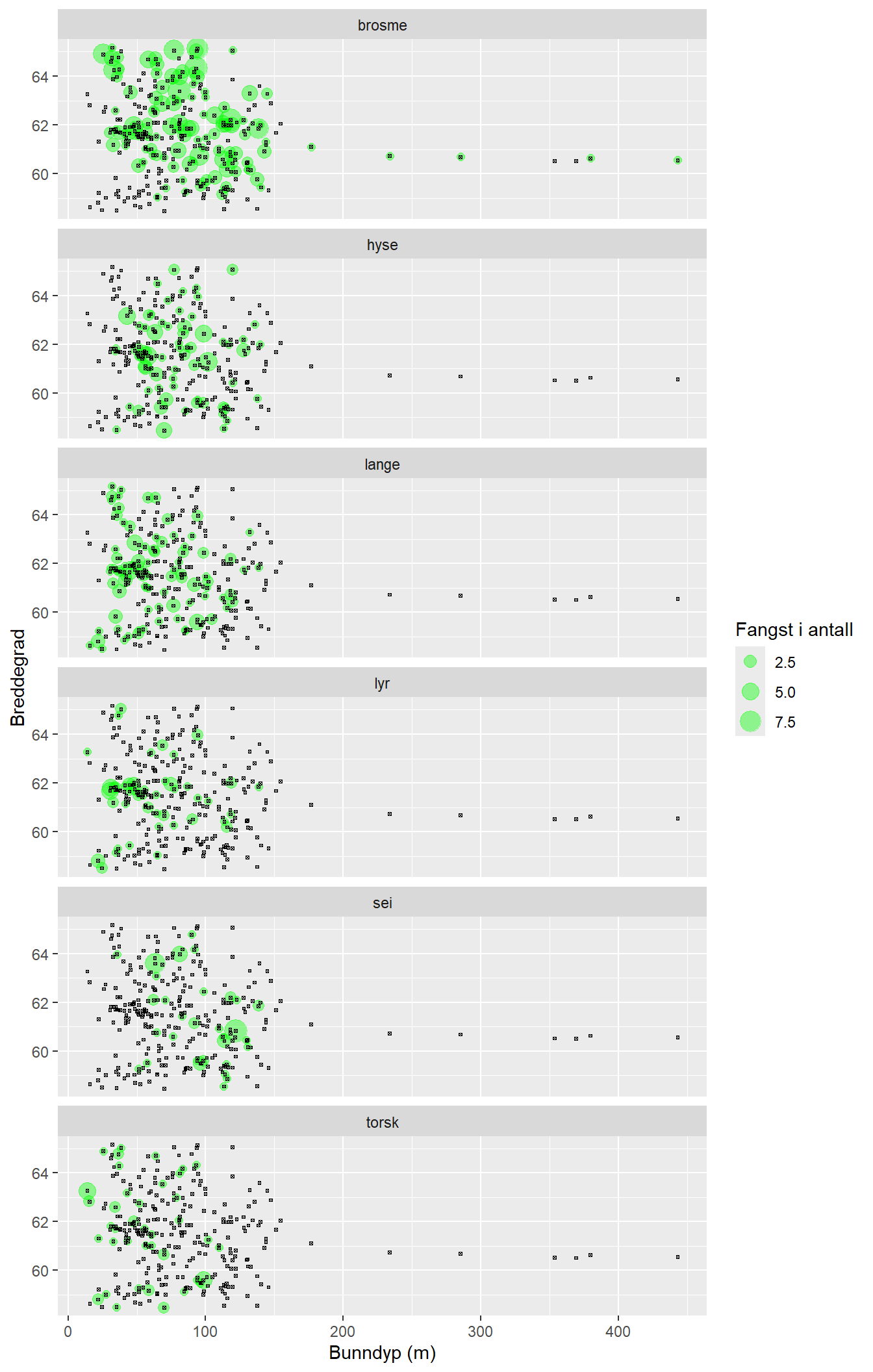
Fordelingen av øvrige kommersielle arter og bruskfisk med størst fangst, fordelt på bunndyp og breddegrad, kan ses i Figur 8 og Figur 9. Av de kommersielle artene var brosme mest tallrik på stasjoner nord for 60° N og ble fanget i hele dybdeintervallet (cirka 20-450 m). Hyse ble fanget mest sør for 64° N, på 50-125 m dyp. Lange ble fanget grunnere enn 150 m, fra de sørligste til nordligste stasjonene. Lyr ble også fanget i hele området, men var mest tallrik på grunnere stasjoner (<100 m) mellom 61-62° N. Sei i sør (60-62° N) var mest tallrik på dypere stasjoner (rundt 125 m) mens i nord (63-64° N) ble den fanget litt grunnere, på 50-75 m. Torsk ble fanget i hele området, grunnere enn 100 m. Av bruskfiskartene ble hågjel fanget over hele området i dybder mellom cirka 45-150 m. Piggskate ble fanget hovedsakelig rundt 61-63° N på grunt vann (<50 m), mens svarthå ble fanget på de sørligste stasjonene, dypere enn 75 m.

De to mest tallrike kommersielle artene, brosme og lange, ble fanget i lengdeintervall 29-73 cm og 29-147 cm, henholdsvis. Hos brosme var hannene større i absolutt lengde enn hunnene (Figur 10). Lengdeintervall for hyse var 31-67 cm, lyr 37-75 cm, sei 33-76 cm, og torsk 34-99 cm. For bruskfiskene hågjel (26-77 cm), piggskate (54-113 cm) og svarthå (25-51 cm) var hunnene større enn hannene (Figur 11).

Det ble samlet inn aldersprøver av 1394 pigghå, og 3 kveite. Det ble også samlet inn totalt 426 genetikkprøver, hvorav 423 var fra pigghå og 3 fra kveite.

Alle stasjoner som ble tatt på toktet er listet i Anneks 2, sammen med et utvalg stasjonsdata og pigghåfangst i antall.

4 - Litteratur

Albert, O. T., Junge, C., & Myrlund, M. K. (2019). Young mums are rebuilding the spurdog stock (Squalus acanthias L.) in Norwegian waters. ICES Journal of Marine Science, 76(7), 2193-2204. https://doi.org/10.1093/icesjms/fsz156

Andrade H, Vollen T, Larsen TE, Albert OT (2022) Pigghåtoktet 2022 — Et samarbeidstokt mellom Havforskningsinstituttet og Måløy Videregående Skole, med opplæringsfartøyet MS Skulebas Senior. Toktrapport 2022-14. Havforskningsinstituttet, Norge. ISSN:1503-6294

Andrade H, Vollen T, Larsen TE, Albert OT (2024) Pigghåtoktet 2023 — Et samarbeidstokt mellom Havforskningsinstituttet og Måløy Videregående Skole, med opplæringsfartøyet MS Skulebas. Toktrapport 2024-20. Havforskningsinstituttet, Norge. ISSN:1503-6294

Andrade H, Nilsen T, Vollen T, Harbitz A, Junge C, Albert OT (2023). A longline survey for spurdog distribution and life history along the Norwegian coast. Fisheries Management and Ecology. https://doi.org/10.1111/fme.12676

ICES (2022): Spurdog (Squalus acanthias) in subareas 1–10, 12, and 14 (the Northeast Atlantic and adjacent waters). ICES Advice: Recurrent Advice. Report https://doi.org/10.17895/ices.advice.19753588.v1

ICES (2024). Spurdog (Squalus acanthias) in subareas 1–10, 12, and 14 (the Northeast Atlantic and adjacent waters). In Report of the ICES Advisory Committee, 2024. ICES Advice 2024, dgs.27.nea. https://doi.org/10.17895/ices.advice.25019237

Vollen T, Andrade H, Albert OT (2021) Pigghåtoktet 2021. 19. oktober – 12. november 2021. Et samarbeidstokt mellom Havforskningsinstituttet og Måløy Videregående Skole, med opplæringsfartøyet MS Skulebas. Toktrapport 2021-19. Havforskningsinstituttet, Norge. ISSN 15036294

5 - Tabeller

rank commonname N W_kg
1 pigghå 1431 2774
2 hågjel 535 371
3 brosme 316 471.1
4 svarthå 152 44
5 lange 142 363.2
6 hyse 122 168.9
7 lyr 77 96.6
8 piggskate 68 291.8
9 sei 57 78.2
10 torsk 55 108.3
11 hvitting 8 3.2
12 havmus 6 9.8
13 havål 6 23.1
14 taskekrabbe 5 NA
15 knurr 4 1.5
16 glassvar 2 1.1
17 gråsteinbit 2 1.4
18 kveite 2 14.9
19 makrell 2 1.1
20 gapeflyndre 1 0
21 lusuer 1 0.1
22 lysing 1 5.6
23 sjøstjerner 1 NA
24 skjellbrosme 1 1.2
25 slangestjerner 1 0.2
26 spisskate 1 4
27 sypike 1 0
28 trollkrabbe 1 0.5
Tabell 1. Total fangst i antall og vekt av alle arter på godkjente stasjoner

6 - Figurer

 

Figur 1. Rigging av bunnline under pigghåtoktet 2024.
Figur 1. Rigging av bunnline under pigghåtoktet 2024.

 

 

Figur 2. Rigging av pelagisk line under pigghåtoktet i 2024.
Figur 2. Rigging av pelagisk line under pigghåtoktet i 2024.

 

 

Figur 3. Kart som viser alle godkjente bunn- (A) og pelagiske (B) stasjoner som ble tatt under toktet (svarte kvadrater). Fangst av pigghå er markert som røde punkt, hvor arealet angir størrelsen på fangsten.
Figur 3. Kart som viser alle godkjente bunn- (A) og pelagiske (B) stasjoner som ble tatt under toktet (svarte kvadrater). Fangst av pigghå er markert som røde punkt, hvor arealet angir størrelsen på fangsten.

 

 

Figur 4. Antall kroker med agn, basert på sensorer på egnemaskinen (maskinell) og videotellinger, fra starten på toktet (venstre) til slutten av toktet (høyre). Egnemaskinen ble reparert underveis i toktet (stiplede linjer), og maskinell telling er sannsynligvis feil før reparasjonen.
Figur 4. Antall kroker med agn, basert på sensorer på egnemaskinen (maskinell) og videotellinger, fra starten på toktet (venstre) til slutten av toktet (høyre). Egnemaskinen ble reparert underveis i toktet (stiplede linjer), og maskinell telling er sannsynligvis feil før reparasjonen.

 

 

Figur 5. Fangst av pigghå (grønn) på faste bunnlinestasjoner, fordelt på breddegrad og dyp (m).
Figur 5. Fangst av pigghå (grønn) på faste bunnlinestasjoner, fordelt på breddegrad og dyp (m).

 

 

Figur 6. Pigghå lengde og vekt forhold for hunner (1, rødt) og hanner (2, blå).
Figur 6. Pigghå lengde og vekt forhold for hunner (1, rødt) og hanner (2, blå).

 

 

Figur 7. Modningsstatus hos pigghå, fordelt på kjønn.
Figur 7. Modningsstatus hos pigghå, fordelt på kjønn.

 

 

Figur 8. Fangst av brosme, lange, hyse, lyr, sei og torsk på bunnlinestasjoner, fordelt på breddegrad og dyp (m).
Figur 8. Fangst av brosme, lange, hyse, lyr, sei og torsk på bunnlinestasjoner, fordelt på breddegrad og dyp (m).

 

 

Figur 9. Fangst av hågjel, svarthå og piggskate på bunnlinestasjoner, fordelt på breddegrad og dyp (m).
Figur 9. Fangst av hågjel, svarthå og piggskate på bunnlinestasjoner, fordelt på breddegrad og dyp (m).

 

 

Figur 10. Lengdefordeling av de kommersielle, mest tallrike artene, fordelt på kjønn (1- hunner, 2-hanner)
Figur 10. Lengdefordeling av de kommersielle, mest tallrike artene, fordelt på kjønn (1- hunner, 2-hanner)

 

 

Figur 11. Lengdefordeling av hågjel, svarthå og piggskate fra bunnlinestasjoner, fordelt på kjønn. (1- hunner, 2- hanner)
Figur 11. Lengdefordeling av hågjel, svarthå og piggskate fra bunnlinestasjoner, fordelt på kjønn. (1- hunner, 2- hanner)

 

7 - Anneks 1 Planlagte stasjoner

Stasjon (ID) Lat Lon Kommentar
125 64.172 8.962  
153 63.296 7.073  
163 63.088 6.763  
187 62.702 5.638  
195 62.544 5.608  
200 62.442 5.413  
209 62.110 4.837 Gjentatt
213 62.198 4.794 Gjentatt
215 64.710 10.990  
216 64.490 10.690  
217 64.780 11.740  
218 64.600 11.350  
219 64.250 10.000  
220 64.180 9.340  
221 64.730 11.040  
301 65.176 11.391  
302 65.132 10.838  
303 65.063 10.733  
304 65.055 10.677  
305 65.042 10.850  
306 65.030 11.390  
308 64.898 10.491  
309 64.778 10.480  
310 64.753 10.614  
311 64.691 10.575  
316 64.318 10.206  
317 64.288 10.155  
324 64.126 10.009  
327 64.020 9.128 Ikke tatt pga dårlig vær
328 63.997 9.618  
329 63.983 9.805  
330 63.970 9.676  
331 63.967 9.944  
334 63.880 8.384  
335 63.868 9.484  
337 63.844 9.457  
338 63.844 9.568  
339 63.818 8.506  
340 63.811 8.838  
347 63.698 9.356 Ikke godkjent
348 63.691 8.906  
350 63.682 8.838  
351 63.670 8.687  
356 63.554 8.287  
360 63.503 7.913  
362 63.455 8.260  
363 63.388 7.658  
364 63.349 8.305  
365 63.337 7.691  
366 63.338 8.322 Ikke godkjent
367 63.283 8.227  
370 63.243 8.245  
371 63.186 7.293  
372 63.176 7.619  
373 63.167 7.802  
374 63.143 7.925  
375 63.140 7.195  
377 63.089 7.307 Ikke tatt pga dårlig vær
378 62.988 7.728  
379 62.983 7.781  
383 62.884 6.898  
384 62.878 6.516  
385 62.852 6.452  
386 62.816 6.986  
387 62.739 6.164  
388 62.735 6.350  
390 62.632 6.893  
391 62.595 5.953 Godkjent på andre forsøk
392 62.547 5.928  
393 62.479 5.656  
395 62.456 5.594  
396 62.392 5.426  
398 62.223 5.178 Gjentatt
399 62.091 5.225 Gjentatt
400 62.628 5.892  
401 62.895 6.513  
408 64.113 9.875  
444 63.600 9.225  
445 63.590 9.244  
446 63.530 9.296  
447 63.270 8.011  
448 63.074 7.467 Ikke tatt pga dårlig vær
450 62.824 6.794  
451 62.767 6.870  
452 62.710 7.069  
453 62.700 6.659  
455 62.630 6.870  
456 62.499 6.150  
458 62.211 5.321  
460 62.098 5.453 Gjentatt
461 62.070 4.991  
462 62.059 5.141 Gjentatt
463 62.049 5.022  
508 61.986 4.698  
509 61.983 4.799 Gjentatt
513 61.863 4.618 Gjentatt
515 61.857 4.606  
523 61.752 4.562  
529 61.682 4.592  
530 61.671 4.568  
533 61.615 4.458  
536 61.578 4.545  
544 60.715 4.662  
545 60.589 4.736  
559 59.833 4.980  
564 59.768 5.007  
565 59.722 4.997  
576 59.442 4.948  
585 59.136 5.151  
596 58.863 5.275  
604 58.762 5.383  
613 58.552 5.620  
614 58.470 5.780  
701 62.007 4.922  
702 61.992 4.891 Gjentatt
704 61.947 4.968 Gjentatt
705 61.906 4.877  
706 61.903 4.807  
708 61.846 4.758 Gjentatt
709 61.821 4.884  
710 61.817 4.872 Gjentatt
712 61.753 4.911  
713 61.747 4.727  
715 61.729 4.679  
716 61.657 4.884  
717 61.652 4.699  
718 61.650 4.762  
719 61.628 4.649  
720 61.541 4.814  
721 61.528 4.614  
723 61.521 4.739  
724 61.507 4.745  
725 61.498 4.899  
726 61.485 4.700  
727 61.480 5.199  
729 61.475 5.017  
732 61.420 4.563  
733 61.416 4.729  
734 61.391 4.673  
736 61.362 4.785  
737 61.330 4.585  
741 61.269 4.594  
743 61.187 4.774  
745 61.143 4.699  
746 61.143 4.682  
747 61.107 4.612  
751 61.027 4.607  
754 61.014 4.924  
755 61.015 4.511  
756 60.959 4.830  
757 60.931 4.753  
758 60.922 4.570  
760 60.875 4.808  
762 60.841 4.884  
763 60.826 4.714  
766 60.760 4.750  
768 60.724 4.674  
769 60.661 4.720  
772 60.576 4.879  
774 60.512 4.818  
776 60.465 4.824  
778 60.431 4.903  
779 60.439 5.124  
781 60.420 5.093  
782 60.411 4.881  
783 60.334 4.864  
784 60.275 4.918  
785 60.215 4.978  
786 60.191 4.938  
790 60.111 5.054  
792 60.087 5.467  
793 60.072 5.099  
795 60.012 5.308  
799 59.886 5.648  
802 59.730 5.110  
803 59.719 5.153  
804 59.638 5.324  
808 59.495 5.093  
810 59.486 5.023  
812 59.455 5.124  
813 59.423 5.061  
814 59.413 5.199  
815 59.406 4.934  
816 59.367 4.955  
817 59.367 5.117  
819 59.339 4.902  
820 59.329 5.046  
821 59.319 4.987  
822 59.307 5.161  
823 59.312 5.157  
825 59.289 5.842  
826 59.281 5.766  
829 59.270 5.088  
831 59.248 5.760  
834 59.225 5.161  
835 59.179 5.887  
836 59.157 5.665  
838 59.136 5.790  
840 59.056 5.802  
841 59.053 5.474  
842 59.036 5.602  
843 59.013 5.884  
844 59.006 5.540  
845 59.005 5.965  
846 58.957 5.413  
847 58.878 5.470  
848 58.810 5.478  
849 58.510 5.723  
850 59.721 5.018  
851 61.618 4.967 Gjentatt
852 61.423 4.797  
855 60.987 4.788  
857 60.677 4.883  
858 60.473 5.028  
859 60.168 5.213  
860 59.732 5.622  
861 59.607 5.067  
862 59.053 5.372  
863 58.497 5.752  
865 59.286 5.605  
866 59.033 5.795  
867 59.013 5.753  
868 59.441 5.223  
869 59.518 5.156  
870 60.157 4.933  
871 60.889 4.667  
872 60.952 4.597  
879 61.091 5.162  
892 61.062 5.025  
893 61.296 4.986  
894 61.477 5.002  
895 61.534 5.149  
897 61.560 4.929  
899 61.024 4.789  
900 62.052 5.042  
905 59.603 5.053  
906 61.922 4.993 Gjentatt
908 61.719 5.170  
909 61.718 5.111  
910 61.337 4.880  
913 61.314 4.999  
918 61.199 4.810  
923 61.040 4.959  
931 60.599 4.935  
935 60.168 5.381  
938 60.129 5.239  
940 59.829 5.708  
942 59.780 5.610  
944 59.729 5.509  
948 59.309 5.610  
950 59.162 5.461  
952 59.118 5.562  
955 58.701 5.468  
957 58.640 5.570  
958 58.641 5.538  
959 58.561 5.609  

8 - Anneks 2 Stasjoner og pigghåfangst 2024

Sernr Stasjon Dato Lat Lon Maks Dyp Ståtid St. Redskap Godkjent Pigghå Pigghå
          (m) (in) type     (n) (kg)
56001 515 05.09.2024 61.857 4.607 81 36 Fast Bunn Godkjent    
56002 513 05.09.2024 61.862 4.619 89 32 Fast Bunn Godkjent    
56003 708 05.09.2024 61.846 4.754 131 31 Fast Bunn Godkjent    
56004 706 05.09.2024 61.902 4.806 51 34 Fast Bunn Godkjent 1 1.5
56005 705 05.09.2024 61.907 4.876 41 32 Fast Bunn Godkjent 3 3.4
56006 906 05.09.2024 61.921 4.995 47 36 Fast Bunn Godkjent    
56007 704 05.09.2024 61.946 4.967 75 31 Fast Bunn Godkjent    
56008 508 05.09.2024 61.987 4.701 117 36 Fast Bunn Godkjent    
56009 509 05.09.2024 61.983 4.799 114 44 Fast Bunn Godkjent    
56010 702 05.09.2024 61.993 4.887 140 33 Fast Bunn Godkjent    
56011 701 06.09.2024 62.008 4.920 48 36 Fast Bunn Godkjent 1 1.4
56012 461 06.09.2024 62.071 4.992 81 34 Fast Bunn Godkjent    
56013 209 06.09.2024 62.109 4.840 122 36 Fast Bunn Godkjent    
56014 213 06.09.2024 62.198 4.796 118 42 Fast Bunn Godkjent    
56015 398 06.09.2024 62.223 5.175 38 26 Fast Bunn Godkjent    
56016 458 06.09.2024 62.212 5.319 81 37 Fast Bunn Godkjent    
56017 396 06.09.2024 62.391 5.427 106 33 Fast Bunn Godkjent    
56018 200 06.09.2024 62.441 5.413 99 37 Fast Bunn Godkjent    
56019 395 06.09.2024 62.456 5.593 84 31 Fast Bunn Godkjent 31 65
56020 393 06.09.2024 62.479 5.656 52 32 Fast Bunn Godkjent 68 188.8
56021 195 06.09.2024 62.542 5.608 63 38 Fast Bunn Godkjent 31 58.9
56022 187 06.09.2024 62.701 5.640 85 40 Fast Bunn Godkjent    
56023 400 06.09.2024 62.628 5.891 62 32 Fast Bunn Godkjent 36 103.6
56024 391 07.09.2024 62.596 5.952 35 37 Fast Bunn Ikke godkjent 1 3.8
56025 391 07.09.2024 62.594 5.951 34 33 Fast Bunn Godkjent 22 84.8
56026 392 07.09.2024 62.549 5.923 26 31 Fast Bunn Godkjent 15 57.6
56027 456 07.09.2024 62.498 6.149 63 36 Fast Bunn Godkjent    
56028 387 07.09.2024 62.739 6.164 72 38 Fast Bunn Godkjent 12 41.2
56029 385 07.09.2024 62.852 6.452 48 33 Fast Bunn Godkjent 4 18.6
56030 384 07.09.2024 62.878 6.514 68 31 Fast Bunn Godkjent 4 13.9
56031 401 07.09.2024 62.896 6.515 77 33 Fast Bunn Godkjent 14 32.7
56032 163 07.09.2024 63.087 6.762 64 32 Fast Bunn Godkjent    
56033 375 07.09.2024 63.139 7.192 90 38 Fast Bunn Godkjent    
56034 371 07.09.2024 63.183 7.293 59 33 Fast Bunn Godkjent    
56035 153 08.09.2024 63.295 7.076 132 33 Fast Bunn Godkjent    
56036 365 08.09.2024 63.338 7.690 45 31 Fast Bunn Godkjent 13 34.6
56037 363 08.09.2024 63.388 7.658 81 35 Fast Bunn Godkjent 14 24.6
56038 360 08.09.2024 63.502 7.913 96 38 Fast Bunn Godkjent    
56039   08.09.2024 63.573 7.809 213 34 Ekstra Pelagisk Godkjent    
56040   08.09.2024 63.634 7.754 291 42 Ekstra Pelagisk Godkjent    
56041   08.09.2024 63.695 7.705 277 30 Ekstra Pelagisk Godkjent    
56042   08.09.2024 63.760 7.640 188 31 Ekstra Pelagisk Godkjent    
56043   08.09.2024 63.822 7.577 194 28 Ekstra Pelagisk Godkjent    
56044   08.09.2024 63.876 7.532 235 37 Ekstra Pelagisk Godkjent    
56045   08.09.2024 63.940 7.476 242 30 Ekstra Pelagisk Godkjent    
56046   08.09.2024 64.000 7.419 261 32 Ekstra Pelagisk Godkjent    
56047 334 08.09.2024 63.880 8.382 32 39 Fast Bunn Godkjent 59 100.1
56048 125 09.09.2024 64.173 8.970 92 33 Fast Bunn Godkjent    
56049 220 09.09.2024 64.179 9.341 83 35 Fast Bunn Godkjent    
56050 219 09.09.2024 64.250 10.001 33 36 Fast Bunn Godkjent    
56051 317 09.09.2024 64.288 10.154 37 36 Fast Bunn Godkjent    
56052 316 09.09.2024 64.317 10.206 93 34 Fast Bunn Godkjent    
56053 311 09.09.2024 64.691 10.578 58 33 Fast Bunn Godkjent 5 10.4
56054 310 09.09.2024 64.752 10.610 32 29 Fast Bunn Godkjent    
56055 309 09.09.2024 64.776 10.477 37 29 Fast Bunn Godkjent    
56056 308 09.09.2024 64.897 10.481 26 32 Fast Bunn Godkjent 1 3.2
56057 304 09.09.2024 65.058 10.680 77 35 Fast Bunn Godkjent    
56058 303 09.09.2024 65.062 10.731 119 32 Fast Bunn Godkjent    
56059 305 09.09.2024 65.041 10.847 93 40 Fast Bunn Godkjent    
56060 302 09.09.2024 65.131 10.838 94 34 Fast Bunn Godkjent    
56061 301 10.09.2024 65.171 11.391 32 31 Fast Bunn Godkjent    
56062 306 10.09.2024 65.030 11.389 38 34 Fast Bunn Godkjent    
56063 221 10.09.2024 64.730 11.038 80 32 Fast Bunn Godkjent    
56064 215 10.09.2024 64.711 10.991 64 41 Fast Bunn Godkjent    
56065 217 10.09.2024 64.782 11.742 90 34 Fast Bunn Godkjent    
56066 218 10.09.2024 64.604 11.333 31 32 Fast Bunn Godkjent    
56067 216 10.09.2024 64.488 10.537 65 37 Fast Bunn Godkjent    
56068 324 11.09.2024 64.125 10.010 55 34 Fast Bunn Godkjent    
56069 408 11.09.2024 64.113 9.875 64 32 Fast Bunn Godkjent    
56070 329 11.09.2024 63.982 9.806 81 35 Fast Bunn Godkjent    
56071 331 11.09.2024 63.966 9.945 94 33 Fast Bunn Godkjent    
56072 328 11.09.2024 63.997 9.620 76 31 Fast Bunn Godkjent    
56073 330 11.09.2024 63.970 9.675 35 39 Fast Bunn Godkjent    
56074 335 11.09.2024 63.868 9.486 119 32 Fast Bunn Godkjent    
56075 337 11.09.2024 63.844 9.456 76 34 Fast Bunn Godkjent    
56076 338 11.09.2024 63.838 9.574 51 33 Fast Bunn Godkjent    
56077 347 11.09.2024 63.698 9.354 73 111 Fast Bunn Ikke godkjent 1 1.8
56078 339 11.09.2024 63.817 8.511 72 37 Fast Bunn Godkjent 1 5.6
56079 340 11.09.2024 63.811 8.836 63 33 Fast Bunn Godkjent    
56080 348 12.09.2024 63.690 8.904 91 32 Fast Bunn Godkjent    
56081 351 12.09.2024 63.670 8.689 96 32 Fast Bunn Godkjent    
56082 350 12.09.2024 63.682 8.838 40 35 Fast Bunn Godkjent    
56083 444 12.09.2024 63.600 9.225 139 38 Fast Bunn Godkjent    
56084 445 12.09.2024 63.590 9.242 63 40 Fast Bunn Godkjent    
56085 446 12.09.2024 63.530 9.294 45 36 Fast Bunn Godkjent    
56086 356 12.09.2024 63.542 8.259 68 28 Fast Bunn Godkjent    
56087 362 12.09.2024 63.445 8.239 53 37 Fast Bunn Godkjent    
56088 364 12.09.2024 63.349 8.303 99 38 Fast Bunn Godkjent    
56089 366 12.09.2024 63.338 8.319 130 42 Fast Bunn Ikke godkjent  
56090 367 13.09.2024 63.282 8.226 145 34 Fast Bunn Godkjent    
56091 370 13.09.2024 63.243 8.245 60 31 Fast Bunn Godkjent    
56092 447 13.09.2024 63.269 8.009 14 37 Fast Bunn Godkjent    
56093 372 13.09.2024 63.176 7.619 43 36 Fast Bunn Godkjent 1 4.9
56094 373 13.09.2024 63.167 7.801 77 30 Fast Bunn Godkjent    
56095 374 13.09.2024 63.143 7.925 100 33 Fast Bunn Godkjent    
56096 379 13.09.2024 62.984 7.782 79 42 Fast Bunn Godkjent    
56097 378 13.09.2024 62.987 7.728 83 34 Fast Bunn Godkjent    
56098 383 13.09.2024 62.885 6.897 147 39 Fast Bunn Godkjent    
56099 386 13.09.2024 62.816 6.988 136 34 Fast Bunn Godkjent    
56100 451 13.09.2024 62.766 6.868 51 34 Fast Bunn Godkjent    
56101 452 13.09.2024 62.711 7.069 114 34 Fast Bunn Godkjent    
56102 455 14.09.2024 62.630 6.869 131 35 Fast Bunn Godkjent    
56103 390 14.09.2024 62.632 6.892 89 33 Fast Bunn Godkjent    
56104 388 14.09.2024 62.735 6.350 27 36 Fast Bunn Godkjent 5 28
56105 450 14.09.2024 62.824 6.795 15 38 Fast Bunn Godkjent    
56106 453 14.09.2024 62.698 6.657 56 33 Fast Bunn Godkjent    
56107 460 15.09.2024 62.097 5.454 65 36 Fast Bunn Godkjent    
56108 462 15.09.2024 62.058 5.140 154 33 Fast Bunn Godkjent    
56109 463 15.09.2024 62.049 5.020 58 32 Fast Bunn Godkjent    
56110 900 15.09.2024 62.051 5.040 80 30 Fast Bunn Godkjent    
56111 399 15.09.2024 62.090 5.224 70 35 Fast Bunn Godkjent    
56112 908 15.09.2024 61.719 5.170 34 31 Fast Bunn Godkjent    
56113 909 15.09.2024 61.718 5.111 35 35 Fast Bunn Godkjent    
56114 712 15.09.2024 61.753 4.910 128 39 Fast Bunn Godkjent    
56115 718 15.09.2024 61.651 4.762 41 31 Fast Bunn Godkjent 2 5.5
56116 717 15.09.2024 61.652 4.702 51 36 Fast Bunn Godkjent 52 76.2
56117 715 15.09.2024 61.728 4.680 55 35 Fast Bunn Godkjent 2 2.9
56118 523 16.09.2024 61.751 4.562 77 36 Fast Bunn Godkjent 1 1.7
56119 713 16.09.2024 61.747 4.724 48 34 Fast Bunn Godkjent 1 1
56120 710 16.09.2024 61.815 4.871 33 33 Fast Bunn Godkjent    
56121 709 16.09.2024 61.821 4.883 34 33 Fast Bunn Godkjent    
56122 529 16.09.2024 61.682 4.592 151 36 Fast Bunn Godkjent    
56123 530 16.09.2024 61.672 4.570 57 36 Fast Bunn Godkjent 13 21.1
56124 533 16.09.2024 61.615 4.457 129 36 Fast Bunn Godkjent    
56125 719 16.09.2024 61.628 4.648 106 41 Fast Bunn Godkjent 1 1.5
56126 536 16.09.2024 61.579 4.547 85 42 Fast Bunn Godkjent 3 5.1
56127 721 17.09.2024 61.528 4.611 64 35 Fast Bunn Godkjent 33 51.4
56128 726 17.09.2024 61.484 4.700 42 32 Fast Bunn Godkjent 5 7.2
56129 724 17.09.2024 61.507 4.745 54 34 Fast Bunn Godkjent 14 23.6
56130 723 17.09.2024 61.519 4.738 58 33 Fast Bunn Godkjent 16 26.9
56131 725 17.09.2024 61.498 4.898 51 34 Fast Bunn Godkjent    
56132 732 17.09.2024 61.421 4.565 83 30 Fast Bunn Godkjent 5 7.6
56133 733 17.09.2024 61.415 4.729 60 39 Fast Bunn Godkjent 7 7.9
56134 852 17.09.2024 61.421 4.795 54 34 Fast Bunn Godkjent 11 33.8
56135 736 17.09.2024 61.361 4.783 116 40 Fast Bunn Godkjent 1 2.9
56136 734 17.09.2024 61.385 4.668 94 35 Fast Bunn Godkjent 5 8
56137 737 17.09.2024 61.329 4.586 42 36 Fast Bunn Godkjent 20 27.7
56138 741 17.09.2024 61.266 4.595 102 38 Fast Bunn Godkjent    
56139 747 17.09.2024 61.108 4.613 177 37 Fast Bunn Godkjent 8 22.3
56140 755 17.09.2024 61.015 4.511 60 37 Fast Bunn Godkjent 37 78.1
56141 751 18.09.2024 61.027 4.606 56 33 Fast Bunn Godkjent 2 3.5
56142 872 18.09.2024 60.953 4.595 80 34 Fast Bunn Godkjent 5 8.4
56143 758 18.09.2024 60.922 4.568 143 32 Fast Bunn Godkjent    
56144 766 18.09.2024 60.761 4.750 64 34 Fast Bunn Godkjent 1 2.4
56145 768 18.09.2024 60.724 4.675 118 34 Fast Bunn Godkjent    
56146 544 18.09.2024 60.716 4.661 95 37 Fast Bunn Godkjent    
56147 769 18.09.2024 60.660 4.720 70 35 Fast Bunn Godkjent    
56148 545 18.09.2024 60.588 4.737 112 33 Fast Bunn Godkjent    
56149 774 18.09.2024 60.511 4.815 90 31 Fast Bunn Godkjent    
56150 776 18.09.2024 60.464 4.822 130 31 Fast Bunn Godkjent    
56151 778 18.09.2024 60.431 4.902 119 35 Fast Bunn Godkjent    
56152 782 18.09.2024 60.411 4.880 88 39 Fast Bunn Godkjent    
56153 783 18.09.2024 60.335 4.863 51 36 Fast Bunn Godkjent    
56154 784 18.09.2024 60.275 4.918 77 37 Fast Bunn Godkjent    
56155 785 18.09.2024 60.216 4.976 66 30 Fast Bunn Godkjent    
56156 786 19.09.2024 60.191 4.937 116 34 Fast Bunn Godkjent    
56157 870 19.09.2024 60.156 4.933 133 35 Fast Bunn Godkjent 1 1.3
56158 790 19.09.2024 60.110 5.056 58 34 Fast Bunn Godkjent    
56159 793 19.09.2024 60.073 5.099 122 36 Fast Bunn Godkjent    
56160 559 19.09.2024 59.833 4.980 107 41 Fast Bunn Godkjent    
56161 564 19.09.2024 59.769 5.007 137 32 Fast Bunn Godkjent    
56162 565 20.09.2024 59.728 4.992 101 34 Fast Bunn Godkjent    
56163 850 20.09.2024 59.724 5.017 83 34 Fast Bunn Godkjent 1 1.2
56164 802 20.09.2024 59.728 5.104 71 33 Fast Bunn Godkjent    
56165 803 20.09.2024 59.718 5.151 94 30 Fast Bunn Godkjent    
56166 861 20.09.2024 59.607 5.065 94 35 Fast Bunn Godkjent 7 8.1
56167 905 20.09.2024 59.603 5.052 98 36 Fast Bunn Godkjent 4 5.3
56168 869 20.09.2024 59.518 5.155 57 34 Fast Bunn Godkjent 90 205.3
56169 808 20.09.2024 59.496 5.094 97 36 Fast Bunn Godkjent 29 43.3
56170 810 20.09.2024 59.486 5.022 96 33 Fast Bunn Godkjent    
56171 813 20.09.2024 59.423 5.061 71 33 Fast Bunn Godkjent    
56172 817 20.09.2024 59.369 5.116 101 36 Fast Bunn Godkjent    
56173 823 20.09.2024 59.312 5.156 54 35 Fast Bunn Godkjent    
56174 822 20.09.2024 59.307 5.159 36 35 Fast Bunn Godkjent    
56175 820 20.09.2024 59.329 5.048 120 33 Fast Bunn Godkjent 1 1.3
56176 816 20.09.2024 59.366 4.956 114 39 Fast Bunn Godkjent    
56177 815 20.09.2024 59.405 4.935 113 33 Fast Bunn Godkjent    
56178 576 21.09.2024 59.443 4.947 140 32 Fast Bunn Godkjent 1 2
56179 819 21.09.2024 59.341 4.901 116 32 Fast Bunn Godkjent    
56180 821 21.09.2024 59.320 4.985 146 36 Fast Bunn Godkjent 1 2.3
56181 829 21.09.2024 59.269 5.090 51 29 Fast Bunn Godkjent    
56182 834 21.09.2024 59.226 5.160 22 34 Fast Bunn Godkjent    
56183 585 21.09.2024 59.137 5.150 112 33 Fast Bunn Godkjent 1 4.2
56184 596 21.09.2024 58.863 5.275 115 36 Fast Bunn Godkjent 6 7.3
56185 604 21.09.2024 58.761 5.380 59 35 Fast Bunn Godkjent 62 82.9
56186 955 21.09.2024 58.701 5.468 48 32 Fast Bunn Godkjent 63 72.1
56187 958 21.09.2024 58.640 5.540 52 38 Fast Bunn Godkjent 28 38.6
56188 957 21.09.2024 58.640 5.571 16 34 Fast Bunn Godkjent    
56189 959 21.09.2024 58.561 5.612 137 37 Fast Bunn Godkjent 6 9.5
56190 613 21.09.2024 58.551 5.620 113 35 Fast Bunn Godkjent 2 2.4
56191 614 22.09.2024 58.469 5.781 70 36 Fast Bunn Godkjent 52 79.7
56192 863 22.09.2024 58.496 5.753 35 32 Fast Bunn Godkjent 2 2.4
56193 849 22.09.2024 58.511 5.725 25 35 Fast Bunn Godkjent    
56194 848 22.09.2024 58.809 5.478 22 33 Fast Bunn Godkjent 32 54.8
56195   22.09.2024 58.897 5.403 91 37 Ekstra Pelagisk Godkjent 8 8.4
56196   22.09.2024 58.897 5.274 120 34 Ekstra Pelagisk Godkjent    
56197   22.09.2024 58.897 5.145 182 34 Ekstra Pelagisk Godkjent    
56198   22.09.2024 58.898 5.019 225 30 Ekstra Pelagisk Godkjent 2 3.4
56199   22.09.2024 58.898 4.891 242 33 Ekstra Pelagisk Godkjent    
56200   22.09.2024 58.897 4.761 254 32 Ekstra Pelagisk Godkjent    
56201   22.09.2024 58.896 4.633 243 28 Ekstra Pelagisk Godkjent    
56202   22.09.2024 58.894 4.512 242 29 Ekstra Pelagisk Godkjent    
56203 847 22.09.2024 58.877 5.469 41 33 Fast Bunn Godkjent 62 81.1
56204 846 22.09.2024 58.956 5.412 130 36 Fast Bunn Godkjent 20 30
56205 862 23.09.2024 59.052 5.372 114 33 Fast Bunn Godkjent 5 5.9
56206 841 23.09.2024 59.053 5.474 36 32 Fast Bunn Godkjent 6 12.4
56207 844 23.09.2024 59.006 5.541 71 33 Fast Bunn Godkjent 9 33.8
56208 842 23.09.2024 59.036 5.603 65 34 Fast Bunn Godkjent    
56209 867 23.09.2024 59.014 5.756 27 33 Fast Bunn Godkjent    
56210 866 23.09.2024 59.033 5.794 48 34 Fast Bunn Godkjent    
56211 843 23.09.2024 59.014 5.883 43 36 Fast Bunn Godkjent 1 1.2
56212 845 23.09.2024 59.005 5.963 98 32 Fast Bunn Godkjent    
56213 840 23.09.2024 59.055 5.800 65 34 Fast Bunn Godkjent    
56214 838 23.09.2024 59.135 5.791 84 38 Fast Bunn Godkjent 6 34
56215 835 23.09.2024 59.181 5.890 58 33 Fast Bunn Godkjent 6 11.8
56216 825 23.09.2024 59.287 5.842 85 35 Fast Bunn Godkjent    
56217 826 23.09.2024 59.281 5.768 89 31 Fast Bunn Godkjent    
56218 831 23.09.2024 59.249 5.760 85 36 Fast Bunn Godkjent 2 4.1
56219 865 23.09.2024 59.285 5.604 111 37 Fast Bunn Godkjent    
56220 948 23.09.2024 59.308 5.610 86 35 Fast Bunn Godkjent    
56221 836 24.09.2024 59.156 5.666 99 36 Fast Bunn Godkjent 33 63.1
56222 952 24.09.2024 59.119 5.562 51 33 Fast Bunn Godkjent 6 9.6
56223 950 24.09.2024 59.162 5.461 35 32 Fast Bunn Godkjent 3 8.3
56224 814 24.09.2024 59.414 5.196 68 41 Fast Bunn Godkjent 1 2
56225 868 24.09.2024 59.439 5.223 45 32 Fast Bunn Godkjent    
56226 812 24.09.2024 59.455 5.123 115 33 Fast Bunn Godkjent    
56227 804 24.09.2024 59.637 5.325 66 34 Fast Bunn Godkjent    
56228 944 24.09.2024 59.729 5.509 105 34 Fast Bunn Godkjent 21 31.3
56229 860 24.09.2024 59.732 5.620 80 35 Fast Bunn Godkjent 4 6.8
56230 942 24.09.2024 59.779 5.608 122 34 Fast Bunn Godkjent 26 53.5
56231 940 24.09.2024 59.829 5.702 35 33 Fast Bunn Godkjent    
56232 799 24.09.2024 59.885 5.647 57 35 Fast Bunn Godkjent 2 4.7
56233 795 25.09.2024 60.012 5.308 66 35 Fast Bunn Godkjent    
56234 792 25.09.2024 60.087 5.468 118 35 Fast Bunn Godkjent    
56235 935 25.09.2024 60.170 5.379 86 38 Fast Bunn Godkjent    
56236 938 25.09.2024 60.129 5.241 67 33 Fast Bunn Godkjent    
56237 859 25.09.2024 60.168 5.215 130 33 Fast Bunn Godkjent    
56238   25.09.2024 60.524 5.283 353 45 Ekstra Bunn Godkjent    
56239   25.09.2024 60.608 5.467   33 Ekstra Bunn Godkjent    
56240   25.09.2024 60.686 5.607 285 34 Ekstra Bunn Godkjent 2 3.1
56241   25.09.2024 60.760 5.714 62 33 Ekstra Bunn Godkjent    
56242   25.09.2024 60.734 5.676 234 33 Ekstra Bunn Godkjent    
56243   25.09.2024 60.633 5.584 380 40 Ekstra Bunn Godkjent 1 1
56244   26.09.2024 60.557 5.397 443 35 Ekstra Bunn Godkjent    
56245   26.09.2024 60.518 5.164 369 38 Ekstra Bunn Godkjent 5 8.1
56246 781 26.09.2024 60.419 5.094 113 40 Fast Bunn Godkjent    
56247 779 26.09.2024 60.439 5.122 130 30 Fast Bunn Godkjent    
56248 858 26.09.2024 60.472 5.028 55 34 Fast Bunn Godkjent    
56249 772 26.09.2024 60.575 4.879 121 32 Fast Bunn Godkjent    
56250 931 26.09.2024 60.599 4.934 76 34 Fast Bunn Godkjent    
56251 857 26.09.2024 60.677 4.884 100 34 Fast Bunn Godkjent    
56252 763 26.09.2024 60.826 4.713 122 34 Fast Bunn Godkjent    
56253 871 26.09.2024 60.890 4.666 118 48 Fast Bunn Godkjent    
56254 762 26.09.2024 60.841 4.882 70 34 Fast Bunn Godkjent    
56255 760 26.09.2024 60.874 4.810 37 38 Fast Bunn Godkjent    
56256 757 26.09.2024 60.930 4.755 110 37 Fast Bunn Godkjent 1 2.1
56257 756 26.09.2024 60.958 4.827 78 34 Fast Bunn Godkjent    
56258 855 27.09.2024 60.987 4.789 58 40 Fast Bunn Godkjent 1 1.7
56259 899 27.09.2024 61.020 4.789 101 33 Fast Bunn Godkjent 1 1.6
56260 745 27.09.2024 61.143 4.699 92 32 Fast Bunn Godkjent 13 20.9
56261 743 27.09.2024 61.188 4.771 33 34 Fast Bunn Godkjent 30 58.8
56262 918 27.09.2024 61.202 4.808 43 39 Fast Bunn Godkjent 3 4.6
56263 893 27.09.2024 61.296 4.984 144 35 Fast Bunn Godkjent    
56264 913 27.09.2024 61.315 4.993 22 36 Fast Bunn Godkjent    
56265 910 27.09.2024 61.340 4.878 44 32 Fast Bunn Godkjent    
56266 894 27.09.2024 61.478 5.003 75 35 Fast Bunn Godkjent    
56267 727 27.09.2024 61.481 5.199 61 36 Fast Bunn Godkjent    
56268 729 27.09.2024 61.476 5.017 100 35 Fast Bunn Godkjent    
56269 895 27.09.2024 61.534 5.147 83 31 Fast Bunn Godkjent    
56270 897 27.09.2024 61.561 4.929 82 31 Fast Bunn Godkjent    
56271 851 28.09.2024 61.618 4.966 55 37 Fast Bunn Godkjent 2 3.6
56272 716 28.09.2024 61.658 4.884 54 37 Fast Bunn Godkjent 3 3
56273   28.09.2024 61.694 4.925 38 32 Ekstra Bunn Godkjent 1 2.1
56274 720 28.09.2024 61.541 4.811 51 35 Fast Bunn Godkjent    
56275 923 28.09.2024 61.041 4.958 109 36 Fast Bunn Godkjent    
56276 754 28.09.2024 61.013 4.927 73 33 Fast Bunn Godkjent    
56277 892 28.09.2024 61.062 5.023 98 32 Fast Bunn Godkjent    
56278 879 28.09.2024 61.090 5.161 56 38 Fast Bunn Godkjent    
56279   28.09.2024 61.097 5.223 763 32 Ekstra Pelagisk Godkjent    
56280   28.09.2024 61.095 5.245 289 32 Ekstra Pelagisk Godkjent    
56281   28.09.2024 61.076 5.485 1249 40 Ekstra Pelagisk Godkjent    
56282   28.09.2024 61.087 5.543   40 Ekstra Pelagisk Godkjent    
56283   29.09.2024 61.139 5.642 390 37 Ekstra Pelagisk Godkjent    
56284   29.09.2024 61.131 5.786 699 39 Ekstra Pelagisk Godkjent    
56285   29.09.2024 61.126 5.862 776 32 Ekstra Pelagisk Godkjent    
56286   29.09.2024 61.142 5.858 1271 35 Ekstra Pelagisk Godkjent    
56287   29.09.2024 61.155 5.834 830 33 Ekstra Pelagisk Godkjent    
56288   29.09.2024 61.149 5.756 446 42 Ekstra Pelagisk Godkjent    
56289   29.09.2024 61.102 5.541 396 31 Ekstra Pelagisk Godkjent    
56290   29.09.2024 61.166 5.056 254 32 Ekstra Pelagisk Godkjent    
56291   29.09.2024 61.173 5.021 144 39 Ekstra Bunn Godkjent 8 37.8
56292   29.09.2024 61.157 5.017 96 35 Ekstra Bunn Godkjent    
56293 746 29.09.2024 61.142 4.681 42 32 Fast Bunn Godkjent 37 67.8
56294   29.09.2024 61.465 4.672 68 34 Ekstra Bunn Godkjent 2 3.2
56295   29.09.2024 61.515 4.811 60 39 Ekstra Pelagisk Godkjent 2 4.1
56296   30.09.2024 61.507 4.680 174 38 Ekstra Pelagisk Godkjent    
56297 851 30.09.2024 61.618 4.968 50 39 Gjentatt Bunn Godkjent 5 8.7
56298   30.09.2024 61.657 4.821 45 36 Ekstra Bunn Godkjent    
56299   30.09.2024 61.679 4.706 30 33 Ekstra Bunn Godkjent 13 18.8
56300   30.09.2024 61.679 4.662 38 34 Ekstra Bunn Godkjent 22 34.9
56301 906 30.09.2024 61.923 4.990 45 33 Gjentatt Bunn Godkjent 2 2.8
56302 704 30.09.2024 61.945 4.967 48 35 Gjentatt Bunn Godkjent 39 66.7
56303 702 30.09.2024 61.993 4.889 118 34 Gjentatt Bunn Godkjent 3 4.6
56304 509 30.09.2024 61.983 4.799 113 34 Gjentatt Bunn Godkjent 1 1.5
56305   01.10.2024 61.504 4.538 135 35 Ekstra Pelagisk Godkjent    
56306   01.10.2024 61.511 4.413 306 29 Ekstra Pelagisk Godkjent 3 3.6
56307   01.10.2024 61.509 4.258 306 36 Ekstra Pelagisk Godkjent    
56308   01.10.2024 61.509 4.115 330 34 Ekstra Pelagisk Godkjent 1 2.7
56309   01.10.2024 61.512 3.974 346 33 Ekstra Pelagisk Godkjent    
56310   01.10.2024 61.516 3.837 351 33 Ekstra Pelagisk Godkjent    
56311 710 01.10.2024 61.816 4.871 31 35 Gjentatt Bunn Godkjent 5 15
56312 708 01.10.2024 61.846 4.758 138 35 Gjentatt Bunn Godkjent 1 2.4
56313 513 01.10.2024 61.863 4.620 86 34 Gjentatt Bunn Godkjent 2 5.1
56314 209 01.10.2024 62.109 4.836 113 37 Gjentatt Bunn Godkjent    
56315 213 01.10.2024 62.197 4.794 127 35 Gjentatt Bunn Godkjent 1 2.2
56316 398 01.10.2024 62.223 5.176 36 36 Gjentatt Bunn Godkjent 22 38.9
56317 460 02.10.2024 62.098 5.456 51 32 Gjentatt Bunn Godkjent    
56318 399 02.10.2024 62.091 5.225 62 36 Gjentatt Bunn Godkjent    
56319 462 02.10.2024 62.059 5.139 134 36 Gjentatt Bunn Godkjent 1 3

9 - Anneks 3 Prøvetakingsmanualen

Tokt: Pigghåtokt med MS Skulebas

Periode: 05.09-2.10.24

Toktnummer: 2024 215001

Serienr: 56001-56500

Ny i 2024:

  • Transekter flyteline: Sognefjord hvis dårlig vær, ellers tar vi 3 transekter, 10 stasjoner utover.

  • Mageprøver: alle arter, 1 stasjon per døgn per HI ansatt (2 per døgn). Må være video fra stasjonen.

Pigghå

  • Lengde, individvekt, kjønn, spesialstadium, aldersprøver (2. pigg). Nb: når vi skal ta piggene ut, vi må kutte dypere etter at det er flere skadde pigg.

  • Sent gravide hunner (stadium 5 og 6):

    • Antall fostre

  • Genetikk (finneklipp i etanol). Antall prøver per statiske område:

    • 6+7 - Nord – mellom 65 N og 62 N (Rørvik til Maløy): 94 individer

    • 28 – Midt 1 – mellom 62 N og 61 N (Maløy til Sognfjord): 94 individer

    • 28 – Midt 2 – mellom 60.8 N og 60 N (Sognfjord til omtrent Storebø): 94 individer (bra hvis vi kan ta disse prøvene inn i Osterfjorden, helst etter brua. Kart i pc)

    • 8 - Sør – sør fra 60 N: 94 individer

  • Hvis vi får merket pigghå, lengdemål, kjønn, bildet av merket og «scar» og settes tilbake

Svarthå og hågjel

50 av hver art per statistisk område:

  • Spesialstadium

  • Ellers bare lengde, vekt og kjønn

Havmus

  • Sjekk at det kan være 2 arter (spesiell ID som er skrevet ut separat)

Storskate, svartskate, håbrann og håkjerring

  • Hvis død: Frys hele individet.

  • Hvis død og diger: Lengde, vekt, kjønn, spesialstudium, og prøver (rene hansker og spritvasket saks/kniv/pinsett!) : fryses separat i ziplockpose: mage, muskel (minst 30g), lever (minst 30g) og i etanol: vevsprøve + ta bilder.

  • Hvis levende: Ta bilder og slimhudprøve (frys i ziplock pose) og slipp ut igjen

    • Bilde av halen sett ovenfra (for å kunne telle antall pigger, hvis det er vanskelig å se på bildet av hele individ)

    • Bilde tatt av undersiden

Blålange

Lengde, vekt, kjønn, stadium, genetikk (alle individer), gonadeprøve på formalinglass (hunner, alle stadier).

Lange

Lengde, vekt, kjønn og stadium (generelle modningsbeskrivelsen)

Brosme

Lengde, vekt, kjønn og stadium (generelle modningsbeskrivelsen)

Peruer, vanlig uer

Lengde, vekt, kjønn, stadium, genetikk + bilde, eller fryses ned (bare peruer fryses ned).

Kveite

Lengde, vekt, kjønn, otolitter, stadium og genetikk.

Bifangst

All annen bifangst sorteres, lengdemåles og veies (+ kjønn for alle bruskfisker).

Prioritering hvis det blir travelt og noe skal kuttes

Prioritet: Alle pigghå skal opparbeides med lengde, individvekt, kjønn, spesialstadium og frysing av pigg.

Kutt nivå 1 (kuttes først)

Bifangst: kutte vekt på enkeltindivider, men ta totalvekt av hver art.

Andre arter: Dersom vi får mye av enkelte andre arter, kutt ekstra prøvetaking av disse.

Detaljerte instrukser

Pigghå: Aldersprøve (2. pigg)

Pigghå: Aldersprøve (2. pigg)

Lengdemåling av havmus

Lengdemåling av havmus

Genetisk prøvetaking

  1. Klipp en liten bit av halefinnen/ryggfinne (ca. 0,5 x 1 cm) og legg den i et forhåndsnummerert rør med sprit.

  2. Tørk godt av saksen og pinsetten med papir mellom hver prøve.

  3. Registrer nummeret på røret (=genetikknummer) i individdata/S2D.

  4. I tillegg noteres følgende på eskens lokk:

genetikk nummer + artsnavn + serienummer + individnr.

(Eksempel: rør 101-105: pigghå, ser 22101, ind.nr. 1-5)

 

Bilder av storskate – hele individ, avstand mellom ryggfinner
Bilder av storskate – hele individ, avstand mellom ryggfinner