Rapportserie:
Rapport fra havforskningen 2023-56ISSN: 1893-4536Publisert: 17.11.2023Oppdatert: 09.07.2024Prosjektnr: 15695Oppdragsgiver(e): Fiskeri- og havbruksnæringens forskningsfinansieringReferanse: 901755 Forskningsgruppe(r):
Fangst
Program:
Norskehavet Approved by:
Research Director(s):
Geir Huse
Program leader(s):
Bjørn Erik Axelsen og Cecilie Broms
Norge har en betydelig historie som en fremtredende nasjon innen størjefisket, men for tiden står industrien ovenfor utfordringer knyttet til lav lønnsomhet. En mulig løsning på denne utfordringen kan være innføring av levendelagring, som muliggjør tilførsel i markedet i tråd med etterspørselen. I tillegg vil levendelagring muliggjøre avlivning i kontrollerte forhold med hensyn på kvalitet og fiskevelferd. I 2020 igangsatte Havforskningsinstituttet i samarbeid med FHF et pilotprosjekt med mål om å øke kunnskapen om levendelagring av makrellstørje i Norge. Dette dokumentet oppsummerer toktet som ble gjennomført i 2023.
Under toktet, i en periode på 14 dager, gjennomførte vi tre fiskeoperasjoner med snurpenot. Totalt ble det fanget 28 størjer, hvorav tre ble fanget i første kastet, 22 i det andre kastet, og tre fisker i det tredje kastet. Dessverre hektet to av størjene i det første kastet seg fast i nota og døde før overføringen til transportmerd. Overføringen av de gjenværende størjene i alle tre kastene var derimot vellykket. Størjene (tre stk) som ble fanget i det tredje kastet, ble overført til en stasjoner merd, hvor de ble ivaretatt og overvåket i en ti-dagers periode. Alle fasene, fra fangst, overføring og lagring ble nøye fulgt opp ved hjelp av ulike optiske og hydroakustiske metoder. Fiskevelferden ble nøye overvåket gjennom atferds-overvåkning og fysiologiske prøver i alle fasene. Kvaliteten på fiskekjøttet ble nøye dokumentert.
Dette toktet representerer en milepæl, da det er første gang makrellstørje har blitt vellykket overført fra not til merd, gjentatte ganger, og videre til en stasjoner merd i Norge. Dette utgjør en betydelig prestasjon for den Norske fiskeri- og størjeindustrien, men det gjenstår fortsatt betydelige utfordringer som må overkommes for at levendelagring av størje skal kunne praktiseres effektivt. Disse utfordringene er hovedsakelig relatert til:
Identifisering av fisk og fangstkontroll:
Forbedre presisjonen til akustiske overvåkingssystemer som brukes for å oppdage og telle størjer.
Utvikle et pålitelig ROV (fjernstyrt undervannsfartøy) for optiske observasjoner av utstyr og fangst.
Sikre infrastruktur og tilgjengelighet på fartøy for å kunne håndtere større fangster.
Fangst:
Optimalisere størrelsen og plassering av småmaskepanelet i noten, samt fløytene over denne.
Generell forbedring av fangsteffektiviteten, spesielt sent i sesongen når størjen har høyere fettinnhold, men opptrer samlet og med mer uforutsigbar adferd.
Overføring:
Utvikle et pålitelig kamera system og optimalisere plasseringen for å sikre overholdelse av ICCATs regler for størjeoverføring.
Gjennomføre et redesign av overføringskanalen for å forbedre visualisering og øke overføringshastigheten.
Bruke dykkerstyrte stereokamerasystemer for å forbedre biomasse estimeringsprosedyrer.
Fiskevelferd og kvalitet:
Utvikle protokoller for overvåking av velferd og kvalitet gjennom hele verdikjeden.
Utvikle metoder for avliving med lavt stressnivå som fremmer god velferd og kvalitet, for eksempel dykkerstyrte elektriske eller eksplosive harpunmetoder.
Utvikle kjøleprotokoller for å bevare kvaliteten på størjen før levering.
Sikre at størjeleveransene oppfyller markedets krav til fettinnhold.
Levendelagring
Øke størrelsen på den stasjonære merden (f.eks. en diameter på ≥ 30 meter og større maskevidde i noten).
Forbedre leveringslogistikken (f.eks. med flere mottakspunkter langs kysten og spesialiserte overførings-/transportfartøy).
Fastsette behovet for fôring for å opprettholde størjens kroppsvekt.
Definere grensene for fôring og temperatur for størje, samt andre utfordringer knyttet til levendelagring.
ICCAT vedtaket 22-07 beskriver betingelsene i forbindelse med tillatelsen til å gjennomføre et “pilot project for the short-term live-storage of bluefin tuna” i Norge. Vedtaket krever også svar innenfor flere forskningstema med følgende status etter forsøkene i 2023:
Fiskeadferd: I denne rapporten er innledende observasjoner av fiskeadferd i fangst- og lagringsfasene delvis behandlet. Arbeidet knyttet til adferdsobservasjoner vil fortsette og forbedres i takt med økende kunnskap og erfaring innen levendelagring.
Estimering av størje vekt ved fangst og lagring: Det er vanskelig å utføre direkte vektestimering av størjen under fangst og lagringsfaser. I stedet kan vekt estimeres med rimelig nøyaktighet ved hjelp av forhåndsdefinerte lengde-vekt-forhold for størje. Stereokamerasystemet som ble testet i eksperimentene viste pålitelige målinger av fisken. Dette systemet benytter programvare basert på kunstig intelligens. Det kreves imidlertid videre testing med større fiskevolumer, og beregningene må verifiseres mot individuelle og kjente lengde-vekt-målinger.
Om fôring er nødvendig for å sikre fiskevelferd og i så fall, hvordan unngår man “fattening”: I disse eksperimentene ble makrellstørje lagret levende i 10 dager uten fôring, men mer spesifikke forsøk er nødvendige for å besvare spørsmålet fullstendig. Disse forsøkene vil kreve etablerte og pålitelige protokoller for fangst, overføring og lagring. Målet er å igangsette slike fôrings- og lagringsforsøk i 2024, med planlagt ferdigstillelse og rapportering i 2027.
Fiskedødelighet og årsak: Det eneste årsaken til dødelighet registrert så langt er relatert til fangstprosessen og størje som hekter seg i nota. Det ble ikke registrert noe dødelighet blant de tre størjene som ble holdt levende i den stasjonære merden i ti dager. Får å nå endelige konklusjoner, er det nødvendig med større volum av størjer i fremtidige forsøk.
Kvalitet på kjøttet: Preliminære kvalitetsforsøk ble gjennomført I disse forsøkene. De fysiologiske resultatene viser at avlivingsmetoder basert på strøm eller kvelning fører til stress som ødelegger den potensielle kvalitetsmessige gevinsten av å levendelagre størje. Andre metoder som påfører fisken lavere stress nivåer må vurderes i fremtiden (I.e dykkerstyrt elektrisk/eksplosiv harpun).
Hvordan sikre at sporbarhet er i samsvar med kravene i BCD-programmet, inkludert bruk av merking (Tagging): For å sikre at sporbarheten er i samsvar med kravene i BCD-programmet, ble de ulike operasjonene innenfor forsøkene registrert i eBCD-systemet, som beskrevet i diskusjonsdokumentet om bruken av eBCD i pilotprosjektet presentert av Norge og vedtatt under det 16 IMM-møte (IMM-19A).
Fangstprosesser: Hovedfokuset i 2023-eksperimentene var å forbedre fangstoperasjonene. Til tross for at det fortsatt er noen utfordringer igjen, har eksperimentene vist betydelige forbedringer, ettersom hvert kast resulterte i fangst av størje. Likevel, sent på sesongen (dvs. i september/oktober), forventes forholdene å bli mer krevende for ringnotfangst, og ytterligere forbedringer i utstyr eller fangstpraksis kan bli nødvendige. Derfor vil fangstteknologi og -prosesser fortsatt være hovedfokus i 2024.
Markedsføring: Likt spørsmål om sporbarhet, har markedsrelaterte spørsmål ikke blitt prioritert i denne delen av pilotprosjektet. Dette pga levende-lagret størjevolumer har ennå ikke nådd betydelige nivåer for å begrunne bruk av ressurser til markedsføring, samt en måtte først få kontroll over fangst, transport- og lagringsfasen. Størje fanget med ringnot i Norge står fortsatt overfor betydelige utfordringer knyttet til markedsføring, som vil kreve betydelig oppmerksomhet i senere faser av dette pilotprosjektet.
Årlige forsøk vil bli gjennomført i samsvar med kravene i ICCATs vedtak 22-07, og prosjektet forventes å bli avsluttet i 2027.
Sammendrag
Norway was historically a major bluefin tuna (BFT) harvesting country. However, fishing for this species has experienced low profitability. One potential solution is short-term live-storage so that the market can be supplied on demand. Further, storing BFT allows a more controlled slaughtering of the fish, resulting in better quality and fish welfare. A pilot project was established in 2020 to address knowledge gaps related to BFT live-storage in Norway. This document summarizes the findings from sea trials in 2023.
During the 14-day sea trials, three purse seine casts were performed. A total of 28 fish were caught (3 fish in Cast 1, 22 fish in Cast 2 and 3 fish in Cast 3). Of these, two fish were entangled in the seine netting and died before transfer. The other fish were successfully transferred into a transfer cage. Fish from Cast 3 were subsequently transferred successfully into an inshore storage cage and kept alive for 10 days. Pre-capture, capture, transfer and storage operations were monitored using various optical and hydroacoustic methods. Fish welfare was assessed using behavioural monitoring and physiological sampling. Meat quality was also recorded.
Multiple fish transfers and subsequent inshore storage is unprecedented in Norway and represent an important breakthrough for the BFT live-storage industry. However, several challenges remain to be solved. These are mainly related to:
Fish identification and catch control:
Improve the precision of acoustic monitoring systems to detect and count fish.
Develop the surface ROV for reliable optical observation of gear and catch.
Ensure that infrastructure and additional vessels are available to handle larger catches.
Fish capture
Optimize the size and position of the small mesh panel as well as the number of floats.
Improve overall capture efficiency (especially late season when BFT has higher fat content but when aggregations are larger and more unpredictable).
Fish transfer
Develop a reliable camera system and optimize its placement to ensure compliance with ICCAT BFT transfer rules.
Re-design the transfer channel for better visualization and earlier transfer.
Utilize diver-operated stereo camera systems to improve biomass estimation procedures.
Fish welfare and quality
Develop protocols that allow the necessary monitoring of welfare and quality throughout the whole value chain.
Develop a low-stress and humane slaughter method that promotes good welfare and quality (e.g. diver-operated electrified / explosive harpoons).
Develop pre-delivery cold-storage protocols that optimize flesh quality.
Ensure that fat content of delivered fish meets market demands.
Live-storage
Increase storage cage size (e.g. ≥ 30 m diameter, with a larger mesh size).
Improve delivery logistics (e.g. different delivery sites along the coast, dedicated transfer vessels).
Determine the minimum feeding requirements for body weight maintenance.
Define feeding and temperature limitations and other challenges associated with live-storage.
ICCAT Resolution 22-07 describes conditions associated with the authorization to conduct a “pilot project for the short-term live-storage of bluefin tuna” in Norway. The resolution also requires answers within several research issues with the following status after the 2023 trials:
Fish behavior: Preliminary fish behavior observations during capture and cage captivity have already been documented to some extent in the present report. This can be expected to continue and improve as experience with BFT capture and live-storage grows.
Estimate BFT weight at the time of catch and caging: Direct measurement of weight during catch and caging is not practically feasible. Instead, weight may be estimated with reasonable accuracy using length measurements and an a priori established length-weight relationship. The stereo camera system tested during the trials provided fairly reliable length estimates using a AI-based software for recognition and length measurements of the fish. However, the system must be tested with larger volumes of fish and verified against individual length/weight measurements in future trials.
Whether feeding is needed to ensure animal health and, if so, how to avoid fattening: The present trial successfully caged and stored BFT for 10 days without feeding. However, dedicated cage trials are required to fully address this question. These will require stable catches and a reliable transfer and caging protocol. The aim is to start such feeding/caging trials in 2024 and report findings by 2027.
Extent of mortality and causes: The only cause of mortality registered to date is related to the capture process and BFT entanglement in the seine. No mortality was registered in the three captive BFT held for ten days in the stationary cage. To reach any firm conclusion, larger volumes of fish are needed in future trials.
Meat quality: Preliminary meat quality analysis was conducted during the present trials. The physiological results demonstrate that the current slaughter method (electrical stunning and/or asphyxiation) induces stress that likely negates any quality improvements due to live-storage. Lower stress slaughter methods (e.g. diver-operated electric/explosive harpoons) must be considered for future trials.
How to ensure traceability is consistent with the requirements of the BCD program, including exploring the use of tagging: To ensure that the traceability is consistent with the requirements of the BCD program, the different operations within the trials were recorded in the eBCD system as stipulated in the discussion paper on the application of electronic bluefin catch documentation (eBCD) in the pilot project for the short-term live storage of bluefin tuna, which was presented by Norway and adopted at the 16th IMM-meeting (IMM-19A).
Harvesting processes: The main focus during the 2023 trial has been on improving the harvesting process. Despite some remaining challenges, the 100% capture success rate in 2023 is evidence of this. However, late-season (i.e. September/October) conditions are expected to create challenges for purse seine capture, and additional gear improvements and/or changes in fishing practices may be needed. Consequently, the harvesting process (as well as fish transfer and caging) will remain a focus area in 2024.
Marketing questions: Similar to traceability questions, marketing questions are yet to be prioritized until the volume of live-stored tuna can be increased beyond those obtained in the present trials. BFT caught with purse seiners in Norway still have serious marketing challenges that will require a lot of attention in the later seasons of the pilot project.
Yearly trials will be conducted and reported according to the conditions established in the ICCAT Resolution 22-07 until the project is complete in 2027.
1 - Introduction
Norway had one of the world’s largest Atlantic bluefin tuna (Thunnus thynnus) (BFT) fishing fleets in the 1950s and -60s, with around 470 vessels that caught 15,000 tons in its peak year (Tangen, 1999). From the end of the 1960s and during the 1970s, the stock dramatically decreased due to overfishing (Cort & Abaunza, 2015). The stock collapsed in the mid-80s and Norway ceased fishing as observations of BFT became rare in Norwegian waters. However, a recovery plan managed by the International Commission for the Conservation of Atlantic Tunas (ICCAT) led to the recovery of the stock. Since 2012, tuna observations have become more frequent along the Norwegian coast (Nøttestad et al., 2020) and in 2014, the fishery was reopened with a small quota of 31 tons which has gradually increased to 368 tons in 2023.
Despite the increasing availability of the resource and industry interest in harvesting BFT, low profitability has led to the assigned Norwegian quota not been fully utilized in recent years. This has been mainly attributed to poor capture efficiency, lack of procedures and infrastructure to guarantee quality standards and the fact that Norwegian BFT is a new product on the international market with no established sales channels (Sistiaga et al., 2021a).
To mitigate the issues related to poor fish quality and market supply, it was considered necessary to develop ways to live store BFT for variable periods of time in Norwegian waters. In 2020, the Norwegian authorities and the Norwegian Institute of Marine Research started a pilot project to address this (Sistiaga et al., 2021 a,b). The aim was to implement live-storage of BFT in Norway and develop the procedures necessary to catch and monitor fish during transfer and caging. It is envisaged that the fishery will operate by catching BFT at sea using purse seine and then transfer them to a transfer cage. The transfer cage would then be towed inshore, where the fish would be transferred to a stationary net pen and held until harvesting.
The project has five main focus areas: i) fish identification and catch control; ii) fish capture; iii) fish transfer; iv) welfare and quality; and v) live-storage monitoring.
1.1 - Fish identification and catch control
One challenge in the Norwegian BFT purse seine fishery is the accurate quantification of BFT during the pre-capture, capture and post-capture phases. Quantification in the pre-capture and capture phases are especially important to ensure catch volumes are suitable. Early-stage quantification is also key for deciding whether the catch should be taken for live-storage or not, and thereby the overall success rate of the operation. The fleet uses medium frequency (i.e. 75 kHz) omni sonars for detection and evaluation of the number of fish before shooting the net. Such equipment often lacks the necessary precision for the task. Previous experience has shown that this can lead to undesirably large catches, making the handling of fish complicated and preventing efficient transfer into live-storage cages. Thus, additional information is required to better evaluate the number of fish in the catch at an early stage.
1.2 - Fish capture
During the capture process, fish can get entangled in the large meshes of the seine. When fish get tangled, the retrieval of the seine needs to be repeatedly stopped to disentangle them. The size of BFT means a crane is required, which slows the retrieval process further. Stopping retrieving creates loose pockets of netting in the seine which leads to further fish entanglement risks and extends the capture process. Together, this can have serious consequences for fish welfare and quality as well as for crew HSE conditions. A possible solution is to install a small-mesh netting panel in the area of the seine most susceptible to entangling.
1.3 - Fish transfer
Compliance with ICCAT transfer rules (from seine to transfer cage and into storage cages) requires video verification. Although other commercial BFT fisheries in the Atlantic make their video recordings using divers, this is not feasible in Norway due to the way the fishery is executed. Other optical methods are therefore required.
Norwegian transfer of BFT between net and cages will likely employ netting channels similar to those used in other pelagic fisheries for mackerel and herring. However, the size and specific characteristics of BFT means that the design of such channels needs to be optimized. Because BFT are suspectable to skin abrasion and subsequent infection, the transfer method used needs to avoid fish-gear contact. The design of the channel should also facilitate rapid transfer, so that the process is completed as soon as possible.
1.4 - Fish welfare and quality
Monitoring fish in different phases of the capture process is necessary to fully evaluate welfare. In addition, cameras and hydro-acoustic devices are necessary to determine the amount and location of the fish throughout capture and live-storage processes. This is especially relevant during fish transfer, which legislatively requires various levels of information for every individual transferred.
Good fish welfare is necessary to ensure the humane treatment of animals, high fish quality and survival in cages. It can be defined as: “capture and handling methods that minimize the physical damage to, and allostatic load on, any retained fish until after they are either slaughtered or released, and thus promote the likelihood for post-release survival and/or good product quality” (Breen et al., 2020). Thus, by better understanding how and when during the capture process stressful/poor-welfare situations occur, it may be possible to improve the quality of the retained catch. Poor quality is currently one of the main issues facing the fishery.
Tuna slaughtering can be carried out in different ways, including using an electrical current to first stun the animal or by shooting with an explosive harpoon. The latter has never been tested in Norway. Only initial tests with electricity have been carried out. Further tests are needed with both methods to determine their suitability for Norwegian conditions. To date, this project only has permission to test the electrical stunning method.
1.5 - Live-storage monitoring
To ensure good meat quality, the welfare of fish stored in cages should be regularly monitored. BFT and environmental conditions in Norway are substantially different from other well-developed BFT fisheries (e.g. in the Mediterranean). Norwegian BFT has high fat content. While feeding to fatten is not required, it needs to be found out whether maintenance feeding may be necessary to ensure good welfare and to maintain meat quality. However, food requirements for this are unknown and need to be researched. The same applies to tolerance of Norwegian sea temperatures, which are expected to be close to BFT tolerances during autumn and into winter. These (and other related welfare/quality issues) need to be investigated as soon as catch and transfer routines are optimized.
This report herein describes the work conducted in 2023 for the development of live-storage of BFT in Norway. Specifically, the goals of the trials were to:
Test a high frequency sonar for identification and counting of BFT individuals during pre-catch, catch and post-capture phases.
Test a small-mesh panel to avoid entangling fish during seine retrieval.
Test a BFT transfer channel and transfer cage.
Test the ability of different optical solutions (including stereo camera equipment) to count and monitor fish during transfer and at different storage steps.
Evaluate fish welfare and quality during and after capture, as well as during live-storage.
2 - Materials and methods
2.1 - Vessel and fishing area
The fishing trials were carried out between the 14 and the 27th of August 2023 onboard M/S Vestbris (VL-50-G), a combined purse seine and demersal seine vessel (Fig. 1). The vessel was built in 2009, is 35 m long and 9.2 m wide, and has a main engine of 1000 HP. The vessel has a gross tonnage of 498 tonnes, and a loading capacity of 378 m3 divided into 6 Refrigerated Sea Water (RSW) tanks. In general, the vessel is considered a medium-sized Norwegian coastal vessel and is well equipped with two sonars, a high-frequency Furuno FSV 75 (180 KHz) and a low frequency Simrad SU90 (20-30 KHz), and state of the art navigation equipment. MS Vestbris was the platform in charge of fishing operations.
Figure 1: MS Vestbris.
In addition to MS Vestbris, the trials were assisted by MS Fjorgyn (45 m catamaran, owner: Fisheries Directorate of Norway) from the 19th August onwards. MS Fjorgyn was responsible for helping in the search of BFT, storing of scientific equipment during trials, hosting scientists, and generally assisting MS Vestbris with fishing operation logistics.
The fishing area was off the coast of Norway between Fedje (60°46′N - 4°43′E) and Stat (62°20′N 05°09′E). The fishery was always conducted less than 20 nautical miles offshore, due to the proximity of BFT to the coast (Fig. 2).
Figure 2: The area in red shows the approximate area covered during the fishing trials onboard MS Vestbris in 2023.
2.2 - Portable high frequency sonar
Multibeam high frequency sonars such as the Kongsberg M3 (500 kHz) have enough resolution to discriminate single fish up to a range of 100 m. During a survey onboard M/S Ytterstad in 2021 (Peña et al., 2022), this sonar was successfully used to measure free swimming BFT aggregations at a speed up to 4 knots. The transducer is relatively small (< 5 kg) and can be operated from a small boat. On a later survey onboard M/S Sjarmør in 2022, M3 sonar data was collected from inside two purse seine casts ( Sistiaga et al., 2022). The sonar allowed effective sampling of water volume inside the seine and demonstrated the potential for evaluating the number of caught fish.
During the present trials, the M3 sonar was mounted on a aluminum pole on the port side of the skiff available from M/S Fjorgyn (Fig. 3). A hydraulic piston allowed a change in the tilt angle of the sonar transducer to target the depth at which the fish were swimming. The sonar was operated using a car battery and a converter from 24 to 220 Volts. A dedicated PC running the M3 sonar software was connected via ethernet cable and powered with the same converter. Data was stored locally and replayed later using the same software.
In addition to the sampling of the purse seine during the catching process, M3 sonar measurements of fish inside the transfer cage were done in the open sea (Casts 2 and 3) and inside fjords (Casts 1 and 2).
Figure 3: Pole for mounting the M3 sonar. Left: the whole pole with attachment points, including the system to allow retrieval from the water when moving and deployment into the water when acoustic sampling in underway. Middle: M3 transducer mounted to the end of the pole with a hydraulic arm to allow tilting. Right: pole mounted to skiff before deployment.
2.3 - Seine and small mesh panel
A purse seine delivered by Fiskenett A/S was used during the present trials. The seine was 846 m long and 132 m deep. The net was constructed entirely of 200 mm meshes with increasing twine thickness (4 to 6 mm) towards the bunt and shoulder parts of the net. Netting colour was black. To prevent BFT entanglement, a small mesh panel was inserted in the seine covering parts of the bunt, shoulder and main body of the net (Fig. 4). The small mesh panel was black and had a mesh size of 52 mm (constructed with thread Nr 52). The panel was 50 m deep and 150 m long.
Figure 4: Schematic view of the seine with small mesh panel.
2.4 - Transfer channel and transfer cage
The transfer cage used during the fishing trials was 65 m long, 17 m wide and 11 m deep (Fig. 5). The size of the net allows vessels as large or larger than M/S Vestbris to carry the cage onboard during fishing. The transfer cage onboard M/S Vestbris was stored at the bow of the vessel and deployed by pulling it out to sea using a skiff. Once the cage was in the water, it was braced with three transversal aluminum poles to maintain cage structure. The cage meshes were 52 mm (thread Nr 40, colour: white); typical of the aquaculture industry in Norway and the Mediterranean Sea. The front part of the cage was V-shaped and constructed of 156 mm netting to facilitate towing and waterflow through the cage (Fig. 5). To retrieve the cage onboard after the trial was completed, a 40’’ power block located at the bow of the vessel was employed.
Figure 5: Construction of the transfer cage (left) and aerial view of the transfer cage while towing (right).
The seine and the transfer cage were connected by a transfer channel that allowed the transfer of BFT from the seine to the cage. The channel was 6 m wide, 6 m long and 4 m deep and built of the same material as the bunt of the seine net. The channel was permanently fixed to the side of the transfer cage. When fish had to be transferred, the channel was attached to the terminal end of the net bunt (gavel) in the seine using rope and plastic rings. At the rear end of the transfer cage, an additional channel was mounted. This was designed to allow transfer into a stationary cage or for slaughtering fish directly inside the transfer cage. This second channel was also 6 m wide, 6 m long and 4 m deep, but had a tapered bottom. It also was covered with netting on the top to prevent fish from swimming out of the channel if stressed (see Section 2.6.3 for more detail).
2.5 - Optical identification systems
GoPro cameras attached in steel frames (Fig. 6) were used to film different phases of the live-storage process. Inside the channel, the system recorded the channel opening and closing as well as the numbers of fish transferred (as required by ICCAT regulations). Inside the transfer cage, general BFT behavior was recorded. The same GoPro & frame system was used to film the stationary cage entrance during fish transfer from the transfer cage.
Figure 6: Steel frame with GoPro cameras fixed to the inside of the netting in the channel.
Two customized stereo camera systems for counting and monitoring fish during transfer were also tested (Fig. 7). These were fitted into steel frames that could be attached to netting panels in the channel so as to suspend them ~2 m below the surface during transfer. Each system comprised of two Gigabit Ethernet cameras, with a 1720 × 1080 pixel resolution and framerate of 35 fps. The cameras were mounted in an underwater housing, with a baseline of 85 cm and inward convergence of 5°. Camera synchronization was achieved using the IEEE 1588 Precision Time Protocol (PTP). The systems were rated to a depth of 40 m and had an umbilical cable that supplies power over ethernet and transfers images to a logging computer, which encodes left and right videos using GPU encoding. The stereoscopic system was previously calibrated using a checkerboard pattern.
Figure 7: Stereo camera systems rigged prior to deployment on the side panels of the transfer channel.
Another system tested was a surface ROV (USafe motorized buoy) fitted with a GoPro camera (filming at a ~45° angle into the water). Suspended 3 m below the ROV and cabled directly to the vessel was a real-time stereo-camera (Breen et al., 2021).
2.6 - Equipment for welfare and quality measures
2.6.1 - Physiology
Sampling was conducted to determine the physiological stress induced by various capture and storage procedures. Blood was collected from an exsanguination cut of the cutaneous vasculature posterior to the pectoral fin and stored on ice in heparinized syringes. Muscle pH and temperature were recorded (SevenGo Duo pH meter with puncture electrode) either at this exsanguination cut and/or inside the body cavity (probe inserted towards the spine). Upon processing, whole blood lactate, glucose and haemoglobin were quantified using Lactate Pro 2, Contour Next One and HemoCue Hb 201+ point-of-care devices respectively. Haematocrit was quantified by centrifuging whole blood sub-samples for 10 mins at ~10,000 RPM. Plasma was produced from the remaining blood by centrifuging for 10 mins at ~5000 RPM and was stored on dry ice. Plasma was subsequently stored at -80°C, until laboratory analysis using a Sunrise microplate reader with ELISA essay kit (cortisol) or ABL90 FLEX blood gas analyzer (all other parameters).
2.6.2 - Behavioural monitoring
Connectivity problems with the stereo-camera hanging from the surface ROV prevented real-time observation inside the seine and transfer cage. Instead, GoPro’s were used in the seine, transfer channel and cage, on the fishing vessel and as head-worn cameras to record behaviour for later analysis. Two aerial drones recorded the capture, transfer, towing and harvesting procedures. Hydro-acoustic observations were also made during capture and in the transfer cage (see Section 2.2).
2.6.3 - Electrical stunner
A “Tuna Stunner M-Type" (Yamada Jitugyo Co. Ltd., Japan) was used for electrical stunning. This device allows control of electrical field output power (range 0-20) and wave form (“soft”, “normal” or “strong”). In Casts 1 and 2, stunning was conducted in the specially designed rear transfer channel of the transfer cage (Fig. 8). By reducing the volume in the cage, single fish were encouraged to enter the channel and its extension, which was then closed before stunning commenced. In the holding cage (Cast 3), fish were stunned in shallow water (<1.5 m) created by lifting the bottom of the stationary cage.
Figure 8: Schematic of the transfer (blue) and stunning channel (purple) attached at the lower end of the transfer cage. Below: side view of the transfer and stunning channel with approximate dimensions.
To stun, the pole mounted electrode was placed < 1 m from the fish’s eye and engaged for ≤ 5 secs. The wave form was “normal” with power settings of 5/10 (~20 Amps), 10/20 (~40 Amps) or 15/20 (~70 Amps). An effective stun was defined as an immediate cessation of swimming and equilibrium for > 5 secs post stunning.
2.6.4 - Quality
Casts 1 and 2 fish were quality assessed on delivery to Domstein AS, Måløy (Cast 1 and 14 fish from Cast 2) or Norhordland Fisk AS (8 fish from Cast 2). Metrics assessed included: core temperature, external injuries, tail cut and overall colour, fat content and taste of a core sample. For Cast 3 fish, a qualitative assessment was conducted upon arrival at Tokyo Fish Market, Japan. Metrics assessed included: body shape and flesh colour and fat content from a tail-cut. In addition, the condition of the ice content in the shipping container was also noted.
For all fish the following biometrics were recorded: fork length, girth, dorso-ventral height, sex and stomach content were noted for each fish. External injuries were photographed. Histological sampling (including bacteriology) of injuries was conducted ad hoc on fish from Cast 3.
2.6.5 - Monitoring environmental conditions in the transfer cage
A RINKO 1D Temperature & Oxygen logger (JFE Advantech Co. Ltd., Japan) and a TCM-1 Tilt Current Meter [Lowell Instruments, LLC, USA] was used to monitor conditions inside the transfer cage (Cast 3 only). They were hung from the spreader bar at the cage aft, 1m in from the port (current) or starboard side (temperature/O2). The same instruments were used to monitor temperature, dissolved oxygen and current in the holding cage (see section 2.7).
2.7 - Stationary holding cage and monitoring
The stationary holding cage was moored in sheltered water (40-50 m depth) close to Byrknes. The polyethylene cage (Polarcirkel™) had a diameter of 15 m, a wall depth of 10 m and a conical bottom that tapered to a point at 14 m depth (cage volume ≈ 2120 m3). The black knotted netting had a mesh size of 35 mm. A transfer channel was made of the same material as the cage walls; 4 m deep, 6 m wide and 6 m long. These dimensions were chosen to allow direct connection to the transfer channel at the lower end of the transfer cage. The holding cage was equipped with an oxygen probe (positioned at ~3m depth against the inside of the cage netting) and current meter (positioned at ~0.25m depth and ~1m inside the cage netting).
On August 27th, three tuna were transferred from the transfer cage to the holding cage. This first involved connecting the transfer channels of the two cages (Fig. 9). For this, we fastened the end of the transfer cage to the holding cage using ropes, so that both channels were in close proximity. The other end of the transfer cage was held steady by a fishing vessel. Once the channels were connected, we loosened the securing ropes and allowed the vessel to pull the transfer cage outward away from the holding cage so that the transfer channel was under tension and fully opened. To encourage the tunas to enter the holding cage, the transfer cage was hauled onto the fishing vessel and the aluminum supporting poles removed one by one. This gradually reduced the available space in the cage and gently directed the tuna toward the transfer channel. The entire transfer process took ~ one hour.
Figure 9: Left: Drone aerial view during the transfer of fish from the transfer cage (centre) to the holding cage (right). Right: Schematics with dimensions of the holding cage.
Fish welfare was monitored daily, following the inspection protocol outlined in a permit from the Norwegian Food Safety Authority. Monitoring typically occurred around midday for one hour. Two pole-mounted GoPro cameras (at ~1m depth, horizontal view and at ~45 o tilt angle) allowed us to record video of the tuna and the interior of the cage. In addition, aquascopes were used for real time observations.
Our inspection protocol required us to observe all the tuna. Collecting video footage also allows for a detailed description of swimming behavior, including factors such as: schooling pattern, tail beat frequency, vertical distribution, swimming direction and frequency of surfacing. We noted the overall condition of each tuna, including visible injuries. We also provided food, typically 3-4 whole dead mackerel , dropped one-by-one into the swimming path of the tuna and within the field of view of the GoPro cameras. This approach to feeding aimed to assess the tunas' adaptation to captivity, with any changes in their reaction, feeding or interest toward the feed serving as indicators.
3 - Results and Discussion
3.1 - Cruise diary
During the sea trials three purse seine casts were performed:
Cast
Date
Time (local)
Catch (No. of fish)
Transferred to transfer cage
Transferred to holding cage
1
18.08
07:10
3
✓
✗
2
23.08
11:20
22
✓
✗
3
26.08
11:10
3
✓
✓
August 14: Departure from Bergen to Manger to install the small mesh panel in the seine. Travel to Byrknes that same evening.
August 15: Left Byrknes harbour 8am. Searched the area around Feije and all the way south to Sotra (Telavåg). We searched until 8pm in the evening, but there was little activity or birds at the surface. No BFT observations all day.
August 16: Too much wind in the area so we were not out fishing.
August 17: We left Byrknes at 9am and sailed north towards Måløy. We looked for BFT all the way to the destination, but it was windy (7-8 m/s) and difficult to see potential movements in the surface. No BFT observations the whole day.
August 18: At 6am, 3 BFT were identified on the sonar of the vessel. After following them on the sonar for a while, we set the seine at kl. 07:10am (62°13’83’’N - 04°55’24’’E). We had issues with the ROV cameras, which delayed the retrieving process and did not allow us to determine whether the fish was in the seine or not. The portable high frequency sonar was not available at this stage of the trials. When we first saw there were fish in the seine, there were only 150 m of seine left to retrieve. Attaching the channel and placing the stereo camera equipment took time. There were also some problems with some G hooks on the equipment that got entangled in the channel. All these delays caused two out of the three fish in the seine to get entangled. The last fish passed through the channel and into the cage. This was observed by eye and with a GoPro camera in the channel. Attaching the stereo camera in a stable way to film the transfer was a challenge and it was decided not to use it in any following casts because the filming needed to comply with ICCAT rules does not require stereo images. Once the fishing operation was over, the cage was towed at 1-2 knots towards land with the one fish in.
August 19: The cage was towed all night towards the coast. The experience of towing the cage was very positive and we experienced no problems with it. The behavior of the fish was documented by drone video and cameras placed in the cage and showed no indication of stress. The M3 high frequency sonar was tested but it was difficult to detect the fish. Once the various monitoring technologies had been used to documented the fish, the cage was taken up using the triplex of the vessel. When the fish was finally led to the slaughtering channel at the back of the cage, the electrical stunning equipment was tested on it. The fish was stunned twice and taken onboard for slaughtering. The stunning method needs to be improved as the fish recovers too fast and there is no time to slaughter it.
August 20: Bad weather and a lot of wind at sea so we stayed in harbour.
August 21: The three fish from the first setting were delivered. It was still too windy for BFT fishing so we stayed at the harbor.
August 22: Departure from Måløy early in the morning. Saw five fish in the sonar at 6:30am but did not manage to follow them and we lost them. Found another three fish that were followed for a while but we decided to look for a larger shoal. We did not see anything the rest of the day and decided to move a bit further south around Florø. We stopped at Kalvåg and spent the night there.
August 23: Departed Kalvåg and searched for fish west of Florø. There were some observations of possible tuna on the sonar early in the morning, but nothing certain. There were no fish at the surface. At 11:20am, a shoal of tuna that seemed to be composed of 6-8 fish were observed. The net was set at 61°30’74’’N - 04°26’13’’E. This was an area with strong currents due to the proximity of the large fjord systems in the area, and while the net was out we observed that the cork line submerged where the small mesh panel was installed – this could lead to tuna escaping the net. In this area, the RX4 floats should probably be changed for RX7 floats to compensate for the additional hydrodynamic drag added to the seine by the small mesh panel. It was challenging to keep the net and channel open due to the current, but with three small vessels assisting the operation we could manage. The whole operation took almost three hours, but because the seine was kept open there was no mortality and all fish were transferred fine. We could not see the fish passing through the channel by eye due to the darkness in the water - perhaps the color of the netting in the channel should be changed to white in the future. The GoPro video cameras in the channel showed that the fish was skeptical to pass though the channel, so in the future a larger channel should be used so the transfer happens as soon as possible. This has various advantages, especially for fish welfare. In the underwater video from the channel we only saw six fish passing by. There were problems with the channel and compatibility to get stable camera images, which are necessary to comply with the ICCAT regulations (filming of transfer ID, opening and closing of channel and number of fish transferred). This needs to be worked with in the future to guarantee compliance with ICCAT rules. When all fish were transferred we started towing the cage towards Florø. We estimated to have 12-13 fish in the cage, but we were uncertain of the exact number.
August 24: We towed the cage the whole night. Observations made with drone and cameras in the cage showed that the fish did not have any signs of stress. There was no mortality either. The sonar registrations as well as the video observations showed that the fish held themself close to the bottom of the cage and had no shoaling behavior. Rather, they swam freely. The catch was slaughtered directly from the transfer cage because it was not possible to tow it between Florø and Byrknes at the time. The distance (ca. 80 nm) and the sea currents in the area did not allow it. The fish was slaughtered after the necessary documentation from the fish in the cage was collected. An attempt was made to use the slaughtering channel and the electrical stunning machine, but after trying it on the first fish we decided not to use it on the rest. This was because the fish was only stunned for a couple of minutes, and came back to consciousness which made the slaughtering difficult. The rest of the fish was killed by asphyxiation by taking the cage through the triplex. Once the fish was taken onboard we sailed towards south towards Fedje to deliver.
August 25: Eight fish were delivered at Fedje and the rest stayed in the RSW tanks onboard. At 2pm we left harbor to search for fish in the afternoon but we saw none. There was little bird activity in the area as well. In the evening we left towards Byrknes and spent the night there.
August 26: Left Byrknes at 5am. We saw nothing for a while, but at 10:30am the sonar showed three fish. We followed them for a while and deployed the seine at 11:10 am at 61°04’91’’N 04°28’08’’E. All three BFT were caught. They could be clearly seen inside the net using the high frequency sonar (180KHz) onboard M/S Vestbris. The camera in the channel also showed all three fish clearly going into the cage. Once the fish were in the cage, we started towing towards Byrknes and the stationary cage we had prepared there.
August 27: The towing towards the stationary cage went very well with no mortality or apparent sign of stress in the fish. This was the third towing of BFT we had during the cruise and in all three cases the fish seems to have good welfare conditions in both the day and night. The transfer from the transfer cage to the stationary cage was conducted through the slaughtering channel at the back of the cage while drying out the transfer cage. The fish swam through the channel but we could not observe them by eye. The camera in the channel was well placed, but at the moment the fish was in channel, its shape changed substantially due to either currents or thruster activity from MS Vestbris. This meant the transfer was not captured on film. The stereo cameras were submerged in the cage and showed all three fish. The Norwegian Food Safety Authority granted permission to cage the fish for up to ten days.
3.2 - Observation with acoustic technology
The MS Fjorgyn skiff was not available to monitor the purse seine during the first catch but was present for the other two. After pursing of the seine was completed in Casts 2 and 3, the skiff was lowered and approached the distal end of the net away from the fishing vessel. Continuous registrations from the multibeam high frequency M3 sonar were made, adjusting the position of the skiff to cover the water volume inside the net. Because of the 30° vertical beam, the transducer needed to be at some distance from the net to allow a larger sampling volume. The operation of the M3 sonar onboard the skiff was satisfactory, with noise free and continuous data acquisition. The jet propulsion system on the Fjorgyn skiff was quieter and produced less vibration than the outboard motor skiffs used in earlier trials. The sea conditions were good, with moderate swells.
Following the transfer of fish into the transport cage in Cast 1, currents affected the underwater shape of the cage and visualization of the single fish was not optimal because discrimination between scatters from the net and fish was difficult (Fig. 10).
Figure 10: Screen dump from M3 sonar on 19.08.23 with a range of 75 m using EIQ-fine (Enhanced Image Quality) data acquisition mode. The single BFT is indicated with the red circle, the rest of the backscatter (green to orange) corresponds to the transfer cage. Data collected ca . 30 m away from net wall, with a sampling range of 75 m.
During Cast 2, sonar data showed several BFT swimming in a schooling formation inside the purse seine (Fig. 11). The backscatter from a single fish was not observed as one single echo, but rather as 2 or 3 (probably due to the contribution of the swim bladder, head and spine bones). At the measured range, each fish was ensonified by 3 to 4 sonar beams, which together with the different swimming depth of individual fish, made it challenging to count the number of fish in real time from the skiff. At sea, the catch was estimated to be ca. 8-10 fish. However, during later data replay, up to 15 fish could be counted.
Figure 11: Screen dump from M3 sonar on 23.08.23 during Cast 2. The group of BFT is observed in the center of the image as individually defined oval shaped targets of color between green and orange. Light green and yellow elongated targets correspond to echoes from the purse seine net. Transducer located ca. 15 m from net wall, sampling range of 50 m.
Sonar measurements of the fish inside the transfer cage showed them swimming in the central section of the cage along one of the walls at medium depth (Fig. 12). The fish swam in a milling formation at slow speed and with no signs of stress. Fish counting inside the transfer cage was possible, but not accurate. This was because the fish actively changed swimming direction, making the backscattering more variable.
Figure 12: Screen dump from M3 sonar on 24.08.23 of the transfer cage with BFT from Cast 2. The group of BFT is observed in the center of the image as individually defined oval shape targets of color between green and orange. The two net walls of the transfer cage are shown as parallel lines mostly of light green and yellow. Transducer located ca. 18 m from net wall, sampling range of 40 m.
Cast 3 was sampled with the sonar from the skiff following the same method, and three BFT were counted inside the purse seine (Fig. 13). Because of the large volume, fish swam for extended periods in the same direction which facilitated sonar sampling and counting.
The sonar measurements inside the purse seine in early stages of hauling were important for deciding what future action to take, i.e. slaughter the fish inside the seine, release part of the catch or transfer the fish to the transfer cage. The sonar data was able to confirm that BFT were inside the net and provide an estimate of their number. The estimation of the number of fish in Cast 2 (10-15 fish) underestimated the real number (22 fish). However, it provided necessary knowledge to inform the decision to transfer the fish to the cage by confirming fish were inside the purse seine and by giving a reasonably accurate estimate of the number. The use of post-processing software (i.e. Echoview) for fish tracking allows better estimates of the number of fish, which could not be accurately achieved during the actual recording.
Figure 13. Screen dump from M3 sonar on 26.08.23 from inside the purse seine from Cast 3. The three BFT are circled in red. The larger and elongated scatters correspond to the purse seine net. Transducer located ca. 10 m from net wall with a sampling range of 75 m.
3.3 - Use of small mesh panel in the seine
We could not collect any quantitative data on how the small mesh panel functioned while fishing and to what extent it contributed to avoiding entanglement because the stereo-camera hanging from the surface ROV did not work as intended. However, no BFT was entangled in the small mesh panel during the trials. It did not require additional handling care during setting or retrieving and its strength was satisfactory for fishing operations. There was also no bycatch of other pelagic species like mackerel or herring due to the small meshes. In future trials, new observation methods (e.g. ROVs or stationary cameras) are needed to observe the seine underwater. We observed that strong current conditions can cause the floatline above the small mesh panel to sink under water. This can likely be solved by changing to RX-7 floats in this area.
3.4 - Performance of transfer channel and cage
Fish were able to successfully pass through the transfer channel and into the cage. However, the channel showed some deficiencies that can be improved in future trials. The fish were reluctant to pass the channel even when the seine had low volume. It is likely that the fish experienced the channel as too narrow. A larger channel may encourage fish to pass earlier, which would improve efficiency and reduce the chance of fish-gear contact. For the 2024 trials, we propose to increase both the width and depth of the channels by 2 m (i.e. 8 m wide x 6 m long x 6 m deep). Transfer channels constructed from white netting would facilitate better visual observation of fish during transfer. The plastic ring system for connecting the channel to nets/cages is time-consuming and a faster solution is required at this critical point of the operation.
The transfer cage used during the trials worked satisfactorily. Towing speed was between 1 and 2 knots. There were no issues during deployment or during towing. The fish appeared to have enough space and structure was maintained even in winds up to 5 m/s. Even though we did not experience any structural issues during the trials, the aluminum poles used to stiffen the cage structure need to be improved. Specifically, the mechanism to fix the poles to the transfer cage floatline needs to be improved so that the operation can be carried out faster.
3.5 - Performance of optical identification systems
Currently, the project has several challenges associated with the use of the optical identification systems. These are required for monitoring BFT welfare/behavior and for compliance with the ICCAT regulations regarding fish transfer. The surface ROV was not successful at obtaining images from inside the seine that could confirm the presence of BFT. The mounted stereo-camera made the ROV difficult to maneuver, and there were connection problems with the computer. In future, it is recommended to use the ROV with a small camera system only (e.g. GoPro). Further, the encouraging results obtained with the different sonar systems tested during the trials question the need for optical observation systems during the catch phase of the process. Nevertheless, the surface ROV is a useful tool for phases where fish are in a confined space (e.g. the cage).
The systems consisting of a steel frame with GoPro cameras attached worked satisfactorily. The collected images were of good quality and the cameras are reliable. However, additional batteries are required so that extended recording times that cover the whole operation can be achieved. During transfers, it is recommended to use at least two systems to ensure the whole process is recorded. The main challenge during transfer is attaching the cameras to the channel in a way that allows stable images to be collected. This is because the channel itself is flexible and its shape is easily changed by water current. In future trials, new camera attachment points (or a holding platform) that facilitate stable image collection should be tested.
The stereo camera system was initially intended to be installed in the channel to obtain live images of the fish passage from the seine to the transfer cage. However, the system proved to be too large and unpractical as its installation required too much time at a critical stage i.e., the linking and deployment of the channel. Further, the system required two large and heavy connection cables from the cameras to a computer onboard MS Vestbris, which further reduced practicality. Despite the challenges at the transfer phase, the stereo camera was used to observe fish in the transfer cage and to measure the size of the three fish confined in the stationary cage (Cast 3). In this context, the system provided high-quality underwater images (Fig. 14). The length estimates gathered by the camera were fairly accurate: camera estimated flat fork length range was 258 – 277 cm. The actual flat fork length measured post-hoc was 269, 272 and 276 cm.
A stereo camera system is necessary when transferring fish into stationary cages to provide an estimate of the catch volume. In Norway, it is envisaged that this operation will be carried out inshore inside fjords. This is a more controlled environment with nearby infrastructure compared to the open sea. In future, it may therefore be convenient to have the transfer filmed by a diver operated stereo-camera so that optimal camera positions are achieved. This would be consistent with how transfers are documented in other established BFT fisheries.
Figure 14: Underwater images obtained using a single camera from the stereo camera system (left) and from using both cameras to estimate length (middle and right).
3.5.1 - Challenges related to compliance with the “minimum standards for video recording procedures applicable to transfer, caging and/or release operations” (Annex 8 in Recommendation 22-08)
Compliance with ICCAT minimum standards for video recording procedures during fish transfer and caging is one of the major challenges facing the current project. Due to the impossibility of using divers for at-sea transfers, the recordings need to be conducted by stationary cameras placed in the channel itself or on adjacent structures such as the transfer cage. Experiences during the 2023 trials allow for an assessment of the status of the current challenges related to Annex 8 of Recommendation 22-08 (in bold):
1. Each flag, trap and farm CPC concerned shall ensure that the following procedures apply to all video recordings of transfer, caging and/or release operations referred to in this Recommendation:
a) At the beginning and/or the end of each video, where requested, the ICCAT transfer or caging authorization number or release order shall be displayed;
This was achieved during the trials and can be implemented in Norway.
b) The time and the date of the video shall be continuously displayed throughout each video record;
This was achieved during the recordings carried out this year and can be implemented in Norway.
c) The video record shall be continuous without any interruptions and cuts, and cover the entire transfer, caging and/or release operation;
The portable camera and frame systems employed during the trials needed extended battery capacity to be able to comply with this point. Once the extended battery capacity was implemented, recording the whole transfer and caging operations was achieved.
d) Before the start of the transfer, caging and/or release operation, the video record shall include the opening and closing of the net/door and, for transfers and caging operations, show whether the receiving and donor cage(s) already contain bluefin tuna;
The transfer cage and transfer channel used in Norway are deployed at sea immediately before the transfer. This means they cannot contain any BFT from before. The relevance of being required to show the opening of the channel as well as an empty transfer cage is therefore questionable. The closing of the channel is carried out by choking the entrance and can be recorded with stationary camera systems pointed at the channel entrance. Regarding transfer to stationary cages, this would most likely to be carried out with the assistance of divers in the future. This would ease compliance regarding this point.
e) The video record shall be of sufficient quality to determine the number and, where appropriate the weight, of bluefin tuna being transferred, caged and/or released;
The videos obtained by GoPro cameras are of sufficient quality to determine the number of fish transferred to the transfer cage. The stereo cameras used to measure the size of the fish also provided images with satisfactory quality.
f) A copy of the video record shall be kept on board the donor vessel, or by the farm or trap operator where appropriate, during their entire period of authorization to operate;
This can be easily implemented in Norway.
g) The distribution of copies of the video records shall follow the provisions referred to in paragraphs 120 to 123 of this Recommendation;
This can be implemented in Norway.
h) The electronic storage device containing the original video record shall be immediately provided to the ICCAT regional and/or CPC national observer after the end of the transfer, caging and/or release operation. The ICCAT regional observer and/or CPC observer shall immediately initialize it to avoid any further manipulation.
This can be implemented in Norway.
2. Each flag, trap and farm CPC concerned shall establish the necessary measures to avoid any replacement, edition or manipulation of the original video records.
This can be implemented in Norway.
Insufficient quality of the video record
3. If the video record is of insufficient quality to determine the number and, where appropriate the weight, of bluefin tuna being transferred, caged and/or released, the operation shall be repeated until the quality of the video is adequate, following the procedures below:
a) for a transfer, the transfer operation concerned shall be repeated in accordance with the provisions set out in paragraphs 124 to 129 of this Recommendation (voluntary and control transfers). This voluntary or control transfer shall be carried out into another cage which must be empty.
Repeating the initial transfer from the seine to the transfer cage due to non-compliance at sea would be challenging in Norway. One possible solution is that vessels always carry two transfer cages onboard. However, more feasible would be to repeat the transfer once the transfer cage is inshore inside the fjords and not in the open sea. The sheltered conditions would increase the probability of a successful transfer and allow for the use of divers.
For those transfers where the origin of the fish is a trap, the bluefin tuna already transferred from the trap to the receiving cage could be sent back to the trap and the voluntary transfer is cancelled under the supervision of the ICCAT regional observer;
This type of transfer is not relevant for Norway currently.
b) for a caging operation, the caging operation concerned shall be repeated in accordance with the provisions set out in paragraphs 163 and 164 of this Recommendation.
As the caging operation is planned to be carried out in the fjords with the assistance of divers, it would not be a problem to comply with this point in Norway.
The new caging operation must include movement of all the bluefin tuna from the receiving farm cage into another farm cage, which must be empty;
c) for releases, the segregation of the fish to be released shall be repeated in accordance with the release Protocol set out in Annex 10 of this Recommendation.
Release of BFT have yet not been tested in Norway. However, compliance with Annex 10 should be possible. The major challenge is likely to be related to adequately filming the release out at sea, where it is not feasible to use divers. Another issue specific to Norway may be conflicts with aquaculture facilities as BFT are known to swim into aquaculture cages. This will have to be accounted for when planning to release BFT.
3.6 - Fish welfare and physiology
The results and discussion presented here are based upon a preliminary analysis of the available data.
3.6.1 - Behaviour
No adverse behavioural response or interactions with gear were recorded during capture and transfer. Aerial footage was particularly informative and showed a loose shoaling behaviour formed in the transfer cage within the first 24hrs, suggesting rapid adaptation to captivity. There were no indications of any maladaptive behaviour that could raise welfare concerns. However, when crowded for harvesting, shoaling synchronicity was lost, fish-to-net contact occurred, and all fish showed maladaptive escape responses (vigorous tail and body movement). This activity reduced and eventually ceased over a period of ~20 mins, likely due to exhaustion and/or asphyxiation. Further video analysis is required to determine vitality and its correlation with physiology and quality status.
3.6.2 - Stunning
Four fish total were electrically stunned. Three were effectively stunned using settings of 10/20 (~40 Amp, “normal” wave form) or higher. However, prolonged sedation (~2 mins) was only achieved using 15/20 (~70 Amp, “normal” wave form). The stunning channel functioned effectively. However, during Cast 2, the distance to the vessel made it impractical to transfer sedated fish before they revived. Stunning was therefore abandoned after the first fish. The length of the stunning pole made precise placement of the electrode impractical in the holding cage. Stunning was therefore abandoned after the first two fish in Cast 3. Dissection of the fish from Cast 1 revealed that several vertebrae had been crushed, likely due to the electrical shock inducing extreme muscle contractions. All stunning was conducted at the beginning of the harvest process. Therefore, stunning and stressor exposure are confounded and preclude conclusions regarding physiological or quality effects.
3.6.3 - Physiology
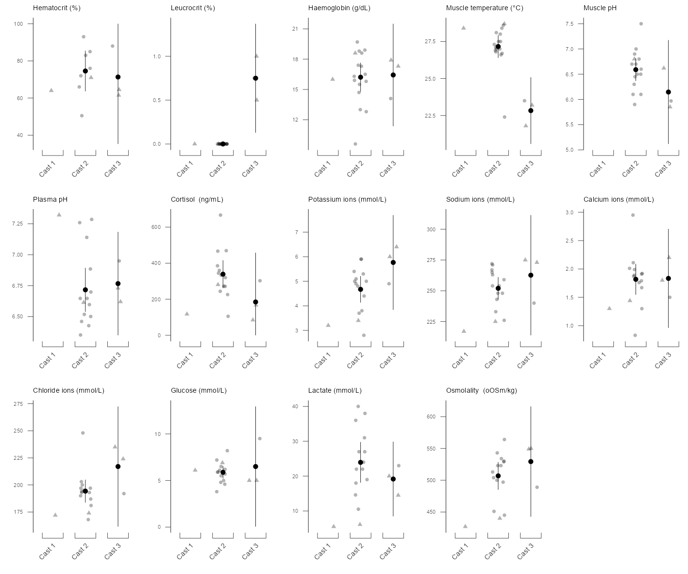
The fish from Cast 1 probably represents the best “lower stress” baseline. Comparison with this indicates that Cast 2 and 3 fish generally had increased osmoregulatory challenges (elevated levels of K, Na, Ca, Cl and osmolality), anerobic metabolism (increased lactate, reduced pH) and stress hormone production (cortisol, Fig. 15). This is consistent with an acute teleost stress response. There were insufficient replicates to assess the effect of electrical stunning on physiology.
Figure 15: Physiological responses to short-term live-storage in bluefin tuna. Cast 1 & 2 = fish caught by purse seine and transferred to a transfer cage, which was towed for ~1 day. Cast 3 = caught by purse seine and transferred to a transfer cage which was towed for ~1 day. Fish were then transferred to an inshore stationary cage and held for ~10 days. For all casts, slaughter was achieved by reducing cage volume and “drying” the fish. Black circles and whiskers represent sample means and 95% confidence intervals respectively. Grey points indicate raw data, with triangles for fish that were electrically stunned during the slaughter process.
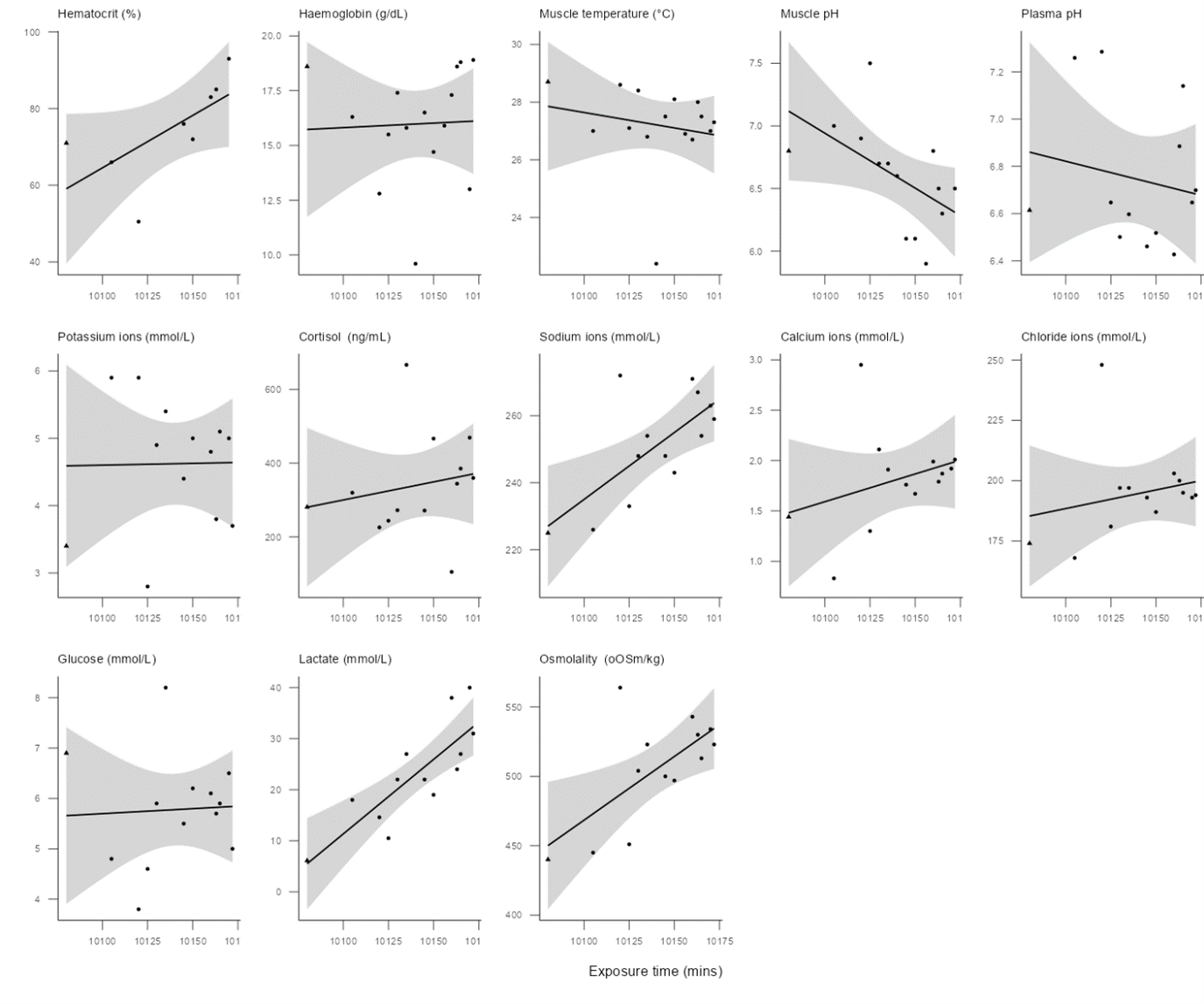
For comparable exposure times, levels of osmoregulatory disturbance and anerobic metabolism were broadly similar between Cast 2 and 3 (Fig. 15). This suggests: i) the fish failed to recover from capture stress or ii) the slaughter process itself is stressful. Given that the magnitude of physiological disturbance was broadly dependent on the slaughter process duration in Cast 2 (Fig. 16), it is reasonable to assume the latter occurred. The elevated leucocrit levels in the storage cage (Cast 3) may indicate infection that was not present in fish from the transfer cage. However, stored fish generally had lower muscle temperatures and cortisol levels (Fig. 15).
Figure 16: Physiological responses over time during slaughter of live-stored bluefin tuna. Fish were caught by purse seine, transferred to a transfer cage, towed for ~1 day and then slaughtered by “drying” the cage (Cast 2). Black lines and shaded areas represent a linear model fit with 95% confidence intervals. Black points indicate raw data, with triangles for fish that were electrically stunned during the slaughter process. Exposure time = 0 is when the first fish was slaughtered.
3.6.4 - Quality
Quality in Casts 1 and 2 was variable. Six fish from Cast 2 had “burnt tuna syndrome” (BTS) and had correspondingly poor scores in color and taste. These fish tended to be those sampled later during the catch harvest, implying a stress related cause. Fat content was typically “moderate”, although 5 fish from Cast 2 were classed as “excellent”. Fish that were stressed and died in the fishing gear before bleeding tended to exsanguinate worse than fish that were alive before stunning and bleeding (Fig. 17).
Figure 17: a) Tail muscle from RSW stored tuna that was stunned prior to bleeding and exsanguination. b) Tail muscle from tuna that died in the fishing gear prior to bleeding and exsanguination (photos: Nofima AS).
Temperature control is an essential part of food production, delivery and storage in the modern food distribution network and used to increase the length of acceptable product shelf life (Stonehouse & Evans, 2015). However, rapid chilling of tuna can result in cold-shortening and muscle softening (Ando et al., 2007: Stonehouse & Evans, 2015). Prior to delivery, the critical core temperature threshold for important quality implications is 3°C. Fish stored below this point can be subsequently expected to prematurely develop discolored flesh when their meat temperature is elevated above 3°C. Delivery temperatures between 4-10°C are therefore optimal, particularly if the fish is to be transported in ice. However, 10°C is an unsuitable temperature for long-term storage and even if fish are stored at 10°C initially they will have to be stored at a lower temperature afterwards (Ando et al., 2007).
Temperature at delivery was broadly correlated with RSW storage time. Mean (± 95% CI) delivery core temperature for eight fish from Cast 2 was 7.8 (± 1.4) °C after ~16 hrs in refrigerated seawater (RSW) at ~ -0.5 °C. The remaining Cast 2 fish were delivered after ~86 hrs, and had a mean temperature of 0.4 (± 0.2) °C. Optimal RSW storage periods, where the temperature is gradually reduced during cooling, for a given weight of fish should be subject to further research.
Upon arrival in Japan, no fish from Cast 3 displayed evidence of BTS. However, all were considered to have undesirably lean fat content with a “skinny” shape. This lack of fat is likely natural, as the fish were caught early in the feeding season. Catching tuna later or feeding them during live-storage may be solutions. However, previous project experience has demonstrated the difficulty of late-season capture (Sistiaga et al., 2022) and national legislation currently prevents the fattening of wild-caught fish. Two Cast 3 fish were assessed as having “dull” flesh coloration. It is not possible to determine the cause of this without additional sampling.
Direct quality comparison between Casts 1 and 2 and Cast 3 is not possible, because different quality assessors and metrics were used. This protocol inconsistency prevents correlation of welfare status to quality, and therefore standardization should be prioritized in future work.
3.7 - Fish caging
On transfer day, no signs of distress or contact with gear were noted. Post-transfer, fish swam calmly mostly in circles around the cage with no signs of agitation or injury. However, due to the diameter of the cage they needed to constantly turn. Stocking density (determined post-hoc by weighing after slaughter) was ~0,46 kg/m3 of water. Over the next two days, the tuna mostly swam at more than 5 m depth with two fish close together. Observation of any injuries was not possible due to poor visibility at depth. There was no reaction to food. Inspection on the fourth day showed shallower swimming and occasional surfacing. Minor skin abrasions, fin splits, and a cloudy lens on one fish’s eye were noted, but these injuries were considered non-threatening to the overall welfare. On the fifth day, all fish occasionally surfaced, with two swimming together and the one with the injured eye swimming separately. Eye, skin and other minor injuries were observed, but there were no significant developments or immediate welfare concerns. From the sixth to the ninth day all fish swam near the surface, with two together and the one with the injured eye slightly behind, demonstrating a more synchronized shoaling behaviour. The eye and other minor injuries persisted, but did not significantly worsen. Notably, throughout the entire holding period, the fish showed an increasing interest in food but did not take it. Cage environmental conditions were generally stable and conducive to good welfare (temperature: 15 - 16 °C; dissolved oxygen: ~10 mg/L; current: 1.25 - 2 m/s from east/north-east direction).
The fish transfer and holding process was successful during this trial and suggests future commercial live holding of tuna in Norway may be feasible. However, potential areas for improvement were identified, both in the transfer channel and the holding cage. For the channel, increasing its size and incorporating a white, high contrast bottom may be beneficial. This would minimize the potential for potentially harmful gear-fish contact and improve contrast for visual identification. The holding cage diameter appeared to be restrictive, necessitating frequent turning actions that do not reflect natural swimming behaviour and may induce additional hydrodynamic and energy costs for the fish (He and Wardle, 1988). A substantially larger cage diame ter ( ≥ 30 m) should be considered for future trials. Furthermore, fouling of the cage mesh was observed. This resulted in a reduced effective cage volume during high current periods, potentially increasing the risk of fish-gear contact and hindering their ability to swim freely. Fouling may be counteracted by increasing cage mesh size and/or implementing routine cleaning. Despite these challenges, the fish appeared to behaviourally adapt to captivity.
The exact cause of the observed fin splits, skin abrasions, and associated (suspected) infections remains uncertain. However, based on the timing (emerging ~ 2-3 days after initial capture), it is plausible that they resulted from physical contact with the net during capture and/or transfer. Most of these injuries were minor and likely to be recoverable, including skin abrasions on the fin extremities and, in at least one fish, abrasions and infections around the mouth. However, the infection affecting the cornea (right eye) of one fish was unlikely to heal without some degree of partial loss of sight. Despite these challenges, the heightened interest over time in the presented food, the effective use of the entire cage volume and the observed schooling behaviour all suggest that the animals were in relatively good condition and did not experience poor welfare during captivity.
3.8 - Trade events
Throughout the trials, a total of three different electronic Bluefin Tuna Catch Documents (eBCDs) were registered. A total of 28 BFTs, amounting to 7.3 tonnes, were traded, resulting in six different trade events. Out of this, 744 kilos were exported to Japan, and 1912 kilos were exported to Spain. The remaining quantity was traded domestically.
4 - Summary of future challenges at different phases
4.1 - Fish identification and catch control
Improve the precision of acoustic monitoring systems to detect and count fish.
Develop the surface ROV for reliable optical observation of gear and catch.
Ensure that infrastructure and additional vessels are available to handle larger catches.
4.2 - Fish capture
Optimize the size and position of the small mesh panel as well as the number of floats.
Improve overall capture efficiency (especially late season when BFT has higher fat content, but when aggregations are larger and more unpredictable).
4.3 - Fish transfer
Develop a reliable camera system and optimize its placement to ensure compliance with ICCAT BFT transfer rules.
Re-design the transfer channel for better visualization and earlier transfer.
Utilize diver-operated stereo camera systems to improve biomass estimation procedures.
4.4 - Fish welfare and quality
Develop protocols that allow the necessary monitoring of welfare and quality throughout the whole value chain.
Develop a low-stress and humane slaughter method that promotes good welfare and quality (e.g. diver-operated electrified / explosive harpoons).
Develop pre-delivery cold-storage protocols that optimize flesh quality.
Ensure that fat content of delivered fish meets market demands.
4.5 - Live-storage
Increase storage cage size (e.g.30 m diameter, with a larger mesh size).
Improve delivery logistics (e.g. different delivery sites along the coast, dedicated transfer vessels).
Determine the minimum feeding requirements for body weight maintenance.
Define feeding and temperature limitations and other challenges associated with live-storage.
5 - Status regarding ICCAT Research questions for the “pilot project for the short-term live-storage of bluefin tuna”
ICCAT Resolution 22-07 describes conditions associated with the authorization to conduct a “pilot project for the short-term live-storage of bluefin tuna” in Norway. The resolution establishes that “ the pilot project should aim to provide answers [ by the end of 2027 ] to key questions related to short-term live-storage of bluefin tuna, including, but not limited to…” . The current status of the eight questions are detailed below:
Fish behavior: Preliminary fish behavior observations during capture and cage captivity have already been documented to some extent in the present report. This can be expected to continue and improve as experience with BFT capture and live-storage grows.
Estimate BFT weight at the time of catch and caging: Direct measurement of weight during catch and caging is not practically feasible. Instead, weight may be estimated with reasonable accuracy using length measurements and an a priori established length-weight relationship. The stereo camera system tested during the trials provided fairly reliable length estimates using a AI-based software for recognition and length measurements of the fish. However, the system must be tested with larger volumes of fish and verified against individual length/weight measurements in future trials.
Whether feeding is needed to ensure animal health and, if so, how to avoid fattening: The present trial successfully caged and stored BFT for 10 days without feeding. However, dedicated cage trials are required to fully address this question. These will require stable catches and a reliable transfer and caging protocol. The aim is to start such feeding/caging trials in 2024 and report findings by 2027.
Extent of mortality and causes: The only cause of mortality registered to date is related to the capture process and BFT entanglement in the seine. No mortality was registered in the three captive BFT held for ten days in the stationary cage. To reach any firm conclusion, larger volumes of fish are needed in future trials.
Meat quality: Preliminary meat quality analysis was conducted during the present trials. The physiological results demonstrate that the current slaughter method (electrical stunning and/or asphyxiation) induces stress that likely negates any quality improvements due to live-storage. Lower stress slaughter methods (e.g. diver-operated electric/explosive harpoons) must be considered for future trials.
How to ensure traceability is consistent with the requirements of the BCD program, including exploring the use of tagging: To ensure that the traceability is consistent with the requirements of the BCD program, the different operations within the trials were recorded in the eBCD system as stipulated in the discussion paper on the application of electronic bluefin catch documentation (eBCD) in the pilot project for the short-term live storage of bluefin tuna, which was presented by Norway and adopted at the 16th IMM-meeting (IMM-19A).
Harvesting processes: The main focus during the 2023 trial has been on improving the harvesting process. Despite some remaining challenges, the 100% capture success rate in 2023 is evidence of this. However, late-season (i.e. September/October) conditions are expected to create challenges for purse seine capture, and additional gear improvements and/or changes in fishing practices may be needed. Consequently, the harvesting process (as well as fish transfer and caging) will remain a focus area in 2024.
Marketing questions: Similar to traceability questions, marketing questions are yet to be prioritized until the volume of live-stored tuna can be increased beyond those obtained in the present trials. BFT caught with purse seiners in Norway still have serious marketing challenges that will require a lot of attention in the later seasons of the pilot project.
6 - The role of the ICCAT observer onboard during the trials
The observer that participated in the cruise onboard MS Vestbris provided valuable insight regarding ICCAT rules and assisted with potential solutions to the challenges encountered during the trials. Both the crew of the vessel and the scientific personnel involved in the trials acknowledge and thank the observer for his contribution. It is hoped that the project can have similar competence available in future trials.
7 - Acknowledgements
We would like to thank the crew onboard MS Vestbris for their effort and enthusiasm before and during the trial period. We would also like to express our gratitude to the Directorate of Fisheries and the crew onboard MS Fjorgyn for their valuable help during the trial period both at sea and on land. Viking Delights AS are thanked for help and assistance at the stationary cage location. The Institute of Marine Research, the Directorate of Fisheries and the Norwegian Seafood Research Fund are thanked for their financial support.
8 - References
Ando, M., Mizuochi, S., Tsukamasa, Y., & Kawasaki, K. I. (2007). Suppression of fish meat softening by strict control of storage temperature. Fisheries Science, 73, 705-712.
Breen, M., Anders, N., Humborstad, O.B., Nilsson, J., Tenningen, M., Vold, A., 2020. Catch welfare in commercial fisheries. in The Welfare of Fish. Springer, Cham (2020). p. 401–37.
Breen, M., Schuster, E., Hannaas, S., Saltskår, J., Solberg, E.A. & Myklebost, M.R. 2021. A Prototype Stereo-Camera System for Identification of Species Composition and Size Distribution in Commercial Purse Seine Fishing. Deliverable report 4.1 for «Fangstkontroll i notfiske etter pelagiske arter» (FHF 901350)
Cort & Abaunza, 2015. The fall of the tuna traps and the collapse of the Atlantic Bluefin Tuna, Thunnus thynnus (L.), fisheries of Northern Europe from the 1960s. Rev. Fish. Sci. & Aqua., 23, 346–373.
He, P. and Wardle, C. S., 1988. Endurance at intermediate swimming speeds of Atlantic mackerel, Scomber scombrus L., herring, Clupea harengus L., and saithe, Pollachius virens L. Journal of Fish Biology, 33, 255-266.
Nøttestad et al., 2020. The comeback of Atlantic bluefin tuna (Thunnus thynnus) to Norwegian waters. Fish. Res., 231, 105689.
Peña, H., Tenningen, M., Zhang, G. and Skaret, G. 2022. Survey report: Developing methods for abundance estimation of bluefin tuna in Norwegian waters. Rapport fra havforskningen. ISSN:1893-4536, 31 pp.
Sistiaga, M., Breen, M., Løkkeborg, S., Humborstad, O.B., Anders, N., Saltskår, J., Hannaas, S., 2021b. Development of live-storage of Atlantic Bluefin Tuna in Norway: trials with an improved cage, monitoring systems and fish welfare in 2021. IMR report. 8 pp.
Sistiaga, M., Breen, M., Peña, H., Muñoz-Benavent, P., Saltskår, J., Løkkeborg, S., Humborstad, O.B., Anders, N., Hannaas, S., Anders, N., Olsen, S.H., Schuster, E., 2022. Sustainable catch and live-storage of bluefin tuna in Norway: trials in autumn 2022. IMR report. 13 pp.
Sistiaga, M., Løkkeborg, S., Humborstad, O.B., Saltskår, J., Hannaas, S., 2021a. SCRS rapport Live-storage of Atlantic Bluefin Tuna in Norway: initial trials. SCRS rapport 2021.
Stonehouse, G. G., & Evans, J. A. (2015). The use of supercooling for fresh foods: A review. Journal of Food Engineering, 148, 74-79.
Tangen, 1999. Størjefisket på Vestlandet (Bluefin tuna fishing on the west coast of Norway). Eide Publisher [In Norwegian].