Gå til hovedinnhold

DDT i blåskjel frå fruktområde i vestnorske fjordar 2021

— Prøvar frå Hardangerfjorden og Sognefjorden med vekt på Sørfjorden

Forfatter(e): Amund Måge og Sylvia Frantzen (HI)

Forord

Denne undersøkinga vart gjennomført på oppdrag frå Statsforvaltaren i Vestland. Feltarbeid for innsamling av blåskjelprøvar vart gjennomført i september 2021. Vi vil takke Guri Nesje for god organisering og deltaking ved prøvetakinga og Mikkel Glomsrød for deltaking ved prøvetakinga og for opparbeiding av prøver. Analysene vart gjennomført ved Eurofins.

Sammendrag

Sidan Sørfjorden i Hardanger er eitt av dei mest konsentrerte fruktdyrkingsområda i Norge, vart det tidlegare brukt mykje DDT til bekjemping av skadedyr. Fjorden har derfor historisk hatt særleg mykje DDT-forureining, og det er tidlegare gjort mykje overvaking og forsøk på kjeldesporing i området. I løpet av 2021/2022 har Havforskningsinstituttet, på oppdrag frå Statsforvaltaren i Vestland, gjort ei detaljert kartlegging av DDT i blåskjel frå 28 lokalitetar i Sørfjorden og frå sju referansestasjonar i Hardangerfjorden utanfor Sørfjorden samt åtte referansestasjonar i fruktdyrkingsområde i Sognefjorden. Resultata viste at det fortsatt er høge nivå av DDT i Sørfjorden, og betydeleg høgare nivå i Sørfjorden enn i begge referanseområda. Gjennomsnittskonsentrasjonane av sum DDT var på 13,1 µg/kg våtvekt i Sørfjorden, 3,44 µg/kg i Hardangerfjorden utanfor og 3,06 µg/kg i Sognefjorden.  Det var altså omlag like høge konsentrasjonar i Hardangerfjorden utanfor Sørfjorden som i Sognefjorden. I Sørfjorden var det relativt høge nivå ved dei fleste stasjonane. Stasjonar som stakk seg ut med høgare nivå enn dei andre var særleg Espe med sum DDT på 60,1 µg/kg og deretter Indre Aga med 26,3 µg/kg, Trones med  20,2 µg/kg og Kråkevik med 19,9 µg/kg. DDT-nivåa målt i denne undersøkinga varierte rundt det som er målt tidlegare. Nivåa er likevel langt under miljøkvalitetsstandarden på 610 µg/kg våtvekt, noko som indikerer at nivåa ikkje er høge nok til å påverke økosystemet. Dei DDT-nivåa som er målt i blåskjel har heller inga betydning for mattryggleiken. Det er ikkje grunnlag for å konkludere med ei spesifikk kjelde ut frå desse resultata. Dei jamt forhøga nivåa tyder heller på at forureining som skuldas tidlegare DDT-bruk ligg bunde i jordsmonnet og blir transportert ut i fjorden ved avrenning. Dersom ein skal følgje opp med meir detaljert kartlegging, foreslår vi å fokusere på dei lokalitetane der vi fann dei høgaste nivåa, særlig Espe, Indre Aga og Trones.  

1 - Innleiing

Indre del av Hardanger har av klimamessige årsaker vore eit av dei mest aktive områda for fruktdyrking i Norge heilt sidan 1300-talet (Rogdaberg 2008). Fruktdyrkinga er, som annan biologisk produksjon, utsett for skadegjerarar, og plantevern har vore ein viktig del av vellukka fruktproduksjon.

I 1939 vart diklor-difenyl-trikloretan (DDT) re-syntetisert av Paul Müller og det vart oppdaga at dette stoffet var eit svært effektivt insektmiddel, noko Müller fekk nobelprisen for i 1948. Frå 1945 og fram til 1970-talet var bruken av DDT på verdsbasis svært høg. Det er gjort ulike forsøk på å kvantifisere bruken og tala varierer. I ein oversiktsartikkel hevdar Mansouri m.fl. (2017) at bruken på verdsbasis i perioden 1945 til 1972, før USA forbaud bruken, var i snitt over 400 000 tonn årleg. Andre opererer med lågare tal.

DDT viste seg etter kvart å auke i nivå oppover i næringskjeda (biomagnifisere) slik at toppredatorar som rovfugl fekk svært høge nivå. Eggeskala til rovfuglar vart for tynne slik at ungane døydde og rekrutteringa til bestandane svikta. Bruken av DDT vart derfor forboden i ei rad land, og internasjonalt gjennom Stockholmkonvensjonen i 2004 (Stockholm Convention - Home page (pops.int)). Forbodet har mellom anna ført til at USA sin nasjonalfugl, kvithoda fiskeørn, har klart seg etter at den nesten var utrydda (Stokstad, 2007). Verdas Helseorganisasjon (WHO) fekk i 2010 igjen opna for bruk av DDT spesifikt for vektor-kontroll i kampen mot malariamygg, og sidan då har det vore ein viss bruk til dette formålet (3000 tonn/år; Van den Berg m. fl. 2017). Det må her leggjast til at malaria råkar fleire enn 200 millionar menneske i året og fører til over 600 000 dødsfall årleg, særleg hos barn (WHO, 2021). DDT er altså særleg effektiv mot insekter og har ikkje gjeve så mykje resistens som til dømes pyretroider som har vore alternativet.

I Norge vart DDT forbode i fruktdyrking og hagebruk frå 1970, mens det var lovleg til bruk ved dyrking av granplanter noko lenger. Ettersom landbruket rundt Sørfjorden i heile denne perioden var eit av Norges største på frukt, var det også stor bruk av DDT. Forsøk på å estimere anvendt mengde i perioden frå andre verdskrig til 1970 anslo totalt drygt 13 tonn aktivt stoff (Måge, 2003).

Ved industriell produksjon av DDT vart ikkje stoffet berre til eitt spesifikt kjemisk stoff,  men ei stoffblanding der det ønska aktive stoffet para, para-DDT (p,p'-DDT) utgjorde om lag 85 % i den tekniske blandinga (Mansouri m.fl. 2017). Det resterande var ei blanding av blant anna den optiske isomeren okto, para-DDT (o,p'-DDT) samt nedbrytingsprodukta p,p'-DDE (p,p'-diklordifenyldikloreten) og p,p'-DDD (p,p'-diklordifenyldikloretan).

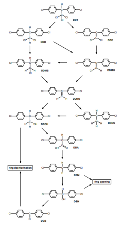
I naturen vil opprinneleg tilført DDT (både p,p'-forma og o,p'-forma) verte nedbrote til anten DDE under aerobe tilhøve eller DDD under anaerobe tilhøve. Desse to nedbrytingsformene er langt mindre giftige enn DDT. Vi har likevel valt å analysere alle seks formene i vårt arbeid og konsentrasjonane av dei seks formene vert summert til ein sum DDT. Vurderinga av kor mykje opprinneleg DDT som finns i høve til nedbrytingsprodukta er også viktig, der mykje DDT i høve til DDE og DDD både tyder på sein nedbryting og eventuelt nye kjelder eller ny eksponering frå gamle kjelder. Lenge trudde ein at DDE ikkje i det heile vart nedbrote vidare, men det vert det til ein viss grad (Sjå Figur 1).

EU og Norge har fastsett ein såkalla miljøkvalitetsstandard (Environmental Quality Standard, EQS; Direktoratsgruppa for Vanndirektivet, 2018) for summen av dei fire vanlege DDT-formene (p,p'-DDT, o,p'-DDT, p,p'-DDE og p,p'-DDD) på 610 µg/kg i biota. Det er ingen grenseverdi som gjeld omsetjing av sjømat, men det er ein grenseverdi som gjeld DDT i oljer til bruk i fôr på 500 µg/kg og ein for fullfôr på 50 µg/kg. FAO/WHO har etablert ei grense for tolerabelt dagleg inntak (provisional tolerable daily intake, PTDI) for DDT på 10 µg per kg kroppsvekt (JMPR, 2001). Det betyr at ein vaksen person på 70 kg i prinsippet kan få i seg 700 µg per dag heile livet utan skade.

Det er verdt å merkje seg at nedbrytinga av DDT går svært sakte. Først er nedbrytinga av DDT til DDD og DDE veldig langsam, truleg er halveringstida over 30 år under norske temperaturtilhøve. Dette er det lite data på (ATSDR 2022). Så går den vidare nedbrytinga av DDD og DDE også ekstremt sakte. Nedbrytinga under norske forhold tar truleg lengre tid enn det som er estimert for varmare klima.

Picture of DDT degradation
Figur 1. Figuren viser mulig nedbryting av DDT (frå Eggen m.fl., 2006).

 

Sørfjorden og Hardangerfjorden har sidan 1979 hatt relativt tett overvaking av miljøtilstanden (Sjå bl.a. Måge og Jaggi, 2003; Ruus m.fl. 2013; 2016; Schøyen m.fl. 2021). Dette skuldast i starten blant anna dei store utsleppa av tungmetall frå tungindustrien i Odda og Tyssedal, men det var også utslepp av nitrogen og organiske miljøgifter. I og med at området rundt Sørfjorden er eit av landets tettaste fruktdyrkingsområde, vart DDT i blåskjel overvåka relativt systematisk i perioden 1991 til 2012. Desse målingane av DDT vart i hovudsak gjennomført for programmet «Statlig program for forurensningsovervåking», og er oppsummert i Ruus m.fl. (2013). Sidan vart dette programmet erstatta av «Tiltaksrettet overvåking av kystvann i vannområdet Hardanger», som følger Vannforskriften (FOR-2006-12-15-1446, Forskrift om rammer for vannforvaltningen), der DDT ikkje alltid har vore inkludert (Ruus m.fl. 2016). Tre blåskjelstasjonar i Sørfjorden (Kvalnes, Krossanes og Utne, er inkludert i NIVAs årlege overvakingsprogram MILKYS (Miljøgifter i norske kystområder; Schøyen m.fl. 2021). I tillegg til analysar i blåskjel har DDT vore analysert i passive prøvetakarar, sediment og i fiskelever. Nivåa av DDT i blåskjel har variert mykje mellom stasjonar i Sørfjorden og også mykje frå år til år.

I 2021 fekk Havforskningsinstituttet i oppdrag frå Statsforvaltaren i Vestland å ta nye prøver av blåskjel i Sørfjorden og analysere dei for DDT og metabolittar. I eit forsøk på å kartlegge moglege utlekkingsområde/kjelder for DDT, vart det lagt opp til eit mykje tettare stasjonsnett enn ved den faste overvakinga. Det vart også, for samanlikning, teke nokon prøvar frå fruktområde lenger ute i Hardangerfjorden og frå nokon utvalde fruktdyrkingsområde i Sognefjorden.

2 - Materiale og metoder

2.1 - Lokalitetar og prøvetaking

Ein kartfesta plan for prøvetaking vart utarbeidd av Statsforvaltaren i Vestland og var utgangspunkt for prøvetakinga. Utgangspunktet var å plukke blåskjel som vaks i fjøresona i område med mykje fruktdyrking, der DDT som sig ut i sjøen frå land, vert fanga opp når blåskjela filtrerer vatnet. Planlagt prøvetaking er vist på karta i Figur A1-A3. Prøvetakinga medførte oppankring på og passering av private område. Det vart difor skrive forklarande lesarinnlegg som vart publisert i Hardanger Folkeblad og Sogn Avis før prøvetakinga starta.

Sidan blåskjel er ein fastsitjande organisme som filtererer vatnet og tar opp og akkumulerer partiklar og løyste stoff, har blåskjel vore ein mykje brukt naturleg forekomande indikator for miljøgift-forureining i kystvatn, både langs norskekysten generelt og i Sørfjorden (Schøyen m.fl. 2021), men også internasjonalt (Contaminants - OSPAR-OAP (Prod)). Gode forekomstar av blåskjel i Sørfjorden gjorde det mulig å ha eit nokså tett stasjonsnett. Mange av stasjonane i denne prøvetakinga er dei same som har vore/blir nytta i andre overvakingsprogram inklusive Miljøgifter i norske kystområder (MILKYS; Schøyen m.fl. 2021) som enno går, og det tidlegare Statleg program for miljøovervåking som starta på 1980-talet og gjekk fram til 2012 (Ruus m.fl. 2013). Sidan denne prøvetakinga inkluderte eit mykje tettare stasjonsprogram i Sørfjorden enn tidlegare program, var det også ein god del nye stasjonar denne gongen, særleg på vestsida av Sørfjorden.

Prøvetakinga i Sørfjorden og i Hardangerfjorden utanfor Sørfjorden vart utført i løpet av to dagar, 6. og 7. september 2021. Stasjonane er vist i kart i Figur 2. Prøvetakinga i Sognefjorden vart gjennomført 13.-14. september 2021, og kart over desse stasjonane er vist i Figur 3.

Medan prøvetaking ved stasjonane i Sørfjorden (8-36, Figur 2) vart utført frå lettbåt utlånt frå Hardanger Miljøsenter, vart bil nytta til transport mellom stasjonane i Hardangerfjorden utanfor Sørfjorden. I Sognefjorden fekk vi hjelp av ein lokal hobbyfiskar med båt til stasjonane S-04 Leikanger til og med S-07 Nornes, til dei andre stasjonane nytta vi bil. Blåskjela vart skrapa laus frå underlaget ved hjelp av ei skrape med forlenga skaft med tettmaska håv, utlånt frå NIVA (Figur 4).

Det vart funne blåskjelpopulasjonar på stort sett alle stasjonar i Hardangerfjorden, i varierande mengde. I Sognefjorden vart det funne blåskjel ved alle så nær som to planlagde stasjonar. På tross av eit grundig søk, fann vi ingen blåskjel ved dei to inste stasjonane i Sognefjorden, Solvorn og Høyheimsvik, begge i Lustrafjorden. Her var vatnet i overflata heilt ferskt (basert på smak), og det var generelt lite liv å sjå (Figur 5). Fleire store elver munnar ut i Lustrafjorden, og truleg er det for mykje ferskvatn for blåskjel og andre saltvassorganismar på grunt vatn i denne inste fjordarmen av Sognefjorden.

Det vart som utgangspunkt samla inn 30 skjel, og gjerne nokre ekstra, frå kvar stasjon. Prøvane vart frosne ned (-20°C) og lagra hos Havforskingsinstituttet fram til opparbeiding.

 

Prøvetakingsstasjoner i Sørfjorden og Hardangerfjorden utenfor
Figur 2. Kart som viser prøvetakingslokalitetane i Hardangerfjorden. Stasjon 8-36 blir rekna til Sørfjorden.

 

 

Kart stasjoner Sognefjorden
Figur 3. Kart over prøvetakingslokalitetane i Sognefjorden.

 

 

Foto frå Sørfjorden
Figur 4. Håv med skrape og utsikt frå båt brukt under prøvetaking inst i Sørfjorden. Foto: Amund Måge

 


 

Foto frå Sognefjorden
Figur 5. Stasjonane Høyheimsvik (venstre) og Solvorn (høgre) i Lustrafjorden inst i Sognefjorden. Det var ingen blåskjel å sjå og vatnet smakte heilt ferskt. Foto: Sylvia Frantzen

 

2.2 - Prøveopparbeiding og analyse

Ved opparbeiding vart innmaten teken ut, og blåskjela frå kvar stasjon vart fordelt i tre parallelle samleprøver med 10 blåskjel eller meir i kvar. I nokre tilfelle vart det for lite prøvemateriale til analysen, og då blei alle skjela slått saman til ein samleprøve (Tabell 1). Skjela vart lengdemåla, og samleprøven vart vege, frysetørka, og vege igjen for å berekne tørrstoffinnhald. Dei frysetørka prøvane vart så pulverisert og homogenisert før sending til det kommersielle analyselaboratoriet Eurofins.

Havforskningsinstituttet sitt Laboratorium for kjemi og fremmedstoff er akkreditert for DDT, men på grunn av begrensa kapasitet og lang leveringstid, vart det valt å utføra analysene hos Eurofins, som HI har ei rammeavtale med. Den akkrediterte metoden (ISO 17025) nytta hos Eurofins er metode GFB53 som nytter GC-HRMS og bestemmer 30 ulike klorerte pesticid. I tillegg til o,p’- og p,p’- isomerar av DDT og nedbrytingsprodukta DDD og DDE, vart det analysert for endosulfan (α-, β- og -sulfat), pentaklorbenzen, heksaklorbenzen (HCB), HCH (heksaklorsykloheksan; α-, β-, γ-, δ-), aldrin, dieldrin, endrin, toksafen (parlar 26, 50, 62), heptaklor, mirex, klordan (cis-, trans-, oxy-), trans-nonaklor, heptaklorepoksid (cis- og trans-) og oktaklorstyren.

Resultata for DDT vert presentert som konsentrasjonar av kvar isomer, samt "sum DDT", som er summen av alle dei seks nevnte DDT-isomerane. Eurofins oppgjev 0,25 ng/g som kvantifiseringsgrense (lågaste målbare konsentrasjon, LOQ) for kvar DDT-isomer. LOQ for dei øvrige stoffa omrekna til våtvekt er gitt i vedlegg (tabell A1). Vi brukte «lower bound» (LB) summering av resultat (dvs. at konsentrasjonar lågare enn LOQ vert sett lik null) og summerte dei reelle konsentrasjonane av alle isomerane. Dette gjev best samanlikning med tidlegare data (i motsetjing til omrekning til DDT-ekvivalentar, som nokon gonger blir gjort). Alle resultata blei rekna om frå tørrvekts- til våtvektskonsentrasjonar ved hjelp av tørrstoffinnhald berekna for kvar prøve.

Rest av prøvemateriale vil verte analysert for metall gjennom ei masteroppgåve, der resultata vil bli samanlikna med tidlegare resultat for tungmetall i Hardangerfjorden/Sørfjorden. Desse vert rapportert seinare i form av ei masteroppgåve.

3 - Resultat og diskusjon

Resultata for enkeltisomerar av DDT og sum DDT ved dei ulike lokalitetane er vist i Tabell 1-3, Figur 6 og Figur 7. Resultat for enkeltisomerar vist i prosent av sum DDT er vist i Tabell 5-7, Figur 8 og Figur 9. Konsentrasjonar av andre analyserte pesticid er gitt i vedlegg i Tabell A1.

3.1 - Nivå av sum DDT og samanlikning med tidlegare overvaking

Det vart til saman analysert prøvar frå 28 stasjonar i Sørfjorden (inklusive Utne), sju i Hardangerfjorden utanfor Sørfjorden og åtte i Sognefjorden (Tabell 1-3). Generelt var nivået av sum DDT klart høgare i Sørfjorden enn i Hardangerfjorden og i Sognefjorden, med gjennomsnittleg konsentrasjon i Sørfjorden på 13,1 µg/kg, 3,44 µg/kg i Hardangerfjorden utanfor og 3,06 µg/kg i Sognefjorden.

I Sørfjorden varierte sum DDT frå om lag 1,33 µg/kg våtvekt ved Ytre Sekse opp til 60,1 µg/kg våtvekt på Espe. Av andre stasjonar med spesielt høge verdiar var også stasjonen på Indre Aga med 26,3 µg/kg våtvekt verd å merka seg (Tabell 1, Figur 6). Resultata viser elles at nivåa er høge på begge sider av fjorden med eit snitt på 11,5 µg/kg våtvekt på stasjonane på vestsida av Sørfjorden og eit snitt 14,7 µg/kg våtvekt på austsida, der snittet på austsida er sterkt drege opp av den høge verdien på Espe. Dei fleste stasjonane hadde konsentrasjonar mellom 7 og 15 µg/kg, og variasjonen var generelt noko større på vestsida enn på austsida.

I fem av områda i Sørfjorden der det har vore overvaking av blåskjel tidlegare, var nivåa noko lågare no enn det som er målt før (Botnen og Johansen 2006; Ruus m.fl. 2013, 2016; Tabell 4). Dette gjaldt Jåstad, Grimo, Nå og Måge på vestsida og Kvalnes på austsida av fjorden. Andre stader, ved Byrkjenes, Hovland og Lofthus på austsida, var nivåa litt høgare enn før, og ved Espe var nivået mykje høgare enn det som har vore målt tidlegare. Ved Trones og Ystanes lengst ute i fjorden, var nivåa av DDT målt no på same nivå eller i same konsentrasjonsområde som tidlegare. 

Den høge verdien vi fann på Espe er blant dei høgste som er målt i Sørfjorden frå 1991 og seinare. Denne stasjonen er relativt nær den stasjonen som på 1990-talet var høgast inne i Sørfjorden, ved Kvalnes, med berre få kilometer imellom (Ruus m.fl. 2013). Utover på 2000-talet var det stasjonen på Trones som hadde høgast nivå. Ulike undersøkingar har elles opp gjennom tidene funne høgast DDT-verdiar i blåskjel på ulike stasjonar, til dømes fann Botnen & Johansen (2006) høgast verdi på Nå på vestsida med 43 µg/kg våtvekt. Då vart blåskjela samla i august, mens NIVA stort sett har prøveteke i oktober. Vi tok prøvane i september. Det betyr at prøvetakinga i alle desse undersøkingane har vore gjort seinsommar eller haust, når blåskjela har god matfylde, og variasjon i prøvetakingstidspunktet er derfor ikkje forventa å gjere utslag på DDT-nivået. 

I Hardangerfjorden utanfor Sørfjorden var det overraskande lite variasjon i målte konsentrasjonar; frå drygt 2,30 µg/kg våtvekt ved Alsaker til 4,85 µg/kg våtvekt ved Steinstø, og ein snittverdi på 3,44 µg/kg våtvekt for desse sju stasjonane (Tabell 2). Data frå fruktdistrikta i Sognefjorden viste eit snitt på dei sju stasjonane der i same konsentrasjonsområdet som det som vart funne i Hardangerfjorden, med 3,06 µg/kg våtvekt (Tabell 3). Variasjonen var frå 0,93 til 5,64 µg/kg våtvekt og her skilde Kaupanger seg ut med den spesielt låge verdien. Gjennomsnittsnivåa både i Hardangerfjorden utanfor Sørfjorden og i Sognefjorden var opp mot 10 ganger over ein provisorisk referanseverdi (PROREF) for blåskjel i norske kystområde på 0,224 µg/kg som NIVA har fastsett for p,p'-DDE  (Schøyen m.fl.. 2021). 

Verdiane av sum DDT som er målt i Sørfjorden er forholdsvis høge og varierer mykje både i tid og mellom geografiske stasjonar. Den høgste enkeltverdien vi fann var på 60,1 µg/kg våtvekt, mens gjennomsnittet låg under 15 µg/kg våtvekt på begge sider av fjorden. Nivåa av DDE i blåskjel frå Sørfjorden er høgare enn ved alle andre faste overvåkingsstasjonar i MILKYS-programmet (Schøyen m.fl. 2021). Alle konsentrasjonar av sum DDT var likevel godt under miljøkvalitetsstandarden (EQS) på 610 µg/kg våtvekt, som er sett for å beskytte dei mest sårbare artene på toppen av næringskjeda (Direktoratsgruppen for Vanndirektivet, 2018). Slik sett er ikkje dei målte konsentrasjonane venta å medføre negative konsekvensar for økosystemet.


Tabell 1. Gjennomsnittleg konsentrasjon (μg/kg våtvekt) per lokalitet av enkeltisomerar av DDT og -metabolittar (o,p’-DDT, p,p’-DDT, o,p’-DDD, p,p’-DDD, o,p’-DDE, p,p’-DDE) samt summen av desse, sum DDT (lower bound#). Samla gjennomsnitt er også gitt for kvar av fjordområda Sørfjorden vest, Sørfjorden aust og Sørfjorden totalt.

Fjord

Stasjon

N

o,p'-DDT

p,p'-DDT

o,p'-DDD

p,p'-DDD

o,p'-DDE

p,p'-DDE

Sum DDT

Sørfjorden

8. Utne fergekai

3

0.543 2.29 0.186 0.760 0.037 4.70 8.50

vest

9. Trones

3

1.36 7.63 0.562 2.80 0.074 7.85 20.2
 

10. Grimo, "Kvednhuset"

3

0.540 2.43 0.203 0.936 0.051 5.72 9.88
 

11. Hauso skule

3

0.546 2.55 0.235 0.994 0.056 6.20 10.6
 

13. Jåstad

3

0.756 4.56 0.298 1.53 0.078 8.48 15.7
 

14. Velure

3

0.332 1.28 0.159 0.657 0.031 2.88 5.33
 

15. Aga

3

0.431 1.76 0.191 0.703 0.042 4.13 7.26
 

16. Indre Aga

3

1.90 7.76 0.944 3.56 0.136 12.0 26.3
 

17. Kråkevik

3

0.986 4.64 0.495 1.96 0.114 11.7 19.9
 

18. Ytre Nå

3

0.718 3.62 0.336 1.47 0.115 10.5 16.8
 

19. Indre Nå

1

0.715 2.71 0.299 0.695 0.074 5.88 10.4
 

20. Bleie

1

0.263 1.27 0.134 0.604 0.022 2.99 5.28
 

21. Måge

1

0.142 0.662 0.080 0.322 <0.013 1.80 3.01
 

22. Tokheim

1

0.214 0.653 0.087 0.252 0.033 1.33 2.57

 

Sørfjorden vest, totalt

14* (34)

0.674 3.13 0.301 1.23 0.063 6.16 11.5

Sørfjorden

23. Byrkjenes

1

0.725 2.77 0.281 0.691 0.214 6.73 11.4

aust

24. Espe

1

9.36 11.20 3.56 5.16 3.03 27.8 60.1
 

25. Kvalnes

3

0.308 1.36 0.241 0.923 0.050 4.18 7.06
 

26. Hovland

1

0.591 2.42 0.262 1.05 0.111 8.77 13.2
 

27. Sekse

1

1.09 4.32 0.355 1.46 0.058 4.54 11.8
 

28 Ytre Sekse

1

0.043 0.259 0.027 0.124 <0.013 0.87 1.33
 

29. Lofthus ved kyrkje

1

0.372 2.06 0.264 1.54 0.051 5.65 9.94
 

30. Lofthus

3

0.526 2.93 0.273 1.51 0.070 9.24 14.5
 

31. Y. Lofthus v. fruktlager

3

0.761 2.51 0.395 1.15 0.085 7.72 12.6
 

32. Gråten, Lutro

3

0.626 2.80 0.330 1.32 0.081 8.19 13.4
 

33. Lutro

3

0.487 2.29 0.282 1.29 0.064 7.67 12.1
 

34. Instanes, indre

3

0.436 2.20 0.377 1.85 0.072 10.9 15.8
 

35. Pundsteigen, Ystanes

3

0.483 2.39 0.242 1.13 0.044 6.22 10.5
 

36. Ystanes (Krossanes)

1

0.482 2.84 0.221 1.20 0.079 7.62 12.4
 

Sørfjorden aust, totalt

14* (28)

1.16 3.03 0.508 1.46 0.287 8.30 14.7
Sørfjorden Sørfjorden, totalt 28* (62) 0.919 3.077 0.404 1.34 0.175 7.23 13.1

# Lower bound: Konsentrasjonar av enkelisomerar som er under kvantifiseringsgrensa (<LOQ) vert sett lik 0 ved summering.
*Tal på stasjonar. (Tal på analyserte prøvar er gitt i parentes). Gjennomsnittet gitt her er gjennomsnittet av snittverdiar for stasjonane.

 

Tabell 2. Gjennomsnittleg konsentrasjon (µg/kg våtvekt) per lokalitet av enkeltisomerar av DDT og -metabolittar (o,p’-DDE, p,p’-DDE, o,p’-DDD, p,p’-DDD, o,p’-DDT og p,p’-DDT) samt summen av desse, sum DDT (lower bound#). Samla gjennomsnitt er også gitt for Hardangerfjorden utanfor Sørfjorden (Hardangerfjorden).

Fjord

Stasjon

N

o,p'-DDT

p,p'-DDT

o,p'-DDD

p,p'-DDD

o,p'-DDE

p,p'-DDE

Sum DDT

Hardanger-

1. Steinstø

3

0.322 1.09 0.143 0.519 0.021 2.77 4.85

fjorden

2. Ytre Ålvik

4

0.136 0.787 0.079 0.362 0.016 2.12 3.49
 

3. Alsaker

1

0.071 0.426 0.040 0.219 <0.011 1.54 2.30
 

4. Lothe

3

0.173 0.738 0.102 0.416 <0.017 1.87 3.30
 

5. Djønno kai

3

0.123 0.450 0.165 0.571 <0.015 2.66 3.97
 

6. Hjeltnes, Ulvik

1

0.118 0.694 0.059 0.320 <0.014 1.64 2.83
 

7. Steinkrossen, Hesthamar

3

0.176 0.839 0.076 0.338 <0.016 1.92 3.34
 

Hardangerfjorden, totalt

7* (18)

0.160 0.718 0.095 0.392 <0.016 2.08 3.44

# Lower bound: Konsentrasjonar av enkelisomerar som er under kvantifiseringsgrensa (<LOQ) vert sett lik 0 ved summering.
*Tal på stasjonar. (Tal på analyserte prøvar er gitt i parentes). Gjennomsnittet gitt her er gjennomsnittet av snittverdiar for stasjonane.

 

Tabell 3. Gjennomsnittleg konsentrasjon (µg/kg våtvekt) per lokalitet av enkeltisomerar av DDT og -metabolittar (o,p’-DDE, p,p’-DDE, o,p’-DDD, p,p’-DDD, o,p’-DDT og p,p’-DDT) samt summen av desse, sum DDT (lower bound#). Samla gjennomsnitt er også gitt for Sognefjorden.

Fjord

Stasjon

N

o,p'-DDT

p,p'-DDT

o,p'-DDD

p,p'-DDD

o,p'-DDE

p,p'-DDE

Sum DDT

Sognefjorden

s-01 Balestrand

2

0.095 0.490 0.064 0.252 <0.017 1.42 2.32
 

s-02 Feios kai

3

0.119 0.539 0.058 0.222 <0.018 1.14 2.08
 

s-03 Fresvik

3

0.413 1.29 0.162 0.466 0.030 2.60 4.95
 

s-04 Leikanger

1

0.258 0.530 0.095 0.095 0.017 1.25 2.24
 

s-05 Hermansverk

3

0.174 0.659 0.077 0.276 <0.016 1.98 3.16
 

s-06 Slinde

1

0.204 0.754 0.091 0.311 0.015 1.81 3.18
 

s-07 Nornes

3

0.227 0.831 0.143 0.483 0.024 3.93 5.64
 

s-08 Kaupanger

3

0.070 0.220 0.043 0.126 <0.016 0.472 0.930

 

Sognefjorden, totalt

8* (19)

0.195 0.664 0.092 0.279 0.019 1.82 3.06

# Lower bound: Konsentrasjonar av enkelisomerar som er under kvantifiseringsgrensa (<LOQ) vert sett lik 0 ved summering.
*Tal på stasjonar. (Tal på analyserte prøvar er gitt i parentes). Gjennomsnittet gitt her er gjennomsnittet av snittverdiar for stasjonane.

Dei målte nivåa av DDT i blåskjel skal ikkje ha nokon betydning for mattryggleik. Det er ikkje etablert nokon øvre grenseverdi for DDT til humant konsum i Norge og EU. Og sjølv med eit dagleg inntak på eitt kilo blåskjel frå Espe, som medfører inntak av 60,1 µg DDT, ville ein person på 70 kg vere langt unna å overskride den tolerable daglege inntaksgrensa på 10 µg/kroppsvekt (JMPR 2001). Mattilsynet har frå tidlegare etablert ein advarsel om ikkje å ete blåskjel plukka i Sørfjorden på grunn av høge nivå av tungmetall (matportalen.no), og denne gjeld framleis.

 

DDT-nivå i Sørfjorden
Figur 6. Gjennomsnittleg (+/- min-maks) konsentrasjon av sum DDT (summen av o,p'- og p,p'-isomerar av DDT, DDD og DDE, µg/kg våtvekt), ved kvar av lokalitetane på A) vestsida (ytst til inst) og B) austsida (inst til ytst) av Sørfjorden. 

 

DDT-nivå i Ytre Hardanger og i Sognefjorden
Figur 7. Gjennomsnittleg (+/- min-maks) konsentrasjon av sum DDT (summen av o,p'- og p,p'-isomerar av DDT, DDD og DDE, µg/kg våtvekt) ved kvar av lokalitetane i A) Hardangerfjorden utanfor Sørfjorden og B) Sognefjorden. 
Stasjon

Denne undersøkinga
Sum DDT (µg/kg vv)
Gjennomsnitt

Tidlegare overvåking
Sum DDT (µg/kg vv)
frå-til (år)

Referanse
Byrkjenes 11,4 3,4 - 10,5 (1991-2010) Ruus m.fl. (2013)
Espe 60,1 8,11 (2006) Botnen og Johansen (2006)
Kvalnes 7,06 10,6 - 59,5 (1991-2011);
  11 (2015)
Ruus m.fl. (2013, 2016)
Hovland 13,2 8,12 (2006) Botnen og Johansen (2006)
Lofthus 9,94 - 14,5 9,16 (2006) Botnen og Johansen (2006)
Ystanes (=Krossanes) 10,5-12,4 4,2 - 37,3 (1991-2011) Ruus m.fl. (2013)
Måge 3,01 6,2 – 30,7 (2003-2012) Ruus m.fl. (2013)
10,4 - 16,8 43,0 (2006) Botnen og Johansen (2006)
Jåstad 15,7 27,2 (2006) Botnen og Johansen (2006)
Grimo 9,88 12,1 (2006) Botnen og Johansen (2006)
    27,0 (2015) Ruus m.fl. (2016)
Trones 20,2

8,1 – 159 (2003-2012); 20,3 (2015)

Ruus m.fl. (2013, 2016)

Tabell 4. Samanlikning med resultat frå tidlegare undersøkingar/overvåking frå tilsvarende lokalitetar i Sørfjorden.

3.2 - Fordeling av DDT-former

Fordelinga mellom dei ulike formene av DDT, det vil seie dei ulike isomerane (o,p'- og p,p’-) av DDT og metabolittane DDE og DDD, er vist i Tabell 5-7 og Figur 8 og 9. I alle dei fire områda; Hardangerfjorden, Sørfjorden vest, Sørfjorden aust og Sognefjorden var mellom 55 og 60 % av sum DDT i form av DDE, der p,p’-forma var totalt dominerande. Mellom 25 og 32 % av sum DDT var i form av DDT, med p,p’-DDT som dominerande. Det var altså minst av DDD, som utgjorde rundt 13 % av sum DDT i alle dei fire områda.

Stasjonane Espe (St. 24), Sekse (St. 27), Trones (St. 9) og Indre Aga (St. 16) hadde lågare snittdel p,p’-DDE enn alle andre stasjonar, med mellom 38 og 46 % (Tabell 5; Figur 8). Av desse hadde Espe, Trones og Indre Aga også nokre av dei høgaste totalsummane av DDT, henhaldsvis 60,1, 20,2 og 26,3 µg/kg våtvekt (Tabell 1). Trones og Sekse hadde samtidig høgast del p,p’-DDT (Tabell 5; Figur 8). Stasjonen Espe, som hadde mykje høgare sum DDT enn alle dei andre stasjonane, hadde ikkje spesielt høg del p,p’-DDT. Men det er interessant at prosentdelane av o,p’-DDT og o,p’-DDE var høgare ved Espe enn ved alle dei andre stasjonane. 

Fjord Stasjon

o,p'-DDT (%)

p,p'-DDT (%)

o,p'-DDD (%)

p,p'-DDD (%)

o,p'-DDE (%)

p,p'-DDE (%)

Sørfjorden vest 8. Utne fergekai

6.4

26.9

2.2

8.9

0.3

55.3

  9. Trones

6.8

37.6

2.8

14.0

0.3

38.6

  10. Grimo, "Kvednhuset"

5.4

24.6

2.1

9.5

0.5

57.9

  11. Hauso skule

5.2

24.1

2.2

9.4

0.5

58.6

  13. Jåstad

4.8

29.1

1.9

9.9

0.4

53.9

  14. Velure

6.3

23.9

3.1

12.4

0.4

53.8

  15. Aga

5.9

24.3

2.6

9.6

0.6

57.0

  16. Indre Aga

7.1

29.4

3.6

13.7

0.5

45.7

  17. Kråkevik

5.0

23.4

2.5

9.9

0.6

58.7

  18. Ytre Nå

4.3

21.6

2.0

8.8

0.7

62.7

  19. Indre Nå

6.9

26.1

2.9

6.7

0.7

56.7

  20. Bleie

5.0

24.1

2.5

11.4

0.4

56.6

  21. Måge

4.7

22.1

2.7

10.7

0.0

59.8

  22. Tokheim

8.3

25.4

3.4

9.8

1.3

51.8

  Sørfjorden vest

5.9

25.9

2.6

10.3

0.5

54.8

Sørfjorden aust 23. Byrkjenes

6.4

24.3

2.5

6.1

1.9

58.9

  24. Espe

15.6

18.6

5.9

8.6

5.0

46.3

  25. Kvalnes

4.4

19.4

3.4

12.8

0.6

59.4

  26. Hovland

4.5

18.3

2.0

7.9

0.8

66.4

  27. Sekse

9.2

36.5

3.0

12.3

0.5

38.4

  28 Ytre Sekse

3.2

19.5

2.0

9.3

0.0

65.9

  29. Lofthus ved kyrkje

3.7

20.8

2.7

15.4

0.5

56.9

  30. Lofthus

3.6

20.2

1.9

10.3

0.3

63.7

  31. Y. Lofthus v. fruktlager

6.2

20.0

3.2

8.9

0.7

61.0

  32. Gråten, Lutro

4.7

21.0

2.5

9.9

0.6

61.4

  33. Lutro

4.0

18.9

2.3

10.7

0.5

63.5

  34. Instanes, Indre

2.8

13.9

2.3

11.6

0.3

69.1

  35. Pundsteigen, Ystanes

4.6

23.1

2.3

10.8

0.3

58.9

  36. Ystanes

3.9

22.9

1.8

9.7

0.6

61.2

  Sørfjorden aust

5.5

21.2

2.7

10.3

0.9

59.4

Tabell 5. Gjennomsnittleg prosentdel av sum DDT (lower bound#) per lokalitet i Sørfjorden av enkelt-isomerar av DDT og -metabolittar (o,p’-DDE, p,p’-DDE, o,p’-DDD, p,p’-DDD, o,p’-DDT og p,p’-DDT). Samla gjennomsnitt er gitt for kvar av områda Sørfjorden vest og Sørfjorden aust.

# Lower bound: Konsentrasjonar av enkelisomerar som er under kvantifiseringsgrensa (<LOQ) vert sett lik 0 ved summering.


Tabell 6  Gjennomsnittleg prosentdel av sum DDT (lower bound#) per lokalitet i Hardangerfjorden utanfor Sørfjorden av enkelt-isomerar av DDT og -metabolittar (o,p’-DDE, p,p’-DDE, o,p’-DDD, p,p’-DDD, o,p’-DDT og p,p’-DDT). Samla gjennomsnitt er gitt for Hardangerfjorden utanfor Sørfjorden (Hardangerfjorden).

Fjord

Stasjon

o,p'-DDT (%)

p,p'-DDT (%)

o,p'-DDD (%)

p,p'-DDD (%)

o,p'-DDE (%)

p,p'-DDE (%)

Hardangerfjorden

1. Steinstø

6.7

22.5

3.0

10.8

0.2

56.9

 

2. Ytre Ålvik

4.5

24.8

2.8

12.8

0.1

55.0

 

3. Alsaker

3.1

18.6

1.7

9.6

0.0

67.0

 

4. Lothe

5.1

22.2

3.0

12.6

0.0

57.1

 

5. Djønno kai

3.1

11.2

4.2

14.4

0.0

67.2

 

6. Hjeltnes, Ulvik

4.2

24.5

2.1

11.3

0.0

57.9

 

7. Steinkrossen, Hesthamar

5.3

25.1

2.3

10.1

0.0

57.2

 

Hardangerfjorden

4.6

21.3

2.7

11.7

0.05

59.7

# Lower bound: Konsentrasjonar av enkelisomerar som er under kvantifiseringsgrensa (<LOQ) vert sett lik 0 ved summering.

Tabell 7. Gjennomsnittleg prosentdel av sum DDT (lower bound#) per lokalitet i Sognefjorden av enkelt-isomerar av DDT og -metabolittar (o,p’-DDE, p,p’-DDE, o,p’-DDD, p,p’-DDD, o,p’-DDT og p,p’-DDT). Samla gjennomsnitt er også gitt for Sognefjorden.

Fjord

Stasjon

o,p'-DDT (%)

p,p'-DDT (%)

o,p'-DDD (%)

p,p'-DDD (%)

o,p'-DDE (%)

p,p'-DDE (%)

Sognefjorden

S-01 Balestrand

4.3

21.5

2.7

10.5

0.0

60.9

 

S-02 Feios kai

5.8

25.9

2.8

10.8

0.0

54.7

 

S-03 Fresvik

8.0

25.3

3.7

10.0

0.3

52.7

 

S-04 Leikanger

11.5

23.6

4.2

4.2

0.7

55.6

 

S-05 Hermansverk

5.5

20.9

2.4

8.7

0.0

62.5

 

S-06 Slinde

6.4

23.7

2.8

9.8

0.5

56.8

 

S-07 Nornes

4.0

14.8

2.5

8.6

0.4

69.7

 

S-08 Kaupanger

7.5

23.5

4.6

13.7

0.0

50.6

 

Sognefjorden

6.6

22.4

3.2

9.5

0.2

57.9

# Lower bound: Konsentrasjonar av enkelisomerar som er under kvantifiseringsgrensa (<LOQ) vert sett lik 0 ved summering.

 

Kart med fordeling DDT-isomerer Hardangerfjorden
Figur 8. Fordeling av ulike (p,p’- og o,p’-) isomerer av DDT og metabolittane DDE og DDD i blåskjel prøveteke ved ulike stasjonar i Hardangerfjorden, inkludert Sørfjorden og området utanfor. Storleiken på kakestykkene angir andelen av sum DDT (lower bound) og storleiken på sirklane representerer konsentrasjonen av sum DDT i tørr prøve.

 

 

Kart Sognefjorden med isomerfordeling DDT
Figur 9. Fordeling av ulike (p,p’- og o,p’) isomerer av DDT og metabolittane DDE og DDD i blåskjel prøveteke ved ulike stasjonar i Sognefjorden. Storleiken på kakestykkene angir andelen av sum DDT (lower bound) og storleiken på sirklane representerer konsentrasjonen av sum DDT i tørr prøve.

3.3 - Tilførslar og tidlegare kjeldesporingsarbeid

Det er som nemnt gjort mange undersøkingar av DDT i blåskjel i Sørfjorden for å spore moglege kjelder til DDT-forureininga. Berekningar viser at det truleg var brukt omlag 14 tonn DDT på omlag 250 fruktbruk rundt Sørfjorden (Måge 2003, Måge og Jaggi 2003). Ein rapport frå 2005 viser også heradsgartnaren sine råd ved avslutninga av DDT-bruk i fruktdyrking i 1970 (Måge 2005). Ulike moglege kjelder, særleg knytt til vassvegar, har vore påvist (Skei m.fl. 2005).

I 2006 vart det også gjort forsøk med passive prøvetakarar for å finne ut meir om spreiing og transport av DDT i fjorden (Botnen og Johansen, 2006). Data frå den undersøkinga viste desidert høgast nivå av sum DDT i passive prøvetakarar plassert ved Lutro (nord for Lofthus på austsida), mens høgast nivå i blåskjel i den undersøkinga vart funne på Nå på vestsida. 

Det har også vore gjort ein serie forsøk på å forstå jordkjemien lokalt og å spore kjelder, spesielt med utgangspunkt i dei tidlegare høge DDT-verdiane på Kvalnes (Amundsen 2009). I oppsummeringa til Amundsen (2009) vart det gjort greie for dei relativt høge verdiane i mg/kg-området som er funne i jordsmonn og om den seine nedbrytinga frå DDT til DDE (aerob) og til DDD (anaerob). Vi kan forvente at over tid vil ytterlegare DDT verte nedbroten til DDE og DDD. I høve til nivå i det marine miljø er det dog avrenning som er interessant og Amundsen (2009) peikte på at auka avrenning til dømes kan skje som følgje av mindre forsura nedbør som igjen fører til auka DOC og auka DDT-mobilitet. Det kan også vere andre tilhøve som gjer at eit område kan få auka avrenning av DDT, slik som jordbearbeiding ved nyplanting, endring av vassvegar og moglegvis også hogst.

Over tid har det såleis vore vanskeleg å knyte høge nivå i blåskjel til spesielle geografiske stasjonar. Stasjonen som over tid vist høgt nivå var såleis Trones ytst i Sørfjorden (Ruus m.fl. 2013). Her fann også vi høgt nivå, men vi fann også like høge eller høgare DDT-nivå ved fleire andre stasjonar.

3.4 - Finns det ei skjult punktkjelde?

Det som står fram som det viktigaste funnet i denne undersøkinga er at det framleis er forhøga verdiar av DDT i blåskjel i Sørfjorden og vidare utover i Hardangerfjorden og i Sognefjorden. Det er om lag like høge nivå av DDT i fruktdistrikt ved Sognefjorden som i Hardangerfjorden utanfor Sørfjorden. Nivåa er klart høgast i Sørfjorden og nivåa av sum DDT har ikkje eller i liten grad gått ned der sidan oppstarten av overvakinga av DDT vart systematisk rundt 1990 som ein del av Statlig program for forurensningsovervåkning (Skei m.fl. 1998, Ruus m.fl. 2013). 

Data viser at sum DDT held seg høgare i Sørfjorden samanlikna med andre område. Skilnadane i nivå mellom ulike stasjonar er ikkje så veldig store, sjølv om prøven frå Espe skilte seg ut som høg (Figur 6). Men det er vanskeleg å sjå for seg ei skjult, uoppdaga punktkjelde som faktisk kan finnast, særleg sidan dei høgaste verdiane som har vore funne på ulike stasjonar i Sørfjorden også har variert så mykje gjennom tidene. 

Det har vore utført ulike prosjekt med tanke på å spore punktkjelder til DDT i Sørfjorden over dei siste 20 åra. Alt i 1998 vart det hevda at høge nivå kunne skuldast nedgrave DDT (Skei m.fl. 1998). Det er ikkje noko i resultata frå tidlegare undersøkingar eller denne undersøkinga som tyder på at dette er tilfelle.

Ifølge Schøyen m.fl. (2021) har det vore ein signifikant aukande langtidstrend for DDE i blåskjel ved Kvalnes, men også ein signifikant korttidsauke i blåskjel frå ein kystlokalitet langt utanfor Hardangerfjorden, ved Bømlo. Resultata frå denne undersøkinga gjer ikkje grunnlag for å påstå at nivåa av DDT i fjordane aukar eller avtar. Resultat frå denne og tidlegare undersøkingar tyder på at dei høge DDT-nivåa skuldest at restar og nedbrytingsprodukt av DDT  som forureina jordsmonnet då det tidlegare var i bruk til plantevern, framleis sig ut i fjorden og held frem med å forureine den.

3.5 - Andre plantevernmiddel enn DDT

I denne undersøkinga der hovedmålet var analyser for DDT og metabolittar, blei det i samme metoden også analysert for ei rekkje andre klorerte plantevernmiddel. Oppsummering av resultata av desse analysene er vist i vedlegg, tabell A1. Dei fleste analyserte stoffa vart ikkje funne i målbare konsentrasjonar, altså konsentrasjonane var <LOQ i alle prøvene. Av stoff som viste målbare nivå, var dieldrin i 81 av dei 99 prøvene, trans-nonaklor i 73 prøver, toksafen-50 i 52 prøver, cis-klordan i 36 prøver og toksafen-26 i 21 prøver.  Trans-klordan hadde målbart nivå i fem prøver, og HCB og mirex hadde målbare nivå i berre ei enkel blåskjelprøve.

Av desse stoffa hadde dieldrin høgast mediankonsentrasjon, med 0,18 µg/kg våtvekt, og den største enkeltverdien var 0,996 µg/kg, målt i ei prøve frå Velure i Sørfjorden. Blant fjordane var det høgst nivå av dieldrin i Sørfjorden og lågast i Hardangerfjorden utanfor Sørfjorden, medan Sognefjorden hadde eit dieldrin-nivå mellom desse. Trans-nonaklor hadde ein median på 0,044 µg/kg våtvekt og den største enkeltmålinga var 0,16 µg/kg i ei prøve frå Hermansverk i Sognefjorden. Av fjordane hadde trans-nonaklor høgast mediankonsentrasjon i Sognefjorden, med Sørfjorden like under, medan Hardangerfjorden utanfor Sørfjorden hadde klart lågast nivå også av dette stoffet. Toksafen-50 hadde ein median på 0,16 µg/kg våtvekt og det var høgast nivå i Sørfjorden, fylgt av Sognefjorden og Hardangerfjorden, men forskjellane var svært små. Cis-klordan hadde flest målbare prøver og høgast medianverdi i Sognefjorden. Toksafen-26 hadde høgast medianverdi i Sognefjorden, men høgste enkeltmåling i Sørfjorden.

Espe i Sørfjorden, stasjonen med den høgaste konsentrasjonen av DDT, hadde dei nest høgste konsentrasjonane av cis-klordan og toksafen-50, men ikkje spesielt høgt nivå av dei andre plantevernmidla.

Alle desse stoffa er plantevernmiddel som har vore i bruk tidlegare, hovudsakeleg mot insekter. Alle er no forbode å bruke i dei fleste land (Stockholm Convention - Home page (pops.int)). I likhet med DDT er dei persistente og blir i miljøet lenge etter dei ikkje lenger er i bruk. Det at vi har funne dei i blåskjel med dei høgaste nivåa i Sørfjorden og Sognefjorden, kan som for DDT skuldast tidlegare bruk ved fruktdyrking, då tydelegvis i mykje mindre skala enn DDT.

3.6 - Konklusjonar og anbefalinger for videre arbeid

  • Det er framleis forhøga nivå av DDT i blåskjel i Sørfjorden, og meir DDT i Sørfjorden enn lenger ute i Hardangerfjorden og i Sognefjorden.
  • Nivåa er godt under miljøkvalitetsstandarden på 610 µg/kg våtvekt, noko som indikerer at nivåa ikkje er høge nok til å påverke økosystemet. Dei DDT-nivåa som er målt i blåskjel har heller inga betydning for mattryggleiken.
  • Ein finn DDT på alle stasjonar med relativt like nivå på begge sider av Sørfjorden, og dette viser at DDT er fordelt i heile fjorden.
  • Det meste av DDT er brote ned aerobt til DDE, noko som skjer i jorda over tid og såleis tyder på at DDT i Sørfjorden skuldast gammal forureining og ikkje ny tilførsel av DDT.
  • Nivåa av DDT og nedbrytingsprodukta DDE og DDD i blåskjel i Sørfjorden har ikkje gått nedover sidan 1990-talet, noko som viser at nedbrytinga av desse stoffa går svært sakte og at dei stadig sig ut i fjorden der dei blir tatt opp av skjel og andre organismar. 
  • Vi meiner at det vil vere lite nyttig å leite etter ei spesifikk kjelde til DDT. Sannsynlegvis er DDT bunde til jordsmonnet og lek gradvis ut i fjorden. Arbeid/prosessar der jorda blir forstyrra, samt store nedbørsmengder, kan potensielt føre til at meir DDT renn ut i fjorden. Eksemplar på slikt kan vere gravearbeid, større dyrkingsprosjekt, skogsdrift, vegprosjekt med meir. Dette bør ein kanskje vere oppmerksam på når det blir gitt løyve til ulike prosjekt.
  • Dersom ein likevel skulle velje å fortsetje å leite etter kjelder, kunne ein eventuelt gå inn på nokon av dei stadene det er funne høgst nivå av DDT i blåskjel og gjere ei verkeleg tett prøvetaking for å undersøke nærare. Basert på resultat frå denne undersøkinga, kunne dette vere enten Trones, Espe eller Indre Aga.

 

4 - Referansar

     Amundsen, C.E. (2009). Kartlegging av DDT i jord ved Kvalneset, Ullensvang herad. Bioforsk-rapport. (4) nr.         123. 31 s.

ATSDR (2022). Toxicological Profile for DDT, DDE and DDD. https://www.atsdr.cdc.gov/toxprofiles/tp35.pdf

Botnen, H. og Johansen, P.-O. (2006). Kartlegging av DDT-nivået langs Sørfjorden i Hardanger - 2006. VestBio No. 10, 2006. 21 s.

Direktoratsgruppen for Vanndirektivet (2018). Klassifisering av miljøtilstand i vann. Veileder 02:2018. https://www.vannportalen.no/veiledere/klassifiseringsveileder/

Eggen, T., Brevik, E., Lien, L., Schaanning, M., Sletta, A. og Snilsberg, P. (2004). Kartlegging og risikovurdering av DDT i Ørsjøen. Jordforsk rapport. nr. 91/04. 36 s. ISBN 82-7467-516-9

Eggen, T., Hanslin, H.M. og Sæbø, A. (2006). Tiltaksmetoder for nedbrytning av DDT i sedimenter. Bioforsk Rapport. Vol. 1 nr. 19. https://nibio.brage.unit.no/nibio-xmlui/bitstream/handle/11250/2505499/Bioforsk-Rapport-2006-01-19.pdf?sequence=2&isAllowed=y

Mansouri, A., Cregut, M., Abbes, C., Durand, M.-J., Landoulsi, A. og Thouand, G. (2017). The Environmental Issues of DDT Pollution and Bioremediation: a Multidisciplinary Review. Applied Biochemistry and Biotechnology 181(1): 309-339. 10.1007/s12010-016-2214-5 

Måge, A. (2003). Notat. DDT langs Sørfjroden. Bakgrunnsarbeid før eventuelt feltarbeid på leit etter dumpa DDT. Rapport Hardanger Miljøsenter. 19, 2003. 8 s.

Måge, A. (2005). DDT i Sørfjorden - Rapport frå feltarbeid på leit etter DDT mars 2005. ASES-rapport. 08-2005. 16 s.

Måge, A. og Jaggi, W. (2003). Fylkesvise tiltaksplanar for forureina sediment. Fase I - Sørfjorden. Rapport på oppdrag frå Fylkesmannens Miljøvernavdeling, Hordaland. ASES-rapport. 17. 37 s.

JMPR (2001). Pesticide residues on food. Report of the 2000 JMP FAO/WHO Meeting of Experts. 242 s.

Rogdaberg, G. (2008). Fruktdyrking under blåisen. I Folgefonna og fjordbygdene, N. G. R. Brekke (red.). Nord 4, Bergen. s. 274-279.

Ruus, A., Borgersen, G., Ledang, A.B., Fagerli, C.W., Staalstrøm, A. og Norli, M. (2016). Tiltaksrettet overvåking av kystvann i vannområdet Hardanger 2015. NIVA-rapport. 6996-2016. 80 s. https://niva.brage.unit.no/niva-xmlui/bitstream/handle/11250/2382713/6996-2016_72dpi.pdf?sequence=7&isAllowed=y

Ruus, A., Kvassnes, A.J.S., Ledang, A.B., Green, N. og Schøyen, M. (2013). Overvåking av miljøforholdene i Sørfjorden 2012. Statens program for forurensningsovervåking. M-15 - 2013, 107 s. https://niva.brage.unit.no/niva-xmlui/bitstream/handle/11250/198643/6549-2013_200dpi.pdf?sequence=11&isAllowed=y

Schøyen, M., Lund, E., Hjermann, D.O., Ruus, A., Beylich, B., Jensen, M.T.S., Tveiten, L., Håvardstun, J., Ribeiro, A.L., Doyer, I., Bæk, K., Grung, M. og Øxnevad, S. (2021). Contaminants in coastal waters of Norway 2020. Miljøgifter i norske kystområder 2020. . Miljødirektoratet rapport. M-2124/2021. https://niva.brage.unit.no/niva-xmlui/handle/11250/2985737

Skei, J., Ruus, A. og Måge, A. (2005). Kildekartlegging av DDT i Sørfjorden, Hordaland. Forprosjekt. NIVA-rapport. 5038-2005. 50 s.

Skei, J., Rygg, B., Moy, F., Molvær, J., Knutzen, J., Hylland, K., Næs, K., Green, N. og Johnsen, T. (1998). Forurensningsutviklingen i Sørfjorden/Hardangerfjorden i perioden 1980-1997. Sammenstilling av resultater fra overvåking av vann, sedimenter og organismer. Statlig program for forurensningsovervåking. TA-1581/1998. 95 s. https://niva.brage.unit.no/niva-xmlui/bitstream/handle/11250/210086/3922_200dpi.pdf?sequence=2&isAllowed=y

Stokstad, E. (2007). Can the Bald Eagle Still Soar After It Is Delisted? Science 316(5832): 1689-1690. 10.1126/science.316.5832.1689

Van den Berg, H., Manuweera, G. og Konradsen, F. (2017). Global trends in the production and use of DDT for control of malaria and other vector-borne diseases. Malaria Journal 16(1): 401.10.1186/s12936-017-2050-2 

WHO (2021). World malaria report 2021. Geneva: World Health Organization; 2021. World malaria report 2021 (who.int)

5 - Vedlegg

Kart planlagte posisjoner Sørfjorden
Figur A1. Kart som viser dei planlagte prøvetakingsposisjonene i Sørfjorden (nr. 8-36)

 

Planlagte prøvetakingsposisjoner i Hardangerfjorden
Figur A2. Kart som viser dei planlagte prøvetakingsposisjonene i Hardangerfjorden utanfor Sørfjorden (nr. 1-7). 

 

Planlagte posisjoner i Sognefjorden
Figur A3. Kart som viser dei planlagte prøvetakingsposisjonane i Sognefjorden. Posisjon 9 og 10 er der vi ikkje fann blåskjel.

 

Tabell A1. Konsentrasjonsområde (minste-største verdi) for ulike klorerte pesticid målt i 99 samleprøver av blåskjel frå Sørfjorden, Hardangerfjorden utenfor Sørfjorden og Sognefjorden. *For stoff der halvparten eller meir av prøvane er ≥LOQ, er medianverdi gitt.

Forbindelse

Konsentrasjon
Median;* min - max
(µg/kg våtvekt)

Antall ≥LOQ av 99 prøver

Aldrin

<0,0113 - <0,0217

0

Dieldrin

0,182; <0,0189 - 0,996

81

Endrin

<0,0339 - <0,0652

0

α-endosulfan

<0,0565 - <0,109

0

β-endosulfan

<0,0452 - <0,0736

0

Endosulfan-sulfat

<0,0452 - <0 0736

0

α-HCH

<0,0283 - <0,0544

0

β-HCH

<0,0283 - <0 0544

0

δ-HCH

<0,0283 – <0,0544

0

γ-HCH

<0,0283 – <0,0544

0

Cis-klordan

<0,0113 – 0,0854

36

Trans-klordan

<0,0113 – 0,0315

5

Oksyklordan

<0,0835 - <0,118

0

Trans-nonaklor

0,0437; <0,0113 – 0,164

73

Heptaklor

<0,0113 - <0,0217

0

Cis-heptaklorepoksid

<0,017 – 0,0802

11

Trans-heptaklorepoksid

<0,0339 - <0,0948

0

Pentaklorbenzen

<0,0565 - <0,109

0

Heksaklorbenzen, HCB

<0,0565 – 0,0858

1

Mirex

<0,0113 – 0,0492

1

Oktaklorstyren

<0,0835 - <0,118

0

Toksafen parlar 26

<0,0565 – 0,253

21

Toksafen parlar 50

0,163; <0,0565 – 0,452

52

Toksafen parlar 62

<0,113 – 0,227

1

*Median er kun gitt for stoff der minst 50 % av prøvene (50 eller fleire) er ≥LOQ