Gå til hovedinnhold

Havbruk til havs – yttergrense for produksjonsområdene

Forfatter(e): Bjørn Ådlandsvik (HI)

Sammendrag

I forbindelse med havbruk til havs er det viktig å avgrense hvor langt ut produksjonsområdene og dermed trafikklyssystemet skal være gyldig. Områderapporten la vekt på avgrensing langs kysten og yttergrensene på 30 nm (nautiske mil) i sør og 20 nm i nord var basert på en rask analyse som bare vurderte påvirkning av lusesmitte fra noen få virtuelle utaskjærs lokaliteter.

Denne rapporten vurderer nærmere 2000 virtuelle lokaliteter fra grunnlinjen og ut til 60 nm. Den modellbaserte analysen ser på i hvilken grad havlokalitetene kan påvirke lokaliteter langs kysten og motsatt i hvilken grad de påvirkes av smitte fra kystlokaliteter. Det analyseres også i hvilken grad lusesmitte holdes innenfor produksjonsområdene.

Vurderingen balanserer to motstridende hensyn. En del lokaliteter ut til 20 nm har påvirkning på kysten, spesielt i områdene 3 og 6 i noe mindre grad 2, 4, 5. Dette samsvarer med de eksisterende yttergrensene. På den annen side sørger de dominerende strømretningene for at havlokaliteter påvirker neste produksjonsområde mer enn sitt eget, og at påvirkningen fra kysten kommer fra området sønnenfor. Hensikten med produksjonsområdene er at de skal være mest mulig uavhengig av hverandre når det gjelder lakselus. Å legge havlokaliteter inn i produksjonsområdene reduserer denne uavhengigheten. Dette peker mot snevre yttergrenser.

Her presenteres et kompromissforslag med relativt snevre yttergrenser. Det foreslås en yttergrense på 1 nm for område 1 og nord for 64° (del av område 6, samt områdene 7–13). For områdene 2, 4 og 5 foreslås 4 nm, mens det for område 3 og del av område 6 sør for 64° foreslås en yttergrense på 8 nm. Alle avstander er regnet ut fra grunnlinjen. Forslaget er vist i kart i figurene 1 og 18 og i tabulert i tabell 4. Det understrekes at eventuelle lokaliteter utenfor de foreslåtte områdegrensene kan ha påvirkning på kysten. Dette må tas hensyn til ved vurdering av slike lokaliteter.

1 - Bestilling

I sin bestilling av 19.02.2019 skriver Nærings- og fiskeridepartementet bl.a.:

Produksjonsområdenes yttergrense (vestgrense)

Det geografiske virkeområdet for laksetildelingsforskriften og produksjonsområdeforskriften er Norges økonomiske sone (forskriftene gjelder likevel helt ut til kontinentalsokkelen der det er relevant). Produksjonsområdeforskriften er likevel i praksis avgrenset av yttergrensene til produksjonsområdene, som går 20 eller 30 nautiske mil utenfor grunnlinjene.

Vestgrensene for produksjonsområdene er gjennomgående 20 eller 30 nautiske mil utenfor grunnlinjene. Det er viktig at havbruk til havs som påvirker eller påvirkes av havbruk langs kysten, reguleres i tråd med produksjonsområdesystemet. På samme måte er det ønskelig at havbruk til havs som ikke påvirker eller påvirkes av havbruk langs kysten, holdes utenfor systemet.

Vi ber i den forbindelse om at Havforskningsinstituttet foreslår mer presise grenser for hvor hvert enkelt produksjonsområde skal avgrenses i vest.

 

Denne rapporten til Nærings- og fiskeridepartementet var skrevet i 2019, som svar på bestillingen over, med utsatt offentlighet. Den publiseres nå åpent 3.2.2022.

2 - Innledning

Ideen om produksjonsområder ble først nevnt i arealrapporten (Anon., 2011) og deretter fulgt opp i stortingsmelding 16 (2014-2015) (Anon., 2015). På bestilling fra Nærings- og Fiskeridepartementet kom Havforskningsinstituttet med en rapport (Ådlandsvik, 2015) som foreslo 11 produksjonsområder.

Etter høringsrunde og behandling i departementet ble det sørligste og nordligste området delt i to samt noen mindre endringer. Det endelige inndelingen ble gitt i produksjonsområdeforskriften (Anon. 2017) og er vist i figur 2.

Poenget med områdeinndelingen er å lage fornuftige enheter for forvaltning i henhold til trafikklyssystemet med dødelighet på villfisk på grunn av lakselus som indikator. For dette formål må områdene være designet for å minimere smitte mellom områdene, slik at lusesituasjonen i et produksjonsområde er bestemt av aktiviteten i området selv og uavhengig av situasjonen i nabo­områdene.

Analysen som lå til bakgrunn for områdeinndelingen var i hovedsak basert på eksisterende anleggs­struktur, med lokaliteter i fjordene og langs kysten. Det ble og dokumentert at strukturen vil fungere med videre utbygging i fjord og kyst dersom nye lokaliteter ikke blir lagt for tett til grensene. Mindre vekt ble lagt begrensningen av områdene mot åpent hav, og en enkel analyse lå til grunnlag for grenser på 30 nm (1 nm = 1 nautiske mil = 1852 m) i sør og 20 nm i nord. I mellomtiden er havbruk til havs blitt mer aktuelt, som beskrevet i rapporten “Havbruk til havs” (Anon., 2019). For forvaltning av havbruk til havs er det et sentralt spørsmål om aktiviteten skal inn under et produksjonsområde og dermed trafikklyssystemet eller forvaltes på annet vis. Det er derfor behov en mer kvalifisert avgrensning av produksjonsområdene mot åpent hav. Formålet med denne rapporten er å foreta en slik vurdering.

Metodisk blir det gjort på tilsvarende måte som områderapporten. En modell blir brukt til å simulere spredning av smitte fra en rekke posisjoner som dekker området fra grunnlinjen til 60 nautiske mil. Det blir analysert i hvilken grad smitte fra disse posisjonene når eksisterende anlegg i ulike produksjonsområder og motsatt i hvilken grad smitte fra kystanlegg i ulike produksjonsområder kan nå de utaskjærs posisjonene.

Denne rapporten omhandler ikke i hvilken grad smitte kan overføres mellom lokaliteter til havs og betydning for spesielt sårbare områder. Dette kommer i en separat rapport.

 

Kartmodell av produksjonsområde
Figur 1. Forslag til yttergrenser for produksjonsområdene. Den tynne røde linjen er grunnlinjen.
Kartmodell over yttergrenser produksjonsområder langs norskekysten
Figur 2. Produksjonsområdene med nåværende grenser etter produksjonsområdeforskriften. Den tynne røde linjen er grunnlinjen.

3 - Strøm

Havstrømmene i norske farvann domineres av to strømmer, den norske kyststrømmen nærmest land og den norske atlanterhavsstrømmen (populært kalt Golfstrømmen) lenger ute. Strømmene er skissert i figur 3, både tegnet av eksperter og hvordan de framkommer i modellverktøyet som brukes i denne rapporten.

Kyststrømmen har relativt lav saltholdighet og er kald om vinteren. Den kommer i hovedsak fra Østersjøen og Nordsjøen via Skagerrak og får tilførsel av ferskt elvevann fra fjordene langs Norge. Den salte og varme atlanterhavsstrømmen kommer fra Atlanterhavet i to greiner på hver sin side av Færøyene og følger i stor grad Eggakanten (kontinentalsokkelskråningen) nordover. Den splittes med greiner inn i Nordsjøen og Barentshavet. Dette gjør at strømmene går motsatt vei i Nordsjøen og Skagerrak, mens de går samme vei nordover langs resten av kysten og ganske tett fra Vesterålen til Tromsøflaket.

Figurene kan gi et ufullstendig inntrykk av strømforholdene, de klarer ikke å vise variabiliteten i systemet. Spesielt i kyststrømmen oppstår det virvler, noen stasjonære knyttet til topografien med de fleste bevegelige som selv påvirkes av strømsystemet. Vind er en viktig drivkraft og nordavind kan i episoder snu strømmene, spesielt nær overflaten. Tidevannet kan gi sterk strøm i områder. Siden denne strømkomponenten går fram og tilbake bidrar den mindre til netto transport i havet men er viktig for spredning og uttynning. For mer informasjon om strømbildet, sjekk kyststrømboken

(Sætre, 2007).

Kartmodell av strømforhold Kartmodell med middelstrøm
Figur 3a. Skisse av strømforholdene i norske farvann. Kart: K. Gjertsen/R. Sætre Havforskningsinstituttet Figur 3b. Modellområdet til NorKyst-800 med middelstrøm for simuleringsperioden. Kyststrømmen i grønt og Atlanterhavsstrømmen i rødt.

4 - Modellsimulering

Metoden som er brukt er i hovedsak den samme som i områderapporten (Ådlandsvik, 2015).

En havmodell, NorKyst-800 (Albretsen m.fl., 2011) er brukt til å reprodusere strømforholdene på et 800 meters grid. Området er vist i figur 3b. Basert på de lagrede strømfeltene er en partikkeltransportmodell, LADiM (Ådlandsvik, 2019), brukt til å beregne spredning av planktoniske stadier av lakselus. Det samme modellsystemet brukes opp mot trafikklyssystemet og er dokumentert og validert (Sandvik m.fl., 2016, Myksvoll m.fl., 2018).

Simuleringene baseres på 1043 eksisterende lokaliteter fra fjord og kyst, hentet fra Fiskeridirektoratets akvakulturregister, og 1908 virtuelle utaskjærs lokaliteter i norske farvann spredt jevnt fra grunnlinjen til 60 nautiske mil. Med dagens grenser ligger 792 av havlokalitetene innenfor et produksjonsområde. Lokalitetene er vist i figur 4. Fra hver lokalitet slippes tre partikler per time. Vertikalt holdes partiklene i de øvre 20 meter, de svømmer oppover om dagen og nedover om natten og unngår ferskvann. Dødeligheten er satt til 17% per døgn. Partiklene regnes som infektive kopepoditter mellom 40 og 170 døgngrader. Siden formålet er å karakterisere smitteveier og distanse bidrar alle lokaliteter likt, uavhengig av maksimalt tillatt biomasse og historiske tall på lusetetthet.

Simulerings­perioden er 8 måneder, fra februar til og med september 2017, med en oppspinning av LADiM på 15 dager. Dette ga en tung simulering med totalt 25,7 millioner partikler.

 

Kartmodell over lokaliteter langs norskekysten
Figur 4: Lokaliteter brukt i simuleringen. Eksisterende kystlokaliteter i blått, havlokaliteter i rødt. De svarte polygonene angir nåværende grenser for produksjonsområdene.

 

Den aktuelle kilden er her en posisjon i produksjonsområde 6 nord for Frøya. Høyeste konsentrasjoner finnes som forventet i nærområdet, men kyststrømmen gjør at produksjonsområde 7 og 8 blir påvirket. Det havner også noen partikler i område 9 men da kraftig uttynnet og i liten grad nær kysten.

 

Kartmodell av spredning for havlokalitet
Figur 5: Spredning fra en virtuell havlokalitet nord for Frøya

 

Enheten som brukes i analysene er litt vilkårlig og brukes bare til å sammenligne smittepress. Den avhenger av simuleringsperioden og hvordan påvirkning beregnes. For påvirkning på en lokalitet summeres smittepresset i 5x5 gridruter rundt lokaliteten. Det divideres deretter med 1000 for å unngå unødig høye tall.

5 - Smittespredning mellom kystlokaliteter

Områderapporten (Ådlandsvik, 2015) viste resultater for de 11 områdene som der ble foreslått. Her repeteres noe av resultatene med flere områder, modellresultater fra et annet år, flere lokaliteter og lengre simuleringsperiode. Tabell 1 summerer opp resultatene. Det viktigste resultatet er at produksjons­områdene fremdeles er uavhengige, lusesmitte i produksjonsområdene stammer i all hovedsak fra området selv. For alle områdene er relativ import mindre enn 2,5% og for alle unntatt 4, 7 og 11 er importen mindre enn 1%. Desidert høyest utveksling i absolutte tall er fra 3 til 4, med 6 til 7 på annen plass.

Nummer Område Antall lokaliteter Import Eksport Relativ import Relativ eksport
1 Svenskegrensen til Jæren 11 0 140 0,0 1,3
2 Ryfylke 64 94 1239 0,1 1,2
3 Karmøy til Sotra 149 1350 4115 0,5 1,5
4 Sotra til Stad 140 4227 596 2,0 0,3
5 Stad til Hustadvika 43 279 1169 0,8 3,2
6 Nordmøre og Sør-Trøndelag 147 1313 2548 0,7 1,3
7 Nord-Trøndelag med Bindal 75 2448 626 2,2 0,6
8 Helgeland til Bodø 98 721 622 0,8 0,7
9 Vestfjorden og Vesterålen 112 637 621 0,4 0,4
10 Andøya til Senja 76 614 806 0,6 0,7
11 Kvaløya til Loppa 49 801 184 1,7 0,4
12 Vest-Finnmark 69 183 0 0,2 0,0
13 Øst-Finnmark 10 0 0 0,0 0,0
Total   1043 12665 12665 0,9 0,9
Tabell 1: Produksjonsområdene med modellert utveksling av lakselussmitte.

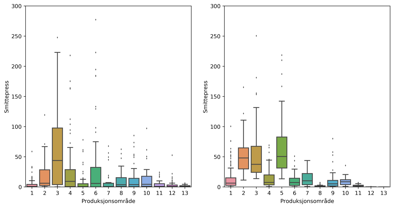
Figur 6 er et boksplott som viser variasjonsbredden i smittepresset fra hver lokalitet. Den fargede boksen inneholder halvparten av verdiene, mellom 25% og 75% kvartilen, med en horisontal strek ved medianen. De vertikale strekene viser område på opptil 1,5 ganger bokshøyden. Prikker viser enkeltlokaliteter utenfor dette området. Til venstre smittepresset på andre anlegg i eget produksjons­område (uten egensmitte) til høyre eksport til andre områder. Medianverdiene er tabulert i tabell 2. Utvekslingen mellom områdene er lav sammenlignet med smittepresset i eget område. Der er derfor valgt en annen skala i høyre panel. Områdene 1 og 2 har høyeste eksport per lokalitet, målt med medianen. Områdene 3 og 5 har størst variasjon i eksporten. Siden smittepress til eget område er relativt lavt for område 5, får dette området en høy relativ eksport. Områdene 3, 6 og 10 har noen enkeltlokaliteter med spesielt høy smitteeksport ut av området.

 

To boksplott
Figur 6. Boksplott av smittepress. Venstre panel viser smittepress (uten egensmitte) fra kystlokaliteter til eget område. Høyre panel viser smittepress ut av området. Merk forskjellen i skala på y-aksene.

 

Område 1 2 3 4 5 6 7 8 9 10 11 12 13
Eget 551 963 1162 701 312 827 694 389 629 704 423 458 371
Andre 14 15 5 2 7 7 4 2 0 0 3 0 0
Tabell 2: Medianverdier for smittepress til andre lokaliteter i eget område og eksport av smittepress til andre områder.

Figur 6 viser at fordelingene er skjeive, hvor et fåtall lokaliteter påvirker mye mer enn andre. Dette gjør middelverdien høy og medianen til et mer representativt mål. Total smittepress fra kyst til kyst (uten egensmitte) har median 691 og middel 852. Til eget område er tallene 688 og 839, mens eksport til andre områder har median 2 og middelverdi 12.

6 - Smittespredning fra lokaliteter til havs

I dette kapitlet presenteres modellert smittepress fra de virtuelle havlokalitetene til de eksisterende kystlokalitetene. Verdiene er lave sammenlignet med belastningen fra kystlokaliteter på andre kystlokaliteter. På den annen side kan det forventes at biomassen på lokaliteter til havs blir betydelig større enn kystlokaliteter, slik at smittepresset kan bli betydelig større enn tallene her (som er beregnet utfra samme nauplie-produksjon) skulle tilsi.

Modellert smittepresset fra hver av de 1908 havlokalitetene på alle kystlokalitetene er beregnet. Minimum er 0, median 1, middelverdi 15 og maksimum er 489 enheter. Til sammenligning er median smittepress (uten egensmitte) fra kystlokalitetene 691 og bare 2,3% av kystlokalitene har smittepress mindre enn 100. (1% mindre enn 36, bare 2 lokaliteter mindre enn 10)

Figur 7 viser smittetrykket fra hvert av de 1908 havlokalitetene med logaritmisk fargekode. Den gamle yttergrensen på 30 og 20 nm innkapsler stort sett områdene med relativt høyt smitterpress. Ved grensen mellom område 2 og 3 går strekker området med høyt press seg noe lengre mot vest.

Figur 8 ser bort fra geografien langs kysten og viser hvordan smittetrykket varierer med avstand fra grunnlinjen som eneste forklaringsvariabel. Inne ved grunnlinjen er det stor variasjon. De høye verdiene dropper linjært ned mot 100 ved 20 nm. Deretter avtar verdiene langsomt mot 50 nm. Det var beregninger av denne typen, av mindre omfang, som lå til grunn for de gamle yttergrensene i områderapporten.

 

Kartmodell over smittespredning
Figur 7: Smittespredning fra havlokaliteter til kystlokaliteter.

 

Graf over smittepress. Avstand fra grunnlinje langs x-akse
Figur 8. Smittepress fra lokaliteter til havs på eksisterende lokaliteter langs kysten som funksjon av avstanden fra grunnlinjen i nautiske mil.

 

Figur 8 kan brytes ned på de enkelte produksjonsområdene. Det er gjort i figur 9 som er gruppert etter eksisterende områdestruktur for de 792 havlokalitetene som ligger innenfor de gamle område­grensene. De høyeste verdiene er knyttet til områdene 3 og 6, med relativt høye verdier rundt 200 på de andre vestlandsområdene. Nordover er det stort sett lave verdier, noen høyere i område 9 og 10 relativt nært land.

 

Grafer over smittepress for ulike lokaliteter
Figur 9. Som figur 8 over, men brutt ned på havlokaliteter i de ulike produksjonsområdene. Smittepresset er beregnet totalt på lokalitetene langs hele kysten.

7 - Uavhengighet av produksjonsområdene

Et annet spørsmål i hvilken grad havlokalitetene smitter i eget produksjonsområde eller om smitten treffer land i andre områder. Dette er presentert som boks-plott i figur 10. Venstre panel viser smittepresset på kystlokaliteter i eget område, mens det høyre viser presset på resten av kysten. Medianverdiene er i tillegg tabulert i tabell 3. Figuren viser at for de fleste områdene er der større eksport av smitte ut av området enn til området selv. Spesielt gjelder dette område 2 og 5.

 

To boksplott
Figur 10: Venstre panel viser eksport av lusesmitte fra de 792 utaskjærs lokaliteter som ligger innenfor et produksjonsområde til eksisterende kystlokaliteter i produksjonsområdet. Høyre panel viser eksporten til alle andre produksjonsområder.

 

Område 1 2 3 4 5 6 7 8 9 10 11 12 13
Eget 1 6 44 9 1 6 1 4 4 4 1 1 1
Andre 6 48 38 8 50 7 10 1 5 9 2 0 0
Tabell 3: Som tabell 2, men for smittepress fra havlokaliteter til kystlokaliteter.

Påvirkningen på produksjonsområdene kan betraktes geografisk i figur 11. Her er alle utaskjærs lokaliteter brukt. Fargen på en lokalitet angir hvilket produksjonsområde den påvirker mest. Strøm­forholdene gjør at disse kildeområdene strekker seg sørover fra produksjonsområdene. Område 1 smittes fra sitt eget nærområde, mens område 2 nesten utelukkende smittes fra lokaliteter i område 1. Kildeområdet til område 3 strekker seg fra Skagerrak til Bjørnefjorden. Område 4 får smitte delvis fra eget område men også lengre sørfra. Kildeområdet til område 5 er nesten utelukkende sør for området selv. Kildeområdet til område 6 har stor utbredelse fra Stad til Trondheimsfjorden. Kildene til område 8 er sentrert om område 7. Kildene til område 9 har en betydelig komponent fra område 8. Område 10 har et veldig stort smitteområde som strekker seg langt sørover. Kildeområdet til 11 er lite, i hovedsak ved grensen mellom 10 og 11 men med enkelte spredte kilder langt ute og lengre sør. Kildene til område 12 dekker områdene 11 og 12, mens område 13 i hovedsak smittes fra eget nærområde.

 

Kartmodell over smittetrykk
Figur 11: Hvilke produksjonsområder som belastes mest med smitte fra ulike lokaliteter til havs

 

Det geografiske mønsteret er vist på et annet vis i figur 12. Fargen til en lokalitet angir hvor stor andel av smitten som treffer kystlokaliteter som ikke havner i eget produksjonsområde. Lyse verdier angir at lokaliteten i hovedsak påvirker eget område, mens mørklagte lokaliteter smitter andre områder.

Et gjennomgående trekk er at lokaliteter mot nordgrensen av produksjonsområdene eksporterer smitte ut av områdene. Mindre framtredende, men klart synlig, er en tendens til at eksport ut av området øker med avstand fra grunnlinjen. Produksjonsområde 1 har stor eksportandel, det skyldes at kyststrømmen er sterk i Skagerrak og at de få lokalitetene i området bare fanger opp en mindre del av smitten. Også område 2 og 4 har stor eksport. Områdene 3, 4, 6 og 9 har stor forskjell mellom sør og nord i produksjonsområdet. Områdene 12 og 13 har liten eksport ut av områdene.

 

Karmodell over prosentandel smittetrykk
Figur 12: Prosentandel av smittepress fra havlokaliteter til kystlokaliteter utenfor eget produksjonsområde.

 

Figur 13 innskrenker geografien til avstanden fra grunnlinjen i de ulike områdene. Til sammenligning ligger medianene for eksportandel av smittepress fra kystlokalitetene mellom 0 og 2%. Desidert mest eksport av smitte ut av området finner vi i område 5, med en medianverdi på 99%. Høye eksport­verdier også i 1, 2 og 7 med medianverdier på henholdsvis 80, 81 og 88%. Motsatt skiller områdene 12 og 13 seg ut med liten eksport (medianer 2 og 0%). Områdene 2, 5 og 7 og i mindre grad 3, 6 og 10 viser en økning i eksportandelen med avstand.fra grunnlinjen. For de andre områdene er resultatene mer varierte. Område 1 skiller seg ut med sterkest eksport mellom 10 og 20 nm. Dette skyldes strømforholdene i Skagerrak hvor atlantisk vann lengre til havs resirkulerer og bringer med seg smitte mot kysten.

 

Grafer over prosentandel smittepress
Figur 13: Andel (i prosent) av smittepress fra havlokaliteter til kystlokaliteter utenfor eget produksjonsområde som funksjon av avstand fra grunnlinjen i nautiske mil.

8 - Smittespredning fra kyst til havlokaliteter

Motsatt kan en se på smittespredning fra eksisterende kystlokaliteter til de potensielle havlokalitetene. Figur 14 viser hvordan dette fordeles geografisk. Modellen gir relativt høyt smittepress langt ut på Vestlandet, Trøndelag og Troms. Bank-topografien gir noen områder som Trænadjupet og Ingøydjupet hvor strømforholdene gir spesielt liten smittespredning ut fra kysten.

 

kartmodell over smittepress fra kyst til hav
Figur 14: Smittepress fra kystlokaliteter på havlokaliteter

 

Smittepress på havlokalitetene som funksjon av hvor langt de ligger utenfor grunnlinjen vises på figur 15. Presset avtar raskt de første 10 nautiske mil og deretter langsommere ut mot 45 nautiske mil, hvoretter presset blir neglisjerbart.

 

graf over smittepress fra kystlokaliteter. Avstand fra grunnlinje (nm) langs x-akse
Figur 15. Smittepress fra eksisterende kystlokaliteter på utaskjærs lokaliteter. X-aksen angir avstand i nautiske mil fra grunnlinjen til havlokalitetene.

 

Figur 16 bryter dette ned på havlokalitetene innenfor dagens områdestruktur. Nærmest grunnlinjen er det spesielt område 3, 4, og 7 som får forhøyet smittepress. For område 4 holder dette smittepresset seg relativt høyt ut mot ytterkanten av produksjonsområdet på 30 nautiske mil.

 

Grafer over smittepress for ulike lokasjoner
Figur 16. Som figur 15 over, men brutt ned på dagens områdestruktur for de utaskjærs lokalitetene.

 

Tilsvarende som figur 11 kan havlokalitetene farges ut fra produksjonsområdet hvor kystlokalitetene bidrar mest til smittepresset. Dette er vist i figur 17. Disse smitteområdene fra område 1, 2 og 5 holdes innenfor produksjonsområdene. Det samme gjelder 13 siden vi ser bort fra eventuelle lokaliteter i russiske farvann. For de andre områdene strekker smitteområdet seg med strømmen nordover langs kysten.

 

kartmodell over havlokaliteter og smittepress fra kystlokaliteter
Figur 17: Havlokaliteter farget etter produksjonsområdet som bidrar med høyest smittepress fra kystlokaliteter.

9 - Vurdering

Hensikten med produksjonsområdene er at de skal være fornuftige enheter for forvaltning av opp­drettsindustrien på laksefisk. Hovedkriteriet for områdeinndelingen er at de skal være mest mulig uavhengige når det gjelder lakselussmitte. Med andre ord at lusesituasjonen i et område skyldes forholdene i området selv, ikke importert smitte fra et annet område. Områderapporten (Ådlandsvik, 2015) og nå også analysen over på kystlokaliteter viser at områdestrukturen fungerer etter hensikten for lokaliteter ved kysten og i fjordene.

Analysen av smitte til og fra potensielle lokaliteter til havs viser et annet mønster. Smitte kommer i stor grad fra arealer sør for produksjonsområdet og smitte fra produksjonsområdet påvirker i stor grad arealer lengre nord. Å inkludere anlegg til havs i produksjonsområdene bryter på denne måten opp den ønskede innkapsling av smittekilde og smittemottaker i samme forvaltningsenhet. Av denne grunn er det ønskelig at yttergrensene for produksjonsområdene holdes relativt snevre og at anlegg til havs forvaltes uavhengig av dette systemet.

Generelt viser analysene høyere verdi for smitte fra havlokaliteter til kyst enn motsatt. At havlokaliteter vil ha høyere biomasse enn kystlokaliteter bidrar til å øke denne skjeivheten. I vurderingen under legges det derfor ikke vekt på smittepresset fra kystlokalitetene.

Hva er en fornuftig terskelverdi for smittepress fra havlokaliteter? Det er rimelig å sammenligne med smittepress mellom kystanlegg. Median smittepress fra kystlokalitet til alle andre kystlokaliteter er 691. En lokalitet som bidrar mindre enn halvparten av kyst- og fjordlokalitetene må regnes som akseptabelt. Ingen havlokaliteter når opp i dette smittepresset til kysten. Siden havlokalitetene forventes å ha vesentlig større biomasse enn en middels kystlokalitet bør smittepresset skaleres opp. En terskelverdi på 100 svarer med dette til en skaleringsfaktor litt under sju.

Hovedspørsmålet gjenstår, hvor langt utenfor grunnlinjen skal grensene for produksjonsområdene trekkes? Skal det være samme grense overalt eller individuelle grenser for de ulike områdene? For å holde produksjonsområdene selvstendige bør grensene være snevre. For å få med lokaliteter som kan påvirke kysten med lusesmitte bør grensene trekkes lengre fra grunnlinjen.

Dagens 20 og 30 nautiske mil er analysert over. Dette er nok for langt, lusesmitten går da i hovedsak på tvers av områdegrensene. Den andre ytterlighet er å begrense produksjonsområdene til 1 nautisk mil utenfor grunnlinjen. Det bør her nevnes at kysten fra Stad til Lofoten er konkav. Det gjør at grunnlinjen stedvis kommer langt fra land. En nautisk mil vil fungere bra for en del av produksjonsområdene.

I det følgende refereres til figurene 7 og 9 for eksport av smitte til kyst med terskelverdi på 100 enheter. Produksjonsområde 1 har smittepress under terskel og betydelig eksport til område 2 og 3. Det anbefales snever grense, 1 nm utenfor grunnlinjen. I produksjonsområde 2 har alle lokaliteter mellom 1 og 7 nm smittepress over terskel. På den annen side er eksporten til område 3 stor. Fire nautiske mil er et rimelig kompromiss. For område 3 er det lokaliteter over terskel opp til 20 nm og alle innenfor 7 nm er over terskel. Det er betydelig eksport til område 3. Her anbefales en grense på 8 nm. Område 4 har anlegg over terskel ut til 4 nm. Her er eksporten til neste område mindre og det anbefales en grense på 4 nm. Område 5 har lokaliteter over terskel ut til 13 nm. På grunn av den sterke eksporten av smitte til område 6 anbefales ikke å gå lengre ut enn 4 nm. Område 6 er vanskelig, det er lokaliteter ut til 8 nm mil over terskel, tildels betydelig over, samtidig som det er lokaliteter inn mot grunnlinjen uten påvirkning på kysten. Kartene (figurene 7 og 12) viser et geografisk skille ved Hitra-Frøya. Sør for dette er det høye verdier for smittepress mot kysten og smitten belaster eget område. Nord for Hitra-Frøya er det lavt smittepress mot kysten med belastning mot 7 og 8. Det kan være fordelaktig å dele dette opp yttergrensen for dette området, 8 nm sør for og 1 nm nord for 64°. Alternativt, hvis det er ønskelig med enhetlig grense, kan 4 nm brukes som et kompromiss. Områdene fra 7 og nordover har stort sett smittepress under terskel. Det er imidlertid en del lokaliteter i 9 og 10 som ligger opp mot terskelverdien, men her er også smitteeksporten til andre områder høyere. Område 12 og 13 skiller seg ut med nær null påvirkning på kystlokaliteter. Dette skyldes delvis få kyst­lokaliteter i Øst-Finnmark men nok i større grad at påvirkning på russisk kyst ikke er med i vurderingen. Det anbefales 1 nm utenfor grunnlinjen for områdene 7–13. Anbefalingene er oppsummert i tabell 4 under og vist i kart i figurene 1 og 18.

Område 1 2 3 4 5 6 7 8 9 10 11 12 13
Grense 1 4 8 4 4 8/1 1 1 1 1 1 1 1
Tabell 4. Forslag til yttergrenser for produksjonsområdene. Tall i nautiske mil utenfor grunnlinjen.

 

Kartmodell over produksjonsområder langs norskekysten
Figur 18: Forslag til yttergrenser for produksjonsområdene. De røde sirklene angir havlokaliteter med smittepress til kystlokaliteter på over 100 enheter.

10 - Referanser

J. Albretsen, A.K. Sperrevik, A. Staalstrøm, A.D. Sandvik, F. Vikebø og L. Asplin, 2011, NorKyst-800 Report No. 1, User Manual and Technical Descriptions, Fisken og Havet 2/2011, Havforskningsinstituttet. https://www.imr.no/filarkiv/2011/07/fh_2-2011_til_web.pdf/nb-no

Anon., 2011, Effektiv og bærekraftig arealbruk i havbruksnæringen – areal til begjær,

Fiskeri- og kystdepartementet. https://www.regjeringen.no/globalassets/upload/fkd/vedlegg/rapporter/2011/effektiv_og_baerekraftig_arealbruk_i_havbruksnaeringen.pdf

Anon., 2015, Forutsigbar og miljømessig bærekraftig vekst i norsk lakse- og ørretoppdrett,

Meld. St. 16 (2014-2015), Nærings- og fiskeridepartementet.

https://www.regjeringen.no/no/dokumenter/meld.-st.-16-2014-2015/id2401865/sec1

Anon., 2017, Forskrift om produksjonsområder for akvakultur av matfisk i sjø av laks, ørret og regnbueørret (produksjonsområdeforskriften), Nærings- og fiskeridepartementet.

https://lovdata.no/dokument/SF/forskrift/2017-01-16-61

Anon., 2019, Havbruk til havs, rapport fra interdepartemental arbeidsgruppe, Nærings- og fiskeridepartementet, https://www.regjeringen.no/no/dokumenter/havbruk-til-havs/id2625352/

M.S. Myksvoll, A.D. Sandvik, J. Albretsen, L. Asplin, I.A. Johnsen, Ø. Karlsen, N.M. Kristensen, A. Melsom, J. Skarðhamar, and B. Ådlandsvik, 2018, Evaluation of a national operational salmon lice monitoring system—From physics to fish, PLoS ONE, 13, e0201338

A.D. Sandvik, P.A. Bjørn, B. Ådlandsvik, L. Asplin, J. Skarðhamar, I.A. Johnsen, M. Myksvoll, and M.D. Skogen, 2016, Toward a model-based prediction system for salmon lice infestation pressure, Aquacult Environ Interact, 8, 527–542.

R. Sætre (red.), 2007, The Norwegian Coastal Current – Oceanography and Climate, Tapir Academic Press, Trondheim.

B. Ådlandsvik, 2015, Forslag til produksjonsområder i norsk lakse- og ørretoppdrett. Rapport fra Havforskningen. 2015;20, 59 s. Havforskningsinstituttet. https://www.hi.no/filarkiv/2015/12/produksjonsomrader_rapp_20-2015.pdf/nb-no

B. Ådlandsvik, 2019, LADiM documentation, https://ladim.readthedocs.io