The brisling survey in the Oslofjord in 2024, conducted with F/F Prinsesse Ingrid Alexandra, aimed to map the quantity, geographical distribution, and age structure of pelagic species, particularly brisling, herring, and anchovy. The survey, which took place from December 12 to 16, covered both the inner and outer parts of the fjord, including side fjords, using acoustic measurements and biological sampling to gather data.
Acoustic data were collected using a Simrad EK80 echo sounder, and the survey covered various strata of the fjord. Trawl stations were conducted to verify acoustic records, although certain areas were difficult to access for trawling due to depth and ship traffic.
The results showed high densities of brisling throughout the Oslofjord, with anchovy and herring primarily observed in the inner regions. The estimates for brisling numbered 555 million individuals, with a biomass of approximately 2,227 tons. For herring, the estimate was 133 million individuals and a biomass of 1,018 tons, while the anchovy estimate was 13 million individuals with a biomass of 129 tons.
Age group 0 dominated all three species, with brisling and herring also found in older age groups. The precision of the estimates was low, with high relative standard errors (CV), especially for older individuals. The study provides insight into the pelagic fish populations in the Oslofjord and emphasizes the need for continued monitoring and research on the fjord's ecosystem.
Sammendrag
Brislingtoktet i Oslofjorden 2024, gjennomført med F/F Prinsesse Ingrid Alexandra, hadde som hovedmål å kartlegge mengden, geografisk fordeling og aldersstruktur av pelagiske arter, spesielt brisling, sild og ansjos. Toktet, som ble utført fra 12. til 16. desember, dekket både indre og ytre deler av fjorden, inkludert sidefjorder, og brukte akustiske målinger og biologisk prøvetaking for å samle data.
Akustiske data ble samlet inn med et Simrad EK80 ekkolodd, og toktet dekket forskjellige strata i fjorden. Trålstasjoner ble utført for å verifisere akustiske registreringer, selv om enkelte områder var vanskelig tilgjengelige for tråling på grunn av dybde og skipstrafikk.
Resultatene viste høye tettheter av brisling i hele Oslofjorden, med ansjos og sild hovedsakelig observert i de indre områdene. Estimatene for brislingens antall var 555 millioner individer, med en biomasse på cirka 2227 tonn. For sild ble det estimert 133 millioner individer og en biomasse på 1018 tonn, mens ansjosens estimat var 13 millioner individer med en biomasse på 129 tonn.
Aldersgruppen 0 var dominerende for alle tre artene, med brisling og sild også registrert i eldre aldersgrupper. Estimatenes presisjon var lav, med høy relativ standardfeil (CV), spesielt for eldre individer. Studien gir innsikt i de pelagiske fiskebestandene i Oslofjorden og understreker behovet for videre overvåking og forskning på fjordens økosystem.
1 - Introduksjon
Oslofjorden er et dynamisk og komplekst økosystem, preget av et variert landskap med dype bassenger, grunne kystområder, elveutløp og tidevannsstrømmer. Denne variasjonen skaper et mangfold av leveområder for marine arter. De siste tiårene har imidlertid langvarig menneskelig påvirkning ført til en negativ utvikling i fjordens økosystem (Frigstad et al., 2024). Miljøtilstanden og kildene til menneskelig påvirkning varierer mellom ytre og indre deler av fjorden (Arvnes et al., 2019). En nylig studie identifiserer høsting, miljøgifter, mikroplast, fysisk påvirkning og næringssalter som de viktigste menneskeskapte stressfaktorene i ytre Oslofjord, med potensielt alvorlige konsekvenser for økosystemet (Aarflot et al., 2024).
Oslofjorden er hjem til et rikt marint artsmangfold, inkludert fisk, skalldyr, planktonsamfunn og marine pattedyr som sel og nise. Fjorden er også en viktig næringskilde for sjøfugl og har stor betydning for den regionale økonomien gjennom fiskeri, turisme og rekreasjon. Basert på data fra Havforskningsinstiuttets strandnotserie har det de siste tiårene skjedd en betydelig forskyvning i fiskesamfunnet og artssammensetningen, hvor pelagiske arter som brisling, sild og ansjos har økt i forekomst, mens bunnlevende arter har gått tilbake (Barceló et al., 2016).
Pelagisk fisk lever hovedsakelig i de frie vannmassene og vandrer ofte i store stimer. Brisling er til stede i Oslofjorden hele året, mens makrell hovedsakelig forekommer om sommeren under sin beitevandring. Sild trekker mot kysten i gyteperioden og bruker kystområdene som oppvekstområde (Berg et al., 2022). Generelt vurderes pelagiske fiskebestander i Nordsjøen og Skagerrak/Kattegat til å være i god stand, men det er fortsatt usikkerhet knyttet til sammenhengen mellom bestandene i disse områdene og de som finnes i kystnære farvann og Oslofjorden (Quintela et al., 2020; Seljestad et al., 2024).
Formålet med brislingtoktene i Oslofjorden er å kartlegge mengde, geografisk fordeling og aldersstruktur av pelagiske fiskearter, primært brisling, sild og ansjos, i Oslofjorden.
2 - Metoder
2.1 - Toktgjennomføring, -område og stratainndeling
Toktet ble gjennomført med F/F Prinsesse Ingrid Alexandra fra 12. til 16. desember 2024, med start og avslutning i Oslo Havn (Skur 38). Den akustiske kartleggingen ble utført på dagtid mellom kl. 08:00 og 20:00 norsk tid.
Toktområdet dekker både indre og ytre Oslofjorden, inkludert sidefjordene, og er inndelt i underområder (strata) som vist i Figur 1. Stratumgrensene ble manuelt definert i programvaren OpenCPN og lagret som standard GPX-kartfiler. For hvert stratum ble det utarbeidet random sikksakk transekter (Strindberg & Buckland, 2004) ved hjelp av planleggingsverktøyet Rstox surveyPlanner (https://github.com/Sea2Data/Rstox). Denne metoden ble valgt for å sikre en mest mulig effektiv dekning av toktområdet, spesielt med tanke på at strataene var små og smale (Harbitz, 2019).
Antall transekter i hvert stratum ble tilpasset arealet for å optimalisere innsatsen innenfor toktperioden, med en maksimal daglig operasjonstid på 12 timer. Som en konsekvens ble dekningsgraden (total transektdistanse dividert med kvadratroten av stratumarealet) lavere enn syv i enkelte strata (Tabell 1), noe som kan påvirke presisjonen i toktestimatene (Aglen, 1989).
Stratum
Design
Areal (nmi2)
Distanse (nmi)
Dekningsgrad
91
Enkel zz
16,44
28,44
7,0
92
Enkel zz
36,79
33,96
5,6
93
Enkel zz
29,42
34,98
6,5
94
Dobbel zz
297,69
174,72
10,1
Tabell 1 : Oversikt over strata dekket på Brislingtokt i Oslofjorden inkludert stratumareal, total transektdistanse og dekningsgrad. zz = sikksakk.
Figur 1 : Strata (røde; merket med stratanummer), realiserte akustiske transekt (grå linjer) og trålstasjoner (blå sirkler) dekket under Brislingtokt Oslofjorden 2024.
2.2 - Datainnsamling og prøvetaking
Akustiske data ble innhentet ved hjelp av et Simrad EK80 ekkolodd i CW (smalbånd) modus med frekvensene 38, 120 og 200 kHz. Ekkoloddets transducere (sendere / mottakere) var installert på en senkekjøl, og fartøyet opererte med en hastighet på opptil 10 knop under datainnsamlingen.
Etterprosesseringen av ekkolodd dataene ble utført i programvaren Large Scale Survey System (LSSS, versjon 2.17.0; Korneliussen et al., 2016). Tolkning av ekkogrammene ble gjennomført daglig av toktleder i samarbeid med instrumentsjef. Akustiske registreringer ble klassifisert i følgende kategorier: «brisling», «sild», «ansjos», «pelagisk fisk» og «andre». Kategorien «pelagisk fisk» ble benyttet for stimer som ikke kunne knyttes til fangstprøver, mens «andre» omfattet ekko som ikke stammet fra pelagisk fisk.
Ekkogrammene ble tolket og inndelt i et øvre lag og et bunnlag for hver 5 nautiske mil. Akustiske tetthetsverdier (NASC) ble beregnet ved bruk av en -52 dB terskel. NASC-verdier ble så allokert til «brisling», «sild» eller «ansjos» basert på fangstsammensetningen i nærmeste trålhal, eller registrert som «pelagisk fisk» dersom artsbestemmelse ikke var mulig. Rest-NASC-verdier mellom -52 dB og -82 dB ble klassifisert som «andre». I flere tilfeller var det utfordrende å gjennomføre tråling, noe som skapte usikkerhet i allokeringen av NASC-verdiene. Akustiske tetthetsverdier ble lagret med en vertikal oppløsning på 10 meter og en horisontal oppløsning på 0,1 nautisk mil.
Biologisk prøvetaking ble utført ved hjelp av en pelagisk Harstadtrål uten innernett med 24 mm maskevidde. Trålingen ble gjennomført for å verifisere akustiske registreringer og fordele tetthetsverdiene på størrelse, alder og andre biologiske egenskaper. Trålhalene ble utført enten målrettet basert på akustiske registreringer antatt å være pelagisk fisk eller som blindhal i overflaten i mørket.
For hver trålstasjon med pelagisk fisk ble følgende parametere registrert: total fangstvekt, lengde (avrundet ned til nærmeste 0,5 cm) for opptil 100 individer, samt mer detaljerte individmålinger av 30 fisk, inkludert otolittprøver for aldersbestemmelse, kjønn, modningsstadium, magefyllingsgrad og gonadevekt.
2.3 - Mengdeberegning
Mengdeestimatene for brisling, sild og ansjos ble beregnet med programvaren StoX (versjon 4.1.0) (Johnsen et al., 2019), der estimatenes gjennomsnitt og presisjon ble basert på 1000 bootstrap-replikater. NASC-verdiene for kategorien «pelagisk fisk» ble fordelt mellom brisling, sild og ansjos ved bruk av SplitNASC-metoden i StoX (Figur 2; Johnsen et al., 2019). En mer detaljert beskrivelse av estimeringsprosessen finnes i Salthaug et al. (2021).
Følgende akustiske målstyrke (TS) som funksjon av fiskelengde (L) ble anvendt (Foote, 1987):
hvor m = 20 og a = -71.2 for alle tre pelagisk arter (ICES, 2015).
Figur 2 : Akustisk tetthet (NASC [m2/n.mi.2] per 0.1 nautisk mil) av ansjos (lilla), brisling (gul), sild (mørkeblå) registrert på tokt i Oslofjorden 2024 etter bruk av SplitNASC-metoden. Røde linjene representere akustiske transekter dekket under toktgjennomføring uten registrering av de tre artene.
3 - Resultater og diskusjon
3.1 - Toktets dekning
Vær- og sjøforholdene i fjordene var stort sett gunstige for både tråling og akustiske registreringer, noe som sikret data av god kvalitet gjennom hele toktet. I ytre Oslofjord var det perioder med noe vind, men dette påvirket ikke toktgjennomføringen nevneverdig. Totalt ble det gjennomført 12 trålstasjoner (Tabell V1), men ikke alle ga tilstrekkelig fangst av pelagiske arter til å sikre biologiske prøver av høy kvalitet (Figur 3).
Figur 3 : Trålstasjoner med fangst av ansjos (øverst, lilla sirkler), brisling (midten, gule sirkler) eller sild (nederst, mørkeblå sirkler). Lengde- og aldersfordeling er gitt for hver art. Røde sirkler viser stasjoner uten fangst av pelagisk fisk. NA: alder ikke bestemt.
I indre Oslofjord ble det registrert gode pelagiske forekomster ved Oslo havn, men tråling var ikke mulig i dette området på grunn av lav dybde og mye skipstrafikk. Tilsvarende ble flere pelagiske stimer observert langs kysten i ulike deler av fjorden, men i flere tilfeller var det ikke praktisk gjennomførbart å tråle i disse områdene. Utfordring med tråling langs kysten er varierende dybde forholdene og lite plass til å sette ut garn gjennom øyene.
3.2 - Estimater av mengde og geografisk fordeling av pelagiske arter i Oslofjorden
Det ble registrert høye tettheter av brisling i hele Oslofjorden, mens sild og ansjos kun ble observert i de indre delene av fjorden (Figur 2). De observerte stimene var lokalisert nær kysten i grunne områder. Selv i mørket forble stimene nær bunnen og beveget seg ikke opp til overflaten.
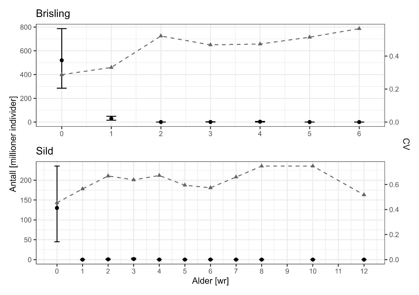
Estimatene for antall ansjos, brisling og sild per aldersgruppe er presentert i Tabell 2–4 og Figur 4, mens estimert biomasse per aldersgruppe er vist i Tabell 5–7. Aldersgruppe 0 var dominerende i antall for alle de tre artene, men det ble også registrert eldre individer av både brisling og sild. Det er forventet at det finnes også eldre individer av ansjos og brisling spesielt i indre Oslofjorden da vi mangler biologisk prøver (Tabell V2). I Bunnefjorden observerte vi store forekomster av voksen sild med alder opp til 12. Presisjonen på estimatene var generelt lav med en relativ standardfeil (CV) langt over 20 % for de fleste aldersgruppene.
Figur 4 : Estimert antall brisling og sild per alder i Oslofjorden 2024 (venstre y-akse) og relativ standardfeil (CV) (høyre y-akse) basert på Brislingtokt 2024. Gjennomsnitt av 1000 bootstrap-replikater (svarte punkt) med 90% konfidensintervall (stolper) og CV (trekanter).
Totalantallet av brisling i toktområdet ble estimert til å være 555 millioner med et 90% konfidensintervall (KI) fra 310 til 839 million individer. Total biomasse av brisling i Oslofjorden ble estimert til å være rundt 2227 tonn (KI: 1303 til 3335 tonn).
Totalantallet av sild i toktområdet ble estimert til å være 133 millioner individer (KI: 47 til 238). Total biomasse av sild i Oslofjorden ble estimert til å være rundt 1018 tonn (KI: 486 til 1638).
Totalantallet av ansjos i toktområdet ble estimert til å være 13 millioner individer (KI: 1 til 28). Total biomasse av ansjos i Oslofjorden ble estimert til å være rundt 129 tonn (KI: 8 til 276).
Tabell 8 viser estimatene av vekt og lengde per alder for alle de tre artene.
Alder
Gjennomsnitt
5-persentil
Median
95-persentil
SD
CV
0
519,998
285,140
513,318
786,736
149,488
0,287
1
29,945
16,108
28,297
48,746
9,918
0,331
2
0,456
0,124
0,424
0,890
0,238
0,522
3
1,043
0,341
0,986
1,932
0,488
0,468
4
3,114
1,008
2,910
5,692
1,474
0,473
5
0,349
0,098
0,324
0,682
0,179
0,515
6
0,107
0,025
0,098
0,221
0,060
0,567
Totalt
555,011
309,602
548,130
838,969
157,094
0,283
Tabell 2 : Estimert antall brisling (mill.) i Oslofjorden 2024 basert på 1000 bootstrap-replikater.
Alder
Gjennomsnitt
5-persentil
Median
95-persentil
SD
CV
0
129,979
45,026
123,427
235,369
58,982
0,454
1
0,024
0,007
0,021
0,050
0,013
0,565
2
0,724
0,158
0,609
1,638
0,484
0,668
3
1,512
0,313
1,343
3,420
0,963
0,637
4
0,074
0,015
0,062
0,171
0,049
0,672
5
0,062
0,017
0,054
0,134
0,037
0,594
6
0,131
0,036
0,115
0,278
0,075
0,574
7
0,035
0,007
0,029
0,080
0,023
0,660
8
0,019
0,002
0,016
0,045
0,014
0,747
9
10
0,005
0,001
0,004
0,011
0,003
0,747
11
12
0,009
0,003
0,009
0,018
0,005
0,517
Totalt
132,572
47,166
125,948
238,417
59,030
0,445
Tabell 3 : Estimert antall sild (mill.) i Oslofjorden 2024 basert på 1000 bootstrap-replikater.
Alder
Gjennomsnitt
5-persentil
Median
95-persentil
SD
CV
0
12,888
0,781
11,975
27,598
8,216
0,638
Totalt
12,888
0,781
11,975
27,598
8,216
0,638
Tabell 4 : Estimert antall ansjos (mill.) i Oslofjorden 2024 basert på 1000 bootstrap-replikater.
Alder
Gjennomsnitt
5-persentil
Median
95-persentil
SD
CV
0
1966,144
1096,295
1940,445
2985,114
561,772
0,286
1
165,311
90,106
155,687
270,167
54,613
0,330
2
5,990
1,684
5,564
11,518
3,116
0,520
3
18,432
6,011
17,234
33,770
8,709
0,472
4
61,715
20,036
57,564
112,851
29,262
0,474
5
6,833
1,924
6,354
13,378
3,543
0,519
6
2,348
0,545
2,166
4,870
1,331
0,567
Totalt
2226,773
1303,070
2190,844
3334,587
606,019
0,272
Tabell 5 : Estimert biomasse brisling (tonn) i Oslofjorden 2024 basert på 1000 bootstrap-replikater.
Alder
Gjennomsnitt
5-persentil
Median
95-persentil
SD
CV
0
822,905
329,753
788,319
1416,312
333,755
0,406
1
1,200
0,371
1,048
2,470
0,666
0,555
2
53,858
11,011
45,247
124,776
37,152
0,690
3
107,254
22,253
95,412
242,478
68,225
0,636
4
6,497
1,290
5,520
15,000
4,331
0,667
5
5,697
1,584
4,947
12,226
3,337
0,586
6
13,491
3,698
11,821
28,737
7,785
0,577
7
3,911
0,777
3,323
9,030
2,607
0,667
8
2,007
0,248
1,685
4,880
1,499
0,747
9
10
0,590
0,073
0,495
1,435
0,441
0,747
11
12
0,957
0,334
0,876
1,807
0,495
0,517
Totalt
1018,368
486,334
990,914
1638,250
357,739
0,351
Tabell 6 : Estimert biomasse sild (tonn) i Oslofjorden 2024 basert på 1000 bootstrap-replikater.
Alder
Gjennomsnitt
5-persentil
Median
95-persentil
SD
CV
0
129,058
7,578
122,377
276,367
81,865
0,634
Totalt
129,058
7,578
122,377
276,367
81,865
0,634
Tabell 7 : Estimert biomasse ansjos (tonn) i Oslofjorden 2024 basert på 1000 bootstrap-replikater.
Alder
Ansjos
Brisling
Sild
Lengde
Vekt
Lengde
Vekt
Lengde
Vekt
0
11,5
8,7
8,2
3,7
10,6
7,7
1
10,4
6,8
20,1
50,4
2
12,5
14,0
22,0
66,1
3
14,1
18,3
23,3
75,4
4
14,9
20,0
24,9
87,9
5
14,8
19,7
25,3
92,1
6
15,0
22,0
26,6
103,0
7
27,6
113,4
8
26,8
108,0
9
10
29,5
127,0
11
12
27,5
101,0
Tabell 8 : Estimert gjennomsnittlig vekt (g) og lengde (cm) av ansjos, brisling og sild i Oslofjorden 2024 basert på 1000 bootstrap-replikater.
4 - Referanser
Aglen, A. 1989. Empirical results on precision effort relationships for acoustic surveys. ICES CM 1989/B:30, 28 s.
Arvnes, M. P., Albretsen, J., Naustvoll, L.-J., Falkenhaug, T., Espeland, S. H., Bjørge, A., Eikrem, W., et al. 2019. Kunnskapsstatus Oslofjorden - SALT rapport nr. 1036. Oppdragsrapport, Miljødirektoratet, M–1556. 44 s.
Aarflot, J., Naustvoll, L.-J., Moy, F., Norderhaug, K. M., Berg, F., Kvamme C., Sørvik, G. et al. 2024. Pilotprosjekt for vurdering av samlet påvirkning i Oslofjorden – ytre del. Rapport fra havforskningen 2024-15. Oppdragsrapport, Nærings- og Fiskeridepartementet. 83 s.
Barceló, C., Ciannelli, L., Olsen, E. M., Johannessen, T., Knutsen, H. 2016. Eight decades of sampling reveal a contemporary novel fish assemblage in coastal nursery habitats. Global Change Biology, 22(3): 1155-1167.
Berg, F., Kvamme, C., and Nash, R. D. M. 2022. The dynamics of 0-group herring Clupea harengus and sprat Sprattus sprattus populations along the Norwegian Skagerrak coast. Frontiers in Marine Science, 9: 831500.
Foote, K. 1987. Fish target strengths for use in echo integrator surveys. Journal of the Acoustical Society of America, 82: 981-987.
Frigstad, H., Ramon, P., Borgersen, G., Engesmo, A., Staalstrøm, A., Naustvoll, L.-J., Lerch, S. et al. 2024. Tilstandsrapport for Oslofjorden. Oppdragsrapport, Miljødirektoratet, M–2885. 40 s.
Harbitz, A. 2019.A zigzag survey design for continuous transect sampling with guaranteed equal coverage probability. Fisheries Research, 213: 151-159.
ICES. 2015. Manual for International Pelagic Surveys (IPS). Series of ICES Survey Protocols SISP 9 – IPS. 92 s.
Johnsen, E., Totland, A., Skålevik, Å., Holmin, A.J., Dingsør, G.E., Fuglebakk, E., Handegard, N.O. 2019. StoX: An open source software for marine survey analyses. Methods in Ecology and Evolution, 10: 1523-1528.
Korneliussen, R. J., Heggelund, Y., Macaulay, G. J., Patel, D., Johnsen, E., Eliassen, I. K. 2016. Acoustic identification of marine species using a feature library. Methods in Oceanography, 17: 187-205.
Quintela, M., Kvamme, C., Bekkevold, D., Nash, R. D. M., Jansson, E., Sørvik, A. G., Taggart, J. B., et al. 2020. Genetic analysis redraws the management boundaries for the European sprat. Evolutionary Applications, 13: 1906-1922.
Salthaug, A., Stenevik, E.K., Vatnehol, S., Anthonypillai, V., Slotte, A. 2021. Distribution and abundance of Norwegian spring spawning herring during the spawning season in 2021. Institute of Marine Research, Survey report, Nr. 1– 2021, 25 s.
Seljestad, G. W., Quintela, M., Bekkevold, D., Pampoulie, C., Farrell, E. D., Kvamme, C., Slotte, A., et al. 2024. Genetic stock identification reveals mismatch between current management areas and population genetic structure in a highly migratory pelagic fish. Evolutionary Applications, 17: e70030.
Strindberg, S., Buckland, S.T. 2004. Zigzag survey designs in line transect sampling. Journal of Agricultural, Biological, and Environmental Statistics, 9: 443-461.
5 - Takk
Havforskningsinstituttet brukte i år F/F «Prinsesse Ingrid Alexandra» under brislingtoktet, og vi takker mannskapet for et godt arbeid og glimrende innsats. Tusen takk til Reidar Johannesen – han har vært en fabelaktig god tolker av akustiske registreringer og instrumentsjef. Tusen takk også til våre dyktige og engasjerte prøvetakere Justine Diaz og Eilert Hermansen.
6 - Vedlegg
Stasjon
Dato
Starttid
Tråltid
Lat
Long
Dybde
Ansjos
Brisling
Sild
Makrell
Hvitting
Trepigget stingsild
Krill
Maneter
63151
12.12.2024
12:44
00:16
59,861
10,698
85
0,011
0,952
0,664
1,950
63152
12.12.2024
15:13
00:35
59,780
10,719
148
0,735
366,011
0,146
1,000
63153
12.12.2024
16:16
00:31
59,828
10,752
122
952,000
31,635
127,260
63154
13.12.2024
09:01
00:17
59,903
10,645
45
0,001
0,380
63155
13.12.2024
10:27
00:25
59,880
10,647
81
0,028
0,186
63156
13.12.2024
13:19
00:35
59,762
10,573
108
0,215
0,072
9,152
0,750
63157
13.12.2024
16:27
00:36
59,752
10,529
80
86,400
12,500
0,680
0,027
1,000
63158
13.12.2024
19:30
00:31
59,512
10,565
115
0,057
0,009
1,800
5,900
63159
14.12.2024
08:34
00:10
59,419
10,506
19
2,340
0,842
63160
15.12.2024
09:30
00:22
59,060
10,968
55
2666,000
12,426
15,330
63161
15.12.2024
17:56
00:38
59,511
10,513
62
0,009
1,820
90,700
0,023
0,748
7,000
5,200
63162
16.12.2024
13:18
00:31
59,549
10,404
26
2388,000
0,076
0,576
5,460
Tabell V 1 : Oversikt over trålhal og fangster i Oslofjorden i 2024. Dybde er bunndybde i meter. Fangst per art er oppgitt i kg.
Stratum
Område
Ansjos
Brisling
Sild
Biomasse
Alder
Biomasse
Alder
Biomasse
Alder
91
Bunnefjorden
54,385
0,0
54,480
3,5
269,042
2,0
92
Indre Oslofjord - Drøbak
52,387
0,0
44,017
3,5
110,681
0,3
93
Holmestrandsfjorden
0,000
501,332
0,1
0,000
0,0
94
Drøbak – Ytre Oslofjord
0,123
0,0
1486,466
0,1
570,383
0,0
Tabell V 2 : Estimert gjennomsnittlig biomasse (tonn) og alder av ansjos, brisling og sild i Oslofjorden 2024 basert på 1000 bootstrap-replikater.