Gå til hovedinnhold

Effekter på bunnfauna av nytt fangstredskap for haneskjell

— Testing av TauTech's Harvester

Forfatter(e): Jan H Sundet , Maria Jenssen , Mona Maria Fuhrmann (HI), Eivind Oug og NIVA

1 - Sammendrag

På oppdrag av TauTech AS gjennomførte Havforskningsinstituttet i samarbeid med NIVA en undersøkelse hvor målsetningen var å studere effekter på bunnfauna og bunnsedimenter ved bruk av et nytt fangstredskap for haneskjell, heretter kalt Harvester. Selve fangstingen baserer seg på å suge skjellene opp fra bunnen, hvor deler av fangsten sorteres fra på bunnen og ønsket fangst (store haneskjell) blir samlet opp. Forsøket foregikk på et haneskjellfelt på Berg ved Tromsø. I tillegg til undervanns videoopptak ble det gjort skrapetrekk med trekantskrape før og etter operasjonene med Harvester, for å undersøke sammensetningen av bunndyr før og etter operasjonene. Materialet som sorteres ut ved fangstingen ble også undersøkt med hensyn på størrelse på utsorterte haneskjell, sammensetningen av dyr og graden av skader på begge deler.

Resultatene viste ingen endringer i sammensetningen av dyr unntatt haneskjell før og etter operasjonene med Harvester. Størstedelen av utsorterte haneskjell var små skjell og skadene på disse var moderate. De resterende dyrene ble inndelt i seks sårbarhetsgrupper basert på noen kriterier og det viste seg at dyr i fem av gruppene hadde små og moderate skader, mens dyrene i den ene gruppen for det meste hadde dødelige skader. Denne gruppen inneholdt dyr som små reker og eremittkreps.

Eventuelle endringer i bunnsedimenter antas å være den viktigste faktoren for restituering av haneskjellfelt etter fangstoperasjoner siden dette kan endre forutsetningene og nyetablering samt levevilkårene for bunndyr. Påvirkningen av Harvester på bunnsedimentene så ut til å være svært moderate. Videoopptakene indikerte at en del finkornet sediment så ut til å være borte etter at Harvester hadde gått over området.

En svakhet med denne undersøkelsen var at intensiteten i fangstingen ved forsøket med Harvester på langt nær var på det nivået en kan forvente ved et ordinært fiskeri. Vi undersøkte heller ikke hvor stor total biomasse av haneskjell og andre bunndyr som ble tatt ut med Harvester. Det anbefales derfor at det gjennomføres nye undersøkelser av påvirkningen på bunnfauna og sediment etter at et eventuelt fiskeri er kommet i gang.

2 - Innledning/bakgrunn

Haneskjell (Chlamys islandica) har vært kommersielt utnyttet langs kysten av Troms og Finnmark siden begynnelsen av 1970 - tallet (Venvik &Vahl 1979). Dette var et fiskeri som først og fremst foregikk på feltene i ytre deler av Troms. Fisket i dette området kom i gang som et resultat av at torskekvotene gikk kraftig ned på slutten av 1980-tallet og at fiskerne fikk mye ledig kapasitet siden kvotene ble raskt fisket opp. Selve fisket var økonomisk marginalt i og med at all produksjon av skjellene foregikk manuelt, og produktet var muskel med gonade. Dermed ble også utbyttet nærmest dobbelt så høyt (ca 35 – 40% av totalvekten) sammenlignet med fabrikkproduksjon som bare hadde muskel som sluttprodukt. Dette ga et utbytte på ca 10 – 12% av totalvekten.

På midten av 1980 - tallet ble det også igangsatt et fiskeri etter haneskjell i Svalbardsonen og ved Jan Mayen (Sundet 1988). Omfanget av haneskjellfisket i disse områdene vokste veldig raskt og fra en beskjeden start med to fartøyer i 1985 økte det til 25 på det meste i 1988. Det ble i alt bygget 9 nybygg spesielt til dette fiskeriet, men de fleste fartøyene som deltok var ombygde ringnotfartøyer, trålere og supplyskip (Opstad 1988, Misund et al 2016).

Haneskjellet finnes utbredt langs hele kysten av Nord-Norge, med de største forekomstene i Troms og Finnmark. Wiborg (1963) gjorde en del spredte undersøkelser av haneskjellfelter i Troms og Finnmark, men disse studiene hadde ikke preg av en bestandskartlegging, slik at det er vanskelig å få noe inntrykk av hvilke kvanta de enkelte feltene representerte.

Det er også gjort undersøkelser av skjellforekomster i Nordland nord for Lofoten, Troms og i Vest-Finnmark i senere tid uten at disse avdekket nye områder i forhold til det Wiborg fant (Sundet 1990, Hemmingsen og Sundet 1986).

Haneskjellet ser ut til å trives best på dyp fra 20 - 60 m, på bunnsubstrat av sand, skjell eller grov grus og finnes oftest i bakkeskråninger, gjerne i tilknytning til områder med sterk strøm (Ekman 1953). Sammenlignet med mer sørlige arter av kamskjell vokser haneskjellet langsomt og det tar omlag 6 - 8 år før skjellet når en fangstbar størrelse på ca. 65 mm skallhøyde (Sundet og Vahl 1981). Veksten varierer fra område til område og ser ut til i større grad å være bestemt av næringstilgangen, enn av temperatur (Rubach og Sundet 1987).

Fisket etter haneskjell langs kysten av Troms er regulert ved en årlig totalkvote og et minstemål på 65 mm skallhøyde. I utgangspunktet er alt fiske etter haneskjell innafor grunnlinja forbudt, men Fiskeridirektøren kan gi dispensasjon fra dette forbudet etter søknad fra den enkelte fisker i tidsrommet 1. august til 1. februar. I Fiskevernsonen rundt Svalbard har fisket vært regulert med et minstemål på 60 mm skallhøyde og med stengte områder.

Fisket etter haneskjell har frem til nå foregått ved bruk av forskjellige skraperedskaper. I fisket innafor grunnlinja er det brukt relativt små og lette skraper, og disse har sannsynligvis hatt en begrenset påvirkning på bunnsedimenter og bunnfauna. I fisket etter haneskjell i Fiskevernsonen og ved Jan Mayen ble det benyttet store skraper på flere meters bredde, som veide flere tonn. Undervannsvideo-opptak på feltene ved Moffen og ved Bjørnøya viste store endringer i bunnsedimentene, karakterisert ved dype «plogfurer» og ved at store steiner ble revet løs fra bunnsedimentene. Det er ikke foretatt vitenskapelige undersøkelser etter at fisket i Fiskevernsonen ble avsluttet, men disse videoopptakene tyder på at bunnfaunaen også må ha blitt betydelig påvirket, og at denne fangstmetodikken ikke er bærekraftig i henhold til dagens standarder. Bunndyrsamfunnene i disse områdene vil sannsynligvis bruke lang tid på å reetablere seg etter slike store påvirkninger på grunn av lave temperaturer og korte vekstsesonger, og det gjør dem sårbare. Forsøk på å starte med haneskjellfiske ved bruk av skraper i Fiskevernsonen har også blitt nektet tillatelse fra fiskerimyndighetene i den senere tid. For å kunne utnytte denne ressursen i Fiskevernsonen må det benyttes ny fangstmetodikk som er betydelig mer skånsom både for den resterende bunnfaunaen, og for bunnsedimentene som utgjør leveområdet for bunndyr.

TauTech AS lanserte en slik ny metodikk overfor Fiskeridirektoratet med søknad om fiske etter haneskjell i Fiskevernsonen. Denne metodikken baserer seg på en sugeteknologi for å løfte haneskjellene fra bunnen inn i en oppsamlingsenhet. I tilsvaret fra Fiskeridirektoratet ble det stilt krav om at TauTech AS måtte redegjøre for hvilke effekter denne nye fangstteknologien hadde på bunnfauna og sediment, før en eventuell tillatelse til et storskala- fiske i Fiskevernsonen kunne gis.

Etter flere møter mellom TauTech as, Fiskeridirektoratet og Havforskningsinstituttet (HI) ble det bestemt at HI skulle delta i en småskala utprøving av denne fangstmetodikken for å undersøke eventuelle påvirkninger på bunnsediment og fauna. Utprøvingen av det nye fangstredskapet, heretter kalt Harvester, skulle gjennomføres på haneskjellfeltet ved Berg i Balsfjorden, like utenfor Tromsø. Dette feltet er det største sammenhengende hanskjellfeltet innafor grunnlinja, og hoveddelen er langs østsiden av Balsfjorden, men det er også en betydelig del langs vestsiden (Wiborg 1963). Skjellene på dette feltet er i gjennomsnitt mindre enn på andre større haneskjellfelt i Troms og Finnmark, og har derfor i liten grad vært høstet på kommersielt. På grunn av sin nærhet til Tromsø by har dette feltet i omfattende grad vært brukt i forskning- og undervisningsøyemed, i tillegg til at det ble brukt til utprøving av utstyr og metodikk på 1980-tallet.

Målet med denne undersøkelsen har vært å studere i hvilken grad Harvester, som suger skjellene opp fra bunnen ved bruk av undertrykk, har effekter på bunnfauna og sediment. Ved oppsugingen av haneskjellene følger det også med en rekke andre arter og løstliggende objekter på bunnen (døde skjell etc). I fangstredskapet blir skjell over en viss størrelse, samt annen bifangst, sortert ut og samlet opp, mens mindre objekter sorteres fra og føres tilbake til bunnen. Det er derfor tre hovedspørsmål ved denne metodikken som undersøkelsen skal belyse: Hvor store endringer er det i bunnøkosystemene som følge av oppsugingen, og hvor stor skade påføres organismer som suges opp og utsorteres tilbake til bunnen? Hva er eventuelle effekter av Harvester på bunnsedimentene? Endringer i bunnsystemene studeres ved prøvetaking av dyresamfunnene på bunnen, før og etter at redskapen har vært i aktivitet. Skader på organismer som suges opp i redskapen studeres ved å undersøke sammensetning og tilstanden til de dyrene som i utgangspunktet sorteres fra i fangstprosessen og tilbakeføres bunnen, men som i dette førsøket ble fanget i oppsamlingsposer. Det er videre beregnet at resterende opsugd fangst (haneskjell og bifangst av større arter) går tapt som en del av fangsten. Eventuelle endringer i bunnsedimentene vil ble undersøkt ved bruk av undervannsvideo (ROV).

3 - Materiale og metode

Undersøkelsen har hatt tre fagelementer: (1) prøver av bunnorganismer med trekantskrape for å beskrive sammensetningen av organismesamfunnene og eventuelle endringer etter bruk av Harvester. (2) Prøver fra oppsamlingsposer, altså organismer som ble frasortert og vil bli ført tilbake til bunnsamfunnene under fangstingen med Harvester. (3) Analyse av effekter på bunnsedimentene av Harvester ved videofilming med ROV før og etter Harvester.

3.1 - Feltarbeid

Feltarbeidet ble gjennomført 21.-24 januar 2019. Ved feltarbeidet ble Servicekatamaranen «Loke» fra rederiet AQS benyttet. Fartøyet var innleid av TauTech AS for uttestingen av Harvester.

Fartøyet var utstyrt med ROV og i forkant av forsøkene med Harvester ble det gjennomført et survey med ROV over en lengre strekning av Bergfeltet, for å finne lokale områder med høye tettheter av haneskjell som egnet seg til uttestingen. Området som ble valgt er vist på kartet i figur 1.

 

Figur 1. Oversiktskart som viser omtrentlig beliggenhet av testområdet med Harvester ved Berg i Balsfjord

Det ble gjort video-opptak ved bruk av ROV før og etter operasjonene med Harvester ved alle testene (tabell 1), og filmopptakene er gjennomgått i ettertid.

Harvester var utstyrt med to forskjellige oppsugingsenheter/munnstykker; ett som var forgrenet med tilsammen fire sugeenheter ned mot bunnen, og ett som besto av en enkelt sugeenhet. Det ble gjennomført flere forsøk med begge typer munnstykker med forskjellig sugeundertrykk, som angitt i tabell 1.

For å fange opp dyr som ble frasortert under fangstingen med Harvester og tilbakeføres bunnen, ble det montert på en oppsamlingspose bestående av tobis-nett (maskevidde 10 mm) ved utsorteringsenheten på Harvester. Disse prøvene benevnes som oppsamlingspose 1 - 4.

Tabell 1. Viser omtrentlig posisjon for hver test med Harvester, hvilket munnstykke som ble benyttet, varigheten av testene, hvilket undertrykk som ble benyttet ved hver test og beskrivende kommentarer. Oppsamlingsposer var montert på Harvester ved hver av de fire forsøkene (prøve 1 – 4).

Forsøk nr. Posisjon Munnstykke Varighet Undertrykk Kommentarer
1 69o 34,345’ N 18o 55,906’ E 4-delt 20 min. 160 bar Få skjell fanget
2 69o 34,539’ N 18o 55,887’ E 2-delt 30 min. 160 bar Tettet to av munnstykkene
3 69o 34,461’ N 18o 55,964’ E 2-delt 12 min. 100 bar Tettet to munnstykker. Påmontert skjørt i bakkant
4 69o 34,450’ N 18o 55,963’ E En enkelt enhet 9 min 45 bar Alternativt munnstykke

Skrapetrekkene med trekantskrape før og etter operasjonene med Harvester er vist i tabell 2. I alt fire av skrapetrekkene (1-4) ble tatt utenfor den delen av skjellfeltet som ble valgt til å teste ut Harvester. Dette ble gjort for å sjekke om område egnet seg som testområde. Selv om materialet fra disse fire stasjonene ikke inngår i vurderingen av Harvester har vi valgt å presentere resultatene fra disse skrapetrekkene for å anskueliggjøre variasjonen i bunnfaunaen på haneskjellfelt. Fire skrapetrekk (5-8) ble tatt i testområdet før uttestingen, og fem skrapetrekk (9-13) ble tatt etter at forsøkene med Harvester ble gjort. Prøvene fra skrapetrekkene ble sortert på et sorteringsbord ombord, og alle store organismer ble registrert før de ble kastet over bord (se bilde 1).

Bilde 1. Sortering av materiale fra trekantskrape på dekk. Foto: Eivind Oug, NIVA

Alle mindre organismer fra trekantskrapen og prøver fra oppsamlingsposene ble oppbevart i sjøvann til vi kom i land. Dyrene ble så konservert i 4 % formalin i plastbøtter for videre identifisering på laboratoriet.

Tabell 2. Dato, posisjon, dybde, volum og tauetid for hvert trekk med trekantskrape. I tillegg er angitt om de enkelte trekkene er tatt før eller etter utprøvingen av Harvester.

Dato Stasjonsnr Bredde/lengde Dyp Volum Tauetid Kommentar
22.01.2019 1 69o 32,272’ N 18o 56,999’ E 33 40 10 Utenfor testfelt
22.01.2019 2 69o 33,281’ N 18o 56,074’ E 32 20 5 Utenfor testfelt
22.01.2019 3 69o 33,210’ N 18o 55,959’ E 38 20 6 Utenfor testfelt
22.01.2019 4 69o 33,007’ N 18o 56,404’ E 29 40 6 Utenfor testfelt
22.01.2019 5 69o 35,015’ N 18o 55,946’ E 30 20 6 Før testing av Harvester
22.01.2019 6 69o 34,829’ N 18o 55,886’ E 35 40 6 Før testing av Harvester
22.01.2019 7 69o 34,630’ N 18o 55,797’ E 38 40 6 Før testing av Harvester
22.01.2019 8 69o 34,493’ N 18o 56,103’ E 26 40 6 Før testing av Harvester
23.01.2019 9 69o 34,582’ N 18o 55,96’ E 30 * 5,5 Tatt i samme spor som test 3 og 4
23.01.2019 10 69o 34,539’ N 18o 55,887’ E 32 * 5,5 Tatt i samme spor som test 2
23.01.2019 11 69o 34,345’ N 18o 55,906’ E 30 5 5 Tatt i samme spor som test 1
23.01.2019 12 69o 34,582’ N 18o 55,96’ E 30 40 5 Tatt i samme spor som test 3 og 4
23.01.2019 13 69o 34,582’ N 18o 55,96’ E 30 50 7 Tatt i samme spor som test 3 og 4

3.2 - Bearbeidelse i laboratoriet

Dyrene fra hver prøve ble skylt i rennende vann i 24-36 timer før de ble identifisert på laboratoriet. Etter skylling ble de oppbevart i en løsning bestående av 70% etanol (96%) og 30% ferskvann fram til identifisering. Dyrene fra hver prøve ble først grovsortert, og deretter identifisert til art, eller til laveste kjente taksonomiske nivå.

3.3 - Registrering av artenes forekomst i skrapeprøvene

For å beskrive sammensetningen av organismesamfunnet på bunnen ble alle artene i prøvene mengdebestemt. Dette ble gjort enten ved å vurdere forekomstene i henhold til en mengdeskala med fem klasser vist i tabell 3, eller ved å telle antall individer. Mengdeskalaen ble benyttet for alle dominerende arter, kolonidannende arter og arter som helt eller delvis lever i skjul og vanskelig kan kvantifiseres. Alle større arter (enkeltindivider) og små fåtallige arter ble telt. Grovt sett vil mengdeklassen sjelden tilsvare 1-5 individer, mens klassen meget vanlig tilsvarer mer enn 100 individer (Tabell 3).

Tabell 3. Inndeling av forekomstklasser av dyr fra prøvene tatt med trekantskrape.

Forekomst klasse Antall ind. i prøve Verbalbekrivelse
1 1-5 Sjelden
2 6-15 Enkeltvis
3 16-30 En del
4 31-100 Vanlig
5 >100 Meget vanlig

3.4 - Registrering av artenes forekomst i oppsamlingsposene

Alle organismer fra oppsamlingsposene ble telt. Skallhøyden på alle haneskjellene ble målt og skjellene ble inndelt i tre størrelsesgrupper; 0 – 30 mm, 31 – 50 mm og > 50 mm. Størrelsen på andre dyr med relativt hyppig forekomst, ble inndelt etter en relativ skala; liten, mellomstor og stor.

Ved opparbeiding av prøvene fra oppsamlingsposene ble skadeomfang på haneskjell og alle andre dyr registrert. Skadeomfang ble delt inn i tre kategorier: uskadd, liten skade (med overlevelse, for eksempel kanten av haneskjell er skadet) og dødelig skade. Noen av dyrene med skader ble fotografert for dokumentasjon.

Bilde 2. Eksempler på skade på haneskjell fra Harvester, fått i oppsamlingsposer. Liten skade på bildet til venstre og dødelig skade til høyre. Foto: Maria Jenssen, Hi

3.5 - Inndeling i sårbarhetsgrupper

For å forenkle fremstillingen av resultatene fra skader på dyr i oppsamlingsposene, valgte vi å sortere dyrene i seks grupper basert på kriterier i forhold til mobilitet (fastsittende eller bevegelige), sårbarhet i forhold til fysisk påvirkning (skall eller annen beskyttelse) og rekrutteringspotensiale (hvor rask nyrekruttering) i henhold til tabell 4.

Tabell 4. Inndeling av dyr fra oppsamlingsposene fra Harvester i sårbarhetsgrupper.

Kode Beskrivelse
A Høyst sårbare dyr mot fysisk påvirkning, som er fastsittende eller langsomme, uten beskyttelse og med langsom gjenvekst/rekruttering. For eksempel: Sjøanemoner
B Moderat sårbare dyr mot fysisk påvirkning, som er fastsittende eller langsomme, uten beskyttelse, men med rask gjenvekst/rekruttering (≤2 år). For eksempel: Mosdyr
C Moderat sårbare dyr mot fysisk påvirkning, som er fastsittende eller langsomme og har langsomt gjenvekst/rekruttering (>2 år), men har beskyttelse som skjell eller rør. For eksempel: Haneskjell
D Moderat sårbare dyr mot fysisk påvirkning, som har mulighet til å flykte pga. mobilitet, men uten beskyttelse og langsomt gjenvekst/rekruttering (>2 år). For eksempel: Krabber
E Mindre sårbare dyr mot fysisk påvirkning, er fastsittende eller langsomme, men har beskyttelse som skjell eller rør og rask gjenvekst/rekruttering (≤2 år). For eksempel: Kalkrørsmark
F Mindre sårbare dyr mot fysisk påvirkning, som har mulighet til å flykte pga. mobilitet og rask gjenvekst/rekruttering (≤2 år), men ingen beskyttelse. For eksempel: Små reker (Eremittkreps er også mer her, fordi de forlater ofte skjellene om stresset)

3.6 - Multivariate analyser

De statistiske analysene og produksjon av figurer ble gjort i dataverktøyet R (versjon 3.5.3). For å se om det var forskjeller i sammensetningen av dyr før og etter testene med Harvester, ble det gjennomført en multivariat analyse (hierarkisk cluster-analyse) basert på forekomsten av artene som ble funnet i trekanskrapeprøvene.

«Average linkage clustering» basert på en Bray Curtis «dissimilarity matrix» ble brukt for å vise ulikheten mellom prøvene. Prøver som er like i sammensetning vil ligge nært hverandre og danne klynger, mens prøver som er ulike vil ligge lenger fra hverandre. Avstanden mellom klynger er definert som gjennomsnittlig avstand mellom alle inter-klyngepar.

4 - Resultater

4.1 - Prøver fra trekantskrape-trekk

Prøvene med trekantskrape var artsrike og viste at det var et normalt og godt utviklet økosystem på haneskjellfeltet ved Berg. I Tabell 5 er det gitt en oversikt over artsinnholdet for de viktigste gruppene i hver av prøvene. Prøve 1- 4, som ble tatt utenfor testfeltet, er ikke fullstendig opparbeidet på grunn manglende tid. Flerbørstemark, bløtdyr og pigghuder var generelt de mest artsrike gruppene. En fullstendig oversikt over artsinnholdet og mengderegistreringene for artene i alle prøvene er gitt i Appendikstabell 1.

De mest vanlig forekommende artene, i tillegg til haneskjellet, var kalkrørsmark (Pomatoceros triqueter), drøbakkråkebolle (Strongylocentrotus), sekkdyr (Ciona) og mosdyr. Haneskjell og kalkrørsmark ble begge registrert i kategoriene ‘vanlig’ eller ‘meget vanlig’ i alle prøvene fra testområdet både før og etter Harvester (trekk 5-13, Appendikstabell 1). I tillegg var det store individer av korstroll (Asterias rubens) (4-35 individ) og brunpølse (Cucumaria frondosa) (4-12 individ) i de fleste prøvene og noen mer spredte individer av neptunsnegl, sjøroser og svamp. Det ble registrert store mengder kalkalger (røde kalkskorper og løst rugl) og opprette bladformede rødalger.

Det var ingen registrerte forskjeller i artsrikhet mellom prøvene tatt på testområdet før Harvester (trekk 5-8) og etter testene med Harvester (trekk 9-13). Hovedforskjellen mellom skrapeprøvene syntes å være relatert til prøvevolum, altså hvor mye materiale skrapen har samlet i de enkelte trekkene. Prøvene med lavest volum (trekk 5 og 11) hadde for de fleste artsgruppene færre arter enn fulle skraper (40-50 liter).

Det var heller ingen tydelige forskjeller i artsrikhet mellom prøvene tatt utenfor testfeltet (trekk 1-3) og prøvene fra testfeltet (trekk 5-13), selv om to prøver hadde høyere antall arter av bløtdyr og krepsdyr. Dette indikerer at det begrensede området som ble valgt for testene med Harvester, må betraktes som representativt for organismesamfunnet på haneskjellfeltet på Berg selv om tettheten av haneskjellet varierte og var høy der testene ble gjennomført. Ut fra dette må det kunne forutsettes at testene med Harvester har kunnet vise hvilke arter og artsgrupper som suges opp av Harvester sammen med haneskjellene på et skjellfelt med normalt høy artsrikhet. Resultatene fra oppsamlingsposene vil dermed avklare hvilke arter og artsgruppper som skilles ut og føres tilbake til bunnen og hvor mye skade disse er påført.

Figur 2. Viser den relative fordelingen av dyregrupper og dominerende arter (med norske betegnelser) basert på mengdebestemmelsene (forekomstklasser eller antall individer), i trekanskrapeprøvene 5-13.

Tabell 5. Oversikt over artsmangfold i prøver med trekantskrape. Prøve 4 mangler fullstendig i tabellen og gruppen flerbørstemark i prøvene 1-3 utenfor testfeltet er ikke identifisert.

  Utenfor testfelt Før Harvester Etter Harvester
Skrapetrekk nummer 1 2 3 5 6 7 8 9 10 11 12 13
                         
Volum prøve, liter 40 20 20 20 40 40 40 * * 5 40 50
Antall arter                        
Flerbørstemark * * * 17 15 9 11 11 11 12 17 14
Bløtdyr (skjell og snegl) 15 10 4 6 9 8 9 9 9 4 11 11
Krepsdyr 8 10 4 2 6 2 5 6 2 1 7 4
Pigghuder 8 9 6 8 7 8 10 12 7 6 10 14
Sekkdyr 2 2 1 1 3 2 2 3 3 0 3 3
Andre grupper 10 7 5 3 10 7 6 7 7 3 10 9
                         
Totalt antall arter 43 38 20 37 50 36 43 48 39 26 58 55

Av enkeltarter var haneskjellet dominerende, men det var også mye rørbyggende børstemark som i hovedsak utgjøres av kalkrørsmarken Pomatoceros. Haneskjellet er også habitat for dyr som sitter på skallet, hovedsakelig svamp, hydroider og mosdyr. Rørbyggende flerbørstemark, både kalkrørsmark og arter med bløte rør, sitter i stor grad festet til døde skall av haneskjell, o-skjell og klumper av rugl, og disse var meget vanlig i prøvene. Generelt var den relative sammensetningen av gruppene ganske lik mellom prøvene. Det var ingen indikasjoner på endringer i relativ sammensetning av de forskjellige gruppene før (trekk nr. 5 – 8) og etter (9 – 13) testingen med Harvester. Cluster-analysen (figur 3) som er basert på forekomst av enkeltarter, viser i hovedsak samme resultat, men prøve 5 før Harvester og prøve 11 etter Harvester skilte seg en del fra de øvrige. Analysen indikerer også en forskjell mellom trekkene 6 og 8 før Harvester, og trekkene 9, 12 og 13 som ble tatt i sporet etter Harvester test 3 og 4. Dette kan kanskje tolkes som en effekt av Harvester, men det kan også være at trekkene 9, 12 og 13, som fulgte i samme spor, hadde høy innbyrdes likhet på grunn av nærheten og at små lokale variasjoner på feltet bidrar til mønsteret i diagrammet.

Figur 3. Cluster dendrogram av artssammensetningen i trekanskrapetrekkene 5-13; 5-8 - før, 9-13 - etter Harvester.

4.2 - Prøver fra oppsamlingsposene

Registreringen av skader på organismene fra oppsamlingsposene gir oss et bilde effektene av Harvester på bunndyrene som sorteres ut og føres tilbake til naturen ved fangsting.

Det ser ut til at det var minst skade på skjellene (< 20%) i oppsamlingspose 4 fra Harvester. Skaden på utsorterte skjell var omtrent lik i oppsamlingspose 2 og 3, og her var skadene betraktelig høyere (> 50 %) (figur 4). Størrelsesfordelingen på utsorterte haneskjell var omtrent lik for oppsamlingspose 2 – 4, mens langt flere store skjell ble utsortert ved test 1 (figur 5).

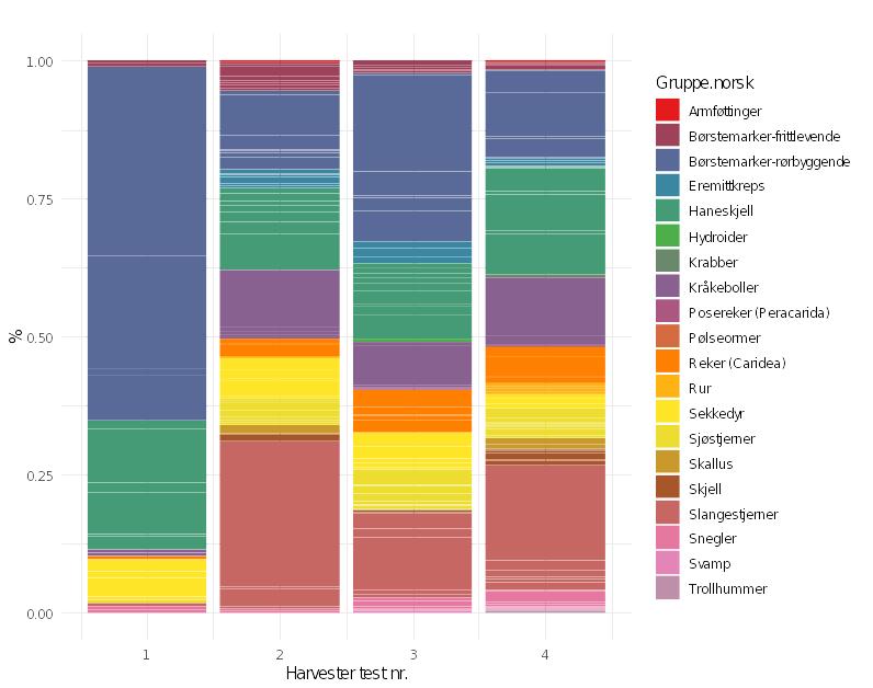
Med unntak av i test 1 var sammensetningen av dyr i oppsamlingsposene ganske like i alle testene (figur 6). Det var hovedsakelig slangestjerner, mellomstore kråkeboller, sjøstjerner og forskjellige småreker i prøvene. Det ble også funnet en del rørbyggende børstemark, mosdyr og sekkdyr som satt fast på haneskjellene. Store individer fra disse gruppene ville ikke bli utsortert, men komme sammen med fangsten og må anses som tapt.

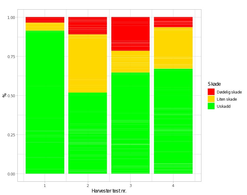
Det var flest uskadde dyr i oppsamlingsposen fra test 1, mens skadeomfanget varierte fra ca 35 - 50 % ved de andre testene. Høyest dødelig skade var det ved test 3, mens test 4 kun hadde ca. 10 % dødelig skade på de utsorterte dyrene (figur 7).

Figur 4. Prosent skade (%) på haneskjell i oppsamlingsposen fra test 1 – 4 med Harvester. Uskadd = hele skall, liten skade = skallkanten var skadet, men skjellet vil sannsynligvis overleve, dødelig skade = store deler av skallet knust (se bilde 2).

 

Figur 5. Størrelsessammensetning av haneskjell i prosent i oppsamlingspose 1 – 4 med Harvester.

 

Figur 6. Prosentvis sammensetning av grupper av dyr i oppsamlingspose 1 – 4 fra testene med Harvester.
Figur 7. Skade på de forskjellige sårbarhetsgruppene A – F i utsortert materiale fra Harvester, inkludert haneskjell. Resultat fra alle testene samlet.

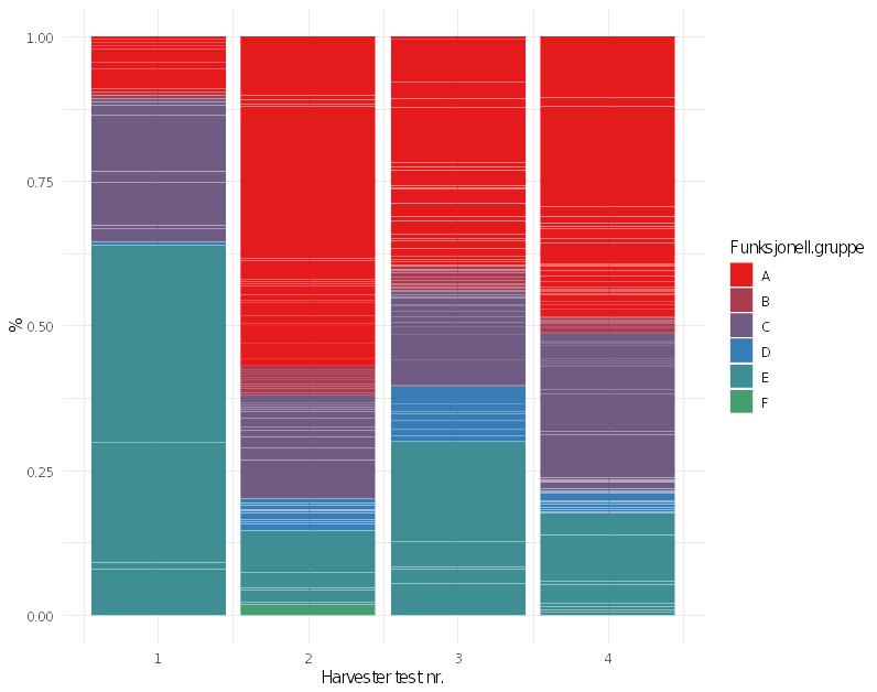
Funksjonell gruppe A (Langsomme dyr, uten noe særlig beskyttelse, og moderat-langsomt rekruttering - mest pigghuder som slangestjerner og kråkeboller) dominerer i oppsamlingsposene 2 – 4 fra Harvester, mens det i oppsamlingspose 1 var gruppe E (mindre sårbare dyr, som er sedentære eller langsomme, men har beskyttelse som skjell eller rør og rask gjenvekst/rekruttering) som dominerte (figur 8).

Figur 8. Sammensetning av de forskjellige sårbarhetsgruppene i oppsamlingsposene fra Harvester 1-4 i prosent (%). Haneskjell er inkludert. Se tabell 1 for forklaring av sårbarhetsgrupper.

Sårbarhetsgruppe F (mer mobile dyr som kan flykte og anses som mindre sårbare) hadde størst andel dødelig skade, mens gruppe E (dyr med skall eller rør og anses som mindre sårbare) var mest uskadd (figur 9). Også i gruppe C (dyr med skall eller rør med langsom gjenvekst og anses som moderat sårbare) var det lite skader. I tillegg til gruppe F var det mest skader i gruppene B og D, som alle omfatter dyr uten beskyttelse. Den høye skadeandelen i gruppe F må ses i sammenheng med at denne gruppen var svært lavt representert i prøvene (figur 7). Det er sannsynlig at de fleste har kunnet flykte og at det er individer som av en eller annen grunn har hatt nedsatt fluktevne som har blitt samlet inn. Gruppe E har skall noe som sannsynligvis har bidratt til lavere frekvens av skader i denne gruppen.

4.3 - Videoopptak av havbunnen ved bruk av ROV

Videoanalyser av havbunnen kan ikke gi noen kvantitative resultater og målsetningen med disse undersøkelsene var først og fremst å undersøke hvordan Harvester påvirket bunnsubstratet som er habitatet for bunndyrene. Det ble gjort opptak ved alle fire testene med Harvester både før og etter at denne hadde vært i virksomhet. Ut fra videoopptakene var det vanskelig å se noen tydelige forskjeller før og etter tester med Harvester, men det var tilsynelatende mindre haneskjell etter testene. Det eneste som var åpenbart synlig på opptakene var at en del sjøstjerner lå «på ryggen» ved en av testene, men de så ikke ut til å være skadet. Det er ikke mulig å si noe om disse sjøstjernene var utsortert fra Harvester eller påvirket på noen måte. Det var forøvrig overraskende å se at levende haneskjell som lå festet til bunnsubstratet lik bak Harvester var i «filtreringsmodus» og tilsynelatende lite berørt av aktiviteten.

Videoopptakene viser dermed ingen effekter på faunaen som blir igjen på havbunnen etter testingen med Harvester. Dette gjelder uansett hvilket munnstykke eller hvilket undertrykk som ble benyttet. Dyr som ville vært synlige på videoopptakene med eventuelle skader, kan også ha blitt sugd opp i Harvester.

Ut fra videoopptakene var det også vanskelig å registrere noen effekter av testene på selve bunnsubstratet. Bildene viser at haneskjellene var ujevnt fordelt på havbunnen med ca. 5-10 skjell samlet på små områder, og områder innimellom bestående av småstein og finkornet sediment. Det kunne se ut til at sedimentene mellom disse små ansamlingene med haneskjell var blitt redusert etter testen. Dette er også sannsynlig siden det er rimelig å anta at alt av finkornet sediment blir sugd opp i Harvester under operasjonene. Utover dette er det ingen tegn til at steiner etc. er blitt flyttet på eller at bunnsubstratet er omdannet på noe vis. Eventuelle effekter av at finkornet sediment blir virvlet opp ved bruk av Harvester er ikke undersøkt. Mye silt og sedimenter i vannmassene kan tenkes å ha en kortvarig effekt på filtrerende organismer ved at det påvirker evnen til å filtrere, men generelt har oppvirvlet sand og mudder som avsettes på bunnen, liten påvirkning på bunnfauna.

5 - Diskusjon

Artsmangfoldet på hardbunnsområder er mye høyere enn på andre bunntyper. Dette synes også å være tilfelle på haneskjellfeltet på Berg, hvor denne undersøkelsen ble foretatt. På dette området dominerer kalkalger og haneskjell med hensyn til antall, men andre arter er også tallrike.

Ved testene med Harvester er det sannsynlig at dyr som ikke er fastsittende, blir sugd opp av det relativt høye undertrykket, men registreringene av prøvene fra trekkene med trekantskrapen indikerer likevel ingen større forskjeller i sammensetning før og etter testingen. Dette kan skyldes at skrapetrekkene etter testingene ikke i tilstrekkelig grad representerte de områdene som Harvester hadde kjørt over. Da denne undersøkelsen ble designet var forutsetningen at fangsting med Harvester skulle foregå med mye større intensitet enn det som ble tilfellet. Med kun fire forsøk er det derfor vanskelig å «treffe» i samme løypa som Harvester har gått etter bunnen. Dette er en svakhet med denne delen av undersøkelsen. Testområdet var likevel så pass lite at dersom fangstingen med Harvester påførte bunnfaunaen betydelig endringer i artssammensetning, ville våre prøver fra skrapetrekkene kunne indikere det.

Mange av de mest tallrike dyrene i undersøkelsesområdet, bortsett fra haneskjell er ofte gjemt i hulrom i større klumper av rugl eller under steiner og lignende. Dette kan ha forhindret at de ble sugd opp av Harvester. Det ble ikke gjort observasjoner av selve fangsten. En har derfor ingen mål på biomassen som blir tatt opp. Observasjonene fra videoopptakene viste imidlertid at en del haneskjell fortsatt sto igjen på bunnen etter at Harvester hadde gått over dem. Dette indikerer at redskapen ikke er i stand til å suge opp alt materiale.

Utsortering og tilbakeføring til bunnøkosystemet av små haneskjell og andre dyr under fangstingen på en måte som gjør at de overlever er viktig. Undermåls haneskjell skal sikre en langsiktighet i fisket gjennom at undermåls skjell rekrutterer til fangstbar størrelse og dyr ellers skal bidra til at bunnøkosystemet restitueres raskest mulig etter operasjonene med Harvester.

Resultatene fra prøvene i oppsamlingsposene viste at utsortering på størrelse kan forbedres siden det fortsatt sorteres ut en del skjell over minstemål (60 mm), og at det sannsynligvis blir med en del undermåls skjell i fangsten. Prøvene fra test 1 var noe forskjellig fra de tre andre når det gjelder størrelsen på haneskjellene som ble utsortert. Dette må tilskrives at dette var den første testen av Harvester, som ikke var særlig vellykket fordi det ble fanget få haneskjell totalt. I de tre andre testene var størstedelen av de utsorterte skjellene små.

Andelen haneskjell som var dødelig skadet var relativt liten i ved alle testene og spesielt lav ved test 4. Dette skyldes sannsynligvis at undertrykket ved suget var her lavt samtidig med at en benyttet et rett munnstykke uten bend. Dette kan tyde på at både utformingen av munnstykket og størrelsen på undertrykket er viktig med tanke på skader på dyrene som sorteres ut, men sannsynligvis også på skjell som inngår i fangsten.

Det antas at andre dyr enn haneskjell som blir tatt som fangst og må regnes som tapt. Av utsorterte dyr utenom haneskjell, fra oppsamlingsposene dominerte pigghudene (sjøstjerner, slangestjerner og kråkeboller), hvis en ser bort fra test 1. Disse er kategorisert i sårbarhetsgruppe A, en gruppe dyr med liten beskyttelse mot fysiske skader og med langsom rekruttering. Ellers viste prøvene fra oppsamlingsposene stor variasjon i dyregrupper og gjenspeilte på mange vis den faunaen som finnes på dette området. Det viste seg imidlertid at gruppe A hadde minst grad av dødelig skade etter å ha blitt utsortert, mens gruppe F som var antatt å være de mest sårbare, hadde høyest grad av dødelig skade. Dette kan skyldes at de ikke klart å flykte unna (reker) til tross for at de har stor mobilitet. Eremittkreps er det også mange av i denne gruppen. De holder vanligvis til i gamle sneglehus som gir god beskyttelse, men når de blir stresset forlater de gjerne huset og er da svært sårbare overfor fysiske påvirkninger.

Med unntak av dyrene i gruppe F er det moderat til liten dødelig skade blant de andre gruppene og sannsynligheten for overlevelse for mindre dyrene som havner i Harvester i gruppene A – E, er relativt stor.

Ødeleggelse av habitat er kanskje den viktigste faktoren som påvirker mulighetene for reetablering og restituering av bunnfaunasamfunn. Fangst av haneskjell med bunnskraper slik det foregikk i Svalbardsonen på 1980-tallet påvirket bunnhabitatene kraftig ved at skrapene gravde dypt ned i sedimentet og tok med seg deler av bunnsedimentene opp til overflaten. Dette kan ha bidratt til at dyr som lever nede i sedimentet og eller er avhengig av skjulesteder, får forringet sine levemuligheter.

Videoopptakene etter at Harvester hadde vært i aktivitet viste ingen eller små endringer i bunnoverflaten. Ved bruk av Harvester vil påvirkningene på bunnsedimentet i stor grad være avhengig av undertrykket som benyttes og de nivåene som ble benyttet i disse forsøkene synes akseptable. En er kjent med at ett av målene ved den videre utviklingen av Harvester er at hele enheten ikke skal berøre bunnen, noe som vil redusere fotavtrykket i bunnsedimentet ytterligere.

Bunntypene på haneskjellfelter i fiskevernsonen rundt Svalbard, hvor fangstingen er tenkt å foregå, er noe forskjellige og skiller seg også fra Bergfeltet. I tillegg vil fangstintensiteten på de enkelte feltene bli lagt høyere enn i denne testen. Dersom det blir et haneskjellfiskeri bør det derfor gjennomføres nye undersøkelser av påvirkningen på bunnsedimentene etter at fiskeriet er kommet i gang.

6 - Konklusjon

Kvaliteten av denne studien av effektene av Harvester på bunnfauna og bunnsedimenter ble noe redusert ved at det ble gjennomført færre fangstforsøk med Harvester og dermed en lavere intensitet enn det opprinnelig var planlagt. Basert på de data vi har fra dette forsøket ser det ut til at operasjonene med Harvester har hatt begrenset påvirkning på bunnfaunaen både når det gjelder reduksjon og endring i sammensetningen av arter i bunnøkosystemet. Det meste av dyrene som blir sortert ut ved fangstingen ser ut til å overleve, men dyr som pigghuder og en del krepsdyr vil trolig ha stor dødelighet. For det meste er det små haneskjell som blir sortert ut og skadene på disse er moderate slik at de aller fleste ser ut til å overleve.

Påvirkningen på bunnsedimentene er kanskje den viktigste parameteren når det gjelder å sikre en bærekraftig høsting. Denne undersøkelsen indikerer at påvirkningen er liten. Dette skulle tilsi at det er gode muligheter for at felter som blir fangstet på vil kunne restituere seg innen et akseptabelt tidsrom.

Et operativt fiskeri vil være langt mer intensivt innenfor et begrenset område enn dette i forsøket. Dessuten gir denne undersøkelsen bare et øyeblikksbilde. Vi vil derfor anbefale at det gjennomføres nye undersøkelser både av bunnfauna og bunnsediment etter at et eventuelt fiskeri har kommet i gang. Oppfølgende undersøkelser bør også ha som mål å undersøke feltenes restitueringsevne.

7 - Litteratur

Ekman, S. 1953. Zoogeography of the Sea. 417 s. London: Sidgwick and Jackson.

Hemmingsen, W. og J. H. Sundet. 1986. Årsrapport for kartleggingsarbeid av haneskjell, Chlamys islandica, innafor grunnlinja i Troms. Rapport til Fondet for fiskeleiting og forsøk.

Misund, O.A., Heggland, K., Skogseth, R., Falck, E., Gjøsæter, H. Sundet, J.H., Watne, J., Lønne, O.J. 2016. Norwegian fisheries in the Svalbard zone since 1980. Regulations, profitability and warming waters affect landings. Polar Science, xx,xxx. Doi: 10.1016/j.polar.2016.02.001.

Opstad, D. E. Skjelltrålerbygginga – hva skjedde. Ottar nr. 170 2/1988. 8 s.

Rubach, S. og J.H. Sundet. 1987. Ressurskartlegging av haneskjell (Chlamys islandica (O.F. Müller)) ved Jan Mayen og i Svalbardsonen i 1986. Rapport fra Institutt for fiskerifag, Universitetet i Tromsø, Ser. b: Ressursbiologi, 42 s.

Sundet, J. H. 1988. Haneskjellets utbredelse og fangst av haneskjell. Ottar nr. 170; 8 - 12.

Sundet, J. H. 1990. Toktrapport fra haneskjellkartlegging i Lofoten og Vesterålen juni 1990. Rapport til Fondet for fiskeleiting og forsøk.

Sundet, J. H. 1995. Toktrapport fra haneskjellundersøkelser i ytre Troms 20. - 23. juni 1995. Fiskeriforskning’s rapportserie, 10 s.

Sundet, J. H. and O. Vahl. 1981. Seasonal changes in dry weight and Biochemical composition of the tissues of sexually mature and immature Iceland scallops, Chlamys islandica. J. Mar. Biol. Ass. U.K. vol. 61: 1001 - 1010.

Venvik, T. and O. Vahl. 1979. Muligheter og begrensninger for fangst og produksjon av haneskjell. Institutt for fiskerifag, Universitetet i Tromsø, Ser. E, no. 2/79.

Wiborg, K. F. 1963. Some observations on the Iceland scallop Chlamys islandica (Müller) in Norwegian waters. Fiskdir. Skr. Ser. Havunders. vol. 13(6): 38 - 53.

8 - Appendiks

Appendikstabell 1. Artsliste fra trekantskrapetrekkene. I lista mangler prøvene 1-4 som ikke er ferdig opparbeidet.


Trekantskrape trekk 6, 22. januar 2019 Felt Lab  
Art/Slekt/Gruppe Forekomst/antall Forekomst/antall Vurderinger av forekomst og skader
       
Porifera - svamp      
Porifera indet.   Enkeltvis Få kolonier tilstede i prøven
Porifera indet.: encrusting   Enkeltvis Fragmenter tilstede
Sycon ciliatum   2  
Porifera indet.: globular   5  
Porifera indet.: encrusting - orange   Enkeltvis Få kolonier tilstede i prøven
Cnidaria - nesledyr      
Actiniaria indet. 1 3  
Nemertea/Turbellaria - båndmark og flatmark      
Nemertea indet   3 i biter
Polychaeta - flerbørstemark      
Harmothoe cf fragilis   1  
Eulalia viridis   3  
Phyllodoce groenlandica   2  
Syllis armillaris   10  
Syllidae indet   1  
Eunice pennata   13 To kompl, øvrige avbrudt, biter
Chaetopterus sp   4 Alle avbrudt, skadd
Cirratulus cf incertus   1  
Dodecaceria sp   2  
Axionice maculata   1 Godt ind i rør
Thelepus cincinnatus   6 ikke kompl, men ganske gode ind
Terebellidae indet   6 Alle skadd, trolig Eupolymnia
Sabellidae indet   5  
Pomatoceros triqueter   1  
Serpulidae indet Meget vanlig    
Gastropoda/Polyplacophora - snegl og leddsnegl      
Chitonida indet   6  
Odostomia sp   1  
Velutina cf. velutina   1  
Polyplacophora indet   1  
Buccinum undatum 1    
Bivalvia - muslinger      
Anomiidae indet   2  
Chlamys islandica Meget vanlig 1  
Neptunea despecta 2    
Modiolus modiolus 5    
Crustacea - krepsdyr      
Balanus balanus 4    
Balanus crenatus 2    
Janiridae indet   1  
Cirripedia indet   1  
Hyas coarctatus   1  
Sclerocrangon boreas   1  
Bryozoa - mosdyr      
Scrupocellaria sp.   Vanlig koloni vanlig forekommende i prøven
Dendrobeania murrayana   Vanlig koloni vanlig forekommende i prøven
Bryozoa indet. filamentous   Enkeltvis Få kolonier tilstede i prøven
Echinodermata - pigghuder      
Holothuroidea indet   2  
Ophiopholis aculeata   30 noen med brukne armer
Henricia sp   9  
Asteriidae indet   12  
Echinoida indet   5  
Strongylocentrotus droebachiensis En del    
Cucumaria frondosa 5    
Ascidiacea - sekkdyr      
Ciona intestinalis En del 8 2 individer delt i to
Ascidiella scabra   2  
Ascidiacea indet.   2  
Macroalgae - fastsittende alger      
Phycodrys rubens   Tilstede  
Ptilota sp.   Tilstede  
Rød skorpeformet kalkalge   Tilstede  
Rugl løs Sjelden    
Trekantskrape trekk 7, 22. januar 2019 Felt Lab  
Art/Slekt/Gruppe Forekomst/antall Forekomst/antall Vurderinger av forekomst og skader
       
Porifera - svamp      
Porifera indet. 8 1  
Sycon ciliatum   2  
Cnidaria - nesledyr      
Actiniaria indet.   1  
Sipunculida - pølseormer      
Golfingiida indet   2  
Polychaeta - flerbørstemark      
Eunoe oerstedi   1 Fint, komplett
Syllis armillaris   4  
Eunice pennata   5 En kompl, øvrige avbrudt, biter
Chaetopterus sp   4 Alle avbrudt, skadd
Eupolymnia nesidensis   3 alle avbrudt skadd
Thelepus cincinnatus   1 avbrudt
Sabellidae indet   2  
Pomatoceros triqueter   3  
Serpulidae indet Meget vanlig 2  
Gastropoda/Polyplacophora - snegl og leddsnegl      
Chitonida indet   1  
Gastropoda indet   1  
Tectura virginea   2  
Bivalvia - muslinger      
Anomiidae indet   2  
Chlamys islandica Meget vanlig    
Mytilidae indet   1  
Neptunea despecta 1    
Modiolus modiolus 2    
Crustacea - krepsdyr      
Janiridae indet   4  
Pandalidae indet   1  
Brachiopoda - armfotinger      
Hemithiris psittacea   3  
Bryozoa - mosdyr      
Scrupocellaria sp.   Vanlig koloni vanlig forekommende i prøven
Dendrobeania murrayana   Vanlig koloni vanlig forekommende i prøven
Echinodermata - pigghuder      
Ophiopholis aculeata   8 noen individer med brukne armer
Henricia sp   2  
Asterias rubens 1    
Asteriidae indet   5 1 med arm knekt
Cucumaria frondosa 12    
Strongylocentrotus droebachiensis En del    
Echinus esculentus 1    
Ophiura sp   1  
Ascidiacea - sekkdyr      
Ciona intestinalis Vanlig 2  
Styela rustica   3  
Macroalgae - fastsittende alger      
Phycodrys rubens   Tilstede  
Ptilota sp.   Tilstede  
Trekantskrape trekk 8, 22. januar 2019 Felt Lab  
Art/Slekt/Gruppe Forekomst/antall Forekomst/antall Vurderinger av forekomst og skader
       
Porifera - svamp      
Porifera indet.: globular   2  
Cnidaria - nesledyr      
Actiniaria indet.   2  
Sipunculida - pølseormer      
Nemertea indet   2 i biter
Polychaeta - flerbørstemark      
Lepidonotus squamatus   1  
Syllis armillaris   2  
Syllidae indet   1  
Eunice pennata   4 to kompl, to avbrudt
Chaetopterus sp   1  
Axionice maculata   1  
Eupolymnia nesidensis   4 en nesten komplett, øvrige skadd
Thelepus cincinnatus   7 to kompl, øvrige avbrudt
Sabellidae indet   2  
Pomatoceros triqueter   1  
Serpulidae indet Meget vanlig 5  
Gastropoda/Polyplacophora - snegl og leddsnegl      
Chitonida indet   3  
Odostomia sp   1  
Tectura virginea   3  
Bivalvia - muslinger      
Anomiidae indet Enkeltvis 2  
Hiatella sp   2  
Bivalvia indet   1  
Modiolus modiolus 5    
Neptunea despecta 1    
Chlamys islandica Meget vanlig    
Crustacea - krepsdyr      
Ischyroceridae indet   2  
Hyas coarctatus   1  
Pagurus pridauxi   2  
Balanus balanus 3    
Balanus crenatus 1    
Pycnogonida - havedderkopper      
Nymphon sp   1  
Bryozoa - mosdyr      
Scrupocellaria sp.   Vanlig koloni vanlig forekommende i prøven
Dendrobeania murrayana   Vanlig koloni vanlig forekommende i prøven
Echinodermata - pigghuder      
Ophiopholis aculeata   9 noen individer med brukne armer
Henricia sp   1  
Ophiothrix fragilis   1 en del individer med brukne armer
Ophiacanta sp.   3  
Solasteridae indet   1  
Echinoida indet   1  
Asterias rubens 4    
Cucumaria frondosa 4    
Echinus esculentus 2    
Strongylocentrotus droebachiensis 26/ Vanlig   26 små, mellomstore individer vanlig
Ascidiacea - sekkdyr      
Ciona intestinalis Enkeltvis 1  
Ascidiacea indet.   4  
Macroalgae - fastsittende alger      
Phycodrys rubens   Tilstede  
Ptilota sp.   Tilstede  
Cf. Chondrus crispus   Tilstede  
Rhodophyta Vanlig    
Rugl løs Vanlig    
Trekantskrape trekk 9, 24. januar 2019 Felt Lab  
Art/Slekt/Gruppe Forekomst/antall Forekomst/antall Vurderinger av forekomst og skader
       
Cnidaria - Nesledyr      
Actiniaria 2    
Nemertea/Turbellaria - båndmark og flatmark      
Nemertea indet   3 i biter
Polychaeta - flerbørstemark      
Harmothoe sp   1 Alle elytrae tapt
Eumida sp   3  
Syllis armillaris   8  
Nereimyra punctata   1 avbrudt
Nereis pelagica/zonata   1  
Eunice pennata   11 En kompl, resten avbrudt
Chaetopterus sp   4 Alle avbrudt
Terebellidae indet   6 Trolig Eupolymnia, alle skadd, dårlig forfatning
Sabellidae indet   5  
Pomatoceros triqueter   3  
Serpulidae indet Meget vanlig    
Gastropoda/Polyplacophora - snegl og leddsnegl      
Tectura virginea   3  
Chitonida indet   9  
Polyplacophora indet   2  
Lepetidae indet   1  
Buccinoidea indet   2  
Neptunea despecta 2 1 I felt en stor og en mellomstor
Bivalvia - muslinger      
Anomiidae indet   2  
Modiolus modiolus 5 6  
Chlamys islandica Meget vanlig 1  
Crustacea - krepsdyr      
Janiridae indet   2 individer delt i to
Hyas coarctatus   1  
Balanus balanus 2 1  
Pandalidae indet   1  
Spirontocaris sp   1  
Eualus sp   3 1 delt, resten OK
Brachiopoda - armfotinger      
Hemithiris psittacea   1  
Bryozoa - mosdyr      
Scrupocellaria sp.   Vanlig koloni vanlig forekommende i prøven
Dendrobeania murrayana   Vanlig koloni vanlig forekommende i prøven
Bryozoa indet. encrusting   Enkeltvis  
Sertularellidae indet.   Enkeltvis  
Echinodermata - pigghuder      
Echinoida indet   10  
Solasteridae indet   1  
Ophiura sp   1  
Henricia sp   3  
Ophiopholis aculeata   11  
Ophiacantha sp   1 en del individer med brukne armer
Asteriidae indet   8 noen individer med brukne armer
Marthasterias glacialis   1  
Asterias rubens 35    
Cucumaria frondosa 1    
Echinus esculentus 2    
Strongylocentrotus droebachiensis 10    
Ascidiacea - sekkdyr      
Ciona intestinalis 15 5  
Boltenia echinata   2 1 skadet
Ascidiella aspersa   1  
Macroalgae - fastsittende alger      
Phycodrys rubens   Tilstede  
Ptilota sp.   Tilstede  
Rød skorpeformet kalkalge   Tilstede  
Rugl fast Meget vanlig    
Rugl løs Enkeltvis    
Trekantskrape trekk 10, 24. januar 2019 Felt Lab  
Art/Slekt/Gruppe Forekomst/antall Forekomst/antall Vurderinger av forekomst og skader
       
Porifera - svamp      
Porifera indet.: encrusting - white   1  
Cnidaria - nesledyr      
Actiniaria indet   1  
Nemertea/Turbellaria - båndmark og flatmark      
Nemertea indet   1 hel og fin!
Polychaeta - flerbørstemark      
Syllis armillaris   5  
Nereimyra punctata   1  
Nereis pelagica/zonata   1  
Eunice pennata   4 to kompl, to avbrudt
Dodecaceria sp   1  
Thelepus cincinnatus   1 fragment
Terebellidae indet   1  
Sabellidae indet   2  
Pomatoceros triqueter   7  
Placostegus tridentatus   1  
Serpulidae indet Meget vanlig Vanlig  
Gastropoda/Polyplacophora - snegl og leddsnegl      
Tectura virginea   1  
Chitonida indet   2  
Gibbula sp   1  
Puncturella noachina   1  
Gastropoda indet   1  
Bivalvia - muslinger      
Anomiidae indet   2  
Pectinidae indet   1  
Modiolus modiolus 1    
Chlamys islandica Meget vanlig    
Crustacea - krepsdyr      
Janiridae indet   2  
Pandalidae indet   1  
Brachiopoda - armfotinger      
Hemithiris psittacea   2  
Bryozoa - mosdyr      
Scrupocellaria sp.   Vanlig koloni vanlig forekommende i prøven
Dendrobeania murrayana   Vanlig koloni vanlig forekommende i prøven
Porella compressa   1  
Echinodermata - pigghuder      
Echinoida indet   1  
Echinus esculentus 1    
Henricia sp   3  
Ophiopholis aculeata   1 en del individer med brukne armer
Asterias rubens 14    
Cucumaria frondosa 4    
Asteriidae indet   4 Alle individer med brukne armer
Ascidiacea - sekkdyr      
Boltenia echinata   2  
Ciona intestinalis   3 1 skadet
Styela rustica   1  
Macroalgae - fastsittende alger      
Phycodrys rubens   Tilstede  
Ptilota sp.   Tilstede  
Rød skorpeformet kalkalge   Tilstede  
Rhodophyta Sjelden    
Trekantskrape trekk 11, 24. januar 2019 Felt Lab  
Art/Slekt/Gruppe Forekomst/antall Forekomst/antall Vurderinger av forekomst og skader
       
Porifera - svamp      
Porifera indet.   Enkeltvis Få kolonier tilstede i prøven
Cnidaria - nesledyr      
Sertularellidae indet.   Enkeltvis Få kolonier tilstede i prøven
Polychaeta - flerbørstemark      
Harmothoe sp   1 elytrae tapt
Eumida sp   1  
Eunice pennata   2 en komplett, en i biter
Polydora sp   1  
Cirratulus cf incertus   1  
Dodecaceria sp   3  
Eupolymnia nesidensis   1  
Thelepus cincinnatus   1 avbrudt
Terebellidae indet   1 skadd trolig Eupolymnia
Pomatoceros triqueter   4  
Hydroides norvegicus   1  
Serpulidae indet Meget vanlig Vanlig vanlig forekommende i prøven
Gastropoda/Polyplacophora - snegl og leddsnegl      
Gibbula sp   1  
Neptunea despecta 1    
Bivalvia - muslinger      
Anomiidae indet   1  
Chlamys islandica Meget vanlig    
Crustacea - krepsdyr      
Ischyroceridae indet   2  
Bryozoa - mosdyr      
Dendrobeania murrayana   Vanlig koloni vanlig forekommende i prøven
Echinodermata - pigghuder      
Ophiopholis aculeata   1 brukne armer
Echinoida indet   1  
Ophiacantha sp   1  
Henricia sp   1  
Asterias rubens 4    
Cucumaria frondosa 2    
Macroalgae - fastsittende alger      
Phycodrys rubens   Tilstede  
Ptilota sp.   Tilstede  
Rød skorpeformet kalkalge   Tilstede  
Rugl fast Enkeltvis    
Rhodophyta Sjelden    
Trekantskrape trekk 12, 24. januar 2019 Felt Lab  
Art/Slekt/Gruppe Forekomst/antall Forekomst/antall Vurderinger av forekomst og skader
       
Porifera - svamp      
Porifera indet. 3 Enkeltvis Få kolonier tilstede i prøven
Porifera indet.: globular   3  
Cnidaria - nesledyr      
Sertularellidae indet.   Enkeltvis Få kolonier tilstede i prøven
Actiniaria indet.   2  
Nemertea/Turbellaria - båndmark og flatmark      
Turbellaria indet   2  
Nemertea indet   3 i biter
Nematoda indet.   1  
Polychaeta - flerbørstemark      
Harmothoe sp   1 elytrae tapt
Syllis armillaris   9  
Syllidae indet   1  
Nereimyra punctata   3  
Nereis pelagica/zonata   1  
Eunice pennata   15 fire kompl, øvrige avbrudt, biter
Chaetopterus sp   7 alle i biter
Cirratulus cf incertus   1  
Pherusa plumosa   1  
Nicomache sp   1 avbrudt, to biter
Axionice maculata   1  
Eupolymnia nesidensis   7 En del skader
Thelepus cincinnatus   3 to kompl ind, en skadd
Terebellides sp   1  
Sabellidae indet   2  
Pomatoceros triqueter   7  
Serpulidae indet Meget vanlig Vanlig vanlig forekommende i prøven
Gastropoda/Polyplacophora - snegl og leddsnegl      
Chitonida indet   1  
Testudinalia testudinalis   2  
Chitonida indet   7  
Tectura virginea   11  
Patellidae indet   1  
Neptunea despecta 1    
Bivalvia - muslinger      
Anomiidae indet 2 3  
Chlamys islandica Meget vanlig 1  
Astarte sp   1  
Hiatella sp   1  
Modiolus modiolus 4    
Crustacea - krepsdyr      
Janiridae indet   7  
Philomedes sp   1  
Ischyroceridae indet   1  
Lilljeborgia sp   1  
Sclerocrangon boreas   1  
Eualus sp   2  
Balanus balanus 3    
Bryozoa - mosdyr      
Scrupocellaria sp.   Vanlig  
Dendrobeania murrayana   Vanlig  
Cellaria sp.   1  
Echinodermata - pigghuder      
Ophiothrix fragilis   1  
Marthasterias glacialis   2 en med brukket arm
Henricia sp   3  
Ophiopholis aculeata   18  
Echinoida indet   6  
Asteriidae indet   8  
Asteroidea juvenil   1  
Asterias rubens 10    
Cucumaria frondosa 4    
Strongylocentrotus droebachiensis 8    
Ascidiacea - sekkdyr      
Boltenia echinata   2  
Ciona intestinalis 16 7 1 skadet
Styela rustica   2  
Macroalgae - fastsittende alger      
Phycodrys rubens   Tilstede  
Ptilota sp.   Tilstede  
Rhodophyllus sp.   Tilstede  
Rugl fast Meget vanlig    
Trekantskrape trekk 13, 24. januar 2019 Felt Lab  
Art/Slekt/Gruppe Forekomst/antall Forekomst/antall Vurderinger av forekomst og skader
       
Porifera - svamp      
Porifera indet. 1 Enkeltvis Få kolonier tilstede i prøven
Porifera indet.: globular   1  
Cnidaria - nesledyr      
Actiniaria indet.   2  
Sertularellidae indet.   Enkeltvis Få kolonier tilstede i prøven
Nemertea/Turbellaria - båndmark og flatmark      
Nemertea indet   11 i biter
Nematoda indet.   1  
Polychaeta - flerbørstemark      
Eunoe oerstedi   1  
Eumida sp   3  
Syllis armillaris   9  
Syllis cf vittata   1  
Nereis pelagica/zonata   1  
Eunice pennata   20 tre kompl, øvrige avbrudt, biter
Chaetopterus sp   9  
Cirratulus cf incertus   1  
Dodecaceria sp   3  
Eupolymnia nesidensis   16 avbrudt og skadde individer
Sabellidae indet   4  
Pomatoceros triqueter   15  
Hydroides norvegicus   2  
Serpulidae indet Meget vanlig 3  
Gastropoda/Polyplacophora - snegl og leddsnegl      
Chitonida indet   11  
Tectura virginea   6  
Patellidae indet   4  
Gibbula sp   1  
Neptunea despecta 1    
Buccinum undatum 1    
Margarites sp   2  
Bivalvia - muslinger      
Anomiidae indet   2  
Modiolus modiolus 3 1  
Mytilidae indet   1  
Chlamys islandica Meget vanlig    
Crustacea - krepsdyr      
Eualus sp   2  
Amphipoda indet   1  
Balanus balanus 5    
Balanus crenatus 1    
Brachiopoda - armfotinger      
Hemithiris psittacea   3  
Bryozoa - mosdyr      
Scrupocellaria sp.   Vanlig koloni vanlig forekommende i prøven
Dendrobeania murrayana   Vanlig koloni vanlig forekommende i prøven
Echinodermata - pigghuder      
Henricia sp   5  
Ophiopholis aculeata   11 samtlige med brukne armer
Echinoida indet   11  
Asteriidae indet   9 en del individer med brukne armer
Asteroidea juvenil   2  
Ophiurida juvenil   1  
Ophiura sp   1  
Ophiacantha sp   2 begge med brukne armer
Asteroidea indet.   1  
Asterias rubens 17    
Cucumaria frondosa 11    
Echinus esculentus 1    
Solaster 1    
Strongylocentrotus droebachiensis 26    
Ascidiacea - sekkdyr      
Boltenia echinata   2  
Ciona intestinalis   3 2 skadet
Styela rustica   2  
Macroalgae - fastsittende alger      
Phycodrys rubens   Tilstede  
Ptilota sp.   Tilstede  
Rhodophyllus sp.   Tilstede  
Rugl fast Meget vanlig