Gå til hovedinnhold

Analyse av dødelighetsdata fra spørreundersøkelse om velferd hos rensefisk

Forfatter(e): Lars Helge Stien (HI), Kristine Vedal Størkersen (NTNU Samfunnsforskning) og Siri Kristine Gåsnes (Veterinærinstituttet)

Forord

Mattilsynet gjennomførte en nasjonal tilsynskampanje med helse og velferd hos rensefisk 2018-2019. Som del av denne kampanjen utarbeidet Mattilsynet en spørreundersøkelse i samarbeid med Havforskningsinstituttet og NTNU Samfunnsforskning. Spørreskjemaet ble sendt ut til alle oppdrettere i slutten av 2018, og våren 2019 kom det en bestilling fra Mattilsynet om forvaltningsstøtte for analyse av dødelighetsdata fra denne undersøkelsen. Analysen skulle gjøres i samarbeid med NTNU Samfunnsforskning og Veterinærinstituttet.

 

Spesifikke punkt som ble ønsket besvart var:

  • Hvor stor andel av den fisken som settes ut som dør eller forsvinner

    • Hvilke arter det dør mest av

    • Opphav; fangst, mellomlagring, settefiskanlegg, lengde på transport

    • Driftsmessige forhold

    • Annet?

  • Hva dør rensefisken av?

    • Sykdom

    • Dårlig rensefisk-kvalitet ved leveranse (jf. fangst, mellomlagring, settefiskanlegg eller transport)

    • Svikt i driftsrutiner eller mangelfulle driftsrutiner ved matfiskanlegg

    • Rensefisken klarer ikke å tilpasse seg oppdrettsmiljøet (generelt, eller lokalitetsspesifikke forhold spesielt)

    • Annet?

1 - Dødelighet blant rensefisk generelt og fordelt på arter

Denne seksjonen handler om svarene på spørsmålet: Hvor stor andel av fisken dør og hvordan er det fordelt på arter? I Mattilsynets spørreundersøkelse i forbindelse med kampanjen er det 4 punkter som omhandler dette:

  • Spm 20: Antall [fiskeart] tatt inn forrige lakseproduksjonssyklus: Fyll kun inn for gjeldende måneder.

  • Spm 21: Antall [fiskeart] dere registrerte som død underveis i produksjonssyklusen: Fyll kun inn for gjeldende måneder.

  • Spm 22: Hvor mange rensefisk registrerte dere som var i live da laksen skulle leveres til slakteri?

  • Spm 54: Anslå hvor høy andel av rensefisken som overlever
    • Ut produksjonssyklusen
    • En måned etter utsett

    • Tre måneder etter utsett

1.1 - Analyse basert på spørsmål 20-22 om rapportert utsett og dødelighet

I spørreskjemaet fylte oppdretterne inn tall for utsatt og død rensefisk per måned forrige produksjonssyklus. Dette datamaterialet er svært rikt og verdifullt, men har også noen svakheter. Ettersom deler av forrige syklus ble gjennomført før krav om rapportering (§ 44 Akvakulturdriftsforskriften) tredde i kraft for rensefisk 1. juli 2018, er tallene for utsett og dødfisk registrert på svært ulike måter. En andel av oppdretterne har også kun registrert hvor mye rensefisk de har satt ut og ikke gitt tall for dødelighet. Noen har registrert all dødfisk samlet uten å skille på fiskearter, og i spørreskjemaet rapportert samlet dødfisk under én av fiskeartene. I tillegg finnes flere naturgitte og organisatoriske feilkilder:

  • En kjent svakhet når man skal regne ut fiskedødelighet er at noen fisk blir talt når de blir satt ut i merd, men at de forsvinner og dermed ikke blir talt opp som registrert dødfisk.

  • En annen kjent svakhet er det at mange oppdrettere ikke har talt antall overlevende rensefisk ved produksjonsslutt.

  • Det er stor variasjon av andel dødfisk mellom oppdretterne i dette datamaterialet, noe som kan skyldes ulike måter å registrere både utsatt og død fisk. Noen av oppdretterne registrerer har i undersøkelsen registrert svært få døde fisk. Ved større dødelighetsepisoder på laks har det vært vanlig å estimere antall døde basert på tonn dødfisk og snittvekt, og rensefiskdødelighet i slike settinger kan være underrapportert.

  • En annen svakhet i dødfiskregistreringen handler om at det kan være vanskelig å se hvilken type leppefisk som har kommet i dødfiskoppsamleren. En god del oppdrettere har registrert både utsett og dødfisk per fiskeart, men mange har brukt samlekategorier for dødfisken: f.eks. registrert antall døde leppefisk i én bolk. Dette kan ha gitt noe forhøyede eller for lave verdier for enkelte av artene.

 

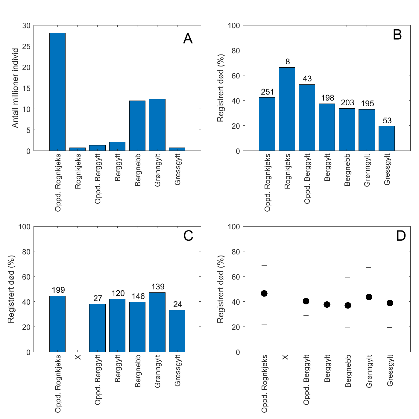
Tross alle feilkilder gir gjennomsnittstallene i figur 1 en pekepinn på at en stor andel rensefisk dør i løpet av laksens produksjonssyklus. Figur 1A angir hvor mange rensefisk oppdretterne i undersøkelsen har satt ut, og figur 1B angir prosent registrert som død i skjemaet. Dette gir en innrapportert dødelighet for rensefisken i materialet fra spørreundersøkelsen på 39 %. Vi kan anta at oppdrettere som ikke har rapportert dødelighet, ikke har hatt null dødelighet. Hvis vi filtrerer bort besvarelser der det mangler dødfiskregistreringer for en utsatt art, filtrerer bort registreringer med flere døde enn antall satt ut, og krever at det må ha blitt satt ut minst 1000 fisk av den aktuelle arten blir antall gyldige besvarelser redusert fra 291 til 241, og registrert dødelighet for rensefisk i undersøkelsen øker til 44 %. I den videre analysen tar vi utgangspunkt i dette filtrerte tallmaterialet. For villfanget rognkjeks ble det bare igjen to besvarelser. Vi har derfor tatt vekk villfanget rognkjeks fra den videre analysen.

 

Det er viktig å merke seg at alle utregningene tar utgangspunkt i oppdretternes egne rapporteringer, og at vi skiller mellom totaldødelighet og dødelighet første måned.

  • Totaldødelighet er sum rensefisk satt ut delt på sum rapportert død for hele perioden.

  • Dødelighet første måned er sum rensefisk satt ut delt på sum rapportert død den første måneden som fisken ble satt ut.

 

Figur 1
Figur 1: A) Antall rensefisk tilført laksemerder registrert under spm 20. B) Prosent registrert død per rensefisktype basert på antall registrert død under spm 21 og tilført under spm 20. C) Prosent registrert død etter å ha filtrert bort oppdrettere som ikke har lagt inn data for døde rensefisk per type (se forklaring forrige side). Antall registreringer per rensefisktype er gitt over søylene. Villfanget rognkjeks er tatt ut av statistikken grunnet svært få registreringer. D) Median utsettdødelighet per rensefisktype. Beregnet som median av antall rensefisk satt ut delt på antall rensefisk død samme måned. Nedre feilmarkør angir 25-persentilen, mens øvre feilmarkør angir 75-persentilen.

 

I de innrapporterte dataene dominerer oppdrettet rognkjeks, villfanget bergnebb, villfanget grønngylt og til dels også villfanget og oppdrettet berggylt. Registrert dødelighet for oppdrettet rognkjeks i datamaterialet er 45 %, oppdrettet berggylt 38 %, villfanget berggylt 42 %, villfanget bergnebb 40 %, villfanget grønngylt 47 % og villfanget gressgylt 33 % (Figur 1C). Det må her legges til at særlig for de små artene kan det reelle dødelighetstallet være vesentlig høyere etter som disse lettere henger seg fast i not og blir slukt av predatorer før de havner i dødfiskoppsamleren i bunnen av nota. Denne underregistreringen reflekteres i at det for spm 22 (antall igjen ved slutt) kun er 83 av de 241 som har lagt inn tall i skjemaet. Av disse rapportere ca. 50 % at det var 0 rensefisk igjen da laksen skulle leveres til slakt. Hvis en antar at disse 0-registreringene er et uttrykk for mangel på data og filtrerer disse bort fra beregningen, så var andel rensefisk igjen til slutt for oppdrettet rognkjeks 20 %, oppdrettet berggylt 31 %, villfanget berggylt 21 %, villfanget bergnebb 15 %, villfanget grønngylt 18 % og villfanget gressgylt 9 %. Siden antall gyldige besvarelser for overlevelse var så små, er disse tallene ikke tatt med i den videre analysen. I tillegg er ikke andel rensefisk igjen til slutt nødvendigvis et godt mål på overlevelse, siden noe av rensefisken kan ha vært fisket ut og avlivet underveis.

En annen måte å beregne dødelighet for de ulike artene er å bruke median innrapportert dødelighet (Figur 1D). I dette datamaterialet er det fordelaktig å bruke median i forhold til snittverdi siden median er stabil overfor ekstremt høye eller ekstremt lave verdier som bla kan komme frem fordi oppdretter har tastet inn feil, registrert dødelighet på feil art, eller lignende. Median dødelighet i tallmaterialet uavhengig av rensefisktype er 42 %, for oppdrettet rognkjeks 46 %, oppdrettet berggylt 40 %, villfanget berggylt 38 %, villfanget bergnebb 37 %, villfanget grønngylt 44 % og villfanget gressgylt 39 %.

Registrert totaldødelighet (Figur 1B og C) gir et mål på hvor høy andel som faktisk er innrapportert død, mens median dødelighet (Figur 1D) gir et mål på hva som er «normalt» uten å ta hensyn til at det kan være stor forskjell i hvor store utsettene er.

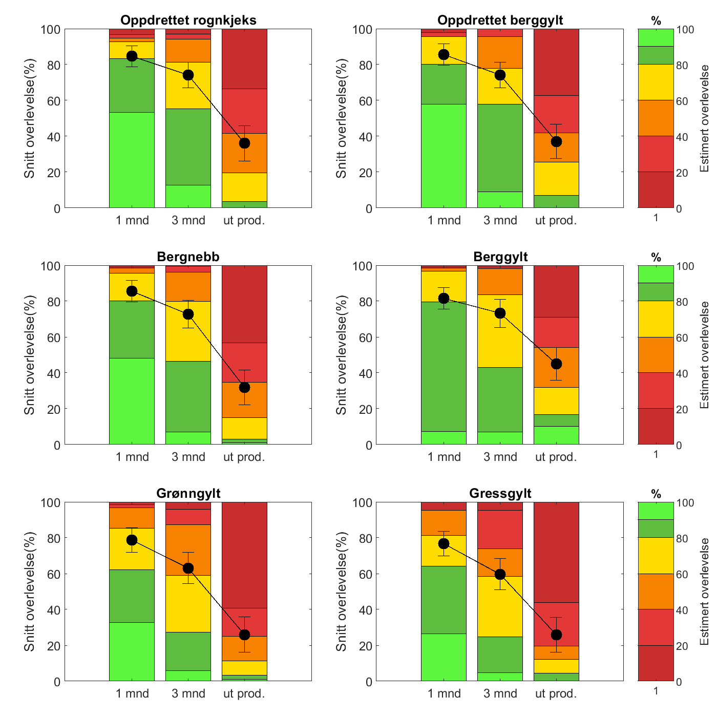
1.2 - Analyse basert på spørsmål 54, om anslått overlevelse

I spørsmål 54 ble oppdretterne spurt om å anslå hvor stor andel av hver rensefisktype som overlever 1 måned, 3 måneder og ut produksjonssyklusen. Resultatene fra spørsmål 54 er oppsummert i Figur 2 og tabell 1. Maksimal snitt-overlevelse etter 1 måned basert på disse bevarelsene er 90 % for oppdrettet rognkjeks, 92 % for oppdrettet berggylt, 91 % for villfanget bergnebb, 88 % for villfanget berggylt, 86 % for villfanget grønngylt og 83 % for villfanget gressgylt. Dødeligheten første måned i laksemerden er med andre ord estimert av oppdretterne til å være minimum 10, 8, 9, 12, 14 og 17 % for de respektive rensefisktypene.

Maksimal snitt-overlevelse etter 3 måneder basert på bevarelsene er 81 % for oppdrettet rognkjeks, 81 % for oppdrettet berggylt, 80 % for villfanget bergnebb, 81 % for villfanget berggylt, 72 % for villfanget grønngylt og 68 % for villfanget gressgylt. Akkumulertdødelighet etter tre måneder i laksemerd er med andre ord minimum 19, 19, 20, 19, 28 og 32 % for de respektive rensefisktypene.

Resultatene for ‘ut produksjonen’ er mer usikker: Hva ‘ut produksjonen’ betyr kan forståes forskjellig av ulike oppdrettere, særlig på grunn av ulike rutiner for utfisking, registrering og destruering ved produksjonens slutt. Resultatene er gjengitt i tabell 1, men i fortsettelsen bruker vi tallene for anslått dødelighet etter tre måneder fordi disse tallene er gitt på lik forutsetning.

 

Figur2
Figur 2: Analyse av besvarelser av spørsmål 54. Fargekodingen angir andel som har svart at 0-20 % (mørkerød), 21-40 % (rød), 41-60 % (oransje), 61-80 % (gul), 81-90 % (mørk grønn) og 91-100 % (lys grønn) av den respektive rensefisktypen som overlever 1 måned etter utsett, 3 måneder etter utsett eller ut produksjonssyklusen. Snitt-overlevelse (%) er beregnet ut fra andelene multiplisert med midt-verdien (10, 30, 50, 70, 85, 95) for de respektive intervallene. Feilmarkøren angir tilsvarende beregning, men med topp eller minimum verdi for de respektive intervallene. Disse er også angitt i tabell 1.

  OverlevelsesintervallEstimert overlevelse
RensefiskPeriode91-10081-9061-8041-6021-400-20Snitt[MinMaks]N
Oppdrettet rognkjeks1 mnd5330922385[7990]244
3 mnd134326133374[6781]242
Ut prod031622253436[2646]229
Oppdrettet berggylt1 mnd58221602286[8092]45
3 mnd94920184074[6781]45
Ut prod071916213737[2747]43
Bergnebb1 mnd48321530185[7991]201
 3 mnd73933163073[6580]203
 Ut prod121220224332[2242]199
Berggylt1 mnd7721720182[7588]210
 3 mnd73641151173[6581]212
 Ut prod1071522172945[3654]214
Grønngylt1 mnd332923122279[7286]190
 3 mnd62232288463[5472]190
 Ut prod12814165926[1636]187
Gressgylt1 mnd273817140577[7083]64
 3 mnd520341522560[5168]65
 Ut prod0588245626[1636]66

Tabell 1: Resultat fra spørsmål 54 hvor oppdretter ble bedt om å anslå overlevelsesprosent for de ulike rensefisktypene etter 1 måned, 3 måneder og ut produksjonen. Estimert snitt-overlevelse (%) er beregnet ut fra andelene multiplisert med midt-verdien (10, 30, 50, 70, 85, 95) for de respektive intervallene. N er antall besvarelser.

1.3 - Konklusjon når det gjelder dødelighetstall

I tolkningen av dødelighetstallene er det viktig å være bevisst hvordan antall utsatt og død fisk er registrert, samt feilkildene i datamaterialet.

  • Basert på de innrapporterte tallene (spm 20-21) ble 44 % av rensefisken registrert som død. Registrert totaldødeligheten per rensefisktype er meget usikker, særlig når det gjelder de ulike leppefiskartene, ettersom mange oppdrettere registrerer all død leppefisk samlet. For å få mer sikre estimat brukte vi derfor median dødelighet istedenfor snitt. Resultatene i denne analysen viste:

    • Oppdrettet rognkjeks 46 %

    • Oppdrettet berggylt 40 %

    • Villfanget berggylt 38 %

    • Bergnebb 37 %

    • Grønngylt 44 %

    • Gressgylt 39 %

  • Oppdretterne som har erfaring med den enkelte rensefisktype har også anslått hvor stor andel av fisken som overlever (Spm 54). Analysen av disse besvarelsene viste at maksimum (i beste fall) estimert overlevelse etter 3 måneder for de ulike rensefisktypene var:

    • Oppdrettet rognkjeks 81 %

    • Oppdrettet berggylt 81 %

    • Villfanget berggylt 81 %

    • Bergnebb 80 %

    • Grønngylt 72 %

    • Gressgylt 68 %

Samlet ser man at enkelte leppefiskarter kommer bedre ut ved en enkel analyse av registrert utsatt og død rensefisk, og dårligere ut når oppdretterne anslår overlevelsen per fiskeart. Dette kan være et resultat av at enkelte rensefisktyper i mindre grad havner i dødfiskoppsamleren og dermed ikke blir registrert, men at oppdretterne gjennom f.eks. kameraobservasjoner likevel ser at det blir færre av denne rensefisktypen.

I analysen av datamaterialet spiller feilkildene i registeringen av død rensefisk en stor rolle, men kvaliteten i statistikken kan bli bedre ved andre typer analyser av dette datamaterialet, og på sikt når oppdretterne får mer erfaring i å rapportere utsatt og død rensefisk.

2 - Årsaker til dødelighet hos rensefisken

2.1 - Villfanget rensefisk

Denne seksjonen tar for seg svarene på: Hvordan er dødeligheten fordelt for villfanget rensefisk i forhold til opphav, fangst, transport og mellom lagring? Hva dør rensefisken av - Dårlig rensefisk-kvalitet ved leveranse (jf. fangst, mellomlagring, settefiskanlegg eller transport)? I tillegg til de innrapporterte utsett og dødelighetstallene fra spørsmål 20-22, var det 9 spørsmål i undersøkelsen som spesifikt omhandlet opphav, fangst og transport av villfanget rensefisk:

  • Spm 24: Hvor får dere villfanget rensefisk fra?

  • Spm 25: Blir rensefisken vanligvis levert fra en fisker/leverandør

    • med langtidskontrakt for oppdrettsselskapet ditt? [Aldri / Av og til / Alltid]

    • med engangskontrakt for oppdrettsselskapet ditt? [Aldri / Av og til / Alltid]

    • uten kontrakt for oppdrettsselskapet ditt? [Aldri / Av og til / Alltid]

  • Spm 26: Hvem transporterer vanligvis villfanget rensefisk til dere?

    • Fiskeren selv [Aldri / Av og til / Alltid]

    • Annen aktør [Aldri / Av og til / Alltid]

  • Spm 27: Sist du mottok villfanget rensefisk, hvordan ble den transportert til lokaliteten? Sett flere kryss dersom fisken ble lastet om underveis

    • Båt med innebygde brønner

    • Båt med kar på dekk

    • Bil

    • Annet, vennligst spesifiser …..

  • Spm 28: Sist du mottok villfanget rensefisk, hvor lenge hadde fisken (fyll inn antall dager, eventuelt skriv «Vet ikke»)

    • ...vært under transport?

    • ...blitt oppbevart i mellomlagring?

  • Spm 29: Hvilken annen informasjon om rensefisken fikk dere fra fiskeren/leverandøren? (Fritekst)

  • Spm 30: Beskriv typiske dødsårsaker for deres rensefisk under transport. (Fritekst)

  • Spm 31: Ble det tatt i bruk mottaksstasjon for rensefisken? (Med mottaksstasjon menes skjul, kar, nøter e.l. i merden, der rensefisken kan oppholde seg før den velger å svømme ut i åpen merd.)

  • Spm 32: Gi gjerne eksempler på hvordan fiskeren og mottaket kan ha betydning for velferden til villfanget rensefisk. (Fritekst)

  • Spm 55: Hvor hyppig er de følgende årsakene til dødelighet/«svinn» av [villfanget rognkjeks/leppefisk] på din lokalitet?

    • Dårlig kvalitet fra leverandør

    • Skade etter transport/utsett

    • Feil størrelse (for små)

2.1.1 - Analyse basert på spørsmål 20-22 om dødelighet hos villfanget rensefisk

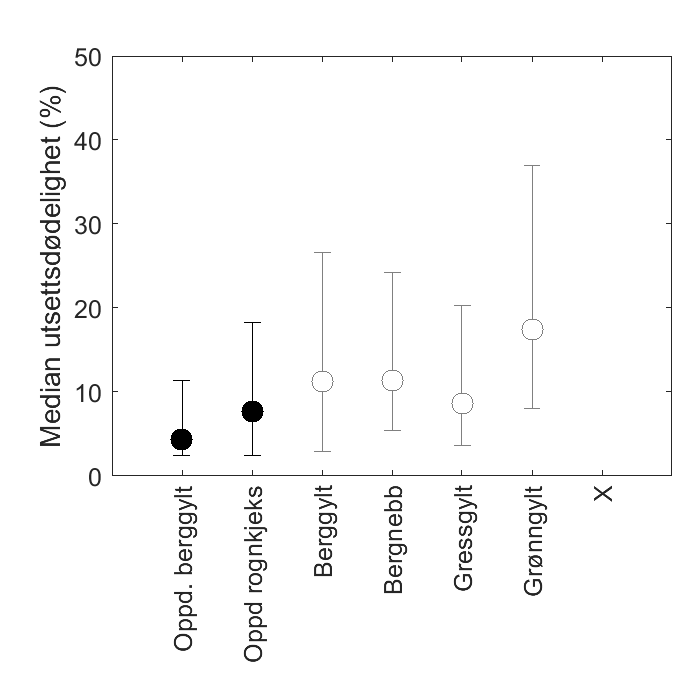
Som et estimat for dødelighet første måned har vi her sammenlignet antall døde fisk i samme måned som innrapportert utsett per art (Figur 3). Som datagrunnlag her bruker vi alle registreringer i undersøkelsen hvor oppdretter har både lagt inn utsett og dødelighetstall (n = 177). Dette gir en median dødelighet på 13 % per måned. Grønngylt skiller seg ut med å ha en median dødelighet på 17 %, og gressgylt på 9 %.

Figure 3
Figur 3: Estimert median dødelighet første måned for villfanget rensefisk. Beregnet som median av antall rensefisk satt ut delt på antall rensefisk død samme måned. Nedre feilmarkør angir 25-persentilen, mens øvre feilmarkør angir 75-persentilen. Villfanget rognkjeks er utelatt grunnet svært få gyldige observasjoner i datasettet. Observasjoner før 2016 er utelatt.

 

2.1.2 - Analyse basert på spørsmål 24-32 om leveranse av villfanget rensefisk

Det kom inn bare én besvarelse på spørsmål 24-32 om leveranse av villfanget rensefisk, antakeligvis på grunn av en teknisk feil med disse spørsmålene i spørreskjemaet. Dette vil dessverre si at vi ikke kan analysere leveranse og transport av villfanget rensefisk.

 

2.1.3 - Analyse basert på spørsmål 55 om anslåtte årsaker til dødelighet hos villfanget rensefisk

På bakgrunn av besvarelsene på spørsmål 55 er det tydelig at mange av oppdretterne forklarer deler av dødeligheten etter utsett av villfanget rognkjeks med dårlig kvalitet fra leverandør, mens dette ikke anses som et like stort problem for villfanget leppefisk (Tabell 2). De oppdretterne som svarte anser skader etter transport eller for små individ å være sjeldne problem for villfanget rognkjeks, mens en høy andel av oppdretterne rapporterer at dette av og til er årsak til dødelighet hos villfanget leppefisk, sammen med dårlig kvalitet fra leverandør.

Villfanget rognkjeks, n=5 Villfanget leppefisk, n=23
 Aldri / svært sjeldentAv og tilSvært hyppig / alltid Aldri / svært sjeldentAv og tilSvært hyppig/ alltid
Dårlig kvalitet fra leverandør204040 22744
Skade etter transport60400 22744
Feils størrelse (for små)60400 35614

Tabell 2: Prosentvis fordeling av besvarelser for spørsmål 55: Hvor hyppig er de følgende årsakene til dødelighet/«svinn» av villfanget leppefisk og villfanget rognkjeks på din lokalitet? NB: Kun 5 besvarelser for vill rognkjeks.

2.1.4 - Konklusjon om dødelighet av villfanget rensefisk

Denne analysen ble dessverre forkortet på grunn av at leveransespørsmålene hadde nesten ingen svar, antakeligvis grunnet en teknisk feil i undersøkelsen. Analysen av rapportert utsett og dødelighetstall for samme måned viser imidlertid at dødelighet første måneden ligger over 10 % for villfanget leppefisk. En høy andel av oppdretterne rapporterer at dødelighet av villfanget leppefisk av og til skyldes dårlig kvalitet fra leverandør, skade etter transport eller feil størrelse.

2.2 - Oppdrettet rensefisk

Denne seksjoner besvarer spørsmålene: Hvordan er dødeligheten fordelt for oppdrettet rensefisk i forhold til settefiskanlegg, transport og mellomlagring? - Hva dør rensefisken av - Dårlig rensefisk-kvalitet ved leveranse (jf. fangst, mellomlagring, settefiskanlegg eller transport)?

I Mattilsynets spørreundersøkelse i forbindelse med kampanjen er det 9 spørsmål som spesifikt omhandler settefiskanlegg, transport og mellomlagring:

  • Spm 33: Blir rensefisken vanligvis levert fra et settefiskanlegg

    • Eid av ditt oppdrettsselskap

    • med langtidskontrakt for oppdrettsselskapet ditt? ο Aldri, ο Av og til, ο Alltid

    • med engangskontrakt for oppdrettsselskapet ditt? ο Aldri, ο Av og til, ο Alltid

    • uten kontrakt for oppdrettsselskapet ditt? ο Aldri, ο Av og til, ο Alltid

  • Spm 34: Sist du mottok oppdrettet rensefisk, hvordan ble den transportert til lokaliteten? (Sett flere kryss dersom fisken ble lastet om underveis)

    • Tankbil

    • Brønnbåt

    • Annet, spesifiser ….

  • Spm 35: Sist du mottok oppdrettet rensefisk, hvor lenge hadde fisken …(Fyll inn antall dager, eventuelt skriv «Vet ikke»)

    • vært under transport?

    • blitt oppbevart i mellomlagring?

  • Spm 36: Sist du mottok oppdrettet rensefisk, hadde den blitt vaksinert?

  • Spm 37: Hvilken annen informasjon om rensefisken fikk lokaliteten fra settefiskanlegget?

  • Spm 38: Beskriv typiske dødsårsaker for deres rensefisk under transport. (Fritekst)

  • Spm 39: Ble det tatt i bruk mottaksstasjon for rensefisken? (Med mottaksstasjon menes skjul, kar, nøter e.l. i merden, der rensefisken kan oppholde seg før den velger å svømme ut i åpen merd.)

  • Spm 40: Gi gjerne eksempler på hvordan settefiskanlegget og mottaket kan ha betydning for velferden til oppdrettet rensefisk. (Fritekst)

  • Spm 55: Hvor hyppig er de følgende årsakene til dødelighet/«svinn» av [oppdrettet rognkjeks/leppefisk] på din lokalitet?

    • Dårlig kvalitet fra leverandør

    • Skade etter transport/utsett

    • Feil størrelse (for små)

2.2.1 - Analyse basert på spørsmål 20-22, om dødelighet hos oppdrettet rensefisk

Som et estimat for dødelighet første måned har vi her sammenlignet antall døde fisk per art i samme måned som innrapportert utsett per art (Figur 4). Som datagrunnlag her bruker vi alle registreringer i undersøkelsen hvor oppdretter har både lagt inn utsett og dødelighetstall. Dette gjaldt kun oppdrettet rognkjeks (n = 289) og berggylt (n = 25). For oppdrettet berggylt ligger median dødelighet første måned rundt 6 %, mens den for oppdrettet rognkjeks ligger opp mot 8 %.

I figur 4 har vi tatt med rapportert dødelighet første måned for de oppdrettete fiskeartene, samt villfanget berggylt, bergnebb, gressgylt og grønngylt til sammenligning.

Figur 4
Figur 4: Estimert median dødelighet første måned for oppdrettet rensefisk (fylte sirkler) og villfanget rensefisk (åpne sirkler). Beregnet som median av antall rensefisk satt ut / antall rensefisk død samme måned. Nedre feilmarkør angir 25-persentilen, mens øvre feilmarkør angir 75-persentilen. Villfanget rognkjeks er utelatt pga. svært få gyldige observasjoner i datasettet. Observasjoner før 2016 er utelatt.Caption

2.2.2 - Analyse basert på spørsmål 33-39 om dødelighet og leveranse av oppdrettet rensefisk

Det var 104 respondenter på spørsmål 33-40, hvorav 83 også hadde oppgitt dødelighetsdata i spørsmål 20-22. I tabell 3 og 4 har vi beregnet dødelighet første måned av rognkjeks i forhold til hva respondentene svarte på respektivt spørsmål 33 og 34. Her er det ingen tydelige sammenhenger, men vi ser tendenser til at selskap som ikke har egen produksjon av rognkjeks og ikke bruker langtidskontrakt har lavere dødelighet første måned. Dette er ikke sikkert, men mulige forklaringer kan være for eksempel størrelsen på selskap og plasseringen av lokalitetene som ikke har langsiktig samarbeid med settefiskanlegg, eller at det sorteres mer kritisk før en leverer til eksterne kunder.

For de som svarte på spm 36 om vaksinering var det ingen som svarte nei. Vi har derfor ikke analysert disse dataene videre.

 

Tilknytning til settefiskanlegg som vanligvis leverer rensefisk Type transport ved forrige levering av rensefisk
 Eget sel-skapLang-tids-kontraktEngangs-kontraktUten kontrakt TypeTidMellom-lagring
Aldri2267 Tankbil4<0.5 dag5Ja4
Av og til6875 Brønnbåt60.5-1 dag5Nei5
Alltid65   Annet >1 dag5  
            
Tabell 3: Median prosent dødelighet første måned for rognkjeks i forhold til svar på spørsmål 33. Tabell 4: Median prosent dødelighet første måned for rognkjeks i forhold til svar på spørsmål 34.

2.2.3 - Analyse basert på spørsmål 40 om hvordan settefiskanlegg og mottak kan ha betydning for velferden til oppdrettet rensefisk

Se rapport fra NTNU Samfunnsforskning, der oppdretternes tekstbaserte vurderinger om levering og mottak oppsummeres.

2.2.4 - Analyse basert på spørsmål 55 om anslåtte dødelighetsårsaker

På bakgrunn av besvarelsene på spørsmål 55 (Tabell 5) er det tydelig at mange av oppdretterne noen ganger forklarer dødeligheten av oppdrettet rognkjeks eller leppefisk (f.eks. berggylt) med dårlig kvalitet fra leverandør, og i mindre grad skade fra transport og feil størrelse.

Oppdrettet rognkjeks, n=255 Oppdrettet leppefisk, n=44
 Aldri / svært sjeldentAv og tilSvært hyppig / alltid Aldri / svært sjeldentAv og tilSvært hyppig/ alltid
Dårlig kvalitet fra leverandør28666 27685
Skade etter transport62372 43525
Feils størrelse (for små)68320 57412

Tabell 5: Prosentvis fordeling av besvarelser for spørsmål 55: Hvor hyppig er de følgende årsakene til dødelighet/«svinn» av oppdrettet leppefisk og oppdrettet rognkjeks på din lokalitet?

2.2.5 - Konklusjon om dødelighet av oppdrettet rensefisk

Median dødelighet første måned er 6 % for oppdrettet rognkjeks og 8 % for oppdrettet berggylt. Dette er lavere enn for villfanget leppefisk, som har en median dødelighet første måned på 13 %. Det er ingen entydige sammenhenger mellom dødelighet og kontraktsforhold med leverandør eller transport (type og lengde), men oppdretterne anslår ofte at dødeligheten til oppdrettet rensefisk kommer av dårlig kvalitet fra leverandør.

3 - Rutiner, anleggsforhold og sykdoms påvirkning på dødelighet

 

Her vil vi analysere: Hva dør rensefisken av? Sykdom, svikt i driftsrutiner eller mangelfulle driftsrutiner ved matfiskanlegg, rensefisken klarer ikke å tilpasse seg oppdrettsmiljøet (generelt, eller lokalitetsspesifikke forhold spesielt)?

I tillegg til de innrapporterte utsetts- og dødelighetstallene fra spørsmål 20-22, var det 12 spørsmål i undersøkelsen som spesifikt omhandlet rutiner, forhold på anlegget og sykdom:

 

  • Spm 2: I hvilken region jobber du? [Nord-Norge/Midt-Norge (Trøndelag og Møre og Romsdal) / Resten av Sør-Norge]

  • Spm 11: Har dere en egen rensefisk-ansvarlig

  • Spm 12: Hvilke miljøforhold oppfatter du som spesielt utfordrende for rensefisken på din lokalitet? (Flere svar mulig) [Høyt lusepress / Sterk strøm / Lav oksygenmetning / Mye begroing / Høye vanntemperaturer / Lave vanntemperaturer / Ising / Ingen av de ovennevnte / Annet, beskriv ...]

  • Spm 18: Utførte dere behandlinger mot sykdom hos rensefisk? Medikamentell og ikke-medikamentell. [Vet ikke / Nei / Ja, Type og tidspunkt]

  • Spm 42: Hvorfor sulter dere rensefisken? Med sulting mener vi at dere bevisst lar være å fôre rensefisken én dag eller mer. Flere svar mulig [Vi sulter aldri rensefisken / For at den skal spise mer lus / For at den skal tåle håndtering bedre / Annet, vennligst spesifiser ...]

  • Spm 44: Beskriv deres rutiner rundt fôring og hvorfor dere har valgt å gjøre det slik. (Fritekst)

  • Spm 45: Beskriv deres plassering av skjul og hvorfor dere har valgt å gjøre det slik. (Fritekst)

  • Spm 49: Praktiserer dere utfisking av rensefisk før operasjoner med laks/not? [Ja / Nei]

  • Spm 50: For hvilke operasjoner fisker dere ut rensefisk? (Flere svar mulig) [Notvask / Avlusing – medikamentell / Avlusing – ikke-medikamentell / Sortering av laks / Slakting-levering av laks / Annet, vennligst spesifiser ...]

  • Spm 52: Fritekst: Beskriv hva dere gjør for å hindre at rensefisk blir tatt med i operasjoner for laks/not.

  • Spm 55: Hvor hyppig er de følgende årsakene til dødelighet/«svinn» av [oppdrettet rognkjeks/leppefisk] på din lokalitet? [Sykdom / Mangelfulle skjul / Mangelfull fôring / Skader fra dødfiskhåv / Skade etter notspyling / Annen håndtering / Notskader pga. sterk strøm / Feil vanntemperatur / Aggresjon-predasjon / Rømming / Medikamentell avlusing / Ikke-medikamentell avlusing / Arten tåler ikke oppdrettsbetingelsene / Ingen tydelig årsak

  • Spm 56: Gi gjerne eksempler på konkrete grep dere tar for å hindre dødelighet hos [fiskeart]. (Fritekst)

 

I analysen under konsentrerer vi oss om villfanget leppefisk og oppdrettet rognkjeks, ettersom disse kategoriene er vanligst og har nok observasjoner for de relevante analysekategoriene (sted, rensefiskansvarlig, osv).

 

3.1 - Analyse basert på spørsmål 2 om dødelighet basert på region

Median totaldødelighet (dødelighet gjennom hele lakseproduksjonssyklusen) for opprettet rognkjeks var 57, 48 og 21 % for henholdsvis Sør-Norge, Midt-Norge og Nord-Norge (Figur 5). For villfanget leppefisk var median dødelighet i Sør-Norge 44 % og 40 % i Midt-Norge (Figur 5). Siden det ser ut til å være en sterk sammenheng med dødelighet til oppdrettet rognkjeks og region, beholder vi denne oppdelingen i den videre analysen.

 

Figur 5
Figur 5: Median totaldødelighet for oppdrettet rognkjeks (blå sirkler) og villfanget leppefisk (gule sirkler) per region. Beregnet som median av antall rensefisk satt ut delt på antall rensefisk rapportert død gjennom hele lakseproduksjonssyklusen. Nedre feilmarkør angir 25-persentilen, mens øvre feilmarkør angir 75-persentilen. Grupper med n≤5 er utelatt. For Nord-Norge var det kun 4 observasjoner for villfanget leppefisk så vi har derfor ikke inkludert disse tallene i figuren.

3.2 - Analyse basert på spørsmål 2 og 11 om dødelighet basert på rensefiskansvarlig og region

Ifølge undersøkelsen er det mer vanlig med rensefiskansvarlig i sør enn i nord (Figur 6A). Det ser imidlertid ikke ut som egen rensefiskansvarlig så langt er ensbetydende med lavere dødelighet (Figur 6B). Dette kan ha sammenheng med for eksempel at de som har lav dødelighet ikke har sett behov for egen rensefiskansvarlig fordi de ikke har utfordringer med dødeligheten, eller fordi flere på lokaliteten uformelt fungerer som rensefiskansvarlige.

 

Figur 6: A) Antall som har haket av for de har rensefiskansvarlig (blå og gul), og samtidig rapportert inn tall for oppdrettet rognkjeks eller leppefisk. Rognkjeks er blå (haket av) og rød (ikke haket av), og leppefisk er gul (haket av) og lilla (ikke haket av). B) Median totaldødelighet i forhold til om de har haket av for rensefiskansvarlig. I tilfeller der antall svar < 5, er det ikke beregnet median-verdier for dødelighet.

 

 

3.3 - Analyse basert på spørsmål 2 og 12 om dødelighet, lokalitetsutfordringer og region

Vi vil i denne seksjonen se på oppdretternes beskrivelser av utfordringene for rensefisken når det gjelder lus, strøm, oksygenmetning, begroing, høy og lav vanntemperatur og ising på deres lokalitet. Først, analyse av svarene til de som rapporterte om høyt lusepress:

 

Figur 7
Figur 7: A) Antall som har haket av for høyt lusepress (blå og gul), og samtidig rapportert inn tall for oppdrettet rognkjeks eller leppefisk. Rognkjeks er blå (haket av) og rød (ikke haket av), og leppefisk er gul (haket av) og lilla (ikke haket av). B) Median dødelighet i forhold til om de har haket av for høyt lusepress. I tilfeller der antall svar < 5, er det ikke beregnet median-verdier for dødelighet.

 

Det er mest vanlig med å oppleve et høyt lusepress i sør enn i nord (Figur 7A). Dataene tyder ikke på at høyt lusepress gir økt dødelighet hos rensefisken (Figur 7B) - snarere tvert imot, men resultatene er ikke tydelige her. En årsak kan være at de som har et høyt lusepress har ett større fokus på rensefisken og legger mer til rette for at denne skal fungere best mulig som lusespisere, og dermed en bedre velferd.

Sterk strøm:

Det var omtrent 50 % som haket av for at de hadde for høy strøm for rensefisken på anlegget (Figur 8A), men det var ingen tydelig sammenheng mellom dødelighet og opplevd høy strøm (Figur 8B). Både rognkjeks eller leppefiskartene lever naturlig i mer skjermede omgivelser naturlig. En mulig årsak til at sterk strøm ikke ser ut til å gi utslag i høyere dødelighet kan være at strømutsatte lokaliteter kompenserer med plassering av skjul som gir ly for rensefisken. Luseskjørt vil også gi mindre strøm i for rensefisken.

 

Figur 8
Figur 8: A) Antall som har haket av for sterk strøm (blå og gul), og samtidig rapportert inn tall for oppdrettet rognkjeks eller leppefisk. Rognkjeks er blå og rød (ikke haket av), og leppefisk er gul og lilla (ikke haket av). B) Median dødelighet i forhold til om de har haket av for sterk strøm. I tilfeller der antall svar < 5, er det ikke beregnet median-verdier for dødelighet.

 

 

Lav oksygenmetning:

Det var en relativt liten andel som haket av for at de hadde utfordringer med lav oksygenmetning (Figur 9A). Det ser ut til å være en sammenheng med forøket dødelighet i Sør- og Midt-Norge (Figur 9B). At vi ikke ser den sammen sammenhengen i Nord-Norge kan skyldes at lave temperaturer gjør fisken mindre sårbar for lav oksygenmetning.

 

Figur 9
Figur 9: A) Antall som har haket av for lav oksygenmetning (blå og gul), og samtidig rapportert inn tall for oppdrettet rognkjeks eller leppefisk. Rognkjeks er blå (haket av) og rød (ikke haket av), og leppefisk er gul (haket av) og lilla (ikke haket av). B) Median totaldødelighet i forhold til om de opplever lav oksygenmetning. I tilfeller der antall svar < 5, er det ikke beregnet median-verdier for dødelighet.

 

Mye begroing:

 

Figur 10
Figur 10: A) Antall som har haket av for mye begroing (blå og gul), og samtidig rapportert inn tall for oppdrettet rognkjeks eller leppefisk. Rognkjeks er blå (haket av) og rød (ikke haket av), og leppefisk er gul (huket av) og lilla (ikke haket av). B) Median totaldødelighet i forhold til om de har haket av for begroing. I tilfeller der antall svar < 5, er det ikke beregnet median-verdier for dødelighet.

 

Generelt var det relativt få som rapporterte begroing som miljøutfordring for rensefisk (Figur 10A). Det var heller ingen tydelig sammenheng mellom begroing og dødelighet (Figur 10B).

Høy temperatur:

Som forventet var det en høyere andel av oppdrettere som rapporterte høy vanntemperatur som et problem i sør enn i nord (Figur 11A), noe som korrelerer med nedgangen i dødelighet fra sør til nord (Figur 11B). For Midt-Norge kan det også se ut som det er en sammenheng mellom høy vanntemperatur og dødelighet for rognkjeks, ettersom vi ser at feilmarginene (konfidensintervallet) nesten ikke overlapper. Høy vanntemperatur er normalt ikke er et problem for leppefisk.

 

Figur 11
Figur 11: A) Antall som har haket av for høy vanntemperatur (blå og oransje), og samtidig rapportert inn tall for oppdrettet rognkjeks eller leppefisk. Rognkjeks er blå (haket av) og rød (ikke haket av), og leppefisk er gul (huket av) og lilla (ikke haket av). B) Median totaldødelighet i forhold til om de har haket av for høy vanntemperatur. I tilfeller der antall svar < 5, er det ikke beregnet median-verdier for dødelighet.

 

 

Lav vanntemperatur:

Relativt få oppdrettere har haket av lav vanntemperatur som en utfordring (Figur 12A). Lav vanntemperatur er normalt ikke er et problem for rognkjeks, vi antar derfor at oppdretter har tenkt på leppefisk i disse tilfellene og ser bort fra rognkjeks-tallene i figur 12B. For leppefisk kan det se ut som at det er høyere dødelighet ved anlegg der lav temperatur er ansett som et problem (Figur 12B), men sammenhengen er ikke tydelig.

 

Figur 12
Figur 12: A) Antall som har haket av for lav vanntemperatur (blå og gul), og samtidig rapportert inn tall for oppdrettet rognkjeks eller leppefisk. Rognkjeks er blå (haket av) og rød (ikke haket av), og leppefisk er gul (haket av) og lilla (ikke haket av). B) Median totaldødelighet i forhold til om de har haket av for lav vanntemperatur. I tilfeller der antall svar < 5, er det ikke beregnet median-verdier for dødelighet.

 

 

Ising:

 

Figur 13
Figur 13: A) Antall som har haket av for ising som en utfordring (blå og oransje), og samtidig rapportert inn tall for oppdrettet rognkjeks eller villfanget leppefisk. Rognkjeks er blå (haket av) og rød (ikke haket av), og leppefisk er gul (haket av) og lilla (ikke haket av). B) Median dødelighet i forhold til om de har haket av for lav ising. I tilfeller der antall svar < 5, er det ikke beregnet median-verdier for dødelighet.

 

Ising ble generelt ikke ansett som et problem for rensefisken (Figur 13A).

3.4 - Analyse basert på spørsmål 2 og 17, dødelighet basert forebyggende lusetiltak og region

 

Figur 14
Figur 14: A) Antall som hadde skrev at de brukte skjørt som forebyggende tiltak mot lus (blå og oransje), og samtidig rapportert inn tall for oppdrettet rognkjeks eller villfanget leppefisk. Rognkjeks er blå (skjørt) og rød (ikke skjørt), og leppefisk er gul (skjørt) og lilla (ikke skjørt). B) Median dødelighet i forhold til om de har skrevet at de brukte skjørt. I tilfeller der antall svar < 5, er det ikke beregnet median-verdier for dødelighet.

 

Ifølge respondentene er det mest vanlig å bruke skjørt som forebyggende tiltak i Sør- og Midt-Norge (Figur 14A). Det kan se ut som bruk av skjørt er korrelert med økt dødelighet både hos oppdrettet rognkjeks og villfanget leppefisk (Figur 14B). Skjørt kan ha en negativ effekt på vannkvalitet i skjørtvolumet, men burde på den andre siden gi rensefisken ly for sterk strøm. Det må her understrekes at det kan være andre underliggende årsaker til den observerte korrelasjonen.

3.5 - Analyse basert på spørsmål 18, dødelighet basert på sykdom

På spørsmål om de hadde utført behandlinger mot sykdom hos rensefisken svarte nesten alle nei, bortsett fra noen få som skrev at de hadde gjennomført avlusing.

3.6 - Analyse basert på spørsmål 2 og 42, dødelighet basert på sulting og region

En høy andel av oppdretterne rapporterte at de ikke sultet rensefisken (Figur 15A). Generelt hadde de som svarte at de ikke sultet lavere dødelighet hos rensefisken enn de som rapporterer at de praktiserer sulting (Figur 15B). Sulting kan ha en negativ effekt hvis rensefisken allerede er underernært. En annen forklaring kan være at det er andre sammenfallende faktorer som forårsaker den økte dødeligheten, og ikke sultingen i seg selv.

 

Figur 15
Figur 15: A) Antall som har haket av for at de ikke sulter rensefisk (blå og gul), og samtidig rapportert inn tall for oppdrettet rognkjeks eller villfanget leppefisk. Rognkjeks er blå (haket av) og rød (ikke haket av), og leppefisk er gul (haket av) og lilla (ikke haket av). B) Median totaldødelighet i forhold til om de har haket av for at de ikke sulter rensefisk. I tilfeller der antall svar < 5, er det ikke beregnet median-verdier for dødelighet.

 

Ifølge respondentene er det mer vanlig å sulte rensefisken for at den skal spise mer lus i sør enn i nord (Figur 16 A). Igjen, ser det ut som at det høyere dødelighet hos de som praktiserer sulting (Figur 16B).

 

Figur 16
Figur 16: A) Antall som har haket av for at de sulter rensefisken for at den skal spise mer lus (blå og gul), og samtidig rapportert inn tall for oppdrettet rognkjeks eller villfanget leppefisk. Rognkjeks er blå (haket av) og rød (ikke haket av), og leppefisk er gul (haket av) og lilla (ikke haket av). B) Median totaldødelighet i forhold til om de har haket av for at de sulter rensefisk. I tilfeller der antall svar < 5, er det ikke beregnet median-verdier for dødelighet.

 

 

Figur 17
Figur 17: A) Antall som har haket av for at de sulter rensefisken før håndteringsoperasjoner (blå og gul), og samtidig rapportert inn tall for oppdrettet rognkjeks eller villfanget leppefisk. Rognkjeks er blå (haket av) og rød (ikke haket av), og leppefisk er gul (haket av) og lilla (ikke haket av). B) Median totaldødelighet i forhold til om de har haket av for at de sulter rensefisk før håndteringsoperasjoner. I tilfeller der antall svar < 5, er det ikke beregnet median-verdier for dødelighet.

 

Ifølge respondentene er det er mer vanlig å sulte rensefisken før håndtering i sør enn i nord (Figur 17A). Igjen, ser det ut som at det høyere dødelighet hos de som praktisering sulting, men her er ikke sammenhengen like tydelig (Figur 17B).

3.7 - Analyse basert på spørsmål 44 og 45 om rutiner med fôring og skjul

Se rapport fra NTNU Samfunnsforskning, der oppdretternes tekstbaserte vurderinger om fôring og skjul oppsummeres.

3.8 - Analyse basert på spørsmål 2 og 49 om dødelighet basert på utfisking og region

Størsteparten av oppdretterne svarer at de praktiserer utfisking (Figur 18A). Det er imidlertid ingen tydelig direkte sammenheng mellom utfisking og dødelighet (Figur 18B). I sør og nord er sammenhengene usikre. I Midt-Norge ser vi lavere dødelighet for rognkjeks blant de som fisker ut før håndtering, mens det ikke er tydelig for leppefisk. En mulig forklaring er at utfisking av rensefisk fra merd er vanskelig og svært tidkrevende, slik at det i praksis er få rensefisk som blir utfisket. Utfisking av rognkjeks kan være enklere enn utfisking av leppefiskartene da rognkjeks ofte sitter festet i skjul eller andre overflater. Utfisking av leppefisk med for eksempel teiner kan være mer krevende. Utfiskingsoperasjonene i seg selv kan også virke stressende på rensefisken, samt hvordan de oppbevares etter utfisking kan virke inn på dødeligheten.

 

Figur 18
Figur 18: A) Antall som har haket av for at de praktiserer utfisking før håndteringsoperasjoner (blå og gul), og samtidig rapportert inn tall for oppdrettet rognkjeks eller villfanget leppefisk. Rognkjeks er blå (haket av) og rød (ikke haket av), og leppefisk er gul (haket av) og lilla (ikke haket av). B) Median totaldødelighet i forhold til om de har haket av for at de praktiserer utfisking før håndteringsoperasjoner. I tilfeller der antall svar < 5, er det ikke beregnet median-verdier for dødelighet.

 

3.9 - Analyse basert på spørsmål 52 om hvordan hindre at rensefisk blir med i operasjoner

Se rapport fra NTNU Samfunnsforskning, der oppdretternes tekstbaserte vurderinger om å hindre å få rensefisk med i håndteringsoperasjoner oppsummeres.

3.10 - Analyse basert på spørsmål 55 om anslått dødelighetsårsak

På bakgrunn av besvarelsene på spørsmål 55 er det tydelig at ikke-medikamentell avlusing og sykdom anses som den hyppigste dødsårsaken blant oppdrettet rognkjeks (Tabell 6). For villfanget leppefisk blir ikke-medikamentell avlusing anslått å være den klart hyppigste dødsårsaken (Tabell 6). Andre viktige dødsårsaker for begge rensefisktypene er sykdom, skader fra dødfiskhåv, feil vanntemperatur og aggresjon (Tabell 6).

Oppdrettet rognkjeks, n=227 Villfanget leppefisk, n=19
Anslått dødelighetsårsakAldri / svært sjeldentAv og tilSvært hyppig / alltid Aldri / svært sjeldentAv og tilSvært hyppig/ alltid
Sykdom135235 324721
Mangelfulle skjul82180 74215
Mangelfull fôring79210 79165
Skader fra dødfiskhåv75222 472626
Skader fra notspyling38584 32635
Skader fra annen håndtering32662 37630
Skader fra notskader sterk strøm51437 63325
Feil vanntemperatur52435 266311
Aggresjon60391 424711
Rømming9450 84160
Avlusing medikamentell81172 84115
Avlusing ikke-medikamentell216316 114742
Tåler ikke oppdrettsbetingelsene60373 474211
Ukjent årsak305812 215821

Tabell 6 : Prosentvis fordeling av besvarelser for spørsmål 55: Hvor hyppig er de følgende årsakene til dødelighet/«svinn» av [oppdrettet rognkjeks/leppefisk] på din lokalitet? [Sykdom / Mangelfulle skjul / Mangelfull fôring / Skader fra dødfiskhåv / Skade etter notspyling / Annen håndtering / Notskader pga. sterk strøm / Feil vanntemperatur / Aggresjon-predasjon / Rømming / Medikamentell avlusing / Ikke-medikamentell avlusing / Arten tåler ikke oppdrettsbetingelsene / Ingen tydelig årsak

Vi har ikke sammenholdt anslagene om dødelighetsårsak med rapportert dødelighet. En grunn er at svarene hadde vært svært vanskelig å tolke. For eksempel ville det vært lite produktivt å finne ut at oppdrettere som anslår sykdom som en svært hyppig dødsårsak har høyere dødelighet enn de som ikke anslår sykdom som en hyppig dødsårsak.

3.11 - Analyse basert på spørsmål 56 om grep for å hindre dødelighet

Se rapport fra NTNU Samfunnsforskning, der oppdretternes tekstbaserte vurderinger om å hindre dødelighet blant rensefisken.

3.12 - Konklusjon angående sammenheng mellom dødelighet og rutiner, drift og sykdom

I tolkningen av dataene er det viktig å huske på at dødelighetstallene ikke er resultat av kontrollerte forsøk, men av oppdretternes vurderinger og registrerte tall. Økt dødelighetsresultat på et av spørsmålsparameterne trenger ikke bety at dette er årsaken. For eksempel er det naturlig å tro at når vi ser at lokaliteter med rensefiskansvarlig har høyere dødelighet enn lokaliteter uten rensefiskansvarlig, skyldes det andre forhold: Forklaringa kan komme av den høye dødeligheten - som kan være et insitament til å opprette en egen stilling for å forbedre rensefisksituasjonen - eller forklaringa kan komme av rensefiskansvarlig - at de som har rensefiskansvarlig har bedre rutiner for dødfiskrapportering, får mer korrekte tall og dermed rapporterer økt dødelighet - eller forklaringa kan være noe helt annet. Dersom forklaringa er at høy kompetanse gir økt rapportering og høyere dødelighet, kan det være at resultatene til denne undersøkelsen blir tolket feil.

Generelt så var det ikke stor forskjell i dødelighet mellom rensefisktypene, bortsett fra at oppdrettet rognkjeks i nord har lav dødelighet i forhold til ellers. For rognkjeks var det en tydelig nord-sør økning i dødelighet, der temperatur sannsynligvis er en viktig forklarende faktor. Hos leppefisk var det ikke en tydelig sammenheng mellom utfordringer med lav temperatur og økt dødelighet. Men leppefisk er ikke effektive lusespisere på lave temperaturer og benyttes derfor lite i Nord-Norge.

Videre kan det se ut som at lokaliteter med høyt lusepress, og dermed høyere tilgang til mat for rensefisken og muligens økt motivasjon fra oppdretter, har lavere dødelighet hos oppdrettet rognkjeks. Mer overraskende er det at de som har svart at de har utfordringer med høy strøm har noe lavere rognkjeksdødelighet. Dette kan skyldes at disse lokalitetene har gode oksygenforhold, eller at de bruker luseskjørt og skjul plassert slik at de skaper roligere strømforhold for rensefisken. Dataene viser en tydelig sammenheng mellom å ha utfordringer med lav oksygenmetning og økt dødelighet hos både rognkjeks og leppefisk.

For sult var det et tydelig mønster i å praktisere ulike former for sulting gir økt dødelighet. Én potensiell forklaring kan være at rensefisk ikke tåler sulting, mens en annen mulig forklaring er at de som praktiserer sulting også har mye annen håndtering som kan gi dødelighet.

Å praktisere utfisking før håndtering, noe som normalt blir ansett som et velferdstiltak, var f.eks. assosiert med lavere dødelighet for rensefisken kun i Midt-Norge. Dette underbygges også av at en høy andel av respondentene oppga at håndtering var en stor grunn til at rensefisk døde, spesielt ikke-medikamentell avlusing. For leppefisk var også skader fra dødfiskhåv oppgitt som en viktig årsak til dødelighet av mange. For både leppefisk og rognkjeks svarte en høy andel av respondentene at sykdom er en av de viktigste årsakene til dødelighet.

4 - Oppsummering om dødelighet og dødelighetsårsaker blant rensefisk

Mattilsynets rensefiskkampanje har resultert i de første større statistiske analysene av dødelighetstall og dødelighetsårsaker for rensefisken i norske oppdrettsanlegg. Dette er en milepæl. Tidligere har man hatt svært begrenset informasjon om rensefisken, og fortsatt står mange spørsmål ubesvart. For eksempel har man nå fått tall på at registrert dødelighet hos rensefisk i matfiskanlegg er 42 % , men det viser seg også at eventuell resterende andel av rensefisk ikke kan gjøres rede for ved produksjonsslutt, slik at de reelle dødelighetstallene kan være mye høyere.

Spørreundersøkelsen blant oppdrettere som benytter rensefisk har gjort at vi har kommet svært mye lenger i å forstå rensefisken i norske oppdrettsanlegg, på tross av en mengde mulige feilkilder og resultat som kanskje har gitt flere spørsmål enn svar. Undersøkelsen har søkt etter sammenhenger, spørsmål og formuleringer som ikke tidligere er utprøvd. For å kunne analysere dødelighet gjennom en lakseproduksjonssyklus måtte noen av spørsmålene baseres på oppdretternes tall før det ble pålagt å registrere utsatt og død rensefisk. Derfor må vi regne med at funnene fra undersøkelsen er preget av ulike måter å rapportere tall på, eksplorativ spørreundersøkelsesmetode, og sammenhenger som er vanskelige å tolke.

Likevel har vi noen tydelige funn, basert på oppdretternes registreringer:

  • Median registrert dødelighet:

    • Samlet for alle rensefisktypene 42 %

    • oppdrettet rognkjeks 46 %,

      • 57 % i Sør-Norge

      • 48 % i Midt-Norge

      • 21 % i Nord-Norge

    • villfanget grønngylt 44 %

    • oppdrettet berggylt 40 %

    • villfanget gressgylt 39 %

    • villfanget berggylt 38 %

    • villfanget bergnebb 37 %

  • Median registrert dødelighet første måned:

    • Villfanget rensefisk 13 %

    • Oppdrettet berggylt 8 %

    • Oppdrettet rognkjeks 6 %

Et tydelig funn er at det er registrert høy dødelighet hos alle rensefiskartene. Den lavest registrerte dødeligheten gjelder oppdrettet rognkjeks i Nord-Norge, mens den høyeste dødeligheten er rognkjeks i Sør-Norge. Det må her understrekes at dette er dødelighet registrert på anleggene. Død rensefisk som ikke havner i dødfiskoppsamleren, blir spist eller som forsvinner på andre måter er dermed ikke tatt med. Det var svært få av oppdretterne som oppga tall for antall rensefisk ved produksjonsslutt.

Hovedresultater angående oppdretternes opplevde naturgitte forholds påvirkning på dødelighet hos rensefisken:

  • Høy vanntemperatur rapporteres som et større problem for rognkjeks i sør enn i nord, noe som korrelerer med nedgangen i dødelighet fra sør til nord.

  • Lav oksygenmetning er korrelert med økt dødelighet hos både rognkjeks og leppefisk

  • Høy strøm er ikke nødvendigvis knyttet til høyere dødelighet

Det undersøkelsen viser om organisatoriske forholds påvirkning på dødelighet hos rensefisken:

  • Lokaliteter med egen rensefiskansvarlig har ikke nødvendigvis lavere dødelighet

  • De som praktiserer sulting av rensefisken har høyere dødelighet.

  • De som praktiserer utfisking har ikke nødvendigvis lavere dødelighet.

Sammenhengene her må tolkes med stor forsiktighet, da usikkerhetene i tallmaterialet, samvirkning mellom kjente og ukjente faktorer kan påvirke utfallet. Effektene av de ulike miljøforholdene og hvordan det jobbes med rensefiskens velferd må derfor undersøkes nærmere med flere analyser og ved eventuelt nye studier.

Ikke-medikamentell avlusing og sykdom anses som den hyppigste dødsårsaken blant oppdrettet rognkjeks For villfanget leppefisk blir ikke-medikamentell avlusing anslått å være den klart hyppigste dødsårsaken. Andre viktige dødsårsaker er sykdom, skader fra dødfiskhåv, feil vanntemperatur og aggresjon.

Gitt kompleksiteten i datamaterialet vil vi fortsette analysen videre utover høsten og vinteren for å finne forklaringsmodeller og samvirkninger mellom faktorer. Målet er å kunne skrive en vitenskapelig publikasjon og tilgjengeliggjøre resultatene fra analysen til et større publikum.