Gå til hovedinnhold

Sluttrapport forskningsfangst etter ål (2018)

— HI prosjekt 81333

Forfatter(e): Caroline Durif og Anne Berit Skiftesvik (HI)

1 - Innledning

1.1 - Bakgrunn for prosjektet

Europeisk ål er en viktig del av kystøkosystemet, spesielt i Sør-Norge. Anguilla anguilla er en katadrom fisk. Det vil si at den gyter i saltvann og vokser opp i ferskvann (gulålstadiet). Imidlertid vokser en god del av ålen som kommer til Norge opp i saltvann langs kysten. Etter gulålstadiet går ålen over i blankålstadiet. Om høsten, mens den fremdeles er seksuelt umoden, starter ålen gytevandringen. Den svømmer da ca. 6000 km for å nå tilbake til Sargassohavet hvor den gyter.

I 2007 ble ål inkludert i CITES (Convention on International Trade in Endangered Species of Wild Fauna and Flora). Den omhandler arter som ikke nødvendigvis er truet av utryddelse, men der handel med arten må kontrolleres for å unngå en utnyttelse som er uforenlig med deres overlevelsesevne (se http://www.cites.org/eng/ plate / how.shtml). Oppføringen ble gjennomført i mars 2009. Etter den ble rødlistet som kritisk truet i Norge, ble alt fiske etter ål forbudt i Norge 1. juli 2009. Dette gjaldt også fritidsfiske.

Ålebestanden i Norge har vært overvåket av Havforskningsinstituttet siden 1975. Fangst og innsats ble registrert i dagbøker frem til 2010. En del fiskere fikk dispensasjon til å fiske en gitt mengde ål etter at fiskeforbudet ble innført for at overvåkingen av ål skulle fortsette. På grunn av CITES regulering fikk imidlertid fiskerne problemer omsetningen av ål, da det ble ulovlig å importere ål inn til EU. Forskningsfangsten ble derfor avsluttet i 2010.

I 2015 fikk ål en ny vurdering av Artsdatabanken, og ble oppført som VU (sårbar) i den Norske Rødlisten, hvor den hadde stått som CR (kritisk truet) siden 2006.

I Fiskeridirektoratets «Handlingsplan 2016» vises det til at det er behov for mer kunnskap om bestandssituasjonen for ål, og at en overvåkningsfangst vil kunne bidra til dette. Det ble da startet et prosjekt med forskningsfangst for å vurdere endringer i lokale bestander.

Formålet med prosjektet var å få oversikt over bestanden av Europeisk ål langs norskekysten, og i tillegg øke kunnskapen om biologiske egenskaper som alder ved kjønnsmodning (utvandring til gyteområdet), vekstparametere, parasittbelastning m.m. Denne kunnskapen kan forbedre rådgivningen for denne arten i Norge og bidra til ICES sin vurdering av hele bestanden. Prosjektet bestod av 3 deler: 1) registrering av fangst fra utvalgte fiskere; 2) merkeforsøk; 3) biologisk kunnskapsinnhenting (aldersbestemmelse, vekt, parasittbelastning). Dette er en sluttrapport for 2018 som oppsummerer aktivitetene og resultatene av: overvåkning av ål dette året.

1.2 - Biologi

Europeisk ål (Anguilla anguilla) er en av mange ålearter (Anguillidae) i verden (omtrent 19 arter). Europeisk ål har et stort utbredelsesområde (Figur 1); den finnes i ferskvann, i brakkvann og i saltvann langs kysten i nesten hele Europa og langs middelhavskysten av Afrika. Utbredelsesområdet har ingen skarp nordliggrense, men tettheten av ål avtar nordover i Norge. Ål finnes imidlertid langs hele norskekysten og har evne til å tilpasse seg de fleste typer habitat både i ferskvann og sjø. Ålen er en katadrom art, noe som betyr at mange individer tilbringer det meste av livet i ferskvann, men gyter i havet, antagelig i Sargassohavet siden nyklekte larver er funnet der. Ålelarvene (leptocephalus larver) driver med Golfstrømmen fra gyteområdet. Larvene bruker 1-3 år på den transatlantiske vandringen. De forvandler seg til små gjennomsiktige glassål når de når kontinentalsokkelen. Glassål koloniserer kystområdene og ferskvann.

Ål kan ha en kompleks livssyklus hvor den vandrer mellom ferskvann og brakkvann (semi-katadrom adferd). Det er bemerkelsesverdig siden den dermed veksler mellom omgivelser som har helt forskjellig saltholdighet, temperatur, substrat, dybde og andre miljøforhold. Glassål og gulål kan vandre langt opp i ferskvannssystemene, mens mange blir værende i kystfarvann langs hele norskekysten. Andelen av ål som aldri vandrer opp i ferskvann er ukjent. Triggere for oppvandring er heller ikke kjent. De fleste glassål vandrer opp i det første året etter ankomst til kysten, men gulål kan også bytte miljø flere ganger. Habitatskiftet skjer som oftest 1 til 5 år etter glassålstadiet. Det er usikkert hva som avgjør ålens livsstrategi, men valget av vandringsmønster synes ikke å ha noe å gjøre med kjønn, siden både hunn- og hannålen viser vandringsfleksibilitet. En hypotese er at forskjeller i produktivitet mellom elver og saltvannsområder motiverer for at ål velger om den vil vandre mellom habitater i sjø og ferskvann (fakultativ diadrom). Det er kjent fra sørligere breddegrader at andelen ål som forblir i saltvann øker med økende breddegrad. Ved lavere breddegrader er det ofte høyere primærproduksjon i ferskvann enn det er ved høyere breddegrader. Tendensen til å oppholde seg i brakkvann og saltvann øker med breddegraden.

Vekstfasen, gulålstadiet, varer i mange år, men lengden på dette stadiet er forskjellig for hann- og hunnål. Selv om gulål er seksuelt differensiert på dette stadiet, forblir de umodne og ute av stand til å gyte. På slutten av gulålstadiet, når ålen har bygd opp store nok energireserver, gjennomgår den sin andre metamorfose (omdanning). De får da en mørk rygg og en sølvfarget buk og kalles nå blankål (silver eel). Gonadene begynner så vidt å utvikle seg og ålen slutter å spise. De morfologiske og fysiologiske endringene markerer begynnelsen på kjønnsmodningen, og at ålen går over til blankålfasen (kjønnsmodningsfasen). Forvandlingen til blankål skjer i løpet av sommeren, og tilbakevandringen til Sargassohavet starter opp i høstmånedene, både fra ferskvann og fra kystområdene. Kjønnsmodning skjer under langdistansevandringen til gyteområdet. Denne fasen i ålens liv er lite kjent siden ingen kjønnsmoden ål har blitt fanget ute i havet. Antageligvis dør ålen etter å ha gytt i Sargassohavet.

Ålen i Europa tilhører en felles europeisk bestand. Avkom av ål som har vokst opp i ei norsk elv, kan ende opp i Middelhavet eller andre deler av Europa. Det at ulike vassdrag ikke har egne bestander av ål har konsekvenser for forvaltningen av ålen. Negative effekter som rammer ålen bare i en del av utbredelsesområdet kan ha betydning for bestandsutviklingen i hele utbredelsesområdet.

1.3 - Forvaltning av ål i Europa

Ifølge det Internasjonale Havforskningsrådet, ICES, foreligger det ikke tilstrekkelig med data til å gi en fullgod beskrivelse av bestandssituasjonen for europeisk ål. Tilgjengelig informasjon viser imidlertid at bestanden er på et historisk og kritisk lavt nivå over hele utbredelsesområdet, og at den negative utviklingen vedvarer. Særlig de siste 25 år har rekrutteringen til bestanden vist betydelig nedgang (ICES 2016). Dette indikerer at reproduksjonen er vesentlig svekket, og at gytebestanden er kraftig redusert. Bestanden vurderes å være utenfor sikre biologiske grenser, og fisket er ikke bærekraftig. ICES har i flere år anbefalt at det etableres en gjenoppbyggingsplan for europeisk ål i hele utbredelsesområde. ICES anbefaler at minimum 50% av blankålen skal få mulighet til å starte på gytevandringen til Sargassohavet.

Ål forvaltes i Europa i henhold til den europeiske «Eel regulation EC No 110/2007». EU landene må vedta nasjonale mål, fastsatt i forvaltningsplaner for ål (EMP: eel management plan) i samsvar med artikkel 2.4 i forskriften for å redusere menneskeskapte dødelighet slik at 40% av uberørte biomasse av blankål kan vandre ut. Detaljer om hvordan man får de estimerte tallene finnes i ICES 2012. Beregninger som ble utført av ICES WGEEL sin arbeidsgruppe, viser at størrelsen på gytebestanden bør ligge på de registrerte nivåene fra perioden 1970 til 1980, ettersom dette har vist å gi normal rekruttering.

I 2018 var rekrutteringsindeksene for glass ål fortsatt lav, 2,1% av 1960-1979 referansenivået i "Nordsjøen" serien, og 10,1% i "resten" av seriene (ICES 2018). Gulålindeksen var 29% av nivået i referanseperioden (ICES 2018).

De totale landingene (gul- og blankål) fra kommersielle fiskerier ble redusert fra 18 000-20 000 tonn i 1950-tallet til 2000-3000 tonn fra 2009. I 2017 var landingen på 2224 t (ICES 2018).

Kunnskapshull og forskningsbehov ble identifisert av ICES WGEEL slik som effekter av miljøgifter og vannkraft, habitatpreferanser, og overvåking på tvers av miljøer. Nye trusler inkluderer klimaendringer, forurensning og «post-release» dødelighet fra fritidsfisket. Nye muligheter inkluderer forskning på vandringstriggere og habitatbruk, undersøkelsesmetoder i store vannforekomster (i.e. ål i sjøen), beskyttelse for ål som passerer vannkraft, og koordinere overvåkning av ål og datainnsamling i Middelhavet (ICES 2016).

1.4 - Ål i Norge

1.4.1 - Ålefiske

Tradisjonelt foregikk ålefisket hovedsakelig langs kysten i sør (Skagerrakkysten) og sørlige deler av Vestlandet. Det ble fisket i saltvann, brakkvannsområder og i elvemunninger, men også til en viss grad i ferskvann. Det var også noe ålefiske i Midt-Norge.

Rusene ble satt på bløt og gjørmete bunn, med preferanse for områder med ålegress. Det ble ikke skilt mellom gul- og blankål, og de ble begge tatt med åleteiner og -ruser. Fangst av glassål har alltid vært forbudt i Norge. Fangsten i sjøen ble offisielt registrert av Fiskeridirektoratet (Figur 2), men det var ingen oversikt over innsats (kun antall fartøy). Minstemål for blankål var 37 cm, mens gulål hadde et minstemål på 40 cm.

Fritidsfiske etter ål (forbudt siden 2009) utgjorde en forholdsvis stor andel av totalfangsten og representerte omtrent 100 tonn i gjennomsnitt mellom 2000 og 2008. Fritidsfiskere som fanget ål i Norge solgte ålen gjennom salgslag. Det var ingen begrensning i fiskeredskaper før 1994. Det ble da innført begrensning på 20 teiner eller ruser. Fritidsfiskere kunne selge for opptil 50 000 kr per år (alle fiskearter).

Havforskningsinstituttet fikk noen fiskere til å rapportere fangsten i loggbøker fra år 1975. Det ble registrert fiskeutstyr, antall dager fellene stod ute, og antall små og stor ål (grensen var ca. 200 g fordi fiskere innhentet ulike priser for disse ålene). Dette stoppet opp i 2010. Et lignende program ble startet opp i 2016. Tabell 1 gir en oversikt over det nystartede programmet for forskningsfangst for årene 2016 – 2018.

Figur 2. Omsatt fangst av europeisk ål i Norge 1908 – 2018 (i tonn). Ålen ble fredet i 2010. Kilde: Fiskeridirektoratet.

Som Figur 2 viser har fangsten variert mye i perioden. Krigsårene illustreres tydelig med reduserte fangster. Den høyeste registrerte fangsten av ål var i 1933, da det ble landet nær 700 tonn ål i Norge. Verdien var på over 18 millioner kroner målt i 2007-kroner. Siden toppen i 1968 har trenden vært nedadgående. Prisen har stort sett variert mellom 40 og 60 kroner per kg fersk ål i tiden etter 1970.

1.4.2 - Forvaltning

Den europeiske ålen har vært inkludert i den Norske Rødlisten siden mai 2006, kategorisert som kritisk truet. Statusen for ål ble revurdert i 2015 og flyttet til VU (sårbar kategori). Dette var på grunn av økningen i alle de tre norske indeksene i de siste årene (rekrutering og nedvandring av ål i Imsa, Skagerrak strandnotundersøkelser).

2007 ble det nedsatt en arbeidsgruppe for å skrive en rapport om status for ål i Norge og å utarbeide en forvaltningsplan. Rapporten ble ferdigstilt i 2008. Flere forskningsbehov ble identifisert, blant annet nødvendigheten av å undersøke fordelingen av ål i saltvann. Rapporten konkluderte med to alternative forvaltningsstrategier: 1) at all ålefiske bør forbys i Norge for en periode på 15 år, eller 2) at fangst av ål halveres i forhold til nivået fra 2004 til 2007. Det ble bestemt at alt fritidsfiske for ål i ferskvann og marine områder i Norge måtte stoppes fra 1. juli 2009 (ikke lov å fange, lande, eller holde ål om bord). Totalkvoten for de kommersielle fiskeriene i 2009 var 50 t, med opphør av fiske når denne kvoten ble nådd. All fangst av ål ble stanset fra og med 1. januar 2010, men en kunne ha et "vitenskapelig fiskeri" med sikte på overvåking av ål og samle vitenskapelige fangstdata. Dette vitenskapelige fisket skulle finansieres med at fiskerne skulle å få lov til å beholde og selge fangsten. Siden ål ikke kan importeres til EU og det lokale markedet var lite, opphørte fisket.

Tabell 1. Regulering av forskningsfangst etter ål mellom 2016 og 2018.

ÅrAntall tillatelseKvote per fiskerTotal kvote (som inkluderer også ål til prøvetaking)MinstemålFiskeperiodenLandinger (kg)
201671500 kg10 500 kg + 200 ål40 cm28. juli t.o.m. 31 oktober4000
201729700 kg20 300 kg300 g17 juli t.o.m. 31 oktober12000
201829700 kg21 000 kg40 cm eller 300 g17. juli t.o.m. 31 oktober5312

1.5 - Vitenskapelig overvåking: tidsserier i Norge

Mer informasjon om disse tidsseriene finnes i Durif et al. 2008, 2011 og ICES 2018.

1.5.1 - Imsa data

Ressursovervåkingen av ål i Norge er begrenset. Det finnes imidlertid unikt historisk materiale i form av tidsserier. Den ene er fra elven Imsa i Rogaland, hvor Norsk Institutt for Naturforskning, NINA, har registrert oppvandrende og nedvandrende ål siden 1975 og er nå rapportert i ICES 2017.

1.5.2 - Strandnotundersøkelsene i Skagerrak

Tallserien fra Havforskningsinstituttets stasjon i Flødevigen viser forekomstene av ål langs Skagerrakkysten for ca. 80 stasjoner tilbake til 1904, og er verdens lengste sammenhengende tidsserie i sitt slag. Metoden har vært den samme siden 1919. I Figur 3 vises resultatene fra strandnottrekkene fra 1945 til 2016. Denne kurven viser fangst av ål per enhet innsats, dvs. gjennomsnittsfangst per nottrekk.

Antallet ål fanget per strandnottrekk startet å synke rundt 1997, og i 2007 ble det for første gang ikke fanget en eneste ål i nottrekkene. I 2013 ble det en liten økning i forhold til den lave fangsten de foregående årene. Antall ål har vært lav, men stabil de siste fire årene.

Figur 3. Ål registrert i strandnotundersøkelsene i Skagerrak.

2 - Metoder

2.1 - Forskningsfangst

Målet med forskningsfangst er å vurdere endringer i ålebestanden basert på fangst rapportert av fiskere. Forskningsfangsten i 2018 ble basert på det som ble utført i 2017. Tjueni fiskere fikk godkjenning til å fiske opptil 700 kg ål hver, og de ble pålagt å rapportere fangsten. Rapporteringen av fangsten ble ført på eget skjema, og skjemaet var en revidert utgave av 2017 skjemaet. Det ble registrert antall og total vekt av ål under og over 300 g, samt registrering av type ruser, antall ruser, og ståtid. En fisker, som ikke hadde søkt om fornyelse av tillatelse, fisket likevel og rapporterte data på 2017 skjema. På grunn av lav etterspørselen etter ål, var over halvparten av fiskerne uten omsetningsavtale og fisket ikke ål (15 fiskere). Alle som fisket, fikk levert registreringsskjema. Totalt rapporterte 14 fiskere sine fangster i 2018. Tabell 2 gir en oversikt over hvordan fiskere med tillatelse var fordelt og hvor mange av disse som fisket.

Tabell 2. Forskningsfangst etter ål i 2018: antall tillatelser per fylke, og antall av disse som gjennomførte fiske av ål.

FylkeAntall tillatelseAntall fisker som fisket ål
Aust-Agder95
Buskerud11
Hordaland22
Rogaland73
Telemark10
Trøndelag10
Vest-Agder31
Vestfold22
Østfold30

 

Figur 4. Lokaliteter av ålefiskerne i 2018. Fiskerne som ikke fisket i 2018 er representert med en rød prikk, men de som fisket med en blå trekant. I tillegg var det en tillatelse for en fisker på Hitra, men han fisket ikke i 2018.

 

CPUE (catch per unit effort) er en måte å standardisere fangst. Det er en indirekte måte å beregne bestanden av en målart. Det antas at endringer i CPUE relaterer seg til endringer i den ekte bestanden.

For å beregne fiskeinnsats brukte vi antall ruser som ble trukket per fisker og ikke fisketid. Dette fordi den totale mengde ål fanget er uavhengig av hvor mange dager ruser står i sjøen (detaljene finnes i Durif and Skiftesvik, 2017). På figuren ser man at total fangst er korrelert med antall ruser som ble trukket i hele fiskeperioden (Figur 5).

Fangst per innsats (CPUE) er beregnet som fangst delt på antall redskap (og ikke rusehal):

Figur 5. Forhold mellom total vekt av ål (små og stor ål) fanget og antall ruser trukket av fiskerne i det kommersielle fisket (data fra 2016 til 2018).

 

 

2.2 - Merkeforsøk

Målet med disse forsøkene var å få et supplerende estimat av åletettheter slik at en kan få et absolutt bestandsestimat for de lokalitetene som inngikk i undersøkelsene. Antall ål som ble gjenfanget gir et estimat på mengden av ål på lokaliteten som fiskes, og disse tallene danner grunnlaget for beregningen av totalestimatet.

I 2017 ble ål merket med individuelle merker (PIT -merker) på to lokaliteter, Flødevigen og Kolbeinsvik (i Austevoll kommune). I 2018, ble ål merket kun i Kolbeinsvik fordi fiskeren i Flødevigen ikke fisket ål i 2018.

De elektroniske merkene er rundt 12 mm lange og 2,1 mm i diameter. Hver brikke er kodet med en kombinasjon av tall og bokstaver. PIT-merker blir injisert inn i kroppens hulrom. Injeksjonen gjøres enten med en pistol eller implantert med en skalpell. Merkene kan leses fra en avstand av cirka 10 cm med en PIT-leser.

I Kolbeinsvik ble en fisker leid inn i forbindelse med merke-gjenfangst undersøkelsene, og vi var selv med på alle fisketurene. All ål fanget ble merket med PIT- tag og satt ut igjen på fangststedet.

2.3 - Aldersbestemmelse og biologiske egenskaper

Ål gyter ved svært ulik alder (fra 6 til over 30 år). Selv om grunnen til dette er ukjent, er trolig alder ved kjønnsmodning knyttet til vekst, og vekst er avhengig av miljø (fersk- eller saltvannsmiljø). Kunnskap om aldersfordeling er også viktig for å vurdere hvordan populasjon har utviklet siden fiskeforbudt i 2010, og om det har vært nyrekruttering.

Når ål begynner kjønnsmodningsprosessen kalles det «silvering». Det er på en måte begynnelse av puberteten i ål. Da slutter de å spise, øyediameteren blir større og fargen endrer seg fra gul/grønn til en sølvfarge på buken og svart rygg. Det er litt usikkert når «silvering» starter, men andelen av blankål øker i løpet av sommeren (Durif et al. 2005, 2009). Ålestadier kan identifiseres ved eksterne målinger, kroppslengde, vekt, øyestørrelse og finnelengde. En kan beregne en såkalt «silvering index» som klassifiserer ål i 5 stadier (Tabell 3).

Tabell 3. Beskrivelse av ålestadier ifølge Durif et al. 2005. Stadier FIII, FIV og FV kan gi et godt estimat av hvilke individer som er klar for reproduksjon, og som sannsynligvis skal utvandre.

StadieBeskrivelseGenerisk navn
FISmå gulål, kjønn er udefinert.Gulål
FIIStørre hunn gulålGulål
FIIIÅl som har begynt på «blankål» prosessenMellomstadiet
FIVBlankål som ikke har begynt å vandre eller som går tilbake til gulstadietBlankål
FVBlankål som har begynt nedvandringBlankål

Prøvetakingen bestod i å undersøke om ålen hadde svømmeblæreparasitt og å ta ut otolittene for alderslesing. Gonadene ble også undersøkt selv om det er vist at ål > 45 cm er hunner. All fisk som vi dissekerte var hunner.

Alder blir lest fra otolittene. Protokoll for å bearbeide otolittene følger anbefalinger av ICES 2009. Otolittene er først innleiret, deretter polert, avkalket og farget. Bilder blir tatt av otolittene og alder kan leses ved å telle årringene. Dette har vi gjort de fleste år, men i 2018, ble otolittene sendt direkte til mikrokjemi-analyser. De er fremdeles under opparbeiding.

2.4 - Tidsserie utvandrende ål, Radøy

Ål som vandrer ut i sjøen fra Nesvatn og Ølvatn i Radøy kommune blir fanget i en felle som ligger på Mangersnes, i utløpet til Nesvatnet (foto 1 og figur 6). Fellen registrerer all utvandrende fisk, og ål har vært registrert her siden 2013. Anlegget som opprinnelig ble brukt til å produsere ørret, er drevet av Eivind Tveiten. Han teller utvandrende ål i fellen daglig fra august til november. En prøve på 45 ål fra fellen ble tatt for aldersbestemmelse.

Ål/ørret felle på Manger (Radøy kommune). Blankål blir fanget når de vandrer ut av Nesvatnet fra august til november.

 

Figur 6. Kart over plasseringen av ålefellen på Manger (Radøy kommune). Vannskiltet omfatter Nesvatnet og Ølvatnet (160 ha).

3 - Resultater

3.1 - Forskningsfangst i 2018

Ålefisket i 2018 begynte 17. juli, samtidig som åpningen av leppefisk fiske, og varte til 31. oktober. Alle fiskerne brukte samme metode. Rusene ble satt ut og trukket etter 1 til 4 dager, og satt ut igjen i nærheten. Antall ruse som ble trukket per fisker varierte fra 8 til 495. Fisket er slik at fiskere skiller ål i liten og stor ål. De fikk kun lov å beholde stor ål og måtte slippe ut igjen liten ål (under 300 g).

 

Figur 7. CPUE i forskningsfangst etter ål i 2018.

 

Omsetningssituasjon for ål i 2018 begrenset fisket. Skagerakfisk, som hadde kjøpt mesteparten av ålen i 2017, hadde ikke muligheten til å kjøpe mer ål i 2018. I tillegg til leveranser til de tradisjonelle fiskemottakene og fiskesalgene, ble noen fiskere kreative og fant omsetningsmulighet ved fiskerøykerier, sushirestauranter og restauranter i Oslo. Den vanskelige omsetningssituasjonen medførte at halvparten av fiskere (14 ut av 29) ikke fisket ål og begrenset innsatsen til en del av de som fisket. Fiskevarighet (antall fiskedager) variert fra 14 til 70 dager, og var i gjennomsnitt 34 dager. Innsatsen og fangst var ganske stabil gjennom fiskeperioden (Figur 7). To fiskere (av 11) nådde fiskekvoten på 700 kg (Figur 8).

Den totale landingen av store ål i 2018 var 5872 kg og 3276 kg ble omsatt. På Vestlandet (5 fiskere) ble det fisket 3287 kg, på Sørlandet (6 fiskere) 2170 kg og på Østlandet (3 fiskere) 350 kg.

På Vestlandet ble 73% av ålen omsatt, på Sørlandet 31%, og på Østlandet 52% (Figur 8). Ål som ble ikke omsatt, ble satt ut igjen. Noen steder måtte fiskeren slippe ut nesten alt fangst (Farsund).

Totalt sett er det åpenbart mer ål på Sørlandet (Figur 9). Langs vestkysten øker antall ål mot sør. De gjennomsnittlige CPUE verdiene (periode 2016-2018) for Vest-, Sør-, og Østlandet er 1,5; 3 og 2 kg per ruse.

 

Figur 8. Fangst av stor ål (over 300 g) og omsatt ål i 2018 per lokalitet.

 

 

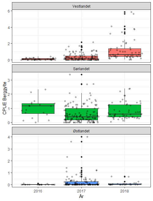
Figur 9. 2016-2018 forskningsfangst etter ål. CPUE (kg ål per rusetrekk) representere fangst per enhet innsats (Catch Per Unit Effort) av ål. Hver boks representerer en fisker/lokalitet og de er sortert etter kystlinje fra nord til sør og østover. Rosa= Vestlandet; grønn: Sørlandet fra Mandal til Porsgrunn; blå: Østlandet, fra Tjøme til Vesterøy.

I 2017 hadde Sørlandet og Østlandet høyeste CPUE (Figur 10). I 2018 var CPUE i begge disse landdelene redusert mens den økte på Vestlandet.

Man ser en signifikant økning i ål CPUE siden 2008 (GLM, p=0.000378) med en estimert økning på 1.2 kg/ruse fra 2008 til 2018. Figur 10 inneholder data fra alle fiskerne i perioden 2016-2018, mens Figur 11 viser kun referansefiskere som også har registrert data før dette, for noen, siden 2008.

Fangst fra referansefiskerne som deltok i forskningsfisket i perioden før forbudet viser både økninger og reduksjoner (Figur 11). CPUE for 2018 er relativt lav. I samtaler forklarte noen fiskere (for eksempel i Risør) at de hadde satt ut noen ruser uten stor motivasjon siden de visste at skulle bli vanskelig å omsette ål. Nedgangen på noen lokaliteter i 2018 reflekterer sannsynligvis den reduserte motivasjonen for å fiske knyttet til omsetningssituasjonen. Nye fiskere som begynte i 2018, og som fikk omsette, hadde gode ålefangster, for eksempel i Fister, Stavanger og Sæbøvik (Figur 10).

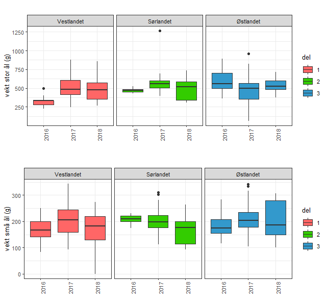
Fiskerne skiller mellom liten og store ål, grensen er 300 g. Foto 2 viser utsyr som er i bruk til å skille stor og liten ål. Fiskerne rapporterer også vekt og antall ål. Ved å bruke disse tallene har vi beregnet en gjennomsnittlig vekt for de to kategoriene, stor og liten ål (Figur 12). De rapporterte tallene ligger innenfor de forventede verdiene; det vil si at de fleste av de store ålene var over 300 g, unntatt i 2016 på Vestlandet. Det var ingen signifikant forskjell i gjennomsnittlig vekt av stor ål mellom år (GLM, p>0.05), men gjennomsnittlig vekt av små ål var litt høyere i 2017 sammenlignet med 2016. Gjennomsnittlig vekt av små og stor ål var 189 og 480 g. Prosentandel små ål (i vekt) har minket i Sørlandet, men har økt i Vestlandet og Østlandet (Figur 13).

 

Foto 2. Utstyr som brukes av ålefiskere til å skille mellom små og store ålene (300 g, 50 cm) (Caroline Durif).

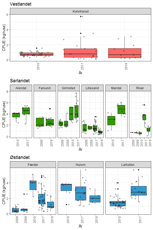
Figur 10. 2008-2018 forskningsfangst etter ål. CPUE (kg ål per rusetrekk) representere fangst per enhet innsats (Catch Per Unit Effort) for ål. Det er ulikt antall fiskere mellom årene. Topp panelet inkluderer lokaliteter på Vestlandet, middel panelet Sørlandet, og nedre panelet Østlandet.

 

 

Figur 11. 2008-2018 forskningsfangst etter ål. Fangst per enhet innsats (Catch Per Unit Effort) av ål over 300 g fisket av referansefiskere. Hvert lokalitet representerer en fisker.

 

 

Figur 12. Gjennomsnittlig vekt av ål mellom 2016 og 2018, rapportert av fiskerne i to kategorier, små og store med en nedre grense på 300 g.

 

 

Figur 13. Gjennomsnitt av andel små ål rapportert i forskningsfangst etter ål mellom 2016 og 2018. Andelene ble beregnet med registrert vekt.

 

3.2 - Besøk hos fiskere

Vi besøkte alle nye fiskerne som fisket ål i 2018, det vil si 10 personer.

Foto 3 Inngangsperre i åleruse (Torkel Larsen).

Alle sier at det er mye ål og er fornøyd med fangstene. De mener at det ikke er noen fare for bestanden med et fiskeri på størrelse med det som forsøksfiske representerer, men noen tror ikke fisket kan åpnes helt igjen da det da hadde blitt fisket for mye. En sier det er mindre ål nå enn for lenge siden, men syns det er bra i forhold til hva det var for noen år siden. Noen fikk mer liten ål utover sesongen når det ble kaldere i vannet. De fiskerne som deltok i fjor, syntes at årets fiske (2018) har vært ganske likt det som var i fjor (2017). En fisker sier han fikk mye stor blankål i august og syns det er mer stor blankål nå enn før. Det er imidlertid mye mindre glassål enn det var før i tida.

Flere fiskere nevnte at de kunne ha fått enda mer ål hvis de hadde gått til beste åleplassene (det vil si lengre unna hjemhavn); men på grunn av omsetningssituasjon gav de ikke maks innsats.

E n fisker rapporterte at i perioder hadde han også store problem med ribbemaneter som fylte opp hele ruser (fra ca. 20. august). Han er bekymret for hvordan de store mengdene av maneter kan påvirke fisk osv.

En fisker som fikk levert 48-50 kg, nevnte at prisen var så dårlig at det nesten ikke dekte bensinen. Han synes også at det burde være kvote på 1500 kg hvis det skal være noen vits i å fiske ål.

Ingen av fiskerne hadde problemer med å fylle ut registreringsskjema.

Foto 4 Røkt ål fra Det Gamle Røgeri. (Torkel Larsen)

En fisker syntes at ål under 600 g burde slippes ut. Med andre ord, at vi burde endre størrelsesgrense til 600 i stedet for 300 g. Imidlertid foretrekker en annen fisker den «mellomstore ål» (300-800 g) siden den er best til røyking. Denne fiskeren mener at store ål ikke er den beste for røyking.

Noen fiskere ønsker også å fiske i en annen periode enn leppefisk fisket, da de da har med tid, for eksempel om vår. Med gode inngangssperrer mener de at bifangsten ikke er et stort problem på våren heller. Noen fiskere lager egne inngangssperrer som slipper inn ål men holder stor torsk, hummer og krabbe ute (se Foto 3).

Atle Nilsen, som fisker i Arendal, la mye innsats i å lage en fin emballasje som beskriver opprinnelsen til fisken og inkluderer brevet som vi skrev for å forklare den vitenskapelige bakgrunnen for fiskeriet.

 

 

 

Foto 5. Emballasje til ål laget av fisker Atle Nilsen i Arendal.

En fisker fikk tillatelse til å selge ål på kaien. Det var mye arbeid med å få denne tillatelsen på plass. Fiskerne selger ål for circa 70 kr/kg fersk ål. Flere fiskere solgte til lokale røykerier (Blant andre Mikals Laks, Det Gamle Røgeri).

Foto 6. Røykt ål fra Mikals Laks (Caroline Durif).

Råd Vidar Mikkelsen har fått om bruken av ål til mat:

<250 g :Stekes (litt stor – kok litt før den stekes)

250– 800 g: Røykes

>800 g: Brukes til frikasse og lignende.

Hvis den fryses rund (med slim) kan den være holdbar opp mot 2 år.

Hvis den fryses sløyd og vakuumpakket kan den være holdbar opp mot 1 år.

3.3 - Fangst-gjenfangst: Kolbeinsvik, Austevoll

 

Figur 14. Merkeforsøk i Kolbeinsvik. Beige områdene dekker ruseposisjoner og representerer områdene som er brukt i tetthetsberegningene. Grønne prikker representere antall ål.

Områdene som ble fisket i merkeforsøket var noe forskjellig fra år til år. Det største område var i 2016 da vi var usikre på de gunstigste stedene for ål. I 2017 konsentrerte vi prøvetakingsarbeidet for det meste i de indre delene av pollen. Vi fanget mindre ål i 2018, noe som resulterte i høyere usikkerhet og et lavere estimat. Økningen i biomasseindeksen er i samsvar med høyere effektivitet i fiske.

For hele perioden (2016-2018), ble 350 ål merket og det var 74 gjenfangster (61 ål). De fleste ål som ble gjenfanget ble bare gjenfanget en gang (49). Men 11 ål ble gjenfanget to ganger, og en ål tre ganger. I 2018 ble 3 ål som var merket i 2016, gjenfanget. Antall ål fanget som ble merket året før var 15 i 2017 og 16 i 2017. Kun 3 ål ble gjenfanget 2 år etter merking.

Maksimum antall dager mellom merking og gjenfanst var 737 dager. Tretti ål hadde minst 1 år mellom merking og gjenfangst, og 22 av disse hadde økt i størrelse. Maksimal vekst var 3,5 cm over 358 dager, det vil si 3 mm/måned. Gjennomsnittlig vekst av disse ålene var 1,2 mm/måned. Imidlertid går appetitten hos ål ned ved lave temperaturer slik at en ikke forventer jevn vekst gjennom året. Tabell 4 oppsummerer merkeforsøkene i Kolbeinsvikområdet.

Tabell 4. Oppsummering av merkeforsøk i Kolbeinsvik (Austevoll)

 Dekket området (ha)N estimat (antall ål)StandardavsnittTetthet (ål/ha)Biomass indeks (kg/ha)Biomass indeks blankål (kg/ha)
2016321554426499.81.9
20171715082478917.93.8
201811129041311721.74.2
       

3.4 - Tidsserie for utvandrede ål, Radøy

Nedvandringen av ål kan begynne så tidlig som i august, men det avhenger av mengde vann i det regulerte systemet (Figur 15). I 2015 og 2017 var vassføringen i anlegget lav frem til oktober/november, men i tiden etter var vassføringen stor og stabil. Det er et lave antall av tidlig utvandrende ål dette året i forhold til 2016, som hadde 123 ål i august og 194 ål i september.

Gjennom årene har antall ål vært relativt stabilt med gjennomsnittlig 500 ål per år. Antall ål per år ser ut til å ha sammenheng med temperatur (Figur 16). De varmeste årene, 2014 og 2018, viste maks antall ål. Dette var også tydelig i daglige tellingen av ål i 2018 da det var en signifikant øking av antall ål med temperatur (GLM p<0.001) (Error: Reference source not found). En varm og lang sommersesong kan gi et grunnlag for god vekst, og flere ål kan være klar til å gå over til blankål stadiet.

Ut av 45 ål som ble dissekert, var det to gulål (FI og FII), fem som var i mellomstadiet (FIII) og resten (84%) var blankål. Alle var hunner og ingen hadde parasitten Anguillicola crassus. Otolittene var vanskelige å lese med veldig tette ringer som tyder på lav vekst, og kroppslengdene var små i forhold til ål fanget i sjøen (Figur 18, Figur 19, Figur 20, Figur 21). Imidlertid var kondisjonsfaktoren i samme størrelsesorden som publiserte kondisjonsfaktorer for gul- og blankål. De varierte mellom 0.15 og 0.22 (gjennomsnitt 0.18) og var høyest i blankål. Minimum alder av blankålene var 15 og maksimum var 34 (gjennomsnitt 22).

750 ål

Figur 15. Nedvandring av ål i Manger (Radøy kommune) per dagnummer. Ål som vandret ut av Nesvatnet ble talt da de var fanget i fiskefellen. (NB y-aksene er forskjellig mellom år). I 2014, ble ikke ålene telt separat.

 

ÅrTemperatur (°C)Nedbør
 Juni-augustSeptember- oktoberSeptember- oktober
20139,84,693,6%
201411,3687,7%
20158,85,482%
20169,94,576,7%
20179,24,7117,9%
201810,94,7136,9%

 

 

Figur 16. Nedvandring av ål i Manger (Radøy kommune). Ål som vandret ut av Nesvatnet ble talt da de var fanget i fiskefellen. Tabellen på høyre viser klimastatistikk for Vestlandet (kilde: Yr.no).

 

Figur 17. Nedvandring av ål i Manger (Radøy kommune) og sjøvannstemperatur i 2018. Ål som vandret ut av Nesvatnet ble talt mens var fanget i fiskefellen.

 

 

Figur 18. Lengde og alder av utvandrende ål fanget i fiskefellen ved utløpet fra Nesvatnet. Prøvene ble tatt tre ganger i løpet av vandringssesongen i 2016.

 

3.5 - Ålebiologi: lengde- og aldersdefordeling

De fleste ålene som ble målt i merkeforsøk i Kolbeinsvik hadde en lengde under 65 cm (Figur 19). De er forholdsvis små sammenlignet med for eksempel Sørlandet og Vestlandet i 2010 (Figur 20). Lengdefordelingen viser at det har vært rekruttering i området (Figur 19). I dette forsøket brukte vi ruser med liten maskevidde (8 mm), og fikk derfor mer små ål enn kommersielle fiskere som bruker større maskevidde (11 mm). Imidlertid har vi en del aldersdata som viser at det også har vært rekruttering av ål i de andre områdene (Figur 21).

 

Figur 19. Merkeforsøk i Kolbeinsvik. Lengdefordeling av merket ål. Fargene representerer de forskjellige stadiene (FI (blå)-FII(rød): gulål;Fll ( beige) og FV (lilla): blankål.

 

Figur 20. Lengdefordeling av ål fra det kommersielle fisket, målt av forsker.

 

Figur 21. Aldersfordeling av ål som ble prøvetatt fra det kommersielle fisket.

3.6 - Svømmeblæreparasitt

D et ble tatt ut prøve langs en saltholdighetsgradient i Grimstad-Arendal området for å se på forekomsten av svømmeblæreparasitter. Det var en klar sammenheng mellom saltholdighet og utbredelsen av parasitten Anguillicola crassus i svømmeblæren av ål, med størst andel funnet i Landvikvannet (Grimstad, 64%). Denne forekomsten av parasitten er på samme nivå som for andre ferskvannslokaliteter i Sør-Europa.

Figur 22. Prosentandel av svømmeblæreparasitten Anguillicola crassus funnet i ål som ble fanget i 2018 i Grimsdal-Arendal området. Tallene på x-akse tilsvarer saltholdighet hvor 1 er laveste og 4 høyeste.

3.7 - Bifangst

Fiskerne var pålagt å registrere bifangst på skjemaene som ble levert. De fleste gjorde dette på en tilfredsstillende måte ved å skrive ned antall av de forskjellige leppefisk og andre arter som de fanget. Noen få fiskere mistolket sannsynligvis grøngylt med berggylt ut fra det høye antallet av sistnevnte som ble rapportert. Figur 21 viser antall rensefisk per rusehal i fiskernes fangster. Tallene viser en økning i alle fire leppefisk artene på Vestlandet etter 2016, mens de er stabil i andre deler av landet.

De vanligste artene registrert som bifangst, etter leppefisk, var torsk (51%), lyr (16%), sei (9%) og skrubbe (6%). Resten representerte mindre enn 5%. Blant de artene som ble rapportert var strandulke, ørret, flere arter av flatfisk, hummer, kutling, ålekvabbe, og havabbor.

Figur 23. Bifangst av leppefisk i forskningsfangst etter ål i perioden 2016 - 2018. Rosa= Vestlandet; grønn = Sørlandet fra Mandal til Porsgrunn; blå = Østlandet fra Tjøme til Vesterøy. CPUE (av leppefisk) er i antall fisk per rusetrekk.

4 - Konklusjoner

I 2018 fikk tretti fiskere tillatelse til å fiske ål. På grunn av en vanskelig omsetningssituasjon, fisket ikke alle disse fiskerne ål. Det er mulig at omsetningssituasjon kan endre seg mellom områder og mellom år. Det er derfor viktig å ha et forholdsvis høyt antall fiskere med i undersøkelsene slik at vi sikrer nok data.

Registrering av ål gikk bra, og fiskerne var svært interessert i forskningen på ål. Generelt var de fornøyd med fisket, men hadde håpet på en bedre omsetning av ål.

Resultatene viser at forekomst av ål har økt på mange lokaliteter siden 2008-2009 perioden. Antall ål er høyst på Sørlandet, etterfulgt av Østlandet, deretter Vestlandet. Omsetningssituasjonen gjør at det er vanskelig å vurdere endringer i ålebestanden i Norge. Det er viktig å analysere fangstdata per fisker med kjent omsetningssituasjon. Hvor lett ål er omsatt i området påvirker trolig fiskemotivasjonen.

Vi får et stadig bedre bilde av aldersfordeling av ål i sjø for hvert år vi samler inn data. Ål i sjøen drar for å gyte mye tidligere enn ål fra ferskvann (gjennomsnitt FIII ål er 16 år i saltvann, versus 19 is ferskvann). Analyser av alder- og lengdefordeling tyder på at økningen i antall ål i delvis har sin bakgrunn i at ål ikke har blitt fisket på de siste årene. Dataene viser at det har vært nyrekruttering av ål. Det er imidlertid vanskelig å kvantifisere dette fordi fiskeredskapene brukt av fiskerne sjelden fanger små individer (under 30 cm), så det er viktig å samle inn aldersdata for å ha en vurdering av rekrutteringen.

Svømmeblæreparasitten finnes også i ål i Norge, særlig i ferskvann på Sørlandet. Noen ål som ble fanget i sjøen hadde også parasitten, men da i mye mindre grad. Disse ålene må ha oppholdt seg i ferskvann tidligere, da denne parasitten bare kan overføres i ferskvann. Smittet ål som blir værende i saltvann, vil kvitte seg med parasitten over tid.