Gå til hovedinnhold

Undersøkelse av grunnstoffer i sjømat fra Repparfjorden og Revsbotn

— Hyse som indikatorart for overvåking av sjødeponi

Forord

Miljømyndighetene har gitt tillatelse til å benytte Repparfjorden som sjødeponi for gruveavfall (avgang). For å beskytte konsumenter av sjømat og verne om økosystemet, er det derfor ønskelig å overvåke sjømatsarter fra Repparfjorden på endringer i konsentrasjonen av uønskede grunnstoff. Formålet med denne studien var en basisundersøkelse som kan brukes som utgangspunkt for å sammenligne med senere undersøkelser, dersom kobbergruven Nussir ASA starter deponering av avgangsmasser i Repparfjorden. På denne måten vil det være mulig å vurdere om driften av sjødeponiet fører til forandringer i konsentrasjonen av disse grunnstoffene i sjømatartene. Vi har analysert sjømatarter fra Repparfjorden og Revsbotn med hensyn til konsentrasjoner av sølv (Ag), arsen (As), kadmium (Cd), kobolt (Co), krom (Cr), kobber (Cu), jern (Fe), kvikksølv (Hg), mangan (Mn), molybden (Mo), nikkel (Ni), bly (Pb), selen (Se), sink (Zn) og vanadium (V). Vi har også fått tilsendt et fåtall prøver av sjømat fra Bøkfjorden (samlet inn av Stian Røberg, Universitet i Tromsø), en fjord der avgangsmasser fra en jerngruve har blitt deponert i ulike tidsrom, sist fra 2009 til 2015. Disse prøvene er også analysert med hensyn til de samme grunnstoffene, og resultatene er presentert i denne rapporten.
Faglig ansvarlig ved Havforskningsinstituttet (HI) var Jan Helge Fosså og Terje van der Meeren. Faglig ansvarlig ved Nasjonalt institutt for ernærings- og sjømatforskning (NIFES, fusjonert med HI per januar 2018) var Tanja Kögel og Amund Maage. Teknisk ansvarlig for prosjektet var Anne Margrethe Aase. Fisket i Repparfjorden og Revsbotn ble gjennomført av Rolf Børre Kivijervi, og fangsten ble tatt hånd om og sendt til Bergen av Gunnar Bakke (HI). Alle prøvene ble registrert og opparbeidet for analyse ved NIFES/HI prøvemottak av Aina Bruvik, Vidar Fauskanger, Nawaraj Gautam og Manfred Torsvik. Analyse ble utført ved NIFES/HI laboratorier for grunnstoff av Beate Vadseth Brodahl, Edel Erdal, Tonja Lill Eidsvik, Solgunn Elnes, Snorri Gunnarsson, Vivian Krakeli, Georg Olsen og Nina Margrethe Steinsvik under ledelse av Marita Eide Kristoffersen.
 

Vi takker alle som har bidratt til gjennomføring av prosjektet.


Havforskningsinstituttet, Bergen, 15. juli 2021.

 

Sammendrag

Nussir ASA har fått tillatelse til å etablere et nytt sjødeponi for kobbergruveavfall i Repparfjorden. I tidsrommet 1972-1978 ble Repparfjorden brukt som deponi for gruveavfall (avgangsmasser) av Folldal Verk. Ved etablering av et nytt deponi er det viktig å følge med på utviklingen av konsentrasjoner av grunnstoff som kan være giftige for marine organismer. Derfor har Havforskningsinstituttet kartlagt konsentrasjonene av en rekke metaller og andre grunnstoffer i flere sjømatarter som ble samlet inn fra Repparfjorden i 2016 og 2017. Som referanselokalitet uten planlagt eller tidligere kjent påvirkning av gruveavgang, har vi analysert tilsvarende grunnstoffer fra Revsbotn, en sammenlignbar fjord i det samme området. Artene som ble analysert, ble valgt etter fangst med bunngarn om høsten for å unngå vårens gytevandring og derved få mest mulig stasjonære arter. I tillegg gir fangstene en oversikt over hvilke arter som er tilstede i de to fjordene. Kveite (Hippoglossus hippoglossus), hyse (Melanogrammus aeglefinus), torsk (Gadus morhua) og blåskjell (Mytilus edulis) ble fanget på alle stasjoner i tilstrekkelig antall for analysene, og av disse viste hyse de tydeligste stasjonsforskjellene.

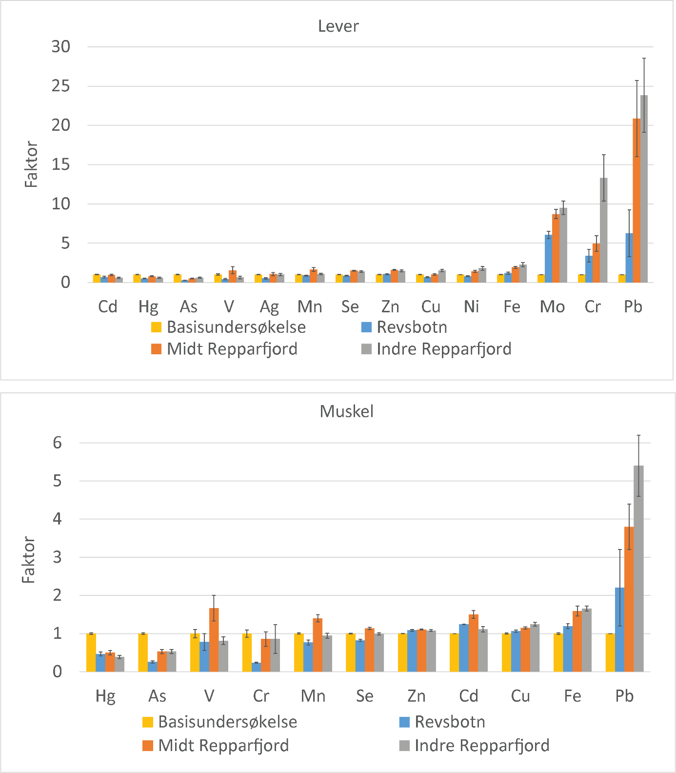
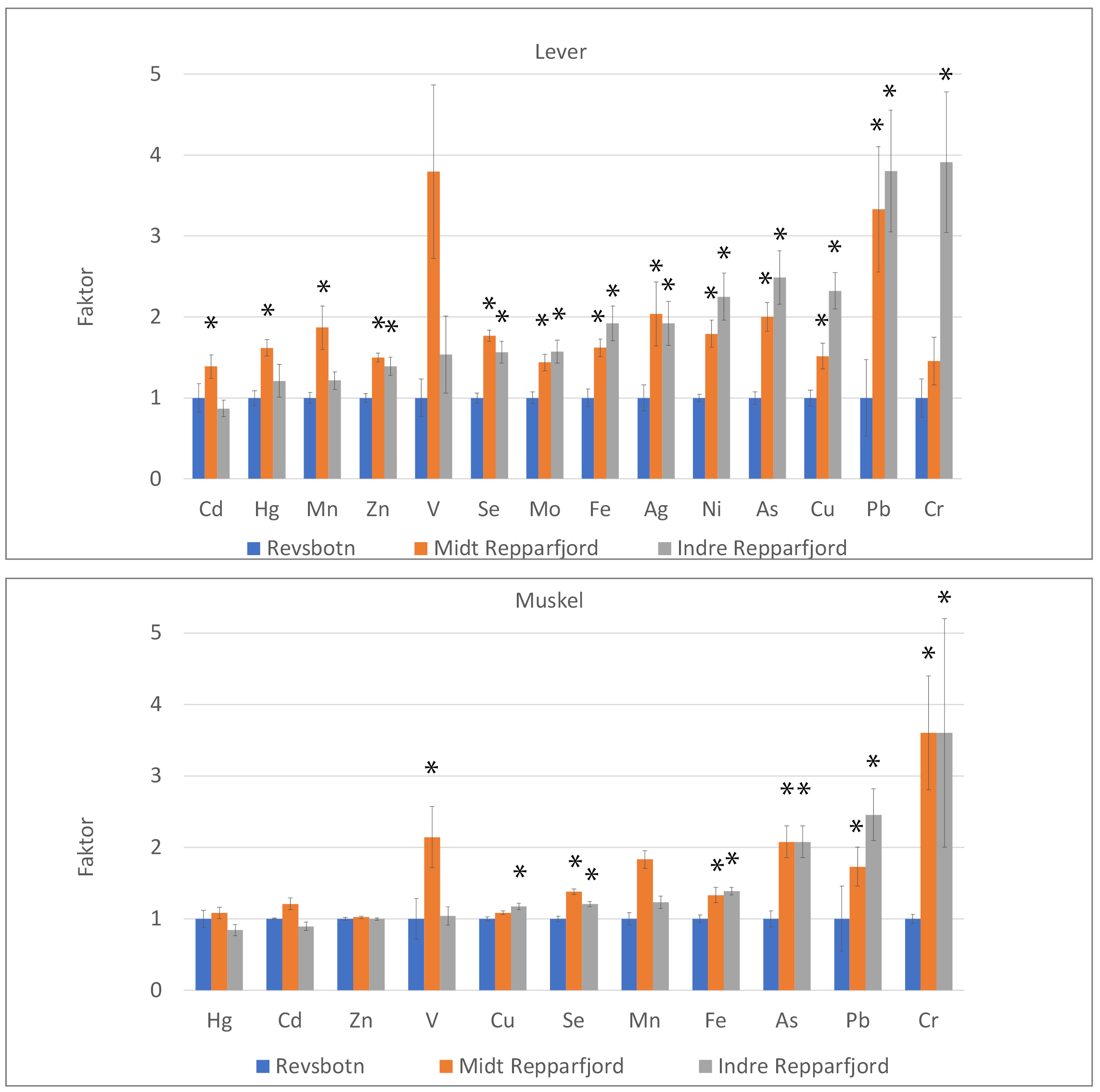
Både i hysemuskel og hyselever var det signifikant høyere konsentrasjoner av arsen, bly, jern og selen i fisk fra begge stasjonene i Repparfjorden sammenlignet med Revsbotn. I hysemuskel var dette også tilfellet for krom, mens i hyselever ble kobber, molybden, nikkel, sink og sølv funnet å være høyere i Repparfjorden enn i Revsbotn. Kobber i hysemuskel og krom i hyselever var kun signifikant høyere i Indre Repparfjord sammenlignet med Revsbotn. For krom, bly, kobber, arsen og nikkel var det observert en økende konsentrasjon fra Revsbotn via Midt Repparfjord til Indre Repparfjord, for enten hyselever, -muskel, eller begge vevene. For sink, selen, jern, molybden og sølv var kun forskjellen fra Revsbotn til Repparfjord tydelig, mens det var lite forskjell mellom de to stasjonene i Repparfjord. Nivåene av kadmium, kvikksølv, mangan og vanadium viste ikke forskjeller i konsentrasjoner i noen av de undersøkte vevene som fulgte mønsteret med økende konsentrasjon fra Revsbotn til Indre Repparfjord eller til begge stasjonene i Repparfjord. Det var også noen signifikante forskjeller mellom stasjonene for andre arter, men disse var langt mindre gjennomgående og systematiske.    

Resultatene vil kunne brukes som baselinje og utgangspunkt til å observere eventuelle forandringer i grunnstoffsammensetningen dersom området blir tatt i bruk som deponi igjen. Vi foreslår derfor å bruke hyse som indikatorart for overvåking av gruvedeponiområder i norske fjorder.

1 - Bakgrunn

1.1 - Gammelt og planlagt nytt gruvedeponi

Det er planlagt deponering av gruveavgang i Repparfjorden. Gruveavgang omfatter uprosessert gråberg fra tunneler og sjakter, men også materiale fra prosessen til å utvinne metaller og mineraler fra malm (mineral- eller metallholdig stein). I denne utvinningen vil malmen males til støv i store steinmøller. Deretter tilsettes kjemikalier som ekstraherer de ønskede mineraler eller metaller, for eksempel ved flotasjon. Innen kobbergruvedrift består vanligvis en stor andel av avgangsmassene av prosessert materiale (Andersson mfl., 2018). Nussir ASA har fått tillatelse til å deponere to millioner tonn avgangsmasser årlig i Repparfjorden i området nordøst for Fægfjordholmen (Miljødirektoratet, 2016). Dette stedet ble valgt fordi det er stort og det dypeste området av en viss størrelse nær det planlagte prosessanlegget for gruven, og er begrenset av terskler vestover på ca. 50-60 m dybde som hevdes å kunne holde avgangsmassene på plass. Bunnsedimentet i dette området består allerede av finpartikulært materiale, en indikator på at området kan holde på partikkelmassene (Christensen mfl., 2011). Det har tidligere foregått deponering fra denne kobbergruven i indre delen av Repparfjorden.

Repparfjorden ligger mellom Kvalsund og Sammelsundet i Hammerfest kommune og strekker seg sørøstover fra munningen av fjorden i ca. 13 km lengde. Den indre fjorden har et dypere basseng på ca. 85 m. I Repparfjorden finnes det sterke bunnstrømmer (Christensen mfl., 2011). Repparfjorden er også en nasjonal laksefjord, der Norges viktigste laksebestander skal ha særlig beskyttese. Repparfjordelven har de siste årene hatt en årlig fangst på 5-11 tonn laks (Vest-Finnmark Jeger- og Fiskerforening). Det finnes også bestander av sjøørret. Revsbotn ligger ca. 20 km nord-nord-øst av Repparfjorden og er i fasong og størrelse sammenlignbart med Repparfjorden, men er ikke berørt av en tidligere deponering av gruveavgang. I tillegg til analysene av sjømat fra Repparfjorden og Revsbotn har vi også analysert enkelte individer av noen sjømatarter fra Bøkfjorden som har vært deponi for gruveavgang fra en jerngruve. Bøkfjorden ligger ved Kirkenes, og en annen type geologi vil sannsynligvis gi et annet mønster av uønskede stoffer enn i Repparfjorden (Simonsen mfl., 2018).

Det gamle deponiområdet helt innerst i Repparfjorden (figur 1) var tilknyttet Folldal Verk som driftet kobbergruven i perioden 1972-1978. Nyere undersøkelser har funnet en oppkonsentrering av blant annet kobber i sedimentet på bunnen av fjorden, og at deler av det det gamle deponiet ikke er dekket av nytt naturlig sediment og fremdeles spres til bunnen i nærheten (Andersson mfl., 2018). Ifølge et avisinnlegg i Bergverksnytt (6/72 1972) ble malmen opparbeidet ut fra de samme prinsipper som nå er planlagt av Nussir ASA. I 1972 ble malmen først knust i tre trinn: grov-, mellom- og fin knusing. Deretter ble den finknuste malmen pulverisert i en to-trinns oppmalingsprosess med en stavmølle som første trinn og en kulemølle som andre trinn. Den fine fraksjonen fra denne prosessen ble separert i en syklon, et instrument for partikkelseparering basert på størrelse, og fraktet videre til flotasjonen, den grovere fraksjonen ble sent tilbake til kulemøllen. Flotasjonen var også en to-trinns prosess. I råfloteringen blir en kobberholdig fraksjon skilt fra gråberg-fraksjonen. Den oppkonsentrerte kobber-holdige fraksjonen ble deretter malt igjen, fulgt av et nytt floterings- og rensesteg for å oppnå en oppkonsentrering av kobber, som så ble tørket til det salgsferdige sluttproduktet. Den finmalte avgangsmassen ble sendt gjennom et plastrør ut i Repparfjorden og sluppet ut i ca. 50 m dybde ifølge Bergverksnytt. Ved en nylig tokt fant HI fem deponihauger innerst i Repparfjorden. Dybden på toppen av disse deponihaugene var fra 40 m til 29 m. Størrelsesfordelingen i avgangsmassen ble ikke beskrevet. Pedersen mfl. (2018) beskriver at mens barium, krom, nikkel, bly og sink ble spredd i mer begrenset grad, ble det anstått at under 5% av kobber-mengden i den opprinnelige avgangsmassen ble transportert ut av deponiområdet, hvorav 56-95% er i biotilgjengelig form (Pedersen mfl., 2018). I Christensen mfl. (2011) anslås det deponerte materialet på 70-tallet til å være 1 million m3, tilsvarende 2,76 millioner tonn. En masseberegning ut fra utslippstillatelsen fra 2016 for Nussir ASA antyder at utslippet fra Folldal verk totalt utgjør 1/25 av det nye planlagte deponiet. Folldal Verk brøt en betydelig mindre mengde malm, ifølge Bergverksnytt i full produksjon opp til 600 000 tonn råmalm per år, sammenlignet med de nye planene som er 2 mill tonn avgang per år som er gitt i utslippstillatelsen til Nussir ASA.

I en konsekvensutredning fra Akvaplan NIVA på oppdrag av Nussir ASA (Christensen mfl., 2011) ble det simulert spredning av avgang med en numerisk modell, der det ble funnet at ved utslipp på 50 m dybde på nordsiden av Markoppneset er det forventet en spredning av avgang som gir mer enn et 10 cm tykt lag av sediment i et område på 2,4 km2, og i tillegg en spredning av avgang som gir en 1 mm tykt lag av avgang på 7,4 km2. Utslippstillatelsen til Nussir AS setter imidlertid en begrensning på høyden av deponiet tilsvarende dybden på tersklene som avgrenser deponiområdet vestover. Dypeste terskel her er 61 m, og med største dyp i deponiområdet på 90 m gir dette en deponihøyde på 29 m. 10% av massene vil bestå av partikler som er mindre enn 5 µm, og 2% av avgangen holder seg suspendert i vannmassene med den valgte metoden. Kobberinnholdet i avgangen, 300-700 mg/kg, samt beregnet porevannkonsentrasjoner i det modellerte sedimentet ble tilordnet kjemisk tilstandsklasse V (svært dårlig) i deponiområdet. Forfatterne anslår at man vil kunne forvente utlekking av kobber fra gruveavgangen i flere hundre år etter at deponeringen er avsluttet. Sedimentet der 1% av avgangen endte opp ifølge modellen, ble vurdert å nå en “moderat” tilstand etter 6-12 år (Christensen mfl., 2011). Havforskningsinstituttet påpekte i 2012 at grunnstoffkonsentrasjoner i fjordvannet vil danne en gradient fra bunnen og oppover (Havforskningsinstitutt, 2012). Eksperimentelt har det også blitt demonstrert mulig ekstrahering av kobber fra historisk gruveavgang fra Repparfjorden og nytt materiale (Pedersen mfl., 2017). Nede ved bunnen vil vannet altså sannsynligvis ha høyere kobberinnhold. I tillegg bør det følges med på jern, krom og nikkel fordi analyser av gruveavgang viste at i tillegg til kobber, vil nikkel være relativt høyt konsentrert (Christensen mfl., 2011; Kleiv, 2011). Utlekkingseksperimenter med avgangsmasser har vist synergistiske effekter for kobber, krom, nikkel og jern på deres løselighet (Fu and Lu, 2019). Forekomst, mobilisering og biotilgjengelighet av kobber og nikkel ble vist å være korrelert i miljøet for avgangsmasser ved andre gruvedeponier (Schaanning mfl., 2019). Den finkornete tilstanden av deponeringsmassen med anslått betydelig andel ned mot nanometerstørrelse, kan muligens lede til økt løsning av tungmetaller i vannet i området. I tillegg vil vekten av stadig ny tilførsel av avgang kunne føre til at porevann med løste metaller kan presses ut i randen av deponiet. Slik utlekking er observert ved Hustadmarmor AS sitt sjødeponi i Frænfjorden (Baeten mfl., 2020). Endret oksygentilgang og derved endret redoksmiljø vil kunne påvirke tilstanden av et grunnstoff og lede for eksempel til metylering, noe som kan endre biotilgjengeligheten av grunnstoffene (Eggleton and Thomas, 2004; Morse, 1994; Simpson and Spadaro, 2016; Simpson mfl., 2012). Alkalinitet, temperatur og mengde organisk materiale spiller også en rolle (Fu and Lu, 2019; Niyogi and Wood, 2004; Pedersen mfl., 2017). For at løste metaller kan være giftige, må de foreligge i biotilgjengelig form. Dette betyr at de kan tas opp av biota og blir del av fysiologien. Dette kan føre til endret toksisitet (Paranjape and Hall, 2017). For å beskytte konsumenter er derfor overvåking av sjømatsarter i fjorder med sjødeponier viktig.

1.2 - Sjømatarter

Følgende arter har blitt fanget i denne studien i alle de tre undersøkte fjordene: hyse (Melanogrammus aeglefinus), torsk (Gadus morhua), gapeflyndre (Hippoglossoides platessoides) og sandflyndre (Limanda limanda).

I Repparfjorden og Revsbotnen ble det også fanget kveite (Hippoglossus hippoglossus), blåskjell (Mytilus edulis), smørflyndre (Glyptocephalus cynoglossus) og kloskate (Amblyraja radiata). Videre ble det i Repparfjorden og Bøkfjorden fanget kongekrabbe (Paralithodes camtschaticus). Det var usikker artsbestemming av krabben fra Bøkfjorden.

Kun i Bøkfjorden ble det fanget rødspette (Pleuronectes platessa), uer (Sebastes norvegicus), og dypvannsreke (Pandalus borealis).

Her følger noe mer informasjon om artene som var mest relevante for overvåking. Se også våre temasider https://www.hi.no/hi/temasider/arter.

1.2.1 - Hyse (Melanogrammus aeglefinus )

Hyse, også kalt kolje, tilhører torskefamilien og er lett gjenkjennelig på den svarte flekken under den fremste ryggfinnen og den mørke sidelinjen. Hyse er en bunnfisk, men spesielt liten hyse finnes ofte høyere oppe i vannmassene. Føden til hyse avhenger av størrelsen på fisken, men består hovedsakelig av ulike typer bunndyr som børstemark, muslinger og slangestjerner (Tam mfl., 2016). Yngre fisk spiser plankton oppe i sjøen, mens eldre og større fisk spiser reker, fiskeegg og fisk som tobis. Større hyse kan også beite oppe i sjøen, og på Finnmarkskysten vil den i tillegg beite på lodde. Hyse finnes på begge sider av Atlanterhavet og er oppdelt i bestander. I norske farvann er hyse forvaltningsmessig sett delt inn i nordøstarktisk hyse og nordsjøhyse, men det finnes også hyse i fjordene. Hyse og torsk har overlappende utbredelse i våre farvann, men det ikke er noen hysebestand i Østersjøen. Utbredelsesområdet til nordøstarktisk hyse regnes fra Stad (62°N) og nordover langs hele kysten, og i Barentshavet helt nord til vestsiden av Svalbard. Veksten hos hyse kan variere mye fra år til år og fra område til område, men i gjennomsnitt vokser den umodne hysen 7–9 cm per år. Veksten avtar med alderen. Hysen blir kjønnsmoden i 4–7-årsalderen, når den er mellom 40 og 60 cm lang. Den gyter spredt på dypt vann, og det viktigste gyteområdet er rundt Tromsøflaket, og lengre sør fra Ålesund og noe sørover (Doksæter and Johnsen, 2016). Gyting skjer også på lokale gytefelt i fjordene, ofte overlappende med kysttorsken. Gytingen foregår fra mars til juli, med hovedtyngde i slutten av april. Nordsjøhysen har utbredelse i Nordsjøen, Skagerrak og vest av Skottland, og gyter i perioden mars–mai i de sentrale delene av Nordsjøen, nord for ca. 55°N (Doksæter and Johnsen, 2016). Hysen produserer med ujevne mellomrom meget sterke årsklasser som kan dominere fangst og bestand gjennom flere år. Nordsjøhysen blir tidligere kjønnsmoden, stort sett når den er to til tre år gammel. Den er da ca. 28 cm lang. Fem år gammel er den 38–45 cm lang.

1.2.2 - Torsk (Gadus morhua)

Prøver av torsk ble samlet med tanke på sammenligning med andre fjorder. Torsk i fjorder (kysttorsk) har mer lokalt oppholdssted og er mindre (sjeldent over 20 kg og 1 m) enn de torskebestandene som finnes i åpent hav i Nordsjøen (nordsjøtorsk) eller Barentshavet (nordøstarktisk torsk, også kalt skrei). En del av kysttorsken ser også ut til å vandre ut i nærliggende havområder (banktorsk). Torsk spiser krepsdyr, skjell og fisk og har mager filet, rundt 1 % fett. Det finnes ikke fangstkvote og sikre fangsttall for kysttorsk sør for 62° N, og minstemålet her er 40 cm mens det er 44 cm lengre nord. Dette gjelder også fritidsfisket (Fiskeridirektoratet, https://www.fiskeridir.no/Fritidsfiske). Den magre torskefileten har generelt lave nivåer av miljøgifter, men kan ha forhøyet kvikksølvnivå i forurensede områder (Kögel mfl., 2016). Likevel skal det mye forurensning til, før kvikksølvnivåene i torskefilet er over grenseverdien for mattrygghet. Torsk lagrer fett i leveren, som derfor kan akkumulere høye nivåer av organiske miljøgifter. Både filet og lever av torsk er mye brukte forurensningsindikatorer.

1.2.3 - Kveite (Hippoglossus hippoglossus)

Kveite er den største beinfisken i norske farvann. Den har grå til brun øyeside og hvit blindside, og det har blitt fanget eksemplarer opp til 350 kg og 3,6 m lengde. Kveite er stedbunden og gyter ofte innenfor et svært begrenset område på dypt vann. På grunn av høy alder ved kjønnsmodning og ansamling i gytegroper er det innført en rekke begrensinger i fisket i gyteperioden. Kveite fiskes over store deler av Nord-Atlanteren, i stor grad som bifangst.

1.2.4 - Blåskjell (Mytilus edulis)

Blåskjell ble valgt til dette studiet fordi den er en egnet indikator for eventuell bly- og kadmiumforurensing. Blåskjell lever utbredt langs hele kysten. Den fester seg til fast underlag med byssustråder. Blåskjell gyter fra tidlig om våren til utpå sommeren. I produktive områder kan det være flere tusen individer per kvadratmeter. I fjorder med ferskvannstilførsel finnes de ned til 15 - 20 m, mens ved kysten holder de seg til grunnere vann (Havforskningsinstituttet, https://www.hi.no/hi/temasider/arter/blaskjell). Blåskjell fra ikke-forurensede områder inneholder lave nivåer av de fleste miljøgifter, men fordi de lett akkumulerer ulike stoffer benyttes de ofte som forurensningsindikator.

1.3 - Grunnstoff

Her følger en kort beskrivelse av egenskapene til et utvalg grunnstoffer som ble analysert.

Arsen (As) er et naturlig forekommende grunnstoff og er knyttet til blant annet gruvedrift. Det er brukt i trekonserveringsmidler (impregnering), fargestoff og mange industrielle prosesser, og har tidligere vært brukt som pesticid (insektgift). Uorganisk arsen (særlig arsenikk) som er vesentlig mer giftig enn organiske former, er kreftfremkallende og skader nervesystemet, huden, blodkar, hjerte og lunger. Fisk kan inneholde høye nivåer av arsen, men mesteparten av arsenet i fisk og krabbe er den organiske arsenforbindelsen arsenobetain, som ikke anses som giftig (EFSA, 2009; Vandermeersch mfl., 2015).

Bly (Pb) er et tungmetall som finnes naturlig i miljøet og i produkter som maling og batterier. Tidligere var det tilsatt bly i bensin. Gruvedrift og utslipp fra smelteverk har ført til forhøyede forekomster av bly i visse havner og fjordsystemer. Mennesker blir eksponert for bly hovedsakelig gjennom mat og forurenset luft. Bly er skadelig for nerver og hjernen. Fiskefilet oppkonsentrerer lite bly og betyr lite for inntaket av bly gjennom kosten, men konsentrasjonene kan være høyere i nyrer og lever hos fisk og i indre organer (bløtvev) hos skjell. Grenseverdier og tolerabelt ukentlig inntak (TWI) er gitt i tabell 1 og 2.

Jern (Fe) er en av de mest hyppige grunnstoffene på jorden og finnes praktisk talt overalt. Typiske bruksområder er som hovedkomponent i stål og i form av forskjellige oksidforbindelser som pigment. I sin metalliske form og i de fleste forbindelse er jern ikke giftig for mennesker. Jern inntar livsviktige roller i kroppen vår som f.eks. oksygentransport/-lagring og som «byggestein» i livsviktige enzymer. Økte konsentrasjoner av oppløst jern kan tilbakeføres til gruvedrift, metallindustrien og andre menneskeligere aktiviteter. Jern er mangelvare i sjøen, og blir delvis tilført gjennom støvstormer av jernholdig sand fra f.eks. ørkenområder. Jern er viktig for vekst av planteplankton – basisen av næringskjeden (Jickells mfl., 2005). Det er beregnet at tre kvart av løst jern i Nord-atlanteren er lufttransportert fra Sahara (Conway and John, 2014).

Kadmium (Cd) er et relativt sjeldent forekommende tungmetall som også finnes naturlig i jordskorpen. Tilførsler fra menneskelig aktivitet er knyttet til metallindustri og gruvedrift. Kadmium blir også transportert over lengre avstander via luft og havstrømmer. Typiske bruksområder er som stabilisator og pigment i plastprodukter, i galvanisering og i batterier. Kadmium er kreftfremkallende, forstyrrer hormonsystemet og kan gi nyreskade og beindeformiteter. Kadmium blir oppkonsentrert i lever og nyrer hos fisk og i fordøyelseskjertelen hos skalldyr. Vi finner stort sett lite kadmium i fiskefilet, da det oppkonsentreres i nyre og lever. Krepsdyr og særlig brunmat fra krabbe kan ha høye nivåer av kadmium. For grenseverdi og TWI se tabell 1 og 2.

Kobber (Cu) er i små mengder et livsviktig grunnstoff, men kan i forskjellige saltformer være giftig for en lang rekke livsformer, blant annet mennesker. Giftigheten av kobber mot mikroorganismer og alger utnyttes f.eks. i bunnstoff til båter eller ved å impregnere not i lakseoppdrett med gro-hemmende midler som inneholder kobberoksyd (Cu2O). Bortsett fra lakseoppdrett kan forskjellige andre menneskelige aktiviteter knyttes til økte konsentrasjoner av kobber i det marine miljøet, f.eks. utslipp fra smelteverk.

Krom (Cr) er en viktig komponent i rustfritt stål og en svært populær overflatebehandling for å beskytte underliggende metallkomponenter mot korrosjon. Tidligere ble blykromat (PbCrO4) hyppig brukt som pigment i fargen krom-gul, men denne har stort sett blitt utfaset på grunn av bekymringer rundt giftighet og negative miljøeffekter. Krom finnes i naturen hovedsakelig i tre forskjellige oksidasjonssteg +II, +III og +VI, hvorav sistnevnte danner svært giftige og kreftfremkallende forbindelser.

Kvikksølv (Hg) er et grunnstoff som er et flytende metall ved normal temperatur. Kvikksølv finnes naturlig i miljøet og frigis ved vulkansk aktivitet og annen avgassing fra jordens overflate. Menneskelige utslipp kommer fra metallindustri, gullutvinning og forbrenningsprosesser, og stoffet blir transportert over lange distanser via luft til arktiske strøk. Det er observert en global økning av kvikksølv i havvann siden den industrielle revolusjonen. Selv om det har vært en nedgang i utslipp de siste tiårene globalt (Li mfl., 2020), i Norge (www.norskeutslipp.no) og i totale lufttilførsler til Norge (Bohlin-Nizetto mfl., 2019), stiger nivåene av kvikksølv i fisk fortsatt (Miljøstatus). Hovedformen i fisk og annen sjømat er metylkvikksølv, som også er den mest giftige formen (Hong mfl., 2012). Metylkvikksølv kan skade nervene, hjertet, blodkar og immunforsvaret. Spesielt er hjernen til foster utsatt. Inntak av fisk er den største kilden til metylkvikksølv for mennesket. Kvikksølvnivået øker som regel med alderen og størrelsen på organismen. Kun totalkvikksølv ble analysert i foreliggende studie, men i filet av stor rovfisk utgjør metylkvikksølv ofte en svært høy andel av totalkvikksølv (Magalhaes mfl., 2007). Ut fra et føre-var prinsipp behandler vi derfor resultatene som om nær 100 % av kvikksølvet er metylkvikksølv. For grenseverdier og TWI se tabell 1 og 2.

Mangan (Mn) er, som Krom, en viktig komponent i rustfritt stål, men fungerer også som aktivt metallsentrum i noen enzymer. Særlig interessant er funksjonen av mangan i forbindelse med plantenes produksjon av gassformig oksygen (O2). I miljøet forekommer mangan stort sett i forbindelse med jernforekomster. Høye konsentrasjoner av mangan i det marine miljøet kan føre til bioakkumulering av mangan i en hel rekke marine organismer og kan føre til negative effekter, blant annet nedsatt immunforsvar.

Nikkel (Ni), som krom og mangan, er en viktig komponent i rustfritt stål. Den brukes eller ble brukt også i mynter i mange land; kanskje best kjent som US «nickel». Nikkel var også populært i produksjonen av smykker, men er på nedtur, som hovedsakelig skyldes relativt utbredt nikkel-allergi. Mens metallisk Ni hovedsakelig forårsaker hudreaksjoner, kan nikkelsalter og -komplekser være svært giftige og kreftfremkallende.

Selen (Se) selen blir brukt i glassproduksjon, i pigmenter og som halvledere i fotoceller. Spor av selen ansees som nødvendig for å opprettholde normale cellefunksjoner. Likevel kan selv små mengder av ren selen og selensalter være giftige og forårsake selenose. Menneskeskapt forurensning finnes som følge av gruveaktivitet, jordbruk, petrokjemisk og annet industriell aktivitet. I det marine miljøet opptrer selen som bioakkumulerende. Høye selen-nivåer i fisk kan føre til en rekke fysiologiske effekter, blant annet leverskade, nedsatt oksygentransport og redusert reproduktivitet.

Sink (Zn) er et essensielt grunnstoff. Sink er hyppig brukt i overflatebehandling (galvanisering), eller i legeringer (bronse og messing). Sink blir også brukt som offeranode for å beskytte skipsskrog og havinstallasjoner mot korrosjon. Videre har det vist seg at sink kan hindre klekking av egg hos kveite når sinkanoder benyttes på sjøvannspumper (Jelmert and Bergh, 1995). Det finnes bekymringer at forhøyete konsentrasjoner av sink i sjøvannet kan ha en negativ effekt på det mikrobielle økosystemet (Seto mfl., 2013). Forhøyet inntak av sink kan føre til letargi, ataksi og kobberunderskudd. Øvre tolerabelt inntaksnivå (UL; EFSA) er 25 mg/dag (EFSA, 2017).

Vanadium (V) blir brukt blant annet i legeringer av spesial (verktøy-) stål og er som kjemisk stoff (VO5) en viktig katalysator i den industrielle produksjonen av svovelsyre. I sjøvann er vanadium-konsentrasjoner mellom 1 og 2 µg/L vanlig. I noen marine alger finnes det enzymer med vanadium som aktivt metallsentrum, som f.eks. vanadium bromoperoksidase og vanadium nitrogenase. Vanadium er essensielt for sekkedyr (tunikater) som akkumulerer vanadium i høye konsentrasjoner, men funksjonen av selve akkumuleringen og involverte vanadium-bærende proteiner er fortsatt ukjent.

1.4 - Grenseverdier og tolerabelt inntak

For å beskytte befolkningen mot for høyt inntak av skadelige stoffer fra kommersielt omsatt mat, har EU og Norge fastsatt grenseverdier for hvor mye av ulike miljøgifter som er tillatt ved omsetning til humant konsum (EU, 2020 Commission regulation (EC) No 1881/2006 setting maximum levels for certain contaminants in foodstuffs. Consolidated version 2020.07.01 http://data.europa.eu/eli/reg/2006/1881/2020-07-01). Grenseverdiene er oppført i det norske lovverket under «Forskrift om visse forurensende stoffer i næringsmidler» (https://lovdata.no/dokument/LTI/forskrift/2018-07-09-1164). Det er forbudt å omsette produkter med nivå av et fremmedstoff over grenseverdiene. Lovfestede grenseverdier har stor relevans for omsetting, og det er grenseverdier for flere av grunnstoffene som vi har undersøkt i denne studien (tabell 1). Mange av grenseverdiene gjelder for sjømat.

Grenseverdier som gjelder primært fiskefilet, gjelder for hel fisk dersom hel fisk er ment å spises, og er satt for kvikksølv, kadmium og bly, mens for fiskelever er det ikke fastsatt noen grenseverdier for metaller. For arsen er det foreløpig ikke fastsatt noen øvre grenseverdi for fiskefilet eller -lever.


Stoff Enhet Fiskefilet Fiskefilet kveite Fiskelever Krepsdyr (muskel) Skjell
Kadmium (Cd)

mg/kg

µg/kg

0,05

50

0,05

50

-

0,5

500

1,0

1000

Kvikksølv (Hg)

0,5

500

1,0

1000

-

0,5

500

0,5

500

Bly (Pb)

0,3

300

0,3

300

-

0,5

500

1,5

1500

Tabell 1: Grenseverdier for miljøgifter i henholdsvis fiskefilet og fiskelever av hyse. Kilde: Forordning FOR-2015-07-03-870, som følger den siste konsoliderte versjonen av «commission regulation (EC) No 1881/2006 of 19 December 2006, setting maximum levels for certain contaminants in foodstuffs. For summer brukes “upper bound” limit of quantification (LOQ) konsentrasjoner per våtvekt (v.v.). Grenseverdiene er oppgitt i mg/kg som vanlig, og i µg/kg for sammenligning med resultattabellene i denne rapporten.

 

Ved fritidsfiske, der det spises mye fisk fra samme område, kan den langsiktige samlede belastningen av miljøgifter over tid være mer relevant. Ut fra studier av mengden av et stoff som en kan få i seg over lang tid uten forventet helseskade, har det blitt fastsatt tolerabelt ukentlig inntak (TWI, tabell 2). TWI beskriver mengden stoff en person kan få i seg ukentlig gjennom livet uten fare for negative helseeffekter. TWI brukes for kontaminanter som organiske miljøgifter og tungmetaller. Dersom det er mangel på data om et stoff, brukes betegnelsen PTWI, provisional tolerable weekly intake, som betyr midlertidig tolerabelt ukentlig inntak. «Midlertidig» viser til at vurderingen vil revurderes når det foreligger mer data. Konsumenter som spiser mye og ofte av enkelte typer mat som inneholder mye av et stoff, kan overskride tolerable inntaksverdier på sikt, selv om nivået er under de grenseverdiene som gjelder for lovlig omsetning. Det europeiske mattrygghetsorganet (EFSA) utarbeider nytte-risikovurderinger for å sikre at befolkningens helse blir ivaretatt.

 

  TWI Per kg kroppsvekt TWI Per person med 70 kg kroppsvekt
Kadmium (Cd) 2,5 µg 0,18 mg
Kvikksølv (Hg) 4 µg 0,28 mg
Metylkvikksølv 1,3 µg 91 µg

Tabell 2: Tolerabelt ukentlig inntak (TWI) av miljøgifter angir mengden av stoffet eller stoffgruppen som kan bli inntatt per uke i en lang periode uten å forårsake negative effekter. Tolerable inntak per uke som er relevante for denne studien, er ført opp i tabellen. Kilde: European food safety authority, EFSA http://www.efsa.europa.eu.

Bly er ikke oppført i tabellen fordi EFSA vurderte bly sist i 2010 og fant det mer helseskadelig enn ved tidligere vurderinger. Det tidligere TWI på 25 µg/kg kroppsvekt ble opphevet. Da EFSA ikke fant en nedre grense for hva som ga helseeffekter, ble det ikke fastsatt en ny verdi for det tolerable inntaket  (EFSA, 2010).

2 - Materiale og Metoder

Figur 1

Kart viser fangstområdene for blåskjell og fisk i Revsbotn og i Indre og Midt Repparfjord, samt gammelt og planlagt deponiområde.
Figur 1: Kart med fangststasjoner samt gammelt og påtenkt deponiområde. Svarte sirkler: lokaliteter for innsamling av blåskjell; blå ellipser: omtrentelig fangstområde for garnfisket (Revsbotn, Midt Repparfjord og Indre Repparfjord, sistnevnte med overlapp i det gamle og nye deponiområdet); blå tekst: arter fanget med garn; grønn ellipse viser det gamle deponiområdet; rødt felt er det planlagte deponiområdet. Kart, modifisert fra Fiskeridirektoratet: kart.fiskeridir.no .

 

2.1 - Prøvetaking

Fisk og skalldyr fra Repparfjorden ble samlet inn ved garnfiske om høsten i 2016 og 2017 i områdene angitt på kartet i figur 1. Fisket foregikk fra den innleide sjarken «Frida K» (van der Meeren, 2019). Det ble benyttet 45 garn i tre lenker, med garnlengde på 27 m, 50 masker garnhøyde og stolpelengde i maskene på 63 mm (10 garn) og 66 mm (35 garn). Fangsten ble pakket og frosset og sendt med Hurtigruten til Bergen. Blåskjell ble kun samlet inn i 2017 fra tidevannssonen ved lavvann. Figur 1 og tabell 3 gir oversikt over arter og fangststed, og de innsamlede artene ble levert hele og frossen til prøvemottaket for opparbeiding. Prøver fra Bøkfjorden ble tatt og sendt av Stian Røberg og levert hel og frossen til prøvemottaket for opparbeiding (se tabell 3).

Fangststed Antall, art og koordinater Nord Øst
Revsbotn 23 torsk 70°38-39’ 24°38-40’
30 hyse 70°39’ 24°39-40’
14 kveite 70°38’ 24°39’
3 samleprøver per 25 blåskjell 70°38’ 24°41’
2 gapeflyndre 70°39’ 24°40’
3 smørflyndre 70°38-39’ 24°39-40’
5 kloskate 70°39’ 24°39-40’
1 sandflyndre 70°39’ 24°40’
Midt Repparfjord 18 torsk 70°30’ 24°10’
16 hyse 70°30’ 24°10-11’
21 kveite 70°30’ 24°10’
3 samleprøver per 25 blåskjell 70°31’ 24°9’
5 gapeflyndre 70°30’ 24°10’
4 smørflyndre 70°30’ 24°11’
1 kloskate 70°30’ 24°11’
Indre Repparfjord 30 torsk 70°28’ 24°17-18’
15 hyse 70°28’ 24°17-18’
15 kveite 70°28’ 24°17-18’
3 samleprøver per 25 blåskjell 70°27’ 24°17’
31 gapeflyndre 70°28’ 24°17’
3 smørflyndre 70°28’ 24°18’
4 kloskate 70°28’ 24°18’
1 sandflyndre 70°28’ 24°18’
10 kongekrabbe 70°28’ 24°17’
Bøkfjord 3 torsk  

Koordinater ble ikke

notert for prøvene

fra Bøkfjorden

4 hyse
3 gapeflyndre
1 sandflyndre
2 rødspette
3 uer
1 lodde
1 sild
1 samleprøve reker
1 troll eller kongekrabbe

Tabell 3: Fangstområde (med koordinater dersom kjent), art og antall individer for alle prøver som ble analysert i denne prøven er oppgitt her. Fangst i 2016 og 2017 er slått sammen i tabellen for Repparfjorden og Revsbotn. I fet skrift: artene der det var tilstrekkelig antall individer på tre stasjoner for sammenligninger med statistisk relevans. For enklere lesbarhet ble artene markert i forskjellige farger.


2.2 - Opparbeiding fisk, krabbe, reker og blåskjell

Opparbeidingen ble gjennomført ved prøvemottaket på Havforskningsinstituttet. Rund fisk ble tint, og lengde, vekt og kjønn bestemt. Fra hver fisk ble det tatt ut 200 g filetprøve av den siden som lå øverst under tining av fisken, for å unngå kontaminasjon av filetprøven med innmaten som kan ha høyere konsentrasjoner av miljøgifter enn fileten. Filet og lever fra hver fisk ble hver for seg homogenisert i en blender. Filetprøvene ble frysetørket, og tørrstoffinnhold ble beregnet. For krabber ble bredden på ryggskjoldet, vekt og kjønn bestemt. Av krabbene ble ryggskjoldet (carapax) og klør kokt hver for seg. Klokjøttet ble tatt ut, homogenisert og frysetørket. Carapax ble åpnet, og gjellene og paven ble fjernet. Brunmaten ble tatt ut, frysetørket og deretter homogenisert. For blåskjell og reker ble lengde, bredde og vekt målt. Innmat og muskelkjøtt ble henholdsvis samlet i samleprøver med 25 individer med lik andel i våtvekt av hvert individ. Prøvene ble homogenisert og frysetørket før de ble sendt til analyse.

2.3 - Praktisk analyse

2.3.1 - Kvantifiseringsgrenser og måleusikkerhet

Viktige elementer i vurdering av analyser er deteksjonsgrense (limit of detection, LOD), kvantifiseringsgrense (limit of quantification, LOQ) og måleusikkerhet. LOD er den minste konsentrasjonen av en analytt som kan skilles fra en blankprøve med angitt sannsynlighet, estimert fra gjennomsnittet av blankprøven med avvik og analytisk sensitivitet. LOQ er den laveste konsentrasjonen en metode kan måle nøyaktig mengde av et stoff. Måleusikkerhet er et tall på feilmarginene til analyseresultatet. For mange miljøgifter er denne i området 20-40 %. Ringtester, der prøver av det samme prøvematerialet blir målt av ulike laboratorium i Europa, sikrer at den brukte metoden gir mest mulig riktig resultat. LOQ og måleusikkerhet for de ulike analysemetodene benyttet i denne undersøkelsen er spesifisert i tabell 4. Analysemetodene er akkreditert i henhold til NS-ISO 17025, med unntak for enkeltstoffer, angitt i tabell 4.

2.3.2 - Tørrstoffinnhold ved frysetørking

Frosset, homogenisert prøvemateriale ble satt i en frysetørker der vannet trekkes ut ved vakuum ved at is går over direkte til damp. Metoden følger NMKL-prosedyre nr. 3, 4, 5 og 9, og Havforskningsinstituttets valideringsdokument. Tørrstoffinnhold ble bestemt ved å veie prøven før og etter frysetørking. Metoden er akkreditert.

2.3.3 - Fettinnhold med etylacetat

For fiskelever er det brukt bestemmelse av fettinnhold med etylacetat. Prinsippet for metoden for fettbestemmelse er gravimetri. Innveid prøve ble ekstrahert med etylacetat, etylacetat ble dampet av og fettet ble veid. Det er kun ikke-polart fett (lagringsfett) som blir bestemt. Metoden er akkreditert, og laboratoriet har deltatt i ringtester med metoden siden 1998 med godt resultat.

2.3.4 - Grunnstoff med ICP-MS

For bestemmelse av grunnstoffer ble det veid inn 0,2-0,25 g frysetørket materiale for filet, og vått, homogenisert materiale av lever. Prøvene ble dekomponert i ekstra ren salpetersyre blandet med hydrogenperoksid og varmet opp i mikrobølgeovn (Milestone-MLS-1200). Kvantifisering ble utført med ICP-MS (induktivt koblet plasma-massespektrometri) med ekstern kalibrering (standardkurve) til bestemmelse av arsen (As), bly (Pb), jern (Fe), kadmium (Cd), kobber (Cu), kobolt (Co), kvikksølv (Hg), mangan (Mn), molybden (Mo), selen (Se), sink (Zn), sølv (Ag) og vanadium (V). Gull ble tilsatt standardløsningene for å stabilisere kvikksølvionene, og rhodium (for Mo, Ag, Cd, Pb og Cu), thulium (for Hg) og germanium (for V, Cr, Mn, Fe, Co Ni, Zn, As og Se) ble anvendt som interne standarder for å korrigere for eventuell drift i instrumentet (NMKL, metode nr. 186, 2007 og; NMKL-prosedyre nr. 3, 4, 5 og 9, og Havforskningsinstituttets valideringsdokument, Nordisk metodikkomité for næringsmidler, 2007; se også Julshamn mfl., 2007). Riktighet og presisjon for metallbestemmelsene har blitt kontrollert ved analyser av sertifisert referansemateriale og deltakelse i ringtester. Metoden er akkreditert for arsen, bly, kadmium, kobber, kvikksølv, selen og sink. Måleusikkerhet og LOQ for de ulike elementene er gitt i tabell 4.

2.3.5 - Tallbehandling og statistiske tester

I denne rapporten er noen av de analyserte verdiene for stoffgruppene under kvantifiseringsgrensene (limit of quantification, LOQ). Det vil si at nivåene av det analyserte stoffet er så lave at man, med de brukte metodene, ikke kan kvantifisere mengden. Da blir resultatet gitt som lavere enn LOQ (<LOQ). Kvantifiseringsgrensen avhenger bl.a. av hvor mye prøvemengde som veies inn og tørrstoffinnholdet i prøven, og blir beregnet for hver enkelt analytt. For å kunne ta med alle resultatene i beregningene har vi satt konsentrasjoner som er mindre enn LOQ, lik LOQ. Dette prinsippet kalles for «upperbound LOQ». Man anvender upperbound summering på fremmedstoffer ut ifra et føre-var prinsipp når man vurderer mattrygghet (tabell 1). På denne måten unngår man å undervurdere belastningen med et fremmedstoff. Det reelle tallet, som ikke er kvantifiserbart, vil da, ved lave nivå, være lavere enn LOQ. Man kan tenke seg at «upperbound LOQ» prinsippet estimerer en «worst case»-situasjon. I denne rapporten er gjennomsnittsverdier og summerte verdier konsekvent gitt som «upperbound». Alle tallbehandlinger og statistiske analyser ble utført ved hjelp av programvaren Statistica™ 13 (StatSoft Inc., Tulsa, USA) og Excel (Office, Microsoft) som også ble brukt for å lage de grafiske fremstillingene. Analyseresultater er gitt på våtvekt (v.v.). LOQ i tabell 4 er på den analyserte prøven og har derfor forskjellig utfall avhengig om prøven er analysert våt (lever) eller tørr (filet).

I noen tabeller er resultatene, konsentrasjonene av grunnstoff i vev, oppgitt som µg/kg istedenfor mg/kg som er mer konvensjonelt. Dette er for å kunne lettere lese forskjellene mellom stasjonene der konsentrasjonene var så lave at mg/kg ville ha resultert i mange 0 etter kommaen. 1 mg tilsvarer 1000 µg, og for eksempel 4 µg/kg bly tilsvarer 0,004 mg/kg bly (Boks 1).

Boks 1: Forhold mellom µg og mg med eksempler.

1000 µg = 1 mg

4 µg/kg bly  = 0,004 mg/kg bly

8 µg/kg kvikksølv = 0,008 mg/kg kvikksølv

 

Ved sammenligning av grupper, ble signifikanstester utført med Kruskal-Wallis ANOVA fulgt av ikke-parametriske 2-tailed multiple uavhengige sammenligninger.

Analytt Metode LOQ Måleusikkerhet
Fettinnhold Gravimetri 0,1 g/100 g (LOD) 5 %
Arsen, selen, sølv ICP-MS 0,01 mg/kg 20 %, 25 %, 25 %
Bly, krom*, mangan* 0,03 mg/kg 25 %, 30 %, 20 %
Kadmium, vanadium 0,005 mg/kg 20 %
Kobolt* 0,02 mg/kg 20 %
Kobber, jern, molybden* 0,1 mg/kg 25 %, 25 %, 20 %
Kvikksølv 0,005 mg/kg 20 % (0,5-4,6 mg/kg) 25 % (0,05-0,5 mg) 70 % (0,005-0,05 mg/kg)
Nikkel* 0,3 mg/kg 30 %
Tinn 0,5 mg/kg 20 %

Tabell 4Liste av analyttenes analyseparametere med akkrediteringsstatus, LOQ og måleusikkerhet. Alle analytter bortsett fra analytter merket med * analyseres akkreditert. LOQ er gitt per tørrvekt og er basert på fast innveid mengde prøvemateriale. LOQer er forskjellige for ulike kongenere. Måleusikkerhet er lavere med økende konsentrasjon av analytten. 

3 - Resultater og Diskusjon

3.1 - Fysiske parametere

Fysiske parameter er oppgitt i tabell 5, signifikante forskjeller i fysiske parametere er oppført i tabell 6 i rødt. Alle andre forskjeller var ikke statistisk signifikante.

Torsk: Det var ingen signifikant forskjell for gjennomsnitt av lengde og vekt for torsk tatt på de tre stasjonene. Levervekten av torsk fanget i Revsbotn var i snittet signifikant lavere enn fra torsk fanget i Repparfjorden. Kondisjon (K-faktoren) var i snitt: Revsbotn 1,06; Midt Repparfjord 0,92; Indre Repparfjord 1,03.

Hyse: Størrelsesforskjellene for hyse var signifikante med p<0,05 mellom alle stasjonene i en two-tailed t-test. Hyse fanget i Midt Repparfjorden var kortere enn på de andre to stasjonene. Videre var hyse fra Revsbotn i gjennomsnittet signifikant tyngre. K-faktorene var i snitt for Revsbotn 1,29, Midt Repparfjord 0,99 og Indre Repparfjord 1,02. Dersom man fjerner store og små hyser fra datasettet og kun ser på hyser mellom 33 og 60 cm, er stasjonsforskjellene i lengden på hyse ikke signifikante i en t-test. Sammenligning av hyse i samme størrelsesgruppe vil også være viktig for å sammenligne innhold av grunnstoffer i fisken mellom stasjoner og fjorder, siden eldre og yngre individer kan ha ulike nivåer av grunnstoffer ut fra tid eksponert for bioakkumulering.

Kveite: Forskjellene var ikke signifikante for gjennomsnittslengde, -vekt og -levervekt for kveite tatt på de tre stasjonene. Gjennomsnittet av K-faktoren var 1,52 for Revsbotn, 1,27 for Midt Repparfjord og 1,23; Indre Repparfjord.

Blåskjell: For blåskjell ble det tatt tre samleprøver. I en two-tailed t-test var prøvene fra Revsbotn tydelig mindre i bredden enn prøvene fra hver av stasjonene fra Repparfjorden. Forskjell i størrelsen må tolkes med forsiktighet. Ved lavt prøveantall er dette ikke representativt for populasjonen, men kan være tilfeldig. I dette utvalget må likevel forskjellene i grunnstoffkonsentrasjonene tolkes i lyset av størrelsesforskjellene.


Art og parameter Revsbotn Midt Repparfjord Indre Repparfjord Bøkfjord

Torsk [N]

Lengde [cm]

 

Vekt [kg]

 

Levervekt [g]

23

60 (65) ± 4

(29-96) a

2,3 (2,4) ± 0,3

(0,2-6,5) a

80 (34) ± 9

(4-172) a

18

62 (63) ± 1

(45-70) a

2,2 (2,3) ± 0,1

(0,7-3,5) a

72 (76) ± 6

(25-119) b

30

63,9 (64,5) ± 0,9

(56-80,5) a

2,7 (2,4) ± 0,2

(1,6-5,1) a

80 (67) ± 8

(21-185) b

3

47 (34) ± 11

(34-74)

1,6 (0,4) ± 1,0

(0,4-3,9)

73 (8) ± 55

(4-207)

Hyse [N]

Lengde [cm]

 

Vekt [kg]

 

Levervekt [g]

30

44 (34) ± 3

(24-72) a/b

1,1 (0,4) ± 0,2

(0,1-3,3) a/b

37 (11) ± 8

(2-151) a

31

37 (36) ± 1

(27-58) a

0,47 (0,41) ± 0,06

(0,17-1,67) a

8 (6) ± 1

(2-32) b

30

41 (40) ± 1

(32-60) b

0,70 (0,57) ± 0,08

(0,34-1,96) b

18 (10) ± 4

(4-123) a

4

39 (37) ± 2

(35-45)

0,6 (0,5) ± 0,1

(0,4-0,9)

20 (17) ± 4

(12-33)

Kveite [N]

Lengde [cm]

 

Vekt [kg]

 

Levervekt [g]

14

54 (47) ± 5

(38-87) a 

2,4 (1,1) ± 0,7

(0,5-8,4) a

25 (11) ± 8

(4-92) a

21

54 (53) ± 2

(41-77) a

2 (1,7) ± 0,3

(0,8-6,2) a 

24 (10) ± 6

(6-99) a

15

58 (53) ± 3

(46-80) a

2,4 (1,7) ± 0,4

(1-7) a

23 (13) ± 8

(2-128) a

X

Blåskjell [N]

Bredde [cm]

 

Vekt [g]

3 samleprøver

3,09 (3,09) ± 0,04

(3,01-3,16) a

61 (61) ± 3

(56-65) a

3 samleprøver

4,83 (4,81) ± 0,06

(4,72-4,95) a/b

308 (307) ± 10

(287-329) b

3 samleprøver

4,90 (4,93) ± 0,06

(4,76-5,02) b

263 (267) ± 9

(242-279) a/b

X

Gapeflyndre [N]

Lengde [cm]

 

Vekt [kg]

 

Levervekt [g]

2

39 ± 3

(35-43)

0,43 ± 0,08

(0,32-0,54)

4 ± 1

(3-6)

5

36 (35) ± 2

(31-45)

0,38 (0,30) ± 0,08

(0,21-0,7)

4 (3) ± 1

(2-9)

31

35,5 (35) ± 0,7

(29,5-44)

0,37 (0,40) ± 0,02

(0,18-0,65)

4,2 (3,9) ± 0,3

(1,8-6,9)

3

30 (30) ± 3

(24-35)

0,20 (0,21) ± 0,05

(0,09-0,30)

0,9 (0,7) ± 0,2

(0,6-1,4)

Kloskate [N]

Lengde [cm]

 

Vekt [kg]

 

Levervekt [g]

5

48 (49) ± 3

(38-53)

1 (1) ± 0,1

(0,5-1,3)

37 (39) ± 6

(19-54)

1

45

0,8

13

4

44 (45) ± 2

(38-50)

0,8 (0,8) ± 0,1

(0,4-1)

27 (30) ± 4

(16-34)

X

Smørflyndre [N]

Lengde [cm]

 

Vekt [kg]

 

Levervekt [g]

 

3

40 (40) ± 1

(37-42)

0,4 (0,39) ± 0,05

(0,30-0,49)

2,4 (2,7) ± 0,4

(1,4-3,1)

4

32 (32) ± 1

(29-34)

0,28 (0,26) ± 0,03

(0,21-0,36)

3,8 (3,1) ± 0,8

(2,4-6,5)

3

36,8 (37,5) ± 0,8

(35-38)

0,33 (0,34) ± 0,02

(0,28-0,36)

1,9 (1,9) ± 0,2

(1,5-2,2)

X

Kongekrabbe* [N]

Skjoldbredde [cm]

 

Vekt [kg]

 

X

X

10

11,1 (10,8) ± 0,7

(8-13,9)

0,8 (0,7) ± 0,2

(0,3-1,8)

1

15

 

1

 

Rødspette [N]

Lengde [cm]

 

Vekt [kg]

 

Levervekt [g]

X

 

X

 

X

 

2

30,8 ± 0,2

(30,5-31)

0,350 ± 0,001

(0,350-0,350)

3,9 ± 0,2

(3,7-4,2)

Sandflyndre [N]

Lengde [cm]

Vekt [kg]

Levervekt [g]

1

40

0,6

9

X

1

33

0,3

2

1

31

0,3

5

Uer [N]

Lengde [cm]

 

Vekt [kg]

 

Levervekt [g]

X

 

X

 

X

 

3

26 (28) ± 2

(21-30)

0,27 (0,28) ± 0,07

(0,12-0,41)

5 (5) ± 2

(2-10)

Reker [N]

Samleprøve

X

 

X

 

X

 

1

Tabell 5: Fysiske basisparametre av fangsten, gitt som Gjennomsnitt (median) ±  sem (min-maks). Grønt, tilstrekkelig antall individer per art per stasjon for sammenligning av mulig statistisk signifikans. X angir at prøve ikke ble samlet inn. Blåskjell: Enkeltverdiene for beregningene er basert på gjennomsnittet for hver av de tre parallelle samleprøvene per stasjon. * ved Bøkfjord eventuelt trollkrabbe – ikke entydig artsidentifisert; sem: standard error of the mean (standardfeil av gjennomsnittet). For hyse, torsk, kveite og blåskjell: Statistisk ikke forskjellige grupper er markert med samme bokstav, statistisk forskjellige med forskjellig bokstav (uten Bøkfjord).

 

P-verdier

Revsbotn/

Midt Repparfjord

Revsbotn/

Indre Repparfjord

Midt Repparfjord/

Indre Repparfjord

Bøkfjord/

Indre Repparfjord

Torsk
Levervekt 0,03 0,006 1 -
Hyse (all fisk)/Hyse (kun mellom 33-60 cm)

Lengde

Vekt

Levervekt

0,9/1

0,7/1

<0,005/0,02

0,4/0,9

0,3/0,9

1/0,4

0,03/0,2

0,01/0,1

0,02/0,2

-

-

-

Gapeflyndre
Levervekt 1 1 1 0,02
Blåskjell

Bredde

Vekt

0,2

0,02

0,08

0,5

0,5

0,5

-

Tabell 6: Resultat av Kruskal-Wallis test, gitt som p-verdi, for fysiske parametere innen en art, der minst en stasjonsforskjell hadde en p-verdi <0,1. P-verdier <0,1 er markert i rødt.


3.2 - Grunnstoffer

Vi sammenlignet konsentrasjonene av grunnstoffer på stasjonsnivå for torsk, hyse, kveite og blåskjell fra Revsbotn og Repparfjorden med statistiske tester. Av de andre artene var det for få individer for å danne et godt nok grunnlag for statistikk. Ag, Cd, Co, Mo og Ni i muskel var stort sett ved eller knapt over LOQ med lite varians. Dersom mer enn 50 % av antall prøver fra en matrise var under LOQ (tabell 7, svarte tall) vil disse heller vise forskjell i kvantifiseringsgrensen, som også avhenger av mengde tørrstoff, enn en stasjonsforskjell. Disse er ikke tatt med videre i de statistiske analysene, og kun median, minimum og maksimum er oppgitt. Videre kan stasjonene fra Revsbotn og Repparfjord ikke sammenlignes med individene fra Bøkfjorden, siden det var for få individer for alle artene her. Resultatene for Bøkfjorden kan bare brukes som pekepinn og finnes derfor kun i tabeller i vedlegget. Gjennomsnittsverdiene og standardfeil er gitt per art og stasjon (se eksempel for arsen i tabell 9). Hyse har vist seg å ha de største og mest signifikante stasjonsforskjellene for de fleste grunnstoffene sammenlignet med andre arter. Hyse hadde også en signifikant forskjell på lengde og vekt mellom Midt og Indre Repparfjord. Av den grunn har vi også analysert en mindre gruppe av de samme hysene som kun inkluderer alle hyser mellom 33 og 60 cm, og som ikke hadde signifikant stasjonsforskjell på lengde og vekt. Dette viser i noen tilfeller at stasjonsforskjeller i grunnstoffkonsentrasjoner ikke skyldes størrelsesforskjell av hysene. Alle signifikante forskjeller i grunnstoffnivå er oppført i tabellene i rødt.

 

    Ag As Cd Co Cr Cu Fe Hg Mn Mo Ni Pb Se V Zn
Muskel Hyse 18 100 54 10 58 100 100 100 100 0 12 75 100 100 100
Torsk 11 100 10 8 17 100 100 100 100 0 10 4 100 65 100
Kveite 0 100 8 2 16 100 100 100 100 0 2 2 100 10 100
Gapeflyndre 2 100 7 2 36 100 100 100 100 2 12 32 100 100 100
Smørflyndre 0 100 30 10 70 100 100 100 100 0 10 90 100 100 100
Kloskate 30 100 90 10 70 100 100 100 100 0 10 80 100 90 100
Kongekrabbe 70 100 100 100 100 100 100 100 100 30 0 20 100 100 100
Innmat Blåskjell 78 100 10 8 18 100 100 100 100 0 10 4 100 65 100
Hepatopankreas Kongekrabbe 100 100 100 100 89 100 100 100 100 67 44 78 100 100 100
Lever Hyse 100 100 100 55 89 100 100 98 100 90 60 92 100 100 100
Torsk 100 100 100 79 22 100 100 100 100 96 0 6 100 100 100
Kveite 100 100 100 92 56 100 100 100 100 83 8 4 100 100 100
Gapeflyndre 55 100 97 97 100 100 100 100 100 71 34 53 100 100 100
Smørflyndre 70 100 100 100 100 100 100 100 100 80 50 90 100 100 100
Kloskate 100 100 100 100 70 100 100 100 100 100 10 90 100 100 100

Tabell 7: Antall prøver i prosent over LOQ. Verdier ≥50 er markert i grønn. Data fra disse matrisene ble analysert videre.


3.2.1 - Total-arsen (As)

Total-arsen i fiskefilet hadde høyere konsentrasjon i Repparfjorden enn i Revsbotn for både torsk, hyse og kveite. I hysemuskel og lever var konsentrasjonene av arsen signifikant høyere på begge stasjonene i Repparfjorden sammenlignet med Revsbotn (tabell 8 og 9, figur 2). Forskjellen mellom Revsbotn og Midt Repparfjord var også signifikant for torskemuskel. Stasjonsforskjellen var størst i hysemuskel, fulgt av torskemuskel, mens forskjellen i kveite var liten og ikke statistisk signifikant. Av fiskearter der det ble samlet inn et tilstrekkelig antall individer for å være representative for fangstområdet (torsk, hyse og kveite), viste hyse mest statistisk signifikant forskjell mellom prøvene fra Revsbotn og prøvene fra Repparfjorden. For lever og filet var nivåene av arsen signifikant høyere i både Midt og Indre Repparfjord sammenlignet med Revsbotn. For torsk var nivåene av arsen kun signifikant høyere i Midt Repparfjord sammenlignet med Revsbotn, og bare i filet, ikke i lever. Blåskjell var analysert som samleprøver. Blåskjell representerer imidlertid bunnmiljøet i fjorden på en dårligere måte sammenlignet med voksen hyse som i stor grad beiter på bunndyr (se også våre temasider https://www.hi.no/hi/temasider/arter/hyse/hyse-i-nordsjoen-skagerrak-og-vest-av-skottland og https://www.hi.no/hi/temasider/arter/hyse/nordostarktisk-hyse).

Figur 2

 

Arsen konsentrasjoner i matriser der det var signifikante stasjonsforskjell. Forskjellene var størst i hyse muskel fulgt av hyse lever og så torsk muskel. Konsentrasjonene var høyere i Repparfjorden enn i Revsbotn. I hyse lever var konsentrasjonen høyest i Indre Repparfjord.
Figur 2: Konsentrasjoner av total-arsen i de artene og vev som var signifikant forskjellige mellom stasjoner. Horisontal strek, gjennomsnitt; trekant, median; søyle, standardfeil (sem); feilfelt, konfidensintervall.

Total-arsen (As) mg/kg:

Gjennomsnitt (median) ± sem

Min-maks [N]

Revsbotn Midt Repparfjord Indre Repparfjord
Hyse

Muskel

 

Lever

2,7 (2,4) ± 0,3

0,7-8,5 [30] a

3,9 (3,9) ± 0,3

1,7-9,0 [24] a

5,6 (5,2) ± 0,6

1,3-18,0 [31] b

7,8 (7,8) ± 0,7

3,0-14,0 [21] b

5,6 (5,3) ± 0,6

1,1-15,0 [30] b

9,7 (8,0) ± 1,3

2,0-21,0 [21] b

Hyse 33-60 cm

Muskel

 

Lever

3,1 (2,2) ± 0,8

0,7-8,5 [9] a

4,58 (4,00) ± 0,08

2,90-9,00 [6] a

6,9 (5,9) ± 0,8

1,7-18,0 [21] b

8,3 (9,0) ± 0,8

3,0-14,0 [16] b

5,9 (5,5) ± 0,7

1,1-15,0 [28] b

10 (8) ± 1

2-21 [20] b

Torsk

Muskel

 

Lever

1,5 (1,7) ± 0,2

0,2-3,0 [23] a

4,1 (4,2) ± 0,4

1,3-7,2 [23] a 

2,6 (2,3) ± 0,3

1,0-4,8 [18] b

3,8 (4,4) ± 0,4

1,9-5,2 [7] a

2,3 (2) ± 0,3

0,3-5,3 [30] a/b

4,2 (4,0) ± 0,3

2,1-9,2 [30] a

Kveite

Muskel

 

Lever

5,0 (4,9) ± 0,3

3,2-7,0 [14] a

7 (5) ± 2

3-21 [12] a

5,9 (5,7) ± 0,3

2,6-9,3 [21] a

7,0 (6,0) ± 0,9

3,0-20,0 [21] a

5,5 (5,3) ± 0,2

3,8-7,2 [15] a

6,1 (5,8) ± 0,6

3,1-12,0 [15] a

Blåskjell Innmat

1,80 (1,70) ± 0,08

1,70-2,00

[3 samleprøver] a

1,8 (1,8) ± 0

1,8-1,8

[3 samleprøver] a

1,80 (1,80) ± 0,05

1,70-1,90

[3 samleprøver] a

Gapeflyndre

Muskel

 

Lever

7,6 ± 0,9

6,3-8,8 [2]

[2]

X

8 (6) ± 2

3-17 [5]

16 (8) ± 5

6-37 [5]

7,8 (6,9) ± 0,8

4,6-30,0 [31]

12 (6) ± 4

3-120 [31]

Kloskate

Muskel

 

Lever

42 (32) ± 10

29-85 [5] a

16 (12) ± 4

10-32 [5]

60 [1]

13 [1] a

X

34 (33) ± 3

28-43 [4] a

8,7 (8,7) ± 0,6

7,3-10,0 [4]

Smørflyndre

Muskel

 

Lever

33 (27) ± 9

18-54 [3] a

12 (8) ± 5

7-21 [3]

8,3 (8,3) ± 0,8

6,5-10,0 [4] a

14 (15) ± 3

6-21 [4]

12,3 (12,0) ± 0,7

11,0-14,0 [3] a

4,1 (4,3) ± 0,4

2,3-5,8 [3]

Kongekrabbe

Muskel

 

Hepatopankreas

X

 

X

X

 

X

11,8 (11,5) ± 0,9

8,2-16,0 [11]

9,1 (9,1) ± 0,7

5,0-14,0 [9]

Sandflyndre

Muskel

 

Lever

8,3 [1]

 

24 [1]

X

 

X

3 [1]

 

3,8 [1]


Tabell 8: Analyseresultater for total-arsen (As) fra Revsbotn og to stasjoner i Repparfjorden. X angir at prøve ikke ble samlet inn. Grønt, stasjoner innenfor matrisen med statistisk signifikant forskjell, tilstrekkelig antall individer og ≥ 50 % av prøvene >LOQ. For hyse, torsk, kveite og blåskjell: Statistisk ikke forskjellige grupper innenfor samme matrise (linje) er markert med samme bokstav, statistisk forskjellige med forskjellig bokstav.

De høyeste gjennomsnittskonsentrasjonene av arsen i hyse (5,6 ± 0,6 mg/kg for muskel, 9,7 ± 1,3 mg/kg for lever) fra de to undersøkte fjordene var betydelig lavere enn gjennomsnittskonsentrasjonen i hyse i hele det norske fiskeriområdet, som ble funnet å være 10,6 ± 0,2 mg/kg for muskel, og 15,6 ± 0,6 mg/kg for lever (Kögel mfl., 2021). Generelt hadde kloskate i det undersøkte området de høyeste konsentrasjonene av arsen i filet (41 ± 6 mg/kg som gjennomsnitt over alle stasjoner), fulgt av smørflyndre (17 ± 4 mg/kg). De fleste undersøkte fisk (kveite, torsk, hyse, gapeflyndre og sandflyndre) hadde høyere konsentrasjoner av arsen i lever enn i filet, med unntak av kloskate, smørflyndre og uer. Kongekrabbe hadde lavere konsentrasjoner av arsen i brunmat (hepatopankreas) enn i klokjøtt.

P-verdier

Arsen (As)

Revsbotn/

Midt Repparfjord

Revsbotn/

Indre Repparfjord

Midt Repparfjord/

Indre Repparfjord

Hyse muskel

Hyse muskel, 33-60 cm

Hyse lever

Hyse lever 33-60 cm

<0,005

0,005

<0,005

0,08

<0,005

0,06

<0,005

0,05

1

0,7

1

1

Torsk muskel 0,02 0,1 1

Tabell 9: Resultat av Kruskal-Wallis test, gitt som p-verdier, for matriser med arsenkonsentrasjoner, der minst en stasjonsforskjell hadde en p-verdi <0,1. P-verdier <0,1 er markert i rødt , og omfatter analyse av et tilstrekkelig antall prøver. Angitte lengder (33-60 cm) viser til et størrelsesutvalg av individer som er testet.

 

3.2.2 - Bly (Pb)

Det ble kun funnet signifikante stasjonsforskjeller for blykonsentrasjoner for hyse, ikke for andre arter. Her var det en tydelig og signifikant gradient i både filet og lever fra Revsbotn over Midt Repparfjord til Indre Repparfjord, som viste de høyeste konsentrasjonene (tabellene 10 og 11, figur 3). Konsentrasjonene av bly i hyse var veldig høye, med stasjonsgjennomsnitt på opptil 0,027 ± 0,004 mg/kg  i muskel og 0,715 ± 0,141 mg/kg i lever. Høyeste målte verdi var 2,1 mg/kg i lever på alle tre stasjonene i Repparfjorden og Revsbotn sett under ett. Sammenlignet med hyse i basisundersøkelsen fra hele det norske fiskeriområdet er dette veldig høyt. I basisundersøkelsen var høyeste målte konsentrasjon av bly i hyselever 0,75 mg/kg, med en median på 0,005 mg/kg for muskel og rundt 0,03 mg/kg for lever (Kögel mfl., 2021). I basisundersøkelsene ga det ingen mening å oppgi et gjennomsnitt, fordi over 50 % av prøvene hadde konsentrasjoner under LOQ. For torsk og kveite var dette også tilfellet i Repparfjorden og Revsbotn. Siden disse konsentrasjonene var overraskende for oss, ble to prøver analysert der det var hyselever igjen, med samme resultat som første gang. En av prøvene hadde et toppnivå på 2,1 mg/kg, mens en prøve hadde en lavere konsentrasjon. Konsentrasjonene i fiskefilet er likevel under grenseverdien for fiskefilet på 0,3 mg/kg. Generelt fantes de høyeste nivåene på bly i hyselever og i lever av smørflyndre (med et stasjonsgjennomsnitt på opp til 0,583 ± 0,284 mg/kg), fulgt av lever hos kloskate (0,209 ± 0,077 mg/kg) og så i blåskjell (0,127 ± 0,005 mg/kg) og hepatopankreas hos krabbe (0,058 ± 0,017 mg/kg) fulgt av de andre lever for de andre fiskeartene. Deretter fulgte hysefilet (0,012 ± 0,005; 0,019 ± 0,003; 0,0027 ± 0,004 mg/kg), smørflyndrefilet (0,020 ± 0,009; 0,014 ± 0,002; 0,012 ± 0,001 mg/kg), kloskatefilet (0,011 ± 0,002; 0,025; 0,011 ± 0,002 mg/kg) og gapeflyndrefilet (0,008 ± 0,0007; 0,0058 ± 0,0008; 0,013 ± 0,008 mg/kg). For torsk og kveite var nivåene av bly både i filet og lever under LOQ for de fleste prøvene. Ingen av prøvene hadde konsentrasjoner på bly over EU og Norges grenseverdier.


Figur 3

 

Bly konsentrasjoner i matrisene der det var signifikante stasjonsforskjell: kun i hyse muskel og hyse lever. Konsentrasjonene i hyse lever fulgte trenden der Indre Repparfjord har høyest konsentrasjon.
Figur 3: Stasjonsforskjell for gjennomsnittskonsentrasjoner av bly i de artene og vev som viste signifikante forskjeller mellom stasjoner. Horisontal strek, gjennomsnitt; trekant, median; søyle, standardfeil (sem); feilfelt, konfidensintervall.

Bly (Pb) µg/kg

Gjennomsnitt (median) ± sem

Min-maks [N]

Revsbotn Midt Repparfjord Indre Repparfjord
Hyse

Muskel

 

Lever

11 (5) ± 5

4-76 [15] a

188 (25) ± 89

10-2100 [24] a

19 (13) ± 3

4-66 [31] b

626 (250) ± 145

20-2100 [21] b

27 (23) ± 4

5-92 [30] b

715 (400) ± 141

20-2100 [21] b

Hyse, 33-60 cm

Muskel

 

Lever

5,4 (5,0) ± 0,4

4,0-8,0 [9] a

34 (24) ± 9

10-78 [6] a

21 (16) ± 3

4-66 [21] b

710 (450) ± 55

55-2100 [16] b

27 (20) ± 4

5-92 [28] b

739 (420) ± 146

20-2100 [20] b

Torsk

Muskel

 

Lever

4-5 (LOQ)

[23] a

20

10-37 [23] a

5

4-25 [18] a

10-20 (LOQ)

[7] a

4-5 (LOQ)

[30] a

20

10-20 [30] a

Kveite

Muskel

 

Lever

5

4-10 [14] a

20

20-24 [12] a

5 (LOQ)

[15] a

20

20-20 [21] a

5

5-6 [21] a

10-20 (LOQ)

[15] a

Blåskjell

Innmat

95

95-120

[3 samleprøver] a

88

73-89

[3 samleprøver] a

120

120-140

[3 samleprøver] a

Gapeflyndre

Muskel

 

Lever

8

7-9 [2]

X

5

4-9 [5]

29 (32) ± 3

20-37 [5]

5

4-25 [31]

27 (21) ± 3

20-87 [31]

Kloskate

Muskel

 

Lever

11 (11) ± 2

5-20 [5]

209 (190) ± 77

20-440 [5]

25

[1]

85

[1]

11 (11) ± 2

5-17 [4]

74 (54) ± 25

3-116 [4]

Smørflyndre

Muskel

 

Lever

20 (16) ± 9

4-41 [3]

583 (530) ± 284

120-1100 [3]

14 (16) ± 2

7-19 [4]

31 (27) ± 5

20-49 [4]

12 (14) ± 1

9-14 [3]

580 (560) ± 702

280-900 [3]

Kongekrabbe

Muskel

 

Hepatopankreas

X

 

X

X

 

X

5,5

4-7 [10]

58 (46) ± 17

20-190 [9]

Sandflyndre

Muskel

 

Lever

4 (LOQ)

[1]

64

[1]

X

 

X

5 (LOQ)

[1]

56

[1]


Tabell 10: Analyseresultater for bly (Pb) fra Revsbotn og to stasjoner i Repparfjorden. Konsentrasjonene er oppgitt som µg/kg istedenfor mg/kg for å fremheve forskjellene mellom stasjonene. X angir at prøve ikke ble samlet inn. Grønt, stasjoner innenfor matrisen med statistisk signifikant forskjell, tilstrekkelig antall individer og ≥ 50% av prøvene >LOQ. Blått, matriser med ≤ 50 % av prøvene <LOQ, som indikerer at gjennomsnitt og sem ikke er beregnet. For hyse, torsk, kveite og blåskjell: Statistisk ikke forskjellige grupper innenfor samme matrise (linje) er markert med samme bokstav, statistisk forskjellige med forskjellig bokstav.

P-verdier

Bly (Pb)

Revsbotn/

Midt Repparfjord

Revsbotn/

Indre Repparfjord

Midt Repparfjord/

Indre Repparfjord

Hyse muskel

Hyse muskel, 33-60 cm

Hyse lever

Hyse lever, 33-60 cm

<0,005

<0,005

<0,005

<0,005

<0,005

<0,005

<0,005

<0,005

0,2

1

1

1


Tabell 11: Resultat av Kruskal-Wallis test, gitt som p-verdier, for matriser med blykonsentrasjoner, der minst en stasjonsforskjell hadde en p-verdi <0,1. P-verdier <0,1 er markert i rødt , og omfatter analyse av et tilstrekkelig antall prøver. Angitte lengder (33-60 cm) viser til et størrelsesutvalg av individer som er testet.

 

 

3.2.3 - Jern (Fe)

Det var en gradient fra Revsbotn via Midt Repparfjord til Indre Repparfjord for jern i muskel for hyse, torsk og kveite og i hyselever. Denne forskjellen var signifikant mellom noen av stasjonene, og signifikansen var sterkest for hyse (tabellene 12 og 13, figur 4). For blåskjell viste Kruskal-Wallis testen signifikant forskjell mellom de to stasjonene i Repparfjorden og lavest i Midt Repparfjord, mens Indre Repparfjord og Revsbotn hadde tilnærmet like konsentrasjoner.

I basisundersøkelsene av hyse i det Norske fiskeriområdet var konsentrasjonene av jern gjennomsnitt 1,51 ± 0,03 mg/kg for muskel og 31,3 ± 0,8 mg/kg for lever, som er om lag lik med Revsbotn, mens konsentrasjonene i Repparfjorden ligger noe høyre (Kögel mfl., 2021). Vi har fjernet en verdi på Fe analysen i gapeflyndre filet fra Midt Repparfjord som uteligger, fordi prøven hadde et nivå på 89 mg/kg samtidig som nesthøyeste prøveverdi var på 4,8 mg/kg. Tilhørende gapeflyndre var den største i fangsten med 45 cm lengde, men den neststørste gapeflyndren på 44 cm hadde et helt normalt jernnivå på 1,1 mg/kg.


Figur 4

 

Jern konsentrasjoner i matrisene der det var signifikante stasjonsforskjell. Forskjellene var størst i hyse lever, fulgt av hyse muskel, og så torsk muskel og kveite muskel. Konsentrasjonene i blåskjell dannet et annet mønster enn trenden der Indre Repparfjord har høyest konsentrasjon.
Figur 4: Konsentrasjoner av jern i de artene og vev som viste signifikante forskjeller mellom stasjoner. Horisontal strek, gjennomsnitt; trekant, median; søyle, standardfeil (sem); feilfelt, konfidensintervall.

Jern (Fe) mg/kg

Gjennomsnitt (median) ± sem

Min-maks [N]

Revsbotn Midt Repparfjord Indre Repparfjord
Hyse

Muskel

 

Lever

1,8 (1,7) ± 0,1

0,9-5 [30] a

37 (33) ± 4

7-110 [24] a

2,4 (2,2) ± 0,2

1,3-4,4 [31] b

60 (61) ± 4

20-96 [21] b

2,5 (2,3) ± 0,1

1,3-4,5 [30] b

71 (69) ± 8

15-170 [21] b

Hyse,  33-60 cm

Muskel

 

Lever

1,6 (1,4) ± 0,1

1,1-2,1 [9] a

44 (35) ± 14

11-110 [6] a

2,3 (2,0) ± 0,2

1,3-4,1 [21] b

58 (60) ± 5

20-96 [16] a

2,5 (2,3) ± 0,2

1,3-4,5 [28] b

73 (71) ± 8

15-170 [20] a

Torsk

Muskel

 

Lever

1,39 (1,30) ± 0,08

0,79-2,30 [23] a

34 (25) ± 5

8-120 [23] a

1,66 (1,60) ± 0,08

1,20-2,60 [18] b

27 (23) ± 5

9-52 [7] a

1,61 (1,55) ± 0,08

0,82-3,10 [30] a/b

26 (22) ± 3

8-73 [30] a

Kveite

Muskel

 

Lever

0,90 (0,88) ± 0,05

0,49-1,20 [14]

77 (81) ± 7

27-110 [12]

1,18 (1,10) ± 0,04

0,96-1,70 [21]

67 (64) ± 5

34-120 [21]

1,13 (1,1) ± 0,07

0,77-1,9 [15]

78 (75) ± 8

21-130 [15]

Blåskjell Innmat

36 (37) ± 2

30-38

[3 samleprøver]

20,3 (20,0) ± 0,3

20-21

[3 samleprøver]

38,0 (38,0) ± 0,8

35,0-38,0

[3 samleprøver]

Gapeflyndre

Muskel

 

Lever

1,2 ± 0,07

1,1-1,3) [2]

X

1,5 (1,55) ± 0,06

1,3-1,6 [4]

57 (55) ± 7

35-81 [5]

1,6 (1,4) ± 0,1

0,9-4,8 [31]

85 (65) ± 13

3-89 [31]

Kloskate

Muskel

 

Lever

3,1 (3,1) ± 0,3

2,0-3,7 [5]

161 (130) ± 41

74-330 [5]

4,8

[1]

220

[1]

4 (4) ± 1

2,1-8 [4]

139 (140) ± 19

94-180 [4]

Smørflyndre

Muskel

 

Lever

1,3 (0,9) ± 0,3

0,9-2,0 [3]

110 (66) ± 45

63-200 [3]

2,4 (2,1) ± 0,6

1,1-4,2 [4]

41 (32) ± 11

22-79 [4]

0,9 (1,0) ± 0,1

0,7-1,1 [3]

45 (34) ± 11

32-70 [3]

Kongekrabbe

Muskel

 

Hepatopankreas

X

 

X

X

 

X

1,8 (1,8) ± 0,1

1,2-2,3 [10]

88 (59) ± 32

123-350 [9]

Sandflyndre

Muskel

 

Lever

2,2

[1]

270

[1]

X

 

X

1,3

[1]

120

[1]


Tabell 12: Analyseresultater for jern (Fe) fra Revsbotn og to stasjoner i Repparfjorden. X angir at prøve ikke ble samlet inn. Grønt, stasjoner innenfor matrisen med statistisk signifikant forskjell, tilstrekkelig antall individer og ≥ 50% av prøvene >LOQ. For hyse, torsk, kveite og blåskjell: Statistisk ikke forskjellige grupper innenfor samme matrise (linje) er markert med samme bokstav, statistisk forskjellige med forskjellig bokstav.

P-verdier

Jern (Fe)

Revsbotn/

Midt Repparfjord

Revsbotn/

Indre Repparfjord

Midt Repparfjord/

Indre Repparfjord

Hyse muskel

Hyse muskel, 33-60 cm

Hyse lever

0,007

0,03

<0,005

<0,005

<0,005

<0,005

1

0,7

1

Torsk muskel 0,05 0,2 1
Kveite muskel 0,02 <0,005 1
Blåskjell innmat 0,2 1 0,08

Tabell 13 Resultat av Kruskal-Wallis test, gitt som p-verdier, for matriser med jernkonsentrasjoner, der minst en stasjonsforskjell hadde en p-verdi <0,1. P-verdier <0,1 er markert i rødt , og omfatter analyse av et tilstrekkelig antall prøver. Angitt lengde (33-60 cm) viser til et størrelsesutvalg av individer som er testet.

 

3.2.4 - Kadmium (Cd)

For kadmium ble konsentrasjoner i muskel ikke analysert, siden det stort sett var <50 % av prøvene som var >LOQ. Konsentrasjonene i lever av torsk og hyse viste signifikante forskjeller, men Revsbotn hadde ikke lavere konsentrasjoner enn Repparfjorden. For torskelever var konsentrasjonene i Repparfjorden lavere enn i Revsbotn, og for hyselever var konsentrasjonene høyest i Midt Repparfjord, mens konsentrasjonene i Revsbotn og Indre Repparfjord ikke var forskjellige (tabellene 14 og 15, figur 5). Konsentrasjonene var uvesentlig lavere enn gjennomsnittet for hyse funnet i basisundersøkelsene av det Norske fiskeriområdet, og som var på 0,194 ± 0,009 mg/kg (Kögel mfl., 2021). Ingen av prøvene hadde konsentrasjoner på kadmium over EU og Norges grenseverdier.

Figur 5

Kadmium konsentrasjoner i matrisene der det var signifikante stasjonsforskjell: hyse lever og torsk lever. Konsentrasjonene dannet mønstre forskjellige fra trenden der Indre Repparfjord har høyest konsentrasjon.
Figur 5: Konsentrasjoner av kadmium i de artene og vev som viste signifikante forskjeller mellom stasjoner. Horisontal strek, gjennomsnitt; trekant, median; søyle, standardfeil (sem); feilfelt, konfidensintervall.

Kadmium (Cd) µg/kg

Gjennomsnitt (median) ± sem

Min-maks [N]

Revsbotn

Midt Repparfjord

Indre Repparfjord

Hyse

Lever

131 (104) ± 23

15-610 [24] a

182 (170) ± 19

55-450 [21] b

114 (100) ± 13

27-250 [21] a

Hyse, 33-60 cm

Lever

190 (130) ± 78

44-610 [6] a/b

193 (185) ± 22

75-450 [16] a

118 (110) ± 13

27-250 [20] b

Torsk

Lever

183 (130) ± 34

32-780 [23] a

69 (67) ± 12

35-130 [7] b

71 (54) ± 11

15-300 [30] b

Kveite

Lever

243 (240) ± 35

110-500 [12] a

264 (240) ± 28

74-630 [21] a

285 (210) ± 76

48-1300 [15] a

Blåskjell

Innmat

190

170-220 

[3 samleprøver] a

149

130-140 

[3 samleprøver] a

190

180-200 

[3 samleprøver] a

Gapeflyndre

Lever

X

547 (230) ± 349

55-2100 [5]

114 (85) ± 12

29-320 [31]

Kloskate

Lever

129 (99) ± 29

61-250 [5]

410

[1]

142 (145) ± 17

99-180 [4]

Smørflyndre

Lever

189 (110) ± 96

77-380 [3]

673 (485) ± 286

12-1600 [4]

163 (150) ± 24

120-220 [3]

Kongekrabbe

Hepatopankreas

X

X

225 (260) ± 48

19-410 [9]

Sandflyndre Lever 2000 [1] X 510 [1]
Uer Lever X X X
Reke Muskel X X X

Tabell 14: Analyseresultater for kadmium (Cd) fra Revsbotn og to stasjoner i Repparfjorden. Konsentrasjonene er oppgitt som µg/kg istedenfor mg/kg for å fremheve forskjellene mellom stasjonene. X angir at prøve ikke ble samlet inn. Grønt, stasjoner innenfor matrisen med statistisk signifikant forskjell, tilstrekkelig antall individer og ≥ 50 % av prøvene >LOQ. Blått, matriser med ≤ 50 % av prøvene <LOQ, som indikerer at gjennomsnitt og sem ikke er beregnet. Resultater for muskel var for det meste under LOQ og er ikke vist. For hyse, torsk, kveite og blåskjell: Statistisk ikke forskjellige grupper innenfor samme matrise (linje) er markert med samme bokstav, statistisk forskjellige med forskjellig bokstav.

 

P-verdier

Kadmium (Cd)

Revsbotn/

Midt Repparfjord

Revsbotn/

Indre Repparfjord

Midt Repparfjord/

Indre Repparfjord

Hyse lever

Hyse lever, 33-60 cm

0,02

0,4

1

1

0,02

0,03

Torsk lever 0,07 <0,005 1

Tabell 15: Resultat av Kruskal-Wallis test, gitt som p-verdier, for matriser med kadmiumkonsentrasjoner, der minst en stasjonsforskjell hadde en p-verdi <0,1. P-verdier <0,1 er markert i rødt , og omfatter analyse av et tilstrekkelig antall prøver. Angitte lengder ( 33-60 cm) viser til et størrelsesutvalg av individer som er testet.


3.2.5 - Kobber (Cu)

For kobber var det en gradient i både hyselever og hysemuskel fra Revsbotn via Midt Repparfjord til Indre Repparfjord. Konsentrasjonene i både muskel og lever var signifikant lavere i Revsbotn sammenlignet med Indre Repparfjord (tabellene 16 og 17, figur 6). For torskemuskel var konsentrasjonen signifikant høyere i Midt Repparfjord sammenlignet med Revsbotn, og for blåskjell var konsentrasjonen signifikant høyere i Indre Repparfjord sammenlignet med Midt Repparfjord. Nivåene av kobber i hyse fra basisundersøkelsene for det Norske fiskeriområdet ligger i gjennomsnitt på 0,181 ± 0,003 mg/kg for muskel og på 4,7 ± 0,1 mg/kg for lever (Kögel mfl., 2021). For lever er dette som i Midt Repparfjord, og for muskel som mellom Revsbotn og Midt Repparfjord. Nivåene i Indre Repparfjord er høyere.

Figur 6

Kobber konsentrasjoner dersom signifikante stasjonsforskjell. Forskjellene var størst i hyse lever, fulgt av hyse muskel, og så torsk muskel og blåskjell. Konsentrasjonene i hyse lever og muskel fulgte trenden der Indre Repparfjord har høyest konsentrasjon.
Figur 6: Konsentrasjoner av kobber i de artene og vev som viste signifikante forskjeller mellom stasjoner. Horisontal strek, gjennomsnitt; trekant, median; søyle, standardfeil (sem); feilfelt, konfidensintervall.

Kobber (Cu) mg/kg

Gjennomsnitt (median) ± sem

Min-maks [N]

Revsbotn

Midt Repparfjord

Indre Repparfjord

Hyse

Muskel

 

Lever

0,192 (0,190) ± 0,005

0,140-0,250 [30] a

3,1 (2,9) ± 0,3

1,1-6,0 [24] a

0,208 (0,210) ± 0,005

0,170-0,320 [31] a/b

4,7 (4,1) ± 0,5

1,8-12,0 [21] b

0,225 (0,220) ± 0,009

0,160-0,430 [30] b

7,2 (6,2) ± 0,7

2,4-14,0 [21] c

Hyse, 

33-60 cm

Muskel

 

Lever

 

0,1910 (0,1900) ± 0,0002

0,1400-0,2200 [9] a

3,8 (3,5) ± 0,5

2,1-5,6 [6] a

0,209 (0,21) ± 0,007

0,17-0,32 [21] a/b

5,5 (4,6) ± 0,6

1,8-12 [16] a/b

0,225 (0,215) ± 0,009

0,16-0,43 [28] b

7,4 (6,7) ± 0,7

2,7-14 [20] b

Torsk

Muskel

 

Lever

0,187 (0,180) ± 0,008

0,130-0,270 [23] a

6,3 (6,1) ± 0,7

4,3-12 [23] a

0,224 (0,220) ± 0,009

0,140-0,330 [18] b

5,9 (6,6) ± 0,7

1,8-8,0 [7] a

0,206 (0,200) ± 0,008

0,140-0,320 [30] a/b

8,3 (8,0) ± 0,8

1,9-24,0 [30] a

Kveite

Muskel

 

Lever

0,174 (0,175) ± 0,005

0,130-0,200 [14] a

7,7 (7,7) ± 0,6

4,3-12,0 [12] a

0,184 (0,180) ± 0,006

0,150-0,250 [21] a

6,9 (7,3) ± 0,5

2,7-11,0 [21] a

0,189 (0,190) ± 0,006

0,150-0,240 [15] a

8,8 (8,8) ± 0,8

4,9-17,0 [15] a

Blåskjell Innmat

0,95 (0,92) ± 0,02

0,92-1,00

[3 samleprøver] a/b

0,83 (0,82) ± 0,06

0,77-0,91

[3 samleprøver] a

1,23 (1,20) ± 0,07

1,10-1,40

[3 samleprøver]  b

Gapeflyndre

Muskel

 

Lever

0,13 (0,13) ± 0,01

0,11-0,15

[2]

X

0,23 (0,14) ± 0,1

0,1-0,8 [5]

7 (3) ± 4

1-23 [5]

0,139 (0,14) ± 0,004

0,095-0,18 [31]

4,7 (3,8) ± 0,5

0,4-12 [31] 

Kloskate

Muskel

 

Lever

0,34 (0,26) ± 0,05

0,23-0,54 [5]

5,4 (4,9) ± 0,9

2,7-8,7 [5]

0,36

[1]

19

[1]

0,26 (0,26) ± 0,01

0,23-0,29 [4]

20 (20) ± 5

6-36 [4]

Smørflyndre

Muskel

 

Lever

0,09 (0,08) ± 0,01

0,07-0,11 [3]

0,82 (0,81) ± 0,04

0,76-0,89 [3]

0,130 (0,125) ± 0,009

0,110-0,160 [4]

24 (9) ± 13

8-69 [4]

0,093 (0,091) ± 0,003

0,088-0,100 [3]

1,3 (1,2) ± 0,1

1,1-1,6 [3]

Kongekrabbe

Muskel

 

Hepato-pankreas

X

 

X

X

 

X

14 (13) ± 1

10-20 [10]

29 (14) ± 7

8-57 [9]

Sandflyndre

Muskel

 

Lever

0,14

[1]

2,5

[1]

X

 

X

0,13

[1]

14

[1]

Tabell 16: Analyseresultater for kobber (Cu) fra Revsbotn og to stasjoner i Repparfjorden. X angir at prøve ikke ble samlet inn. Grønt, stasjoner innenfor matrisen med statistisk signifikant forskjell, tilstrekkelig antall individer og ≥ 50 % av prøvene >LOQ. For hyse, torsk, kveite og blåskjell: Statistisk ikke forskjellige grupper innenfor samme matrise (linje) er markert med samme bokstav, statistisk forskjellige med forskjellig bokstav.

P-verdier

Kobber (Cu)

Revsbotn/

Midt Repparfjord

Revsbotn/

Indre Repparfjord

Midt Repparfjord/

Indre Repparfjord

Hyse muskel

Hyse muskel, 33-60 cm

Hyse lever

Hyse lever, 33-60 cm

0,2

0,6

0,09

0,6

<0,005

0,04

<0,005

0,02

0,3

0,4

0,04

0,1

Torsk muskel 0,01 0,4 0,3
Blåskjell innmat 0,5 0,5 0,02

Tabell 17: Resultat av Kruskal-Wallis test, gitt som p-verdier, for matriser med kobberkonsentrasjoner, der minst en stasjonsforskjell hadde en p-verdi <0,1. P-verdier <0,1 er markert i rødt , og omfatter analyse av et tilstrekkelig antall prøver. Angitt lengder (33 -60 cm) viser til et størrelsesutvalg av individer som er testet.

 

 

3.2.6 - Kobolt (Co)

Kobolt viste kun statistisk forskjell for torskelever, og her var konsentrasjonen høyere i Revsbotn enn i Indre Repparfjorden (tabellene 18 og 19, figur 7). Konsentrasjonen av kobolt i hyselever var med stasjonsgjennomsnitt på 0,025-0,028 mg/kg som er noe høyre enn gjennomsnittet av basisundersøkelsen for det Norske fiskeriområdet (0,02 mg/kg = LOQ), og der kun 22 % av prøvene var over LOQ (Kögel mfl., 2021).

Figur 7

Kobolt konsentrasjoner, i matrisen der det var signifikante stasjonsforskjell: torsk lever. Konsentrasjonene fulgte ikke trenden der Indre Repparfjord har høyest konsentrasjon. er Indre Repparfjord har høyest konsentrasjon.
Figur 7: Konsentrasjoner av kobolt i de artene og vev som viste signifikante forskjeller mellom stasjoner. Horisontal strek, gjennomsnitt; trekant, median; søyle, standardfeil (sem); feilfelt, konfidensintervall.

Kobolt (Co) µg/kg

Gjennomsnitt (median) ± sem

Min-maks [N]

Revsbotn Midt Repparfjord Indre Repparfjord
Hyse

Lever

27 (20) ± 6

10-160 [24] a

28 (26) ± 2

10-50 [21] a

25 (23) ± 1

20-41 [21] a

Hyse, 33-60 cm

Lever

45 (22) ± 6

10-160 [6] a

27 (25) ± 2

20-50 [16] a

25 (24) ± 1

20-41 [20] a

Torsk

Lever

39 (38) ± 3

20-73 [23] a

30 (32) ± 2

22-37 [7] a/b

30 (25) ± 2

13-67 [30] b

Kveite

Lever

46 (46) ± 5

20-81 [12] a

30 (28) ± 2

20-58 [21] a

44 (46) ± 3

23-70 [15] a

Blåskjell

Innmat

67

62-75

[3 samleprøver] a

43

41-44 

[3 samleprøver] a

65

63-67

[3 samleprøver] a

Gapeflyndre

Lever

X

85 (92) ± 23

20-150 [5]

138 (120) ± 12

39-310 [31]

Kloskate

Lever

54 (28) ± 20

26-140 [5]

64

[1]

29 (28) ± 1

26-32 [4]

Smørflyndre

Lever

154 (110) ± 80

43-310 [3]

108 (96) ± 30

39-200 [4]

89 (90) ± 6

76-100 [3]

Kongekrabbe

Hepatopankreas

X

X

84 (81) ± 14

43-190 [9]

Sandflyndre

Lever

310

[1]

X

100

[1]


Tabell 18: Analyseresultater for kobolt (Co) fra Revsbotn og to stasjoner i Repparfjorden. Konsentrasjonene er oppgitt som µg/kg istedenfor mg/kg for å fremheve forskjellene mellom stasjonene. X angir at prøve ikke ble samlet inn. Grønt, stasjoner innenfor matrisen med statistisk signifikant forskjell, tilstrekkelig antall individer og ≥ 50% av prøvene >LOQ. Blått, matriser med ≤ 50 % prøver <LOQ, som indikerer at gjennomsnitt og sem ikke er beregnet. Resultater i muskel var mest under LOQ og er ikke vist. For hyse, torsk, kveite og blåskjell: Statistisk ikke forskjellige grupper innenfor samme matrise (linje) er markert med samme bokstav, statistisk forskjellige med forskjellig bokstav. 

 

P-verdier

Kobolt (Co)

Revsbotn/

Midt Repparfjord

Revsbotn/

Indre Repparfjord

Midt Repparfjord/

Indre Repparfjord

Torsk lever 0,8 0,03 1

Tabell 19: Resultat av Kruskal-Wallis test, gitt som p-verdier, for matriser med koboltkonsentrasjoner, der minst en stasjonsforskjell hadde en p-verdi <0,1. P-verdier <0,1 er markert i rødt , og omfatter analyse av et tilstrekkelig antall prøver.


3.2.7 - Krom (Cr)

Krom i hysemuskel hadde tydelig og signifikant lavere konsentrasjoner i Revsbotn sammenlignet med Repparfjorden. I hyselever var det også signifikant forskjell mellom Revsbotn og Indre Repparfjord, der konsentrasjonene var høyest (tabellene 20 og 21, figur 8). Midt Repparfjord hadde konsentrasjoner imellom disse, men var ikke statistisk signifikant fra Revsbotn. Kveite hadde også en signifikant forskjell mellom stasjoner med hensyn til krom i lever, men forskjellene var mindre utpreget og Midt Repparfjord hadde de høyeste verdiene. Generelt hadde blåskjell betydelig høyere konsentrasjoner av krom, men stasjonsforskjellene var ikke signifikante. I lever hos smørflyndre var det en bratt økende gradient i konsentrasjon av krom fra Revsbotn til Indre Repparfjord, men det var for få individer til å være representativt. Konsentrasjonene av krom i hysemuskel fra basisundersøkelsen var i gjennomsnitt 0,021 ± 0,002 mg/g, nærmere Repparfjordnivået, mens hyselever i basisundersøkelsen hadde konsentrasjoner i gjennomsnittet under LOQ på 0,02 mg/kg (Kögel mfl., 2021), og dermed lavere enn gjennomsnittet i foreliggende undersøkelse.

 

Figure 8

Krom konsentrasjoner i matrisene der det var signifikante stasjonsforskjell. Forskjellene var størst i hyse lever, fulgt av hyse muskel, og så kveite muskel. I hyse muskel og lever var konsentrasjonene høyere i Revsbotn enn i Repparfjord.
Figur 8: Konsentrasjoner av krom i de artene og vev som viste signifikante forskjeller mellom stasjoner. Horisontal strek, gjennomsnitt; trekant, median; søyle, standardfeil (sem); feilfelt, konfidensintervall.

Krom (Cr) µg/kg

Gjennomsnitt (median) ± sem

Min-maks [N]

Revsbotn Midt Repparfjord Indre Repparfjord
Hyse

Muskel

 

Lever

5 (5) ± 0,3

4-14 [30] a

68 (40) ± 16

10-350 [24] a

18 (9) ± 4

4-100 [31] b

99 (52) ± 20

29-340 [21] a/b

18 (7) ± 8

5-230 [30] b

266 (170) ± 59

20-1100 [21] b

Hyse, 33-60 cm

Muskel

 

Lever

5 (5) ± 0,2

4-6 [9] a

85 (40) ± 49

10-350 [6] a

21 (10) ± 6

4-100 [21] b

83 (49) ± 20

29-340 [16] a

19 (7) ± 8

5-230 [28] b

273 (180) ± 62

20-1100 [20] b

Torsk

Muskel

 

Lever

5

4-20 [23] a

20

10-34 [23] a

5

4-18 [18] a

20

20-47 [7] a

5

4-12 [30] a

20

10-170 [30] a

Kveite

Muskel

 

Lever

5

4-48 [14] a

23 (20) ± 3

20-53 [12] a

5

5-8 [21] a

58 (43) ± 10

20-230 [21] b

5

5-13 [15] a

31 (20) ± 7

28-130 [15] a

Blåskjell Innmat

370

280-520

[3 samleprøver] a

120

110-130

[3 samleprøver] a

280

250-280

[3 samleprøver] a

Gapeflyndre

Muskel

 

Lever

6

5-7 [2]

X

11

3-34 [5]

150 (160) ± 34

28-240 [5]

5

4-110 [31]

338 (170) ± 118

29-3700 [31]

Kloskate

Muskel

 

Lever

6,0 (6,0) ± 0,2

5,0-6,0 [5]

28 (22) ± 6

20-53 [5]

9

[1]

240

(1)

29 (31) ± 8

8-46 [4]

30 (24) ± 8

15-58 [4]

Smørflyndre

Muskel

 

Lever

5,7 (6) ± 0,7

4-7 [3]

77 (80) ± 24

20-100 [3]

23 (20) ± 8

7-44 [4]

134 (117) ± 27

82-220 [4]

5 (5) ± 0

5-5 [3]

1970 (1100) ± 918

610-4200 [3]

Kongekrabbe

Muskel

 

Hepatopankreas

X

 

X

X

 

X

12 (11) ± 1

7-20 [10]

264 (100) ± 137

20-1400 [9]

Sandflyndre

Muskel

 

Lever

9

[1]

50

[1]

X

 

X

10

[1]

580

[1]


Tabell 20: Analyseresultater for krom (Cr) i fiskefilet og -lever fra Revsbotn og to stasjoner i Repparfjorden. Konsentrasjonene er oppgitt som µg/kg istedenfor mg/kg for å fremheve forskjellene mellom stasjonene. X angir at prøve ikke ble samlet inn. Grønt, stasjoner innenfor matrisen med statistisk signifikant forskjell, tilstrekkelig antall individer og ≥ 50% av prøvene >LOQ. Blått, matriser med ≤ 50 % av prøvene <LOQ, som indikerer at gjennomsnitt og sem ikke er beregnet. For hyse, torsk, kveite og blåskjell: Statistisk ikke forskjellige grupper innenfor samme matrise (linje) er markert med samme bokstav, statistisk forskjellige med forskjellig bokstav.

P-verdier

Krom (Cr)

Revsbotn/

Midt Repparfjord

Revsbotn/

Indre Repparfjord

Midt Repparfjord/

Indre Repparfjord

Hyse muskel

Hyse muskel, 33-60 cm

Hyse lever

Hyse lever, 33-60 cm

<0,005

<0,005

0,4

1

<0,005

<0,005

<0,005

0,06

1

0,7

0,1

0,05

Kveite lever <0,005 1 0,007

Tabell 21: Resultat av Kruskal-Wallis test, gitt som p-verdier, for matriser med kromkonsentrasjoner, der minst en stasjonsforskjell hadde en p-verdi <0,1. P-verdier <0,1 er markert i rødt , og omfatter analyse av et tilstrekkelig antall prøver. Angitte lengder (33-60 cm) viser til et størrelsesutvalg av individer som er testet.

 

3.2.8 - Kvikksølv (Hg)

Det var statistisk signifikante stasjonsforskjeller for kvikksølv i hysemuskel og lever, torskemuskel og blåskjell, men disse dannet ikke et gjennomgående mønster (tabellene 22 og 23, figur 9). Dette kan muligens forklares med at en betydelig andel av det biotilgjengelige kvikksølvet i norske fjorder blir transportert fra land til fjordene via ferskvannavløp og ikke nødvendigvis stammer fra sedimentet eller punktkilder (Azad mfl., 2021). De høyeste konsentrasjonene ble funnet i kloskatemuskel (0,061 ± 0,009; 0,075; 0,045 ± 0,005 mg/kg), fulgt av gapeflyndremuskel (0,080 ± 0,010; 0,040 ± 0,010; 0,039 ± 0,004 mg/kg) og deretter torskemuskel (0,039 ± 0,005; 0,037 ± 0,003; 0,049 ± 0,003 mg/kg). Den høyeste kvikksølvkonsentrasjonen ble funnet i en enkel sandflyndre fra Revsbotn med 0,3 mg/kg. Denne sandflynderen var med en vekt på 0,6 kg dobbelt så tung som de to andre sandflyndrene i denne studien. Alle andre målte konsentrasjoner var under eller lik 0,13 mg/kg. Det var kun enkeltfisk av torsk og gapeflyndre som hadde kvikksølvkonsentrasjoner over 0,1 mg/kg. Konsentrasjonene av kvikksølv i lever hos fisk eller hepatopankreas hos krabbe var generelt lavere enn i muskel, i alle arter. Alle konsentrasjoner var under de gjeldende grenseverdiene for sjømat. De høyeste stasjonsgjennomsnittene på hysemuskel (0,027 ± 0,002 mg/kg) og hyselever (0,016 ± 0,001 mg/kg) i vår undersøkelse var lavere enn gjennomsnittet av basisundersøkelsen for det Norske fiskeriområdet for hysemuskel (0,054 ± 0,001 mg/kg) og hyselever (0,020 ± 0,001 mg/kg; Kögel mfl., 2021).


Figur 9

Kvikksølv konsentrasjoner i matrisene der det var signifikante stasjonsforskjell. Forskjellene var størst i torsk lever, fulgt av hyse lever, og så hyse muskel og blåskjell, men forskjellig mønster fra trenden der Indre Repparfjord har høyest konsentrasjon.
Figur 9: Konsentrasjoner av kvikksølv i de artene og vev som viste signifikante forskjeller mellom stasjoner. Horisontal strek, gjennomsnitt; trekant, median; søyle, standardfeil (sem); feilfelt, konfidensintervall.

Kvikksølv (Hg) µg/kg

Gjennomsnitt (median) ± sem

Min-maks [N]

Revsbotn

Midt Repparfjord

Indre Repparfjord

Hyse

Muskel

 

Lever

25 (16) ± 3

8-63 [30] a

9,9 (9) ± 0,9

4-24 [24]

27 (28) ± 2

9-42 [31] a

16 (15) ± 1

5-28 [21]

21 (18) ± 2

11-52 [30] a

12 (9) ± 2

3-32 [21]

Hyse,  33-60 cm

Muskel

 

Lever

23 (18) ± 4

12-55 [9] a/b

12 (10) ± 2

6-24 [6] a

29 (31) ± 2

9-42 [21] a

15 (15) ± 1

5-24 [16] a

22 (18) ± 2

11-52 [28] b

12 (10) ± 2

3-32 [20] a

Torsk

Muskel

 

Lever

39 (36) ± 5

14-110 [23] a

26 (26) ± 3

6-78 [23] a

37 (33) ± 3

18-80 [18] a

20 (22) ± 2

14-29 [7] a

49 (47) ± 3

25-100 [30] b

23 (22) ± 2

8-62 [30] a

Kveite

Muskel

 

Lever

34 (29) ± 3

14-61 [14] a

19 (18) ± 2

11-44 [12] a

25 (20) ± 3

8-77 [21] a

22 (20) ± 2

10-45 [21] a

29 (21) ± 4

13-78 [15] a

23 (23) ± 3

9-41 [12] a

Blåskjell Innmat

11,0 (11,0) ± 0,5

10,0-12,0

[3 samleprøver] a

8,3 (8,0) ± 0,3

8,0-9,0

[3 samleprøver] a/b

8 (8) ± 0

8-8

[3 samleprøver] b

Gapeflyndre

Muskel

 

Lever

80 ± 10

60-100 [2]

X

40 (50) ± 10

7-76 [5]

33 (20) ± 10

12-74 [5]

39 (31) ± 4

18-130 [31]

19 (14) ± 3

8-76 [31]

Kloskate

Muskel

 

Lever

61 (53) ± 9

44-99 [5]

29 (18) ± 9

17-68 [5]

75

[1]

91

[1]

45 (44) ± 5

34-59 [4]

24 (24) ± 23

18-28 [4]

Smørflyndre

Muskel

 

Lever

41 (22) ± 2

21-80 [3]

28 (16) ± 13

15-54 [3]

43 (36) ± 9

30-72 [4]

25 (23) ± 4

17-38 [4]

16 (16) ± 9

14-18 [3]

14 (14) ± 0,5

13-15 [3]

Kongekrabbe

Muskel

 

Hepatopankreas

X

 

X

X

 

X

28 (29) ± 2

17-41 [10]

21 (21) ± 4

7-40 [9]

Sandflyndre

Muskel

 

Lever

300

[1]

170

[1]

X

 

X

60

[1]

33

[1]

Tabell 22: Analyseresultater for kvikksølv (Hg) fra Revsbotn og to stasjoner i Repparfjorden. Konsentrasjonene er oppgitt som µg/kg istedenfor mg/kg for å fremheve forskjellene mellom stasjonene. X angir at prøve ikke ble samlet inn. Grønt, stasjoner innenfor matrisen med statistisk signifikant forskjell, tilstrekkelig antall individer og ≥ 50 % av prøvene >LOQ. For hyse, torsk, kveite og blåskjell: Statistisk ikke forskjellige grupper innenfor samme matrise (linje) er markert med samme bokstav, statistisk forskjellige med forskjellig bokstav.

P-verdier

Kvikksølv (Hg)

Revsbotn/

Midt Repparfjord

Revsbotn/

Indre Repparfjord

Midt Repparfjord/

Indre Repparfjord

Hyse muskel, 33-60 cm

Hyse lever

0,1

<0,005

1

1

0,01

0,03

Torsk muskel 1 0,02 0,01
Blåskjell innmat 0,2 0,08 1

Tabell 23: Resultat av Kruskal-Wallis test, gitt som p-verdier, for matriser med kvikksølvkonsentrasjoner, der minst en stasjonsforskjell hadde en p-verdi <0,1. P-verdier <0,1 er markert i rødt, og et tilstrekkelig antall prøver. Angitte lengde (33-60 cm) viser til et størrelsesutvalg av individer som er testet.

 

 

3.2.9 - Mangan (Mn)

Mangan har signifikant høyre konsentrasjoner i minst en av stasjonene av Repparfjord enn i Revsbotn i hyselever og -muskel. I torskelever og muskel er konsentrasjonene lavest i Indre Repparfjord og for blåskjell er verdiene lavest i Midt Repparfjord (tabellene 24 og 25, figur 10), som de også var for jern . Mangankonsentrasjonene i hyse var om lag lik med nivåene funnet i basisundersøkelsen for det Norske fiskeriområdet (Kögel mfl., 2021).

Figur 10

Mangan konsentrasjoner i matrisene der det var signifikante stasjonsforskjell. Forskjeller i hyse muskel, hyse lever, torsk muskel, kveite lever og blåskjell. Kun hyse lever fulgte overordnet trend der Indre Repparfjord har høyest konsentrasjon.
Figur 10: Konsentrasjoner av mangan i de artene og vev som viste signifikante forskjeller mellom stasjoner. Horisontal strek, gjennomsnitt; trekant, median; søyle, standardfeil (sem); feilfelt, konfidensintervall.

Mangan (Mn) mg/kg

Gjennomsnitt (median) ± sem

Min-maks [N]

Revsbotn Midt Repparfjord Indre Repparfjord
Hyse

Muskel

 

Lever

0,082 (0,074) ± 0,007

0,040-0,250 [30] a

0,75 (0,71) ± 0,05

0,21-1,30 [24] a

0,15 (0,14) ± 0,01

0,04-0,38 [31] a

1,4 (1,2) ± 0,2

0,5-4,0 [21] b

0,101 (0,091) ± 0,007

0,047-0,240 [30] a

0,91 (0,82) ± 0,08

0,29-1,60 [21] a

Hyse, 33-60 cm

Muskel

 

Lever

0,066 (0,069) ± 0,005

0,040-0,096 [9] a

0,8 (0,8) ± 0,1

0,5-1,1 [6] a

0,15 (0,12) ± 0,02

0,04-0,38 [21] b

1,3 (1,2) ± 0,2

0,5-4,0 [16] a

0,103 (0,091) ± 0,007

0,047-0,240 [28] b

0,94 (0,87) ± 0,08

0,29-1,60 [20] a

Torsk

Muskel

 

Lever

0,099 (0,087) ± 0,008

0,039-0,180 [23] a/b

1,07 (1,00) ± 0,07

0,45-1,50 [23] a

0,114 (0,105) ± 0,007

0,061-0,170 [18] a

0,9 (0,8) ± 0,1

0,7-1,4 [7] a/b

0,083 (0,086) ± 0,005

0,042-0,170 [30] b

0,79 (0,68) ± 0,05

0,44-1,50 [30] b

Kveite

Muskel

 

Lever

0,101 (0,100) ± 0,006

0,063-0,140 [14] a

1,2 (1,1) ± 0,1

0,8-2,5 [12] a/b

0,115 (0,120) ± 0,004

0,075-0,160 [21] a

1,24 (1,2) ± 0,06

0,86-1,8 [21] a

0,103 (0,100) ± 0,005

0,071-0,14 [15] a

1,02 (0,96) ± 0,06

0,65-1,50 [15] b

Blåskjell Innmat

0,71 (0,73) ± 0,08

0,52-0,87

[3 samleprøver] a

0,430 (0,420) ± 0,008

0,420-0,450

[3 samleprøver] b

0,68 (0,67) ± 0,02

0,63-0,73

[3 samleprøver] a,b

Gapeflyndre

Muskel

 

Lever

0,13 ± 0,01

0,09-0,18

[2]

X

0,13 (0,14) ± 0,02

0,08-0,18 [5]

0,90 (0,91) ± 0,06

0,74-1,1 [5]

0,144 (0,150) ± 0,008

0,064-0,220 [31]

0,76 (0,74) ± 0,03

0,41-1,10 [31]

Kloskate

Muskel

 

Lever

0,14 (0,14) ± 0,04

0,13-0,15 [5]

0,8 (0,7) ± 0,1

0,6-1,4 [5]

0,24

[1]

1,6

[1]

0,19 (0,18) ± 0,02

0,15-0,23 [4]

0,98 (0,94) ± 0,07

0,84-1,20 [4]

Smørflyndre

Muskel

 

Lever

0,068 (0,064) ± 0,007

0,056-0,084 [3]

0,49 (0,51) ± 0,05

0,39-0,56 [3]

0,16 (0,15) ± 0,02

0,13-0,20 [4]

1,2 (1,0) ± 0,1

1,0-1,6 [4]

0,082 (0,087) ± 0,006

0,060-0,091 [3]

0,85 (0,83) ± 0,02

0,82-0,89 [3]

Kongekrabbe

Muskel

 

Hepatopankreas

X

 

X

 

0,27 (0,27) ± 0,02

0,20-0,36 [10]

2,7 (2,5) ± 0,4

0,9-5,0 [9]

Sandflyndre

Muskel

 

Lever

0,041

[1]

1,1

[1]

X

 

X

0,058

[1]

1,2

[1]

Tabell 24: Analyseresultater for mangan (Mn) fra Revsbotn og to stasjoner i Repparfjorden. X angir at prøve ikke ble samlet inn. Grønt, stasjoner innenfor matrisen med statistisk signifikant forskjell, tilstrekkelig antall individer og ≥ 50 % av prøvene >LOQ. For hyse, torsk, kveite og blåskjell: Statistisk ikke forskjellige grupper innenfor samme matrise (linje) er markert med samme bokstav, statistisk forskjellige med forskjellig bokstav.

P-verdier

Mangan (Mn)

Revsbotn/

Midt Repparfjord

Revsbotn/

Indre Repparfjord

Midt Repparfjord/

Indre Repparfjord

Hyse muskel, 33-60 cm

Hyse lever

<0,005

<0,005

0,02

0,4

0,1

0,06

Torsk muskel

Torsk lever

0,2

0,9

0,6

<0,005

0,006

0,8

Kveite lever 1 0,8 0,06
Blåskjell innmat 0,09 1 0,2

Tabell 25: Resultat av Kruskal-Wallis test, gitt som p-verdier, for matriser med mangankonsentrasjoner, der minst en stasjonsforskjell hadde en p-verdi <0,1. P-verdier <0,1 er markert i rødt , og et tilstrekkelig antall prøver. Angitte lengder (33-60 cm) viser til et størrelsesutvalg av individer som er testet.

3.2.10 - Molybden (Mo)

Molybden viser en stigende gradient i hyselever fra Revsbotn via Midt Repparfjord til Indre Repparfjord (tabellene 26 og 27, figur 11). Forskjellene mellom Revsbotn og begge stasjonene fra Repparfjord er signifikante. For torskelever er nivåene på molybden signifikant høyre i Revsbotn sammenlignet med indre Repparfjord. Konsentrasjonene av molybden i hyse var om lag lik med funnene i hyse i basisundersøkelsen for det Norske fiskeriområdet  (Kögel mfl., 2021).

Figur 11

Molybden konsentrasjoner i matrisene der det var signifikante stasjonsforskjell. Forskjellene var størst i hyse lever, fulgt av torsk lever. Konsentrasjonene i hyse lever fulgte trenden der Indre Repparfjord har høyest konsentrasjon. Konsentrasjonene i torsk lever dannet et annet mønster.
Figur 11: Konsentrasjoner av molybden i de artene og vev som viste signifikante forskjeller mellom stasjoner. Horisontal strek, gjennomsnitt; trekant, median; søyle, standardfeil (sem); feilfelt, konfidensintervall.

Molybden (Mo) µg/kg

Gjennomsnitt (median) ± sem

Min-maks [N]

Revsbotn Midt Repparfjord Indre Repparfjord
Hyse Lever

121 (125) ± 9

60-230 [24] a

174 (170) ± 12

90-260 [21] b

190 (200) ± 17

60-330 [21] b

Hyse,

33-60 cm

Lever

125 (135) ± 16

60-170 [6] a

170 (160) ± 14

90-260 [16] a

195 (205) ± 18

60-330 [20] a

Torsk Lever

188 (190) ± 10

110-260 [23] a

149 (150) ± 7

110-170 [7] a, b

154 (140) ± 9

90-290 [30]  b

Kveite Lever

98 (100) ± 4

80-130 [12] a

102 (100) ± 5

70-180 [21] a

101 (100) ± 5

80-130 [15] a

Blåskjell Innmat

190

180-210 [3 samleprøver] a

180

160-180 [3 samleprøver] a

160

160-170 [3 samleprøver] a

Gapeflyndre Lever X

90 (80) ± 9

90-130 [5]

119 (90) ± 17

70-610 [31]

Kloskate Lever

140 (110) ± 39

70-310 [5]

220

[1]

145 (145) ± 10

120-170 [4]

Smørflyndre Lever

77 (80) ± 3

70-80 [3]

90 (90) ± 4

80-100 [4]

360 (220) ± 144

150-710 [3]

Kongekrabbe Hepatopankreas

X

 

X

 

119 (100) ± 14

80-200 [9]

Sandflyndre Lever

90

[1]

X

 

200

[1]

Uer Lever

X

X

X

Reke Muskel

X

X

X


Tabell 26: Analyseresultater for molybden (Mo) fra Revsbotn og to stasjoner i Repparfjorden. Konsentrasjonene er oppgitt som µg/kg istedenfor mg/kg for å fremheve forskjellene mellom stasjonene. X angir at prøve ikke ble samlet inn. Grønt, stasjoner innenfor matrisen med statistisk signifikant forskjell, tilstrekkelig antall individer og ≥ 50 % av prøvene >LOQ. Blått, matriser med ≤ 50 % av prøvene <LOQ, som indikerer at gjennomsnitt og sem ikke er beregnet. Resultater i muskel var mest under LOQ og er ikke vist. For hyse, torsk, kveite og blåskjell: Statistisk ikke forskjellige grupper innenfor samme matrise (linje) er markert med samme bokstav, statistisk forskjellige med forskjellig bokstav.

 

P-verdier

Molybden (Mo)

Revsbotn /

Midt Repparfjord

Revsbotn/

Indre Repparfjord

Midt Repparfjord/

Indre Repparfjord

Hyse lever 0,01 0,006 1
Torsk lever 0,3 0,02 1

Tabell 27: Resultat av Kruskal-Wallis test, gitt som p-verdier, for matriser med molybdenkonsentrasjoner, der minst en stasjonsforskjell hadde en p-verdi <0,1. P-verdier <0,1 er markert i rødt , og et tilstrekkelig antall prøver.


3.2.11 - Nikkel (Ni)

Nikkelkonsentrasjonene i hyselever viste en gradient med økende nivåer fra Revsbotn via Midt Repparfjord til Indre Repparfjord. Forskjellene mellom Revsbotn og begge Repparfjord-stasjonene var signifikant (tabellene 28 og 29, figur 12). For nikkel i muskel ekskluderte vi en prøve på 6,6 mg/kg fra torsk i Revsbotn da denne hadde et uforklarlig avvik fra de andre prøvene. Konsentrasjonene av nikkel i hyselever fra Indre Repparfjord på gjennomsnittlig 0,54 ± 0,07 mg/kg med en median på 0,5 var høyere enn hyse i basisundersøkelsen for det Norske fiskeriområdet, der medianen var ved LOQ på 0,3 mg/kg (Kögel mfl., 2021).

 

Figur 12

Nikkel konsentrasjoner i matrisen der det var signifikante stasjonsforskjell. Konsentrasjonene i hyse lever fulgte trenden der Indre Repparfjord har høyest konsentrasjon.
Figur 12: Konsentrasjoner av nikkel i de artene og vev som viste signifikante forskjeller mellom stasjoner. Horisontal strek, gjennomsnitt; trekant, median; søyle, standardfeil (sem); feilfelt, konfidensintervall.

Nikkel (Ni) mg/kg

Gjennomsnitt (median) ± sem

Min-maks [N]

Revsbotn Midt Repparfjord Indre Repparfjord
Hyse Lever

0,24 (0,20) ± 0,01

0,20-0,49 [24] a

0,43 (0,41) ± 0,04

0,20-0,88 [21] b

0,54 (0,50) ± 0,07

0,20-1,40 [21] b

Hyse,

33-60 cm

Lever

0,28 (0,23) ± 0,04

0,20-0,49 [6] a

0,44 (0,41) ± 0,05

0,20-0,88 [16] a

0,52 (0,47) ± 0,07

0,20-1,40 [20] a

Torsk Lever

<LOQ 0,2

[23] a

<LOQ 0,2

[7] a

<LOQ 0,2

[30] a

Kveite Lever

0,6 (0,2) ± 0,4

0,2-5,0 [12] a

0,205 (0,200) ± 0,005

0,200-0,300 [21] a

0,3 (0,2) ± 0,1

0,2-2,2 [15] a

Blåskjell Innmat

0,34

0,32-0,49 [3 samleprøver] a

0,14

0,12-0,15 [3 samleprøver] a

<LOQ

0,14-0,15 [3 samleprøver] a

Gapeflyndre Lever

X

0,202 (0,200) ± 0,002

0,200-0,210 [5]

0,37 (0,23) ± 0,08

0,20-2,60 [29]

Kloskate Lever

<LOQ 0,2

[5]

0,23

[1]

<LOQ 0,2

[4]

Smørflyndre Lever

0,3 (0,2) ± 0,1

0,2-0,6 [3]

<LOQ 0,2

[4]

1,7 (1,3) ± 0,6

0,6-3,2 [3]

Kongekrabbe Hepatopankreas

X

X

0,39 (0,3) ± 0,06

0,2-0,74 [9]

Sandflyndre Lever

0,2

[1]

X

0,54

[1]


Tabell 28: Analyseresultater for nikkel (Ni) fra Revsbotn og to stasjoner i Repparfjorden. X angir at prøve ikke ble samlet inn. Grønt, stasjoner innenfor matrisen med statistisk signifikant forskjell, tilstrekkelig antall individer og ≥ 50 % av prøvene >LOQ. Blått, matriser med ≤ 50 % av prøvene <LOQ, som indikerer at gjennomsnitt og sem ikke er beregnet. Resultater i muskel var mest under LOQ og er ikke vist. For hyse, torsk, kveite og blåskjell: Statistisk ikke forskjellige grupper innenfor samme matrise (linje) er markert med samme bokstav, statistisk forskjellige med forskjellig bokstav.

 

P-verdier

Nikkel (Ni)

Revsbotn/

Midt Repparfjord

Revsbotn/

Indre Repparfjord

Midt Repparfjord/

Indre Repparfjord

Hyse lever <0,005 <0,005 1

Tabell 29: Resultat av Kruskal-Wallis test, gitt som p-verdier, for matriser med nikkelkonsentrasjoner, der minst en stasjonsforskjell hadde en p-verdi <0,1. P-verdier <0,1 er markert i rødt , og et tilstrekkelig antall prøver.


3.2.12 - Selen (Se)

Selen viste høyre konsentrasjoner i Revsbotn sammenlignet med Repparfjorden muskel og lever av hyse og i torskemuskel (tabellene 30 og 31, figur 13) . I blåskjell var det omvendt men mye mindre utpreget, og forskjellen var kun signifikant mellom Revsbotn og Midt Repparfjord. Konsentrasjonene av selen i hysemuskel er om lag like høye som i basisundersøkelsen for det Norske fiskeriområdet (0,353 ± 0,003 mg/kg), men i hyselever fra Repparfjorden høyere konsentrasjoner av selen (opp til 2,6 ± 0,1 i gjennomsnitt) enn gjennomsnittet i basisundersøkelsen for det Norske fiskeriområdet (1,73 ± 0,02 mg/kg; Kögel mfl., 2021).

 

Figur 13

 

Selen konsentrasjoner i matrisene der det var signifikante stasjonsforskjell: Hyse muskel og lever, torsk muskel og blåskjell. Konsentrasjonene i hyse og torsk var høyre i Repparfjorden enn i Revsbotn. Konsentrasjonene i blåskjell dannet et annet mønster.
Figur 13: Konsentrasjoner av selen i de artene og vev som viste signifikante forskjeller mellom stasjoner. Horisontal strek, gjennomsnitt; trekant, median; søyle, standardfeil (sem); feilfelt, konfidensintervall.

Selen (Se) mg/kg

Gjennomsnitt (median) ± sem

Min-maks [N]

Revsbotn Midt Repparfjord Indre Repparfjord

Hyse

Muskel

 

Lever

0,29 (0,30) ± 0,01

0,20-0,40 [30] a

1,47 (1,45) ± 0,09

0,51-2,40 [24] a

0,40 (0,40) ± 0,01

0,25-0,61 [31] b

2,6 (2,7) ± 0,1

1,1-3,9 [21] b

0,35 (0,36) ± 0,01

0,23-0,49 [30] b

2,3 (2,2) ± 0,2

0,8-3,9 [21] b

Hyse,

33-60 cm

Muskel

 

Lever

0,29 (0,30) ± 0,02

0,20-0,37 [9] a

1,70 (1,75) ± 0,09

1,30-1,90 [6] a

0,42 (0,4) ± 0,02

0,28-0,61 [21] b

2,7 (2,8) ± 0,2

1,1-3,9 [16] b

0,35 (0,36) ± 0,01

0,23-0,49 [28] c

2,4 (2,3) ± 0,2

0,8-3,9 [20] b

Torsk

Muskel

 

Lever

 

0,26 (0,26) ± 0,01

0,19-0,32 [23] a

1,58 (1,60) ± 0,09

0,95-2,80 [23] a

0,31 (0,33) ± 0,01

0,23-0,41 [18] b

1,34 (1,30) ± 0,07

1,10-1,60 [7] a

0,30 (0,30) ± 0,01

0,20-0,41 [30] b

1,45 (1,45) ± 0,06

0,93-2,30 [30] a

Kveite

Muskel

 

Lever

0,42 (0,43) ± 0,01

0,35-0,47 [14] a

2,25 (2,25) ± 0,09

1,80-2,90 [12] a

0,42 (0,43) ± 0,01

0,30-0,49 [21] a

2,34 (2,30) ± 0,08

1,80-3,20 [21] a

0,42 (0,42) ± 0,01

0,36-0,51 [15] a

2,2 (2,1) ± 0,1

1,5-2,9 [15] a

Blåskjell Innmat

O,51 (0,50) ± 0,02

0,47-0,56 [3 samleprøver] a

0,39 (0,38) ± 0,01

0,37-0,41 [3 samleprøver] b

0,43 (0,42) ± 0,01

0,41-0,45 [3 samleprøver] a,b

Gapeflyndre

Muskel

 

Lever

0,25 ± 0,01

0,24-0,26

[2]

X

0,35 (0,32) ± 0,06

0,20-0,57 [5]

2,1 [1,3] ± 0,6

1,0-4,8 [5]

0,30 (0,31) ± 0,01

0,21-0,40 [31]

1,55 (1,40) ± 0,08

0,83-2,70 [31]

Kloskate

Muskel

 

Lever

0,31 (0,28) ± 0,02

0,25-0,38 [5]

0,85 (0,78) ± 0,06

0,7-1,1 [5]

0,36

[1]

1,6

[1]

0,33 (0,34) ± 0,02

0,28-0,37 [4]

1,00 (1,00) ± 0,03

0,92-1,10 [4]

Smørflyndre

Muskel

 

Lever

0,6 (0,5) ± 0,1

0,5-0,8 [3]

2,0 (2,2) ± 0,3

1,4-2,4 [3]

0,48 (0,46) ± 0,07

0,33-0,68 [4]

2,6 (2,3) ± 0,6

1,3-4,6 [4]

0,40 (0,41) ± 0,04

0,30-0,48 [3]

1,5 (1,4) ± 0,2

1,2-2,0 [3]

Kongekrabbe

Muskel

 

Hepatopankreas

X

 

X

X

 

X

0,40 (0,40) ± 0,01

0,35-0,46 [10]

1,6 (1,6) ± 0,2

1,0-2,4 [10]

Sandflyndre

Muskel

 

Lever

0,28

[1]

2

[1]

X

 

X

0,23

[1]

1,1

[1]


Tabell 30: Analyseresultater for selen (Se) fra Revsbotn og to stasjoner i Repparfjorden. X angir at prøve ikke ble samlet inn. Grønt, stasjoner innenfor matrisen med statistisk signifikant forskjell, tilstrekkelig antall individer og ≥ 50 % av prøvene >LOQ. For hyse, torsk, kveite og blåskjell: Statistisk ikke forskjellige grupper innenfor samme matrise (linje) er markert med samme bokstav, statistisk forskjellige med forskjellig bokstav.

P-verdier

Selen (Se)

Revsbotn/

Midt Repparfjord

Revsbotn/

Indre Repparfjord

Midt Repparfjord/

Indre Repparfjord

Hyse muskel

Hyse lever

Hyse muskel, 33-60 cm

Hyse lever, 33-60 cm

<0,005

<0,005

<0,005

<0,005

<0,005

<0,005

0,06

0,06

0,2

0,5

0,03

0,4

Torsk muskel 0,002 0,002 1
Blåskjell innmat 0,03 0,5 0,7

Tabell 31: Resultat av Kruskal-Wallis test, gitt som p-verdier, for matriser med selenkonsentrasjoner, der minst en stasjonsforskjell hadde en p-verdi <0,1. P-verdier <0,1 er markert i rødt , og et tilstrekkelig antall prøver. Angitte lengder (33-60 cm) viser til et størrelsesutvalg av individer som er testet.

 

 

3.2.13 - Sink (Zn)

Sink har signifikant lavere konsentrasjoner i hyselever fra Revsbotn sammenlignet med Repparfjorden (tabellene 32 og 33, figur 14) . Konsentrasjonene av sink i hyselever fra Revsbotn er omtrent på nivå med gjennomsnittet i basisundersøkelsen for det Norske fiskeriområdet (16,9 ± 0,2 mg/kgKögel mfl., 2021), mens gjennomsnittet i Repparfjorden er høyere (opp til 27 ± 1 mg/kg).

Figur 14

Sink konsentrasjoner i matrisen der det var signifikante stasjonsforskjell: hyse lever. Konsentrasjonene var høyre i Repparfjorden enn i Revsbotn.
Figur 14: Konsentrasjoner av sink i de artene og vev som viste signifikante forskjeller mellom stasjoner. Horisontal strek, gjennomsnitt; trekant, median; søyle, standardfeil (sem); feilfelt, konfidensintervall.

Sink (Zn) mg/kg

Gjennomsnitt (median) ± sem

Min-maks [N]

Revsbotn Midt Repparfjord Indre Repparfjord
Hyse

Muskel

 

Lever

3,47 (3,50) ± 0,07

2,70-4,20 [30] a

18 (18) ± 1

8-31 [24] a

3,54 (3,50) ± 0,05

2,90-4,20 [31] a

27 (28) ± 1

12-37 [21] b

3,46 (3,50) ± 0,06

2,90-4,30 [30] a

25 (25) ± 2

11-37 [21] b

Hyse,

33-60 cm

Muskel

 

Lever

3,33 (3,30) ± 0,06

2,30-3,70 [9] a

20 (19) ± 1

16-26 [6] a

3,42 (3,40) ± 0,05

2,90-3,90 [21] a

27 (27) ± 2

12-36 [16] b

3,44 (3,45) ± 0,06

2,90-4,30 [28] a

26 (26) ± 2

11-37 [20] a,b

Torsk

Muskel

 

Lever

3,80 (3,90) ± 0,07

3,10-4,50 [23] a

27 (27) ± 1

16-39 [23] a

4,0 (3,9) ± 0,1

3,1-5,8 [18] a

23 (24) ± 1

15-28 [7] a

3,86 (3,90) ± 0,08

2,90-5,10 [30] a

26 (25) ± 1

16-46 [30] a

Kveite

Muskel

 

Lever

3,88 (3,70) ± 0,08

3,50-4,40 [14] a

32,7 (33,0) ± 0,4

28,0-39,0 [12] a

3,83 (3,90) ± 0,08

3,30-4,60 [21] a

32 (32) ± 1

23-40 [21] a

3,97 (3,90) ± 0,07

3,40-4,40 [15] a

33 (32) ± 2

26-48 [15] a

Blåskjell Innmat

10,4 (9,6) ± 0,7

9,6-12,0 [3 samleprøver] a

9,6 (9,6) ± 0,1

9,4-9,9 [3 samleprøver] a

10,0 (10,0) ± 0,5

0,1-11,0 [3 samleprøver] a

Gapeflyndre

Muskel

 

Lever

4,3 ± 0,4

3,7-4,9

[2]

X

4,1 (3,5) ± 0,7

2,9-7,0 [5]

38 (46) ± 5

24-49 [5]

3,53 (3,50) ± 0,09

2,60-4,70 [31]

39 (40) ± 2

9-63 [31]

Kloskate

Muskel

 

Lever

4,2 (3,9) ± 0,2

3,8-4,9 [5]

14 (11) ± 2

10-22 [5]

4,2

[1]

25

[1]

4,1 (4,0) ± 0,2

3,6-4,6 [4]

14 (14)

14-14 [4]

Smørflyndre

Muskel

 

Lever

3,1 (3,2) ± 0,1

2,8-3,3 [3]

15,7 (16) ± 0,9

14-17 [3]

3,3 (3,3) ± 0,1

3,0-3,6 [4]

69 (66) ± 7

55-91 [4]

3,30 (3,20) ± 0,08

3,20-3,50 [3]

19 (19) ± 0,7

17-20 [3]

Kongekrabbe

Muskel

 

Hepatopankreas

X

 

X

X

 

X

 

45 (43) ± 2

36-56 [10]

37 (35) ± 2

29-52 [9]

Sandflyndre

Muskel

 

Lever

4,7

[1]

33

[1]

X

 

X

3,3

[1]

27

[1]


Tabell 32: Analyseresultater for sink (Zn) fra Revsbotn og to stasjoner i Repparfjorden. X angir at prøve ikke ble samlet inn. Grønt, stasjoner innenfor matrisen med statistisk signifikant forskjell, tilstrekkelig antall individer og ≥ 50 % av prøvene >LOQ. For hyse, torsk, kveite og blåskjell: Statistisk ikke forskjellige grupper innenfor samme matrise (linje) er markert med samme bokstav, statistisk forskjellige med forskjellig bokstav.

P-verdier

Sink (Zn)

Revsbotn/

Midt Repparfjord

Revsbotn/

Indre Repparfjord

Midt Repparfjord/

Indre Repparfjord

Hyse lever

Hyse lever, 33-66 cm

<0,005

0,08

0,006

0,1

1

1


Tabell 33: Resultat av Kruskal-Wallis test, gitt som p-verdier, for matriser med sinkkonsentrasjoner, der minst en stasjonsforskjell hadde en p-verdi <0,1. P-verdier <0,1 er markert i rødt , og et tilstrekkelig antall prøver. Angitte lengder (33-60 cm) viser til et størrelsesutvalg av individer som er testet.

 

3.2.14 - Sølv (Ag)

Sølv har signifikant lavere konsentrasjoner i hyselever fra Revsbotn sammenlignet med Repparfjorden (tabellene 34 og 35, figur 15). Konsentrasjonene av sølv i hyselever fra Repparfjorden er om lag på samme nivå som gjennomsnittet i basisundersøkelsen for det Norske fiskeriområdet (0,315 ± 0,009 mg/kg; Kögel mfl., 2021), mens gjennomsnittet i Revsbotn er lavere (0,162 ± 0,026 mg/kg).

 

Sølv konsentrasjoner i matrisen der det var signifikante stasjonsforskjell: hyse lever og blåskjell. Konsentrasjonene i hyse lever var høyre i Repparfjorden enn i Revsbotn, mens blåskjell konsentrasjonene dannet et annet mønster.
Figur 15: Konsentrasjoner av sølv i de artene og vev som viste signifikante forskjeller mellom stasjoner. Horisontal strek, gjennomsnitt; trekant, median; søyle, standardfeil (sem); feilfelt, konfidensintervall.

Sølv (Ag) µg/kg

Gjennomsnitt (median) ± sem

Min-maks [N]

Revsbotn Midt Repparfjord Indre Repparfjord
Hyse Lever

162 (125) ± 26

38-650 [24] a

330 (260) ± 64

58-1400 [21] b

311 (280) ± 44

51-830 (21) b

Hyse, 33-60 cm Lever

262 (200) ± 79

62-650 [6] a

401 (300) ± 76

58-1400 [16] a

319 (290) ± 45

51-830 (20) a

Torsk Lever

590 (470) ± 98

31-1700 [23] a

324 (350) ± 62

71-630 [7] a

433 (400) ± 59

68-1800 [30] a

Kveite Lever

124 (130) ± 10

110-500 [12] a

79 (70) ± 11

12-210 [21] a

72 (62) ± 11

25-170 [15] a

Blåskjell Innmat

6 (6) ± 7

5-8 [3 samleprøver] a

5,7 (6,0) ± 0,3

5,0-6,0 [3 samleprøver] a,b

1,3 (1,0) ± 0,3

1,0-2,0 [3 samleprøver] b

Gapeflyndre Lever

X

890 (43) ± 741

11-4200 [5]

11 (9) ± 1

6-46 [31]

Kloskate Lever

314 (270) ± 83

110-620 [5]

540

[1]

200 ± 28

14-26 [2]

Smørflyndre Lever

7 (8) ± 1

5-9 [3]

952 (565) ± 492

78-2600 [4]

7,3 (7) ± 0,3

7-8 [3]

Kongekrabbe Hepatopankreas

X

X

304 (220) ± 75

38-660 [9]

Sandflyndre Lever

43

[1]

X

28

[1]


Tabell 34: Analyseresultater for sølv (Ag) fra Revsbotn og to stasjoner i Repparfjorden. Konsentrasjonene er oppgitt som µg/kg istedenfor mg/kg for å fremheve forskjellene mellom stasjonene. X angir at prøve ikke ble samlet inn. Grønt, stasjoner innenfor matrisen med statistisk signifikant forskjell, tilstrekkelig antall individer og ≥ 50 % av prøvene >LOQ. Resultater i muskel var mest under LOQ og er ikke vist. For hyse, torsk, kveite og blåskjell: Statistisk ikke forskjellige grupper innenfor samme matrise (linje) er markert med samme bokstav, statistisk forskjellige med forskjellig bokstav.

 

P-verdier

Sølv (Ag)

Revsbotn/

Midt Repparfjord

Revsbotn/

Indre Repparfjord

Midt Repparfjord/

Indre Repparfjord

Hyse lever 0,03 0,01 1
Blåskjell innmat 1 0,09 0,2

Tabell 35: Resultat av Kruskal-Wallis test, gitt som p-verdier, for matriser med sinkkonsentrasjoner, der minst en stasjonsforskjell hadde en p-verdi <0,1. P-verdier <0,1 er markert i rødt, og et tilstrekkelig antall prøver. Angitte lengder (33-60 cm) viser til et størrelsesutvalg av individer som er testet.


3.2.15 - Vanadium (V)

I hysemuskel ble vanadium funnet å være signifikant høyest i Midt Repparfjord (tabellene 36 og 37, figur 16). Konsentrasjonene er om lag lik resultatene for hyse i basisundersøkelsen for det Norske fiskeriområdet (Kögel mfl., 2021).

 

Figur 16

Vanadium konsentrasjoner i matrisen der det var signifikante stasjonsforskjell: hyse muskel. Konsentrasjonene dannet et annet mønster enn den overordnete trenden der Indre Repparfjord har høyest konsentrasjon.
Figur 16: Konsentrasjoner av vanadium i de artene og vev som viste signifikante forskjeller mellom stasjoner. Horisontal strek, gjennomsnitt; trekant, median; søyle, standardfeil (sem); feilfelt, konfidensintervall.

Vanadium (V) µg/kg

Gjennomsnitt (median) ± sem

Min-maks [N]

Revsbotn Midt Repparfjord Indre Repparfjord
Hyse

Muskel

 

Lever

7 (4) ± 2

1-59 [30] a

82 (51) ± 19

8-410 [24] a

15 (12) ± 3

3-50 [31] b

311 (150) ± 88

25-1500 [21] a

7,3 (6,5) ± 0,9

1,0-26,0 [30] a

126 (77) ± 39

23-900 [21] a

Hyse,

33-60 cm

Muskel

 

Lever

9 (5) ± 1

1-15 [9] a

120 (70) ± 53

42-410 [6] a

13 (12) ± 2

3-49 [21] b

290 (130) ± 107

25-1500 [16] a

7,3 (6,5) ± 1

1-26 [28] a,b

130 (83) ± 41

23-900 [20] a

Torsk

Muskel

 

Lever

1,6 (1,0) ± 0,3

0,9-6,0 [23] a

56 (39) ± 13

14-250 [23] a

2,4 (1,0) ± 0,8

0,9-16 [18] a

35 (18) ± 13

4-110 [7] a

2,2 (1,0) ± 0,8

0,9-17,0 [30] a

63 (24) ± 17

8-460 [30] a

Kveite

Muskel

 

Lever

1

0,8-2 [14] a

60 (18) ± 23

8-270 [12] a

1

1-3 [21] a

38 (26) ± 8

13-170 [21] a

1

0,9-1 [15] a

33 (24) ± 5

9-71 [15] a

Blåskjell Innmat

170 (170) ± 9

150-190 [3 samleprøver] a

92 (95) ± 2

87-95 [3 samleprøver] a

167 (170) ± 3

160-170 [3 samleprøver] a

Gapeflyndre

Muskel

 

Lever

 

5 ± 2

2-7 [2]

X

 

14 (5) ± 6

1-31 [5]

124 (35) ± 52

25-280 [5]

6 (2) ± 3

1-99 [31]

319 (37) ± 174

10-4600 [31]

Kloskate

Muskel

 

Lever

2,2 (2) ± 0,3

1-3 [5]

33 (35) ± 6

17-49 [5]

6

[1]

99

[1]

8 (5) ± 3

2-19 [4]

57 (60) ± 4

43-65 [4]

Smørflyndre

Muskel

 

Lever

5 (4) ± 2

2-10 [3]

681 (23) ± 660

2-560 [3]

5 (5) ± 1

2-8 [4]

99 (61) ± 38

44-230 [4]

6 (3) ± 3

2-13 [3]

148 (53) ± 87

31-360 [3]

Kongekrabbe

Muskel

 

Hepatopankreas

 

X

 

X

X

 

X

8 (7) ± 1

2-16 [10]

338 (240) ± 110

36-1200 [9]

Sandflyndre

Muskel

 

Lever

 

9

[1]

970

[1]

X

 

X

4

[1]

160

[1]


Tabell 36: Analyseresultater for vanadium (V) fra Revsbotn og to stasjoner i Repparfjorden. Konsentrasjonene er oppgitt som µg/kg istedenfor mg/kg for å fremheve forskjellene mellom stasjonene. X angir at prøve ikke ble samlet inn. Grønt, stasjoner innenfor matrisen med statistisk signifikant forskjell, tilstrekkelig antall individer og ≥ 50 % av prøvene >LOQ. Blått, matriser med ≤ 50 % av prøvene <LOQ, som indikerer at gjennomsnitt og sem ikke er beregnet. For hyse, torsk, kveite og blåskjell: Statistisk ikke forskjellige grupper innenfor samme matrise (linje) er markert med samme bokstav, statistisk forskjellige med forskjellig bokstav.

P-verdier

Vanadium (V)

Revsbotn/

Midt Repparfjord

Revsbotn/

Indre Repparfjord

Midt Repparfjord/

Indre Repparfjord

Hyse muskel

Hyse muskel, 33-60 cm

<0,005

0,05

0,2

0,4

0,09

0,6


Tabell 37: Resultat av Kruskal-Wallis test, gitt som p-verdier, for matriser med vanadiumkonsentrasjoner, der minst en stasjonsforskjell hadde en p-verdi <0,1. P-verdier <0,1 er markert i rødt , og et tilstrekkelig antall prøver. Angitte lengder (33-60 cm) viser til et størrelsesutvalg av individer som er testet.

4 - Samlet vurdering og konklusjoner

I denne undersøkelsen ble det valgt prøveinnsamling med fangst med bunngarn om høsten for å unngå vårens gytevandring og for derved å få mest mulig stasjonære arter. Dette medførte at det bare var tilstrekkelige antall individer for statistisk analyse av torsk, hyse, kveite og blåskjell. Av disse artene viste det seg at hyse var den arten som i størst grad hadde signifikante forskjeller mellom stasjonene i mengde av de undersøkte grunnstoffene. Hyse har et levesett og en næringsøkologi som i større grad enn torsk og kveite er knyttet til inntak av bunnorganismer. Torsk og kveite har en betydelig andel fisk i dietten, mens hyse også vil kunne beite på børstemark som lever på eller i bunnsedimentet. Dette kan forklare noen av forskjellene som ble observert mellom artene.

Både i hysemuskel og hyselever var det signifikant høyere konsentrasjoner av arsen, bly, jern og selen i fisk fra begge stasjonene i Repparfjorden sammenlignet med Revsbotn (figur 17). Dette var også tilfellet i hyselever for kobber, molybden, nikkel, sink og sølv (figur 17), mens hysemuskel viser de samme forskjellene for krom (figur 17) og for mangan (kun for hyse fra 33-60 cm, tabell 24). Kobber i hysemuskel og krom i hyselever var bare signifikant høyere på stasjon Indre Repparfjord sammenlignet med Revsbotn. Videre var kvikksølv og kadmium i hyselever i Midt Repparfjord signifikant høyere enn i Revsbotn. Kvikksølv, kadmium, vanadium og mangan i hyselever forekom med konsentrasjoner som var signifikant forskjellige mellom Revsbotn og Midt Repparfjord, i hyselever (kvikksølv, kadmium og mangan) eller hysemuskel (vanadium), men ikke Indre Repparfjord. Disse forskjellene samsvarte altså ikke med mønsteret der Revsbotn hadde lavere nivå sammenlignet med den antatte kilden i Indre Repparfjord.

Arsen, bly, jern, kobber, krom, molybden og nikkel i hyselever viser en tydelig konsentrasjonsgradient fra Revsbotn via Midt Repparfjord til Indre Repparfjord (se grafisk sammendrag på frontside). Det samme gjelder for arsen, bly, jern, kobber og krom i hysemuskel. Sølv i hyselever er også tydelig høyere i Repparfjord enn Revsbotn, men viser ikke tydelig stasjonsforskjell mellom Midt og Indre Repparfjord. For alle disse er forskjellene statistisk signifikant mellom Revsbotn og hver av stasjonene i Repparfjorden. For kobber i hyselever er i tillegg forskjellen mellom Midt og Indre Repparfjord statistisk signifikant.

Disse resultatene bekrefter og utfyller studiene som be sitert i innledningen, og som tyder på at det er jern, krom, kobber og nikkel som bør overvåkes (Christensen mfl., 2011; Fu and Lu, 2019; Kleiv, 2011; Pedersen mfl., 2017; Schaanning mfl., 2019). I området med industriell aktivitet vil det for konsumenter og fiskerer alltid være betryggende at de mest giftige grunnstoffer med grenseverdier, bly, kadmium og kvikksølv, blir overvåket i tillegg, selv om det kun var bly av disse som viste signifikant høyere konsentrasjoner i hyse fra begge stasjonene i Repparfjorden sammenlignet med Revsbotn.

Mulige årsaker til disse forskjellene er påvirkning fra gammelt deponi, avrenning fra fjellområder rundt fjorden, overvann fra tettsteder og tilførsel fra Repparfjordelven. For å avklare dette trengs en omfattende undersøkelse av de mulige kildene.

Det er mulig at blåskjell gjennom sitt foretrukne habitat representerer forholdene i de øvre vannlagene ned til 20 m, mens hyse som er en predator på bunnen med stasjonær adferd representerer bunnforholdene best. Torsk er mye brukt som indikatorart, men her ble det ikke funnet samme tydelige geografiske gradient i konsentrasjoner av analyserte grunnstoffer som for hyse. En mulig forklaring kan være at torskeyngel i stor grad slår seg ned på bunnen på grunt vann (ofte <10 m dyp) hvor de er relativt stasjonære inntil de blir større og trekker ut mot dypere vann (Karlsen og van der Meeren, 2013). For kveite var det enda færre individer tilgjengelig for analysene enn for torsk, og heller ikke her ble det funnet klare geografiske gradienter i analyserte grunnstoffer.


Figur 17

​  Figur 17: Konsentrasjoner av grunnstoffer i hyselever og hysemuskel. Søyler angir konsentrasjoner normalisert til Revsbotn (verdi lik 1). Feilfelt er standardfeil (sem), relativ til normalisert verdi. Asterisk (*) viser til statistisk signifikant forskjell fra Revsbotn.  ​
Figur 17: Konsentrasjoner av grunnstoffer i hyselever og hysemuskel. Søyler angir konsentrasjoner normalisert til Revsbotn (verdi lik 1). Feilfelt er standardfeil (sem), relativ til normalisert verdi. Asterisk (*) viser til statistisk signifikant forskjell fra Revsbotn.

 

Samlet sett finner denne undersøkelsen økte nivå av flere grunnstoffer i hyse fra Repparfjorden, og mest utpreget i indre delen av fjorden der deponering av gruveavfall skjedde på 1970-tallet. Dette gjelder særlig i sammenligning med Revsbotn, men i mindre grad med basisundersøkelsen gjennomført for hele det Norske fiskeriområdet (figur 18).

Forskjellene i innhold av grunnstoffer hos kveite, blåskjell og torsk var ofte ikke like store som for hyse (arsen, jern i muskel, krom i kveitelever, selen i torskemuskel). Noen ganger fulgte de andre artene mønsteret med de laveste verdiene i Revsbotn, men forskjellene kunne også mangle signifikans (bly), eller vise forskjellige signifikante mønstre som ikke passet inn i det som ble funnet for hyse med de laveste verdiene i Revsbotn. Blåskjell hadde de laveste konsentrasjonene av jern og mangan midt i Repparfjorden, kobolt i torskelever var høyest i Revsbotn, mangan i torskemuskel og kveitelever var lavest i Indre Repparfjord mens for molybden i torskelever og selen og sølv i blåskjell var de høyeste konsentrasjonene i Revsbotn.

Sammenlignet med basisundersøkelsen (Kögel mfl., 2021) var arsen- og kvikksølvkonsentrasjonene i hyse lave både for lever og muskel. Nivået av sølv i hyselever var lavere i Revsbotn enn i basisundersøkelsen, men ikke i Repparfjorden. Videre var nikkel, selen og kobber noe høyere i hyselever fra Repparfjorden enn gjennomsnittet for hyselever i basisundersøkelsen, mens dette ikke var tilfellet i Revsbotn. I hyselever er det tre grunnstoffer som skiller seg ut i sammenligningen med basisundersøkelsen; molybden, krom og bly viser tydelig høyere verdier enn basisundersøkelsen med en stigende trend fra Revsbotn via Midt Repparfjord til Indre Repparfjord. Verdiene for bly i de to fjordene var veldig høye i hyselever sammenlignet med basisundersøkelsen, og det samme mønsteret ble også funnet i hysemuskel (figur 18).

Vi foreslår å bruke hyse som indikatorart for videre oppfølging av Repparfjordens tilstand, dersom gruvedeponering skulle bli etablert. En undersøkelse av fisk i Indre Repparfjorden gjennomført av Havforskningsinstituttet i oktober 2021 viser betydelig forekomst av ung hyse i dette området, noe som tyder på at hele indre delen av fjorden er et viktig oppvekstområde for denne arten (observasjon: Terje van der Meeren). I denne rapporten viste det seg at hyse var den mest sensitive arten for endringer i innhold av grunnstoffer, og arten virker derfor lovende som kandidat til overvåkning av nåværende og framtidig gruvedeponier. Hyse er den fjerde viktigste arten for norske fiskerier (Nedreaas mfl., 2021). Kunnskap om innholdet av fremmedstoffer og næringsstoffer i norsk sjømat er derfor viktig og nødvendig for å kunne vurdere om sjømaten er trygg for forbrukerne. Videre stilles det stadig strengere krav til dokumentasjon på at fisk som eksporteres til andre land ikke har konsentrasjoner av fremmedstoffer som overstiger de grenseverdiene de enkelte land har satt for ulike fremmedstoffer.

Vi har i dette arbeidet valgt å presentere resultater for flere grunnstoffer enn det vi vanligvis gjør i studier av giftige grunnstoffer som kan påvirke mattrygghet. Dette kan være viktig i områder der man kan forvente endringer ut over vanlig variasjon på grunn av egenskaper som for eksempel metallinnhold i deponerte masser. Det kan derfor være viktig å følge et bredt spekter av grunnstoffer i oppfølgingsstudier av sjødeponier for gruveavfall, fordi slike deponier kan ha svært ulik karakteristikk med hensyn til innhold av tungmetaller og andre miljøskadelige grunnstoffer.


Figur 18

Sammenlignet med hyse basisundersøkelse, som inkluderer hyse fra Nordsjøen, Norskehavet og Barentshavet, var en stigende trend for basisundersøkelsen og Revsbotn via Midt of Indre Repparfjord tydelig for nikkel, molybden, krom og bly i lever og for kobber, jern og bly i muskel.
Figur 18: Konsentrasjoner av grunnstoffer i hyselever og hysemuskel som viste en signifikant høyre konsentrasjon på en stasjon fra Repparfjorden sammenlignet med Revsbotn: Søyler angir konsentrasjoner normalisert til gjennomsnittet i hyselever i basisundersøkelsen over hele det norske fiskeriområdet (Kögel mfl., 2021; verdi lik 1). Feilfelt er standardfeil (sem), relativ til normalisert verdi.

 

5 - Litteratur

Andersson, M., Finne, T.E., Jensen, L.K., and Eggen, O.A. (2018). Geochemistry of a copper mine tailings deposit in Repparfjorden, northern Norway. Sci Total Environ 644, 1219-1231.

Azad, A.M., Frantzen, S., Bank, M.S., Madsen, L., and Maage, A. (2021). Mercury bioaccumulation pathways in tusk (Brosme brosme) from Sognefjord, Norway: Insights from C and N isotopes. Environ Pollut 269.

Baeten, N.J., Lepland, A., Boe, R., Amundsen, A., Chand, S., and Longva, O. (2020). Distribution, deposition and impact of submarine mine tailings disposal on the fjord bottom in Fraenfjorden, western Norway. Norw J Geol 100.

Bohlin-Nizetto, P., Aas, W., and Nikiforov, V. (2019). Monitoring of environmental air and precipitation, NILU, ed. https://www.miljodirektoratet.no/globalassets/publikasjoner/m1736/m1736.pdf .

Christensen, G.N., Kvassness, A.J.S., Tjomslad, T., Leikvin, Ø., Kempa, M., Kolluru, V., Velvin, R., Dahl-Hansen, G.A.P., and Jørgensen, N.M. (2011). Konsekvenser for det marine miljøet i Repparfjorden ved etablering av sjø- eller landdeponi for gruveavgang fra Nussir og Ulveryggen i Kvalsund kommune, Finnmark. In Akvaplan-Niva AS Rapport https://kvalsund.custompublish.com/getfile.php/1660124.747.upyurcuddx/15.+Konsekvenser+for+det+marine+milj%C3%B8et+i+Repparfjorden+.+Akvaplan-niva,+NIVA+2011.pdf?&force=1.

Conway, T.M., and John, S.G. (2014). Quantification of dissolved iron sources to the North Atlantic Ocean. Nature 511, 212-215.

Doksæter, L.S., and Johnsen, E. (2016). Evaluering og opprydding av offisielle gytekart. In Rapport fra Havforskningen https://www.hi.no/resources/publikasjoner/rapport-fra-havforskningen/2016/hi-rapp_12-2016_gytekart_til_web.pdf.

EFSA (2009). Scientific Opinion on Arsenic in Food. EFSA Journal 7(10):1351.

EFSA (2010). Scientific Opinion on Lead in Food. EFSA Journal 8(4):1570.

EFSA (2017). Dietary reference values for nutrients. Summary report. (EFSA Supporting Publications)

Eggleton, J., and Thomas, K.V. (2004). A review of factors affecting the release and bioavailability of contaminants during sediment disturbance events. Environ Int 30, 973-980.

Fu, S., and Lu, J.M. (2019). Temperature-driven variation in the removal of heavy metals from contaminated tailings leaching in northern Norway. Environ Monit Assess 191.

Havforskningsinstitutt (2012). Høring av Søknad om Tillatelse – Nussir ASA i Kvalsund Kommune https://docplayer.me/45471996-Horing-av-soknad-om-tillatelse-nussir-asa-i-kvalsund-kommune-horingssvar.html .

Hong, Y.S., Kim, Y.M., and Lee, K.E. (2012). Methylmercury exposure and health effects. J Prev Med Public Health 45, 353-363.

Jelmert, A., and Bergh, O. (1995). Bruk av sinkanoder kan skape problem i klekkerier for marine arter. Havforskningsnytt No. 16, 2 pphttps://imr.brage.unit.no/imr-xmlui/handle/11250/115600.

Jickells, T.D., An, Z.S., Andersen, K.K., Baker, A.R., Bergametti, G., Brooks, N., Cao, J.J., Boyd, P.W., Duce, R.A., Hunter, K.A. , mfl. (2005). Global iron connections between desert dust, ocean biogeochemistry, and climate. Science 308, 67-71.

Julshamn, K., Maage, A., Norli, H.S., Grobecker, K.H., Jorhem, L., and Fecher, P. (2007). Determination of arsenic, cadmium, mercury, and lead by inductively coupled plasma/mass spectrometry in foods after pressure digestion: NMKL1 interlaboratory study. J Aoac Int 90, 844-856.

Kleiv, R.A. (2011). Fysiske og kjemiske egenskaper til flotasjonsavgang fra Nussir- og Ulveryggen-forekomstene - En supplert sammenstilling av laboratorieresultater fra SGS Mineral Services, Canada. (NTNU Norges teknisk- naturvitenskapelige universitet; https://www.eftasurv.int/cms/sites/default/files/documents/gopro/4210-Nussir%2001%20Fysiske%20og%20kjemiske%20egenskaper.pdf.

Kögel, T., Frantzen, S., Bakkejord, J.A., Kjellevold, M., and Maage, A. (2021). Basisundersøkelse av fremmedstoffer i hyse - Tungmetaller, sporelementer og organiske miljøgifter i hyse (Melanogrammus aeglefinus) fra Skagerrak, Nordsjøen, Norskehavet og Barnetshavet. In Rapport fra havforskningen; https://www.hi.no/hi/nettrapporter?y=2021&query=&serie=&fast_serie).

Kögel, T., Maage, A., and Ørnsrud, R. (2016). Sjømat i Oslofjorden – Uønskede stoffer i torsk, makrell og taskekrabbe - Overvåking av forurensede havner og fjorder 2013-2015. NIFES rapport, https://www.hi.no/hi/nettrapporter/rapporter-nifes/2017/sjomat-oslofjorden-uonskede-stoffer-torsk-makrell-taskekrabbe.

Li, F., Ma, C.M., and Zhang, P.J. (2020). Mercury Deposition, Climate Change and Anthropogenic Activities: A Review. Front. Earth Sci., 31 July 2020 | https://doi.org/10.3389/feart.2020.00316.

Magalhaes, M.C., Costa, V., Menezes, G.M., Pinho, M.R., Santos, R.S., and Monteiro, L.R. (2007). Intra- and inter-specific variability in total and methylmercury bioaccumulation by eight marine fish species from the Azores. Mar Pollut Bull 54, 1654-1662.

Miljødirektoratet (2016). Tillatelse til virksomhet etter forurensingsloven for Nurris ASA https://www.regjeringen.no/contentassets/0da96c16ad2b49f59afc736215ac1056/nussir-tillatelse-l322223.pdf.

Miljøstatus. Forurensing i torsk i Barentshavet https://miljostatus.miljodirektoratet.no/tema/hav-og-kyst/havindikatorer/barentshavet/forurensende-stoffer/forurensning-i-torsk-i-barentshavet/.

Morse, J.W. (1994). Release of Toxic Metals Via Oxidation of Authigenic Pyrite in Resuspended Sediments. Acs Sym Ser 550, 289-297.

Nedreaas, K., Kuhnle, G.A., Kjellevold, M., and Iversen, S. (2021). The Norwegian small scale fishery and data provided for the IHH FAO project (Bergen, Norway: Havforskningsinstituttet)

Niyogi, S., and Wood, C.M. (2004). Biotic ligand model, a flexible tool for developing site-specific water quality guidelines for metals. Environ Sci Technol 38, 6177-6192.

Paranjape, A.R., and Hall, B.D. (2017). Recent advances in the study of mercury methylation in aquatic systems. FACETS • 7 February 2017 • https://doi.org/10.1139/facets-2016-0027

Pedersen, K.B., Jensen, P.E., Ottosen, L.M., Evenset, A., Christensen, G.N., and Frantzen, M. (2017). Metal speciation of historic and new copper mine tailings from Repparfjorden, Northern Norway, before and after acid, base and electrodialytic extraction. Miner Eng 107, 100-111.

Pedersen, K.B., Jensen, P.E., Sternal, B., Ottosen, L.M., Henning, M.V., Kudahl, M.M., Junttila, J., Skirbekk, K., and Frantzen, M. (2018). Long-term dispersion and availability of metals from submarine mine tailing disposal in a fjord in Arctic Norway. Environ Sci Pollut R 25, 32901-32912.

Schaanning, M.T., Trannum, H.C., Oxnevad, S., and Ndungu, K. (2019). Benthic community status and mobilization of Ni, Cu and Co at abandoned sea deposits for mine tailings in SW Norway. Mar Pollut Bull 141, 318-331.

Seto, M., Wada, S., and Suzuki, S. (2013). The effect of zinc on aquatic microbial ecosystems and the degradation of dissolved organic matter. Chemosphere 90, 1091-1102.

Simonsen, A.M.T., Pedersen, K.B., Bach, L., Sternal, B., Junttila, J., and Elberling, B. (2018). Applying Chemometrics to Determine Dispersion of Mine Tailing-Affected Sediments from Submarine Tailing Disposal in Bokfjorden, Northern Norway. Water Air Soil Poll 229.

Simpson, S.L., and Spadaro, D.A. (2016). Bioavailability and Chronic Toxicity of Metal Sulfide Minerals to Benthic Marine Invertebrates: Implications for Deep Sea Exploration, Mining and Tailings Disposal. Environ Sci Technol 50, 4061-4070.

Simpson, S.L., Ward, D., Strom, D., and Jolley, D.F. (2012). Oxidation of acid-volatile sulfide in surface sediments increases the release and toxicity of copper to the benthic amphipod Melita plumulosa. Chemosphere 88, 953-961.

Tam, J.C., Link, J.S., Large, S.I., Bogstad, B., Bundy, A., Cook, A.M., Dingsor, G.E., Dolgov, A.V., Howell, D., Kempf, A., mfl. (2016). A trans-Atlantic examination of haddock Melanogrammus aeglefinus food habits. J Fish Biol 88, 2203-2218.

van der Meeren, T. (2019). Eggundersøkelser i Repparfjorden og Revsbotn i april 2018. Rapport fra Havforskningen Nr. 2019-5. 30pp.

Vandermeersch, G., Lourenco, H.M., Alvarez-Munoz, D., Cunha, S., Diogene, J., Cano-Sancho, G., Sloth, J.J., Kwadijk, C., Barcelo, D., Allegaert, W. , mfl. (2015). Environmental contaminants of emerging concern in seafood - European database on contaminant levels. Environ Res 143, 29-45.

6 - Vedlegg

Tilleggstabell 1: Analyseresultater for arsen (As) fra Revsbotn og Repparfjorden som ett tallsett og Bøkfjorden.

Arsen (As)

mg/kg

Gjennomsnitt (median) ± sem

Min-maks [N]

Revsbotn og

Repparfjorden

Bøkfjorden

Hyse

Muskel

 

Lever

4,7 (3,6) ± 0,4

0,7-18,0 [91]

6,9 (5,5) ± 0,6

1,7-21 [66]

12 (9) ± 4

6-25 [4]

15

[1 samleprøve]

Torsk

Muskel

 

Lever

2,1 (1,8) ± 0,2

0,2-5,3 [71]

4,2 (4,1) ± 0,2

1,3-9,3 [60]

13 (4) ± 8

3-33 [3]

27

[1 samleprøve]

Kveite

Muskel

 

Lever

5,5 (5,4) ± 0,2

2,6-9,3 [50]

6,8 (5,6) ± 0,6

2,5-21 [48]

X

 

X

Blåskjell Innmat

1,8 (1,8) ± 0,03

1,7-2,0  [9 samleprøver]

X

 

Gapeflyndre

Muskel

 

Lever

7,8 (6,9) ± 0,7

2,8-30,0 [38]

13 (7) ± 3

3-120 [36]

9 (6) ± 3

5-16 [3]

X

Kloskate

Muskel

 

Lever

41 (34) ± 6

25-85 [10]

13 (10) ± 2

7-32 [10]

X

 

X

Smørflyndre

Muskel

 

Lever

17 (11) ± 4

7-54 [10]

11 (7) ± 2

2-21 [10]

X

 

X

 

Kongekrabbe

Muskel

 

Hepatopankreas

11,8 (11,5) ± 0,9

8,2-16,0 [10]

8,9 (8,8) ± 0,7

5-14 [10]

7,2

[1]

7,9

[1]

Rødspette

Muskel

X

13 ± 3

10-17 [2]

Sandflyndre

Muskel

 

Lever

6 ± 2

3-8,3 [2]

14 ± 7

4-24 [2]

4,4

[1]

X

Uer

Muskel

 

Lever

X

 

X

3,4 (3,3) ± 0,6

2,2-4,8 [3]

1,7

[1 samleprøve]

Reke

Muskel

X

35

[1 samleprøve]


Tilleggstabell 2: Analyseresultater for bly (Pb) fra Revsbotn og Repparfjorden som ett tallsett og Bøkfjorden. Blått, matriser med ≤ 50 % prøver <LOQ; gjennomsnitt og sem er ikke beregnet.

Bly (Pb)

µg/kg

Gjennomsnitt (median) ± sem

Min-maks [N]

Revsbotn og

Repparfjorden

Bøkfjorden
Hyse

Muskel

 

Lever

19 (12) ± 2

4-92 [91]

495 (190) ± 78

10-2100 [66]

9 (5) ± 4

5-22 [4]

110

[1 samleprøve]

Torsk

Muskel

 

Lever

5

4-25 [71]

20

10-37 [60]

4-5 (LOQ)

[3]

20 (LOQ)

[1 samleprøve]

Kveite

Muskel

 

Lever

5

4-10 [50]

20

10-24 [48]

X

 

X

Blåskjell

Innmat

95

73-140 [9 samleprøver]

X

Gapeflyndre

Muskel

 

Lever

11 (5) ± 6

4-250 [38]

28 (22) ± 2

20-87 [36]

4-5 (LOQ)

[3]

X

Kloskate

Muskel

 

Lever

12 (11) ± 2

5-25 [10]

143 (73) ± 45

20-440 [10]

X

 

X

Smørflyndre

Muskel

 

Lever

16 (14) ± 3

4-41 [10]

361 (200) ± 820

20-1100 [10]

X

 

X

Kongekrabbe

Muskel

 

Hepatopankreas

5,5

4-7 [10]

58 (46) ± 17

20-190 [9]

4 (LOQ)

[1]

15

[1]

Rødspette

Muskel

X

4-5 (LOQ)

[2]

Sandflyndre

Muskel

 

Lever

4 (LOQ)

[2]

60 ± 3

56-64 [2]

4 (LOQ)

[1]

X

Uer

Muskel

 

Lever

X

 

X

5,3 (5) ± 0,3

5-6 [3]

10

[1 samleprøve]

Reke  

X

6

[1 samleprøve]


Tilleggstabell 3:  Analyseresultater for jern (Fe) fra Revsbotn og Repparfjorden som ett tallsett og Bøkfjorden.

Jern (Fe)

mg/kg

Gjennomsnitt (median) ± sem

Min-maks [N]

Revsbotn og

Repparfjorden

Bøkfjorden
Hyse

Muskel

 

Lever

2,250 (2,00) ± 0,09

0,940-5,00 [91]

55 (52) ± 4

7-170 [66]

2,2 (2,2) ± 0,3

1,6-3 [4]

36

[1 samleprøve]

Torsk

Muskel

 

Lever

1,55 (1,50) ± 0,05

0,79-3,10 [71]

29 (23) ± 3

8-120 [60]

1,27 (1,2) ± 0,05

0,82-3,1 [3]

38

[1 samleprøve]

Kveite

Muskel

 

Lever

1,09 (1,10) ± 0,03

0,49-1,90 [50]

73 (69) ± 4

21-130 [48]

X

 

X

Blåskjell

Innmat

31 (35) ± 3

20-38 [9 samleprøver]

X

Gapeflyndre

Muskel

 

Lever

1,6 (1,4) ± 0,1

0,9-4,8 [37]

81 (63) ± 11

3-380 [36]

2 ± 0,3

1,4-2,6 [2]

X

Kloskate

Muskel

 

Lever

3,8 (3,4) ± 0,5

2,0-8,0 [10]

158 (150) ± 23

74-330 [10]

X

 

X

Smørflyndre

Muskel

 

Lever

1,6 (1,1) ± 0,3

0,7-4,2 [10] 63

(49) ± 16

22-200 [10]

X

 

X

 

Kongekrabbe

Muskel

 

Hepatopankreas

1,8 (1,8) ± 0,1

1,2-2,3 [10]

88 (59) ± 32

123-350 [9]

2,2

[1]

69

1]

Rødspette

Muskel

X

2,1 ± 0,5

1,4-2,7 [2]

Sandflyndre

Muskel

 

Lever

1,8 ±  0,3

1,3-2,2 [2]

195 ± 53

120-279 [2]

3

[1]

X

Uer

Muskel

 

Lever

X

 

X

2,8 (2,4) ± 0,4

2,3-3,7 [3]

72

[1 samleprøve]

Reke

Muskel

X

4,8

[1 samleprøve]


Tilleggstabell 4: Analyseresultater for kadmium (Cd) fra Revsbotn og Repparfjorden som ett tallsett og Bøkfjorden. Blått, matriser med ≤ 50 % prøver <LOQ; gjennomsnitt og sem er ikke beregnet.

Kadmium (Cd)

µg/kg

Gjennomsnitt (median) ± sem

Min-maks [N]

Revsbotn og

Repparfjorden

Bøkfjorden
Hyse Lever

142 (130) ± 12

15-610 [66]

72

[1 samleprøve]

Torsk Lever

114 (73) ± 16

15-78 [60]

140

[1 samleprøve]

Kveite Lever

265 (225) ± 28

48-1300 [48]

X

Blåskjell Innmat

180

130-220 [9 samleprøver]

X

Gapeflyndre Lever

176 (86) ± 56

29-2100 [36]

X

Kloskate

Lever

162 (130) ± 31

61-410 [10]

X

Smørflyndre Lever

375 (185) ± 140

77-1600 [10]

X

Kongekrabbe

Hepatopankreas

225 (260) ± 48

19-410 [9]

110

[1]

Sandflyndre

Lever

1255 ± 527

510-2000 [2]

X

Uer

Lever

X

100

[1 samleprøve]

Reke

Muskel

X

55

[1 samleprøve]


Tilleggstabell 5:  Analyseresultater for kobber (Cu) fra Revsbotn og Repparfjorden som ett tallsett og Bøkfjorden.

Kobber (Cu)

mg/kg

Gjennomsnitt (median) ± sem

Min-maks [N]

Revsbotn og

Repparfjorden

Bøkfjorden
Hyse

Muskel

 

Lever

0,208 (0,210) ± 0,004

0,120-0,430 [91]

4,9 (4,2) ± 0,4

1,1-14,0 [66]

0,17 (0,17) ± 0,02

0,13-0,22 [4]

7,3

[1 samleprøve]

Torsk

Muskel

 

Lever

0,21 (0,20) ± 0,05

0,13-0,25 [71]

7,2 (6,7) ± 0,5

1,2-24 [60]

0,17 (0,15) ± 0,01

0,15-0,20 [3]

9,2

[1 samleprøve]

Kveite

Muskel

 

Lever

0,183 (0,180) ± 0,004

0,130-0,250 [50]

7,7 (7,4) ± 0,4

2,7-17,0 [48]

X

 

X

Blåskjell

Innmat

1,00 (0,92) ± 0,06

0,77-1,40 [9 samleprøver]

X

Gapeflyndre

Muskel

 

Lever

0,16 (0,14) ± 0,02

0,10-0,80 [38]

5,0 (3,7) ± 0,7

0,4-23,0 [36]

0,13 (0,11) ± 0,02

0,11-0,17 [3]

X

Kloskate

Muskel

 

Lever

0,31 (0,26) ± 0,03

0,23-0,54 [10]

13 (8) ± 3

3-36 [10]

X

 

X

Smørflyndre

Muskel

 

Lever

0,106 (0,105) ± 0,008

0,065-0,160 [10]

10 (10) ± 6

1-69 [10]

X

 

X

Kongekrabbe

Muskel

 

Hepatopankreas

14 (13) ±  1

10-20 [10]

29 (14) ± 7

8-57 [9]

10

[1]

26

[1]

Rødspette

Muskel

X

0,135 ± 0,004

0,13-0,14 [2]

Sandflyndre

Muskel

 

Lever

0,135 (0,135) ± 0,004

0,130-0,140 [2]

8 ± 4

3-14 [2]

0,14

[1]

X

Uer

Muskel

 

Lever

X

 

X

0,23 (0,23) ± 0,02

0,18-0,28 [3]

X

Reke

Muskel

X

5

1 samleprøve]


Tilleggstabell 6:  Analyseresultater for kobolt (Co) fra Revsbotn og Repparfjorden som ett tallsett og Bøkfjorden. Blått, matriser med ≤ 50 % prøver <LOQ; gjennomsnitt og sem er ikke beregnet.

Kobolt (Co)

µg/kg

Gjennomsnitt (median) ± sem

Min-maks [N]

Revsbotn og

Repparfjord

Bøkfjorden
Hyse

Lever

27 (23) ± 8

10-160 [66]

20

[1 samleprøve]

Torsk

Lever

34 (30) ± 2

13-73 [60]

26

[1 samleprøve]

Kveite

Lever

38 (36) ± 2

20-81 [48]

X

Blåskjell

Innmat

63

41-75 [9 samleprøver]

X

Gapeflyndre

Lever

130 (120) ± 11

20-310 [36]

X

Kloskate

Lever

45 (29) ± 11

26-140 [10]

X

Smørflyndre

Lever

116 (95) ± 25

39-310 [10]

X

Kongekrabbe

Hepatopankreas

84 (81) ± 14

43-190 [9]

130

[1]

Sandflyndre

Lever

205 ± 74

100-310 [2]

X

 

Uer

Lever

X

47

[1]

Reke

Muskel

X

15

[1 samleprøve]


Tilleggstabell 7:  Analyseresultater for krom (Cr) fra Revsbotn og Repparfjorden som ett tallsett og Bøkfjorden. Blått, matriser med ≤ 50 % prøver <LOQ; gjennomsnitt og sem er ikke beregnet.

Krom (Cr)

µg/kg

Gjennomsnitt (median) ± sem

Min-maks [N]

Revsbotn og

Repparfjorden

Bøkfjorden
Hyse

Muskel

 

Lever

14 (6) ± 3

4-230 [91]

141 (63) ± 23

10-1100 [66]

5 (5) ± 0

5-5 [4]

110

[1 samleprøve]

Torsk

Muskel

 

Lever

5

4-20 [71]

20

10-170 [60]

5

4-5 [3]

110

[1 samleprøve]

Kveite

Muskel

 

Lever

5

4-48 [50]

41 (23) ± 6

18-230 [48]

X

 

X

Blåskjell

Innmat

280

110-520 [9 samleprøver]

X

Gapeflyndre

Muskel

 

Lever

5

3-110 [38]

312 (165) ± 102

28-3700 [36]

8

5-50 [3]

X

Kloskate

Muskel

 

Lever

15 (7) ± 5

5-46 [10]

50 (23) ± 21

15-240 [10]

X

 

X

Smørflyndre

Muskel

 

Lever

12 (7) ± 4

4-44 [10]

664 (120) ± 386

20-4200 [10]

X

 

X

Kongekrabbe

Muskel

 

Hepatopankreas

12 (11) ± 2

7-20 [10]

264 (100) ± 137

20-1400 [9]

34

[1]

130

[1]

Rødspette

Muskel

 

X

4,5 ± 0,4

4-5 [2]

Sandflyndre

Muskel

 

Lever

9,5 ± 0,4

9,0-10,0 [2]

X

5

[1]

X

Uer

Muskel

 

Lever

 

X

 

X

28 (28) ± 8

11-44 [3]

28

[1 samleprøve]

Reke

Muskel

X

150

[1 samleprøve]


Tilleggstabell 8:  Analyseresultater for kvikksølv (Hg) fra Revsbotn og Repparfjorden som ett tallsett og Bøkfjorden.

Kvikksølv (Hg)

µg/kg

Gjennomsnitt (median) ± sem

Min-maks [N]

Revsbotn og

Repparfjorden

Bøkfjorden
Hyse

Muskel

 

Lever

24 (20) ± 1

8-63 [91]

12,6 (11,0) ± 0,8

3,0-32,0 [66]

20 (20) ± 3

11-27 [4]

8

[1 samleprøve]

Torsk

Muskel

 

Lever

43 (39) ± 2

14-110 [71]

24 (22) ± 2

6-78 [60]

30 (20) ± 10

10-50 [3]

23

[1 samleprøve]

Kveite

Muskel

 

Lever

26 (20) ± 2

8-78 [50]

22 (20) ± 1

9-45 [48]

X

Blåskjell

Innmat

9,1 (8,0) ± 0,5

8,0-12,0 [9 samleprøver]

X

Gapeflyndre

Muskel

 

Lever

42 (33) ± 4

7-130 [38]

21 (15) ± 3

8-76 [36]

23 (32) ± 9

2-35 [3]

X

Kloskate

Muskel

 

Lever

56 (52) ± 6

34-99 [10]

33 (23) ± 8

17-91 [10]

X

 

X

Smørflyndre

Muskel

Lever

34 (26) ± 7

14-80 [10]

23 (17) ± 13

13-54 [10]

X

 

X

Kongekrabbe

Muskel

 

Hepatopankreas

28 (29) ± 2

17-41 [10]

21 (21) ± 4

7-40 [9]

46

[1]

23

[1]

Rødspette

Muskel

X

18 ± 1

16-20 [2]

Sandflyndre

Muskel

 

Lever

130 ± 85

60-300 [2]

102 ± 48

33-170 [2]

27

[1]

X

Uer

Muskel

 

Lever

X

 

X

15 (14) ± 2

1-2 [3]

27

[1 samleprøve]

Reke

Muskel

X

38 [1 samleprøve]


Tilleggstabell 9:  Analyseresultater for mangan (Mn) fra Revsbotn og Repparfjorden som ett tallsett og Bøkfjorden.

Mangan (Mn)

mg/kg

Gjennomsnitt (median) ± sem

Min-maks [N]

Revsbotn og

Repparfjorden

Bøkfjorden
Hyse

Muskel

 

Lever

0,112 (0,092) ± 0,006

0,040-0,380 [91]

0,99 (0,86) ± 0,07

0,21-40 [66]

0,10 (0,09) ± 0,01

0,08-0,13 [4]

0,77

[1 samleprøve]

Torsk

Muskel

 

Lever

0,096 (0,093) ± 0,004

0,039-0,180 [71]

0,91 (0,87) ± 0,04

0,44-1,50 [60]

0,08 (0,08) ± 0,01

0,05-0,11 [3]

0,94

[1 samleprøve]

Kveite

Muskel

 

Lever

0,107 (0,110) ± 0,003

0,063-0,160 [50]

1,16 (1,15) ± 0,05

0,65-2,50 [48]

X

 

X

Blåskjell

Innmat

0,60 (0,63) ± 0,05

0,42-0,87 [9 samleprøver]

X

Gapeflyndre

Muskel

Lever

0,142 (0,145) ± 0,007

0,064-0,220 [38]

0,78 (0,77) ± 0,03

0,41-1,10 [36]

0,20 (0,21) ± 0,02

0,15-0,23 [3]

X

Kloskate

Muskel

 

Lever

0,17 (0,15) ± 0,01

0,13-0,24 [10]

1,0 (0,9) ± 0,1

0,6-1,6 [10]

X

 

X

Smørflyndre

Muskel

 

Lever

0,11 (0,06) ± 0,01

0,06-0,20 [10]

0,9 (0,9) ± 0,1

0,4-1,6 [10]

X

 

X

Kongekrabbe

Muskel

 

Hepatopankreas

0,27 (0,27) ± 0,02

0,20-0,36 [10]

2,7 (2,5) ± 0,4

0,9-5,0 [9]

0,27

[1]

3,5

[1]

Rødspette

Muskel

X

0,060 ± 0,006

0,051-0,068 [2]

Sandflyndre

Muskel

 

Lever

0,050 ± 0,006

0,041-0,058 [2]

1,20 ± 0,04

1,1-1,2 [2]

0,07

[1]

X

Uer

Muskel

 

Lever

X

 

X

0,11 (0,09) ± 0,01

0,09-0,14 [3]

0,9

[1 samleprøve]

Reke

Muskel

X

0,26

[1]


Tilleggstabell 10:  Analyseresultater for molybden (Mo) fra Revsbotn og Repparfjorden som ett tallsett og Bøkfjorden. Blått, matriser med ≤ 50 % prøver <LOQ; gjennomsnitt og sem er ikke beregnet.

Molybden (Mo)

µg/kg

Gjennomsnitt (median) ± sem

Min-maks [N]

Revsbotn og

Repparfjord

Bøkfjorden
Hyse

Lever

160 (150) ± 8

60-330 [66]

110

[1 samleprøve]

Torsk

Lever

166 (160) ± 6

90-290 [60]

190

[1 samleprøve]

Kveite

Lever

101 (100) ± 3

70-180 [48]

X

Blåskjell

Innmat

180

160-210 [9 samleprøver]

X

Gapeflyndre

Lever

115 (90) ± 15

70-610 [36]

X

Kloskate

Lever

150 (125) ± 21

70-310 [10]

X

Smørflyndre

Lever

167 (90) ± 59

70-710 [10]

X

 

Kongekrabbe

Hepatopankreas

119 (100) ± 14

80-200 [9]

80

[1]

Sandflyndre

Lever

 

145 ± 39

90-200 [2]

X

Uer

Lever

X

120

[1 samleprøve]

Reke

Muskel

X

20

[1 samleprøve]


Tilleggstabell 11:  Analyseresultater for nikkel (Ni) fra Revsbotn og Repparfjorden som ett tallsett og Bøkfjorden. Blått, matriser med ≤ 50 % prøver <LOQ; gjennomsnitt og sem er ikke beregnet.

Nikkel (Ni)

mg/kg

Gjennomsnitt (median) ± sem

Min-maks [N]

Revsbotn og

Repparfjord

Bøkfjorden
Torsk

Lever

<LOQ 0,2

[60]

<LOQ 0,2

[1 samleprøve]

Hyse

Lever

0,39 (0,32) ± 0,03

0,2-1,4 [66]

<LOQ 0,2

[1 samleprøve]

Kveite

Lever

0,2

0,2-5 [48]

X

 

Blåskjell

Innmat

0,15

0,12-0,49 [9 samleprøver]

X

Gapeflyndre

Lever

0,2

0,2-2,6

X

Kloskate

Lever

0,2

0,2-0,23 [10]

X

Smørflyndre

Lever

0,7 (0,2) ± 0,3

0,2-3,2 [10]

X
Kongekrabbe

Hepatopankreas

0,3

0,2-0,74 [9]

0,59

[1]

Sandflyndre

Lever

0,37

0,2-0,54 [2]

X

Uer

Lever

X

<LOQ 0,2

[1 samleprøve]

Reke

Muskel

X

0,09

[1 samleprøve]


Tilleggstabell 12:  Analyseresultater for selen (Se) fra Revsbotn og Repparfjorden som ett tallsett og Bøkfjorden.

Selen (Se)

mg/kg

Gjennomsnitt (median) ± sem

Min-maks [N]

Revsbotn og

Repparfjorden

Bøkfjorden
Hyse

Muskel

 

Lever

0,35 (0,35) ± 0,01

0,20-0,61 [91]

2,1 (2,1) ± 0,1

0,5-3,9 [66]

0,32 (0,32) ± 0,02

0,27-0,38 [4]

1,6

[1 samleprøve]

Torsk

Muskel

 

Lever

0,29 (0,29) ± 0,01

0,19-0,42 [71]

1,49 (1,50) ± 0,05

0,93-2,80 [60]

0,24 (0,25) ± 0,02

0,20-0,28 [3]

1,4

[1 samleprøve]

Kveite

Muskel

 

Lever

0,42 (0,43) ± 0,01

0,30-0,51 [50]

2,28 (2,20) ± 0,05

1,50-3,20 [48]

X

 

X

Blåskjell

Innmat

0,44 (0,42) ± 0,02

0,37-0,56

[9 samleprøver]

X

Gapeflyndre

Muskel

 

Lever

0,31 (0,31) ± 0,01

0,20-0,57 [38]

1,6 (1,4) ± 0,1

0,8-4,8 [36]

0,44 (0,38) ± 0,09

0,28-0,66 [3]

X

Kloskate

Muskel

 

Lever

0,32 (0,34) ± 0,01

0,25-0,38 [10]

0,98 (0,95) ± 0,08

0,70-1,60 [10]

X

 

X

Smørflyndre

Muskel

 

Lever

0,49 (0,47) ± 0,05

0,30-0,83 [10]

2,1 (2,0) ± 0,3

1,2-4,6 [10]

X

 

X

Kongekrabbe

Muskel

 

Hepatopankreas

0,44 (0,44) ± 0,01

0,35-0,46 [10]

1,6 (1,6) ± 0,2

0,99-2,40 [10]

0,32

[1]

1

[1]

Rødspette

Muskel

X

0,4 ± 0,1

0,25-0,58 [2]

Sandflyndre

Muskel

 

Lever

0,26 ± 0,03

0,23-0,28 [2]

1,6 ± 0,3

1,1-1,0 [2]

0,36

[1]

X

Uer

Muskel

 

Lever

X

 

X

0,56 (0,56) ± 0,04

0,46-0,65 [3]

2,1

[1 samleprøve]

Reke

Muskel

X

0,37

[1]


Tilleggstabell 13: Analyseresultater for sink (Zn) fra Revsbotn og Repparfjorden som ett tallsett og Bøkfjorden.

Sink (Zn)

mg/kg

Gjennomsnitt (median) ± sem

Min-maks [N]

Revsbotn og

Repparfjorden

Bøkfjorden
Hyse

Muskel

 

Lever

3,49 (3,50) ± 0,03

2,70-4,30 [91]

23,4 (23,0) ± 0,9

7,5-37,0 [66]

3,10 (3,10) ± 0,04

3,00-3,20 [4]

20

[1 samleprøve]

Torsk

Muskel

 

Lever

3,87 (3,90) ± 0,05

2,90-5,80 [71]

25,9 (25,0) ± 0,8

15,0-46,0 [60]

3,3 (3,3) ± 0,1

3,1-3,6 [3]

22

[1 samleprøve]

Kveite

Muskel

 

Lever

3,89 (3,90) ± 0,04

3,30-4,60 [50]

33,0 (32,0) ± 0,7

23,0-48,0 [48]

X

 

X

Blåskjell

Innmat

10,00 (9,60) ± 0,29

9,10-12,00 [9 samleprøver]

X

Gapeflyndre

Muskel

 

Lever

3,7 (3,5) ± 0,1

2,6-7,0 [38]

39 (42) ± 2

9-63 [36]

3,07 (3,1) ± 0,07

2,7-4,2 [3]

X

Kloskate

Muskel

 

Lever

4,2 (4,0) ± 0,1

3,6-4,9 [10]

15 (14) ± 2

10-25 [10]

X

 

X

Smørflyndre

Muskel

Lever

3,24 (3,20) ± 0,07

2,80-3,60 [10]

38 (20) ± 9

14-91 [10]

X

 

X

Kongekrabbe

Muskel

 

Hepatopankreas

45 (43) ± 2

36-56 [10]

37 (35) ± 2

29-52 [9]

44

[1]

41

[1]

Rødspette

Muskel

X

4,5 ± 0,4

3,9-5,1 [2]

Sandflyndre

Muskel

 

Lever

4,0 (4,0) ± 0,5

3,3-4,7 [2]

30 ± 2

27-33 [2]

4,6

[1]

X

Uer

Muskel

X

 

X

3,5 (3,4) ± 0,08

3,4-3,7 [3]

32

[1 samleprøve]

Reke

Muskel

X

12

[1 samleprøve]


Tilleggstabell 14:  Analyseresultater for sølv (Ag) fra Revsbotn og Repparfjorden som ett tallsett og Bøkfjorden.

Sølv (Ag)

µg/kg

Gjennomsnitt (median) ± sem

Min-maks [N]

Revsbotn og

Repparfjorden

Bøkfjorden
Hyse

Lever

263 (185) ± 28

38-1400 [66]

220

[1 samleprøve]

Torsk

Lever

481 (395) ± 50

31-1800 [60]

690

[1 samleprøve]

Kveite

Lever

88 (85) ± 7

15-210 [48]

X

Gapeflyndre

Lever

137 (9) ± 116

6-4200 [36]

X

Kloskate

Lever

291 (255) ± 53

110-620 [10]

X

Smørflyndre

Lever

385 (9) ± 245

5-2600 [10]

X

Kongekrabbe

Hepatopankreas

304 (220) ± 75

38-660 [9]

120

[1]

Sandflyndre

Lever

36 ± 5

28-43 [2]

X

Uer

Lever

X

10

[1 samleprøve]

Reke

Muskel

X

95

[1 samleprøve]


Tilleggstabell 15:  Analyseresultater for vanadium (V) fra Revsbotn og Repparfjorden som ett tallsett og Bøkfjorden. Blått, matriser med ≤ 50 % prøver <LOQ; gjennomsnitt og sem er ikke beregnet.

Vanadium (V)

µg/kg

Gjennomsnitt (median) ±  sem

Min-maks [N]

Revsbotn og

Repparfjorden

Bøkfjorden
Hyse

Muskel

 

Lever

10 (6) ± 1

1-59 [91]

392 (320) ± 30

8-1500 [66]

3,8 (4,0) ± 0,5

2-5 [4]

81

[1 samleprøve]

Torsk

Muskel

 

Lever

2,0 (1,0) ±  0,3

0,9-17,0 [71]

57 (27) ± 10

4-460 [60]

1,00 (1,00) ± 0,05

0,90-1,00 [3]

40

[1 samleprøve]

Kveite

Muskel

 

Lever

1

0,8-3 [50]

42 (24) ± 7

8-270 [48]

X

 

X

Blåskjell

Innmat

143 (160) ± 10

87-190 [9]

X

Gapeflyndre

Muskel

 

Lever

7 (2) ±  3

1-99 [38]

292 (36) ± 151

10-4600 [36]

2 (2) ± 0

2-2 [3]

X

Kloskate

Muskel

 

Lever

5 (3) ±  2

1-19 [10]

49 (48) ± 7

17-99 [10]

X

 

X

Smørflyndre

Muskel

 

Lever

5 (4) ± 1

2-13 [10]

288 (51) ± 183

20-2000 [10]

X

 

X

Kongekrabbe

Muskel

 

Hepatopankreas

8 (7) ± 1

2-16 [10]

338 (240) ± 110

36-1200 [9]

11

[1]

110

[1]

Rødspette

Muskel

X

1,5 ± 0,3

1-2 [2]

Sandflyndre

Muskel

 

Lever

7 ± 1

4-9 [2]

565 ± 286

160-970 [2]

2

[1]

X

Uer

Muskel

 

Lever

X

 

X

2 (1) ± 1

1-5 [3]

40

[1 samleprøve]

Reke

Muskel

X

18

[1 samleprøve]