The effect of temperature and light on development of salmon lice
TEMPLUS
Salmon lice are strongly influenced by environmental factors such as the temperature and salinity of the seawater. Seawater temperatures along the Norwegian coast varies greatly depending on season and geographical location. Salinity also exhibit large differences locally especially in fjords with large inflow of freshwater. The purpose of this project was to a) investigate the influence of temperature on developmental processes in salmon lice on fish and b) investigate the influence of salinity and temperature on the behavior of free-living larval stages. All experiments were performed in fish tanks with salmon lice collected from the west coast of Norway. The results clearly demonstrate that temperature is a strong regulator of all investigated biological processes in salmon lice, with faster development, higher reproductive output and larger infection success found at higher temperatures. Both salinity and temperature are also stronger drivers of larval behavior, with different effects observed on nauplius larvae than on the infective copepodites. The results obtained can be used for prediction of lice development in aquaculture and laboratory settings and provides new information on management of the parasite at low temperatures. The results on larval behavior will improve modelling of infective copepodites and aid in the design and use of preventive measures used in commercial netpens.
Sammendrag
Lakselus påvirkes sterkt av miljøfaktorer som sjøvannets temperatur og saltholdighet. Sjøvannstemperaturen langs varierer sterkt avhengig av sesong og geografisk plassering. Saltholdighet utviser også store forskjeller lokalt, spesielt i fjorder med stort innslag av ferskvann. Formålet med dette prosjektet var å a) undersøke temperaturens innflytelse på utviklingsprosesser i lakselus på fisk og b) undersøke innflytelsen av saltholdighet og temperatur på adferden til frittlevende larvestadier. Alle forsøk ble utført i kar med lakselus samlet fra vestkysten av Norge. Resultatene viser tydelig at temperaturen er en sterk regulator av alle undersøkte biologiske prosesser i lakselus, med raskere utvikling, høyere reproduksjon og større infeksjonssuksess funnet ved høye temperaturer. Både saltholdighet og temperatur har også stor innflytelse på larveadferd, med forskjellige effekt på naupliuslarver og de smittsomme kopepoditter. Resultatene som er oppnådd, kan brukes til å predikere utvikling av lakselus i akvakultur og i laboratoriet, og gi ny informasjon om forvaltningen av parasitten ved lave temperaturer. Resultatene på larveadferd vil forbedre modellering av smittsomme kopepoditter og hjelpemiddel i utforming og bruk av forebyggende tiltak som brukes i oppdrettsanlegg.
1 - Innledning
Der er store variasjoner i sjøtemperaturer langs den norske kysten avhengig av lokalitet og årstid. Lakselusen (Lepeophtheirus salmonis) er et vekselvarmt dyr og utviklingshastigheten er derfor styret av temperatur. Jo varmere det er i sjøen, jo fortere utvikler dyrene seg. Denne øking gjelder en rekke biologiske prosesser inkludert utvikling av egg, utvikling fra nauplius til voksent dyr og eggleggingsfrekvens hos de voksne hunner (Johannessen 1975,1978, Wootten 1982, Johnson & Albright 1991, Ritchie et al 1993, Gravil 1996, Boxaspen 1997, Boxaspen and Næss, 2000, Heuch et al 2000, Stien et al 2005, Samsing et al 2016 med flere), men det er usikkert om de påvirkes likt og en absolutt kvantifisering av temperaturens effekt mangler. En absolutt øvre og nedre grense for overlevelse av lakselus er ikke fastlagt, men feltobservasjoner tyder på at lusen trives dårligere ved ekstreme temperaturer. Hastigheten med hvilke infestasjoner utvikler seg har stor betydning for hvilke behandlingsstrategier strategier og forebyggende tiltak som bør velges og i hvor stor grad de bør benyttes.Risiko for nye infestasjoner øker med stigende antall larver i sjøen produsert av voksne hun lus. I tillegg vil en rekke andre faktorer ha betydning for om fisk og lus møtes og der dermed er risiko for smitte. Disse inkluderer larven sin evne til å smitte og posisjon i vannsøylen larvene. Disse prosesser påvirkes av temperatur og andre miljø faktorer som saltholdighet. Tidligere undersøkelser har vist at kopepoditter tiltrekkes av lys, temperatur og unngår brakkvann (Heuch 1995, Heuch et al. 1995, Norði et al. 2015) men det er uklart hvordan disse faktorer interagerer med hverandre. Dersom vi hadde hatt en mer presis vurdering av hvordan larvene velger dybde basert på saltholdighet kunne den prediktive styrken i fremtidige spredningsmodeller forbedres betydelig og operasjonelle planer for å få mest mulig effekt av forebyggende tiltak tilrettelegges mer optimalt.
1.1 - Prosjektets omfang
Prosjektet første del bestod av karforsøk hvor lakselusen sin utvikling på fisk ble overvåket i hele livssyklus ved 8 ulike temperaturer. Antall av lus, kjønn og stadiet ble undersøkt ved 24 uttak per temperatur gruppe (totalt 192 uttak). I forlengelse av disse forsøkene ble der utført karforsøk for å belyse temperaturens effekt på reproduktiv evne og effekten av lys. I den andre delen av prosjektet ble der utført forsøk i kolonner til å overvåke atferden til lakselus larver. Her ble der utført forsøk på effekten av saltholdighet og temperatur preferanser
1.2 - Prosjektorganisering
Prosjektgruppe: Sussie Dalvin (prosjektleder), Frode Oppedal, Samantha Bui, Daniel Wright, Rasmus Skern-Mauritzen (Havforskninginstituttet) og Lars Hamre (Universitetet i Bergen)
Styringsgruppe Geir Magne Knutsen (Bremnes Seashore AS), Marit Stormoen (Marine Harvest og senere NMBU), Ketil Rykhus (Sjømat Norge). Observatør fra FHF var Kjell Maroni. Prosjektet hadde et aktivt samarbeid med Tim Dempster og studenter fra Universitetet i Melbourne, Australia.
2 - Problemstilling og formål
Hovedformålet med prosjektet var å undersøke basale biologiske egenskaper hos lakselusen som har betydning for hvordan man bedre kan unngå å håndtere infestasjoner på oppdrettsfisk.
Spesifikke formål var å kartlegge effekten av temperatur og delvis lysperiode på utvikling og infestasjonssuksess for lakselus på laksefisk og bedre beskrive luselarvenes vertikale atferd.
2.1 - Resultatmål: Temperaturens effekt på utvikling av lakselus
Undersøke utviklingstiden av lakselus på fisk fra infestasjon frem til voksne lus på temperaturer mellom 3-24 °C.
Undersøke tap av lus gjennom samme utvikling. Sammenligne infestasjons suksess ved ulike temperaturer. Undersøke egg produksjon ved tre temperaturer (6,12 og 18 °C).
Kvantifisere effekter av lys og endringer i temperaturer på utviklingstid.
2.2 - Resultatmål: Larveatferd (nauplier og kopepoditter)
Undersøke larvers respons på saltholdighet.
Undersøke larvers respons på vann med ulike temperaturer.
Undersøke larvers respons til kombinasjoner av saltholdighet og temperatur.
Undersøke larvers respons på saltholdighet gitt ulike dyp.
2.3 - Effektmål
Viten om utviklingstider, altså når lakselusen blir voksen og maksimum/minimum temperaturer muliggjør betre planlegging og håndtering av lakselus infestasjoner i anlegg. Dette verktøyet kan også brukes til å evaluere tidsrammen på fremtidige nye infestasjoner. Med en presis beskrivelse av utviklingen er det også mulig å regne tilbake i tid og fastslå infestasjonsdato. Tilbakeberegning vil kunne benyttes til evaluere effekten av forebyggende tiltak.
Viten om temperaturens effekt på reproduksjon og evne til å infestere fisk er en viktig faktor for å evaluere risiko for nye infestasjoner og eventuelle tiltak for å begrense slike.
Viten om hvordan geografiske og årstids avhengige endringer i miljø (skiftende temperaturer og daglengde) kan endre utvikling av lakselus er viktig for å koordinere innsats mot lakselus til eksempel våravlusning.
Viten om hvor lakselus larver plasserer seg i vannsøylen har avgjørende effekter på hvordan disse spres av strømmen og dermed risikoen for nye infestasjoner. I tillegg vil viten om larve atferd forbedre modellene som brukes til å se på spredning av lakselus. En slik forbedring vil føre til mer presise resultater og tilrettelegge for bedre plassering av anlegg.
Viten om hvor lakselus larver plasserer seg i vannsøylen er også essensiell viten ved bruk av fysiske avskjerminger av anlegg eller tiltak som endrer laksens svømmedyp.
3 - Prosjektgjennomføring
Alle forsøk ble gjennomført ved Havforskningsinstituttets forsøksanlegg i Matre, Masfjorden.
Prosjektets første del ble gjennomført som et stort karforsøk hvor alle temperaturgrupper av fisk ble smittet med lakselus og hvor prøver ble tatt ut 24 ganger i løpet av utvikling til voksne lakselus. Tidspunkt for uttak var justert i forhold til forventet utvikling ved gitt temperatur slik at forsøket for de varme grupper ble avsluttet i løpet av få uker, mens den kaldeste gruppen ble holdt i fem måneder.
I tilknytting til første delen av prosjektets ble det utført en rekke mindre karforsøk for å undersøke reproduktivt potensiale ved ulike temperaturer og effekten av endringer i miljøet på utviklingen av lakselus (lys og temperatur).
I prosjektets andre del ble adferden til lakselus larver ved bruk av mindre kolonner i laboratoriet. Forsøkene ble utført ved at larver ble satt inn i kolonner med varierende miljø og larvens bevegelse mot foretrukket miljø ble notert. Der ble også utført pilotforsøk i 5 m høye kolonner.
Alle forsøkene ble utført med nylig innsamlet (maksimum 1 generasjon i lab) lakselus fra oppdrettsanlegg. Forsøkene ble gjennomført uten noen større avvik og innenfor planlagte tidsrammer.
4 - Oppnådde resultater, diskusjon og konklusjon
4.1 - Utviklingstid
Lakselusen utviklet seg fra kopepoditter til voksen lus på alle temperaturer bortsett fra 24 °C hvor nesten alle lus forsvant fra fisken på preadult stadiet. På 3 °C ble utvikling til voksne hunner observert, men antall lus per fisk var meget lavt. Utviklingstid målt i antall døgngrader til voksen endret seg med økende temperatur. Høyere vanntemperaturer resulterte i hurtigere utvikling, også i færre døgngrader. Analyse av alle datapunkter mellom 6 og 21 °C ble brukt til å utvikle en modell som predikerer utviklingstider for alle stadier (hanner og hunner separat) for alle temperaturer innenfor dette intervallet. De to ekstrem temperaturene ble ikke brukt til å lage modellen siden antallet av preadulte and adulte individer var lavt. Likevel predikerer modellen bra de observerte verdier på 3 °C og er derfor inkludert (tabell 1).
Analyse av utviklingsmønsteret viser at hos hanner har alle utviklingstrinn på fisken lik varighet. Dermed har hvert av de fem utviklingsstadiene frem til voksen en varighet på 20% av den totale tiden det tar fra smitte til voksen. Hos hunnene ble et lignende utviklingsmønster observert bortsett fra et litt lengere preadult 2 stadium og litt kortere (relativt) kopepoditt stadium.
Tabell 1. Antall døgn fra infestasjon til mer enn 85% av lakselusenpopulasjonen har utviklet seg til gitt stadium. Tabellen angir også tidspunktet når skallskifte til neste stadium begynner. I perioden mellom skallskifte begynner og neste stadium er angitt vil man finne en blanding av de to stadier. For hunner angir tabellen også når mer enn 85% av hunnene har lagt sin første eggstreng og hvor ofte påfølgende eggstrenger produseres. Eggene klekker kort tid før neste eggstreng kommer ut.
Temperatur (°C)
Hanner
3
4
5
6
7
8
9
10
11
12
13
14
15
16
17
18
19
20
21
Chalimus 1
23
17
14
11
9
8
7
6
5
4
4
4
3
3
3
2
2
2
2
Skallskifte
40
30
24
19
16
13
12
10
9
8
7
6
6
5
5
4
4
4
3
Chalimus 2
46
34
27
22
18
15
13
11
10
9
8
7
6
6
5
5
5
4
4
Skallskifte
63
47
37
30
25
21
18
16
14
12
11
10
9
8
7
7
6
6
5
Preadult 1
69
52
40
33
27
23
20
17
15
13
12
11
10
9
8
7
7
6
6
Skallskifte
82
62
48
39
33
28
24
21
18
16
14
13
12
11
10
9
8
8
7
Preadult 2
92
69
54
44
36
31
26
23
20
18
16
14
13
12
11
10
9
8
8
Skallskifte
102
77
60
49
40
34
29
25
22
20
18
16
14
13
12
11
10
9
9
Voksen
115
86
67
55
45
38
33
29
25
22
20
18
16
15
13
12
11
10
10
Hunner
3
4
5
6
7
8
9
10
11
12
13
14
15
16
17
18
19
20
21
Chalimus 1
24
18
14
11
9
8
7
6
5
5
4
4
3
3
3
3
2
2
2
Skallskifte
43
32
25
20
17
14
12
11
9
8
7
7
6
6
5
5
4
4
4
Chalimus 2
54
39
31
25
21
17
15
13
12
10
9
8
8
7
6
6
5
5
5
Skallskifte
72
53
41
33
27
23
20
17
15
14
12
11
10
9
8
8
7
7
6
Preadult 1
84
61
48
38
32
27
23
20
18
16
14
13
12
11
10
9
8
8
7
Skallskifte
99
72
56
45
38
32
27
24
21
19
17
15
14
13
12
11
10
9
8
Preadult 2
114
83
65
52
43
37
32
28
24
22
19
17
16
14
13
12
11
10
10
Skallskifte
133
98
76
61
51
43
37
32
28
25
23
20
19
17
15
14
13
12
11
Voksen
150
110
85
69
57
48
41
36
32
28
25
23
21
19
17
16
15
14
13
Første egg
195
142
111
89
74
63
54
47
41
37
33
30
27
25
23
21
19
18
17
Dager mellom egg
37
27
21
17
14
12
10
9
8
7
6
6
5
5
4
4
4
3
3
4.2 - Overlevelse og tap
Tap av lakselus fra infestasjon og frem til det første tidspunkt hvor mer enn 85% av hunnene var blitt voksne viste ingen signifikant tap bortsett fra gruppene på 3 og 24 °C. På 3 °C var antall lus per fisk lavt fra første uttak og videre tap jevnt fordelt, slik at vi i denne gruppen fikk utvikling helt frem til voksne hunner, men veldig få lus per fisk. På 24 °C var antall fastsittende lus lik de andre grupper, hvoretter preadulte lus døde eller forlot fisken.
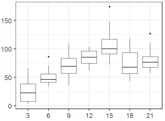
Ytterligere analyser ble gjort for å sammenligne totalt antall lus funnet på al fisk i løpet av samme periode. Her ble der observert dobbel så mange lus på 15 °C som ved 6 °C. Disse resultater er ikke entydige siden forsøksoppsettet var tilpasset studiet av utviklingstid (3-15 og 18-24 °C ble smittet i to separate eksponeringer. I tillegg ble fiskene ved 3, 6 og 24 °C smittet ved henholdsvis 9 og 21 °C hvoretter de overførtes til mål temperatur etter et døgn). Likevel er resultatene i overenstemmelse med infestasjonsforsøk (se neste avsnitt) hvor vi ser en øking i infestasjonssuksess ved varmere temperaturer.
Antall lus
Temperatur (°C)
Figur 1. Gjennomsnittlig antall lus per sampling (5 fisk) med 95% konfidensintervaller.
4.3 - Infestasjons suksess
Evne til å smitte ble undersøkt i et separat forsøk. Formålet med forsøket var å få en større oppløsing på smitteevne ved temperaturer fra 2 til 10 °C. Siden tidligere studier har vist dårlig smitteevne når larver er produsert på 5 °C ble kopepoditter produsert ved 6-8 °C. Dette simulerer lakseluslarver produsert på fisken stående på dypere og relativt varmt vann om vinteren. Forsøket ble utført på følgende temperaturer: 2, 3, 4, 5, 6, 7, 8, 9 og 10 °C med 4 replikate kar av 10 fisk. Alle lus ble talt etter 30 døgngrader som kopepoditter. På 2 °C ble forsøket avsluttet grunnet dårlig velferd hos fisken.
Figur 2 Evne til å infisere som funksjon av temperatur. Trendlinjen er generert ved å transformere påslag og temperaturen, heretter lineær regresjontest. R2 =0,58 og P=0.0278.
Resultatet av dette forsøket viser at kopepoditter produsert ved realistiske vintertemperaturer er i stand til å infisere ny fisk. Smitte suksessen faller signifikant med temperaturen og er cirka 50 % lavere ved 3 °C sammenlignet med referanse temperaturen på 10 °C. I 6 °C gruppen hadde to kar veldig høy smittesuksess. Disse karene er likevel inkludert i resultatet, da vi ved nøye gjennomgang av forsøksavvikling ikke har funnet noen forhold som kan ha medført dette. Nesten all fisken på 2 °C døde og vi kan ikke inkludere tallene herfra siden lakselusen forlater døde verter i løpet av få timer. Til tross for dette fant vi kopepoditter på disse fisker. Selv om vi ikke kan si noe om effektivitet, må vi konkludere at lakselusen er i stand til å infisere fisk i 2 °C kaldt vann såfremt de er produsert på varmere vann.
4.4 - Minimum og maksimumstemperaturer (langtidspåvirkning)
Forsøkene i dette prosjektet viser at ved 24 °C kan lakselusen ikke gjennomføre livssyklus siden vi ikke fant noen produksjon av voksne hunner. Samtidig fant vi lite tap og høy utviklingshastighet på 21 °C. Maksimum temperaturen for lakselus overlevelse må derfor antas å være et sted mellom 21 og 24 °C. Siden sjøtemperaturer langs den norske kysten sjelden ligger over 21 °C og Atlantisk laks heller ikke foretrekker slike temperaturer, vil høye sjøtemperaturer sjelden ha begrensende virkninger på lakselus. For minimums temperaturer er bildet mer komplekst og resultatene fra dette prosjektet (og tidligere observasjoner) viser at lave temperaturer (under 6 °C) har begrensende effekter på lakselusens utvikling, reproduksjon og smitte effektivitet.
4.5 - Daglengde, endringer i temperaturer og utviklingshastighet
Effekten av lys på utviklingshastigheten til lakselus enten via direkte effekter eller via lyset sin påvirkning på fisken ble undersøkt. Lang eller kort dag ble kombinert med fallende eller stigende temperaturer for å simulere vår og høst. Fisken ble smittet opp ved 9 °C og deretter overført til start temperatur (neste dag). Ved terminering hadde alle grupper fått utviklet seg et identisk antall døgngrader. Følgende grupper ble satt opp:
Gruppe 1: Lange dager (20t:4t) og stigende temperatur (6 til 11.4 °C)
Gruppe 2: korte dager (8t:16t) og stigende temperatur (6 til 11.4 °C)
Gruppe 3: Lange dager (20t:4t) og fallende temperatur (11.4 til 6 °C)
Gruppe 4: Korte dager (8t:16t) og fallende temperatur (11.4 til 6 °C)
Ved terminering var alle lus preadulte. En veldig stor andel av hannlusen var preadult 2, mens hunnene var mer jevnt fordelt på preadult 1 og 2 stadiet. Vi baserte derfor målinger på hunlusen.
Figur 3 Prosent av holus som var i preadult 1 (og ikke preadult 2) stadiet med standardavvik.
Der var signifikant forskjell mellom gruppene som gikk på stigende og fallende temperaturer med raskere utvikling (færre preadult 1) i gruppene med fallende temperatur. Daglengde hadde ingen signifikant virkning. Videre analyse ved bruk av modellen utviklet for utviklingshastighet i dette prosjektet viste likevel at den forskjellen i den observerte utviklingen var svært liten. I praksis vil dette bety at man på høsten kan oppleve at lakselus som går på laks i fallende temperaturer vil utvikle seg til voksne cirka 1.5 dager tidligere enn forventet.
4.6 - Larveadferd: Saltholdighet
For å vurdere saltholdighetspreferanser hos både nauplie- og kopepoditt ble en rekke vertikale (dybdebaserte) gradienter av saltholdighet satt opp i vannkolonner. I den nedre del av kolonnen var der sjøvann (saltholdighet 34) mens der i den øvre halvdelen ble testet en rekke typer brakkvann (saltholdighet 16-34, hvorav den siste var kontroll). Øverst i kolonne var det lys for å tiltrekke larvene opp i vannsøylen. Larvene ble tilsatt i bunnen og etter en time ble alle larvenes posisjon observert. Både nauplier og kopepoditter foretrakk fullt sjøtvann og de fleste larver ble observert rett under overgangen til det mindre salte laget (brakkvannet). Adferden til de to typer av larver avvikte på noen punkt: nauplier beveget seg i langt mindre grad opp i topplaget og unngikk alt brakkvann, mens kopepodittene utviste en mer gradvis unnvikelse.
Figur 4. Fordeling av lakselus larver (a nauplier, b kopepoditter) i vannsøylen som funksjon av saltholdighet. Hvert punkt representerer resultat av en replikat gruppe. Den eksponentielle kurve forklarer best forholdet mellom andelen av kopepoditter (b) i topplaget i forhold til dets saltholdighet. NB: Ulik vertikal akse mellom figurene indikerer at nauplier ikke tiltrekkes av lyset i samme grad som kopepoditter.
4.7 - Larveadferd: Temperatur
Et tilsvarende forsøk ble utført med temperatur preferanse. Her ble larver plassert i 12 °C i bunnen av kolonnen og i den øvre halvpart av kolonnen var der vann mellom 6 og 18 °C. Kopepoditter viste ingen respons til vanntemperatur og rundt 70 % av alle kopepoditter var i øvre vannlaget i alle forsøk. Nauplier utviste en helt annen respons hvor nesten alle svømte til de øvre vannlag når vannet var kaldt mens ingen larver befant seg her med varmt vann.
Figur 5 Andelen av nauplie larver a) og kopepoditter i den øverste del av vannsøylen.
4.8 - Larveadferd: Saltholdighet og Temperatur
Som i forsøket med temperatur var der store forskjeller på adferden til nauplier og kopepoditter. Den observerte adferd hos nauplier var en kombinasjon av deres respons til saltholdighet og temperatur slik at det største antall nauplier i de øvre vannlag ble funnet ved lave temperaturer, mens kopepoditter bare responderte til saltholdighet.
4.9 - Larveadferd: saltholdighet gitt ulike dyp.
Dyp hadde ikke noe å si i forhold til lusekopepodittenes unnvikelse av brakkvann og økte ansamling innunder haloklinen.
5 - Hovedfunn
Beskrivelse av utviklingshastighet for alle lakselus stadier på fisk ved relevante temperaturer for laks i oppdrett
Fastsettelse av minimum og maksimum temperaturer for normal utvikling av lakselus
Karakterisering av overlevelse, infestasjonsevne og reproduktivt potensiale i respons til temperatur
Kartlegging av adferd for planktoniske lakselus i respons til temperatur og saltholdighet
6 - Leveranser
6.1 - Møter med styringsgruppen og FHF representant
Der er blitt avviklet telefonmøter sirka tre ganger pr år i prosjektperioden hvor styringsgruppen er blitt orientert om nye resultater i prosjektet og mulighet til å diskutere fremtidige planer. Et avsluttende møte med oppsummering av alle resultater ble avholdt på Flesland Desember 2018.
6.2 - Kommunikasjon av resultater: Medier
Lakselusens nauplier velger lavere temperatur, Norsk fiskeoppdrett 2018
Overraskende funn rundt luselarver og temperatur, kyst.no 2018
Slik fordeler luselarver seg i brakkvann, kyst.no 2018
Vertikal fordeling av luselarver i brakkvannsgradienter. Norsk Fiskeoppdrett 3/2018
Cold-loving lice larvae ‘sink deeper in summer’, FishfarmingExpert 2018
6.3 - Kommunikasjon av resultater: Presentasjoner (nasjonale og internasjonale)
Forutsigbar utvikling av lakselus ved ulike temperaturer, Havbruk 2018
Lakselus biologi og reproduksjon, Terapiveileder møte 2018
Post infection development of Lepeophtheirus salmonis in temperatures from 3°C to 24°C, 8th International Symposium on Aquatic Animal Health, Canada, 2018
Temperature and Development of Lepeophtheirus salmonis: Implications for management of the parasite International conference on Diseases of Fish and Shellfish, Storbritaninen, 2017
Effect of temperature on the development of the salmon louse, Lepeophtheirus salmonis, Dafinet workshop, Danmark 2017
Lakselus: Utvikling og temperature, Frisk fisk 2017
Management of Salmon Lice in Norway, Chile 2017
Lakselus og tilpasninger til temperatur. AquaNor; 2017
Temperaturens betydning for utvikling av lakselus larver. Medikamentfri lusekontroll, FHF/Norsk sjømat 2016
Håndtering av lakselus ved høye og lave temperaturer, Havbruk 2016
Development times of sea lice Lepeophtheirus salmonis at different temperatures and its influence on dispersal patterns. Sea Lice Conference, Irland, 2016
6.4 - Kommunikasjon av resultater: Vitenskaplig publikasjoner
Artikler under fagfellebedømmelse
Crosbie et al: Effects of step salinity gradients on salmon lice larvae behaviour and dispersal
Hamre et al: Temperature and Developmental rates in the salmon louse
Manuskripter
Crosbie et al: Temperature and larval behavior
Dalvin et al: Temperature and Infection success
Crosbie et al: Effects of depth and salinity gradients on larval behavior
Mastergrad: Crosbie. Effect of step salinity gradients on salmon lice larvae behaviour and dispersal II: Impact of thermoclines on the vertical distribution of salmon lice larvae, University of Melbourne, Australia