Oxidative stress, drop in pigmentation and production related diseases in Atlantic salmon in spring.
In farmed Atlantic salmon, there is sometimes a drop in pigmentation of the fillet during spring, which correlates with increasing growth, day-length and water temperature. In the EU project ARRAINA, we found that salmon sampled in June had increased oxidative status, and lowered concentrations and retention of vitamin C, compared to fish in freshwater. The hypothesis of this project is that increased growth in seawater during spring is connected to oxidative stress and that this leads to decomposition of astaxanthin in the muscle. This effect has been reported in a previous study, performed when the feed used was based on marine ingredients, but in this study, we want to confirm the effect using a diet relevant for todays farming situation. If the fish has increased oxidative stress in spring, this can lead to development of cataracts and melanin spots in the muscle. These hypotheses were partly confirmed by the results in this study.
Sammendrag
I lakseoppdrett opplever man noen ganger en reduksjon i pigmentering av fileten i forbindelse med økt vekst i vårsesongen når temperatur og daglengde øker. I EU-prosjektet ARRAINA fant vi økt oksidativ status i fisk samplet i juni, bl.a. med redusert innhold av vitamin C i hel fisk, sammenlignet med fisk i ferskvann. Hypotesen i dette prosjektet er at økt vekst i sjø om våren er forbundet med oksidativt stress og at dette fører til nedbrytning av astaxanthin og gir den såkalte vårdroppen i pigmentering. Dette er vist tidligere med bruk av et fôr som inneholdt mye marine ingredienser, men vi ønsker å bekrefte disse resultatene under fôr- og fôringsbetingelser som er relevante for dagens oppdrett. Hvis fisken har økt oksidativt stress om våren, kan dette også føre til utvikling av katarakt og pigmentflekker i muskel. Disse hypotesene ble delvis bekreftet av resultatene i dette studiet.
1 - Innledning
I EU-prosjektet ARRAINA, der målet var å estimere behovet for mikronæringsstoffer hos laks gitt plantebaserte fôr, fant vi at laks holdt i merder i sjø, forbrukte store mengder vitamin C i løpet av vårsesongen (Hamre et al., 2016). Dette var en overraskende observasjon, men det viste seg at lignende funn var publisert tidligere av forskere på HI og NIFES (Nordgaarden et al., 2003). I denne tidlige studien fant man at fisk om våren fikk redusert konsentrasjon av astaxantin, vitamin E og A, og økende konsentrasjon av fettoksidasjonsprodukter (TBARS) i muskelen i vårsesongen. At laksefilet fremstår som blekere om våren enn ellers om året, er et fenomen som er godt kjent i næringen.
Hypotesen i dette studiet (Figur 1) var derfor at økende daglengde og temperatur om våren fører til økt oksidativt stress og forbruk av antioksidanter som vitamin C og E. Astaxantin er også en antioksidant som kan forbrukes ved oksidativt stress, noe som kan føre til at fileten blir blekere. Dessuten er produksjons-lidelser som katarakt vist å henge sammen med oksidativt stress eller mangel på antioksidanter, en sammenheng som er vist både i fisk og mammalier (Mitton et al., 1993; Waagbo et al., 2003). Vi har også sett på utviklingen av mørke flekker utfra kunnskap om at oksidativt stress kan føre til oppløsning av cellemembraner og gi sår som kanskje kan være utgangspunkt for utvikling av flekker med melanomakrofager.
Figur 1. Hypotese om hvordan sesongvariasjon kan føre til oksidativt stress, dropp i pigmentering og produksjonslidelser.
2 - Materialer og metoder
Figur 2. GIFAS’ anlegg, Leirvika Nord.
2.1 - Fiskeforsøk
Et storskala fiskeforsøk ble startet av Biomar og GIFAS høsten 2016, der fisk i 2 av 10 merder (90m diameter), 150 000 fisk per merd ble gitt et fôr basert på prosjektene ARRAINA og ASSESSFEED (Hamre et al., 2016; Hemre et al., 2016) (Hamre et al., submitted; Prahbu et al., submitted). Forsøket ble gjennomført på GIFAS’ kommersielle anlegg, Leirvika Nord (Figur 2). To smolt-grupper ble satt i sjøen, den ene overført i september (Merd A), den andre i oktober (Merd B). Fôr ble levert med en RH Multifeeder med en kapasitet på 600 tonn. Måltidene var tilpasset daglengden, det ble fôret maks 3 måltider per dag med varighet 2-3 timer avhengig av appetitt, med 4 timers opphold mellom måltidene. Død fisk ble samlet og registrert hver dag. SGR (specific growth rate) var høy om høsten, ble redusert i januar og holdt seg lav til april. Den økte fra april til juli og ble redusert fra juli til desember (Figur 3). Overlevelsen i merd A var høyere enn i merd B (Figur 3). Temperaturen på 4 m dyp nådde et minimum på 4°C i januar/februar og et maksimum på 13°C i august, noe som sammenfalt med maksimum SGR
Figur 3. SGR og overlevelse i merd A og B, samt temperatur på 4 m gjennom hele forsøket. To ulike smoltgrupper ble satt ut i merd A og B og smolten i merd B var av litt dårligere kvalitet enn den i merd B. Trekanten blir bruk i alle figurer for å markere maksimal temperatur og SGR.
(Figur 3). Tidspunktet for max temperatur er angitt med en trekant i alle figurene. Nøkkelnæringsstoffer i dette fôret var stabile gjennom forsøket, med unntak av Astaxantin som ble økt fra august og utover fra 48±8 til 113±41mg/kg (Tabell 1).
2.2 - Prøvetaking
Fisk ble samplet fra merd A og B hver måned fra 5. april til 16. august og deretter hver annen måned frem til 6. desember. Ved første prøvetaking ble det tatt 12 fisk fra hver merd for vekt og lengdemåling og visuell undersøkelse av farge og fett ved Photofish, mørke flekker i filet og katarakt, mens samleprøver av 2X6 fisk per merd ble tatt for analyse. Ved andre prøvetaking, ble 6 fisk per merd samlet for både visuell undersøkelse og individuelle analyser. Ved resten av prøvetakingene ble 10 fisk per merd undersøkt visuelt og 5 med individuell kjemisk analyse.
Fisken ble avlivet med et slag mot hodet, rund vekt og gaffel-lengde ble målt. Katarakt i begge øyelinser ble registrert med en spaltelampe (Heine HSK150, Heine Veterinary, Tyskland), med en score på 0-4 for hvert øye, avhengig av hvor stor del av linsen som var angrepet, sum score per fisk var 8 (Figur 8). Fisken ble filetert og begge fileter ble undersøkt for mørke flekker og gitt skår i henhold til flekkenes størrelse og plassering (Mørkøre et al., 2015). Høyre side av muskelen, tilsvarende Norwegian Quality Cut (NQC, mellom bakre ryggfinne og anus), ble dissekert ut og homogenisert i en kjøkkenmikser etter fjerning av skinnet, og fordelt på rør til de ulike analysene. Leveren ble så homogenisert og fordelt på rør på samme måte. Prøvene ble frosset ned på tørris og sendt til HI hvor de ble lagret på -80°C til de ble analysert. Venstre siden av NQC ble brukt til visuell bestemmelse av fett og farge ved hjelp av Photofish (Aquagroup Norge) i henhold til produsentens anvisninger.
2.3 - Kjemisk analyse
Aminosyrer, B-vitaminer, vitamin C, E, totalt astaxantin og mikromineraler ble analysert med akkrediterte metoder ved HI. For analyse av totalt og oksidert glutation (GSH/GSSG) ble det brukt et kommersielt kit (Prod. No. GT40, Oxford Biomedical Research, Oxford, UK) som beskrevet i Skjærven et al. (2013). TBARS ble målt med en ikke-akkreditert rutineanalyse.
Astaxantin oksidasjonsprodukter ble analysert i laksemuskel med en ny massespektrometri (MS) metode utviklet i dette prosjektet. Vi benyttet LC-MS instrumentet Vion LC-TWIMS-QTOF (Waters) med positiv elektrospray ionisering og High Definition MSE modus i masseområdet 50-1000 m/z. MS instrumentet har traveling wave ion mobility (TWIMS) som gir økt selektivitet, og QTOF som gir massespektre med høy oppløsning og nøyaktig masse. LC-gradienten bestod av 10 mM NH4Ac i vann med økende konsentrasjon metanol, og analysetiden per prøve var 22 min. Vi laget en database med massespektere fra astaxantin og astaxantin oksidasjonsprodukter ved å analysere astaxantin standard før/etter in vitro oksidasjon med hydrogenperoksid. Databasen inneholder informasjon om detekterte masser (m/z), potensielle molekylære formler, ionemobilitet (CCS) og LC retensjonstid for følgende forbindelser: astaxantin, 7-apoastaxanthinal, 8-apoastaxanthina, 10-apoastaxanthinal, 11-apoastaxanthinal, 12-apoastaxanthinal, 13-apoastaxanthinal, 14-apoastaxanthinal, 15-apoastaxanthinal, 9-apoastaxantinon, 13-apoastaxantinon. Oksidasjonsproduktene samsvarer med forbindelser som er beskrevet i andre arbeid (Etoh et al., 2012).
Tabell 1. Analyser av nøkkel-næringsstoffer (g/kg for aminosyrer (AA), mg/kg for de andre næringsstoffene) i de 8 ulike fôrbatchene brukt i forsøket viser god stabilitet for alle næringsstoffer utenom astaxantin, der konsentrasjonen ble økt i august fra 48±8 til 113±41mg/kg.
Total AA
Mn
Fe
Cu
Zn
Se
Cobalamin
Folat.
Niacin.
Vit B6
Vit C
Vit E
(α-TOH)
Snitt
335
46
301
7,7
215
1,23
0,085
5,3
90
12,6
409
175
SD
20
11
58
0,5
14
0,05
0,017
0,6
4
0,7
39
6
2.4 - Beregninger og statistikk
Reduksjons-potensialet til GSH/GSSG ble beregnet ved hjelp av Nernst’s ligning:
Eh= E0´ - RT F ln ([GSH] 2/[GSSG])
Konsentrasjonene av GSH og GSSG er gitt i molar og redoks-potensialet Eh i volt. E0´ er standard reduksjonspotensialet ved pH 7 og 25°C og antatt å være -0.240 V.
Statistica (ver. 13.4.0.14, TIBCO Software Inc.) ble brukt til å analysere data. Generelt hadde fisk i merd B noe lavere nivå av antioksidanter enn fisk i merd A. Likevel er individuelle data fra de to merdene slått sammen og behandlet under ett for denne rapporten, for ikke å komme i konflikt med vitenskapelig publisering. Data er presentert som snitt±pooled SEM. Enveis ANOVA med tid som uavhengig variabel ble brukt til å finne sesongvariasjon i de ulike variablene. Når Levene’s test viste at variansene ikke var homogene, ble effekt av tid undersøkt med Kruskal-Wallis ANOVA.
3 - Resultater
Figur 4. Vekt, lengde og kondisjonsfaktor på fisk i prøveuttakene (snitt±pooled SEM, n=12-20) per ukenummer i 2017. Trekanten på x-aksen indikerer maksimum for temperatur og SGR. Signifikante forskjeller (p<0.05) vises med ulike bokstaver.
Rund vekt av fisk i prøvene (Figur 4) var stabil i april til juli, men økte deretter eksponensielt frem til desember. Lengden var stabil i april og mai, men økte deretter lineært frem til desember. Kondisjonsfaktoren var stabil på 1.0 til 1.1 i april til august, men økte deretter til desember. Den nominelt laveste kondisjonsfaktoren ble målt i juni.
Farge i filet målt med Photofish (Figur 5) var stabil fra april til juni, for så å øke frem til desember. Fett i filet målt med Photofish (Figur 5) var stabil fra april til juni for så å øke i resten av prøvetakingsperioden.
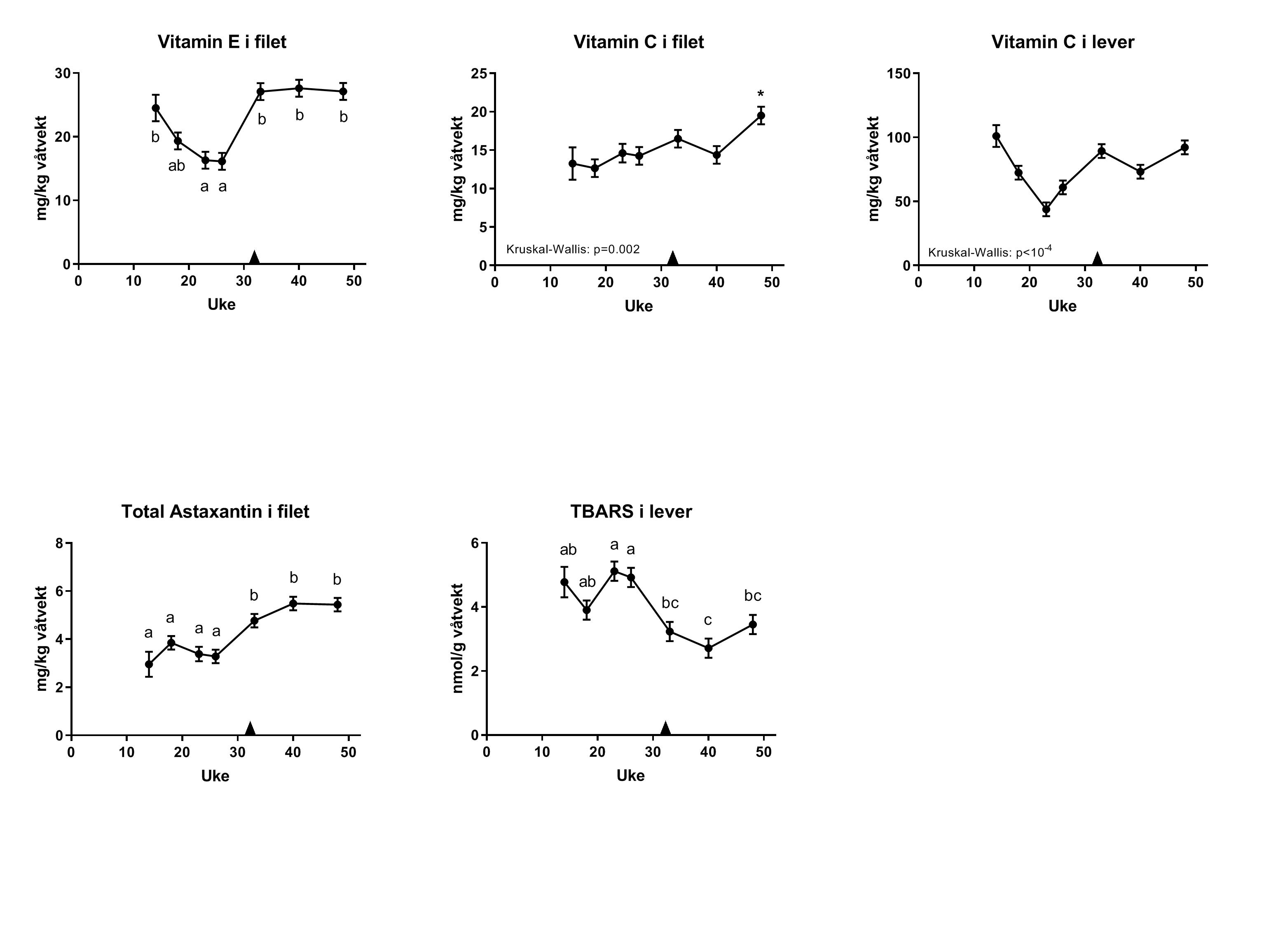
Vitamin E i filet og vitamin C i lever viser en skarp reduksjon i konsentrasjon fra april til juli, deretter en økning tilbake til utgangspunktet i august og konstant konsentrasjon til desember. Vitamin C i filet var konstant fra april til oktober, deretter økte den i desember. Total astaxantin var stabil frem til juli for deretter å øke fra juli til august. Fra august til desember var konsentrasjonen av astaxantin konstant. TBARS i lever var høy fra april til juli, ble redusert fra juli til august og var deretter stabil frem til desember.
Figur 5. Farge og fett i filet per ukenummer i 2017 målt med Photofish (snitt±pooled SEM, n=12-20). Trekanten på x-aksen indikerer maksimum for temperatur og SGR. Signifikante forskjeller (p<0.05) vises med ulike bokstaver.
Figur 6. Vitamin C, E og artaxantin i filet (mg/kg våtvekt), vitamin C (mg/kg våtvekt) og TBARS (nmol/g våtvekt) i lever (snitt±pooled SEM, n=12-20). Trekanten på x-aksen indikerer maksimum for temperatur og SGR. Signifikante forskjeller (p<0.05) vises med ulike bokstaver i datasett med homogene varianser. Kruskal-Wallis ANOVA viser signifikant effekt av tid for viatmin C i filet og lever.
Astaxantin oksidasjonsprodukter i laksemuskel ble bestemt ved LC-TWIMS-QTOF metoden utviklet i dette prosjektet, og 10 oksidasjonsprodukter ble identifisert ved hjelp av in vitro oksidasjon av astaxantin standard med hydrogenperoksid. Etter in vitro oksidasjon ble den rosa løsningen avfarget, mens fargen var tilsynelatende den samme for kontroller uten hydrogenperoksid. LC-TWIMS-QTOF analysen viste tydelig at det var mindre astaxantin i prøven med hydrogenperoksid, og at 14-apoastaxanthinal, som et eksempel, bare er detektert i prøven etter hydrogenperoksid behandling (Fig. 7).
Figur 7.. LC-TWIMS-QTOF analyse av astaxantin standard og ekstraherte ionekromatogrammer. Ionekromatogrammene t.v. viser de tre kjente stereoisomerene av astaxantin, og mengden detektert når løst i metanol (kontroll), når løst i metanol tilsatt vann (kontroll) og når løst i metanol tilsatt vann og hydrogenperoksid (oksidert). Ionekromatogrammet t.h. viser at 14-apoastaxantinal kun ble detektert i prøven tilsatt hydrogenperoksid.
Figur 8. Astaxantin oxidasjonsprodukter relativ til total astaxantin i laksemuskel (%). Forholdet ble bestemt med LC-TWIMS-QTOF, og prøver fra uke 14 (april), uke 22 (juni) og uke 48 (desember) ble analysert. 10-apoastaxantinal i uke 14 var signifikant høyere (p<0.05) enn i uke 22 og 48. 14-apoastaxantinal i uke 14 og 22 var signifikant høyere enn i uke 48 (p<0.05). Statistisk analyse utført i GraphPad Prism, One-way ANOVA med Tukey’s multiple comparison test.
Av oksidasjonsproduktene i databasen ble 10-apoastaxanthinal og 14-apoastaxanthinal detektert i laksemuskel prøvene. Figur 8 viser høyere oksidasjon av astaxantin i prøvene fra uke 14 i forhold til uke 22 og 48 for 10-apoastaxantinal og for uke 14 og uke 22 i forhold til uke 48 for 14-apoastaxantinal.
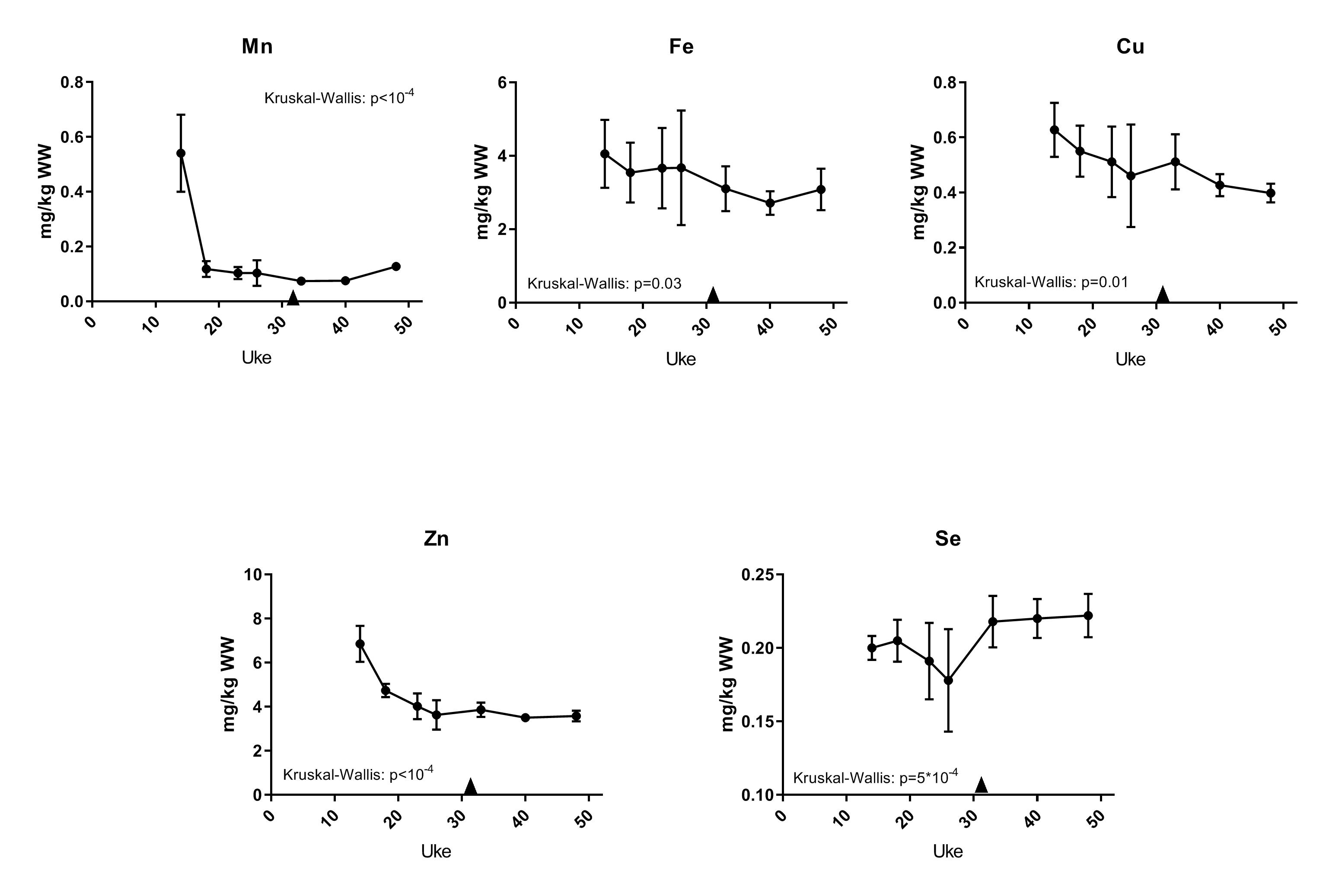
Det var en generell nedgang i konsentrasjon av alle mineralene, bortsett fra Se, i filet gjennom prøvetakingsperioden (Figur 9). Fe og Cu hadde en jevn nedgang i hele perioden, mens mangan og sink viste en sterk nedgang om våren, Mn fra april til mars og Zn fra april til juni, for deretter å holde seg konstant til desember. Selen viste en tendens til nedgang fra mai til juni, men det er usikkert om dette er signifikant, for deretter å øke igjen fra juni til desember.
Figur 9, Mikromineraler i filet (mg/kg våtvekt, (snitt±pooled SEM, n=12-20) Trekanten på x-aksen indikerer maksimum for temperatur og Kruskal-Wallis ANOVA viser signifikant effekt av tid (p<0.05).
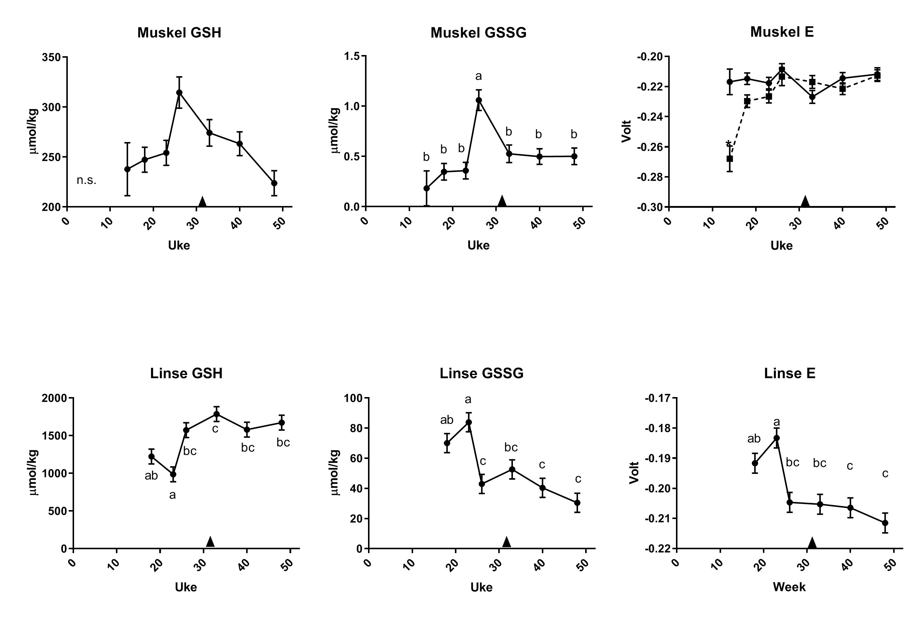
Figur 10, Redusert og oksidert glutation (GSH, GSSG, µmol/kg våtvekt, (snitt±pooled SEM, n=12-20). Redokspotensialet (E) er regnet ut ved hjelp av Nernst’s ligning. Trekanten på x-aksen indikerer maksimum for temperatur. Enveis ANOVA viser signifikant effekt av tid, der ulike bokstaver indikerer at gjennomsnittene er ulike (p<0.05).
GSH i muskel så ut til å stige i juli, men dette var ikke signifikant (Figur 10). GSSG i muskel steg signifikant i juli slik at E som er avhengig av forholdet mellom GSH og GSSG var konstant i merd A og konstant fra mai i merd B. Fisken i merd B hadde unormalt lavt (redusert) redoks-potensial (E) i muskel i april. I linsen steg også GSH i juli og holdt seg deretter stabil til desember, mens konsentrasjonen av GSSG ble kraftig redusert i juli for deretter å holde seg konstant til desember. Redoks-potensialet i linsen var høyt i mai-juni (oksidert), men ble mer redusert fra juli til desember.
Figur 11. Andel fisk med katarakt og gjennomsnittlig katarakt skår (maksimum =8) hos fisk samplet fra mai til desember (snitt±pooled SEM, n=12-20). Trekanten på x-aksen indikerer maksimum for temperatur og SGR. Kruskal-Wallis ANOVA viser en signifikant effekt av tid på katarakt skår.
Fisken som ble samplet i mai hadde ikke katarakt (Figur 11). Andel fisk med katarakt økte til nesten 90% i august og falt deretter til ca ca 40% i oktober og desember. Gjennomsnittlig katarakt skår fulgte samme forløp; fra 0 i mai til nesten 3 (av 8) i august og så en reduksjon til ca 1 i oktober og desember. Maksimum katarakt skår er 8, 4 på hvert øye.
Mørke flekker ble registrert fra juni (Figur 12), da 6 av de 20 fiskene i prøven hadde flekker. Antallet fisk med flekker ble redusert til 4 i juli og 2 i august og holdt seg på 2-3 i oktober og desember. Gjennomsnittlig intensitet i flekkene fikk skår 1.33 i juni og økte (p=0.04) til skår 4.25 i oktober.
Figur 12. Mørke flekker i fileten hos laks samplet fra forsøket på GIFAS. Bildet til høyre viser to typer flekker, den øverste ser ut som et sår med blødning, i den nederste går fargen mer mot svart, som indikerer tilstedeværelse av melano-makrofager (Bjørgen et al., 2015). Skåring av flekken er basert på Mørkøre et al. (2015) .
4 - Diskusjon
Dette forsøket viser at vitamin E i filet og vitamin C i lever blir forbrukt om våren og sommeren i forbindelse med økende daglengde og temperatur. Dette gjelder også for mangan og sink. Den endogene antioksidanten GSH i muskel og linse økte i samme tidsperiode, mens GSSG og redoks-potensialet i linsen ble redusert. TBARS i lever var høyere fra april til juli enn fra august til desember. Disse resultatene er en tydelig indikasjon på at fisken var utsatt for oksidativt stress som kan skyldes økende daglengde, økende temperatur, økende vekst eller alle tre. Figur 1 viser at forandring i SGR faller sammen med forandring i temperaturen og at begge har sitt maksimum den 16. august. Prøvetakingspunktet for juli er egentlig på den 28 juni, altså nær sommersolverv, og minimumsnivåene av vitamin C og E i lever og filet, samt forandringer i GSH/GSSG sammenfaller med det. I august har vitaminene normalisert seg og GSH/GSSG stabilisert seg. Det er uvisst hvordan sesongvariasjon i miljøbetingelser kan føre til sterk nedgang i mikromineraler i filet hos fisk som får en stabil tilførsel av mineraler i fôret.
Vitamin C i filet var konstant gjennom hele prøvetakingsperioden, bortsett fra i desember, der nivået gikk litt opp. Hvis fisken var utsatt for oksidativt stress, burde kanskje denne konsentrasjonen også ha blitt redusert om våren og sommeren. Vitamin C nivå i fôret var svært høyt på ca 400 mg/kg og dette kan ha bidratt til å holde vitamin C nivå i fisken høyt, slik at fileten ble spart for vitamin C nedgang. Utviklingen av vitamin C konsentrasjonen i lever kan tyde på at vitaminet ble transportert til andre deler av kroppen, inkludert muskel, for å beskytte mot oksidativt stress.
For visuell undersøkelse av farge ved Photofish og kjemisk analyse av astaxantin, var forløpet omtrent det samme om våren og sommeren, men i de siste punktene men mot slutten av året viser der Photofish høyere nivå enn den kjemiske analysen. Årsaken til dette er ikke kjent. Nordgaarden et al. (2003) fant en nedgang i astaxantin i laksefilet om våren, men datidens fôr var lavere på antioksidanter som kunne beskytte mot bleking av filet. I vårt studie var astaxantin konstant fra april til juli for deretter å stige i august. Økningen falt sammen med økning av astaxantin i fôret, så man kan ikke vite om økningen i filet skyldes høyere fôrnivå eller mindre oksidativt stress. Manglende nedgang av astaxantin i filet kan også skyldes at det høye nivået av vitamin C og delvis E, i fôret beskyttet astaxantin mot å bli oksidert.
LC-TWIMS-QTOF metoden indikerer likevel høyere oksidasjon av astaxantin i uke 14 (april) og uke 22 (juni) enn i uke 48 (desember). Det er verdt å merke seg at verdiene for oksidasjonsproduktene var relativt lave i forhold til astaxantin, <0.04% for 10-apoastaxantinal og <0.4% for 14-apoastaxantinal. Metoden må betraktes som semi-kvantitativ da vi ikke hadde intern standard for astaxantin eller astaxantin oksidasjonsprodukter (ikke for salg, vanskelig syntese), og vi kunne dermed heller ikke bestemme gjenvinningsgrad av oksidasjonsprodukter i prøveoppslutningen. Det kan være at astaxantin ikke er oksidert i så stor grad, men også at vi ikke klarer å påvise alle oksidasjonsproduktene. In vitro oksidasjonen av astaxantin viser at astaxantin nesten blir borte, og at oksidasjonsprodukter fremtrer. I teorien skal summen av oksidasjonsproduktene samsvare med mengde astaxantin utgangsstoff. Det er dessverre ikke slik at vi kan summere LC-MS signalene for astaxantin oksidasjonsprodukter og sammenligne direkte med signalet til astaxantin. Dette fordi det kan forekommer oksidasjonsprodukter vi ikke har detektert på grunn av kjemiske egenskaper annerledes enn for astaxantin, og oksidasjonsproduktene kan ha ulik grad av ioniseringseffektivitet i ESI MS. Basert på in vitro studiet, hvis vi summerer signalene (AUC) for alle astaxantin oksidasjonsprodukter, tilsvarer disse ca 1% av astaxantin utgangsstoff. Vi skal undersøke muligheter for videre optimalisering og deretter analysere alle prøvene på nytt, samt resterende prøver fra alle sampling tidspunkt. Dette inngår i valideringen av metoden før den publiseres. Videre vil vi vurdere om metoden kan benyttes til å absolutt kvantifisere, noe som krever mer utprøving i tråd med punktene nevnt over.
For mineralene var variasjonen i konsentrasjon i muskel uventet. Den jevne og relativt svake nedgangen i jern og kobber kan kanskje forklares ved at muskelen akkumulerer mer fett, slik at man får en fortynningseffekt. Den bratte nedgangen i sink og mangan i mai-juni kan derimot være koblet til redoks-regulering. Mangan og sink inngår i superoksid dismutase (SOD), MnSOD i mitokondrier og CuZn SOD i cytosol, som omdanner superoksid til hydrogenperoksid, en viktig reaksjon i redoks-regulering. Mekanismene bak nedgang i konsentrasjonene i muskel av disse mineralene er ukjent. Selen er viktig i redoks-regulering, bl.a. som del av enzymgruppen glutation peroxidaser som omdanner hydrogen peroksid og lipid peroksider til vann og lipid hydroksider, samtidig med oksidasjon av glutation. Det var stor variasjon i selen-konsentrasjonen i muskelen om våren, noe som kan ha sammenheng med oksidasjonsstatus.
Katarakt ble først påvist i uke 23 og forekomsten økte raskt til ca 90%. Utviklingen av katarakt sammenfaller med økning i temperatur og vekst, og oksidativt stress. I perioden før katarakt ble påvist var linsen oksidert (lav GSH, høy GSSG), noe som er forbundet med økt risiko for kataraktutvikling også hos mennesker. GSH er en viktig antioksidant i linsen, og tidligere studier har vist at temperatur påvirker GSH syntese og turn-over i linsen hos laks og regnbueørret (Remø et al., 2017). I dette studiet kan både økning i temperatur, metabolske endringer i fisken og oksidativt stress i denne perioden ført til en økt GSH syntese i linsen, og dermed bedre beskyttelse mot oksidativt stress med høyere konsentrasjon av GSH og stabilt redokspotensiale utover høsten. Utpå høsten var forekomsten av katarakt lavere enn om sommeren, rundt 40%, og gjennomsnittscore for fisken med katarakt var noe lavere, med snitt på 2-2.5 mot 3 om sommeren, noe som tyder på at utvikling av katarakt ikke fortsatte utover høsten.
Når det gjelder utvikling av andel fisk med mørke flekker og flekkenes intensitet, er det for få data til å kunne trekke bastante konklusjoner, men man kan lage en hypotese basert på Figur 12. Det ser ut til at man i mai har mange fisk med små flekker. Dette utvikler seg etter hvert til færre fisk med større og mer utviklede flekker. Det er kjent at oksidativt stress kan gi muskeldystrofi fordi muskelceller går i oppløsning når membranen blir oksidert, f.eks. ved vitamin E og selen mangel (Bell et al., 1985; Cowey et al., 1983; Hamre, 2011). Dette kan gi en blødning som senere invaderes av virus og melanomakrofager slik at det dannes en melaninflekk som beskrevet i Bjørgen et al. (2015) (Figur 12). Det at andel fisk med flekker ble redusert kan tolkes som at de tidlige flekkene kan heles.
5 - Konklusjoner
Økt daglengde og temperatur om våren og sommeren ser ut til å gi oksidativt stress i laks, med forbruk av antioksidanter som vitamin C og E, og stimulering av produksjon av endogene antioksidanter som glutation.
Konsentrasjonen av astaxantin i muskel gikk ikke ned om våren i dette studiet, som vist tidligere, kanskje fordi høyt nivå av antioksidanter i fôret virket beskyttende
Det var mer oksidasjonsprodukter av astaxantin i muskel om våren enn i desember, men nivået av oksidasjonsprodukter som ble detektert var svært lavt (<1% av totalt astaxantin).
Katarakt økte sterkt fra april til august, litt forsinket i forhold til oksidasjonsresponsene, men fulgte utviklingen av temperatur og fiskens SGR.
6 - Referanser
Bell, J.G., Cowey, C.B., Adron, J.W., Shanks, A.M., 1985. Some effects of vitamin E and selenium deprivation on tissue enzyme levels and indices of tissue peroxidation in rainbow trout (Salmo gairdneri). Br. J. Nutr. 53.
Cowey, C.B., Adron, J.W., Youngson, A., 1983. The vitamin E requirement of rainbow trout (Salmo gairdneri), given diets containing polyunsaturated fatty acids derived from fish oil. Aquaculture 30.
Etoh, H., Suhara, M., Tokuyama, S., Kato, H., Nakahigashi, R., Ishikura, M., Terada, Y., Maoko, T., 2012. Autooxidation products of astaxanthin. J. Oleo. Sci. 61, 17-21.
Hamre, K., 2011. Metabolism, interactions, requirements and functions of vitamin E in fish. Aquaculture Nutrition 17, 98-115.
Hamre, K., Sissener, N.H., Lock, E.J., Olsvik, P.A., Espe, M., Torstensen, B.E., Silva, J., Johansen, J., Waagbo, R., Hemre, G.I., 2016. Antioxidant nutrition in Atlantic salmon (Salmo salar) parr and post-smolt, fed diets with high inclusion of plant ingredients and graded levels of micronutrients and selected amino acids. PeerJ 4.
Hemre, G., Lock, E., Olsvik, P.A., Hamre, K., Espe, M., Torstensen, B.E., Silva, J., Hansen, A., Waagbø, R., Johansen, J.S., Sanden, M., Sissener, N.H., 2016. Atlantic salmon (Salmo salar) require increased dietary levels of B-vitamins when fed diets with high inclusion of plant based ingredients. PeerJ 4:e2493, https://doi.org/10.7717/peerj.2493.
Mitton, K.P., Dean, P.A.W., Dzialoszynski, T., Xiong, H., Sanford, S.E., Trevithick, J.R., 1993. Modelling Cortical Cataractogenesis .13. Early Effects on Lens ATP/ADP and Glutathione in the Streptozotocin Rat Model of the Diabetic Cataract. Experimental Eye Research 56, 187-198.
Mørkøre, T., Larsson, T., Kvellestad, A.S., Koppang, E.O., Åsli, M., Krasnov, A., Moreno, H.M., Valen, E., Gannestad, K.H., Gjerde, B., Taksdal, T., Bæverfjord, G., Meng, Y., Heia, K., Wold, J.P., Bordeiras, A.J., Moghadam, H., Romarheim, O.H., Rørvik, K.A., 2015. Mørke flekker i laksefilet: Kunnskapsstatus og tiltak for å begrense omfanget. Nofima report 34/20015.
Nordgaarden, U., Ørnsrud, R., Hansen, T., Hemre, G.-I., 2003. Seasonal changes in selected muscle quality parameters in Atlantic salmon (Salmo salar L:) reared under natural and continuous light. Aquaculture Nutrition 9, 161-168.
Remø, S.C., Hevrøy, E.M., Breck, O., Olsvik, P.A., Waagbø, R., 2017. Lens metabolic profiling as a tool to understand cataractogenesis in Atlantic salmon and rainbow trout reared at optimum and high temperature. PlosOne 12, e0175491.
Skjærven, K.H., Penglase, S., Olsvik, P.A., Hamre, K., 2013. Redox regulation in Atlantic cod (Gadus morhua) embryos developing under normal and heat-stressed conditions. Free Radical Biology and Medicine 57, 29-38.
Waagbo, R., Hamre, K., Bjerkas, E., Berge, R., Wathne, E., Lie, O., Torstensen, B., 2003. Cataract formation in Atlantic salmon, Salmo salar L., smolt relative to dietary pro- and antioxidants and lipid level. Journal of Fish Diseases 26, 213-229.Cowey, C.B., Adron, J.W., Youngson, A., 1983. The vitamin E requirement of rainbow trout (Salmo gairdneri), given diets containing polyunsaturated fatty acids derived from fish oil. Aquaculture 30.
Hamre, K., 2011. Metabolism, interactions, requirements and functions of vitamin E in fish. Aquaculture Nutrition 17, 98-115.
Hamre, K., Sissener, N.H., Lock, E.J., Olsvik, P.A., Espe, M., Torstensen, B.E., Silva, J., Johansen, J., Waagbo, R., Hemre, G.I., 2016. Antioxidant nutrition in Atlantic salmon (Salmo sPeerJ 4.
Hemre, G., Lock, E., Olsvik, P.A., Hamre, K., Espe, M., Torstensen, B.E., Silva, J., Hansen, A., Waagbø, R., Johansen, J.S., Sanden, M., Sissener, N.H., 2016. Atlantic salmon (Salmo salar) require increased dietary levels of B-vitamins when fed diets with high inclusion of plant based ingredients