Gå til hovedinnhold

Forskerutvalg om sjøpattedyr 2021

— Råd om forskning og forvaltning

Forfatter(e): Arne Bjørge , Nils Øien , Martin Biuw , Tore Haug og Kjell Tormod Nilssen (HI)
Redaktør(er): Arne Bjørge (HI)

Sammendrag

Forskerutvalg om sjøpattedyr som ble opprettet i 2009, består av femten forskere fra syv forskningsinstituttet i Norge. Utvalget møttes 21.-22. oktober i Tromsø for å utarbeide anbefalinger om forvaltning, vern og forskning på sjøpattedyr i 2022. Det foreligger et nytt bestandsestimat for vågehval basert på tellinger i 2014-2019. Dette estimatet som er ca 50% høyere enn i tidligere telleperioder, skal behandles av IWC’s Vitenskapskomité våren 2022 og legges til grun for et nytt Implementation Review. Anbefaling om kvoter for 2022 må utarbeides før IWC’s behandling foreligger. HI må derfor gjøre simuleringene selv som grunnlag for kvoteråd. For grønlandssel i Vesterisen ga Utvalget sin tilslutning til anbefalingene fra ICES om en kvote på 11 548 dyr i 2021. Utvalget gir også sin tilslutning til anbefalingen fra ICES om en kvote på 21 172 grønlandssel i Østisen for 2021. (Den Blandede Norsk-Russiske Fiskerikommisjonen allokerte i et virtuelt møte den 12.-16. oktober 2020, 
7 000 grønlandssel av denne kvoten til Norge.) Utvalget mener at det fortsatt bør være nullkvote på klappmyss i Vesterisen i 2021 i samsvar med anbefalingen fra ICES, dog slik at det er adgang til å ta noen få dyr til vitenskapelige formål. For havert anbefaler utvalget uforandrede kvoter på 60 dyr i forvaltningsområdet Lista-Stad og 140 dyr i forvaltningsområdet Vesterålen-Varanger, fordelt med 25 dyr i Troms og 115 dyr i Finnmark. For forvaltningsområdet Stad-Lofoten anbefales fortsatt nullkvote. For steinkobbe anbefaler utvalget en totalkvote på 268 dyr fordelt på de fylkesvise forvaltningsenhetene som vist i Tabell 1. Det anbefales imidlertid ikke åpning for jakt på bestandene i indre Sognefjorden, Vestland, og Lysefjorden, Rogaland. 
 

1 - Innledning

I tildelingsbrevet til Havforskningsinstituttet (HI) for 2009, ba Fiskeri- og kystdepartementet HI opprette et bredt sammensatt forskerutvalg for sjøpattedyr. Utvalget skal bistå HI i spørsmål om forvaltningsrådgivning og hvilke utfordringer som bør dekkes på forskningssiden på dette feltet. Forskerutvalget bør ha en sammensetning som gjenspeiler hele bredden i Regjeringens rådgivningsbehov. HI har oppnevnt femten eksperter fra åtte forskjellige institutter (syv etter sammenslåing av HI og NIFES) som representerer hele den faglige bredden av sjøpattedyr-forskningen i Norge. Alle institutter med vesentlig forskning på sjøpattedyr er representert i Forskerutvalget. Årets møte er det siste i inneværende oppnevningsperiode. Nytt utvalg må derfor utnevnes for neste fireårsperiode.

Utvalget gir råd om kvoter for bestander som beskattes og om fredning av bestander som ikke tåler beskatning. Kvotene for fangst av vågehval er basert på tallrikhetsestimat som godkjennes av Vitenskapskomiteen til Den internasjonale hvalfangstkommisjonen (IWC) til bruk i forvaltning, og kvotene regnes ut etter et regelverk utarbeides av IWCs Vitenskapskomité. Kvoter for fangst av grønlandssel er basert på bestandsestimat som er godkjent av Det internasjonale havforskningsrådet (ICES) og bestandssimuleringer gjort av arbeidsgrupper i ICES. Kvotene på havert og steinkobbe er basert på nasjonale tellinger, men forvaltningsrådgivningen på disse artene evalueres med jevne mellomrom av Vitenskapskomiteen til Den nordatlantiske sjøpattedyrkommisjonen (NAMMCO).

I tillegg til råd om bestandsovervåkning av arter i norske farvann, gir Utvalget også råd om hva slags forskning som bør utføres for bedre å forstå sjøpattedyrenes roller i økosystemene, sjøpattedyrenes økologi og fysiologi og hvordan ulike miljøforhold og menneskelig aktivitet påvirker sjøpattedyrene. I den sammenheng er dyrevelferd under avlivning og fangst, eller ved levende-strandinger av hval, samt utilsiktet bifangst i fiskeredskap et viktig aspekt. Utvalget gir også råd om forskning på trygge og sunne sjøpattedyrprodukter.

Anbefalingene fra Forskerutvalget kvalitetssikres av HIs Rådgivningskomité før det oversendes forvaltningsmyndighetene.

Deltakere på møtet i 2021 og dagsorden for møtet finnes i Annex 1.

2 - Hvalbestander

2.1 - Vågehval

Nils Øien orienterte om årets hvaltelletokt og økosystemtokt, samt grunnlaget for å sette kvoter for neste års høsting av vågehvalbestanden. Orienteringen følger som Annex 2.

Foto av vågehval i vannflaten

Vågehval. Tellinger i perioden 2014-2019 ga et 50% høyere estimat enn tidligere tellesekvenser. Dette skyldes nok mer forflytning av vågehval i Nord-Atlanteren enn en ren bestandsøkning. Foto: Kjell Arne Fagerheim.

I 2020 startet en ny seks-års-syklus (2020-2025) for å kartlegge hvalbestander og tallrikhet, og da spesielt for vågehval, i Nordøst-Atlanteren. I 2020 ble forvaltningsområdet EW dekket. Toktet sommeren 2021 dekket Jan Mayen-området, det vil si forvaltningsområdet CM, som hører til ‘Medium Area’ C (tidligere omtalt som Sentralbestanden) for vågehval. Dette området er logistisk utfordrende for hvalfangerne i og med at det er avsidesliggende og mye plaget med dårlige værforhold for fangst. Sannsynligvis er dette også først og fremst et gjennomvandringsområde for vågehval med varierende beitemuligheter, og dette gjør det vanskelig å finne gode konsentrasjoner av vågehval som gjør fangstinnsats attraktiv. Siste år med fangst i området var 2010, og da ble kun én hval fanget.

Telletoktdata fra syklusen 2014-2019 ble opparbeidet og presentert til årets møte i IWC/SC, men ble ikke diskutert der. Det er nå en prosess i gang der estimatet skal vurderes intersesjonelt under ASI-gruppa i IWC/SC. For Medium Area E (den nordøstatlantiske komponenten) er økningen i tallrikhet fra de foregående syklusene i størrelsesorden 15-20%, men fortsatt under 1995-estimatet. I tillegg er estimatet for Jan Mayen tre ganger høyere enn i den foregående syklusen, slik at for det totale surveyområdet er tallrikheten av vågehval om lag 50% høyere enn i tidligere sykler. Med referanse til tellingen i CM i 2021, har nok dette igjen endret seg, og det må understrekes at det for tida er ganske store forskyvninger i fordelingen av vågehval på sommerbeite i Nordøst-Atlanteren.

2.2 - Andre arter

Årets telling viste at vi hadde uvanlig mange observasjoner av nebbhval. Basert på observasjonsrater, har nebbhval hatt en klar økning gjennom de fire siste tellesyklusene i Jan Mayen-området, i motsetning til alle andre observerte arter, som viser en nedgang i området.

2.3 - DNA registeret for vågehval

Tore Haug orienterte utvalget om statusen for DNA-arkivet for vågehval. Dette er et kontrollsystem som skal hindre ulovlig fangst ved at DNA-profilene til alle hvalene som tas i den norske hvalfangsten registreres. Oppdraget med å drifte og fortløpende oppdatere arkivet har HI fått av NFD etter pålegg fra IWC. Kontrollsystemet innebærer at det tas to vevsprøver fra hver eneste hval som blir tatt i den norske fangsten. Systemet startet på prøvebasis i 1996, og er komplett fra 1997.

I 2020 ble det tatt prøver av alle hvalene som ble landet av norske hvalfangere. Det var ingen prøver som manglet, slik som det har vært flere tidligere år. I 2020 var det ett duplikat. Dette har dermed vært et av de beste årene kvalitetsmessig for DNA-arkivet noensinne.

2.4 - Forskerutvalgets uttalelser

  • Utvalget er tilfreds med at et nytt tallrikhetsestimat for vågehval foreligger basert på tellesyklusen i 2014-2019. Videre tar utvalget til etterretning at IWCs Vitenskapskomité vil behandle estimatet i 2022 samtidig som arbeidet med en ny Implementation Review av vågehval i Nord-Atlanteren initieres.

  • Siden det ikke vil foreligge en ny Implementation Review fra IWC før neste års kvote skal settes, så vil kvotene for 2022 bli beregnet av HI basert på den samme metodikken og forutsetningene som ble brukt i forrige Implementation Review. Den foreløpige oppdateringen av DNA-analysene med materialet som er samlet inn i siste syklus indikerer ikke endringer i bestandsstrukturen for vågehval, og det foreligger heller ikke store endringer i metodikken.

  • Utvalget tar også til etterretning at grunnkvoten for neste seksårsperiode og kvoteforslaget for 2022 ikke foreligger ennå, slik at dette må behandles av utvalget pr korrespondanse.

  • Utvalget er fornøyd med at prøvetakningen av fanget vågehval til DNA-registeret nå ser ut til å fungere tilfredsstillende, men at betydningen av nøyaktig prøvetakning bør understrekes også på kommende årsmøter hos Småkvalfangerlaget.

3 - Selbestander

3.1 - Grønlandssel

Tore Haug viste til at for grønlandssel i Vesterisen, indikerer modelleringer en øking i bestanden fra 1970-tallet fram til tidlig på 2000-tallet hvoretter den ser ut til å ha stabilisert seg, eventuelt avtatt svakt. Orienteringen følger som Annex 3. Estimert totalbestand for 2019 er på 426.808 (95 % konfidensintervall 313 004-540 613) dyr, noe som er betydelig lavere enn ved forrige modellkjøring som ikke inkluderte det siste lave ungeproduksjonsestimatet fra 2018. Modellen gir tilsynelatende et rimelig godt bilde av dagens totale bestandsstatus, men den har store problemer med å tilpasse variasjonen i ungeproduksjonsestimatene. Gitt den observerte nedgangen i ungeproduksjon i 2018, gir modellen heller ikke en realistisk framskriving av bestanden. Det foreligger oppdatert informasjon om både ungeproduksjon (fra 2018) og produksjonsevne (alder ved kjønnsmodning og fertilitetsrate, nye data innsamlet under norsk selfangst i 2014). ICES klassifiserer derfor bestanden som data-rik. På grunn av de nevnte problemer med realistisk modellering av bestanden, har ICES anvendt den såkalte Potential Biological Removal (PBR) metoden (Wade 1998) ved beregning av mulige fangstopsjoner. Som utgangspunkt for denne beregningen ble brukt et gjennomsnitt av bestandsberegningene gjort i de tre foregående modellkjøringene. En fangstopsjon basert på denne tradisjonelle PBR-metoden gir en kvote på 11.548 grønlandssel for 2022. Ved bruk av PBR metoden er det ingen omregningsfaktor mellom unger og voksne dyr.

Foto av grønlandssel

Kvitunge av grønlandssel. Foto: Michael Poltermann .

Kvotefastsettelsen fra Den Blandete Norsk-Russiske Fiskerikommisjonen (digitalt møte 11.-15.oktober 2021) fulgte rådgivningen fra ICES.

For grønlandssel i Østisen, indikerer modelleringer at bestanden økte noe fra 1960-tallet, deretter var det en synkende trend fra tidlig 1980-tall til ca. 2007, da bestanden igjen viste en viss vekst. Estimert totalbestand er på 1.591.745 (95 % konfidensintervall 1.373.695-1.809.794) dyr for 2019. Populasjonsmodellen som benyttes har store problemer med å takle det plutselige observerte fallet i ungeproduksjon i årene fra og med 2004. Den gir rimelig god tilpasning til ungeproduksjonsestimatene i nyere tid, men gir ikke en realistisk framskriving med tanke på projeksjoner av framtidig bestandsnivå. Populasjonsnivået i 2019 ligger på ca. 74% av høyeste observerte nivå (i 1946). Modellen ble også kjørt i en versjon der en også tok inn den store dødeligheten av unger og voksne i årene med selinvasjoner – beregnet status for dagens nivå ble temmelig likt det som kom ut av den første kjøringen. Havforskningsinstituttet samlet inn kondisjons- og reproduksjonsdata fra grønlandssel under kommersiell fangst i Østisen i april-mai 2021. Det ble tatt fysiske mål av dyrene, dessuten kjever med tenner for aldersbestemmelse og kjønnsorganer (eggstokker) for reproduktiv status. Skuta tok til sammen 5.061 dyr, av disse ble det ble tatt prøver fra rundt 400 hunner. Resultatene vil inngå i en lang tidsserie med data, og brukes til bestandsestimering, populasjonsmodellering og rådgivning om fangst.

Russiske forskere gjennomførte nye ungetellinger i Kvitsjøen i mars 2013, mens siste tilgjengelige data om bestandens reproduksjonsevne ble innsamlet under norsk selfangst i Østisen i 2018. ICES klassifiserer derfor fremdeles denne bestanden som data-fattig og anvender da vanligvis PBR-metoden ved beregning av mulige fangstopsjoner.

På grunn av fall i ungeproduksjonen og vanskelig modelltilpasning valgte ICES en konservativ tilnærming på PBR-beregningen, (Recovery factor = 0,5), og da ble kvoteanslaget 21.172 grønlandssel for 2022. Ved bruk av PBR metoden er det ingen omregningsfaktor mellom unger og voksne dyr. Ved modellkjøringer med fangstnivå basert på denne PBR beregningen viste bestanden en vekst på rundt 10% over en 15.årsperiode.

Kvotefastsettelsen fra Den Blandete Norsk-Russiske Fiskerikommisjonen (digitalt møte 11.-15. oktober 2021) fulgte rådgivningen fra ICES, og en kvote på 7000 dyr ble allokert til Norge.

Utvalget diskuterte usikkerheten rundt grønlandsselens reproduksjon. Det ble påpekt at det er svakheter med å samle inn slike data under fangst. Problemet er at selv om alle grønlandsselene kommer i brunst, parer seg og blir gravide, så er det en andel seler som aborterer. Dette er sannsynligvis kondisjonsrelatert. Denne typen aborter, såkalte sen-termin-aborter, fanges ikke opp i måten HI samler inn reproduksjonsdata på nå. Man må anta at denne typen aborter foregår sent på høsten eller på vinterstid.

3.2 - Klappmyss

Det ble ikke presentert noen ny forskning på klappmyss i Vesterisen. Bestanden er fortsatt data-fattig (fertilitetsdata stammer fra 1990-1994 og 2008-2010). Bestandsanslaget er på 76.623 dyr (95% konfidensintervall 58.299 – 94.947) i 2019. Det var ingen kommersiell fangst av klappmyss i Vesterisen i 2021.

Foto av klappmyss

Klappmyss hunn (mus) med unge (blueback). Foto: Michael Poltermann.

ICES anbefaler fortsatt fredning av klappmyss i Vesterisen og Den Blandete Norsk-Russiske Fiskerikommisjonen (digitalt møte 11.-15. oktober 2021) sluttet seg til rådet fra ICES.

3.3 - Havert

Kjell T. Nilssen (Annex 4) viste til at telling av havertens ungeproduksjon i Trøndelag og Nordland sør for Lofoten i 2018 viste at antall unger var på samme lave nivå som i 2014-2015. I Lofoten ble det derimot registrert en betydelig økning i ungeproduksjonen høsten 2020, men den totale ungeproduksjonen i forvaltningsområde Stad-Lofoten er fortsatt under målnivået. Kvoteforslaget for havert i 2022 er uendret siden 2021. Det skal gjennomføres nye tellinger av havertunger i Troms og Finnmark i november 2021.

Foto av havert Haverten føder kvitunger som ligger på land i 2-3 uker før de røyter den hvite pelsen. Det er telling av kvitunger som brukes til bestandsovervåkning. Foto: Arne Bjørge.

Utvalget diskuterte mulige årsaker til den reduserte ungeproduksjonen. Bifangst av havert i fiskegarn er en sannsynlig medvirkende årsak, og her ble breiflabb- og torskegarn spesielt nevnt. Det er også mulig at havertunger tas av havørn, men da tas de sannsynligvis mens de er helt nyfødte. Det er også mulig at det skytes havert i ulovlig jakt.

3.4 - Steinkobbe

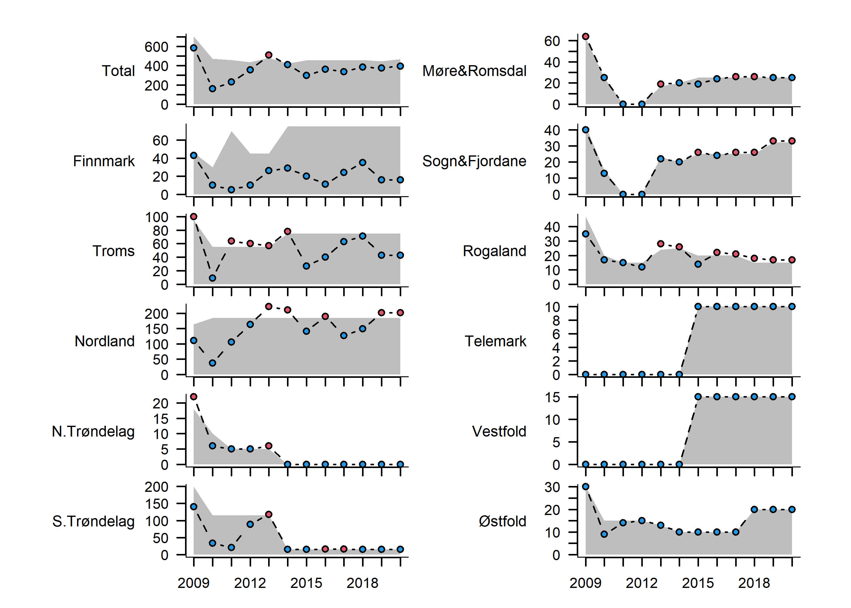
Nilssen orienterte om at det ble gjennomført steinkobbetellinger i Trøndelag, Nordland og Troms i 2019-2020 og i Finnmark i 2021. Resultatene viste en økning i antall steinkobber i Trøndelag, men bestanden var bare 66% av målnivået (MN). Antall steinkobber i Nordland var betydelig lavere enn ved forrige telling, 78% av MN. Bestanden i Troms var også lavere enn i forrige telleperiode 2008-2015, men godt over MN. I Finnmark var det en økning siden forrige telling, også over MN. Langs norskekysten ble det totalt registrert 6.857 steinkobber i perioden 2016-2021, altså like under målnivået på 7015 steinkobber. Jaktkvoter for steinkobbe i 2022 foreslås justert i henhold til nye bestandsanslag og forvaltningsplanen for steinkobbe. Dette gir da en kvote på 268 dyr for 2022 med en fordeling som vist i Tabell 1.

Foto av steinkobbe svømmende i vann

Steinkobbene føder unger med mørk ‘voksenpels’ og de går gjerne i vannet få timer etter fødselen. Unger er derfor ikke egnet til bestandsovervåkning. I stedet telles steinkobbene i august når de ligger mye på land for å røyte. Foto: Michael Poltermann.

Fylke Kvoteforslag 2022
Østfold 16
Vestfold 15
Telemark 10
Aust-Agder 0
Vest-Agder 0
Rogaland 14
Sogn og Fjordane 22
Møre & Romsdal 16
Sør-Trøndelag 20
Nord-Trøndelag 0
Nordland 55
Troms 40
Finnmark 60
Totalt 268
Tabell 1 : Fylkesvis (gammel fylkesinndeling) kvoteforslag for steinkobbe i 2022 .

3.5 - Forskerutvalgets uttalelser

Tilrådning om forskning

  • Utvalget uttrykker bekymring for at populasjonsmodellene som brukes for grønlandssel ikke klarer å tilpasse seg nye data for ungeproduksjonen ved framskrivning av bestanden. Utvalget gjentar derfor sin anbefaling om at modellene som brukes bør videreutvikles for å ta inn økologiske variabler, som konkurranse fra torsk i Barentshavet og miljøforhold som for eksempel isdekke.

  • Utvalget støtter også at det foretas undersøkelser på kondisjonsforhold forut for kastesesongen for å kartlegge omfanget av sen-termin-aborter hos grønlandssel.

  • Utvalget mener det er behov for å undersøke årsaken til nedgangen i havertbestanden i Nordland. Utvalget mener at det kan være hensiktsmessig å involvere Statens Naturoppsyn, SNO, i en eventuell undersøkelse av dette.

  • Utvalget er tilfreds med at det nå foreligger en ny landsdekkende telling for steinkobber, og at tellingene for de siste tellesyklusene indikerer at steinkobbepopulasjonen er stabil og at forvaltningsplanen for kystsel ser ut til å fungere. Utvalget takker Nilssen for det krevende arbeidet som gjøres på kystsel, og mener at det er viktig at dette følges opp med stabil budsjettering fra HI.

  • Utvalget anbefaler at det etableres rutiner for prøvetaking av seler som bifanges av kystreferanseflåten. Dette kan best gjennomføres ved innsamling av selenes underkjeve som vil kunne gi informasjon om art, alder og bestandstilhørighet (DNA). På denne måten kan man dra mer nytte av dataene som samles inn på bifangst av sel.

Tilrådning om forvaltning

  • Utvalget slutter seg til anbefalingene fra ICES som innebærer en totalkvote på 11.548 grønlandssel i Vesterisen i 2022 og 21.172 grønlandssel i Østisen i 2022.

  • Utvalget slutter seg også til anbefalingen fra ICES om videreføring av fangstforbudet på klappmyss i Vesterisen også i 2022, men med adgang til å ta et mindre antall dyr til forskningsformål.

  • Utvalget slutter seg til anbefalingen om uendret kvote for havert på norskekysten for 2022, som er på 60 dyr i forvaltnings-området Lista-Stad, nullkvote i forvaltningsområdet Stad-Lofoten, og 140 dyr i forvaltnings-området Vesterålen-Varanger, fordelt med 25 dyr i Troms og 115 dyr i Finnmark.

  • Utvalget slutter seg til anbefalingen om en total kvote for steinkobbe på norskekysten i 2022 på 268 dyr og med fylkesvis (gammel fylkesinndeling) fordeling som vist i Tabell 1.

4 - Forskning og råd på sjøpattedyr i økosystemene

4.1 - Sjøpattedyrenes konsum

Tore Haug orienterte kort om status for artikkelen til Mette Mauritzen et al. om sjøpattedyrenes konsum i Nordøst-Atlanteren. Status er at artikkelen er ferdig skrevet, men tilpasses stilistisk for innsending til ICES Journal of Marine Science for fagfellevurdering og publisering.

4.2 - Direkte interaksjoner – bifangst i fiskerier

Vitenskapelige forsøk med pingere

Arne Bjørge oppsummerte de endelige resultater fra forsøket med akustiske alarmer, pingere, på kommersielle garn i breiflabb-, torske- og seifiske i 2018-2019. Totalt var fiskeinnsatsen i forsøket på ca. 3500 garn-km-døgn (ca. 750 fisketurer). I oddetallsukene hadde fiskerne pingerne på og i partallsukene pingerne av. De samme garna som ble brukt som forsøk ble altså brukt som kontrollgruppe. I hele perioden ble det tatt 20 niser, og bare én av disse ble tatt i garn med pingere. Dette gir en reduksjon i bifangst på 95%, noe som samsvarer godt med internasjonal forskning. Det var lite problemer med pingerne og lite heft med bruken av dem under forsøket. Men vi oppfordret fiskerne om å vise forsiktighet når pingerne dras gjennom garnspillet/-haleren. Det er utarbeidet et vitenskapelig manuskript basert på forsøket, som har blitt presentert til vitenskapskomiteen i IWC, og som nå ligger inne til fagfellevurdering i en vitenskapelig journal.

Picture 1

Nisene er notorisk utsatt for å gå seg fast i garn. Årlig dør ca 3000 niser i norske fiskegarn. Foto: Krzysztof Skora


Pingerpåbud i kommersielt fiske

Videre redegjorde Bjørge for erfaringene etter påbudet om bruk av pingere på fiskegarn i Vestfjorden fra 1. januar til 30. april 2021 (link til forskriften ). Data om pingerbruk er bl.a. samlet inn i sammenheng med den ordinære kontrollvirksomheten til Sjøtjenesten og Kystvakten. I tillegg ble det på våren gjennomført et evalueringsmøte i regi av Fiskeridirektoratet, der både fiskerinæringen og HI var representert. Det har tilsynelatende vært høy etterlevelse av påbudet (høy andel av fiskerne hadde pingere påmontert), men det er likevel knyttet stor usikkerhet til den reelle etterlevelsen, fordi en ukjent andel pingerne sannsynligvis var ute av funksjon. Det var to typer pingere i bruk: såkalte bananpingere (Fishtek) og eggpingere (Future Oceans). Det har vært utfordringer med pingerne, spesielt knyttet til at selve pingerne ‘popper’ut av plastdekslene sine når disse blir bøyd, f.eks. når pingeren kommer gjennom haleapparatet. Noen har også opplevd vanninntrenging. Det har vært et betydelig antall reklamasjoner mot plastdekslet til bananpingerne. Forhandlere av pingere i Norge oppfordret fiskere til å dra garna som vanlig, fordi man må forvente at pingerne skal tåle kommersiell drift og ikke kreve spesielle hensyn. Dette kan ha vært en medvirkende årsak til problemene. Noen av disse problemene kan avbøtes ved å tilpasse måten pingerne festes til garnlenka og ved å vise forsiktighet når pingerne dras over garnspillet/-haleren.

I tillegg til Fiskeridirektoratets evaluering ønsker HI å gjøre en evaluering av hvordan bruk av pingerne påvirket selve bifangstene av niser. Data for den aktuelle perioden fra Kystreferanseflåten forventes å bli tilgjengelig i løpet av året. I tillegg gjennomfører HI telefonintervjuer av et tilfeldig utvalg av de ca. 570 fiskerne som deltok i skreifisket i Vestfjorden i år. Men dette arbeidet kompliseres bl.a. av at den reelle etterlevelsen er ukjent, og at 2021 kan ha vært et avviksår med hensyn til innsig av skrei til Vestfjorden.

4.3 - Forskerutvalgets uttalelser

  • Utvalget tar til etterretning at artikkelen om sjøpattedyr konsum i Nordøst-Atlanteren nå formatteres til ICES Journal of Marine Science, og understreker betydningen av at resultatene fra det omfattende arbeidet som omfattes av manuskriptet blir publisert.

  • Utvalget er tilfreds med at resultatene fra pingerforsøket nå er sendt til fagfellevurdering, samt at resultatene er så klare at det ikke vil være påkrevd med ytterlige forsøk.

  • For å kunne evaluere effekten av pingerpåbudet på bifangst av nise, er det er behov for bedre data om reell etterlevelse av påbudet om bruk av pingere, spesielt siden data fra pingerbruk i USA tyder på at delvis etterlevelse kan føre til høyere bifangst av nise enn i garnlenker med eller helt uten pingere. Utvalget anbefaler at det utvikles en kontrollrutine av om pingere som er i bruk faktisk fungerer (teknisk).

  • Det er ikke noe i materialet som er samlet inn så langt som tilsier at utvalget bør endre sin anbefaling om påbud av pingere under skreifisket i Vestfjorden. Utvalget anbefaler videre at lærdommen fra årets skreisesong med hensyn til den beste praksisen for bruk av pingere kommuniseres ut til næringsutøverne.

5 - Miljøforhold som kan påvirke sjøpattedyrene

5.1 - Miljøgifter

Bjørn Munro Jenssen ga en orientering om miljøgifter og sjøpattedyr. Dette er ikke et stort fokusområde i Norge. Det finnes noen målinger på miljøgifter i spekkhoggere. Disse tydet på at nivået av såkalte POPer (persistente organiske forbindelser, slik som PCB, DDT, osv.) er på tur ned. Imidlertid er trenden motsatt for spekkhoggere som spiser sel. Hos selspisende spekkhoggere var nivået av enkelte miljøgifter mer enn det dobbelte av nivået hos fiskespisende spekkhoggere. Undersøkelser av hvithval viste også at nivået av POPer var redusert fra 1996-2001 til 2013-2014. Så det ser ut som at nivået av de regulerte giftstoffene er på tur ned. Men det finnes nå over 6000 PFASer (perfluorerte stoffer), fordi industrien lager flere og flere. Disse nye stoffene øker i Svalbard-området, og har bl.a. blitt funnet i niser. Det pågår et arbeid for å sammenligne nivået av giftstoffer i niser fra 2000 til 2006. I klappmyss er det også funnet plastikk-stoffer.

5.2 - Seismikk

Petter Kvadsheim orienterte om at Miljødirektoratet (MD) har laget en rapport om behovet for ytterligere reguleringer for å ivareta hensynet til marine pattedyr (link til rapporten) basert på rådene fra Forskerutvalget om sjøpattedyr i 2020, en særskilt ekspertgruppe nedsatt av MD (link til rapport) og råd fra HI (link til rapport). I rapporten konkluderes det med at det bør innføres krav om bruk av sjøpattedyrobservatører ombord på seismikkfartøyene, og at det i tillegg til visuell observasjon også må tas i bruk sensorteknologi. Dersom dyr observeres innenfor en definert avstand (sikkerhetssonen), bør det iverksettes tiltak i form av stans eller opphold i seismikkskytingen, eller så bør det skytes med redusert kildestyrke. Rapporten ble mottatt positivt av næringen, men næringen uttrykte skepsis til at skytingen skal stoppes dersom dyr observeres innenfor sikkerhetssonen. Næringen foreslo at man tar i bruk de britiske JNCC-kravene.

5.3 - Sonar

Kvadsheim viste til at det har kommet en ny versjon av Sonate (link), som er et beslutningsstøtteverktøy for planlegging av sonarøvelser, med fokus på marint liv.

5.4 - Eksperimenter med hørsel hos vågehval

Kvadsheim orienterte om at FFI jobber også med et nytt fireårig prosjekt, der målet er å utføre hørselstester på vågehval for å lage audiogrammer ved hjelp av ‘auditory evoked potential’ (AEP). Dette er en metode som brukes for å teste hørselen hos spedbarn, som ikke kan gi tilbakemelding om hva de hører til en diagnostiker. Dette har allerede blitt testet og validert på delfiner. Prosjektet startet i år, med innledende forsøk på å fange vågehval i Lofoten på vei nordover ved hjelp av ledegarn som fører inn i et trangt sund, som var lukket i andre enden. Det lyktes å føre en del hval inn i sundet, men i år ble hvalene bare observert i opptil 12 timer, og ikke testet. Disse innledende fangstforsøkende har imidlertid vist at metoden er godt egnet.

5.5 - Forskerutvalgets uttalelser

  • Utvalget støtter Mattilsynet beslutning om å gi FFI tillatelse til å bruke vågehval i forsøk med det formål å måle hørselsevne samt merke dem med satellittsender. Utvalget påpeker at tillatelse til å fange vågehval til dette formålet gis av Fiskeridirektoratet mens tillatelse til å gjennomføre selve testene gis av Mattilsynet. Prosjektet vil bidra med viktig kunnskap om hvilke typer menneskeskapt støy som kan forstyrre bardehvalene, og kan også danne grunnlag for studier av andre sider av bardehvalenes fysiologi og helse.

  • Utvalget tar til etterretning at Miljødirektoratet nå anbefaler at det skal være sjøpattedyrobservatører på seismikkfartøy på norsk sokkel, og støtter videre arbeid med å få på plass en regulering. Det er viktig at det samtidig også innføres en sikkerhetssone som innebærer at når sjøpattedyr observeres innenfor denne skal det iverksettes tiltak i form av stans eller opphold i seismikkskytingen, eller at det skytes med redusert kildestyrke. Det er fornuftig å ta utgangspunkt i JNCC’s regler og krav til kursing av observatører på britisk sektor, men regulering og opplæring må tilpasses norske forhold.

  • Sjøpattedyrutvalget tar til etterretning at Sjøforsvaret nå har oppdatert sine retningslinjer for bruk av sonar, men forutsetter at de undersøker effekter av eventuelt nye sonarteknologier før disse tas i bruk (e.g. kontinuerlige aktive sonarer).

6 - Forskning og råd om trygge og sunne sjøpattedyrprodukter

6.1 - Orienteringer

Bjørn Tore Lunestad orienterte om aktiviteter Havforskningsinstituttet har gjennomført i inneværende år knyttet til undersøkelser av helseeffekter av hvalolje. Disse undersøkelsene ble utført ved hjelp av forsøksmus, og viste at hvalolje i dietten påvirket akkumulering av og fordeling av fett. Det ble observert redusert mengde fettvev, særlig bukfett blant mus gitt fôr som inneholdt hvalolje. Det ble ikke registret tegn til mistrivsel eller negative helseeffekter blant forsøksdyrene. I tiden som kommer vil nye undersøkelser av helseeffekter av produkter fra marine pattedyr bli utført.

Årets aktivitet har også vært knyttet til trestats-samarbeid mellom Japan, Island og Norge på mattrygghet for kjøtt, spekk og andre produkter fra vågehval som eksporteres til Japan. Samarbeidet er finansiert av Nærings- og fiskeridepartementet. Et nettmøte ble avholdt august i år. Det ble enighet på en rekke felt, men det gjenstår enda noen uklarheter særlig knyttet til forekomst av melkesyrebakterier i hvalkjøtt.

Havforskningsinstituttet har i perioden også arbeidet med parasitter i marine pattedyr, med særlig vekt på rundorm.

6.2 - Forskerutvalgets uttalelser

  • Utvalget tar til etterretning at det i 2022 tas sikte på å gjennomføre nye studier knyttet til helseeffekter av hvalprodukter.

  • Videre gir utvalget sin tilslutning til at undersøkelser på parasittområdet av interaksjoner mellom marine pattedyr og kommersielt viktige fiskearter prioriteres.

7 - Forskning og råd om avlivningsmetodikk

7.1 - Orienteringer

Kathrine A. Ryeng orienterte utvalget om artikkelen hennes, der den relative effektiviteten til to ulike kuler for å avlive grønlandssel, nå er publisert i Animal Welfare (DOI: https://doi.org/10.7120/09627286.30.2.155). Ryeng presenterte artikkelen til forskerutvalget i fjor. Etter artikkelen ble publisert har hun blitt kontaktet av andre forskere som forsker på dyrevelferd i fangst, om et mulig samarbeid om blyfri ammunisjon.

7.2 - Forskerutvalgets uttalelser

  • Utvalget tar orienteringen til etterretning og er tilfreds med at dette arbeidet viser at avlivingsmetodikken som brukes i norsk selfangst er svært human, og at Ryengs studier også har bidratt til å gjøre metodikken enda bedre

8 - Tiltak for å hindre at storhval går seg fast i fiskeredskap

Arne Bjørge orienterte om et nytt samarbeidsprosjekt mellom HI, UiT og University of St. Andrews, finansiert av FHF, der målet er å teste ut om en ny type storhval-pinger kan være egnet for å holde spekkhogger og knølhval borte fra sildenøtene. Det er ingen grunn til å forvente at pingere som brukes på niser ville ha virket godt på storhval, selv om de hadde blitt justert til andre frekvenser. Storhval-pingerne som skal testes ut er svært fleksible, og kan programmeres med ulike lyder. Hypotesen er at det er mulig å sende ut en lyd som utløser en automatisk og ubevisst refleks i dyrene, som gjør at de trekker seg unna. Hvis dette fungerer, så vil ikke habituering være et problem. Dette skal testes i sildefisket i vinter, både eksperimentelt (i felt uten andre forstyrrelser) og i aktivt fiske.

Foto av spekkhoggere ved fiskebåt

Spekkhoggere oppsøker aktivt ringnotbåter som fisker NVG sild. Foto: Audun Rikardsen.

9 - Ekstern orientering

9.1 - Orienteringer

Greg Donovan, tidligere Head of Science hos IWC, orienterte om IWCs forvaltnings-prosedyrer (RMP for kommersiell fangst og AWMP for livsoppholdsfangst blant urfolk), bakgrunn, funksjon og krav til input-data.

Donovan (convenor of the IWC Scientific Committee sub-group on Implementation Simulation Trials) gave an invited talk entitled ‘Managing in the face of uncertainty: The IWC’s RMP and AWMP Approach. He briefly summarised the history of approaches to providing management advice for whales and fisheries, stressing that everything – even doing nothing - can be said to be management and that we can only (try to) manage human activities that affect cetaceans, not cetaceans themselves. Initially, advice was based upon poor, industry linked data (e.g. catch-per-unit-effort) and naïve analytical techniques. Gradually things improved but a major problem was the need to provide regular advice on the ‘best available science’ without considering whether even the ‘best’ was adequate. The IWC’s New Management Procedure in the mid-1970s provided an important step by using a catch control law to determine catch limits based upon status and setting a Protection Level (0.54K) that was way above any danger of extinction. However, it assumed a largely perfect knowledge of whale populations and became unworkable. From the mid-1980s the IWC Scientific Committee developed a new approach (the Management Procedure approach later termed Management Strategy Evaluation in a fisheries context) using the following key principles: (1) user and conservation objectives explicitly stated and assigned priorities; (2) realistic and specified (minimum standards) data and analysis requirements; (3) limitations recognised the inevitable uncertainty explicitly taken into account by rigorous simulation testing of the candidate catch limit algorithms over appropriate temporal scales (e.g.100 years) and difficult yet plausible scenarios incorporating direct and indirect threats as well as scientific uncertainty in data (e.g. abundance and stock structure); (4) mandatory inclusion of a feedback control system ( Implementation Reviews ) that in effect provides a ‘reward’ for the provision of data; and (6) consistent management decisions resulting in long-term stability of catches whilst ensuring good conservation of the ‘management stocks’.

Donovan explained the differences in the objectives for commercial whaling and aboriginal/subsistence whaling management procedures and identified the strengths and weaknesses of generic (i.e. all hunts, populations and species) and case-specific (i.e. tailored to particular hunts). The former was adopted for commercial whaling and the latter for aboriginal subsistence whaling. He explained the importance of building the scientific aspects of the management procedure approach into a broader management scheme incorporating all aspects of management. In conclusion, he noted that the process required considerable resources and expertise (completion for all species has taken up to thirty years but this has provided an important basis for development in marine and terrestrial resources and well as general conservation) but set the standards for wise conservation and management.

9.2 - Forskerutvalgets uttalelser

  • Utvalget takket Donovan for den omfattende og interessante orienteringen. Regelverket utviklet under RMP benyttes til å beregne kvoter for den norske vågehvalfangsten og AWMP benyttes av forskere i IWC og NAMMCOs Vitenskapskomiteer for å sette kvoter for fangst i Grønland.

 

10 - Oppnevning av nytt utvalg for kommende fireårsperiode

10.1 - Orienteringer

Arne Bjørge orienterte om at dette er siste møte for det eksisterende Utvalget og at nye medlemmer må oppnevnes for kommende fireårsperiode. Haug, Wiig og Bjørge har vært eller vil bli 70 år innen neste møte og det er naturlig at de går ut som faste medlemmer. Men alle tre har stilt seg til disposisjon for å delta på kommende møter dersom deres kompetanse er ønskelig for spesielle punkter på dagsordenen. De øvrige medlemmene vil få spørsmål om de ønsker å fortsette i kommende fireårsperiode. Bjørge sa at det er ønskelig å opprettholde den brede faglige kompetansen og institusjonelle deltagelsen i Utvalget, og at det er ønskelig at Veterinærinstituttet på nytt blir medlem i Utvalget. Bjørge vil diskutere oppnevnelse av nytt utvalg med den respektive forskningsdirektøren på HI.

10.2 - Forskerutvalgets uttalelser

  • Utvalget sluttet seg til Bjørges tilrådning om prosedyre for oppnevning av nytt utvalg.

  • Utvalget anbefaler at det nye utvalget møtes i Tromsø torsdag og fredag 20.-21. oktober 2022.

11 - Annex 1: Dagsorden

11.1 - Dagsorden

Forskerutvalg om sjøpattedyr 2021
Framsenteret, Tromsø, 21.-22. oktober


Torsdag 21. oktober

Lunsj på Framsenteret, frammøte i Kantina 12:00-13:00

Møterom Storhavet

  1. Merknader til innkallingen 13:00

  2. Godkjenning av agenda

  3. Hvalbestander 13:15-14:00

    1. Bestandssituasjonen

      1. Vågehval

      2. Andre arter

      3. Nytt om DNA-arkivet for vågehval

    2. Identifisering av kunnskapsbehov og tilrådning om forskning

    3. Tilrådning om forvaltningstiltak

  4. Selbestander 14:00-15:30

    1. Bestandssituasjonen

      1. Grønlandssel

      2. Klappmyss

      3. Havert

      4. Steinkobbe

      5. Andre arter

    2. Identifisering av kunnskapsbehov og tilrådning om forskning

    3. Tilrådning om forvaltningstiltak

Kaffepause 15:30:16:00

  1. Sjøpattedyr i økosystemene 16:00-16:30

    1. Igangværende forskning og kunnskapsstatus

      1. Sjøpattedyrenes konsum

      2. Interaksjons- og økosystemmodellering

      3. Direkte interaksjoner – bifangst i fiskerier

    2. Identifisering av kunnskapsbehov og tilrådning om forskning

    3. Tilrådning om forvaltningstiltak

  2. Fysiologi og økofysiologi 16:30-17:00

    1. Igangværende forskning

    2. Identifisering av kunnskapsbehov og tilrådning om forskning

    3. Tilrådning om forvaltningstiltak

Middag på Arctandria sjømatrestaurant 17:00 ->

 

Fredag 22. oktober

Møterom Kompasset

Morgenkaffe 08:30-09:00

  1. Miljøforhold som kan påvirke sjøpattedyr 09:00-09:30

    1. Igangværende forskning og kunnskapsstatus

      1. Miljøgifter

      2. Seismikk og sonar

      3. Klimaendringer

    2. Identifisering av kunnskapsbehov og tilrådning om forskning

    3. Tilrådning om forvaltningstiltak

  2. Trygge og sunne sjøpattedyrprodukter 09:30-09:45

    1. Igangværende forskning og kunnskapsstatus

    2. Identifisering av kunnskapsbehov og tilrådning om forskning

    3. Tilrådning om forvaltningstiltak

  3. Avlivningsmetodikk 09:45-10:15

    1. Igangværende forskning og kunnskapsstatus

    2. Identifisering av kunnskapsbehov og tilrådning om forskning

    3. Tilrådning om forvaltningstiltak

  4. Tiltak for å hindre at storhval går seg fast i fiskeredskap 10:15-10:45

    1. Igangværende forskning og kunnskapsstatus

    2. Identifisering av kunnskapsbehov og tilrådning om forskning

    3. Tilrådning om forvaltningstiltak

Kaffepause 10:45-11:15

  1. Ekstern orientering 11:15-12:00

Greg Donovan, tidligere Head of Science hos IWC, vil orientere om

IWCs forvaltningsprosedyrer (RMP for kommersiell fangst og AWMP

for urfolks fangst), bakgrunn, funksjon og krav til input-data.

  1. Oppnevning av nytt utvalg for kommende fireårsperiode 12:00-12:15

Hvem går ut og hvem blir med videre?

  1. Rapportering

    1. Rapport til HIs Rådgivningskomité

    2. Rapport for publisering på hi.no

  2. Neste møte i Sjøpattedyrutvalget

  3. Eventuelt

  4. Heving av møtet 12:30

Lunsj på Framsenteret 12:30

 

11.2 - Åpning av møtet

Til stede: Arne Bjørge (leder, HI), Bjørn Munro Jenssen (NTNU), Lars Folkow (UiT), Hans Skaug (UiB/HI), Nils Øien (HI), Tore Haug (HI), Bjørn Tore Lundstad (HI, stand-in for Livar Frøyland), Kathrine Ryeng (HI), Petter Kvadsheim (FFI) og Kjell T. Nilssen (HI)

Gjester/observatører: Ole-David Stenseth (NFD), Guro Gjeldsvik (FDIR), Hild Ynnesdal (FDIR), Charlotte Wisnes (NAMMCO), Heleen Middel (NAMMCO), Deanna Leonard (HI) Christina Lockyer og Greg Donovan

Forfall: Kit Kovacs (NPI), Martin Biuw (HI), Livar Frøyland (HI), Øystein Wiig (NHM), Øystein Langangen (UiO) og Hiroko Solvang (HI)

Rapportør: André Moan (HI)

Arne Bjørge ønsket velkommen til årets møte. Spesielt av året var at Greg Donovan, tidligere Head of Science ved IWC, var til stede for å gi utvalget en orientering om metodikken som brukes av IWC til å estimere fangstgrenser for hvalbestander. Andre personer som ikke tidligere hadde deltatt på møtet fikk også anledning til å presentere seg selv. Heleen Middel er ny interim scientific secretary i NAMMCO. Bjørn Tore Lundstad deltok som vara for Livar Frøystad. Han har bakgrunn som mikrobiolog, men jobber med sjømat og parasitter.

Arne Bjørge minnet om at i år, som i fjor, er det slik at forskerutvalgets rapport vil foreligge i to utgaver, en kortere og mer konsis rapport til HIs rådgivningskomité, og en større og mer utfyllende rapport for publisering på HIs nettsider.

Lukking av møtet

Før møtet ble avsluttet takket Ole-David Stenseth lederen for innsatsen: «Arne, du har etablert utvalget, du har rekruttert, og utviklet utvalget, sånn at det har vært interessant og nyttig for oss. Så jeg vil takke deg for det, og selvfølgelig også for at du er en kjernekar, som alltid gjør livet bra for alle».

Arne Bjørge takket for disse ordene og sa at gjennom hele karrieren har det vært veldig interessant å jobbe tett opp mot forvaltningen. Da blir forskningsresultatene anvendt til samfunnets beste.

12 - Annex 2: Vågehvalforvaltningen

Møte i Sjøpattedyrutvalget
Tromsø, 21.-22.oktober 2021

12.1 - Fangsten av vågehval i 2021

Fangstsesongen for vågehval har oppstart 1.april og avsluttes ultimo september. De første fangstene i 2021 ble tatt allerede i begynnelsen av april og de siste hvalene i sesongen i midten av september. Den totale vågehvalkvoten ble gitt som 1278 dyr i Norges økonomiske sone, i fiskevernesonen ved Svalbard, i fiskerisonen ved Jan Mayen og i internasjonalt farvann innafor IWC-områdene ES, EB, EW, EN og CM. Forskriften ga adgang til fordeling av fangsten med 1108 vågehval fritt innen IWC-områdene ES, EW, EB og EN, og 170 vågehval i IWC-område CM (Jan Mayen).

Det generelle fangstmønsteret for vågehvalfangsten har i nyere tid i stor grad fokusert på områdene vest av Spitsbergen og rundt Bjørnøya (forvaltningsområdet ES (Svalbard)), og i tillegg kystfangst i Nord-Norge fra Vestfjorden til Varangerfjorden. I de seinere årene har vi observert en forflytning av vågehval fra Spitsbergen sørover og østover inn i Barentshavet, noe som også viser seg i bestandsestimatene for forvaltningsområdene. I 2019 ble 47 % av totalfangsten fangstet innafor et relativt lite område øst av Bjørnøya, og i 2021 ble 47 % av totalfangsten fangstet i Varangerområdet. I Nordsjøen er fangsten beskjeden, og heller ikke i år ble det fangstet ved Jan Mayen.

Det var påmeldt 17 båter til fangstsesongen 2021 (mot 15 i 2020), og 14 (13 i 2020) av disse seilte ut og hadde båtfangst fra 1 til 129 (1 til 138 i 2020) dyr. Dette indikerer at interessen for og deltakelsen i vågehvalfangsten har ligget på et stabilt nivå de siste årene.

Totalfangsten ved avslutningen av sesongen var 575 dyr, alle sammen fanget i sonene Svalbard, Barentshavet, Nordsjøen og norskekysten (forvaltningsområdene ES+EB+EN+EW). Fangsten i Nordsjøen var på 20 dyr, noe som utgjør om lag 4 % av totalfangsten. Sist år ble det fangstet 34 hval i Nordsjøen etter en 10-årsperiode med svært beskjedne fangster der. Det var, som vanlig de om lag 10 siste årene, ingen fangst ved Jan Mayen.

Totalfangsten i 2021 viste en videre oppgang fra fjoråret, og dette er 79% av fangsten i toppåret 2014. Sett over en lengre periode aner vi en noe avtagende fangsttrend. Gjennomsnittlig årsfangst de siste 20 årene er 553 dyr, og nivået på årsfangsten synes å svinge rundt 500 dyr pluss/minus 100 dyr.

Graf over vågehvalfangsten 1993-2021

Den norske vågehvalfangsten: Årlig totalfangst 1993-2021.

I 2021 deltok og fangstet 14 båter, en mer enn i foregående år. Sjøl om det er en liten bevegelse i retning økende eller stabilisert deltakelse, er tendensen siden tusenårsskiftet klart nedadgående for antall deltakende båter.

Fangstutbyttet per båt har i samme periode vist om lag en dobling, og var i 2021 på 41 dyr/båt i gjennomsnitt. De båtene som deltar, ser altså i økende grad ut til å være fangstintensive mens avskallingen antagelig utgjøres av mindre kystfangere. De siste årene har hovedtyngden av fangstene blitt tatt av et mindre antall av de deltakende båtene. De tre båtene med størst fangst sto for 60 % av totalfangsten i 2021.

Diagram over fordeling av fangst per båt 2021 Graf for kumulativ fangst mot båt 2021

Fordeling av fangst per båt i 2021 (14 båter med fangst > 0).

Graf over antall deltakende båter 1993-2021

Antall deltakende båter i fangsten 1993-2021.

Graf over fanget hval per båt 1993 - 2021

Antall hval fanget per båt.

12.2 - Hvaltelling 2021

I 2020 startet vi på en ny seks-års-syklus 2020-2025 for å kartlegge hvalbestander og tallrikhet, og da spesielt for vågehval, i nordøst-Atlanteren. I 2020 ble forvaltningsområdet EW dekket.

Toktet sommeren 2021 dekket Jan Mayen-området, det vil si forvaltningsområdet CM, som hører til ‘Medium Area’ C (tidligere omtalt som Sentralbestanden) for vågehval. Dette området er logistisk utfordrende for hvalfangerne i og med at det er avsidesliggende og mye plaget med dårlige værforhold for fangst. Sannsynligvis er dette også først og fremst et gjennomvandringsområde for vågehval med varierende beitemuligheter, og dette gjør det vanskelig å finne gode konsentrasjoner av vågehval som gjør fangstinnsats attraktiv. Siste år med fangst i området var 2010, og da ble kun én hval fanget.

Hvaltellingen i CM-området ble gjennomført i tiden 8.juni til 2.august med ett fartøy, M/S Stålbas. Hovedformålet for de nasjonale tellingene er å samle data til estimering av vågehvalbestandens størrelse i Nordøstatlanteren.

Det aktuelle dekningsområdet var delt opp i tre blokker, CM1-CM3. Som vanlig i dette området, byr skodde og isforhold på problemer for gjennomføringen, men alle blokkene fikk en brukbar dekning. Dette området ble sist dekket i 2016, og en markant forskjell fra da er at vi ikke opplevde den store tettheten av vågehval som den gangen ble registrert i området øst for Island. Observasjonsraten for vågehval ble bortimot halvert siden 2016, men dette er et område der vågehvaltettheten varierer en god del. Generelt har vi de siste årene observert at det er betydelige endringer på gang i fordelingsmønsteret for vågehval idet tettheten ved Svalbard er for nedadgående og utbredelsen har blitt mer østlig og sørlig. Dette gjenspeiler seg også i fangstmønsteret for vågehval; de siste par årene har det skjedd en forflytning sørover i Svalbardområdet der mye av fangsten har vært rundt og øst for Bjørnøya, og i år i Varangerområdet.

Et annet interessant resultat fra årets telling er at vi hadde uvanlig mange observasjoner av nebbhval. Basert på observasjonsrater, har nebbhval hatt en klar økning gjennom de fire siste tellesyklusene, i motsetning til alle andre observerte arter som viser en nedgang.

Totalt gjennomførte vi om lag 2640 nmi på transekt i CM. Fra den primære plattformen (øverste utkikksplattform) ble observert følgende antall grupper med hval (foreløpige tall): 55 vågehval, 18 finnhval, 5 blåhval, 1 seihval, 13 knølhval, 11 spermhval, 35 nebbhval, 1 nise, 9 spekkhogger, 1 grindhval, og 5 kvitnos.

Kartområde for telletokt 2021
Telletoktet 2021; gjennomført dekning av telleområdene i CM, Jan Mayen-området.
De svarte symbolene er primærobservasjoner av alle arter.

 

Kart over telletoktet og observert vågehval
Telletoktet 2021: De røde symbolene er primærobservasjoner av vågehval.
Diagram over observervasjonsrate fra platform 1. Fordelt på art.
Telletoktsyklusene fra 2002-2021: Observasjonsrater av registrerte
arter i dekningsområdet CM.

 

12.3 - Økosystemtoktet 2021

Data fra årets (2021) økosystemtokt er under oppsummering. På økosystemtoktet i Barentshavet i august-oktober 2021 deltok forskningsfartøyene G.O. Sars, Johan Hjort og Helmer Hansen. Fra russisk side deltok Vilnius. Vi var vesentlig mer plaget av skodde ved årets tokt enn i fjor, men likevel må vi konkludere med at det ble observert relativt lite med bardehval i ‘loddeområdet’ sammenlignet med fjorårets økosystemtokt.

12.4 - Nytt bestandsestimat for vågehval, tellesyklusen 2014-2019

Telletoktdata fra syklusen 2014-2019 ble opparbeidet og presentert til årets møte i IWC/SC, men ble ikke diskutert der. Det er nå en prosess i gang der estimatet skal vurderes intersesjonelt under ASI-gruppa i IWC/SC. For Medium Area E (den nordøstatlantiske komponenten) er økningen i tallrikhet fra de foregående syklusene i størrelsesorden 15-20%, men fortsatt under 1995-estimatet. I tillegg er estimatet for Jan Mayen tre ganger høyere enn i den foregående syklusen, slik at for det totale surveyområdet er tallrikheten av vågehval om lag 50% høyere enn i tidligere sykler. Med referanse til tellingen i CM i 2021, har nok dette igjen endret seg, og det må understrekes at det for tida er ganske store forskyvninger i fordelingen av vågehval på sommerbeite i Nordøstatlanteren.

Kart over telletokt 2014-2019
Området som ble dekket i telletoktsyklusen 2014-2019. Svalbardblokka ES ble dekket i 2014 og i 2019; dekningen i 2019 er vist i det innsatte kartet. Transektlinjer dekket i primærmodus er trukket opp i svart, og markeringene er primære vågehvalobservasjoner fra øvre plattform.

 

Vågehvalestimater: Oppsummering av resultatene for surveyperioden 2014-2019
Medium Area Option Year from Year to   Abundance CV
             
E 1 2014 2018   108 610.5 0.172
E 2 2015 2019   101 245.1 0.179
E 3 2014 2019   104 692.1 0.172
E 4 2014 2019 EW4 112 702.3 0.163
             
E+CM TOTAL 2014 2019   149 722.4 0.152
tabell
Tallrikhetsestimater for vågehval med tilhørende usikkerheter, og fordelt på forvaltningsområdene.

12.5 - Kvotegrunnlaget for norsk vågehvalfangst i 2022

Den generiske reviderte forvaltningsprosedyren RMP utviklet av Vitenskapskomiteen i IWC (J. Cetacean Res. Manage. 13 (Suppl.), 2012) har blitt iverksatt for Nordatlantisk vågehval ved at regionen deles i tre Medium Areas (W, C og E) og et antall underområder som for E (nordøstatlanteren) sitt vedkommende er de fire Small Areas (SMA) EN (Nordsjøen), EW (Norskehavet og kysten), ES (Svalbard) og EB (Barentshavet). Kvoter settes og fangsten gjennomføres med referanse til disse SMA. Norsk fangst foregår i E-områdene, samt i C-området CM (Jan Mayen).

Implementation Review for nordatlantisk vågehval har kommet på IWC/SC sin agenda for 2022. Når vi har fått modell- og datagrunnlaget på plass, vil vi beregne kvote for 2022 basert på de opplysningene vi har tilgjengelig. Det kan bli nødvendig å revidere dette etter at IWC/SC har gjennomført sitt Implementation Review.

13 - Annex 3: Ishavssel

Spørsmål knyttet til forvaltning og fangst av ishavsselene grønlandssel og klappmyss blir tradisjonelt drøftet i en felles arbeidsgruppe nedsatt innafor rammen av Den Blandete Norsk-Russiske Fiskerikommisjonen. Arbeidsgruppas mandat har omfattet gjensidig rapportering om fangst og forskning siste år, vurdering av selbestandene, utarbeidelse av forslag til fangstkvoter og andre reguleringsbestemmelser for kommende sesong, samt gjensidig informasjon og avtale om forskningsarbeid for påfølgende år. I tillegg til norske og russiske forskningsresultater har arbeidsgruppas arbeid i stor grad også bygget på behandlingen av foreliggende materiale i arbeidsgruppa for grønlandssel og klappmyss (Joint ICES/NAFO/NAMMCO Working Group on Harp and Hooded Seals, heretter kalt WGHARP). Det er rapportene fra WGHARP som danner grunnlag for ICES sin rådgivning på ishavsselene.

13.1 - Selfangsten 2021

På grunn av de stadig lave estimatene av ungeproduksjon og fravær av bestandsøking på tross av fredningen etter 2007, ble det ikke åpnet for ordinær fangst av klappmyss i Vesterisen i 2021. For grønlandssel i Vesterisen lå anbefalt fangstnivå for 2021 på 11.548 dyr av alle aldre, dette ble også kvoten. Det deltok ingen norske båter i den ordinære sesongen i Vesterisen, kun et forskningsfartøy fra Universitetet i Tromsø som tok noen dyr til forskningsformål: 10 grønlandssel hvorav 5 unger og 5 1+ dyr; 16 klappmyss hvorav 12 unger og 4 1+ dyr. Norske myndigheter fjernet den mangeårige statsstøtten de norske fangerne hadde mottatt i 2015 – den ble gjeninnført (men i betydelig mer moderat målestokk) under fangsten i 2016-2021. Russerne hadde ingen fangst i Vesterisen i 2021.

Norges kvote av grønlandssel i Østisen ble for 2021 fastsatt til 7.000 (av en totalkvote på 21.172) dyr av alle aldre. Det deltok en norsk båt i den ordinære sesongen i Østisen, fangsttallene for grønlandssel var som følger: 49 unger og 5012 1+ dyr. Det ble meldt om 23 tapte dyr («struck-and-lost»). Grunnet press fra dyreverngrupper ble det satt et forbud mot fangst av sel yngre enn et år (dvs. årsunger) i Kvitsjøen i perioden 2009-2014. Ettersom den russiske fangsten tradisjonelt kun inneholder årsunger ble resultatet at planlagt selfangst i Kvitsjøen (med moderskip og fangstbåter) måtte avlyses. Forbudet ble opphevet før sesongen 2015. Likevel lot det seg ikke gjøre å gjennomføre russisk selfangst i 2021 – fra russisk hold meldes at det neppe blir mulig å få i gang selfangsten i Kvitsjøen igjen uten en eller annen form for statsstøtte.

13.2 - Anbefalte reguleringer for selfangsten i 2021

I oktober 2018 ble ICES bedt av NFD/Norge om å vurdere status og fangstpotensial for klappmyssbestanden i Vesterisen og grønlandsselbestandene i Vesterisen og Østisen. Disse spørsmålene ble derfor behandlet og vurdert på møte i WGHARP på Framsenteret i Tromsø i september 2019. På bakgrunn av rapporten fra dette møtet ga ICES den 31.oktober 2019 råd om forvaltning av disse selbestandene for sesongen 2020 og påfølgende år.

Rådgivningen fra ICES forutsetter at bestandene skal kunne betraktes som såkalt data-rike. Det skal foreligge flere uavhengige bestandsestimater (helst ikke mindre enn tre innafor en 10-15 årsperiode, der:

  • Avstanden mellom hvert estimat bør være 2-5 år) med akseptabelt presisjonsnivå.

  • Siste bestandsestimat skal ikke være eldre enn 5 år.

  • Det skal foreligge tilnærmet like oppdatert informasjon om bestandens produksjonsevne og dødelighet.

Hvis ikke slik informasjon foreligger vil bestanden klassifiseres som data-fattig og forvaltningsstrategien må legges på et mer forsiktig nivå.

Grønlandssel i Vesterisen

Ved modellering av grønlandsselbestanden i Vesterisen har man tradisjonelt benyttet ungeproduksjonsestimater fra tellinger (2002, 2007, 2012 og 2018), og fra merke-gjenfangstforsøk for perioden 1983-1991:

År Estimat c.v.
1983 58.539 .104
1984 103.250 .147
1985 111.084 .199
1987 49.970 .076
1988 58.697 .184
1989 110.614 .077
1990 55.625 .077
1991 67.271 .082
2002 2007 2012 2018 98.500 110.530 89.590 54.181 .179 .250 .137 .170

Mens bestandsestimatet fra 2012 var noe lavere enn, men like fullt innafor konfidensintervallet for, tilsvarende estimater fra 2007 og 2002, er estimatet fra 2018 signifikant lavere enn tidligere estimater. Fertilitetsdata er fra perioden 1959-1990 og fra 2009 og 2014, men det hefter en del usikkerhet om hvorvidt disse er helt representative for bestanden. Modelleringer med dette som inngangsdata indikerer en øking i bestanden fra 1970-tallet fram til tidlig på 2000-tallet hvoretter den ser ut til å ha stabilisert seg, eventuelt avtatt svakt (Fig. 1). Estimert totalbestand for 2019 er på 426.808 (95 % konfidensintervall 313 004-540 613) dyr, noe som er betydelig lavere enn ved forrige modellkjøring uten det siste lave ungeproduksjonsestimatet fra 2018.

Modellen gir tilsynelatende et rimelig godt bilde av dagens totale bestandsstatus, men den har store problemer med å tilpasse seg ungeproduksjonsestimatene (Fig. 1). Gitt den observerte nedgangen i ungeproduksjon i 2018 gir modellen heller ikke en realistisk framskriving av bestanden. Det ble derfor gjort ytterligere to alternative kjøringer med modellen: Begge inkluderte kun de ungeproduksjonsestimatene som kommer fra fly-baserte tellinger – her ble det også tatt med et ukorrigert minimumsestimat (55.270; c.v.=0.141) fra den første totale ungetellingen som ble gjennomført i Vesterisen i 1991. Den ene alternative kjøringen brukte fertilitetsdata som ved den første kjøringen, i den andre alternative kjøringen ble fertiliteten satt konstant gjennom hele tidsserien. Alle tre kjøringer ga veldig like nivåer for dagens bestandsstatus.

 

Graf over bestandsutvikling
Figur 1. Modellert bestandsutvikling for grønlandssel i Vesterisen. Til venstre: nederste kurve viser ungeproduksjonen, øvre kurve totalbestanden. N70, N50, og Nlim markerer henholdsvis 70, 50 og 30% av maksimum estimert bestandsstørrelse. Til høyre: Forstørret utgave av modellert ungeproduksjon.

 

Fangstopsjoner. TAC (Total Allowable Catch) lå i perioden 1994-1998 på 13.100 ett år og eldre (1+) dyr, i 1999-2000 på 17.500 1+ dyr, i 2001-2005 på 15.000 1+ dyr, og i 2006-2008 på 31.200 1+ dyr. For sesongen 2009 ble TAC fastsatt til 40.000 dyr uansett alder, mens TAC for 2010-2011 var på 42.400 dyr uansett alder, i 2012-2013 på 25.000 1+dyr, i 2014-2016 på 21.270 1+ dyr, i 2017-2019 på 26.000 1+ dyr og i 2020 og 2021 på 11.548 dyr av alle aldre.

For grønlandsselbestanden i Vesterisen foreligger oppdatert informasjon om både ungeproduksjon (fra 2018) og produksjonsevne (alder ved kjønnsmodning og fertilitetsrate, nye data innsamlet under norsk selfangst i 2014). ICES klassifiserer derfor bestanden som data-rik. På grunn av de nevnte problemer med realistisk modellering av bestanden, har ICES likevel anvendt den såkalte Potential Biological Removal (PBR) metoden ved beregning av mulige fangstopsjoner. Denne metoden ble opprinnelig utviklet i USA og brukes for å beregne hvorvidt utilsiktet bifangst av bl.a. sel er bærekraftig i forhold til bestandenes størrelse. Som utgangspunkt for denne beregningen ble brukt et gjennomsnitt av statusberegningene gjort i de tre nevnte modellkjøringene. En fangstopsjon basert på denne tradisjonelle PBR-metoden gir en kvote på 11.548 grønlandssel for 2020 og påfølgende år.

Sjøl om bestandsmodellen beregner både likevektfangst for 2020 og årene framover, og det fangstnivå som på lang sikt (15 år) kan få bestanden ned til N70, dvs. 70 % av høyeste observerte nivå, vil ikke ICES anbefale at noen av disse benyttes ved kvotefastsetting.

På bakgrunn av den observerte signifikante nedgangen i ungeproduksjon og problemer med realistisk bestandsmodellering vil Havforskningsinstituttet anbefale at fastsetting av TAC for 2022 tar utgangspunkt i et fangstnivå beregnet ved hjelp av PBR metoden:

TAC = 11.548 grønlandssel. Ved bruk av PBR metoden er det ingen omregningsfaktor mellom unger og voksne dyr.

Tilrådning fra Den Blandete Norsk-Russiske Fiskerikommisjonen (digitalt møte 11.-15.oktober 2021) fulgte rådgivningen fra ICES.

Klappmyss i Vesterisen

 

Ved modellering av klappmyssbestanden ble ungeproduksjonsestimatene fra tellinger i 1997, 2005, 2007, 2012 og 2018 benyttet:
År Estimat c.v.
1997 23.762 .192
2005 2007 2012 2018 15.250 16.140 13.655 12.977 .228 .133 .138 .140

Bestandsestimatene fra 2012 og 2018 er lave i forhold til tidligere tellinger. Fertilitetsdata er fra perioden 1990-1994 og 2008-2010. Grunnet usikkerhet rundt de tidlige fertilitetsdata ble modellen kjørt for flere alternative fertilitetsrater (50%, 70% og 90%, altså prosentvis andel av de kjønnsmodne hunnene som produserer unger) – nyere analyser av fertilitetsdata tyder imidlertid på at disse verdiene (altså prosentvis andel av de kjønnsmodne hunnene som produserer unger) har ligget relativt konstant på rundt 70 %. Dette innebærer et totalt bestandsanslag på 76.623 (95% konfidensintervall 58.299-94.947) dyr i 2019. Alle modellbetraktningene tyder på at klappmyssbestanden i Vesterisen har avtatt betydelig i størrelse i perioden fra slutten av 1940-tallet og fram til rundt 1980. Muligens har bestanden fortsatt å avta noe også etter 1980, og dagens nivå er antakelig ikke mer enn knapt 7 % av nivået for rundt 70 år siden (Fig. 2).

Fangstopsjoner. TAC var i 1998 på 5.000 dyr, i 1999-2000 på 11.200 dyr, og i 2001-2003 på 10.300 dyr (voksenekvivalenter). Fordi klappmyssbestanden i Vesterisen er klassifisert som data-fattig (tilgjengelige reproduksjonsdata var fra tidlig 1990-tall) har ICES anvendt den såkalte Potential Biological Removal (PBR) metoden ved beregning av mulige fangstopsjoner. Disse PBR-beregningene ga et uttak på 5.600 dyr for 2004 og 2005. I 2006 ble anbefalt uttak ytterligere redusert (til 4.000 dyr). Sjøl med så lave uttak vil det være fare for at bestanden ikke klarer å ta seg opp igjen, i verste fall reduseres ytterligere. Etter anbefaling fra ICES ble fangsten derfor stoppet i 2007. Unntatt fra dette forbudet er en begrenset fangst til forskningsformål.

I sin langsiktige, føre-var baserte forvaltningsstrategi har ICES definert en nedre grense Nlim som er 30% av maksimalt kjente måling av bestanden. For bestander som befinner seg på, eller under dette nivå, anbefaler ICES at der ikke tillates noen form for fangst. Siden klappmyssbestanden i Vesterisen åpenbart ligger under Nlim i dag, vil anbefalingen fra ICES være at det fremdeles ikke tillates fangst.

 

Graf over bestandutvikling klappmyss
Figur 2. Modellert bestandsutvikling for klappmyss i Vesterisen. Til venstre: Nederste kurve viser ungeproduksjonen, øvre kurve totalbestanden. N70, N50, og Nlim markerer henholdsvis 70, 50 og 30% av maksimum estimert bestandsstørrelse. Til høyre: Forstørret utgave av modellert ungeproduksjon.

 

Havforskningsinstituttet anbefaler at forbudet mot uttak av klappmyss i Vesterisen opprettholdes også i 2022.

Tilrådning fra Den Blandete Norsk-Russiske Fiskerikommisjonen (digitalt møte 11.-15.oktober 2021) fulgte rådgivningen fra ICES.

13.3 - Grønlandssel i Østisen

Russiske flytellinger, gjennomført i Kvitsjøen i 1998, 2000 (to uavhengige tellinger), 2002, 2003, 2004, 2005, 2008, 2009, 2010 og 2013 har gitt 11 uavhengige estimater for ungeproduksjonen i denne grønlandsselbestanden:

År Estimat c.v.
1998 286.260 .150
2000 322.474 .098
2000 339.710 .105
2002 2003 2004 2004 2005 2008 2009 2010 2013 330.000 328.000 231.811 234.000 122.658 123.104 157.000 163.032 128.032 .103 .181 .190 .205 .162 .199 .108 .198 .237

Det hefter usikkerhet rundt estimatene fra 2005 og 2008, i særlig grad fordi tellingene ble gjort så sent i sesongen. Dette kan ha bidratt til de svært lave tallene. Estimatene fra 2004, 2009, 2010 og 2013 indikerer imidlertid en betydelig reduksjon i ungeproduksjon for bestanden. Så langt finnes det ingen fullgod forklaring på dette, mest sannsynlig synes det å være at hunnenes fertilitet kan være redusert. Vanskelige isforhold i Kvitsjøen etter 2003 kan også ha bidratt. Muligens kan deler av bestanden ha trukket til nye og så langt ukjente kasteplasser utafor Kvitsjøen – dette bør utredes i de nærmeste år.

 

graf over modellert bestandsutvikling grønlandssel
Figur 3. Modellert bestandsutvikling for grønlandssel i Østisen. Til venstre: Nederste kurve viser ungeproduksjonen, øvre kurve totalbestanden. N70, N50, og Nlim markerer henholdsvis 70, 50 og 30% av maksimum estimert bestandsstørrelse. Til høyre: Forstørret utgave av modellert ungeproduksjon.

 

Ved modellering av grønlandsselbestanden benyttes ungeproduksjonsestimater fra de russiske tellingene. Fertilitetsdata er fra fem perioder (1962-1972, 1976-1985, 1988-1993, 2006 og 2018). Modelleringer med dette som inngangsdata indikerer at bestanden økte noe fra 1960- tallet, deretter var det en synkende trend fra tidlig 1980-tall til ca 2007 da bestanden igjen viste en viss vekst. Estimert totalbestand er på 1.591.745 (95 % konfidensintervall 1.373.695-1.809.794) dyr for 2019 (Fig. 3). Populasjonsmodellen som benyttes har store problemer med å takle det plutselige fallet i ungeproduksjon. Den gir rimelig god tilpassing til ungeproduksjonsestimatene i nyere tid, men gir ikke en realistisk framskriving med tanke på projeksjoner av framtidig bestandsnivå. Populasjonsnivået i 2019 ligger på ca 74% av høyeste observerte nivå (i 1946). Modellen ble også kjørt i en versjon der en også tok inn den store dødeligheten av unger og voksne i årene med selinvasjoner – beregnet status for dagens nivå ble temmelig likt det som kom ut av den første kjøringen.

Fangstopsjoner. TAC var i 1999 på 21.400 1+ dyr, i 2000 på 27.700 1+ dyr, i 2001-2003 på 53.000 1+ dyr, og i 2004-2005 på 45.100 1+ dyr. I 2006 ble TAC økt til 78.200 1+ dyr. På grunn av bekymringer om bestandens status, spesielt med bakgrunn i mulig lav ungeproduksjon og/eller høye ungedødeligheter, ble TAC i 2008 satt ned til 55.100 1+ dyr. I perioden 2009-2014 ble det ikke gitt kvoter til russisk fangst, totalkvoten for området ble derfor begrenset til den norske kvoten på 7.000 dyr uansett alder. For 2015-2016 var tallet 19.200 1+ dyr, for 2017-2019 på 10.090 1+ dyr, og for 2020 og 2021 på 21.172 dyr av alle aldre.

Russiske forskere gjennomførte nye ungetellinger i Kvitsjøen i mars 2013 mens siste tilgjengelige data om bestandens reproduksjonsevne ble innsamlet under norsk selfangst i Østisen i 2018. ICES klassifiserer derfor fremdeles denne bestanden som data-fattig og anvender da vanligvis PBR-metoden (se tidligere beskrivelse) ved beregning av mulige fangstopsjoner.

En fangstopsjon basert på den tradisjonelle PBR-metoden ville gitt en kvote på 42.344 grønlandssel for 2019 og påfølgende år. Ved å velge en mer konservativ tilnærming på PBR-beregningen ble kvoteanslaget på 21.172 grønlandssel. Ved modellkjøringer med fangstnivå basert på PBR beregninger viste bestanden en vekst på rundt 10% over en 15.årsperiode. Sjøl om bestandsmodellen beregner både likevektfangst for 2020 og årene framover, og det fangstnivå som på lang sikt (15 år) kan få bestanden ned til N70, dvs. 70 % av høyeste observerte nivå, vil ikke ICES anbefale at noen av disse benyttes ved kvotefastsetting.

På grunn av usikkerhet knyttet til både ungeproduksjon og modellering av totalbestanden, samt fordi denne bestanden nå er klassifisert som data-fattig, vil Havforskningsinstituttet anbefale at fastsetting av TAC for 2022 tar utgangspunkt i et fangstnivå beregnet ved hjelp av den mest konservative versjonen av PBR metoden:

TAC = 21.172 grønlandssel. Ved bruk av PBR metoden er det ingen omregningsfaktor mellom unger og voksne dyr.

Den Blandete Norsk-Russiske Fiskerikommisjonen (digitalt møte 11.-15.oktober 2021) fulgte rådgivningen fra ICES.

13.3.1 - Nasjonenes kvoter av grønlandssel og klappmyss

Under forhandlingene i Den Blandete Norsk-Russiske Fiskerikommisjonen i 2000 annulerte Russland sine mangeårige selkvoter i Vesterisen. Disse kvotene har derfor i sin helhet vært forbeholdt norske selfangere fra og med sesongen 2001. For fangsten i Østisen er det i Fiskerikommisjonens møter oppnådd enighet om at Norge kunne fangste 10.000 grønlandssel (ett år og eldre dyr, eller et ekvivalent antall unger) i 2003-2006, 15.000 dyr i 2007, og 10.000 dyr i 2008. I sesongene 2009-2021 ble Norge tildelt en årskvote på 7.000 dyr uten omregning mellom unger og eldre dyr i Østisen. Denne kvoten ble videreført for sesongen 2022 under forhandlingene i Den Blandete Norsk-Russiske Fiskerikommisjonen i digitalt møte 11.-15.oktober i 2021.

13.4 - Andre reguleringstiltak

Åpningsdato for fangst av grønlandssel i Vesterisen blir i 2022 fastsatt til 1.april for 1+ dyr, 10.april for avvendte unger. Sluttdato er i utgangspunktet satt til 30.juni. Åpningsdato for fangstsesongen i Østisen er fastsatt til 1.april, med avslutning 30.juni. Forbudet mot fangst av diende unger og hunner i kasteområdene blir opprettholdt.

13.4.1 - Nye bestandsundersøkelser av ishavssel

Havforskningsinstituttet gjennomfører rutinemessig bestandstaksering og forvaltningsrelevante biologiske oh økologiske studier av ishavsselene grønlandssel og klappmyss. Etter sterke anbefalinger fra ICES og NAMMCO samarbeider nå forskere fra "selfangstnasjonene" Norge, Russland, Grønland og Canada om overvåking av ishavsselbestandene.

Populasjonsmodeller for ishavssel

Ved modellering av ishavsselbestandene har man tradisjonelt benyttet ungeproduksjonsestimater fra tellinger og/eller fra merke-gjenfangstforsøk. Historiske fangsttall går også inn i modellene, likeledes data om hunnselenes fertilitet og alder ved kjønnsmodning. Modellene beregner status, og de brukes også til å framskrive bestandene under ulike fangstscenarier. Utvikling av disse modellene startet da man begynte å få tilgang til ungeproduksjonsestimater på 1980-tallet, seinere har datatilfanget økt slik at man nå har tidsserier som spenner over godt og vel 30 år. Nå konstateres det at modellene ikke lenger gir et godt nok bilde av bestandene de er laget for. De gir tilsynelatende rimelig pålitelig beskjed om dagens totale bestandsstatus, men de har store problemer med å tilpasse seg utviklingen i ungeproduksjonsestimatene som har vist tegn til nedgang for alle aktuelle bestander. Modellene gir heller ikke realistisk framskriving av bestandene.

Høsten 2020 samlet derfor ICES og NAMMCO selforskere fra hele Nord Atlanteren for å vurdere dagens bestandsmodeller samt å vurdere måter å utvikle og forbedre disse. Et av tiltakene som vurderes er å knytte selmodellene tettere opp mot andre variabler i økosystemet, for eksempel variasjon i bestandsstørrelse hos viktige byttedyr (som lodde) og konkurrenter (som torsk). Arbeidet med utvikling og forbedring av modellene fortsatte i 2021, progresjon og resultater skal diskuteres i digitale møter mot slutten av året og seinere i et fysisk møte, et såkalt benchmark-møte, som etter planen skal arrangeres mot slutten av 2022. Tidlig i 2023 er det meningen at gruppa skal diskutere handlingsregler og sikring av føre-var-prinsippet i selforvaltningen, og høsten 2023 skal WGHARP møtes for å implementere nytt modellverktøy, diskutere og inkludere nye data samt utvikle nye råd for forvaltningen av grønlandssel og klappmyss.

Biologiske parametere – grønlandssel i Østisen

Om bord på selfangstskuta M/S «Salarøy» samlet Havforskningsinstituttet inn kondisjons- og reproduksjonsdata fra grønlandssel under kommersiell fangst i Østisen i april/mai 2021. Det ble tatt fysiske mål av dyrene, dessuten kjever med tenner for aldersbestemmelse og kjønnsorganer (eggstokker) for reproduktiv status. Skuta tok til sammen 5 061 dyr, av disse ble det ble tatt prøver fra rundt 400 hunner. Resultatene vil inngå i en lang tidsserie med data, og brukes til bestandsestimering, populasjonsmodellering og rådgivning om fangst.

13.4.2 - Forskningsplaner for 2022+

Sørge for at bestandene holdes datarike:

  • Bidra til at det blir mulig å gjennomføre nye tellinger av grønlandssel i Kvitsjøen i 2022

  • Analysere nye (og historiske) data for biologiske parametere (alder ved kjønnsmodning, fertilitet, kondisjon) fra grønlandssel i Øst- og Vesterisen

  • Gjennomføre nye ungetellinger av grønlandssel og klappmyss i Vesterisen i 2022

  • Utvikle og forbedre de populasjonsmodeller som brukes i bestandsvurderingene for grønlandssel og klappmyss

  • Utvikle ny bestandsrådgivning for grønlandssel og klappmyss fram mot neste møte i ICES WGHARP i 2023

  • Samle inn data om fertilitet og kondisjon for grønlandssel i Vesterisen i 2023

Avliving av sel:

  • Analysere innsamlede data om fangstmetodikk (fra 2013 og 2014), eventuelt supplere med nye innsamlinger i 2022.

Fokusere på klappmyssbestandens problemer:

  • Analyser av innsamlet biologisk materiale samt publisering av resultater fra klappmyss

Studere seldiett

  • Samle inn nytt materiale om grønlandsselenes diett i Barentshavet

Satellittmerking, grønlandssel, Kvitsjøen:

  • Vil bli forsøkt gjennomført i april/mai 2022 av russiske forskere med norske merker

Observasjoner av sjøpattedyr på økosystemtoktene

  • Vil fortsette også i 2022, da vil området bli utvidet nordover mot iskant i Polhavet.

13.4.2.1 - Norsk-Russisk forskningsprogram på grønlandsseløkologi 2022-2026

For å sikre tilgjengelighet av nødvendige data for å avklare grønlandsselens rolle i økosystemet i Barentshavet ble det laget en skisse til et norsk-russisk forskningsprogram på grønlandsseløkologi under det felles norsk-russiske forskermøtet på Hurtigruten i mars 2006. Programmet ble presentert for og akseptert av Den Blandete Norsk-Russiske Fiskerikommisjonen høsten 2006.

En viktig del av forskningsprogrammet er forsøk med satellittmerking av grønlandssel i Kvitsjøen – dette skulle vært startet i 2007, men har stadig blitt utsatt, først grunnet formelle problemer med russiske myndigheter, seinere av økonomiske årsaker. I 2020 var det meste på plass, men da måtte det planlagte arbeidet utsettes på grunn av situasjonen med Covid-19. Det samme gjentok seg i 2021. Nå er håpet at prosjektet kan starte i 2022, og at selve merkingene overlates til de russiske forskerne. Prosjektet vil da kunne fortsette til 2026. I eksperimentperioden må det også innhentes data som viser selenes reelle mattilbud der de befinner seg – dette kan gjøres ved innhenting av data fra økosystemtokt. Det vil også bli aktuelt med egne tokt, det første i 2023, samarbeid med det nye forskningsprogrammet Arven etter Nansen er aktuelt. Russisk innsats med flyobservasjoner underveis vil også kunne være nyttig – det kan fortelle om fordeling av de store mengdene dyr stemmer overens med utbredelsen til de få med merker. Alt dette krever at informasjonen om dyrenes posisjon og fordeling blir fortløpende tilgjengelig til enhver tid når merkene er ute.

Aktiviteten med merker og ressurskartlegging vil fortelle hvor dyrene er og hvilke potensielle ressurser de overlapper med. Skal det også avklares hva de vitterlig spiser må det også fanges dyr for diettundersøkelser i utvalgte områder (særlig hvis det påvises hot-spot områder med særlig stor beiteaktivitet). Valg av områder vil også avhenge av resultater fra merkeforsøket.

Resultater fra forskningsprogrammet på grønlandsseløkologi vil være viktig input til norsk-russisk arbeid med forvaltning av ressurser i Barentshavet, herunder prosjektet med tema økt langtidsutbytte fra fiskebestandene.

13.4.3 - Anbefalinger fra ICES om kritisk nødvendig forskning

Hver gang ICES vurderer ishavselbestandenes status og fangstpotensial påpekes også kritiske kunnskapshull samt anvendt metodikk og hvordan denne kan justeres og forbedres dersom det ansees for nødvendig. Rent konkret innebærer dette en rekke anbefalinger om hvordan de enkelte selfangstnasjoner kan forbedre rådgivningsgrunnlaget som skal danne utgangspunkt for den bærekraftige fangsten. Etter WGHARP møtet i Tromsø i september 2019 kom ICES med følgende anbefalinger med relevans for Norge:

  • Gjennomføre nye ungetellinger av grønlandssel i Kvitsjøen, herunder også inkludere stadiebestemmelser av ungene for korreksjon av endelig estimat.

  • Forbedre populasjonsmodellen som estimerer størrelse og fangstpotensial for grønlandssel og klappmyss i Nordøst-Atlanteren.

  • Oppdatere analyser av merke-gjenfangst data fra grønlandssel i Vesterisen – herunder inkludere ny informasjon innkommet etter de første analysene fra 1994/1995.

  • Gjennomføre nye ungetellinger av grønlandssel i Vesterisen allerede i 2022 for å avklare om observert nedgang i 2018 er reell – rekognosering nord og sør for antatt kasteområde blir viktig, og båt og fly må være i området lenge nok til at god nok dekning sikres.

  • Gjennomføre forsøk med satellittmerking av grønlandssel fra østisbestanden for å avklare dens bruk av økosystemet i Barentshavet.

14 - Annex 4: Status for kystsel - Anbefalinger av jaktkvoter 2022

14.2 - Sammendrag

Estimering av havertens ungeproduksjon i Trøndelag og Nordland i 2018 viste at antall unger var på samme lave nivå som i 2014-2015. I Lofoten ble det registrert økning i ungeproduksjonen høsten 2020. Kvoteforslaget for havert i 2022 er uendret siden 2021. Det skal gjennomføres nye tellinger av havertunger i Troms og Finnmark i november 2021.

Det ble gjennomført steinkobbetellinger i Trøndelag, Nordland og Troms i 2019-2020 og i Finnmark i 2021. Resultatene viste en økning i antall steinkobber i Trøndelag, men bestanden var bare 66% av målnivået (MN). Antall steinkobber i Nordland var betydelig lavere enn ved forrige telling, 78% av MN. Bestanden i Troms var også lavere enn i forrige telleperiode 2008-2015, men godt over MN. I Finnmark var det en økning siden forrige telling, også over MN. Langs norskekysten ble det totalt registrert 6857 steinkobber i perioden 2016-2021, altså like under målnivået på 7015 steinkobber. Jaktkvoter for steinkobbe i 2022 foreslås justert i henhold til forvaltningsplanen for steinkobbe.

14.3 -  Innledning

Forvaltningen av steinkobbe og havert skal sikre levedyktige bestander innenfor artenes naturlige utbredelsesområder langs norskekysten. Bestandstilvekst skal kunne reguleres for å avbøte skader på fiskerinæringen (St. meld. 27 (2003-2004) Norsk sjøpattedyrpolitikk). I oppfølgende melding (St. meld. nr. 46 (2008-2009) Norsk sjøpattedyrpolitikk) tilrår Regjeringen en tilpassing av jaktkvotene slik at bestandene reguleres til et nivå på omkring 7000 steinkobber registrert i hårfellingsperioden (august) og en havertbestand som årlig produserer ca. 1200 unger langs norskekysten, dvs 93% av bestandene i 1996-1999. I forvaltningsplanene for havert og steinkobbe, som ble iverksatt i januar 2011, ble disse bestandsnivåene definert som målnivåer (MN). Bestandsregulerende tiltak innrettes slik at de har størst virkning i områder der det dokumenteres vesentlig skadevirkning på fiskerinæringen forvoldt av steinkobbe og havert. Det forutsettes at MN ligger fast over lengre tid, men likevel slik at det er mulig å justere nivået i forhold til nye bestandsestimeringer, ny kunnskap om skade på fiskerinæringen, nye miljøtrusler, etc.

Tellinger av steinkobbe og havert planlegges slik at nye landsdekkende data for bestandsstørrelse skal være tilgjengelig omtrent hvert femte år for begge artene. Forutsetningen for gjennomføring av tellinger er at det er kontinuitet i tilgjengelige ressurser, slik at det er mulig å planlegge tellingene innenfor 5-års perioder.

I forvaltningsplanene brukes en enkel algoritme for beregning av jaktkvoter (Tabell 1). Prosedyren forutsetter oppdaterte data om bestandsutvikling og uttak fra bestandene, noe som gir en gradvis opptrapping eller reduksjon av beskatningsnivået etter som bestandene henholdsvis er større eller mindre enn MN. NAMMCO har foreslått at grensen for nullfangst skal settes opp fra nåværende 0,5 MN til 0,7 MN, hvor formålet er å holde bestandene stabile.


Tabell 1 . Strategier for forvaltning av steinkobbe- og havertbestandene i forhold til politisk fastsatte mål. Aktuelle tiltak er i form av jaktkvoter som fastsettes i henhold til bestandenes størrelse i kombinasjon med aktivt bruk av habitatvern for å beskytte små og minkende bestander.

--------------------------------------------------------------------------------------------------------------------------------------

Bestandsstørrelse (1+) Tiltak

--------------------------------------------------------------------------------------------------------------------------------------

Større enn MN Uttak større enn likevektfangst, inntil 1,5*likevektfangst

Lik MN Uttak lik likevektsfangst

Mellom MN og 0,7MN Uttak lik 0,7*likevektsfangst

Mellom 0,7MN og 0,5MN Uttak lik 0,5*likevektsfangst

Mindre enn 0,5MN Nullkvoter

Mindre enn 0,5MN og minkende med 0-kvote Ferdsels- og forstyrrelsesbegrensinger på kasteplassene

--------------------------------------------------------------------------------------------------------------------------------------

 

14.4 - Havert

DNA-undersøkelser av havert viser genetisk differensiering mellom de tre forvaltnings-områdene: Lista-Stad, Stad-Lofoten og Vesterålen-Varanger (Figur 1). Kasteperioden (da ungene blir født) er også forskjellige mellom disse tre områdene (november-desember i Rogaland og i Troms og Finnmark og september-oktober Trøndelag og Nordland).

I periodene 1996-1998, 2001-2003, 2006-2008 og 2014-2017 ble det gjennomført landsdekkende tellinger av havertunger langs norskekysten. Rogaland ble ikke dekket i 1996-1998 (Bjørge & Øien, 1999; Nilssen & Haug, 2007; Nilssen et al., 2009). Omregningsfaktorer på 4.0–4.7 mellom antall fødte unger og antall ett år gamle og eldre dyr (1+) ble brukt til å estimere bestandsstørrelser (se Tabell 2). Det ble utviklet en bestandsmodell for havert, hvor ungeproduksjon, reproduksjonsdata, fangst og bifangst inngår. Total bestandsstørrelse i Norge ble estimert til 8740 haverter (95% CI: 7320-10170) i 2011. En omregningsfaktor på 4,7 mellom ungeproduksjon og 1+ bestand var nesten identisk med modellert estimat (Øigård et al., 2012) (Figur2).

 

Kartmodell over forvaltningsområder for havert
Figur 1 . Forvaltningsområder for havert: Lista-Stad (A), Stad-Lofoten (B) og Vesterålen-Varanger (C). Kastekolonier (grønn) og områder hvor det er blitt samlet diett data (rød). (Figur: Siri Hartvedt).

 

Grafer
Figur 2 . Modellerte estimater av havertbestanden i Norge (Øigård et al., 2012).

 

Telling Stad – Lofoten 2014-2020

Siste landsdekkende tellinger av havertunger startet i 2014 i områdene Froan, Frøya kommune i Sør-Trøndelag, Hortavær, Leka kommune i Nord-Trøndelag og kommunene Bindal, Sømna, Brønnøy og Vega på Helgelandskysten. Resultatene viste en betydelig nedgang i ungeproduksjonen i hele det undersøkte området. Ungeproduksjonen i 2014 var mindre enn 50 % sammenlignet med forrige telling i 2007 (Tabell 2).

Tellinger av havertunger i området fra Vega til Lofoten i Nordland ble gjennomført september-oktober 2015. I området fra Floholman til Grønna (kommunene Herøy, Rødøy og Meløy) ble det totalt ble registrert 80 unger (44.7%) sammenlignet med 179 i 2007. I Lofoten (Røst, Værøy og Moskenes) ble det totalt ble registrert 66 unger (47.5%) mot 139 unger i 2008 (Tabell 2). I noen av kasteområdene i 2007, ble det ikke observert unger i 2015 (Figur 3).

I september-oktober 2018 ble det gjort ny estimering av antall havertunger i området fra Froan (Trøndelag) til Myken (Nordland). Resultatene viste fortsatt nedgang i Froan og sør i Nordland, mens det i N-Trøndelag og nord i Nordland var på samme nivå som i 2015 (Tabell 2). Nye tellinger i Lofoten i september-oktober 2020, viste imidlertid en betydelig økning i ungeproduksjonen, fra 66 i 2015 til 121 unger i 2020 (Tabell 2).

Telling Vesterålen – Varanger 2015-2016

I Finnmark ble det gjennomført tellinger av havertunger i følgende havertkolonier i perioden 21. november - 3. desember 2015: Kamøyene ved Sørøya (Hammerfest kommune), Gjesværstappan (Nordkapp), Store Tamsøy (Porsanger), Kartøy/Henrikholmen i Laksefjorden (Lebesby), Koiøy (Gamvik) og Kongsfjord (Berlevåg). Det ble totalt registrert 206 havertunger i Finnmark, hvor de fleste (145) ble funnet øst for Nordkapp. Ungeproduksjonen i Finnmark var nærmest identisk med resultatet i 2006 (Tabell 2). I Troms ble det gjennomført tellinger i alle kjente kastelokaliteter for havert i november 2016. Det ble registrert 65 unger, noe som er 15% mindre enn i 2006 (Figur 3).

Telling Lista - Stad 2017

I perioden 15. – 27. november 2017 ble det gjennomført tre tellinger på Kjørholmene (Rogaland), hvor det ble registrert 34 havertunger (Tabell 2). Det er mulig at det kan ha blitt født noen flere unger på Kjør etter at tellingen ble avsluttet.

I tillegg ble områdene nordover i Rogaland, Hordaland og Sogn og Fjordane undersøkt. Det ble observert 14 haverter (flest ungdyr) ved Urter i Karmøy kommune (Rogaland), 20 haverter (de fleste unge dyr) ved Raudholmene i Sveio kommune (Hordaland), og 20 haverter og 1 havertunge (Lyngholmen) ved Utvær i Solund kommune (Sogn og Fjordane).

 

Grafer over estimert ungeproduksjon i forvalgtningområde C, B og A
Figur 3 . Estimert ungeproduksjon for havert langs norskekysten 1979-2020.

 

14.4.1 - Total havertbestand i Norge

Den totale bestanden i Norge, inkludert ungeproduksjonen, ble estimert til 8740 haverter (95% CI: 7320-10170) i 2011 (Øigård et al., 2012). Resultatene fra estimatene av ungeproduksjonen i 2014-2017 (se Figur 3 og Tabell 2) ble skalert med en faktor på 5.7. Det resulterte i en total bestand på 3850 haverter (95% CI: 3504 - 4196) i 2017 (Nilssen et al., 2019).

Kvoteforslag for 2022

I kvoteberegningen for havert er det antatt at likevektfangst er 5 % av total bestandsstørrelse. Målnivået (MN) for havertenes årlige ungeproduksjon er 970 unger for området Stad-Lofoten (Tabell 3). Ungeproduksjonen i området Froan - Lofoten i 2014-15 var totalt på 398 (Tabell 2), altså mindre enn 50 % sammenlignet med tellingene i 2007-2008, som var omtrent likt med MN for bestanden. Nye undersøkelser viste ingen økning i ungeproduksjonen, bortsett fra i Lofoten. I henhold til strategi for forvaltning av kystsel når bestanden er under 50% av MN (Tabell 1) foreslås det ingen fangst av havert i 2022 i forvaltningsområdet Stad - Lofoten (Møre og Romsdal, Trøndelag og Nordland) (se Tabell 2).

I Finnmark og Troms har fangstene også vært relativt høye, særlig i 2007-2010, men avtatt siden 2011 (se Tabell 3). I dette området ble det i modelleringene estimert at 55% av fangstene består av russiske dyr. Resultatet fra 2015 tyder på at ungeproduksjonen var stabil i Finnmark, men redusert med 15% i Troms. Det foreslås en total kvote på 140 haverter i området Vesterålen-Varanger, fordelt med 25 dyr i Troms og 115 i Finnmark i 2022 (se Tabell 2).

Ungeproduksjonen i kolonien på Kjørholmene i Rogaland har til tross for relativt høye kvoter og fangster (se Tabell 4) vært nokså stabil i perioden 2001-2017. Dette styrker antakelsen om at fangsten i Rogaland inkluderer haverter fra De britiske øyer (modellen forutsetter at 80% av fangstene er immigranter). Det foreslås som tidligere en kvote på 60 haverter i området Lista – Stad i 2022 (se Tabell 2).

Region 1996- 1998   2001- 2003   2006- 2008   2010   2014- 2020 2022
  Ungeprod. Bestand Ungeprod. Bestand Ungeprod. Bestand Modell bestand MN (ungeprod.) Unge- Prod. Kvote- Forslag
Lista-Stad - - 35 175-200 43 215-245 246 40 34 60*
Stad- Lofoten 728 3600-4150 940 4700-5350 943 4715-5375 6496 970 453 0
Vesterål. - Finnm. - ca. 1000 184 900-1050 283 1400-1600 2001 190 271 140**
Tabell 2. Årlig ungeproduksjon, estimert totalbestand, målnivå og kvoteforslag for havert i 2020. Omregningsfaktorer på 4.0 og 4.7 er brukt mellom antall unger og bestanden av 1+ havert. Resultatene fra modelleringer av bestandene er presentert for 2010. Bestandstallene inkluderer ungeproduksjonen. Kvoteforslaget forutsetter at likevektsnivået for fangst er ca. 5% av total bestandsstørrelse. Målnivå=MN (total årlig ungeproduksjon = 1200).

*Høyere kvoteforslag basert på innslag av haverter fra britiske kolonier. ** Det tilrådes følgende fylkesvise kvotefordelinger i Troms (25) og Finnmark (115).

Fangst av havert

I Finnmark og Troms har fangstene også vært relativt høye, særlig i 2007-2010, men avtatt siden 2011 (se Tabell 3). I dette området ble det i modelleringene estimert at 55% av fangstene består av russiske dyr. Resultatet fra 2015 tyder på at ungeproduksjonen var stabil i Finnmark, men redusert med 15% i Troms.


Tabell 3. Totale kvoter og fangster av havert for regionene Lista-Stad (A), Stad-Lofoten (B) og Vesterålen-Varanger (C) i 2007-2020. Fylkesvise fangster (F). Tall i parentes i Rogaland er haverter tatt i V-Agder. (kilde: Fiskeridirektoratet).

  Region A Rog. Hord S & F Region B M& R S-T N-T N Region C Troms Finn.
År kvote/fangst F F F kvote/fangst F F F F kvote/fangst F F
2007 60/60 35 25   905/188 8 32 14 134 221/208 34 174
2008 60/60 47 13   755/152   29 72 51 225/240 37 203
2009 60/67 42 25   755/210 8 21 62 119 225/239 4 235
2010 60/37 35 2   755/98   19 38 41 225/228 20 208
2011 60/23 23     755/37         225/51    
2012 60/17 11 6   250/38 1 7 14 16 150/9 8 1
2013 60/31 18(1) 6 7 250/92 7 7 20 58 150/71 12 59
2014 60/65 30(2) 7 28 250/71 3 8 19 41 150/80 12 68
2015 60/60 25(4)   35 105/17     17   150/5 1 4
2016 60/26 8(10) 2 6 0/0         150/7 1 6
2017 60/33 15(5) 4 9 0/0         150/48 1 47
2018 60/39 16(3) 9 11 0/0         140/27 3 24
2019 60/40 24 4 14           140/22 8 14
2020 60/12 12     0/0       3 140/4 2 2

 

14.5 - Steinkobbe

14.5.1 - Genetiske undersøkelser

Foreløpige undersøkelser av steinkobbebestandenes genetiske forhold basert på prøver fra jakt og unger i kasteområder, indikerer at det er flere lokale bestander i Norge. Fordi jaktkvotene gis fylkesvis, kan jakt resultere i at genetisk isolerte bestander utryddes dersom hele fylkeskvoten tas i et mindre område med en egen genetisk bestand. Analyser av 14 mikrosatellitt-markører fra unger på kasteplassene viste klare forskjeller mellom tre områder (Vesterålen, Gildeskål-Lurøy og Vega) i Nordland. Steinkobbene fra Nordland var også forskjellige fra steinkobbene i Trøndelag og Møre og Romsdal, mens det ikke ble funnet signifikante forskjeller mellom Sør-Trøndelag og Møre og Romsdal, noe som kan skyldes for lite data (for få prøver) i Møre og Romsdal (Figur 4).

Det er i ettertid blitt innhentet flere DNA-prøver fra Møre og Romsdal, flere områder i Troms, ved Hadseløya og Røst i Nordland og fra ytre områder i Sogn og Fjordane og i Vestfold og Telemark. Det var planlagt å samle DNA i Rogaland i 2021, med det ble ikke gitt tillatelse hos Statsforvalteren. Etter klage til Miljødirektoratet ble det gitt tillatelse, men etter at toktet på Vestlandet var avsluttet. Det skal samles inn DNA i Rogaland og i Ytre Oslofjord i juni 2022. Alt innsamlet materiale skal analyseres i 2022, inkludert DNA fra steinkobber tatt under jakt i Finnmark.

 

Kart over områder for DNA prøver
Figur 4 . DNA prøver fra steinkobbeunger (14 mikrosatelitt-markører ble analysert). Unger fra de tre områdene (rød) i Nordland var genetisk forskjellige, disse var også forskjellige fra Trøndelag (blå), Møre (gul) og Finnmark (grønn). Det ble ikke funnet signifikante forskjeller mellom Trøndelag og Møre. (Figur: Stine Frie).

 

14.5.2 - Landsdekkende bestandstellinger

1996-1999

Flyfotografering og visuelle tellinger (alle aldersgrupper) i hårfellingsperioden brukes for å kunne gi minimumsanslag for antall steinkobber. Telleresultatene brukes som grunnlag for å sette jaktkvoter. Regionale korreksjonsfaktorer basert på sammenligning av antall dyr på land og i sjøen på ulike steder langs norskekysten (Roen & Bjørge, 1995) ble brukt til å beregne bestanden av steinkobber i Norge til å være ca. 10000 individer, basert på ca. 7500 observerte dyr (Tabell 4) i flyfototellinger i 1996-1999 (Bjørge et al., 2007) langs hele norskekysten, bortsett fra Vest-Finnmark.

2003-2006

En ny landsdekkende telling av steinkobbe ble gjennomført 2003-2006 og resulterte i ca. 6700 dyr (Nilssen et al., 2010) (Tabell 4). I overvåkning av steinkobbebestanden i Norge har det ikke vært ressurser til å gjennomføre landsdekkende tellinger mer enn omtrent hvert femte år. Telleresultatene fra 1996-1999 og 2003-2006 er også relativt usikre fordi det stort sett ble gjennomført én telling i hvert område. Det er viktig å etablere en tellemetode som tar hensyn til statistisk usikkerhet. Teilmann et al. (2010) viste at 3 flyfotograferinger hvert år vanligvis gir gode resultater. Fra 2011 har det derfor vært en målsetting om at tre tellinger skal gjennomføres i hvert område.

 

Kart over hårfellingsområder
Figur 5 . Steinkobbenes hårfellingsområder langs norske-kysten i 2011-2015. Antall hårfellende steinkobber er indikert. (Figur: Siri Hartvedt).

 

2008-2015

Landsdekkende tellinger i 2008-2015 resulterte i et totalt antall på 7644 steinkobber langs norskekysten, inkludert 395 steinkobber i Vest-Finnmark (se Tabell 4). Resultatene (2011-2015) viser at totalbestanden av steinkobbe i Norge har økt de siste årene, nesten til nivået i 1996-1999. Bestandene av steinkobbe er imidlertid kraftig redusert i Trøndelag. I Nordland er bestanden stabil. I Troms er bestanden økende. I Øst-Finnmark er bestanden stabil, men muligens en liten økning i totalbestanden i Finnmark. Basert på resultatene fra tellingene (2014 og 2015) er det foreslått jaktkvoter i Vestfold og Telemark (Tabell 4). Ved forrige virusepidemi tok det rundt 10 år før bestandene var tilbake til nivået før epidemien. I tillegg har uttaket av bestanden i form av jakt vært lite i dette området (se Tabell 5). Dette kan være årsakene til at steinkobbene i Vestfold og Telemark har økt. I tillegg kan også forflytninger av steinkobber fra Østfold og svenskekysten ha bidratt til økning i Vestfold og Telemark.

2016-2021

Havforskningsinstituttet gjennomførte steinkobbetellinger i Vest-Agder, Aust-Agder, Telemark og Vestfold i august 2016. I tillegg gjennomførte svenske forskere tre flytellinger i Østfold i 2016. Alle kjente lokaliteter hvor det jevnlig observeres steinkobbe ble dekket, i tillegg til mulige lokaliteter der det har blitt observert steinkobber av lokalbefolkning de siste årene. Andre områder, særlig skjær ytterst langs kysten, ble også dekket i undersøkelsene. Alle lokaliteter der det ble observert ansamlinger av steinkobbe ble telt tre ganger på ulike dager, bortsett fra i Vest-Agder. I Vest- og Aust-Agder var det svært få steinkobber, henholdsvis 35 og 41, mens høyeste telling i Telemark var 175. I Vestfold var høyeste telling 292 sammenlignet med 183 i 2014. Resultatet kan tyde på en økning av bestanden i Vestfold, men det kan også være en effekt av værforhold og at det kun ble gjort en telling i 2014. I Østfold ble det registrert 333-337 steinkobber i tre tellinger, mens siste telling var på 325 i 2020 (se Tabell 4).

I 2017 ble det gjort tellinger i Rogaland, inkludert to tellinger i Lysefjorden. Tellingene i Lysefjorden ble gjort under svært gode værforhold og uten forstyrrelser fra båter (kajakker). Begge sidene av fjorden ble undersøkt samtidig og det ble totalt registrert 102 og 105 steinkobber. De ytre områdene i Rogaland var vanskeligere å dekke optimalt på grunn av mye dårlig vær. Under gode værforhold var det gjerne lystbåter som forstyrret dyrene slik at det var få steinkobber på land. Det ble imidlertid gjennomført en telling under gode forhold og uten forstyrrelser hvor det ble registrert 306 dyr, altså totalt 411 steinkobber i Rogaland (se Tabell 4).

I 2018 ble det gjort tellinger i Møre og Romsdal og i Sogn og Fjordane, inkludert Nordfjord og indre Sognefjorden. I Møre og Romsdal ble det registrert 634 steinkobber, som er på nivå med resultatet i 2011-12. I de ytre områdene av Sogn og Fjordane ble det registrert 643 dyr, noe som er en kraftig økning fra 471 dyr i 2011-12. I Nordfjord var antallet omtrent som i 2014, men i indre Sognefjorden ble det på en telling kun observert 30 steinkobber mot 119 i 2014 (se Tabell 5). Det er mulig at steinkobbene i Sognefjorden påvirkes av økt turisme, som cruiseskip med hurtiggående rib-båter som f.eks. trafikkerer mellom Flåm i Aurlandsfjorden og Nærøyfjorden. Dette kan ha ført til at steinkobbene har forflyttet seg fra dette området, men antallet dyr på kjente liggeplasser ute i Aurlandsfjorden, mellom Aurlandsfjorden og Lustrafjorden og sør i Lustrafjorden var også minimalt. I juni 2021 (under DNA-innsamling) ble det observert 60 steinkobber i de indre områdene av Sognefjorden.

I 2019-2020 ble det telt steinkobber Trøndelag, Nordland og Troms. I Trøndelag ble områdene Froan og Tarva (Sør-Trøndelag) og i Hortavær og Namsenfjorden (Nord-Trøndelag) dekt. Høyeste telling var totalt 790 steinkobber i Sør-Trøndelag og 124 steinkobber i Nord-Trøndelag (se Tabell 5; Figur 6).

I Nordland ble det telt i området Henstein, Onstein og Fuglevær sørvest for Vega. Det ble ikke observert steinkobber i området Sandværet og Lyngværet sør for Brønnøysund. Videre nordover ble det telt ved Vandve (Dønna kommune), Nesøy (Lurøy), Fugløyvær (Gildeskål). I Lofoten ble det telt ved Røst. I Vesterålen ble det gjort tellinger i Ongstadvika, (Hadsel), Skogsøya/Stø/Gisløy (Øksnes), Nordmela og vest for Andenes, samt Risøyrenna (Andøy) og Kinnholmen (Sortland). Totalt antall i Nordland var 1568 steinkobber (se Tabell 4; Figur 6).

I Troms (2020) ble det telt i områdene Kasholmen og Gapøyholman (Kvæfjord), Hofsøybotn, Holmenvær, Bergsholman, og Gisundet (Senja). Lyngøy/Risøya (Tromsø), Måsvær og Grimsholmen (Karlsøy). Totalt antall var 760 steinkobber. (se Tabell 4; Figur 6)

I 2021 ble det gjennomført tellinger i Finnmark i områdene Sørøya S (Hasvik), Sørøya N (Hammerfest), Kobbefjorden (Måsøy), Porsangerfjorden (Porsanger), Laksefjorden (Lebesby), Tanafjorden (Tana) og Kongsfjorden (Berlevåg). Totalt ble det registret 1119 steinkobber i Finnmark, som er 24% over MN (Tabell 4; Figur 6.).

garfer
Figur 6 . Fylkesvise (gammel fylkesinndeling) endringer i antall steinkobber i perioden 1996-2021.

 


14.5.3 - Kvoteforslag for steinkobbe i 2022

Forslag til fangstkvoter for steinkobbe i 2022 er gitt fylkesvis (etter gammel fylkesinndeling) i Tabell 4. Kvoteforslaget er beregnet basert på strategien i Tabell 1, hvor MN er beregnet ut fra tellingene i 1996-2006. Det forutsettes at fangst på 5 % av bestandsanslaget er likevektfangst. HI foreslår som tidligere at de særlige begrensninger på jakt av steinkobbe i Lysefjorden og i indre Sognefjorden opprettholdes. Bestandene i begge fjordene tåler sannsynligvis lav beskatning, men Havforskningsinstituttet anbefaler at uttak bør være tilknyttet konflikter i lakseelver.

  Målnivå Bestand 1996-99 Bestand 2003-06 Bestand 2008-15 Bestand 2016-21 Kvoteforslag 2022
Østfold 310 289 266 281 325 16
Vestfold 240 61 7 183 292 15
Telemark 160 0 45 148 175 10
Aust-Agder   0 10 39 41 0
Vest-Agder   0 0 - 35 0
Rogaland 480 513 360 389 (*92) 393 (*105) 14
Sogn & F. 670 714 325 471 (**188) 620 (**121) 22
Møre & R. 1000 1072 477 689 634 16
S-Trønd. 1200 1296 1527 632 790 20
N-Trønd. 170 173 138 100 124 0
Nordland 2000 2129 2466 2465 1549 55
Troms 520 557 727 986 760 40
Finnmark 900 661 357 981 1119 60
Totalt 7015 7465 6705 7364 6857 268
Tabell 4. Bestandsanslag og kvoteforslag for steinkobbe langs norskekysten. Kvoteforslaget for 2022 er basert på strategien i Tabell 1 (hvor MN er ca. 0.93 % av resultatene fra tellingene i 1996-1999). I Østfold, Vestfold og Telemark er MN justert, basert på gjennomsnitt av høyeste tellinger i de to siste periodene. I Finnmark er MN justert til 900 steinkobber, basert på tellinger i 2008-2010 som inkluderte Vest-Finnmark. I områder hvor det er gjennomført flere tellinger, brukes høyeste tall som grunnlag for kvote. Det forutsettes at fangst på 5 % av bestandsanslaget er likevektfangst.

Tellinger i *Lysefjorden, ** Nordfjord og Sognefjorden. Vest- Finnmark ble ikke dekket i de to første

periodene.

14.5.4 - Fangst av steinkobbe

Årlig fangst av steinkobber langs norskekysten har variert mellom 159 og 585 dyr i perioden 2009-2020. Andelen av gitt kvote som blir tatt i fangst varierer mellom fylkene, men fra Trøndelag og videre sør blir stort sett hele kvoten tatt. I Nordland, Troms og Finnmark er det større variasjon mellom kvoter og fangster (se Figur 7). Total fangst for steinkobbe langs norskekysten har siden 2012 variert mellom 300 og 500 dyr (Figur 7).

 

Graf over kvoter og fangst fordelt på fylke
Figur 7. Kvoter og fangst av steinkobbe i 2009-2020. Gråtone viser kvoter. Blått og rødt viser fangster. Rød farge viser fangster høyere enn kvote.

 

14.5.5 - Internasjonal evaluering

Norsk forskning på kystsel evalueres internasjonalt av NAMMCO, som konstaterte at dagens forvaltning basert på de vedtatte forvaltningsplanene fungerer etter hensikten og viste til at en dokumentert nedgang i ungeproduksjonen av havert umiddelbart førte til reduksjon i kvoten. NAMMCO påpekte videre at fem års intervaller mellom hver telling medfører vesentlig risiko for store bestandsendringer før dette fanges opp gjennom tellingene, med tilsvarende forsinkelse i justering av forvaltningstiltakene. NAMMCO anbefalt at forvaltningsplanene for begge arter endres slik at jakt opphører dersom bestandene faller til 70% av Målnivået (0,7MN).

14.5.6 - Tilrådning om videre forskning og justering av forvaltningsplanene

I norsk Skagerrak ble steinkobbebestanden hardt rammet av PDV-utbrudd i 1988 og 2002. Utforming av forvaltningsplaner for steinkobbe og havert startet noen få år etter 2002-utbruddet og planene ble satt i verk i januar 2011. Bortsett fra i Østfold, var det få tellinger av steinkobbe forut for PDV utbruddet. Det var derfor et dårlig grunnlag å foreslå fornuftige målnivåer for steinkobbebestandene i de aktuelle fylkene (Vestfold, Telemark, Aust-Agder og Vest-Agder) og til dels også Østfold. Målnivåene ble i utgangspunktet satt ut fra kunnskap om bestandsstørrelsene i årene like forut for 2007, altså mens bestandene var sterkt redusert på grunn av PDV epidemien. Bestanden i Hvaler (Østfold) økte fram til 2001, da høyeste telling var 548 steinkobber. Etter 2002 har tellingene variert mellom 160 og 337dyr. Tellingene i Hvaler kan tyde på at bestanden brukte nesten 15 år siden PDV-utbruddet på å vokse til nivået før 2002. Målnivåene (MN) for steinkobbe i Østfold, Vestfold og Telemark ble derfor endret til henholdsvis 310, 240 og 160 steinkobber, basert på gjennomsnitt av høyeste tellinger i de to siste periodene (se Tabell 4). Dette er i samsvar med tilrådningene i Forvaltningsplanen for steinkobbe, hvor det er mulig å justere MN i henhold til ny kunnskap om bestandene.

Det foreligger et teoretisk arbeid som beregnet den minste mulige livskraftige bestand av steinkobbe til ca. 50 dyr, men en så liten bestand tåler ikke beskatning (Bjørge et al., 1994). Det vil bli gjennomført en ny analyse av minste bestandsstørrelse som kan tåle beskatning. Havforskningsinstituttet har stort sett ikke anbefalt kvoter på fylkesvise bestander mindre enn 150 steinkobber.

I norsk Skagerrak er det stort press for økt jakt. Det foreligger ikke kunnskap om det er flere genetiske bestander i norsk Skagerrak, eller om steinkobber i Hvalerområdet kan være en del av en svensk bestand. Dette gjør det vanskelig å vurdere fangstkvote for et større område, selv om det totalt er rundt 900 steinkobber i hele norsk Skagerrak. Det er samlet inn noen DNA-prøver og det planlegges nye innsamlinger i 2022 i dette området.

Basert på variasjoner i de hittil analyserte genetiske prøvene av steinkobbe, ble det foreslått at ca. 20 DNA-prøver fra steinkobbeunger i hvert område vil med rimelig sikkerhet gi svar på bestandsinndeling langs norskekysten. Det ble det gitt tillatelse fra Mattilsynet til innsamling av DNA fra steinkobbeunger. Havforskningsinstituttet har også søkt om tillatelse til innsamling av DNA fra steinkobbeunger hos Fylkesmannen/Statsforvalteren i alle aktuelle verneområder langs kysten, men i Troms og Rogaland det ble ikke gitt tillatelse i flere verneområder. I Sogn og Fjordane ble det gitt tillatelse med visse begrensinger, men nok til å gjennomføre innsamling. Etter klager til Miljødirektoratet ble det imidlertid gitt tillatelser i alle omsøkte områder. Det planlegges innsamling av DNA i Rogaland, Hvalerområdet og Vestfold og Telemark, samt å analysere alle DNA-prøver i 2022.

Havforskningsinstituttet anbefaler å justere forvaltningsplanene for steinkobbe og havert slik at grensen for nullkvoter endres fra 0,5 MN til 0,7 MN (se Tabell 1). Når bestanden er mindre enn 0,5 MN bør det være ferdsels- og forstyrrelsesbegrensinger på kasteplassene. Dette er i tråd med anbefalinger fra Vitenskapskomiteen i NAMMCO.

Referanser

Bjørge, A., Steen, H. & Stenseth, N.C. 1994. The effect of stochasticity in birth and survival on small populations of the harbour seal Phoca vitulina L. Sarsia , 79 : 151-155.

Bjørge, A. & Øien, N. 1999. Statusrapport for Havforskningsinstituttets overvåkning av kystsel. Havforskningsinstituttet, Rapport SPS-9904. 35 pp.

Bjørge, A., Øien, N., Hartvedt, S., Bøthun, G. & Bekkby, T. 2002. Dispersal and bycatch motality in gray, Halichoerus grypus, and harbor, Phoca vitulina, seals tagged at the Norwegian coast. Marine Mammal Science , 18 (4): 963-976.

Bjørge, A., Øien, N. & Fagerheim, K.A. 2007. Abundance of Harbour Seals ( Phoca vitulina ) in Norway Based on Aerial Surveys and Photographic Documentation of Hauled-Out Seals During the Moulting Season, 1996 to 1999. Aquatic Mammals, 33 (3): 269-275.

Herstrøm, K. 2013. Fine scale haul-out behaviour of harbour seals ( Phoca vitulina ) at different localities in northern Norway. BIO-3950 Master’s thesis in Biology, May 2013. Faculty of Biosciences, Fisheries and Economics, Department of Arctic and Marine Biology, University of Tromsø. 58 pp.

Nilssen, K.T., Skavberg, N.-E., Poltermann, M., Haug, T. & Henriksen, G. 2006. Status of harbour seals ( Phoca vitulina ) in Norway. NAMMCO Working Group on Harbour Seals, Copenhagen, Denmark, 3-6 October 2006. 9 pp.

Nilssen, K.T. & Haug, T. 2007. Status of grey seals ( Halichoerus grypus ) in Norway. NAMMCO Sci.Publ. 6:23-31.

Nilssen, K.T., Poltermann, M., Skavberg, N.E., Øigård, T.A., Haug, T., Lindstrøm, U.,

Heggebakken, L. & Fagerheim, K.A. 2009. Grey seal ( Halichoerus grypus ) pup production along the Norwegian coast in 2006-2008. NAMMCO SC/16/23. 9 pp.

Nilssen, K.T., Lindstrøm, U., Westgaard, J.I., Lindblom, L., Blencke, T-R., & Haug, T. 2019. Diet and prey consumption of grey seals ( Halichoerus grypus ) in Norway. Marine Biology Research . https://doi.org/10.1080/17451000.2019.1605182.

Roen, R. & Bjørge, A. 1995. Haul-out behaviour of the Norwegian harbour seal during summer. Pp 61-67 in A.S. Blix, L. Walløe and Ø. Ulltang (eds). Whales, seals fish, and man . Elsevier Science, Amsterdam.

St.meld. nr. 27 (2003-2004). Norsk sjøpattedyrpolitikk. 125 pp.

St.meld. nr. 46 (2008-2009). Norsk sjøpattedyrpolitikk. 41 pp.

Teilmann, J., Riget, F. & Härkönen, T. 2010. Optimizing survey design for Scandinavian harbour seals: population trend as an ecological quality element. ICES Journal of Marine Science, 67 : 952-958.

Øigård, T.A., Frie. A.K., Nilssen, K.T. & Hammill, M.O. 2012. Modelling the abundance of grey seals ( Halichoerus grypus ) along the Norwegian coast. ICES Journal of Marine Science, 69 : 1446-1447. doi:10.1093/icesjms/fsq103.