Go to main content

Kvalitetskriterier for rensefisk og effekten av stamfiskerernæring.

— CleanLifeCycle

Author(s): Øystein Sæle , Reidun Bjelland (IMR), Katerina Kousoulaki (Nofima), Gerd Marit Berge (Nofima) and Ingrid Lein (Nofima)

Sammendrag

Prosjektet hadde som hovedmål å undersøke hvordan stamfiskernæring påvirker fekunditet hos morfisken og kvaliteten på avkommet. Dette skulle undersøkes hos de to rensefiskartene rognkjeks og berggylt, der rognkjeks ble gitt fôr med ulike fettnivå og berggylt ble gitt fôr med ulike nivå av fettsyren arakidonsyre. I rognkjeksforsøket var dødeligheten lavest i lavfett-gruppen, noe som kan ha sammenheng med at de kom sent i gyting. Leverindeksen var lavest hos fisk som fikk det magreste fôret. Hannene sluttet å vokse før hunnene, men var også gyteklare før hunnene. Hunnene i høyfett-gruppen startet gytingen før de to andre gruppene, og avsluttet også tidligere. Dette kan bety at gytestart til en viss grad kan styres med fôrsammensetning. Gonadeindeksen hos hunner på fôr med lavt fett økte først fram mot april, noe som har sammenheng med at de modnet senere enn de to andre behandlingene. Mengde rogn som ble produsert (strøket + gytt i kar) var lavere i gruppen på lavt fett, som trolig skyldes at de kom senere i gyting. Befruktnings- og klekkeprosenter fra forsøkene ved SINTEF Ocean tyder på at kvaliteten på rogna fra fisk på det magreste fôret kan ha bedre kvalitet enn ved de to andre behandlingene. Kvaliteten på rogna i forsøket var ofte dårlig, noe vi mener for en stor del skyldes at fisken gikk på for høy temperatur. Berggylt gyter små (0,75 ± 0,04 mm; gj. snitt ± standard avvik) demersale egg, og et relativt kort fritt embryo stadium der de lever på plommesekken. De må startfôres med små plankton dyr som rotatorier og skipsrur nauplier, og det er relativt høy dødelighet i disse stadiene. Basert på tidligere funn i ernæringsanalyser av rogn fra vill berggylt, bestemte vi oss for å undersøke om gyte- og eggkriterier kunne styrkes med økte mengder arakidonsyre (ARA) i fôret til stamfisken. For å muliggjøre dette studiet utviklet vi et mer robust system for å beregne mengden egg som blir gytt på gytesubstratene som oftest blir benyttet for å samle egg fra berggylt stamfisk. Vi fant liten effekt av ARA på fekunditet, befruktning og klekking. Allikevel var det høy ARA gruppen som produserte egg med tilnærmet lik ARA nivå som det som er funnet i gonadene til vill fisk. ARA hadde en effekt på eggstørrelsen, så vi har en hypotese om at dette kan være en fordel for larvene. Dessverre mistet vi tilgang på nødvendig infrastruktur for å gjennomføre startfôring av larvene p.g.a. Covid-19 relaterte komplikasjoner. Gitt at gonader fra vill fisk har optimale ARA nivå, vil vi anbefale ARA nivå i fôr opp mot 5,6 % av totalt lipid.

1 - Bakgrunn

Rensefisk er for lengst etablert som et godt kontrollerende tiltak mot lakselus. De første spede forsøk på bruk av leppefisk (gylter) fant sted på 70-tallet, men det var ikke før lakselusens resistens mot medikamentell behandling ble et problem at bruk av rensefisk for alvor skjøt fart. I 2018 ble det brukt ca. 36 mill. oppdrettet rognkjeks, ca. 1,5 mill. oppdrettet berggylt og fortsatt rundt 20 mill. villfanget leppefisk. Laksenæringen og forvaltningen i Norge er av den oppfatningen at vi bør fase ut bruk av villfanget rensefisk. For å få dette til trenger vi økt kunnskap om hvordan vi i oppdrett kan sikre god kvalitet fra stamfisk til fisk som skal settes i sjø. God stamfiskkvalitet blir gjerne målt på ernæringsstatus og deretter på eggkvalitet. I dag får stamfisken fôr som i stor grad er basert på behovsstudier fra andre arter som laks. Justeringer av fôrresepter er gjort ut ifra erfaringer og forskning på andre livsstadier, spesielt under påvekstfasen (Hamre et al., 2013). Erfaring fra andre arter har vist oss hvor viktig ernæring er i perioden hvor oppbygging av rogn skjer. I tillegg til ulike miljøparametere er innholdet i plommen i egget avgjørende for at en fiskelarve skal utvikles uten mangler og misdannelser. Sammensetningen av plommen er i stor grad forutbestemt av stamfiskfôrets sammensetning.

For mange fiskearter vil energistatus og kondisjon, spesielt i hunn-fisk, være avgjørende for gyteresultat. I tidligere forsøk med stamfisk kveite («Krafttak kveite») har vi sett at energinivå i fôr (varierende lipid i forhold til protein og karbohydrat) påvirker gyteresultatet. Det var klar trend mot at et midlere nivå av fett/energi ga best resultat, spesielt i form av flere og større eggbatcher i løpet av gyteperioden, og dermed større total mengde egg. Kjemisk innhold i egg var derimot ikke påvirket av ulike fôr, eggene hadde nøyaktig samme innhold av protein, energi og EPA+DHA, selv om det var stor forskjell på innhold i fôrene.

Rognkjeks er en opportunist i matfatet, og har god appetitt, uavhengig av størrelse og livsstadium. I oppdrett gir dette rask vekst, noe som ikke nødvendigvis er gunstig. For stamfisk er det spesielt viktig med kunnskap om optimal fôrsammensetning for produksjon av kvalitetsegg og -melke, som danner grunnlaget for produksjon av høykvalitets yngel.

Tidligere forsøk med fôrsammensetning til mindre rognkjeks (FHF-prosjekt #901331 CleanFeed) viste at høyt nivå av fett i fôr ga mer fettlagring i kroppen, spesielt i leveren. (tolket som positivt eller negativt?)

Målet med prosjektet var å undersøke hvordan sammensetning av fôr til stamfisk rognkjeks påvirker kroppssammensetning og eggproduksjon hos hunfisk, og videre befruktnings- og klekkesuksess.

I prosjektet hadde vi samarbeid med FHF-prosjekt #901235 STARTRENS som ledes av Andreas Hageman i SINTEF Ocean. To masterstudenter deltok i stryking av rogn på Sunndalsøra, og brukte dette i forsøk ved SINTEF og i sine masteroppgaver.

Det finnes etter hvert noe kunnskap om tidlige livsstadier hos berggylte der larvenes evne til fordøyelse av et bredt spekter av næringsstoffer og behov for levendefôr er beskrevet (Hansen et al., 2013) . I NFR prosjektet «noGuts» har vi også beskrevet berggyltas larvestadier sammen med 3d beskrivelser av fordøyelsessystemets ontogeni (Sæle et al., in prep) og dens tarmfunksjon er beskrevet i detalj (Etayo et al., 2021; Le et al., 2021, 2019a, 2019b) .

Det er gjort få fôringsforsøk med stamfisk, noe som i hovedsak skyldes at slike forsøk er svært ressurskrevende for de fleste arter. Slike forsøk bør strekke seg fra stamfisken bygger gonader til larvene har begynt å spise selv, og aller helst tørrfôr. Vi snakker derfor om tidkrevende forskning der mye dessverre kan gå galt underveis. For å få en smart start på ernæringsforskning på dette livsstadiet, har (Hamre et al., 2013) analysert og sammenlignet nærings-sammensetningen i rogn fra villfanget berggylt med rogn fra oppfôret villfisk. Samme typer analyser ble gjort på rognkjeks i FHF prosjektet «Stamfiskhold av rognkjeks» (FHF-prosjekt nr. 900977).

1.1 - Prosjektorganisering og omfang

Prosjektet er ledet av HI som har hatt det administrative ansvaret overfor FHF. Det har vært et tett samarbeid mellom partnere på tvers av ansvarsområder og arbeidspakker, da spesielt AP1 mot AP2 og AP3.

På oppfordring fra FHF har vi hatt dialog med SINTEF Ocean gjennom FHF-prosjektet #901235 STARTRENS. Intensjonen var å forsyne STARTRENS med egg fra AP2 og AP3. Dette samarbeidet var mer fruktbart med AP2 (rognkjeks) der de hadde egg tilgjengelig i mars. Når berggylten produserte gode batcher med egg senere på våren stengte dessverre SINTEF ned sine laboratorier pga Covid-19. I AP3 hadde vi derfor ikke utveksling av materiale.

Prosjektet startet i 2019, og avsluttes i 2021. Det var ambisiøst å jobbe med stamfisk ernæring på to arter i en tidsramme på to år. Det så lenge ut til at det skulle gå etter planen, men delvis nedstenging på grunn av Covid 19 utbrudd, gjorde at vi ikke kom i mål med alt, og da spesielt larveforsøkene med berggylt.

Prosjektet hadde en finansiell ramme på 7 mill NOK og var i sin helhet finansiert av FHF.

1.2 - Nøkkelkompetanse, ansvar og roller til personer i prosjektgruppen:

HI:

Øystein Sæle: Fiskeernæring

Reidun Bjelland: Oppdrett berggylt

Ruben Sætre: Master student fiskehelse & ernæring

Nofima:

Katerina Kousoulaki: Fiskeernæring, marin fisk og laksefisk

Ingrid Lein: Oppdrett av marin yngel, inkludert rensefisk

Gerd Marit Berge: Fiskeernæring, marin fisk og laksefisk,

1.3 - Referansegruppe

Nina Ivarsen, Namdal Rensefisk

Henriette Glosvik, Mowi

Claudia Witter, Arctic Cleanerfish

Kjetil Heggen og Jørgen Økland, Lerøy

2 - Problemstilling og formål

Utfordringene for de to artene rensefisk vi har i oppdrett er ulike. Berggylt er en art som er kresen på fôr, og analyser av rogn fra vill og oppdrettet stamfisk viser at rogn fra oppdrettet berggylt har lavere innhold av en rekke næringsstoffer som f.eks. fettsyren arakidonsyre (ARA) enn i rogn fra villfanget fisk (Hamre et al., 2013). Dette kan tyde på at det enten er mangel på disse stoffene i stamfiskfôret eller lavt fôrinntak. Det var derfor viktig å undersøke både fôrsammensetning i forhold til ARA og smakelighet i fôret. Det siste har ofte sammenheng med valg av fôrråstoffer til berggylt.

Rognkjeks ser derimot er ikke krevende når det gjelder smakelighet, og vokser svært raskt. Det er mistanke om at fôr til rognkjeks er for energirikt for stamfiskrekrutter og stamfisk. Det er observert at oppdrettet rognkjeks produserer svært store mengder rogn, og ikke klarer å gi fra seg rogna (Pers. med. Peter Hovgaard). For rognkjeks er det derfor naturlig å undersøke hvordan energinivået i fôret påvirker gyteresultatet, både i form av fekunditet og rognkvalitet.

Det er et mål å bruke oppdrettet stamfisk for produksjon av både rognkjeks og berggylt. For å oppnå en god rognproduksjon er det en forutsetning at stamfiskrekrutter og stamfisk tilbys et fôr som dekker næringsbehovet, og som for berggyltens del er smakelig nok til at den vil spise tilstrekkelig. Vekstfôr er ikke nødvendigvis optimalt for oppbygging av gonader. De t er derfor nødvendig med kunnskap om næringsbehov hos stamfisk. Prosjektet vil gi næringen nødvendig informasjon om hvordan fôret påvirker gyteresultat og larvekvalitet, og informasjon om hvordan stamfiskfôr til disse to ulike artene bør formuleres.

2.1 - Hovedmål

Fremskaffe kunnskap om hvordan stamfiskfôr påvirker fekunditet hos stamfisk og kvalitet på avkom hos berggylt og rognkjeks.

• Delmål

Produksjon av stamfiskfôr basert på næringsstoffanalyser

Fekunditet, klekkeprosent og morfologi som kvalitetsmål på stamfisk og dens ernæring for rognkjeks og berggylt

2.2 - Resultatmål

Prosjektet har som mål å styrke kunnskapen om ernæringsfaktorer som kan forbedre helse og yteevne hos stamfisk for både rognkjeks og berggylt. Vi presenterer her effekten av mengden energi i for av lipid i stamfiskfôr til rognkjeks har på gytekriterier. Vi viser at mye energi i fôrene starter gytesesongen tidligere enn om fisken får lite energi. Samtidig er lavenergifôret gunstig for rognkvalitet. For berggylt stamfisk viser vi at andelen arakedonsyre i fôret ikke har effekt på fekunditet, befruktning eller klekking, men på størrelsen på eggene. Vi trenger å følge opp om eggstørrelsen er viktig for larvenes overlevelse.

Det har kommet en del nye startfôringsløsninger på markedet i de siste årene. Vi presenterer her analyser av vitaminer og mineraler i nauplier av rur og har sammenlignet dem med innhold av vitaminer og mineraler i anrikede rotatorier og Artemia. Dette kan hjelpe næringen å evaluere hva disse fôralternativene kan bety for deres larvelinje.

3 - Prosjektgjennomføring

3.1 - AP1 Produksjon av stamfiskfôr basert på næringsstoffanalyser

3.1.1 - Rognkjeksfôr

Fôrene ble produsert ved Nofima sitt fôrteknologisenter i Bergen. Fôrene var ekstrudert (Tabell 1) og inneholdt de samme råvarene, men hadde ulike nivå av fett og karbohydrat som ble balansert ved utveksling av fiskeolje med hvete (Figur 1). Kjemisk innhold i forsøksfôrene er vist i Tabell 1.

 

Figur 1: Formulering av stamfiskfôr til rognkjeksforsøk. Tilsetningsstoff: vitaminpremiks, NaH2PO4, mineralpremiks, lysin, choline chloride, kolesterol, gjærekstrakt (Biomoss), vitamin C, taurin, astaxantin og yttrium oksid.
Figure 1: Formulering av stamfiskfôr til rognkjeksforsøk. Tilsetningsstoff: vitaminpremiks, NaH 2 PO 4 , mineralpremiks, lysin, choline chloride, kolesterol, gjærekstrakt (Biomoss), vitamin C, taurin, astaxantin og yttrium oksid.

 

Tabell 1: (Kald)-Ekstruderingsbetingelser for de tre berggyltstamfiskfôrene.

  Lav ARA Medium ARA Høy ARA
Mater      
hastighet rpm 54 54 54
DDC      
hastighet rpm 220 220 220
damp kg/t 11,6 10,2 10
Vann (kg/min) 0,16 0,18 0,19
Temperatur nedløp Cº 74-72 71 69
Ekstruderinformasjon      
Dyseåpning mm 4 4 3,5
Knivhastighet rpm 1500 1646 1425
Motorlast kW 9,4 7 10,2
Damp kg/t 0 0 0
Vann kg/min 0,415-0,45 0,48 0,46
Temperatur (Cº) sone innstilt reell innstilt reell innstilt reell
Hode nr. 2 83 71-70   68 83 64
Hode nr. 3 100 89   88 90 83
Hode nr. 4 110 88-91   88 90 77
Hode nr. 7 60 66   60 60 65
Dyse 82-85 74 86
Trykk      
Hode nr. 5 (bar) 11 3 14
Hode nr. 7 (bar) 12 6 16
Produkt etter ekstruder      
Tetthet g/l 545 590-580 575-560-570-580
Pelletstørrelse mm 5,2 x 6,3-5,8 4,9 x 6 4,9 x 6
Synkefart s/m 11 09-Oct 10-Nov
Pelletkonsistens Fin, god struktur, lite nettverk Fin, god struktur, løs Seig, OK, fin

Tabell 2. Kjemisk innhold i de tre rognkjeksfôrene.

  Høyt fett Medium Lavt fett
Tørrstoff 93,2 92 89,4
Fett 18,1 13,8 7,5
Karbohydrat 9,5 14,6 18,3
Protein 57,3 55,3 55,3
Aske 8,4 8,3 8,2
Energi, MJ/kg 22,2 20,9 19,9

3.1.2 - Berggyltfôr

Berggyltfôret er basert på sammensetning beskrevet i Kousoulaki et al. (2021). Fôret er kaldekstrudert (Tabell 3) med 63 % protein, 14 % fett, 9 % karbohydrater og 14 % aske. ARA oljen ble skaffet av G.O. AS (Oslo, Norge) og EPA olje av EPAX-Pelagia, (Ålesund, Norge). Hovedingrediensene var 37 % torskemuskel, 28 % rekemel, 8 % krill hydrolysat, 13 % bindemiddel og 14 % øvrige tilsetninger (Figur 2). Analyserte fettsyreprofiler er gitt i tabell 4.

 

Figur 1: Formulering av stamfiskfôr til rognkjeksforsøk. Tilsetningsstoff: vitaminpremiks, NaH2PO4, mineralpremiks, lysin, choline chloride, kolesterol, gjærekstrakt (Biomoss), vitamin C, taurin, astaxantin og yttrium oksid.
Figure 2: Formulering av stamfiskfôr til berggyltforsøk. Tilsetningsstoff: vitaminpremiks, NaH 2 PO 4 , mineralpremiks, choline chloride, gjærekstrakt (Biomoss), vitamin C, taurin, astaxantin og yttrium oksid.

 

Tabell 3: (Kald)-Ekstruderingsbetingelser for de tre berggyltstamfiskfôrene.

  Lav ARA Medium ARA Høy ARA
Mater      
hastighet rpm 39 39 39
DDC      
hastighet rpm 220 220 220
damp kg/t 8,7 8,8 8,8
Vann (kg/min) 0,25 0,25 0,25
Temperatur nedløp Cº 69,9 75,2 74,4
Ekstruderinformasjon      
Dyseåpning mm 8,0/6,0 6 6
Knivhastighet rpm 250/160 160 160
Motorlast kW 3,2 4 4,1
Damp kg/t 0 0 0
Vann kg/min 0,85 0,5 0,5
Temperatur (Cº) sone innstilt reell innstilt reell innstilt reell
Hode nr. 2 82 61 82 66 82 65,3
Hode nr. 3 40 40 40 38 40 41
Hode nr. 4 50 50 50 50 50 50
Hode nr. 5 50 50 50 50 50 50
Hode nr. 6 - 56 - 56 - 56
Hode nr. 7 41,3 49,8 41,3 54,8 41,3 55
Dyse 60 75 70
Trykk      
Hode nr. 5 (bar) 6,2 7,5 7
Hode nr. 7 (bar) 5 6,4 6,9
Produkt etter ekstruder      
Tetthet g/l 480 457-470 475
Pelletstørrelse mm 6,8 6,8-6,9 6,8
Synkefart s/m 16-17 14-15 15
Pelletkonsistens Dårlig binding Dårlig binding Dårlig binding

Tabell 4: Fettsyreprofil i de tre berggyltfôrene. Fettsyrene som i hovedsak varierer mellom fôrene er ARA og alfa linolensyre.

Fettsyre (% av totalfett) Lav ARA Medium ARA Høy ARA
06:00 <0.1 <0.1 <0.1
08:00 <0.1 <0.1 <0.1
10:00 <0.1 <0.1 <0.1
12:00 0,1 0,1 0,1
14:00 3,5 3,7 3,5
14:1n-9 <0.1 <0.1 <0.1
15:00 0,2 0,2 0,2
16:00 14,1 15,6 14,6
16:1n-9 0,2 0,2 0,2
16:1n-7 5 5,5 5,1
17:00 0,5 0,6 0,5
16:2n-4 0,6 0,6 0,6
18:00 2,3 2,7 2,8
16:3n-3 <0.1 <0.1 <0.1
18:1n-11 <0.1 0,1 0,1
18:1n-9 12 13,3 11,9
18:1n-7 4 4,4 4
16:4n-3 <0.1 <0.1 <0.1
18:2n-6 11,3 11,5 10,4
18:3n-6 <0.1 0,1 0,3
20:00 <0.1 <0.1 <0.1
18:3n-3 6,5 5,2 1,3
20:1n-11 0,1 <0.1 <0.1
20:1n-9 1,2 1,3 1,1
20:1n-7 0,4 0,5 0,5
18:4n-3 1,3 1,1 1,3
20:2n-6 0,2 0,2 0,2
20:3n-9 <0.1 <0.1 <0.1
20:3n-6 0,1 0,2 0,4
22:00 <0.1 <0.1 0,2
20:3n-3 <0.1 <0.1 <0.1
20:4n-6 (ARA) 1,7 2,3 5,6
22:1n-11 1 1 0,9
22:1n-9 0,6 0,6 0,5
20:4n-3 0,5 0,5 0,6
20:5n-3 (EPA) 19,4 16,5 19,6
24:00:00 <0.1 <0.1 <0.1
22:4n-6 <0.1 <0.1 <0.1
21:5n-3 0,5 0,4 0,5
24:1n-9 <0.1 <0.1 <0.1
22:5n-6 0,1 <0.1 <0.1
22:5n-3 (DPA) 0,7 0,6 0,7
22:6n-3 (DHA) 9,3 8 9,6
24:5n-3 <0.1 <0.1 <0.1
24:6n-3 <0.1 <0.1 <0.1
Sum uidentifiserte 2 2,4 2,1
Sum identifiserte 98 97,6 97,9
Sum fettsyrer 100 100 100
Sum mettet 20,7 23 21,9
Sum 16:1 5,2 5,7 5,3
Sum 18:1 16,1 17,8 16
Sum 20:1 1,8 1,8 1,6
Sum 22:1 1,5 1,5 1,4
Sum en-umettet 24,7 27 24,4
Sum EPA + DHA 28,7 24,5 29,2
Sum n-3 38,1 32,3 33,6
Sum n-6 13,4 14,4 17
Sum flerumettet 52,1 47,3 51,1
n-3/n-6 2,9 2,2 2
n-6/n-3 0,4 0,4 0,5

3.2 - AP2 Rognkjeks

Fisk og forsøk

Fisken som ble brukt i forsøket ble klekket hos Lumarine på Tustna i april 2018, og var klekket fra rogn fra villfanget stamfisk. Fisken kom til Nofima på Sunndalsøra september 2018. Overskuddsfisk som ikke ble benyttet i forsøk i 2018 ble holdt videre som stamfiskrekrutter. De gikk samlet i 4 m 2 kar på råvann fram til juli 2019.

Oppstart av forsøk:

Den 18-19. juli 2019 ble totalt 240 hunner og 120 hanner veid, målt, kjønnsbestemt med ultralyd, og individmerket med PIT-tag før de ble fordelt i tre forsøkskar med henholdsvis 80 hunner og 40 hanner per kar.

Det ble tatt ut prøver av restfisk for kjemisk analyse, 3 samleprøver med 4 fisk i hver. Lever ble analysert separat. Gjennomsnittsvekt for prøvefisk var 476 gram.

I forbindelse med fordeling av fisk ved oppstart av forsøket kollapset ultralydutstyret, og en stor andel av fisken ble derfor kjønnsbestemt basert på ytre kjennetegn. På grunn av usikkerheten rundt kjønnsbestemmelsen ble det tilført 20 ekstra fisk til hvert kar 12. august.

Fôring med forsøksfôr startet 23. juli 2019.

Ultralyd og kjønnsbestemmelse

18.-19. november hadde vi en ny gjennomgang av all forsøksfisk med ultralyd i samarbeid med AquaGen for å få en sikker kjønnsbestemmelse og fordeling av fisk. I samme operasjon ble antall fisk i hvert kar redusert til ca. 100 fisk.

Etter gjennomgangen var fordelingen slik:

Kar 1=4 (Høyfett): 73 hunfisk + 24 hanfisk

Kar 2=5 (Middels): 64 hunfisk + 36 hanfisk

Kar 3=6 (Lavfett): 66 hunfisk + 34 hanfisk

Mellomuttak etter 6 måneder

16-17. januar 2020 ble det gjort en ny gjennomgang av forsøksfisken. Det ble tatt ut 15 hunnfisk og 6 hannfisk fra hvert kar for registreringer og analyser. Registreringer på prøvefisk var: lengde, vekt, gonadeindeks, leverindeks. Det ble tatt prøver til analyse av kjemisk innhold av, gonade, lever og restkropp. All resterende fisk i forsøkskarene ble veid, målt, og vurdert for kjønnsmodning basert på ytre karakterer.

Registrering av gyting

Mengde rogn gytt i kar ble registrert fra 24. desember 2019 fram til avslutning av forsøket 4. april 2020. Det ble gjort forsøk på stryking av rogn i perioden fra 4. februar fram til avslutning av forsøket i april.

I forbindelse med stryking av rogn ble det tatt prøver av rogn for kjemisk analyse, og det ble også gjort befruktning og inkubering på en del rogngrupper.

Avslutning av forsøket etter 9 måneder

Forsøket ble avsluttet 3-4. april. All fisk ble målt og veid, og det ble tatt ut 15 hunfisk og 6 hanfisk per kar for registreringer og prøver til analyser som for uttak etter 6 måneder.

Vann

Forsøket ble kjørt på råvann, dvs. vann som er filtrert til 20 µm og UV-behandlet, men uten temperaturregulering (Figur 3). En forventet at fisken skulle gyte fra begynnelsen av februar, og at naturlig temperatur skulle være lav nok. Fisken startet gyting allerede 23. desember 2019, og sjøtemperaturen var uvanlig høy. Fra 23. januar 2020 ble det derfor satt inn noe kjøling slik at temperaturen kunne holdes mellom 8 og 9°C.

De første 3 ukene ble det kjørt 60 l sjøvann/min i hvert kar. Dette tilsvarer 20 utskiftinger/døgn. Deretter ble det økt til 80 l/min, noe som tilsvarer 29 utskiftinger per døgn.

Lys

Det var plassert lys over hvert kar, og taklyset i rommet var avslått.

Røkt

  • Temperatur ble registrert automatisk og kontinuerlig (Figur 3).

  • Oksygen ble registrert ukentlig, og oksygentilsetning ble justert etter behov, og nivået ble holdt mellom 95 og 100 %.

  • Dødelighet ble registrert daglig. Død fisk ble målt og veid.

 

Figur 3. Temperatur i forsøksperioden. Stjernene viser tidspunkt for gjennomgang av fisk med registrering av individvekter
Figur 3. Temperatur i forsøksperioden. Stjernene viser tidspunkt for gjennomgang av fisk med registrering av individvekter

 

Registreringer - datainnsamling

Individregistrering av vekt ble gjort i juli (start), november, januar og april. Modningsgrad med ultralyd og visuell ytre vurdering ble gjort samtidig.

Rognkjeks kan undersøkes med ultralyd uten bedøvelse når den legges på et mykt materiale (Figur 4). Modningsgrad ble vurdert ut fra ultralydbilder, og modningen ble gradert på en skala fra 1-5 hvor grad 4 er gytemoden fisk, og grad 5 er fisk som er ferdig med gyting. Figur 5 viser modningsgrad 2, 3, 4 og 5.

 

Figur 6. Utvendig bedømmelse av modningsgrad Bildene til venstre viser grad 3, og til høyre grad 4, dvs. klar for å strykes for rogn.
Figur 4. Kjønnsbestemmelse av rognkjeks ved bruk av ultralyd.

 

 

Figur 5. Gradering av modning hos hunnfisk av rognkjeks vha. ultralyd. a) grad 2 b) grad 3 c) grad 4, dvs. gyteklar og d) grad 5, dvs. ferdig med gyting.
Figur 5. Gradering av modning hos hunnfisk av rognkjeks vha. ultralyd. a) grad 2 b) grad 3 c) grad 4, dvs. gyteklar og d) grad 5, dvs. ferdig med gyting.

 

Registrering av rogn gytt naturlig i kar

Fordi rogna fra rognkjeks er klebrig kan rogn som gytes i karet enkelt registreres. Første gyting ble registrert allerede 23. desember 2019. Etter det ble all rogn som ble gytt i hvert kar fjernet to ganger daglig. Vekten på rogna ble registrert.

Stryking av rogn

Det ble i perioden 23. januar-4. april i 2020 strøket rogn fra hunnfisk fra alle tre behandlingene. Det var ikke ressurser til å følge fiskene daglig. Vi forsøkte i stor grad å vurdere modningsgraden ut fra utvendige kriterier, dvs. størrelse på gatt, og fra hvor lett rogna lot seg stryke (Figur 6). I forbindelse med besøk av masterstudenter ble sannsynligvis noe rogn strøket litt for tidlig i forhold til når fisken ville ha gytt naturlig. Dette for å sikre nok antall rogngrupper for studentene

 

Figur 6. Utvendig bedømmelse av modningsgrad Bildene til venstre viser grad 3, og til høyre grad 4, dvs. klar for å strykes for rogn.
Figur 6. Utvendig bedømmelse av modningsgrad Bildene til venstre viser grad 3, og til høyre grad 4, dvs. klar for å strykes for rogn.

 

Inkubering av rogn

Det var planlagt å legge inn et antall rogngrupper til klekking. Dette ble også gjort, men fordi rognkvaliteten var suboptimal, dels på grunn av for høy vanntemperatur og del på grunn av suboptimalt stryketidspunkt, ble det vanskelig å få noe fornuftig bilde av forskjell mellom behandlinger. Det ble derfor etter kort tid besluttet å avslutte inkubering av rogn.

Analyser/ metoder

Prøver av lever, gonader og restkropp pluss tarm ble analysert for tørrstoff ved frysetørking, aske, nitrogen, fett og bruttoenergi. De samme analysene, med unntak av energi, ble gjort på rognprøver tatt etter stryking. Fôrprøver ble analysert for tørrstoff og fett, nitrogen, aske og bruttoenergi.

Standardanalyser brukt for fôr og fisk/organprøver.

  • Tørrstoff i fôr: Tørking av fôret i 3 timer ved 104 °C, og deretter avkjøling i 30 minutter i eksikator.

  • Fisk og organprøver: Frysetørking ved –80 °C i minimum 2 døgn.

  • Aske: Forasking ved 550 °C i 5 timer etterfulgt av avkjøling i eksikator.

  • Nitrogen: Analyser med Tecator Kjeltec Auto 8400 og råprotein beregnet som N*6,25. 

  • Fett: NS 9402 (med hydrolyse i fôrprøver)

  • Energi: Målt med bombekalorimetri, Parr 6300 Oxygen Bomb Calorimeter.

Beregninger og statistikk

  • Vekstrate, SGR (% pr dag) = (lnW 2 -lnW 1 )(t) -1 *100

W 1 og W 2 er gjennomsnittsvekt (g) ved start og slutt av forsøksperioden, og t er antall dager i perioden.

  • Leverindeks (HSI) = Levervekt(g)/kroppsvekt(g) *100

  • Gonadeindeks (GSI) = Gonadevekt(g)/kroppsvekt(g) *100

I dette forsøket ble det brukt ett stort kar til hver fôrtype, det er altså ikke gjentatte kar per behandling. Alle fisk var individmerket på forhånd og i de statistiske beregningene er individ brukt som gjentak for tilvekst, noen som gir høy n, spesielt for hunnfisk. Veksten er svært forskjellig for hann- og hunnfisk, og analysen er derfor gjort for hvert kjønn separat. Variasjonen i vekst var stor for begge kjønn, derfor er det kun store forskjeller som blir statistisk signifikant, på tross av høy n.

For kjemiske analyser er det 3-4 samleprøver av hunnfisk fra hvert kar, og disse brukes som gjentak i statistiske analyser. For hannfisk er det bare en samleprøve pr kar, derfor er det ikke utført statistisk analyse for hannfisk.

Der det er gjort statistisk analyse er det brukt enveis variansanalyse, og der p≤0.05 er det brukt en rangeringstest, Duncans multiple range test.

3.3 - AP3 Berggylt

Tre grupper stamfisk ble fôret med fôrene produsert i AP1 fra etter avsluttet gyting i juni 2019 frem til gyting i april/mai 2020. All stamfisk i studiet var fanget i 2017 i Austevoll kommune, Norge. De var fôret på en blanding av CLEANSOFT (Skretting AS) og reker frem til forsøksstart. Se tabell for oversikt over behandling og biomasse i kar.

Tabell 5: Oversikt over behandlingstype per kar, samt fisk i hvert kar. Avvik på snittvekt?

  Kar 8 Kar 9 Kar 10
Fôr Lav ARA Medium ARA Høy ARA
Antall fisk 32 33 34
Hunfisk 28 31 30
Hanfisk 5 2 4
Snittvekt ved start, hunfisk 813 830 839
Snittvekt ved start, hanfisk 1215 1187 1182

Karene har en diameter på 3 m og vanndybde på 70 cm, med vanngjennomstrømningen på 1700 L / t. Vanntemperaturen i stamfiskkarene var på rundt 12 grader fra juni til slutten av oktober, med en periode på 8 grader fram til slutten av februar (2 uker før gytestart) hvor temperaturen ble pkt (?) til 12 grader ut gytesesongen. Noen små dropp i temperaturen i juni og september skyldes vedlikehold på varmepumpen.

 

Figur 7: Temperatur i karene til berggylt. Blå: lav ARA, Grønn: medium ARA og Rød: høy ARA
Figur 7 : Temperatur i karene til berggylt. Blå: lav ARA, Grønn: medium ARA og Rød: høy ARA

 

Karene var utstyrt med skjul langs kanten. Under gytesesongen ble det plassert ut 10 stk 50x50 cm gytematter i hvert kar (TRIO GEL avskrapningsmatter på rull, blå, Lone Tepper AS, Arna). Disse ble tilfeldig plassert i karets sentrum, uten å overlappe hverandre. De dekket da 35 % av karets totale areal. Alle matter ble tatt ut av karene daglig, og matter med egg ble fraktet til klekkeriet. Matter ble desinfisert med Formalin (1:4000) samme dag de ble lagt inn.

På dag 3 etter innsamling (der dagen for innsamling er dag 0) ble hver enkelt matte tatt opp, fotografert, karaktert visuellt (Se Tabell 6). En liten prøve egg ble skrapt av fra 4 steder på hver matte for beregning av befruktningsprosent. Et tilfeldig utvalg av matter ble skrapet for egg etter fotografering og scoring (referansematter). Eggmengden ble målt i volum og vekt. Disse tallene ble brukt til kalibrering av bilde evaluering og visuell karakter mot innveid mengde egg.

Ved klekking av egg ble hele matter innkubert i sylindrisk 1 m diameter egginkubator med konet bunn. Vanntemperatur ble holdt på 12 ºC og vannutskiftning var 2,5 L/min.

Tabell 6 : Visuelt karakter system for mengde beregning av egg. Hver matte ble karaktert i 4 kvadrater - a, b, c og d.

Visuell karakter Beskrivelse
0 Ingen egg
1 Noe egg, spredt tynt
2 Tettere felt med egg
3 En del egg i felt og i lag
4 Egg dekker store deler av matten

I tillegg til visuelle karakter evalueringen av egg, ville vi utvikle en mer nøyaktig analyse basert på foto av gytemattene med egg. Som nevnt, alle matter ble fotografert (Sony DSC-RX100M4). Bildene (se eksempel Fig. 8) ble deretter kuttet til slik at bare matten var med. Deretter ble bildene konvertert til et binært bilde i ImageJ. ImangeJ er en java basert open-source bilde behandlingsprogrammvare utviklet av University of Wisconsin (1997).

 

Figur 8: Eksempel på en gytematte med egg.
Figur 8: Eksempel på en gytematte med egg.

 

Det binære bildet viste egg i en farge og resten av matten en annen farge. Andelen av matten dekket med egg ble deretter regnet ut i ImagJ og relatert til mengden egg skrapet av matten. Korrelasjonen mellom øye evaluering og mengde egg fra referanse mattene og korrelasjonen mellom billedanalysene og referansemattene ble deretter brukt til å beregne antall egg på alle gytemattene samlet inn under hele gyteperioden.

Fettanalyse

Egg ble homogenisert og fett ekstrahert med en Folch ekstraksjon. Polart og nøytralt fett ble deretter separert med fast fase ekstraksjon og total mengde fettsyre analysert med intern standard med gasskromatografisk bestemmelse med flammeionisasjonsdetektor (Lie and Lambertsen, 1991) .

4 - Oppnådde resultater, diskusjon og konklusjon

4.1 - Rognkjeks

Dødelighet

Kumulativ dødelighet som er vist i Figur 9 er for perioden fra november 2019 da antall fisk ble redusert og standardisert. Det meste av dødelighet oppsto fra februar 2020 og utover, det vil si i løpet av gytesesongen. Det er vanskelig å si noe om hvor mange fisk som ville dødd etter gyting dersom en hadde fulgt fisken over en lengre periode. Rapporter fra andre som har oppdrettet stamfisk av rognkjeks sier at det er en betydelighet dødelighet etter gyting (Claudia Wittwer, pers com.)

 

Figur 9. Kumulativ dødelighet i perioden november 2019 til april 2020
Figur 9. Kumulativ dødelighet i perioden november 2019 til april 2020

 

Tilvekst

Tilvekst, vekstrate (SGR) og grad av kjønnsmodning for hunnfisk og hannfisk ved oppstart i juli 2019, i i januar 2020, og ved avslutning av forsøket er vist i Tabell 7. Dette gjelder alle fisk som var i karene ved avslutning av forsøket, der vi har individdata fra start til slutt. Tilsvarende data for all fisk ved hvert veietidspunkt ga ikke store avvik fra det som er vist i tabellen.

Tabell 7. Vekter, vekstrate og modningsgrad all fisk fra start til avslutning av forsøket (n=36-45 for hunnfisk, n=21-26 for hannfisk).

  Hannfisk Hunfisk
  Høyt fett Medium Lavt fett p-verdi Høyt fett Medium Lavt fett p-verdi
Vekt juli 19 531 ± 19 479 ± 22 509 ± 19 0.19 484 ± 26 458 ± 28 430 ± 22 0.33
Vekt nov. 19 1642 ± 57 1578 ± 68 1574 ± 61 0.67 1144 ± 65 1160 ± 71 1004 ± 47 0.14
Vekt jan. 20 2290 ± 75 2195 ± 106 2081 ± 77 0.21 1244 ± 70 1276 ± 62 1014 ± 53 0.005
Vekt apr. 20 2408 ± 85 2252 ± 106 2250 ± 83 0.35 1251 ± 93 1268 ± 60 1001 ± 49 0.007
SGR1 0.94 ± 0.03 1.00 ± 0.03 0.93 ± 0.03 0.30 0.71 ± 0.05 0.77 ± 0.03 0.71 ± 0.03 0.38
SGR2 0.51 ± 0.04 0.48 ± 0.04 0.43 ± 0.05 0.32 0.13 ± 0.07 0.17 ± 0.06 0.01 ± 0.04 0.13
SGR3 0.07 ± 0.04 0.05 ± 0.05 0.11 ± 0.05 0.60 -0.02 ± 0.03 -0.01 ± 0.04 -0.01 ± 0.04 0.99
SGRtot 0.59 ± 0.01 0.61 ± 0.02 0.58 ± 0.02 0.64 0.36 ± 0.03 0.40 ± 0.03 0.33 ± 0.02 0.14
Modning jan 20 2.6 ± 0.1 2.5 ± 0.1 2.8 ± 0.1 0.39 2.4 ± 0.2 2.7 ± 0.1 3.0 ± 0.1 0.06





For hunner var veksten raskest de første seks månedene, vekten økte fra ca. 500g og til over 2000 g fra juli til januar, med små forskjeller mellom fôrgruppene (Figur 10). For hannene var det noe lavere tilvekst for hannfisken i denne perioden, vekten økte fra ca. 500 g til omkring 1200 g. I perioden fra januar til april under gyteperioden var tilveksten minimal for begge kjønn.

.

 

Figur 10. Vektutvikling hos hunnfisk og hannfisk i løpet av forsøksperioden. All fisk ble registrert ved avslutning av forsøket i april (n=36-45 for hunnfisk, n=21-26 for hannfisk)
I januar, dvs. 6 måneder etter oppstart, var gonadeindeksen (gonadevekt i prosent av fiskevekt) hos hunner tydelig lavere hos fisk som fikk det magreste fôret sammenlignet med de to andre forsøksfôrene (Tabell 8).  Gonadeindeksen for denne gruppen økte imidlertid fram mot april (9 mnd.), noe som betyr at de ble senere kjønnsmodne. Det var imidlertid stor variasjon i modningsgrad hos begge kjønn (Figur 11).
Figur 10 . Vektutvikling hos hunnfisk og hannfisk i løpet av forsøksperioden. All fisk ble registrert ved avslutning av forsøket i april (n=36-45 for hunnfisk, n=21-26 for hannfisk)

 

I januar, dvs. 6 måneder etter oppstart, var gonadeindeksen (gonadevekt i prosent av fiskevekt) hos hunner tydelig lavere hos fisk som fikk det magreste fôret sammenlignet med de to andre forsøksfôrene (Tabell 8). Gonadeindeksen for denne gruppen økte imidlertid fram mot april (9 mnd.), noe som betyr at de ble senere kjønnsmodne. Det var imidlertid stor variasjon i modningsgrad hos begge kjønn (Figur 11).

Figuren viser variasjon i modningsgrad hos hunnfisk (a, b), og hannfisk (c, d) i januar 2020, dvs. etter 6 måneder, og i starten av gytesesongen. De blå pilene viser gonadene.

 

Figuren viser variasjon i modningsgrad hos hunnfisk (a, b), og hannfisk (c, d) i januar 2020, dvs. etter 6 måneder, og i starten av gytesesongen. De blå pilene viser gonadene.
Figur 11. Figuren viser variasjon i modningsgrad hos hunnfisk (a, b), og hannfisk (c, d) i januar 2020, dvs. etter 6 måneder, og i starten av gytesesongen. De blå pilene viser gonadene.

 

Tabell 8: Modningsgrad og organindekser i prøvefisk tatt ut i januar og april 2020, n=15 for hunnfisk og n=6 for hannfisk ved hvert tidspunkt.

  Hunnfisk  Hannfisk 
  Høyt fett Medium Lavt fett p-verdi Høyt fett Medium Lavt fett p-verdi
Jan-20                
Modningsgrad 3.1 ± 0.3 3.2 ± 0.3 3.0 ± 0.3 0.88 3.7 ± 0.2 3.5 ± 0.2 3.5 ± 0.2 0.83
Leverindeks 3.2 ± 0.2 a 3.5 ± 0.3 a 2.4 ± 0.2 b 0.02 2.1 ± 0.3 2.1 ± 0.2 1.6 ± 0.1 0.23
Gonadeindeks 15.2 ± 3.2 16.4 ± 3.3 11.3 ± 3.3 0.52 3.7 ± 0.3 4.4 ± 0.5 3.4 ± 0.6 0.33
Apr-20                
Modningsgrad 3.6 ± 0.3 3.4 ± 0.3 3.8 ± 0.2 0.61 3.7 ± 0.3 4.08 ± 0.2 3.4 ± 0.3 0.33
Leverindeks 3.5 ± 0.2 (a) 3.1 ± 0.3 (ab) 2.6 ± 0.3 (b) 0.06 2.2 ± 0.5 2.0 ± 0.1 1.7 ± 0.2 0.57
Gonadeindeks 9.2 ± 1.6 10.9 ± 2.2 14.1 ± 2.4 0.25 3.5 ± 0.7 3.6 ± 0.6 2.5 ± 0.4 0.10

Figur 12 viser leverindeks og gonadeindeks for hunn- og hannfisk i januar og april. Ved begge tidspunktene var leverindeks lavere i hunnfisk som hadde fått det magreste fôret. I hannfisk var det ingen sikre forskjeller mellom fôrgruppene, men trenden var den samme som for hunnfisk, med lavere leverindeks med det magreste fôret. Det var stor individuell variasjon i gonadeindeks, spesielt i hunnfisk, og derfor ikke statistisk sikre forskjeller. Vi ser likevel en tydelig trend som viser at hunnfisk som har fått det magreste fôret har lavest gonadeindeks i januar og høyest i april, mens fisk som har fått fôr med medium og høyt fettinnhold har høy gonadeindeks i januar, men lavere i april da de var ferdig med gytesesongen. Det samsvarer med andre observasjoner som tyder på at fisken som har fått det magreste fôret modner seinere.

Leverindeks hunnfisk, registrert i prøvefisk i januar og april Leverindeks i hannfisk, registrert i prøvefisk i januar og april

Leverindeks i hannfisk, registrert i prøvefisk i januar og april

Gonadeindeks i hannfisk, registrert i prøvefisk i januar og april
Figur 12. Leverindeks og gonadeindeks i hunn- og hannfisk, registrert i prøvefisk i januar og april

 

Kjemiske analyser av prøver

Ved startuttaket i juli 2019 ble det tatt prøver for kjemisk analyse. På dette tidspunktet var snittvekta på prøvefisken 476 g. Fisken inneholdt totalt 12,5% tørrstoff, 2,7% fett, 8,2% råprotein, 1,5% aske.

Ved start inneholdt leveren 29,8% fett, 10,3% protein, 1,0% aske. I prøver fra januar og april ble lever, gonade og restkropp (inkludert mage og tarm) analysert hver for seg. Deretter har vi beregnet tilbake til hel fisk. Vi har også beregnet hvor stor andel av totalfett som finnes i lever, gonade og restkropp (prosent av totalt fettinnhold), for å få et inntrykk av hvilke deler av fisken som er viktigst med tanke på energilagring (Figur 12).

Det er 4 samleprøver med 2-3 fisk i hver prøve som er analysert. Vi har analysert 3 prøver for hunnfisk per behandling og tidspunkt, men bare en analyse av hannfisk per kar og behandling.

Tabell 9 og 11 viser kjemisk innhold (%) og energi (MJ/kg) i hunnfisk i henholdsvis januar og april 2020 (n=4). Det er gjort analyse av lever, gonade og restkropp. Det er også beregnet innhold i hel fisk. restkropp, lever og gonader, og beregnet innhold i hel fisk, i prøver av hunnfisk januar og april 2020 (n=4). Korrelasjon (R 2 ) mellom kjemisk innhold i fôr og i hel fisk er vist i Tabell 10 og 12 .

Tabell 9. Kjemisk innhold (%) og energi (MJ/kg) i restkropp, lever og gonader, og beregnet innhold i helfisk, i prøver av hunnfisk januar 2020 (n=4).

  Høyt fett Medium Lavt fett p-value
Restkropp        
Fett 5.0 ± 0.3 a 5.0 ± 0.6 a 2.2 ± 0.3 b 0.006
Råprotein 8.1 ± 0.1 8.4 ± 0.2 8.0 ± 0.2 0.29
Aske 1.4 ± 0.02 1.4 ± 0.04 1.4 ± 0.02 0.57
Energi 3.9 ± 0.1 a 3.9 ± 0.2 a 2.6 ± 0.2 b 0.005
Lever        
Fett 32.1 ± 1.8 28.3 ± 3.5 28.5 ± 2.2 0.55
Råprotein 10.0 ± 0.2 10.5 ± 0.3 10.6 ± 0.4 0.40
Aske 1.1 ± 0.1 1.2 ± 0.1 1.2 ± 0.1 0.79
Energi 15.6 ± 0.9 14.2 ± 1.3 14.4 ± 0.9 0.63
Gonade        
Fett 4.5 ± 1.0 3.9 ± 0.7 3.1 ± 0.4 0.42
Råprotein 11.3 ± 1.2 10.5 ± 1.5 10.5 ± 1.1 0.89
Aske 1.0 ± 0.02 1.0 ± 0.02 1.1 ± 0.04 0.75
Energi 4.7 ± 0.2 4.2 ± 0.5 3.9 ± 0.5 0.43
Helkropp, beregnet      
Tørrstoff 16.3 ± 0.2 a 16.0 ± 0.8 a 13.1 ± 0.6 b 0.02
Fett 5.7 ± 0.3 a 5.6 ± 0.8 a 3.1 ± 0.5 b 0.03
Råprotein 8.8 ± 0.2 8.9 ± 0.3 8.5 ± 0.2 0.53
Aske 1.3 ± 0.1 1.3 ± 0.03 1.3 ± 0.03 0.58
Energi 4.4 ± 0.1 a 4.3 ± 0.3 a 3.2 0.2 b 0.02





Tabell 10 Korrelasjon (R 2 ) mellom kjemisk innhold i fôr og i hel fisk, gonade og lever prøver fra januar 2020

    Innhold hel fisk Innhold gonade Innhold lever
  Tørrstoff Fett Energi Fett Energi Fett Energi
Protein 0,48 0,44 0,47 0,42 0,46 0,42 0,38
Fett 0,8 0,78 0,81 0,5 0,47 0,33 0,28
Karbohydrat -0,73 -0,7 -0,73 -0,5 -0,49 -0,38 -0,32

Innhold av fett/energi i hel fisk var korrelert med innhold av fett i fôr. Fett i gonade og lever var lite korrelert med innhold i fôr, der var det høyere korrelasjon med registrert modningsgrad.

Tabell 11. Kjemisk innhold (%) og energi (MJ/kg) i restkropp, lever og gonader, og beregnet innhold i helfisk, i prøver av hunnfisk april 2020 (n=4).

  Høyt fett Medium Lavt fett p-value
Restkropp        
Fett 4.4 ± 0.4 a 3.8 ± 0.7 ab 1.6 ± 0.4 b 0.02
Råprotein 7.5 ± 0.1 8.3 ± 0.7 7.1 ± 0.1 0.18
Aske 1.4 ± 0.02 1.6 ± 0.1 1.4 ± 0.02 0.06
Energi 3.4 ± 0.1 a 3.4 ± 0.4 a 2.2 ± 0.2 b 0.02
Lever        
Fett 35.1 ± 4.8 26.5 ± 4.7 24.1 ± 0.8 0.20
Råprotein 9.6 ± 0.8 10.5 ± 0.7 11.2 ± 0.1 0.24
Aske 1.1 ± 0.1 1.2 ± 0.1 1.3 ± 0.1 0.43
Energi 16.6 ± 1.8 13.3 ± 1.8 12.4 ± 0.3 0.18
Gonade        
Fett 2.9 ± 1.0 2.9 ± 0.8 2.1 ± 0.4 0.72
Råprotein 9.8 ± 1.8 9.8 ± 1.8 10.2 ± 1.5 0.98
Aske 1.1 ± 0.05 1.0 ± 0.02 1.1 ± 0.05 0.74
Energi 3.7 ± 0.9 3.8 ± 0.8 3.7 ± 0.7 0.99
Helkropp, beregnet      
Tørrstoff 14.7 ± 0.6 14.6 ± 1.6 11.5 ± 1.0 0.15
Fett 5.3 ± 0.5 a 4.3 ± 0.9 ab 2.2 ± 0.5 b 0.04
Råprotein 7.9 ± 0.2 8.5 ± 0.8 7.7 ± 0.4 0.56
Aske 1.3 ± 0.0 b 1.5 ± 0.1 a 1.3 ± 0.03 ab 0.02
Energi 3.9 ± 0.2 3.7 ± 0.5 2.7 ± 0.3 0.10

 Tabell 12. Korrelasjon (R 2 ) mellom kjemisk innhold i fôr og i hel fisk, prøver fra april 2020.

    Innhold hel fisk Innhold gonade Innhold lever
  Tørrstoff Fett Energi Fett Energi Fett Energi
Protein 0,45 0,62 0,53 0,15 -0,02 0,58 0,61
Fett 0,71 0,83 0,77 0,26 0,01 0,65 0,67
Karbohydrat -0,65 -0,8 -0,72 -0,24 0 -0,66 -0,68

Ved avslutning av forsøket ble det funnet korrelasjon mellom innhold av fett/energi i heilkropp, og til en viss grad i lever, og innhold i fôret. For gonade var det lav korrelasjon til innhold i fôr, men høg negativ korrelasjon med modningsgrad som betyr at det ble mer væske, og dermed mindre tørrstoff i eggene med økende modningsgrad.

Selv om leveren er det organet som har høyest fettprosent (Tabell 11), er den så liten i vekt at det totalt sett er det mer fett/energi i restkroppen. Hos fisk som gikk på fôret med lavest fettinnhold utgjør fett i lever en større andel av totalfettet fordi innholdet i restkroppen var lavere enn for de andre to fôrsøksfôrene (Figur 13).

Fordeling (%) av fett, andel av total fettmengde i kropp som kommer fra hhv gonade, lever og restkropp, i hunnfisk i januar

 

Fordeling (%) av fett, andel av total fettmengde i kropp som kommer fra hhv gonade, lever og restkropp, i hunnfisk i april
Figur 13 . Fordeling (%) av fett, andel av total fettmengde i kropp som kommer fra hhv gonade, lever og restkropp, i hunnfisk i januar og april

 

Tabell 13. Kjemisk innhold (%) og energi (MJ/kg) i restkropp, lever og gonader, og beregnet innhold i helfisk, i samleprøver av hannfisk januar og april 2020 (n=1).

  Høyt fett Medium Lavt fett
  jan.20 apr.20 jan.20 apr.20 jan.20 apr.20
Restkropp            
Fett 3 3,8 3,9 3,2 1,6 0,9
Råprotein 9,9 10,16 10,43 9,37 9,79 9,06
Aske 1,77 1,7 1,66 1,58 1,76 1,63
Energi 3,4 3,78 3,92 3,32 2,74 2,33
Lever            
Fett 35 33,6 34,7 34,8 31,2 21
Råprotein 9,59 7,5 9,47 9,54 10,29 11,96
Aske 0.91 0,78 0,85 0,92 0,94 1,22
Energi 16,77 16,54 16,85 16,61 15,69 11,44
Gonade            
Fett 1,6 1,8 1,8 1,8 1,3 1,6
Råprotein 9,5 10,4 11,28 10,52 10,59 9,84
Aske 1,56 1,61 1,72 1,6 1,62 1,42
Energi 2,53 2,68 2,96 2,73 2,76 2,57
Helkropp, beregnet          
Tørrstoff 15,3 16,6 16,5 14,8 13,5 11,9
Fett 3,8 4,6 4,4 3,8 2,1 1,3
Råprotein 9,9 10,1 10,5 9,4 9,8 9,1
Aske 1,7 1,7 1,6 1,6 1,7 1,6
Energi 3,72 4,11 4,1 3,57 2,97 2,49

Tabell 13 viser kjemisk innhold i hannfisk fra alle fôrgrupper, prøver fra januar og april. Hannfisk som har fått det magreste fôret ser ut til å ha lavere innhold av fett og energi enn hannfisk fra gruppene som har fått middels eller høyt innhold av fett i fôr. Dette er tydelig for restkropp, lever og beregna helkropp, og i hannfisken som har fått det magreste fôret ser vi også en reduksjon i fett og energi fra januar til april. Forskjellen mellom fôrgrupper er mindre for innhold i gonade.

Gyting og eggkvalitet

Total mengde rogn som ble gytt naturlig i forsøkskarene er vist i Figur 14. Fisken som gikk på fôret med mest fett slapp mye mer rogn i karet sammenlignet med de to andre diettene. Når en legger sammen mengde rogn gytt i kar og mengde strøket rogn (Tabell 14) er det imidlertid ikke stor forskjell mellom fôrene med høyt eller medium fettinnhold, med henholdsvis 9526 og 8836 gram. Fisken som fikk fôr med lavt fettinnhold produserte mindre mengde rogn i løpet av forsøksperioden med 5591 gram totalt. Fordi fisken i denne gruppen modnet senere enn de to andre gruppene er det vanskelig å si om de ville kommet opp på samme mengde dersom fisken hadde blitt fulgt lengre. Fisken som gikk på fôr med høyt- og medium fettnivå var ferdig med gyteperioden når forsøket ble avsluttet i april 2020. Det ble i løpet av forsøksperioden strøket rogn fra henholdsvis 18, 13 og 10 hunnfisk i behandling høyt fett, medium, og lavt fett.

 

Mengde rogn gytt naturlig i hvert kar.
Figur 14. Mengde rogn gytt naturlig i hvert kar.

 

Tabell 14. Oversikt over mengde rogn (g) strøket og gytt i hvert kar (NB! Rognvæske er med i vekt av strøket rogn)

  Strøket Gytt Sum
Høyt fett 6847 2679 9526
Middels 8075 761 8836
Lavt fett 4881 710 5591

Det ble strøket rogn jevnlig fra 23. januar til avslutning av forsøket 4. april. Det ble tatt prøver fra all strøket rogn for kjemisk analyse. Det var lavere fettinnhold og høyere proteininnhold, og tendens til noe lavere tørrstoffinnhold, i rogna fra fisk som gikk på fôr med lavt fettinnhold (Tabell 15). Sammensetningen av rogna i alle gruppene er i samme område som Hamre (2016) fant ved analyse av rogn fra villfanget stamfisk av rognkjeks.

Tabell 15. Kjemisk innhold i rogn, % tørrstoff etter frysetørking, fett, råprotein og aske oppgitt i % av tørrstoff

  Høyt fett Middels Lavt fett p-verdi
Tørrstoff 17.8 ± 0.3 17.1 ± 0.4 16.5 ± 0.5 0.07
Fett 17.0 ± 0.3 a 17.0 ± 0.4 a 15.2 ± 0.6 b 0.01
Råprotein 67.9 ± 0.2 b 68.6 ± 0.3 b 69.9 ± 0.4 a 0.0003
Aske 6.0 ± 0.1 6.2 ± 0.1 6.2 ± 0.2 0.45



 Innhold i % av rå prøve er 2,5-3% fett, 11,5-12% råprotein og 6-6,2% aske. Tørrstoff målt ved frysetørking gir vanligvis 1-2 %-poeng lavere tørrstoff enn fullstendig tørking

Det var varierende og overveiende dårlig kvalitet på rogna som ble strøket målt som ??. Dette kan ha sammenheng med at stamfisken gikk på relativt høy temperatur fra vitelogenesen og gjennom gytesesongen (Figur 3??). Fisken startet gytingen tidligere enn estimert, og det var ikke mulig å kjøle vannet tilstrekkelig.

På grunn av den varierende og til dels dårlige kvaliteten på rogna som ble strøket ble det besluttet å ikke legge inn mange grupper i klekkeriet fordi rogn med lav befruktning vil ha stor dødelighet og lav klekkeprosent.

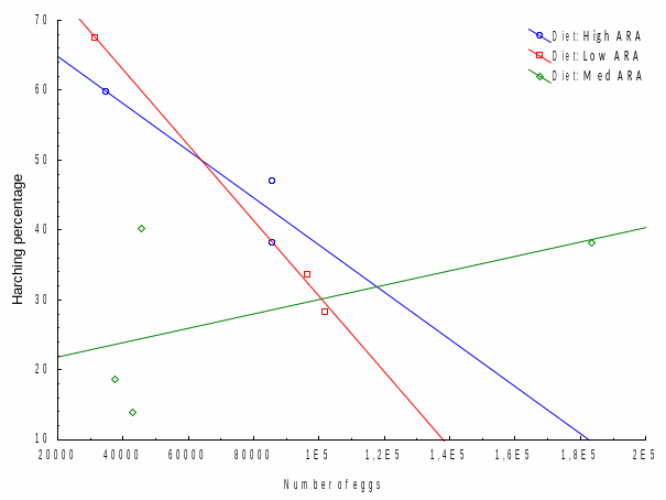
Som nevnt i innledningen hadde vi samarbeid med SINTEF Ocean gjennom FHF-prosjekt #901235 STARTRENS. To studenter derfra var med på stryking av rogn fra alle tre behandlingene 5. mars, og 21. mars. De fraktet med seg rogn som ble inkubert og brukt i småskala forsøk hos SINTEF. Befruktnings- og klekkeprosent hos SINTEF Ocean for egg fra de tre behandlingene er vist i Figur 15.

 

Befruktning og klekkeprosent for to stryketidspunkter. Fylte søyler viser befruktning, og skraverte klekking.
Figuren viser at rogn fra gruppen med høyt fettinnhold i fôret hadde best befruktning og klekking 5. mars. Rogn fra gruppene med medium og lavt fett i fôr hadde lav befruktning på dette tidspunktet. 14 dager senere var gruppen på høyt fett i fôr ferdig med gytesesongen mens rogn fra medium fett var oppe på samme nivå som høyt fett hadde to uker tidligere. Rogn fra lav-fett gruppen hadde på dette tidspunktet befruktning over 80%, og nesten all befruktet rogn klekket. Dette kan tyde på at denne gruppen modner senere, og at kvaliteten på rogna blir bedre.

 

Figur 15. Befruktning og klekkeprosent for to stryketidspunkter. Fylte søyler viser befruktning, og skraverte klekking.

4.2 - Berggylt

Helseparametere

Ett individ ble avlivet pga lav velferd i karet som fikk fôr med høy ARA. Dette individet virket svekket fra forsøkets start, og vi har derfor ingen grunn til å tro at dette har noe med behandling å gjøre. Det ble generelt oppdaget mer AGD og sår i februar 2020 enn november 2019. Fisken ble undersøkt av veterinær, men AGD infeksjonen ble ikke evaluert alvorlig nok til å måtte behandles. Ved siste evaluering av fisken var den generelle velferden i alle tre kar blitt betraktelig bedre, spesielt tilfellene av AGD var gått ned. Tilfeller av ryggdeformiteter var konstant gjennom forsøket selv om de kan kun være nevnt ved en av evalueringene i tabellene.

Tabell 16: Oversikt over tilfeller (%) med AGD i stamfiskkarene.

Behandling Nov-19 Feb-21 Sep-21
Lav ARA 31 34 0
Medium ARA 24 39 0
Høy ARA 15 38 0

Vekst

Spesifikk vekstrate (SGR) sank fra høsten 2019 og frem til gytestart i mars 2020. Vi ville ikke forstyrre fisken under gyting, så neste måletidspunktvar tidlig høst 2020. Da var SGR på samme nivå som før gyting. Det var ingen effekt av ARA nivå i fôr på vekst hos stamfsken.

 

SGR for stamfisken fra høst 2019 til etter gyting, høst 2020. (figur Ruben Sætre)
Figur 16 : SGR for stamfisken fra høst 2019 til etter gyting, høst 2020. (figur Ruben Sætre)

 

Mengde estimat av egg - nytt verktøy

Egg fra utvalgte matter ble skrapet av for å se på forholdet mellom eggmengde og visuell karakter og eggmengde og billedkarakter. Billedkarakter er basert på et fotografi av gytematten og et dataprogram (ImageJ) ble deretter brukt for å analysere hvor mye av matten som er dekket med egg. Tanken er at denne analysemetoden er objektiv, i motsetning til en visuell evaluering med et karaktersystem mellom 0 og 4. For å evaluere de to systemene analyserte vi sammenhengen mellom karakter og kjent mengde egg. Plottene sees i figurene 15 og 16. Det er tydelig at usikkerheten øker med økt mengde egg. Dette er illustrert i spredningen i scatterplottet i figur 17. Den lineære korrelasjonen med bilde karakter forklarer 94 % av variasjonen i eggmengde, noe som ble vurdert som tilfredsstillende.

Kvantitativ billedbehandling for egg estimat. 
1. Bakgrunn og merkelapp fjernes fra bildet (svart bakgrunn). Dette kan gjøres manuelt, eller med pixel gjenkjenning
  1. Bakgrunn og merkelapp fjernes fra bildet (svart bakgrunn). Dette kan gjøres manuelt, eller med pixel gjenkjenning.
Kvantitativ billedbehandling for egg estimat. 
2. Bildet konverteres så til et 16 bits binært bilde
Bildet konverteres så til et 16 bits binært bilde
3. Terskelverdi (threshold) settes for å skille mellom egg og strukturer i matten
  1. Terskelverdi (threshold) settes for å skille mellom egg og strukturer i matten
4. Dermed kan andelen av matten dekket av egg beregnes.
  1. Dermed kan andelen av matten dekket av egg beregnes.

Figur 17 : Stegvis beskrivelse av billedbehandling for å få et kvantitativt mål på andelen av gytematten som var dekket av egg. Analysen ble utført i ImageJ. (figur Ruben Sætre)

For å beregne antall egg på mattene ble seks prøver hver på ca 1 gram tatt og eggene talt. Gjennomsnittet var 923 ± 121 (standard avvik) egg per gram vår vekt. Her er det relativt stor variasjon, noe som skyldes hvor mye av lim laget som er med i prøven.

 

Forholdet mellom antall egg per cm2 matte og karakter bestemt ut i fra billedanalyse av mattene. Kurvetilpasningen Y = 2,4241x viste god korrelasjon (R² = 0,9421). Det er tydelig at spredningen øker med økende eggmengde.
Figur 18 : Forholdet mellom antall egg per cm 2 matte og karakter bestemt ut i fra billedanalyse av mattene. Kurvetilpasningen Y = 2,4241x viste god korrelasjon (R² = 0,9421). Det er tydelig at spredningen øker med økende eggmengde.

 

 

Forholdet mellom antall egg per cm2 matte og karakter bestemt visuelt. En lineær kurvetilpasning (y = 4,2277x) viste god korrelasjon (R² = 0,9002). I tillegg prøvde vi ut en ikke-lineær"power" kurvetilpasning (y = 1,7252x1,8386), som gav noe dårligere forklaring av variasjon (R² = 0,8553).
Figur 19 : Forholdet mellom antall egg per cm 2 matte og karakter bestemt visuelt. En lineær kurvetilpasning (y = 4,2277x) viste god korrelasjon (R² = 0,9002). I tillegg prøvde vi ut en ikke-lineær"power" kurvetilpasning (y = 1,7252x 1,8386 ), som gav noe dårligere forklaring av variasjon (R² = 0,8553).

 

Ved analyse av den lineære sammenhengen mellom visuell karakter og eggmengde finner vi at karakter forklarer 90 % av variasjonen i eggmengde, men kurven viser overestimat ved karakter 1 til 2 og underestimat ved karakter 4. Vi prøvde derfor ut en ikke-lineær kurvetilpasning (Y = aX b ) som kunne ta høyde for dette. Denne tilpasningen forklarer mindre av variasjonen i eggmengde (86 %), men den unngår problemet med overestimat ved lav karakter og underestimert ved høy. Når vi analyserte totalt antall egg gytt i hver fôrgruppe gjennom hele

 

Total mengde egg gytt per fôr gruppe (Høy, medium og lav ARA) gjennom hele gytesesongen, estimert med bilde karakter (rød), visuell karakter med power kurvetilpasning (turkis) og linjer kurvetilpasning (lilla).
Figur 20 : Total mengde egg gytt per fôr gruppe (Høy, medium og lav ARA) gjennom hele gytesesongen, estimert med bilde karakter (rød), visuell karakter med power kurvetilpasning (turkis) og linjer kurvetilpasning (lilla).

 

sesongen med de tre metodene, fant vi at lineær øyekarakter gav det høyeste estimatet. Dette skyldes at flertallet av gytemattene hadde lav karakter. Den lineære tilpasningen til øyekarakter gav derfor totalt sett et overestimat på 32 til 37 % i forhold til bilde karaktersystemet. Forskjellen i estimat mellom øye karakter med ikke-lineær (power) tilpasning og bildekarakter var på mellom 2 til 6 %. Vi anbefaler derfor en ikke-lineær kurvetilpasning for visuelt estimat av egg mengde i gytematter.

Årsaken til den økende usikkerheten av eggmengde med økende mengde egg, ligger trolig i at det legges tykkere lag med egg når det gytes store batcher. Dette er den åpenbare svakheten med en 2-dimensjonal analyse av et 3-dimensjonalt fenomen. Det ble evaluert å estimere egg mengde ved å veie mattene, men dette er veldig ressurskrevende da mengde vann som er med matten underveiing må standardiseres. Vannmengden vil nesten alltid være veldig stor sammenlignet med egg mengden. Variasjonen og dermed usikkerheten i en slik vekt analyse vil derfor som oftest overgå egg mengden.

Fôreffekt på egg

Berggylt egg har ikke store mengder energi lagret i nøytralt lipid. Det er derfor polart lipid (PL), for det meste fosfolipider i membraner, som dominerer i egget. Dette er også reflektert i mengden ARA. Det er verdt å merke seg at økning i ARA i fôr fører til økning i begge lipid fraksjonene. Fettsyresammensetningen i membraner, altså PL fraksjonen, er enzymatisk regulert og korrelerer dermed oftest i mindre grad med fettsyreprofilen i dietten sammenlignet med nøytralt fett. Men deponering av ARA i egg er ikke påvirket av dette, noe som samsvarer med funn i Japans flyndre (Furuita et al., 2003) .

 

Mengde fettsyre (mg/g) i egg fra fôrgruppene. Polare lipider i venstre panel, og nøytrale lipider i høyre panel.
Figur 21 : Mengde fettsyre (mg/g) i egg fra fôrgruppene. Polare lipider i venstre panel, og nøytrale lipider i høyre panel. (figur Ruben Sætre)

 

 

Arakidonsyre (ARA) i egg etter gyting. Blå søyler viser ARA i nøytralt lipid og orange søyler viser ARA i polart lipid.
Figur 22: Arakidonsyre (ARA) i egg etter gyting. Blå søyler viser ARA i nøytralt lipid og orange søyler viser ARA i polart lipid.

 

Hamre et al., (2013) viste at villfanget berggylt hadde ca. 6 % ARA av total mengde fettsyrer i gonadene hos hunfisk, mens villfanget stamfisk fôret i fangenskap hadde ca. 2 % ARA av total mengde fettsyrer. Stamfisken fra Hamre et al., (2013) ble fôret med en blanding av Vitalis (Skretting) og reker som inneholdt 0,6 % ARA av totale fettsyrer (18 % totallipid). Til sammenligning inneholdt fôrene i dette forsøket henholdsvis 1,7, 2,3 og 5,6 % ARA av total mengde fettsyrer, men vi hadde 14 % fett i fôret. ARA nivåene i våre fôr ligger allikevel godt over nivåene i tidligere kommersielle fôrløsninger (kommersielt fôr blandet med ferske reker). Videre så er fettsyrer målt i gonader i Hamre et al., (2013), mens vi ville spare stamfisken og målte fettsyrer i gytte egg. Dette kan utgjøre noen forskjeller, da eggene sveller i forkant av gyting og limlaget etableres.

Ara finnes i større andel i fosfolipider enn i de nøytrale, dette er velkjent og skyldes ARA sin aktive metabolske rolle (Hanna and Hafez, 2018) . Vi forventet derfor at ARA var relativt lavere i den nøytrale fraksjonen i egg fra lav ARA gruppen. Dette var ikke tilfellet, i stedet ser vi at forholdet mellom ARA i nøytral og polar fraksjon er likt i alle gruppene. Det som gir en pekepinn på behovsnivå i dataene presentert her, er når ARA øker relativt i fettsyre profilen, og det er mellom medium og høy ARA gruppene. Dataene peker derfor på et behovsnivå mellom 2,3 og 5,6 % ARA av total mengde fettsyrer, med 14 % fett i fôret.

Tabell 17: % ARA av totale fettsyrer (FS), gjennomsnitt ± standard avvik, bokstaver viser forskjeller mellom fôrgrupper.

  Total ARA ARA i PL ARA i NL
Lav ARA 3,0 ± 0,5a 3,6 ± 1,1a 1,5 ± 0,5a
Medium ARA 3,2 ± 0,2a 3,8 ± 0,2a 1,5 ± 0,2a
Høy ARA 5,2 ± 0,5b 6,1 ± 0,5b 2,6 ± 0,7b

 

Diameter på egg fra de forskjellige diettene.
Eggstørrelsen økte med ARA nivå i fôret (4.2% i diameter/13% i volum). Hvorvidt dette er
gunstig for egg og eventuelt larve kvalitet er omdiskutert (Brooks et al., 1997). Men følger
man tidligere argument at ARA behovet ligger nærmere høy ARA gruppen, vil følgelig større
egg komme med på kjøpet.
Figur 23: Diameter på egg fra de forskjellige diettene.

 

Eggstørrelsen økte med ARA nivå i fôret (4.2% i diameter/13% i volum). Hvorvidt dette er gunstig for egg og eventuelt larve kvalitet er omdiskutert (Brooks et al., 1997) . Men følger man tidligere argument at ARA behovet ligger nærmere høy ARA gruppen, vil følgelig større egg komme med på kjøpet.

D et var generelt stor variasjon i klekkeprosent hver gang egg fra en av behandlingene ble inkubert. Det var derfor heller ingen forskjeller mellom egggrupper fra hver fôrbehandling (p = 0,2). Derimot var det en negativ sammenheng mellom antall egg inkubert og klekkeprosent innad i høy ARA gruppen og Lav ARA gruppen, men ikke medium ARA gruppen. At innkubasjon av matter med mye egg, gir lavere klekkeprosent kan forklares med at egg dypt i substratet (klekkematten) med flere lag egg over, vil ha lavere sjanse til å klekke. Hvorfor dette mønsteret kun kommer til uttrykk i Høy og lav ARA gruppene er ikke godt å si. Ut i fra dette kan det virke som om det kan være gunstig å inkubere matter med medium til lave mengder egg (lav karakter).

 

Klekkeprosent i forhold til antall egg per ilegg fordelt på fôrbehandling. Høy ARA: y = 71,5746 - 0,0003*x, p = 0,2674, r2 = 0,8337, Lav ARA: y = 84,5605 - 0,0005*x, p = 0,0367, r2 = 0,9967 og Medium ARA: y = 19,7832 + 0,0001*x, p = 0,4558, r2 = 0,2962
Figur 24: Klekkeprosent i forhold til antall egg per ilegg fordelt på fôrbehandling. Høy ARA: y = 71,5746 - 0,0003*x, p = 0,2674, r 2 = 0,8337, Lav ARA: y = 84,5605 - 0,0005*x, p = 0,0367, r 2 = 0,9967 og Medium ARA: y = 19,7832 + 0,0001*x, p = 0,4558, r 2 = 0,2962

 

 

Antall egg gytt i de tre fôrgruppene gjennom sesongen. Medium ARA gruppen hadde lengre gytesesong enn de to andre gruppene.
Figur 25:

Antall egg gytt i de tre fôrgruppene gjennom sesongen. Medium ARA gruppen hadde lengre gytesesong enn de to andre gruppene.

 

De tre fôrgruppene startet gyting relativt samtidig og avsluttet ganske likt. Medium ARA gruppen gytte i ca 4 dager etter at lav ARA og høy ARA gruppen hadde gitt seg.

Prosjektet hadde som mål å ha overlevelse ved tørrfôrtilvenning som endemål. Larvene ble startfôret med rotatorier ved et par forsøk og skipsrur nauplier (CryoPlancton Small Planktonic) ved to andre forsøk. Dessverre lot ikke startfôring seg gjennomføre, så klekking ble endepunktet. Vi vet derfor ikke hvordan ARA nivå i stamfiskfôr påvirker larvekvaliteten. Vi hadde planlagt å analysere levendefôrene for vitaminer og mineraler, denne oversikten finnes i Tabell 18. Her kommer en rekke forskjeller frem. Spesielt er det å merke seg at naupliene fra de to rurartene er så pass forskjellige.

Tabell 18: Vitaminer og mineraler i anrikede rotatorier, anrikede Artemia, skipsrur nauplier og fjærerur nauplier.

    Rotatorier Artemia Skipsrur Rur
Makronæringsstoffer (mg/Kg ww)        
  Tørrstoff 11,3 7,6 7,1 8,7
  Protein 6,4 4,1 2,8 5
  Fett 2,6 1,8 0,85 1,1
  Aske 2,73 2,02 3,6 2,96
Vitaminer (mg/Kg dw)        
  Vitamin K 36,62 10,62 2,93 0,98
  Vitamin E 3,27 3,03 0,61 0,77
  Vitamin-D3 0,002 0,001 < 0.001 0,003
  Vitamin C 21,2 6,4 1,2 14,9
  Tiamin 0,26 0,07 <0.1 0,03
  Riboflavin 0,19 0,32 0,32 0,68
  Vitamin B6 0,01 0,01 0,00 0,01
  Pantoten. 0,14 0,11 0,02 0,10
  Folat. 0,17 0,11 0,07 0,02
  Biotin. 0,02 0,04 0,00 0,01
  Asta 0,20 0,04 0,00 0,08
  Canta <0.0013 <0.0013 0,0041 0,0079
Mineraler (mg/Kg dw)        
  V 0,005 0,076 0,066 0,025
  Cr 0,006 0,070 0,035 0,020
  Mn 0,07 0,71 0,68 0,14
  Fe 1,5 25,7 18,6 13,6
  Co 0,001 0,015 0,014 0,008
  Ni <0.01 0,10 0,08 0,07
  Cu 0,09 0,24 0,14 0,26
  Zn 0,4 4,8 2,8 5,4
  As 0,002 0,175 0,105 0,203
  Se 0,002 0,022 0,019 0,017
  Mo 0,004 0,017 0,011 0,01
  Ag <0.005 <0.005 <0.005 <0.005
  Cd 0,001 0,008 0,005 0,008
  Hg <0.002 <0.002 <0.002 <0.002
  Pb 0,005 0,027 0,02 0,009
  Jod 0,02 1,83 2,64 0,46
Alkaliske mineraler (mg/Kg dw)        
  Ca 43,1 115,8 76,1 95,4
  Na 790,6 1144,7 1173,7 938,7
  K 115,0 141,7 110,8 130,3
  Mg 85,0 154,4 149,3 127,6
  P 103,2 99,6 80,8 104,2

5 - Sammendrag og anbefaling

Rognkjeks:

Det var lavest dødelighet i lavfett-gruppen, og dette kan ha sammenheng med at de kom sent i gang med gyting

Hannene sluttet å vokse tidligere enn hunnfisken, men kom også i gyting før hunnene

Leverindeksen var lavere hos fisk som fikk det magreste fôret sammenlignet med de to andre behandlingen

Hunnfisk på fôr med høyt fett startet gytingen før de andre gruppene, og avsluttet også tidligere. Dette kan bety at tidspunkt for gytestart til en viss grad kan styres med fôrsammensetning

Gonadeindeksen hos hunner på fôr med lavt fett økte først fram mot april, noe som har sammenheng med at de modnet senere enn de to andre behandlingene

Mengde rogn som ble produsert (strøket + gytt i kar) var lavere i gruppen på lavt fett, men skyldes trolig at de kom senere i gyting. Det er mulig at de ville nådd samme mengde dersom vi hadde fulgt fisken i et lengre tidsrom