An assessment of the salmon lice infestation in the production areas in 2022
Based on data from the national salmon lice surveillance program (NALO)
Sammendrag
For å estimere smittepresset i fjordene og langs kysten under smoltutvandringen, gjennomføres årlig en undersøkelse av lakselus på vill laksefisk basert på fangst av sjøørret og sjørøye med garn og ruse i alle de 13 produksjonsområdene. Det er i tillegg trålt i 4 sammenhengende uker under smoltutvandringen i Boknafjorden, Hardangerfjorden, Romsdalsfjorden, Sognefjorden, Trondheimsfjorden og Altafjorden. For alle fjordene er det også gjennomført genetiske analyser for å bestemme hvilken elv fisken har utvandret fra. Det er også benyttet vaktbur hvor det settes ut oppdrettssmolt i Bokna-, Hardanger- og Sognefjorden.
Oppsummert indikerer tråldata lav, men på grensen til moderat lakselusrelatert dødelighet i Boknafjorden (PO2), høy i Hardangerfjorden (PO3), høy i Sognefjorden (PO4), lav i Romsdalsfjorden (PO5) og lav i Trondheimsfjorden (PO6) og Altafjorden (PO12). Fangstene har med unntak av Romsdalsfjorden stort sett vært gode, noe lave i Sognefjorden.
Det er til dels stor variasjon i estimert dødelighet på ruse og garnfanget sjøørret og sjørøye innen om mellom de ulike produksjonsområdene. Overordnet viser disse dataene lav lakselusrelatert dødelighet i PO1, høyt i PO2-PO7 og lavt i PO8-PO13.
Vaktbur indikerer lavt smittepress i Boknafjorden (PO2) og Hardangerfjorden (PO3) i perioden rett etter median smoltutvandring, men grunnet høy dødelighet i burene er dette beheftet med stor usikkerhet. I perioden deretter indikerer data fra vaktbur moderat smittepress i begge fjordene. Dataene indikerer høyt smittepress i Sognefjorden (PO4), høyest i periode 1 som er mest relevant for smoltutvandringen.
1 - Innledning
Lakselus er en ektoparasitt som lever av slim, skinn og blod til laksefisk. Er antall lakselus høyt vil dette negativt påvirke verten. Spredning av lakselus larver fra oppdrettslaks kultivert i åpne merder i sjøen øker risiko for lusepåslag på vill laksefisk i området. For å estimere smittepresset av lakselus på vill laksefisk undersøkes lusepåslag på ruse og garnfanget sjøørret og sjørøye i alle produksjonsområdene, samt at det tråles etter utvandrende postsmolt av laks i 6 fjorder. I tillegg undersøkes smittepresset ved hjelp av vaktbur. Denne overvåkingen utføres av Havforskningsinstituttet sammen med NORCE og NINA i den nasjonale overvåkingen av lakselus på vill laksefisk (NALO), finansiert av Nærings- og fiskeridepartementet og Mattilsynet (OK program 56827). Denne rapporten oppsummerer resultatene av disse undersøkelsene i 2022.
På slutten av denne rapporten har vi sensitivitetstestet noen av forutsetningene som ligger til grunn for beregning av lakselusindusert dødelighet. Dette gjelder tålegrenser, hvor vi har testet effekten av å halvere og doble toleransen til sjøørret/røye (vedlegg A) og laks (vedlegg B), og har i tillegg vist effekten av å redusere materialet fra ruse og garnfangst av sjøørret/røye til bare å omfatte fisk < 150 g (Vedlegg C).
Vurderingene er bygget rundt to usikkerhetskilder, en er den statistiske usikkerheten, den andre er i hvilken grad vi vurderer at tidsperiode og sted for fangsten er representativ for området. Den statistiske usikkerheten er vist ved konfidensintervaller. De konfidensintervallene vi presenterer i denne rapporten angir hvor vi med 95% sannsynlighet ville vært om vi hadde gjentatt prosedyren fra første gang. Denne typen usikkerhet tar med andre ord ikke innover seg usikkerheten skapt ved at en antar at en har fanget fisk representativt i tid og rom. For å vurdere denne usikkerheten, har vi vurdert tidsrom fisket har foregått i forhold til antatt tid for utvandring. Denne siste er basert på Appendiks I b «Utvandringstidspunkt for laksesmolt i Norge ved vurdering av lakselusindusert dødelighet på smolt av villaks» til ekspertgrupperapporten 2022. Median dato for 50 % utvandring utvandring er her oppgitt som median av alle elvene i område, elvene ikke vektet i forhold til deres teoretiske smoltproduksjon.
2 - Gjennomføring av overvåkingen
Årlig gjennomføres en undersøkelse av lakselus på vill laksefisk basert på fangst av sjøørret og sjørøye med garn og ruse i alle 13 produksjonsområdene. Tidligere var prøvefisket delvis basert på en dynamisk tilnærming hvor en brukte Havforskningsinstituttets hydrodynamiske spredningsmodell for å indikere områdene med høyest smitte, og disse områdene ble da undersøkt. Tilsvarende ble det valgt kontrollområder hvor modellen indikerte lavt smittepress. I 2022 er alle stasjonene valgt uavhengig av estimert smittepress, og er stort sett faste stasjoner. I hvilken grad stasjonene er representative for smittepresset i produksjonsområdet er vurdert i forhold til estimert smittepress basert på den hydrodynamiske smittemodellen, mens i tid er tiden for undersøkelse holdt opp mot estimert utvandringstid for laksen. Ruse og garnfangst er utført enten som en eller to serier av hvor den første serien tas rett i etterkant av median dato for smoltutvandringen i produksjonsområdet for å fange opp smittepresset den utvandrende laksesmolten opplever, mens den andre perioden tas litt senere med mål om å fange opp smittepresset den beitende sjøørreten og sjørøyen opplever utover sommeren. Også i 2022 har en enkelte steder valgt å holde en lengre løpende serie på 4-6 uker for i større grad kunne bruke dataene for å vurdere når (om) økningen i smittepresset observeres, dette ikke minst da en av responsen til sjøørret som opplever smittepress fra lakselus er å oppsøke ferskvann. Dette vil da medføre at smittepresset observert utover sesongen kan ha blitt påvirket av at luseinfestert fisk ikke lenger befinner seg i de områdene der prøvefisking foregår, og at denne gruppen blir derfor underrepresentert i ruse og garnfangsten.
Det er i tillegg i 2022 trålt i 6 fjordsystemer (Boknafjorden, Hardangerfjorden, Sognefjorden, Romsdalsfjorden, Trondheimsfjorden og Altafjorden). Trålingen starter noe før og varer til etter forventet tid for utvandring av postsmolt laks i området, og foregår i ytre del av fjordsystemene for å fange opp det akkumulerte smittepresset smolten har opplevd. Smittepresset helt ytterst ved kysten fanges ikke opp. En andel av den trålfangete fisken er tilordnet til hjemelv ved hjelp av genetiske metoder.
Den siste metoden benyttet er bruk av vaktbur hvor det settes ut ca. 30 oppdrettssmolt i hvert bur som står ute i fjordsystemene i 2 uker før de blir erstattet med en ny serie. Burene er posisjonert for å fange opp smittepresset laks som vandrer nær overflaten opplever. Burene brukes for å sammenligne smittepress i tid og rom, samt for å verifisere modellene laget for å predikere smittepress av lakselus. I 2022 er det gjennomført to serier a 14 dager i Boknafjorden (PO2), Hardangerfjorden (PO3) og Sognefjorden (PO4).
Denne rapporten summerer dataene fra 2022, og er i stor grad basert på data innsamlet gjennom NALO (Figur 1), samt modellert overvåking av lakselus vha. Havforskningsinstituttets koblede biologisk-hydrodynamiske spredningsmodell for lakselus (www.lakselus.no). Modellert smittepress samt utslipp av lus i de enkelte produksjonsområdene omtalt i denne rapporten er presentert i appendiks “Modellert Påvirkning av lakselus på vill laksefisk-Havforskningsinstituttet 2022” til ekspertgrupperapporten 2022.
Figur 1. Oversiktskart over stasjonene undersøkt i 2022. Posisjonene er veiledende.
2.1 - Metodene benyttet
2.1.1 - Tråling etter postsmolt laks
Til trålingen benyttes en pelagisk overflatetrål, ca. 35 m bred og 5 m dyp. Det tråles primært i de ytre delene av fjordene på dagtid med 2-4 knop, både med og motstrøms, oftest 2-3 hal per dag. Det er montert en skillerist i trålen for å separere smolten inn i et akvarium for å redusere skjell og lusetap. Effektiviteten til denne varierer. I analysene inkluderes derfor fisk som ikke har blitt sortert til akvariet. Da det trolig også tapes lus i forbindelse med håndteringen av fisk, vil det derfor trolig være en viss underestimering av antall lakselus.
Alle redskaper som brukes til fangst av fisk er selektive. Når det gjelder trål er det spesielt vurdert i hvilken grad trålingen fanger opp et representativt utvalg av fisken, dvs. fisk med representativ størrelse, luseinfestasjon, samt at de ulike elvene i hvert produksjonsområde er representert. Det har vært diskutert at laksesmolt smittet med lus kan ha en avvikende atferd ved at de svekkes, bryter stimstrukturen og dermed fanges lettere i trålen enn fisk som ikke er infestert. Trålunnvikelse baserer seg da på evne til å oppfatte og svømme bort fra trålåpningen. Effekten av lus på laksens kritiske svømmehastighet (et mål på maksimal svømmehastighet og utholdenhet) har vist at infestert laks har noe lavere verdier (Wagner mfl. 2003), og at det er en økende effekt også for de tidligste stadiene av lus med økende infestasjon (Bui mfl. 2016). I ett nyere arbeid er det også vist at metabolsk rate er høyere for luseinfisert fisk, trolig relatert til økte kostnader ved osmoregulering og mobilisering av immunforsvaret (Hvas & Bui 2022). Om de relativt små forskjellene har noen praktisk betydning i forhold til trålunnvikelse vites ikke. På den andre siden kan de samme forholdene øke risikoen for predasjon. Dette kan bety at laks infestert inne i fjordene kan ha en høyere risiko for predasjon, og derfor bli underrepresentert i trålfangstene.
Nylig har Havforskningsinstituttet utviklet en metode for å bestemme hvilken elv den trålfangete fisken kommer fra (Harvey mfl. 2019). Dette gir oss anledning til å vurdere effekten av elveposisjon. Metoden er ikke i stand til å bestemme all fisken, men vi antar at utvalget som kan bestemmes er representativt for elvene.
Trålfangstene tas primært i de ytre delene av fjordene, men fisken fanges uansett alltid før den har fullført vandringen i fjordene og langs kysten. Derfor vil antall lakselus på fisken være underestimater på den totale lusemengden smolten får på seg i løpet av vandringen fra elvemunning til åpent hav.
Bare fisk mindre eller lik 50 g benyttes i analysene (tidligere benyttes 100 g som grense), all merket fisk som vi ikke vet er merket villfisk tas ut, det brukes bare laks, samt at fisk med store skjelltap eller som har dødd i trålen ikke inkluderes i analysene. Dataene publiseres på nmdc.no. For å estimere dødelighet vurderes relativ intensitet, beregnet fra antall lus/fiskevekt.
2.1.2 - Vaktbur
Vaktbur er ca. 1 m3 lukkede merder som henger fra 0,5-1,5 m dybde (Bjørn mfl. 2011). Vaktburene er forankret på bunn, og henger fra blåser rett under overflaten. I burene settes ca. 30 oppdrettet laksesmolt som står ute i omtrent 14 dager før fisken tas ut og lus telles. Normalt settes det ut 18-20 vaktbur i hvert fjordsystem på faste stasjoner hvor de er ment å fange opp smittepresset i systemet. Oppdrettsmolten benyttet er betydelig større enn villsmolt, og smittepresset vurderes derfor ut ifra antall lus per fisk, og ikke antall lus per gram fiskevekt.
Undersøkelser indikerer at det er mest lus i de øverste vannlagene, og siden vill utvandrende postsmolt laks oftest svømmer på 1-3 m dybde fanger burene opp smitte på denne dybden. Hvis området er sterkt influert av ferskvann, noe lakselus vil unngå, vil dette reflekteres i lusepåslagene i vaktburene.
Påslag vil variere med transport av vann gjennom buret da fisken her er låst i tid og rom. I naturen vil fisk bevege seg og kontakten mellom fisk og lus er trolig høyere. Det er gjort undersøkelser av variasjon i påslag av lakselus i burene ved å sette to og to bur sammen like ved siden av hverandre (50-100 m avstand) i indre og ytre deler av Hardangerfjorden i 2010, totalt 13 slike par. I 7 av disse parene var infestasjonen nær 0, mens de øvrige settene viste samme trend, men det var en signifikant forskjell i 4 av settene (Bjørn mfl. 2011). Årsaken til denne forskjellen kan skyldes lokale strømmer, begroing av bur som reduserer gjennomstrømmingen, ulik atferd til fisken i burene eller annet. Burene dekker normalt ikke de midtre delene av fjorden, burene representerer derfor smittepresset relativt nært land.
Resultatene fra vaktburene brukes primært for å sammenligne smittepress i tid og rom, og ikke som et direkte estimat av infestasjonen på villfisk.
2.1.3 - Ruse og garnfiske
Det foretas prøvefiske med ruse og garn i alle produksjonsområdene. Ruse er det foretrukne redskap. Rusene er utstyrt med ledegarn som strekker seg fra land og leder fisken ut til ett fangskammer hvor fisken fanges levende. Fangstkammeret står 30-50 m fra land, med toppen nær overflaten. Rusene sjekkes minst en gang i døgnet. Fiskene løftes over i kar med bedøvelse, fiskens lengde og vekt registreres, og lus i de ulike stadiene telles. Garnfiske supplerer rusene der rusefiske er utfordrende, slik som områder med sterk strøm eller stor tidevannsforskjell. Garnene som benyttes er 25 m lange, 1,5-2,5 m dype monofilament flytegarn med maskevidder fra 17-26 mm, som settes fra land og utover. Garnene røktes mens fisket pågår for å unngå at fisken dør i garnene da mobile lus kan hoppe av om verten dør. Fisk som fanges klippes ut, bedøves, og lus i de ulike stadiene telles umiddelbart. Fiskens lengde og vekt registreres. Alle som utfører lusetellinger har bestått kurs i artsidentifikasjon, stadiumbestemmelse og telling av lakselus. For å estimere effekten av den observerte lusesmitten, benyttes grenseverdiene beskrevet over og i Taranger mfl. (2012). For hver fisk regnes antall lus i alle stadier per gram fiskevekt. Det skilles ikke på sjøørret og sjørøye. Dødelighetsestimatene presenteres som estimat med konfidensintervaller.
Alle redskaper som benyttes for å fange fisk er selektive, og kan påvirke utfallet av de målingene som foretas. Ruse har den fordelen at fisken fanges levende, og at den ikke setter seg fast i garnmasker. Tap av lus er generelt mindre, og sammenligninger indikerer at antall lus på rusefanget sjøørret er høyere enn på garnfanget (Grøn 2016). Vi har valgt å utelukkende benytte tellinger av fisk i felt da sammenligninger indikerer ett betydelig tap av lus, spesielt de minste stadiene, på fisk som er frosset og tas inn til lab for telling av lus. Undersøkelser indikerer at en andel av de minste stadiene av lus på sjøørret og sjørøye er skottelus. Disse kan vanskelig skilles fra lakselus, og selv om en vanligvis får økte tettheter med skottelus på oppdrettsfisk først utover høsten, kan det medføre at spesielt i nordlige fylkene overestimeres antall lakselus. Foreløpige data kan indikere at innslaget av skottelus i de fastsittende stadiene utgjorde opptil 12 % i de nordlige fylkene (Elvik mfl. 2016).
Både garn og ruser er passive redskaper hvor fangsten påvirkes av svømmeaktiviteten til fisken. Lus kan påvirke svømmeaktiviteten til infisert fisk, og infisert fisk holder seg også mer i brakkvann. Infestert fisk har en preferanse for lavere saltholdigheter, og tenderer derfor til enten å returnere til elv, eller forbli i brakkvannsområdet i estuariet. Siden det ikke fiskes i disse områdene, kan luseinfestert fisk bli underestimert i fangstene. I tillegg kan svært lusesmittet fisk dø, som da ikke lenger er tilgjengelig for fangst, som igjen da kan medføre at fangsten underrepresenterer smittepresset. Til sist, luseinfestert fisk som oppsøker ferskvann for å kvitte seg med lus kan vandre ut igjen i fjorden etterpå hvor de kan bli fanget, og derfor maskere det reelle smittepresset fisken har opplevd. Derfor anser vi at luseinfestasjonene målt på fangstet fisk i ruse og garn vil være minimumsverdier.
I tidligere risikovurderinger av oppdrett (Svåsand mfl. 2016), har lakselus på sjøørret mindre enn 150 gram fanget rett etter forventet median smoltutvandring blitt brukt som en indikator på potensielle effekter på utvandrende laksesmolt. I et nylig arbeid ble lakselussmitte på sjøørret og laksesmolt fanget samtidig i trål de siste 10 årene studert for å evaluere hvor god en slik tilnærming er til å forutse mengder lus på laksesmolt, dvs. om det er en korrelasjon mellom lus på sjøørret og laksesmolt. Studiet tilsier at det er en klar sammenheng mellom smittepresset på de to artene, men at det generelt sett er mindre lus på laksesmolt enn på sjøørret (Vollset mfl. 2017). Vi vurderer derfor at lakselus på sjøørret ikke kan brukes til å direkte estimere lakselusindusert dødelighet på laksesmolt, men i tilfeller der det observeres store mengder lus på sjøørret er dette en klar indikasjon på at også utvandrende laksesmolt er mer utsatt for lusesmitte i et gitt område. Laks og sjøørret viser liten forskjell i mottakelighet for lus (Dawson mfl. 1997, Bui mfl. 2017). At det er mer lus på sjøørret enn laks kan derfor skyldes at ørret normalt oppholder seg mer litoralt enn laksen, og at en antar at det er mer lus langs land enn midtfjords, eller at sjøørreten har utvandret tidligere fra elven og derfor opplevd en lengre periode med smittepress.
2.2 - Estimering av smittepress og dødelighet
Effekten på fanget sjøørret er vurdert ut fra antall lus per gram fiskevekt og forventet dødelighet slik det er beskrevet i Taranger mfl. (2012). Estimert dødelighet er beregnet som beskrevet for utvandrende smolt, dvs. at grensene for forventet dødelighet er satt slik at < 0,1 lus/g fiskevekt ikke gir dødelighet, 0,1-0,2 lus/g 20 % dødelighet, 0,2-0,3 lus/g 50% dødelighet og > 0,3 lus/g 100% dødelighet. I årets rapport har vi også sensitivitetstestet toleransegrensene ved å beregne dødelighet med andre grenser (halvert og doblet toleranse), figurene er presentert i vedleggene.
For tråldata sorteres materialet på størrelse (inkluderer bare fisk < 50 g), all merket fisk hvor vi ikke er sikre på at dette er merket villfisk ekskluderes da dette kan være utsatt kultivert fisk eller inngå i forsøk. Tidligere har vi satt grensen ved 100 g, men grunnet usikkerhet knyttet til utsett av kultivert fisk har vi satt ned denne grensen. Dette har ingen reell betydning for de vurderingene som er gjort (jfr. appendiks II til ekspertgrupperapporten fra 2021). Data for sjøørret brukes ikke. Det er presentert to analyser, den ene inkluderer all fisk fanget, og er beregnet ut fra snitt per uke. Den andre er basert på at en andel av fisken er tilordnet elv med genetiske metoder. Estimert dødelighet er her presentert for elver fra de ulike regionene da antall fisk fanget per elv oftest blir lavt.
For ruse og garnfanget skilles det ikke på sjøørret og sjørøye. Det fanges normalt svært få laks i rusene. Analysene er normalt gjort basert på all fisk fanget, og med alle lusestadier inkludert i tellingen av antall lus. Effekten av å bare benytte bare fisk mindre enn 150 g, samt ved å endre fiskens toleransegrenser er vist i vedleggene til denne rapporten.
Risiko med konfidensintervaller er beregnet basert på BCa (bias-corrected and accelerated) bootstrap (Efron & Tibshirani 1993).
Tiden for smoltutvandring er tatt fra appendiks «Utvandringstidspunkt for laksesmolt i Norge ved vurdering av lakselusindusert dødelighet på smolt av villaks», og inneholder to datosett, et modellert basert på en publisert modell for utvandring (her er snittet 2014-2018 benyttet), samt en tabulert slik det er gjort tidligere år (jfr. vedlegg 1 til ekspertgrupperapporten for ytterlige informasjon om disse estimatene). Her er de modellerte datoene benyttet. Smittekartene og utslipp av lakselus det henvises til i denne rapporten er tilgjengelig på www.lakselus.no, samt fra appendiks «Modellert Påvirkning av lakselus på vill laksefisk» til ekspertgrupperapporten for 2022, og gjengis ikke her.
3 - Status i produksjonsområdene
3.1 - PO 1 Svenskegrensen – Jæren
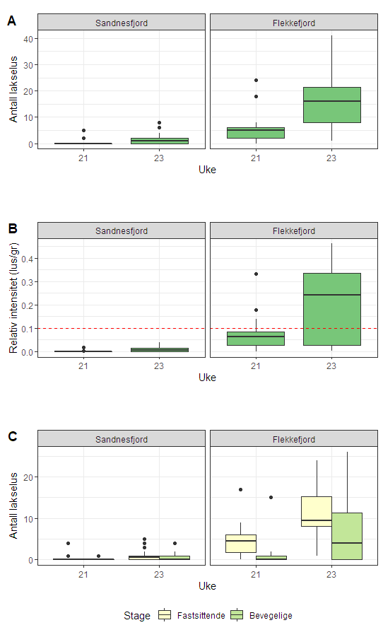
Som tidligere år ble stasjonene i Sandnesfjord og Flekkefjord undersøkt med ruse. Sandnesfjord anses som et kontrollområde uten oppdrett, mens Flekkefjord dekker det eneste området med oppdrettsaktivitet av betydning. I Sandnesfjord viste undersøkelsen i ukene 21 og 23 lite lus på fisken, og det estimeres ingen dødelighet. Dette er tilsvarende som tidligere år i samme periode. I Flekkefjord i uke 21 og 23 hadde en større andel av fiskene lus, og det estimeres hhv. lav og høy dødelighet. Området som helhet anses å ha lav lakselusindusert dødelighet også i 2022. Stasjonene ble overvåket fra ca. 2 uker etter estimert median utvandring, og anses dekkende fra 1-2 uker før median utvandring. Smolten har kort vandringsvei gjennom fjordene i dette området, og derfor kort oppholdstid i områder med forhøyet lusepress. Dette, sammen med de relativt lave utslippene som også er konsentrert i det overvåkede området gjør at vi anser at kategoriseringen har liten usikkerhet. Tre laks fra elvene i dette området ble fanget med trål i Boknafjorden.
I produksjonsområde 1 er to stasjoner undersøkt med ruse (Figur 2). Det er ikke trålt etter utvandrende postsmolt av laks, eller satt ut vaktbur. I PO1 regner en at median smoltutvandring er 11. mai (uke 19).
Ruse og garnfangst
Figur 2. Stasjonene undersøkt med ruse eller garn i PO1 i 2022.
Som tidligere år er stasjonene Sandnesfjord og Flekkefjord undersøkt med ruse og garn. I 2022 ble disse undersøkt ukene 21 og 23, ca. 2 og 4 uker etter estimert smoltutvandring i området. I Sandnesfjord hadde sjøørreten lite lus, mens det som tidligere år var mer lus på sjøørreten ved Flekkefjord (Tabell 1), med prevalens på 95 og 100%, intensitet 6 og 17 lus/fisk i ukene 21 og 23.
Stasjon
Uke
n
Vekt (range)
Prevalens [KI]
Intensitet [KI]
% >0.1 rel.int.
Sandnesfjord
21
18
193 (29-604)
11 [3-33]
3 [2-4]
0 [0-18]
Sandnesfjord
23
22
209 (36-621)
68 [47-84]
3 [2-4]
0 [0-15]
Flekkefjord
21
20
115 (39-1050)
95 [76-100]
6 [4-10]
20 [8-42]
Flekkefjord
23
20
191 (40-1100)
100 [84-100]
17 [13-22]
70 [48-85]
Tabell 1. Infestasjon av lakselus på sjøørret i PO 1. n angir antall undersøkte fisk i hver uke. Prevalens viser hvor stor andel av de undersøkte fiskene som ble funnet med en eller flere lakselus og oppgis i prosent. 95 % konfidensintervall er oppgitt i klammer bak. Intensitet angir gjennomsnittlig antall lakselus på den andelen av materialet som ble funnet med lus med 95 % konfidensintervall i klammer bak. % > 0,1 lus/ g viser andelen av det undersøkte materialet hvor infestasjonen var høyere enn 0,1 lus per gram kroppsvekt. 95 % konfidensintervall er oppgitt i klammer bak.
Fordelingen av lus viser at i Flekkefjord var antall lus på fisken begge ukene dominert av de fastsittende stadiene (dvs. kopepoditter, samt chalimus 1 og 2), som indikerer relativt høyt smittepress på sjøørreten under og etter median smoltutvandring (Figur 3). Utslippene av lakselus i PO1 er lave i både mai og juni 2022, og tettheten av smittsomme kopepoditter er lav, men noe forhøyet i første halvdel av mai (jfr. appendiks “Modellert påvirkning av lakselus på vill laksefisk - Havforskningsinstituttet 2022”. Smittekartene (se www.lakselus.no) i mai viser høyest tetthet fra Flekkefjord og opp mot PO2.
Figur 3. Antall lakselus (A), relativt antall lus (antall lus/gram kroppsvekt) (B) og antall lakselus fordelt på fastsittende og bevegelige stadier (C) fra sjøørret på stasjonene Sandnesfjord (venstre) og Flekkefjord (høyre).
Omregnet til estimert bestandsreduksjon, estimeres liten dødelighet i Sandnesfjord, tilsvarende som observert i tidsperioden 2017-2021 (Figur 4). Estimert dødelighet for Flekkefjord er lav (8 [2-25] %) i uke 21, men øker til høy (49 [32-66] %) i uke 23. Dette er omtrent som observert i 2018, men høyere enn i tidsperioden 2019-2021.
Figur 4. Estimert luseindusert dødelighet på rusefanget sjøørret med 95% konfidensintervaller. Alle beregningene er basert på all fisk fanget og alle lusestadier.
Smittekartene som dekker perioden avdekker ingen større områder med betydelig økte tettheter i forhold til de undersøkte stasjonene noen av årene, men det observeres ett lokalt forhøyet smittepress ved Flekkefjord. Sandnesfjord antas derfor å representere områder uten oppdrett, mens Flekkefjord representerer det eneste området i PO1 med oppdrettsaktivitet. Området med oppdrettsaktivitet er begrenset i omfang, og det antas derfor at det ikke er områder med høyere smittepress enn hva som er observert ved Flekkefjord. Utslippene av lus er lave i hele tidsperioden undersøkt.
Antar en at laks vandrer ut i kyststrømmen når den forlater elvemunningene, vil utvandringsrutene for laks være korte, og oppholdstiden for laks i området med forhøyet lusepress blir kort. Det forventes derfor liten effekt av lakselus på utvandrende laks i dette produksjonsområdet, inkludert området ved Flekkefjord.
Det skal gjøres oppmerksom på at det ble i 2020 fanget noen fisk genetisk bestemt til å være fra elver på Jæren/Dalane (Figgjo, Håelva, Ogna, Bjerkreimselva og Sokndals) under trålingen i Boknafjorden (jfr. PO2). Antallet er relativt lavt (N = 17), men det estimeres moderat dødelighet på denne smolten (område «Kyst» i PO). I 2021 ble bare en fisk fra dette området (samt 3 fra Figgjo) fanget i trål i Boknafjorden, mens i 2022 ble det fanget 4 fra Figgjo, 2 fra Håelva og 1 fra Ogna, for disse ble det estimert moderat dødelighet (jfr. Figur 11).
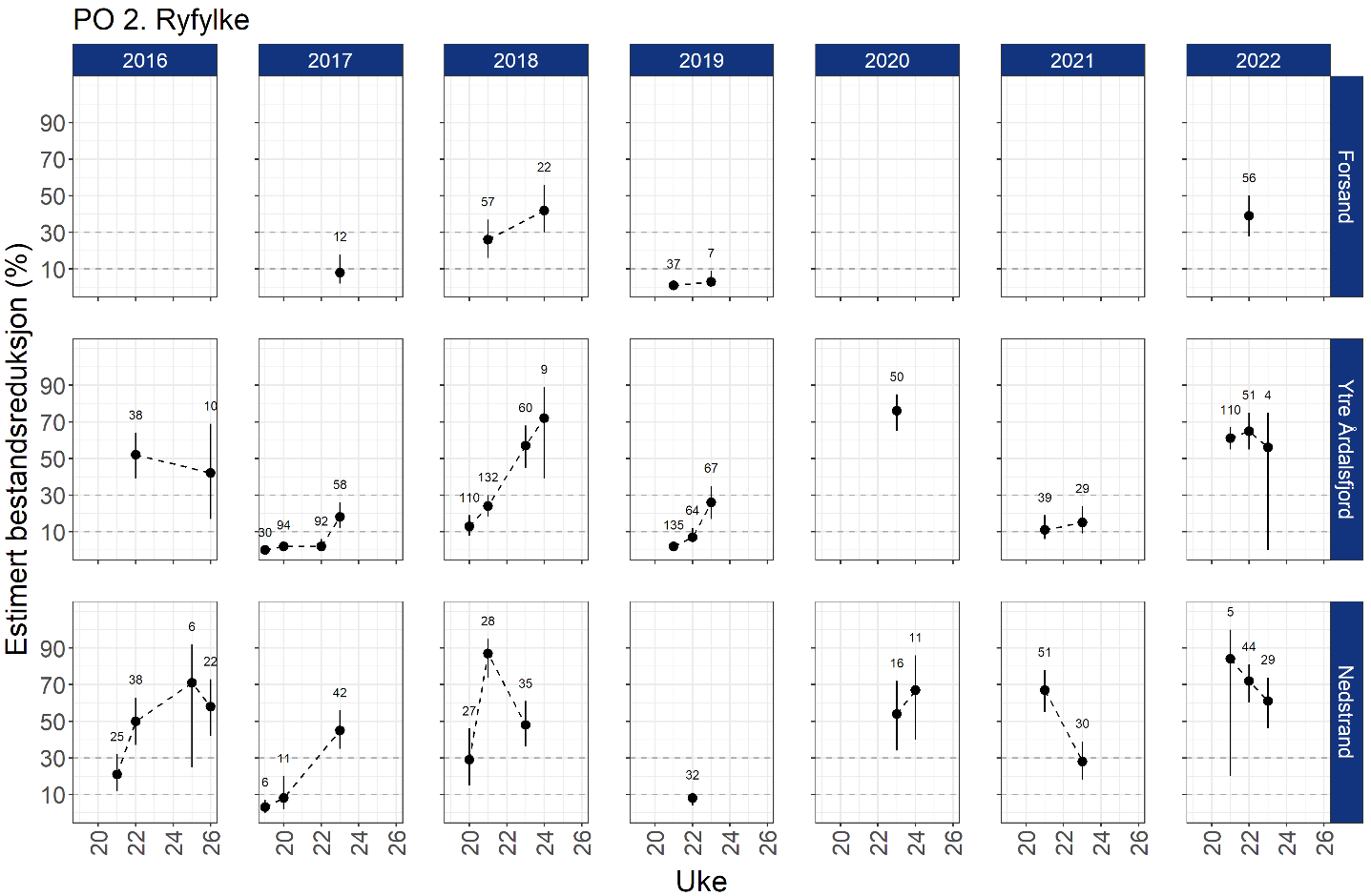
3.2 - PO 2 Ryfylke
Data fra ruse og garnfangst i 2022 indikerer høy dødelighet i Ytre Årdalsfjord ukene 21-23, høy i Nedstrand uke 21-23 og høy i Forsand uke 22. Ruse og garnfangst indikerer derfor en kategorisering i høy lakselusindusert dødelighet. Ruseundersøkelsene er foretatt ca. 2 uker etter median utvandring, og er i tid derfor relativt dekkende for smoltutvandringen. Området med høyt smittepress omfatter store deler av Boknafjorden i produksjonsområdet. Usikkerheten anses derfor som liten.
Tråldata indikerer lav lakselusindusert dødelighet i 2022, men på grensen til moderat og høyere enn i 2021. Tidsmessig estimeres det moderat dødelighet første og siste tråluke, lav de to øvrige. Snittet for området er lav (8 %), og dras ned av stor fangst i uke 19. Det estimeres lav, men på grensen til moderat dødelighet for regionene sør og nord, og lav for elvene på østsiden. Det estimeres høy dødelighet for elvene fra yttersiden, men dette med høy usikkerheten grunnet lavt antall fisk og stor variasjon i lusepåslag. Fangstene er svært dominert av fisk fra elvene på sørsiden. Fangstene har vært gode med en klar topp i uke 19, hvilket indikerer at trålperioden har vært dekkende for utvandringen, selv om det trolig har utvandret noe fisk både før og etter, men samtidig er antall fra både de østlige og nordlige elvene lavt, og lavere enn tidligere år, og estimert dødelighet basert på trålfangstene fra elvene på øst og nordsiden er nær moderat. Usikkerheten vurderes derfor som middels.
Burdata indikerer lav til moderat lakselusindusert dødelighet i 2022. Det var generelt stor dødelighet på fisken i vaktburene i første periode. Problemer under transporten er sannsynligvis årsaken til dette. I andre periode var det lavt antall lus (<2 lus/fisk) på burfisken i nordlige og østlige del, mens i midtre og sørlige del var det flere bur med moderate påslag av lakselus (2-6 lus/fisk). Usikkerheten som helhet vurderes som stor, grunnet stor dødelighet i vaktburene i første periode som anses mest dekkende for smoltutvandringen. Selv om datagrunnlaget er betydelig bedre i andre periode, vil denne perioden hovedsakelig fange opp sent utvandrende fisk eller fisk med lang vandringsvei.
I produksjonsområde 2 er stasjonene Forsand og Ytre Årdalsfjord på sørsiden og Nedstrand på nordsiden undersøkt i 2022 (Figur 5), det er trålt i 4 uker, og benyttet vaktbur i to perioder. Det er gjort tilhørighet til elv analyser på trålfanget laks fra Boknafjorden. I dette området er estimert utvandring 10. mai (uke 19).
Ruse og garnfangst
Figur 5. Stasjonene undersøkt med ruse eller garn i PO2 i 2022
Stasjonen Forsand er undersøkt uke 22, stasjonene Ytre Årdalsfjord og Nedstrand i ukene 21-23 (Tabell 2). Ruseundersøkelsene startet derfor ca. 2 uker etter median utvandring.
For sammenlignbare uker var det minst lus i Forsand, mens de to andre stasjonen var relativt like selv om det var noe mer lus på sjøørreten fanget ved Nedstrand. Prevalens var på alle stasjonene høy alle ukene (Tabell 2), > 89% av fisken hadde lus, oftest hadde all fisken lus. Intensiteten var mellom 19 og 46 lus/fisk, noe høyere i Nedstrand enn i Ytre Årdalsfjord uke 21. Bildet er omtrent som i fjor, men da var det noe mer lus på sørsiden av fjorden.
Stasjon
Uke
n
Vekt (range)
Prevalens [KI]
Intensitet [KI]
% >0.1 rel.int.
Forsand
22
56
225 (34-2184)
89 [79-95]
19 [15-25]
45 [32-58]
Ytre Årdalsfjord
21
110
195 (24-1256)
100 [97-100]
27 [23-30]
70 [61-78]
Ytre Årdalsfjord
22
51
182 (40-1346)
100 [93-100]
40 [32-50]
76 [63-86]
Ytre Årdalsfjord
23
4
333 (46-550)
100 [51-100]
41 [10-64]
75 [30-99]
Nedstrand
21
5
156 (30-482)
100 [57-100]
46 [13-87]
100 [57-100]
Nedstrand
22
44
141 (38-792)
98 [88-100]
46 [36-63]
84 [71-92]
Nedstrand
23
29
126 (40-542)
100 [88-100]
25 [19-32]
76 [58-88]
Tabell 2. Infestasjon av lakselus på sjøørret i PO 2. Se Tabell 1 for forklaring av verdiene. Merk lav N enkelte uker.
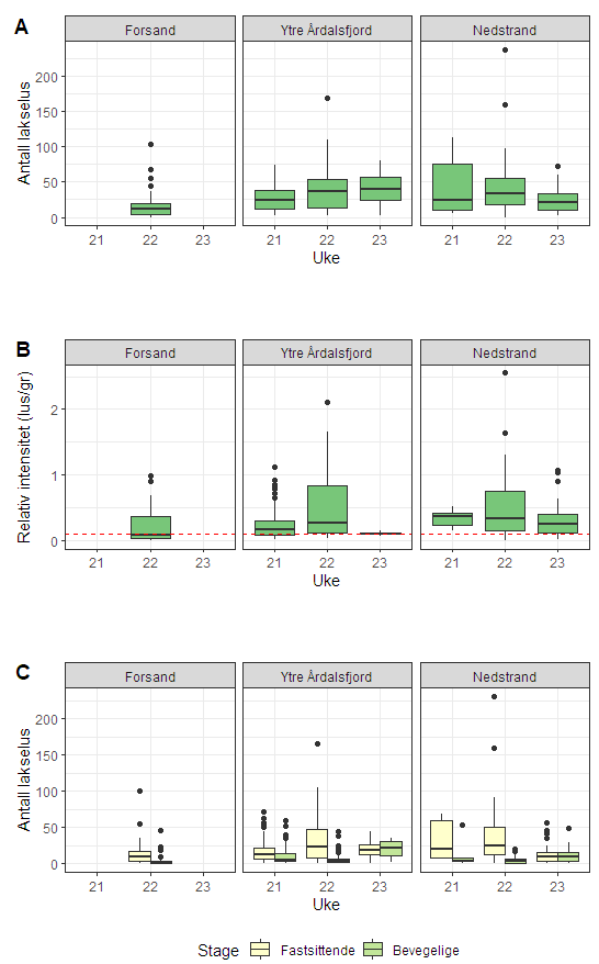
Fordelingen av lus viser at de fastsittende stadiene dominerer i ukene 21 og 22, mens andelen av bevegelige har økt på begge stasjonene i uke 23, samtidig som antall fastsittende er redusert (Figur 6). Dataene tyder derfor på relativt høyt smittepress rundt median tid for smoltutvandringen uke 19, og gitt at det ikke har vært prematur tilbakevandring, noe lavere smittepress i Ytre Årdalsfjord uke 23. Utslippene av lakselus i PO2 er relativt høye, med liten økning i mai før de øker kraftig utover juni. I forhold til 2021 er tettheten lavere frem til første uken i juni (jfr. appendiks “Modellert påvirkning av lakselus på vill laksefisk - Havforskningsinstituttet 2022”. Smittekartene (se www.lakselus.no) i mai viser at i begynnelsen av mai var tettheten høyest i indre og sentrale deler, men omfatter uken derpå også de nordlige delene.
Figur 6. Antall lakselus (A), relativt antall lus (antall lus/gram kroppsvekt) (B) og antall lakselus fordelt på fastsittende og bevegelige stadier (C) fra sjøørret på stasjonene undersøkt i PO2.
Estimert dødelighet i 2022 er over 30% på alle stasjonene alle de undersøkte ukene (Figur 7). I Nedstrand er nivåene omtrent som de to foregående årene. Mens det er betydelig høyere estimert dødelighet på fisken fanget ved Ytre Årdalsfjord i 2022 enn i 2021. Smittekartene ukene 18-22 viser at området med økt tetthet av lakselus omfatter store deler av produksjonsområdet. Tidlig i perioden er tettheten størst i sør, mens den er noe lavere i nordlige og østlige deler. Usikkerheten anses derfor som liten.
Figur 7. Estimert luseindusert dødelighet på rusefanget sjøørret med 95% konfidensintervaller. Alle beregningene er basert på all fisk fanget og alle lusestadier.
Tråldata
Det er i 2022 trålt i Boknafjorden ukene 18-21, 2. - 29. mai. Trålingen har vært inndelt i 3 soner (Figur 8). Fangstene har som i 2021 vært gode, spesielt på sørsiden av fjorden (sone 2).
Figur 8. Områdene trålt etter utvandrende postsmolt laks i Boknafjorden (venstre), samt kumulativ fangst av utvandrende postsmolt av laks i hvert fangstområde (høyre). Høyest antall laks ble fanget uke 19. Innsatsen i område 1 og 2 er identisk (hver med 3 dager/uke), noe lavere i område 3 (1 dag/uke).
Andelen av laks med lus (prevalens) var 53% i begynnelsen av trålingen for deretter falle til i overkant av 40% i de neste to ukene. I siste uke (uke 21) økte prevalens til 68%. Gjennomsnittlig intensitet lå mellom 2 og 6 lus/fisk gjennom hele perioden (Tabell 3).
Uke
n
Vekt (range)
Prevalens [KI]
Intensitet [KI]
% >0.1 rel.int. [KI]
18
64
23 (12-38)
53 [41-65]
6 [4-11]
28 [19-40]
19
266
21 (10-46)
42 [36-48]
4 [2-8]
11 [7-15]
20
70
21 (14-35)
41 [31-53]
2 [1-2]
10 [5-19]
21
38
20 (11-32)
68 [53-81]
4 [3-6]
45 [30-60]
Tabell 3. Infestasjon av lakselus på utvandrende laksesmolt i Boknafjorden. Se Tabell 1 for forklaring av verdiene.
Estimert dødelighet var høyere første og siste tråluke med hhv. 18 [10-28] og 22 [13-34] % enn i de to midterste trålukene hvor dødeligheten var hhv. 5 [3-7] og 2 [1-5] % (Figur 9). Nivåene første og siste uke er høyere enn på samme tid i 2021, men betydelig lavere enn i 2020.
Figur 9. Risiko for lakselusrelatert dødelighet (med konfidensintervaller) som snitt av all trålfanget vill postsmolt av laks fanget hver uke i Boknafjorden. Antall undersøkt hver uke er angitt i figuren.
I snitt for året estimeres dødeligheten til 8 [6-10] % (Figur 10). Dette er i samsvar med de fleste tidligere år, med unntak av 2020.
Figur 10. Risiko som snitt av all fisk fanget beregnet med ulike toleransegrenser for lakselusrelatert dødelighet (med konfidensintervaller) på trålfanget vill postsmolt av laks.
I Boknafjorden er det analysert hvilken elv den fangede fisken kommer fra (hjemelv). En er ikke i stand til å bestemme alle, og derfor er antallet genetisk bestemt til elv lavere enn totalantallet fanget. I Boknafjorden er 227 av 438 (52 %) postsmolt genetisk bestemt til elv i 2022.
Elvene er gruppert i regioner, øst er elvene på sørøstsiden, nord fra Sands- og Vindafjorden, mens sør er fra Høgsfjorden. Kyst inkluderer i 2022 Figgjo (n=4), Håelva (n=2) og Ogna (n=1). Antall fisk fanget fra elvene på øst og nordsiden var mye lavere enn antall fisk fra de sørlige elvene, og lavere enn observert tidligere år.
Ser en på lus på fisk fra de ulike elvene (delt dette inn i regioner da antallet fra elvene oftest er lavt), estimeres det lav dødelighet for alle regionene øst 2 [0-5], nord 7 [0-13] og sør 7 [4-10] % i 2022 (Figur 11).
Figur 11. Risiko for lakselusrelatert dødelighet (med konfidensintervaller) på trålfanget vill postsmolt av laks tilordnet hjemelv. Elver som kan tilordnes er vist i kartet til høyre. Antall er angitt i figuren. Elvene er gruppert i regioner. Kyst inkluderer bare Figgjo 2017-2019, men også andre elver nedover Jæren/Dalane i 2020-2022 (jfr. PO1).
Tråldata indikerer lav lakselusindusert dødelighet i 2022. Samlet sett for alle ukene var estimert dødelighet lav. Det estimeres lav dødelighet for alle regionene. Antall fisk fanget fra elvene på øst og nordsiden var lave, og estimatene har derfor stor usikkerhet. Den høyere estimerte dødeligheten første og siste uken kan tilskrives fisk fra de sørlige elvene, og variasjonen i estimert dødelighet skyldes trolig variasjoner i smittepress.
Antatt midtpunkt for utvandring er 10. mai (uke 19), mens trålingen foregikk fra 2. til 29. mai. I forhold til estimerte utvandringstider indikerer dette at trålperioden har vært dekkende for utvandringen, selv om det trolig har utvandret noe fisk både før og etter. Derimot ser vi at det er svært få fisk fanget fra de østlige og nordlige elvene, inkludert de med størst teoretisk smoltproduksjon i nord (Suldalslågen, Vikedalselven) og øst (Årdalselven).
Vaktbur
Det er gjennomført to serier med vaktbur i Boknafjorden i 2022, 13-31. mai og 31. mai-10. juni. Det mangler data fra burene i ytre deler i den første runden. I denne runden var det med ett unntak lave antall lus (< 2 lus/fisk) på fisken i burene (Figur 12). I runde 2 var det lave antall lus på fisken i de indre og nordøstlige delene, mens det var moderat med lus på fisken i de sentrale delene, samt i ett bur i Høgsfjorden på sørsiden (Figur 12).
Figur 12. Snitt antall lakselus normalisert til 14 dager på laks i vaktburene i Boknafjorden i 2022 i periode 1 og 2, perioden burene stod ute er angitt i figurene. Punktene viser burposisjonene, grønt angir < 2, gult 2-6 og rødt > 6 lus/fisk. Bur hvor antall fisk < 5 er tatt bort.
Burene har stått ute i 2 runder hver på ca. 14 dager, hvor første serie startet midten av mai, noe i etterkant av estimert median utvandring for området, mens andre periode dekker første del av juni. Gitt en utvandring ca. 10. mai, dekker første periode siste del av smoltutvandringen, mens andre periode vil dekke sent utvandrende laks, eller laks som har brukt lang tid på vandringen gjennom fjorden.
3.3 - PO 3 Karmøy til Sotra
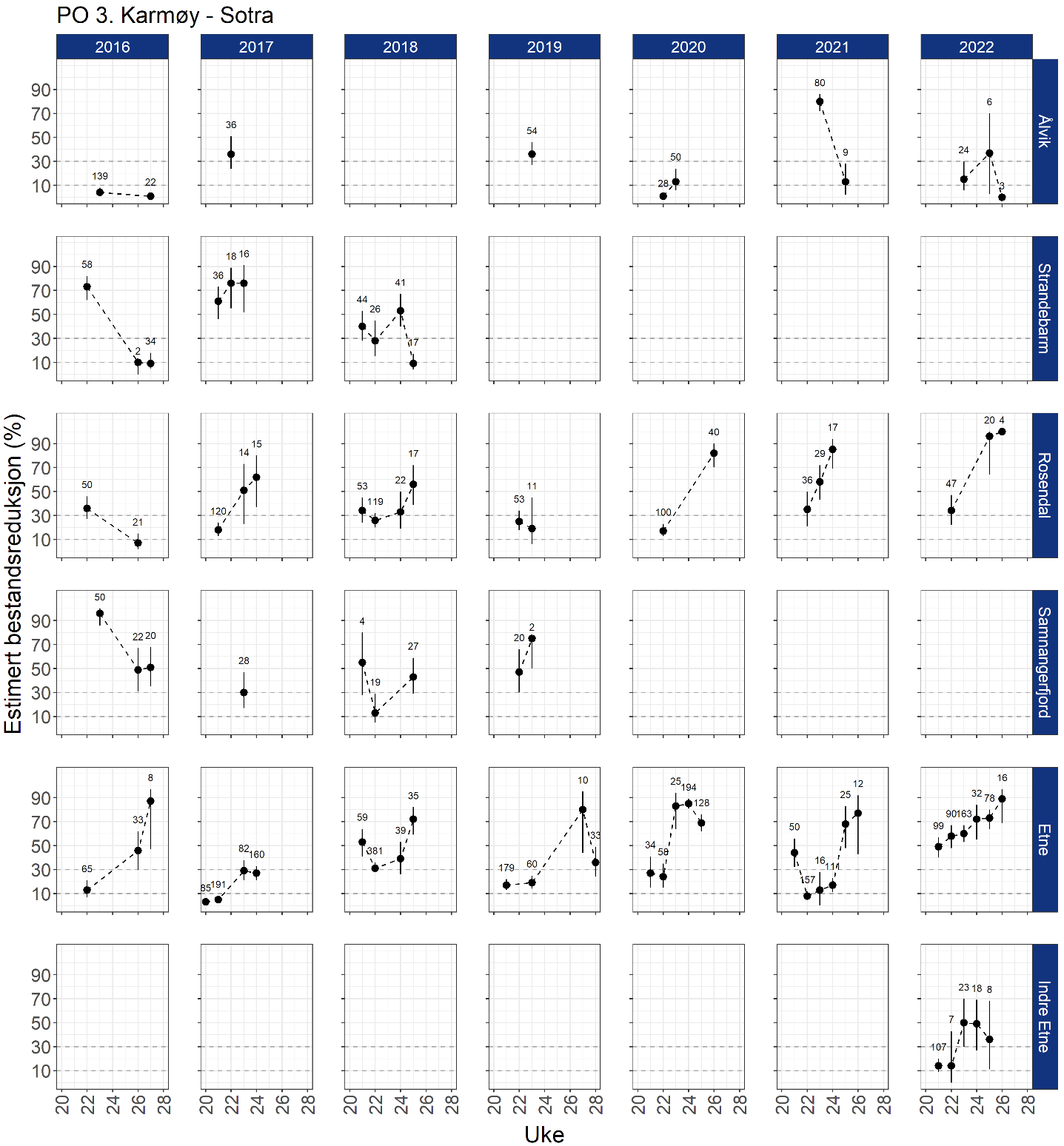
Data fra ruse og garnfangst i 2022 indikerer moderat dødelighet i Ålvik ukene 23 og 25/26, høy i Rosendal ukene 22, 25 og 26, og i Etne uke 21-26. På den indre stasjonen i Etne indikerer data fra rusefangst moderat dødelighet de to første ukene (uke 21-22), men øker deretter til høy de siste tre ukene (uke 23-25). Ruse og garnfangst indikerer derfor en kategorisering i høy lakselusindusert dødelighet. Usikkerheten anses som liten da det er indikeres en høy til moderat dødelighet på stasjoner i hele fjordsystemet gjennom hele den undersøkte perioden. Data fra Bjørnafjorden mangler i 2022, ett område som smittekartene indikerer kan ha høy lakselusindusert dødelighet, men samtidig er det bare to lakseførende elver i dette systemet.
Tråldata indikerer lav lakselusindusert dødelighet for den første uken, moderat for den andre uken og høy for de to siste ukene, og moderat for hele trålperioden. Fangsten var størst i de første to ukene og avtok mot slutten av perioden. Estimert dødelighet for fisk tilordnet hjemelv var moderat for alle elvene fra de indre til de ytre regionene. Tas den innerste trålsonen ut av analysen, øker estimert dødelighet for postsmolt fra de midtre elvene til over 30%. Samlet indikerer derfor tråldata en kategorisering i høy lakselusindusert dødelighet. Usikkerheten vurderes som middels da antall undersøkte fisk er lav i slutten på perioden samt at trålingen sannsynligvis ikke har fanget opp tidlig utvandrende fisk fra de ytre bestandene. Trålingen dekker heller ikke de to bestandene som vandrer ut i Bjørnafjorden i den nordlige delen av produksjonsområdet.
Data fra vaktbur indikerer lav til moderat lakselusindusert dødelighet i 2022. Det var generelt stor dødelighet på fisken i vaktburene i første periode, trolig grunnet problemer under transporten. I første periode var det lavt antall lus (<2 lus/fisk) i alle aktuelle vaktbur. I andre periode var det lavt (<2 lus/fisk) til moderat (2-6 lus/fisk) antall lus på burfisken i Hardangerfjorden. Påslagene var generelt lavere i indre del av fjordsystemet og i de sørligste sidefjordene. Fra midtre til ytre del av hovedløpet til Hardangerfjorden var det moderat. Usikkerheten vurderes som stor da burene i første periode som er mest relevant for smoltutvandringen i dette området ikke dekker de ytre delene, dette selv om tråldata indikerer lavt smittepress i denne perioden.
I 2022 er fire stasjoner i Hardangerfjorden undersøkt (Figur 13). Det er satt ut vaktbur i 2 perioder med ca. 2 ukers varighet, og det er trålt i 4 sammenhengende uker etter utvandrende postsmolt av laks. Det er gjort tilhørighet til elv analyser på trålfanget laks fra Hardangerfjorden. I dette området regner en at 50% av fisken har utvandret i uke 19 (13. mai).
Ruse og garnfangst
Figur 13. Stasjonene undersøkt med ruse eller garn i PO3 i 2022.
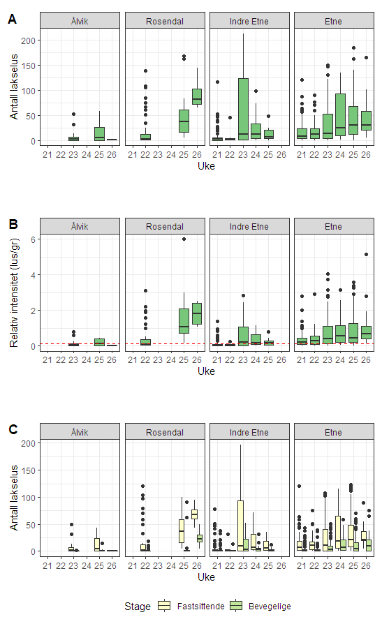
Stasjonen i Ålvik er undersøkt uke 23 og 25/26, Rosendal ukene 22, 25 og 26, mens Etne er undersøkt sammenhengende ukene 21-26. I tillegg er det undersøkt en stasjon nærmere Etne (Indre Etne) ukene 21-25 (Tabell 4). Ruseundersøkelsene startet ca. 2 uker etter median utvandring, og er i tid derfor relativt dekkende fra 1-2 uker før median smoltutvandring.
I Ålvik har over 50% av fisken lus, med intensitet i uke 23 på 10 lus/fisk, som øker til 33 i uke 25 (uke 26 har svært lav N). I Rosendal øker prevalens fra 79 til 100% fra uke 22 til uke 25, mens intensiteten øker fra 23 til 49 lus/fisk (uke 26 har lav N). I den innerste stasjonen i Etnefjord (Indre Etne) er prevalens 71-74 % de tre første ukene, deretter 88-94 % de påfølgende to ukene. Intensitet øker fra 9 til 81 lus/fisk ukene 21-23, men faller deretter igjen de to neste ukene til 16 lus/fisk i uke 25. I stasjonen utenfor (Etne) er intensiteten jevnt over høyere (89-100 %), mens intensiteten øker fra uke 21 til uke 24, og ligger på 46-49 lus/fisk i de tre siste ukene.
Stasjon
Uke
n
Vekt (range)
Prevalens [KI]
Intensitet [KI]
% >0.1 rel.int.
Ålvik
23
24
88 (22-908)
62 [43-79]
10 [5-21]
33 [18-53]
Ålvik
25
6
83 (40-154)
50 [19-81]
33 [10-49]
50 [19-81]
Ålvik
26
3
162 (50-370)
67 [21-98]
1 [1-2]
0 [0-56]
Rosendal
22
47
39 (14-304)
79 [65-88]
23 [13-38]
40 [28-55]
Rosendal
25
20
34 (20-72)
100 [84-100]
49 [34-75]
100 [84-100]
Rosendal
26
4
62 (26-114)
100 [51-100]
94 [70-131]
100 [51-100]
Indre Etne
21
107
56 (20-320)
72 [63-80]
9 [6-15]
23 [16-32]
Indre Etne
22
7
123 (22-458)
71 [36-92]
11 [2-36]
14 [1-51]
Indre Etne
23
23
71 (23-261)
74 [54-87]
81 [50-114]
61 [41-78]
Indre Etne
24
18
58 (28-112)
94 [74-100]
27 [16-44]
67 [44-84]
Indre Etne
25
8
54 (24-84)
88 [53-99]
16 [7-31]
62 [31-86]
Etne
21
99
70 (20-654)
98 [93-99]
18 [14-23]
67 [57-75]
Etne
22
90
57 (18-916)
89 [81-94]
19 [15-23]
73 [63-81]
Etne
23
163
43 (12-196)
93 [88-96]
35 [30-42]
74 [67-80]
Etne
24
32
58 (22-166)
100 [89-100]
49 [34-66]
81 [65-91]
Etne
25
78
86 (28-1248)
97 [91-99]
46 [38-57]
87 [78-93]
Etne
26
16
49 (32-70)
100 [81-100]
47 [32-74]
100 [81-100]
Tabell 4. Infestasjon av lakselus på sjøørret i PO 3. Se Tabell 1 for forklaring av verdiene.
Ser en på stadiefordelingen av lus utgjør de fastsittende stadiene hovedtyngden av lus første uken stasjonen er undersøkt, og dominerer også senere, selv om en da også ser en økning i antall bevegelige lus (Figur 14). Dette indikerer at det har vært ett økende smittepress i Ålvik og Rosendal, mens for Indre Etne er det en økning fram til ca. uke 23, deretter forblir smittepresset på samme nivå. For Etne er det en svak økning i smittepresset i tidsperioden undersøkt. Utslippene av lakselus i PO1 er relativt stabile i første halvdel av mai, men øker kraftig i siste uken av mai. Smittekartene (se www.lakselus.no) sentrert rundt dato for median smoltutvandring viser høyest tetthet i midtre deler.
Figur 14. Antall lakselus (A), relativt antall lus (antall lus/gram kroppsvekt) (B) og antall lakselus fordelt på fastsittende og bevegelige stadier (C) fra sjøørret på stasjonene i Hardangerfjorden.
I 2022 ble Ålvik ble undersøkt ukene 22 og 25, men fangstene de to siste ukene var lave. De to første ukene estimeres det høy dødelighet med 77 [67-85] og 89 [71-97] % (Figur 15). Rosendal ble undersøkt ukene 22-24, og det estimeres høy dødelighet alle ukene, fra 35 [21-51], 58 [43-72] og 85 [69-94] % dødelighet. Etne ble undersøkt ukene 21-26, hvor det estimeres høy dødelighet første uken, deretter lav i uke 22, som øker til moderat ukene 23-24 og høy ukene 25-26 % dødelighet.
Figur 15. Estimert luseindusert dødelighet på rusefanget sjøørret med 95% konfidensintervaller. Alle beregningene er basert på all fisk fanget og alle lusestadier.
Ruse og garnundersøkelsene er tatt fra uke 23 i Ålvik, 22 i Rosendal eller uke 21 (Etne og Indre Etne), ca. 2-4 uker etter median utvandring for området. Stasjonene anses dekkende i tid og rom for å fange opp smittepresset for utvandrende postsmolt av laks i midtre og yre deler (Ålvik i indre deler er noe sen). Smittekartene sentrert rundt estimert median tid for smoltutvandring indikerer høyest smittepress i midtre deler av Hardangerfjorden og i Bjørnafjorden, med lavere smittepress i indre og ytre deler av Hardangerfjorden. Da det er en betydelig økning av lus utover overvåkningsperioden, vil laks som vandrer ut sent, eller ankommer sent i de ytre delene på grunn av lang vandringsrute, trolig oppleve et høyt smittepress. Det var ingen stasjoner i Bjørnafjorden, men smittepresskartene indikerer like høyt smittepress i utvandringsruten for fisk fra de to lakseførende elvene i dette området som i Hardangerfjorden.
Tråldata
I 2022 ble det trålt i perioden 10. mai - 4. juni. Fangstene av utvandrende postsmolt laks var gode alle de 4 ukene 19-22 det ble trålt, høyest antall ble fanget uke 20, dernest uke 19, fangstene var betydelig lavere siste uken (22) hvor det bare ble fanget 16 laks (Figur 16). Trålingen startet noe sent, 10. mai, i forhold til estimert median utvandring for området (13. mai), hvilket kan indikere at noe fisk, spesielt fra de ytre elvene med kort avstand fra elv til trålområdet, kan ha gått ut før trålingen ble igangsatt. Hovedtyngden av laksen ble tatt i sone 1 (Figur 16).
Figur 16. Områdene trålt etter utvandrende postsmolt laks i Hardangerfjorden, høyest innsats i område 1 (5 dager/uke), lavere i område 2 og 3 (1 dag/uke), samt kumulativ fangst av utvandrende postsmolt av laks i hvert fangstområde.
Andelen av laks med lus (prevalens) var på 30 % i begynnelsen av trålingen for deretter å øke til 100 % siste uken (Tabell 5). Gjennomsnittlig intensitet lå mellom 3 og 15 lus/fisk, med høyest intensitet uke 21.
Uke
n
Vekt (range)
Prevalens [KI]
Intensitet [KI]
% >0.1 rel.int. [KI]
19
194
20 (10-45)
30 [24-37]
3 [2-9]
8 [5-12]
20
329
22 (10-44)
69 [64-74]
4 [3-4]
40 [35-46]
21
115
24 (12-40)
94 [88-97]
15 [13-17]
86 [79-91]
22
16
24 (12-43)
100 [81-100]
9 [6-14]
94 [72-100]
Tabell 5. Infestasjon av lakselus på utvandrende laksesmolt i Hardangerfjorden. Se Tabell 1 for forklaring av verdiene.
Estimert dødelighet på utvandrende postsmolt av laks var lav uke 19, moderat uke 20 og høy de to siste ukene (Figur 17). Se forklaring på dette under omtalen av de enkelte elvene nedenfor. I Hardangerfjorden er det fra 2016 oftest observert en økning i estimert dødelighet utover perioden det tråles, men oftest er høyest antall fisk fanget observert i eller rundt uke 20, tilsvarende som observert i 2022.
Figur 17. Risiko for lakselusrelatert dødelighet (med konfidensintervaller) som snitt av all trålfanget vill postsmolt av laks fanget hver uke i Hardangerfjorden. Antall undersøkt hver uke er angitt i figuren.
Regnet som snitt av all fisken fanget estimeres moderat lakselusindusert dødelighet i 2022, 24 [22-27] % (Figur 18). Estimert dødelighet i 2022 er lavere enn 2020-2021.
Figur 18. Risiko som snitt av all fisk fanget beregnet med ulike toleransegrenser for lakselusrelatert dødelighet (med konfidensintervaller) på trålfanget vill postsmolt av laks.
Inndeles trålfangsten opp i forhold til hjemelv, og disse blir kategorisert som indre (Steinsdal – Opo), midtre (Uskedal – Ænes) og ytre (Etne – Ådland) elver. Av de 654 postsmolt av laks fanget i trålen, kan 60 % (n=390) bestemmes til hjemelv.
I 2022 domineres fangstene av laks fra Etne (n=198), dernest Steinsdal (n=57). Antall laks bestemt til Uskedal er lavt (n= 5) i 2022. Til forskjell fra tidligere år utgjøres fangstene av en høyere andel av fisk fra de indre elvene (28%), midtre utgjør 11%, og ytre 57%. De genetiske analysene indikerer også at 15 fisk fra Oselven er også tatt på trålen i Hardangerfjorden i 2022. Fangst per uke er relativt like for alle regionene og følger fangstmønsteret for all fisken med høyest fangst uke 20, dernest ukene 19, 21 og 22. Dette gjelder også fisk fra de indre elvene, hvor en tidligere oftest har sett at fangstene uke 21 er høyere enn uke 19.
Estimert dødelighet som snitt av elvene er moderat for alle regionene (Figur 19). Ett noe avvikende mønster fra tidligere år er at estimert dødelighet for fisk fra elvene i de indre delene er lavere enn estimert for de to regionene utenfor selv om disse da har en lengre vandringsvei. Dette skyldes delvis fangstmønsteret. Tas fisk fanget i sone 3 (den innerste trålsonen) ut av analysene, estimeres moderat dødelighet for elver i de indre og ytre deler, mens estimatene for de midtre elvene øker til over 30% (data ikke vist).
Figur 19. Risiko for lakselusrelatert dødelighet (med konfidensintervaller) på trålfanget vill postsmolt av laks tilordnet hjemelv. Elver som kan tilordnes er vist i kartet til høyre. Antall er angitt i figuren. Elvene er gruppert i regioner.
Vaktbur
Vaktburene var i 2022 satt ut i Hardangerfjorden i 2 perioder, 12. - 26. mai og 26. mai – 9. juni (Figur 20). Vaktburene plassert i Hardangerfjorden viste at i 2022 var det generelt lavt smittepress i de midtre og indre delene i den første runden (merk at det mangler bur i de ytre delene i denne runden). I den andre runder var det generelt ett høyere smittepress, og dette inkluderer de midtre delene av fjorden.
Figur 20. Snitt antall lakselus normalisert til 14 dager på vaktburene i Hardangerfjorden 2022. Punktene viser burposisjonene, grønt angir < 2, gult 2-6 og rødt > 6 lus/fisk.
Gitt en median utvandring av laks i uke 19 (13. mai) dekker første runden fra median dato for utvandring og de to neste ukene. Den andre perioden dekker bare sent utvandrende laks, og laks som bruker lang tid på vandringen gjennom fjorden.
3.4 - PO 4 Nordhordland til Stadt
Data fra ruse og garnfangst i 2022 indikerer moderat til høy dødelighet i Nordhordland. På stasjonen Herøyosen var risiko for dødelighet lav/moderat i uke 21, høy i ukene 22-26. I Herdlafjorden indikerer data fra rusefangst høy dødelighet ukene 19-22, moderat uke 24 og høy ukene 25 og 26. I Sognefjorden estimeres moderat dødelighet ved Balestrand og høy dødelighet ved Bjordal i uke 21 og 24. I ytre Nordfjord indikerer data fra ruse/garn høy dødelighet uke 22, og lav til moderat ukene 24-25. Ruse og garnfangst indikerer derfor en kategorisering i høy lakselusindusert dødelighet. Usikkerheten anses som moderat da det i perioder er lavt antall undersøkte individer samt at områdene mellom Sognefjorden og Nordfjord ikke er undersøkt.
Tråldata indikerer høy dødelighet på laksen de to første ukene, deretter moderat i tredje uke og høy i siste uke. Estimert dødelighet for fisk tilordnet hjemelv var høy for alle elvene fra de indre og midtre regionene i Sognefjorden. Data fra trål indikerer derfor en kategorisering av området i høy lakselusindusert dødelighet. Usikkerheten er vurdert som middels da fangstene var lave i enkelte uker samt at trålingen bare dekker Sognefjorden. Bra fangst i tredje uke kan indikere at trålperioden er dekkende for utvandringen av fisk i Sognefjorden, og bør dekke opp fisk fra de indre elvene som har vandret fra ca. 1. mai. Derimot dekker ikke trålingen de viktige elvene i Nordhordland, Sunn- eller Nordfjord.
Data fra vaktbur indikerer høy lakselusindusert dødelighet i 2022. Vaktburene i Sognefjorden viste at det generelt var høyt smittepress i de midtre og indre delene i perioden rett etter median smoltutvandring for området. I den andre runder var det generelt moderat smittepress, og lavt i de ytre delene, men det observeres høyt smittepress på ett av de innerste burene. Gitt en median utvandring av laks i uke 19 (14. mai) dekker første runden fra median dato for utvandring og de to neste ukene, samt fisk som har vandret tidligere og har lang vandringsrute. Den andre perioden dekker bare sent utvandrende laks, men også laks som bruker lang tid på vandringen gjennom denne lange fjorden. Usikkerheten vurderes som middels, da selv om dataene fra Sognefjorden er gode og trolig dekker en stor del av utvandringen, med unntak av de ytterste elvene, mangler data fra de øvrige delene av produksjonsområdet.
I produksjonsområde 4 er i 2022 Herdlafjorden og Austefjorden (Herøyosen) undersøkt i Nordhordland, Balestrand og Bjordal i Sognefjorden og Maurstadvika (Måløy) i Nordfjord (Figur 21), tilsvarende som i 2020-2021. Det er trålt etter utvandrende postsmolt laks i Sognefjorden i 4 sammenhengende uker, og satt ut vaktbur i to runder. Trålfangstene for Sognefjorden er analysert for hjemelv. I dette området regner en at 50% av fisken har utvandret i uke 19 (14. mai).
Figur 21. Stasjonene undersøkt med ruse eller garn i PO4 i 2022. Merk at det er benyttet lakseruse ved Herdla.
Ruse og garnfangst
I Nordhordland er stasjonen Herøyosen undersøkt sammenhengende ukene 21-26, Herdlafjorden ukene 19-26 (utenom uke 22). I Herøysosen økte prevalens fra 66 % uke 21 (Tabell 6), til 100 % alle øvrige uker, mens i Herdlafjorden hadde nær all (96-100 %) ørreten lus alle de undersøkte ukene. Intensiteten økte fra 9 til 126 lus/fisk i Herøyosen ukene 21-24, var 114 uken derpå og 40 lus/fisk siste uken. I Herdlafjorden var intensiteten høyest med 60 lus/fisk første uken (19), og 48 og 51 lus/fisk de to neste ukene, og noe lavere de siste undersøkte ukene.
I Sognefjorden økte andelen av fisk med lus i Balestrand fra 33 til 57% i ukene 21 og 24 (Tabell 6), mens intensiteten økte fra 17 til 40 lus/fisk. Lengre ute i fjorden, i Bjordal, hadde nær all fisken lus i ukene 21 og 24, samtidig som intensiteten var høy, 41 og 34 lus/fisk de samme ukene.
Nordfjord (Måløy) ble i 2022 undersøkt ukene 22, 24 og 25. Høyest smittetrykk var i uke 22, med 100% prevalens og intensitet på 93 lus/fisk (Tabell 6). I uke 24 var både prevalens og intensitet relativt lav, men begge økte igjen til uke 25.
Ruseundersøkelsene startet ca. 2 uker etter median utvandring, i Herdlafjorden samme uken (uke 19), og er i tid derfor relativt dekkende fra 1-2 uker før median smoltutvandring.
Stasjon
Uke
n
Vekt (range)
Prevalens [KI]
Intensitet [KI]
% >0.1 rel.int.
Herøyosen
21
98
125 (29-561)
66 [57-75]
9 [7-12]
12 [7-20]
Herøyosen
22
45
183 (29-1480)
100 [92-100]
25 [20-42]
67 [52-79]
Herøyosen
23
146
123 (25-878)
100 [97-100]
63 [57-69]
96 [91-98]
Herøyosen
24
124
109 (18-1474)
100 [97-100]
126 [113-141]
96 [91-98]
Herøyosen
25
45
180 (22-1020)
100 [92-100]
114 [91-141]
87 [74-94]
Herøyosen
26
48
115 (31-534)
100 [93-100]
40 [33-57]
79 [66-88]
Herdlafjorden
19
17
498 (175-2200)
100 [82-100]
60 [42-85]
59 [36-78]
Herdlafjorden
20
37
364 (122-930)
100 [91-100]
48 [35-70]
51 [36-67]
Herdlafjorden
21
12
511 (99-1104)
100 [76-100]
51 [28-91]
17 [5-45]
Herdlafjorden
23
25
318 (16-744)
96 [80-100]
26 [18-38]
24 [11-43]
Herdlafjorden
24
23
486 (40-1430)
100 [86-100]
22 [15-32]
13 [5-32]
Herdlafjorden
25
12
199 (47-612)
100 [76-100]
26 [17-45]
67 [39-86]
Herdlafjorden
26
5
701 (293-1430)
100 [57-100]
37 [16-55]
40 [12-77]
Balestrand
21
6
46 (38-56)
33 [10-70]
17 [2-18]
17 [1-56]
Balestrand
24
28
157 (18-1662)
57 [39-73]
40 [22-68]
36 [21-54]
Bjordal
21
19
179 (34-896)
100 [83-100]
41 [26-81]
74 [51-88]
Bjordal
24
53
157 (24-1016)
98 [90-100]
34 [26-54]
75 [62-85]
Måløy
22
13
236 (23-780)
100 [77-100]
93 [58-163]
85 [58-96]
Måløy
24
14
113 (32-260)
57 [33-79]
3 [2-5]
7 [0-31]
Måløy
25
69
181 (27-1402)
86 [75-92]
25 [15-56]
39 [28-51]
Tabell 6. Infestasjon av lakselus på sjøørret i PO 4. Se Tabell 1 for forklaring av verdiene. Merk lav N enkelte uker.
Ser en på stadiefordelingen av lus utgjør de fastsittende stadiene hovedtyngden av lus første uken stasjonen er undersøkt, og dominerer oftest også senere, selv om en da også ser en økning i antall bevegelige lus (Figur 22).
Figur 22. Antall lakselus (A), relativt antall lus (antall lus/gram kroppsvekt) (B) og antall lakselus fordelt på fastsittende og bevegelige stadier (C) fra sjøørret på stasjonene i PO4.
I Nordhordland ble det estimert høy dødelighet på sjøørret på begge stasjonene alle ukene undersøkt, med unntak av første uken i Herøyosen hvor det estimeres lav (9 [6-14] %) dødelighet (Figur 23). På den innerste stasjonen i Sognefjorden (Balestrand) ble det estimert moderat dødelighet i begge de undersøkte ukene, mens på den ytterste stasjonen (Bjordal) ble det estimert høy dødelighet begge ukene. I Nordfjord (Måløy) ble det estimert høy dødelighet den første uken, deretter lav og moderat hhv. ukene 24 og 25.
Figur 23. Estimert luseindusert dødelighet på rusefanget sjøørret med 95% konfidensintervaller. Alle beregningene er basert på all fisk fanget og alle lusestadier.
Tråldata
Det ble i 2022 trålt etter postsmolt av laks i Sognefjorden over 4 uker fra 10. mai til 3. juni, ukene 19-22. Størst fangst var i uke 21 (n=74), noe lavere de øvrige ukene (n mellom 28 og 39) (Figur 24). Fangsten var derfor noe bedre enn i 2021. Det ble bare trålt i område 1 i 2022.
Figur 24. Områdene trålt etter utvandrende postsmolt laks i Sognefjorden, samt kumulativ fangst av utvandrende postsmolt av laks. I 2022 ble det bare trålt i område 1.
Andelen av laks med lus (prevalens) var på over 90 % i begynnelsen av trålingen for deretter å falle til 72 % uke 21, men økte deretter til 100% siste uken (Tabell 7). Gjennomsnittlig intensitet lå mellom 25 og 18 lus/fisk de to første ukene, og 4-8 lus/fisk de to siste ukene.
Uke
n
Vekt (range)
Prevalens [KI]
Intensitet [KI]
% >0.1 rel.int. [KI]
19
39
22 (14-38)
92 [80-97]
25 [19-32]
85 [70-93]
20
28
20 (14-32)
96 [82-100]
18 [12-28]
89 [73-96]
21
74
21 (12-40)
72 [60-81]
4 [3-6]
35 [25-46]
22
36
22 (12-33)
100 [90-100]
8 [6-10]
92 [78-97]
Tabell 7. Infestasjon av lakselus på utvandrende laksesmolt i Sognefjorden. Se Tabell 1 for forklaring av verdiene.
I de to første samt siste uken (19-20, 22) estimeres det høy dødelighet på laksen, moderat i uke 21 (Figur 25). Estimatene er noe lavere enn i 2020, og uken med størst fangst er også uken med moderat estimert dødelighet. Første trålhal ble som i 2021 gjort 10. mai, men avsluttet 3. juni (siste var 13. juni i 2021). Det betyr at trålingen startet omtrent 4 dager før estimert median utvandring for området (uke 19, 14. mai). Siden fisk fra de store indre elvene i tillegg trenger ca. 10 dager på vandringen fra elv til trålområde, betyr det at trålingen bør fange opp fisk som har vandret fra ca. 1. mai. Vi anser derfor at trålperioden er dekkende for utvandringen. Da trålingen er avsluttet 3. juni, vil utvandring frem til ca. 24. mai trolig dekkes av trålperioden.
Figur 25. Risiko for lakselusrelatert dødelighet (med konfidensintervaller) som snitt av all trålfanget vill postsmolt av laks fanget hver uke i Sognefjorden. Antall undersøkt hver uke er angitt i figuren.
Ser en på snittet for hele trålperioden estimeres det høy (49 [42-55] %) dødelighet, som er noe lavere enn i 2017, 2019 og 2021, men høyere enn i 2018 og 2020 (Figur 26).
Figur 26. Risiko som snitt av all fisk fanget beregnet med ulike toleransegrenser for lakselusrelatert dødelighet (med konfidensintervaller) på trålfanget vill postsmolt av laks.
Det er gjennomført tilhørighet til elv analyser for Sognefjorden også i 2022. I 2022 har en bestemt 129 av totalt 177 laks (73 %) til hjemelv. Elvene er delt inn i regionene indre (fra Vikja og innover) og midtre (Ytredals og Dale).
Størst fangst fås av fisk fra Lærdal (n = 53), etterfulgt av Nærøy (n=26), Ytredals (n=21) og Dale (n=20). Forholdet er derfor omtrent slik det er observert de fleste tidligere år (med unntak av 2021 hvor det ble fanget lite fisk fra Lærdal).
Det estimeres høy dødelighet på trålfanget smolt fra både de indre og midtre elvene i 2022 (Figur 27), tilsvarende som i 2021.
Figur 27. Risiko for lakselusrelatert dødelighet (med konfidensintervaller) på trålfanget vill postsmolt av laks tilordnet hjemelv. Antall er angitt i figuren. Elvene er gruppert i regioner.
Vaktbur
Vaktburene var i 2022 satt ut i Sognefjorden i 2 perioder, 15. - 28. mai og 28. mai – 14. juni (Figur 28). Vaktburene plassert i Sognefjorden viste at i 2022 var det generelt høyt smittepress i de midtre og indre delene i den første runden. I den andre runder var det generelt moderat smittepress, og lavt i de ytre delene, men det observeres høyt smittepress på ett av de innerste burene.
Figur 28. Snitt antall lakselus normalisert til 14 dager på vaktburene i Sognefjorden 2022. Punktene viser burposisjonene, grønt angir < 2, gult 2-6 og rødt > 6 lus/fisk.
Gitt en median utvandring av laks i uke 19 (14. mai) dekker første runden fra median dato for utvandring og de to neste ukene. Den andre perioden dekker bare sent utvandrende laks, og laks som bruker lang tid på vandringen gjennom fjorden.
3.5 - PO 5 Stadt til Hustadvika
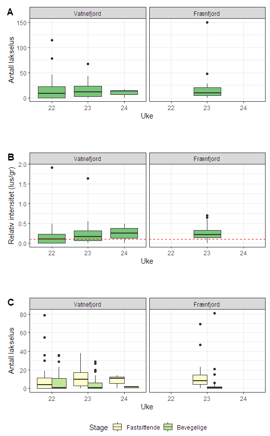
Ruse og garnfangst av sjøørret i 2022 indikerte høyt smittepress i ytre deler av Romsdalsfjorden, både på den sørlige delen (Vatnefjorden uke 22-24) og i den nordlige delen (Frænfjorden uke 23). Data fra ruse og garnfangst støtter derfor en kategorisering i høy lakselusindusert dødelighet. Siden median utvandring i dette området er estimert til uke 20, er tidsrommet for undersøkelsene i Vatnefjorden dekkende for utvandringen, mens Frænfjorden er undersøkt noe sent, og er dekkende bare for sent utvandrende fisk. Usikkerheten vurderes som stor, basert på begrenset antall stasjoner Romsdalsfjorden med til dels lav fangst. I tillegg er det ikke undersøkt stasjoner i Storfjordsystemet lenger sør i produksjonsområdet.
Tråldata fra Romsdalsfjorden støtter en kategorisering i lav lakselusindusert dødelighet. Når elvene ble inndelt i regioner, er estimert dødelighet for elvene fra nordsiden moderat, mens det i øst og sør er lavt. Usikkerheten vurderes som stor da antall fanget fisk var lav gjennom hele perioden med størst fangst i løpet av den første uken. I tillegg tråles det ikke i Storfjorden hvor smittekartene indikerer høyere smittepress enn i selve Romsdalsfjorden, samt at fisken har ett stykke vandring etter trålingen før den er ute ved kysten.
I produksjonsområde 5 er Vatne- og Frænfjorden i Romsdalsfjorden undersøkt med ruse og garn (Figur 29). Det er trålt etter utvandrende postsmolt laks, og det er gjort genetiske analyser av tilhørighet til elv. Det er ikke benyttet vaktbur. I dette området regner en at 50% av fisken har utvandret i uke 20 (16. mai).
Ruse og garnfangst
Figur 29. Stasjonene undersøkt med ruse eller garn i PO5 i 2022.
Vatnefjorden er undersøkt ukene 22-24 (men merk svært lav N i uke 24), og Frænfjorden i uke 23. I 2022 var prevalens på ørreten fanget i Vatnefjord mellom 67 og 89%, høyest prevalens uke 23. Ruseundersøkelsene i Vatnefjord startet ca. 2 uker etter median utvandring for produksjonsområdet, og er i tid derfor relativt dekkende fra 1-2 uker før median smoltutvandring, mens undersøkelsen i Frænfjorden startet en uke senere og er dekkende for påslaget fra omtrent median dato for utvandring.
Stasjon
Uke
n
Vekt (range)
Prevalens [KI]
Intensitet [KI]
% >0.1 rel.int.
Vatnefjord
22
31
133 (22-933)
71 [53-84]
25 [16-42]
50 [33-67]
Vatnefjord
23
36
88 (10-771)
89 [75-96]
17 [12-23]
64 [48-78]
Vatnefjord
24
3
38 (31-51)
67 [21-98]
15 [13-14]
67 [21-98]
Frænfjord
23
58
73 (12-894)
97 [88-99]
15 [11-24]
79 [67-88]
Tabell 8. Infestasjon av lakselus på sjøørret i PO 5. Se Tabell 1 for forklaring av verdiene. Merk lav N enkelte uker.
Stadiefordelingen av lus på den rusefangete sjøørreten viser at de fastsittende stadiene dominerer i alle uttakene (Figur 30).
Figur 30. Antall lakselus (A), relativt antall lus (antall lus/gram kroppsvekt) (B) og antall lakselus fordelt på fastsittende og bevegelige stadier (C) fra sjøørret på stasjonene i PO5.
I Romsdalsfjorden er Vatne på sørsiden undersøkt ukene 22 til 27, og Frænfjorden på nordsiden ukene 24 og 26. I Vatnefjorden ble det estimert høy dødelighet de to første ukene (22-23) med hhv. 61 [46-73] og 78 [55-91] % (Figur 31). Selv om det også ble estimert høy dødelighet de neste to ukene, var antall fanget svært lavt med hhv. 2 og 4 fisk. I Frænfjord ble det estimert høy dødelighet begge ukene 24 og 26 (hhv. 71 [54-86] og 32 [16-51] %).
Figur 31. Estimert luseindusert dødelighet på rusefanget sjøørret med 95% konfidensintervaller. Alle beregningene er basert på all fisk fanget og alle lusestadier.
Siden median utvandring i dette området er estimert til uke 20, er tidsrommet for undersøkelsene i Ørsta og Vatnefjorden dekkende for utvandringen, mens Frænfjorden er undersøkt noe sent, og er dekkende bare for sent utvandrende fisk. Utslippene av klekte nauplier i produksjonsområdet viste en relativt liten økning frem til uke 21, men økte deretter. Formen på utslippene følger 2019 (men er noe lavere), og er høyere etter uke 21 enn i 2018 og 2020. Smittepresskartene sentrert rundt median smoltutvandring viste ett begrenset område med forhøyet smittepress i Storfjorden og Romsdalsfjorden, og etter hvert i ytre deler av begge fjordsystemene.
Tråldata
Figur 32. Områdene trålt etter utvandrende postsmolt laks i Romsdalsfjorden, høyest innsats i område 1 (5 dager/uke), lavere i område 2 (2 dag/uke), samt kumulativ fangst av utvandrende postsmolt av laks i hvert fangstområde.
Det ble trålt i Romsdalsfjorden fra 19. mai til 13. juni, ukene 20-23. Trålhalene ble tatt i ytre deler (Figur 32), og anses som relativt godt egnet til å vurdere smittepress på laksesmolten. Antall fangstet var lavt, totalt 46 laks. Prevalens på den trålfangete fisken var mellom 25 og 62%, høyest siste tråluke (Tabell 9). Intensitet var relativt lav alle ukene (2-3 lus/fisk).
Uke
n
Vekt (range)
Prevalens [KI]
Intensitet [KI]
% >0.1 rel.int. [KI]
20
17
20 (15-33)
35 [17-59]
2 [1-2]
6 [0-27]
21
12
18 (11-31)
42 [19-68]
2 [1-2]
17 [5-45]
22
4
20 (18-21)
25 [1-70]
3 [3-3]
25 [1-70]
23
13
21 (16-29)
62 [36-82]
2 [2-4]
15 [4-42]
Tabell 9. Infestasjon av lakselus på utvandrende laksesmolt i Romsdalsfjorden. Merk lav N enkelte uker. Se Tabell 1 for forklaring av verdiene.
Dødeligheten i ukene 20-22 estimeres til lavt, men nær moderat i siste tråluken (9 [0-32] %) (Figur 33). Estimatene er lavere enn i 2021, og omtrent som estimatene i 2020.
Figur 33. Risiko for lakselusrelatert dødelighet (med konfidensintervaller) som snitt av all trålfanget vill postsmolt av laks fanget hver uke i Romsdalsfjorden. Antall undersøkt hver uke er angitt i figuren.
For hele trålperioden uavhengig av uke estimeres lav (4 [1-12] %) dødelighet (Figur 34). Dette er noe lavere enn i 2017, 2019 og 2021, men omtrent som i 2018 og 2020.
Figur 34. Risiko som snitt av all fisk fanget beregnet med ulike toleransegrenser for lakselusrelatert dødelighet (med konfidensintervaller) på trålfanget vill postsmolt av laks.
Det er gjort genetisk tilhørighetsanalyse også i 2022. Av de totalt 46 laksene fanget er 29 (63%) genetisk bestemt til hjemelv. Fangstene domineres av Visa (n=10), for de øvrige elvene er det bestemt 4 eller færre fisk. Basert på tilhørighetsanalysene estimeres det lav dødelighet for de østlige (Eira, Mittet, Visa) og sørlige (Skorge, Rauma) elvene, og moderat for de nordlige elvene (Oppdøls, Os, Røa) (Figur 35).
Figur 35. Risiko for lakselusrelatert dødelighet (med konfidensintervaller) på trålfanget vill postsmolt av laks tilordnet hjemelv. Elver som kan tilordnes er vist i kartet til høyre. Antall er angitt i figuren. Elvene er gruppert i regioner.
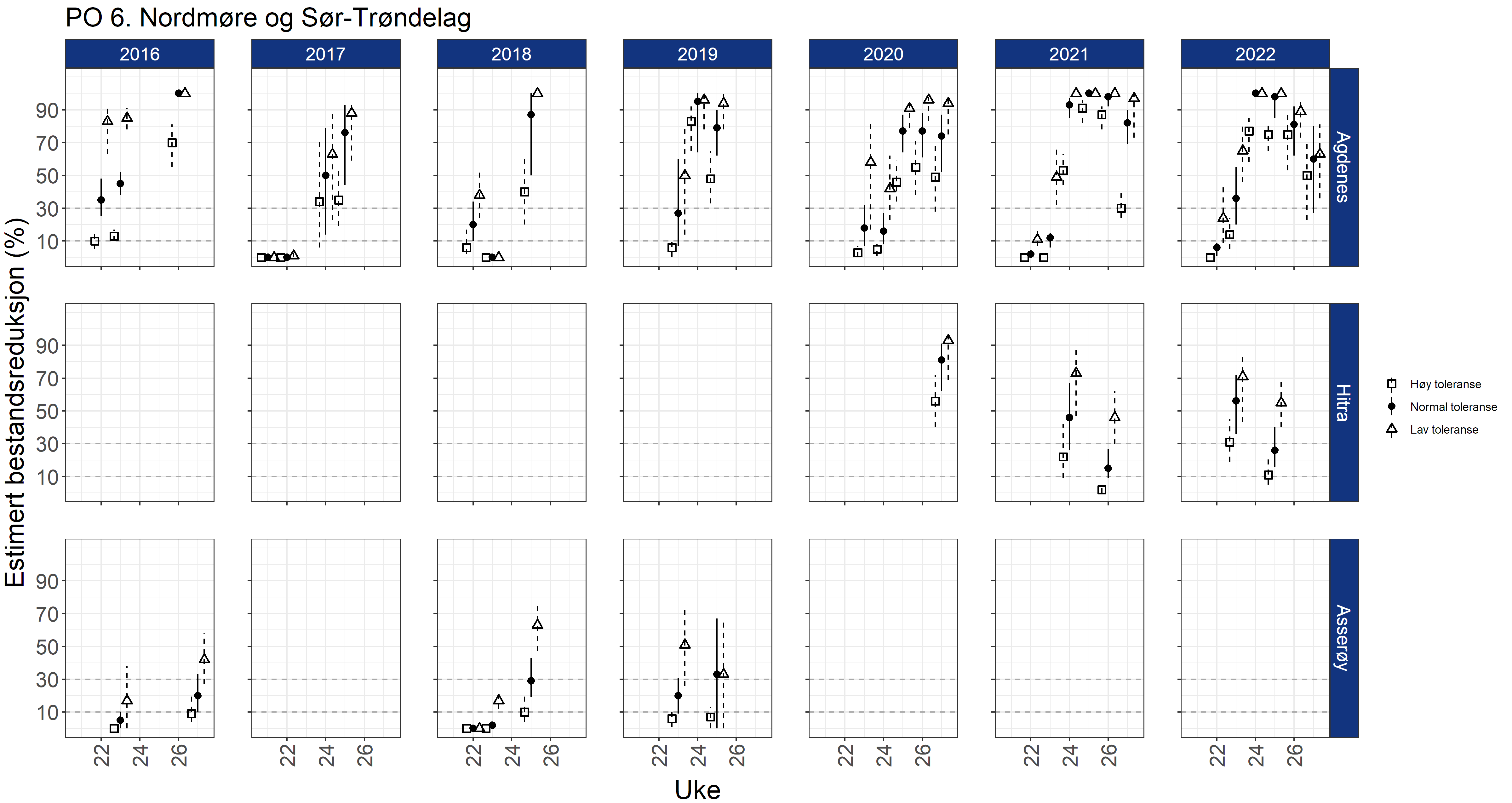
3.6 - PO 6 Nordmøre og Sør-Trøndelag
Data fra ruse og garnfangst like etter smoltutvandringen indikerer moderat dødelighet for sjøørret fanget ved Agdenes uke 22, men økende til høy senere, høy ved Hitra uke 23, moderat uke 25. Rusedata fra Agdenes anses relativt dekkende for utvandringsperioden for laksen fra Trondheimsfjorden, mens stasjonen på Hitra er undersøkt 3 uker etter estimert median utvandring og vil derfor bare dekke sent utvandrende laks eller laks som har lang utvandringsrute. Ruse og garndata tilser derfor en kategorisering i høy lakselusrelatert dødelighet, men usikkerheten anses som stor da det bare er undersøkt to stasjoner, og disse dekker ikke Nordmøre, området hvor smittekartene sentrert rundt median smoltutvandring viser høyest smittepress.
Det ble trålt i Trondheimsfjorden fra 18. mai til 12. juni, ukene 20-23. Tråldata fra Trondheimsfjorden indikerer lav dødelighet basert på infestasjonen frem til der det er trålt i alle de 4 ukene det er trålt. De genetiske analysene endrer ikke dette, da fisken som kan tilordnes elv er fra Trondheimsfjorden. Det er trålt lengre ute enn tidligere, men laksen vil kunne pådra seg ytterligere smitte utenfor der det er trålt. Trålperioden ser derfor ut til å ha dekket smoltutvandringen i området. Usikkerheten i vurderingen vurdert både fra manglende dekning av hele utvandringsruten med trål, og at den ikke dekker Nordmøre, at vi for området som helhet vurderer usikkerheten som middels.
I produksjonsområde 6 har vi undersøkt Agdenes sammenhengende ukene 22 til 27 og Hitra uke 24 og 26 (Figur 36). Det er trålt etter utvandrende postsmolt laks i 8 uker, men det er ikke gjort genetiske analyser av hjemelv. I dette området regner en at 50% av fisken har utvandret i uke 20 (21. mai).
Ruse og garnfangst
Figur 36. Stasjonene undersøkt med ruse eller garn i PO6 i 2022.
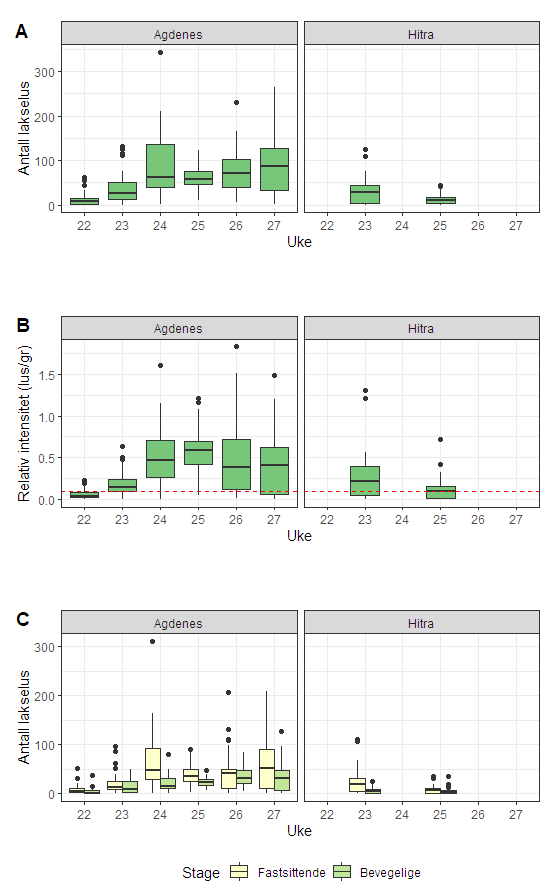
Agdenes er som tidligere år undersøkt, i 2022 ukene 22-27, i tillegg er Hitra undersøkt ukene 23 og 25. Ved Agdenes økte prevalens fra 86 til 100 % i løpet av to uker (Tabell 10), mens intensiteten økte fra 15 til 88 lus/fisk, og forble høy deretter (mellom 63 og 90 lus/fisk). Ved Hitra var prevalens 93-97%, og intensiteten avtok fra 33 lus/fisk uke 23 til 13 lus/fisk uke 25. Da smoltutvandringen i dette området er uke 20, dekker undersøkelsen i Agdenes 1-2 uker før median dato for smoltutvandring, mens Hitra dekker siste halvdel. Merk at fisken fra Trondheimsfjorden vil bruke noe tid for å komme ut til dette området.
Stasjon
Uke
n
Vekt (range)
Prevalens [KI]
Intensitet [KI]
% >0.1 rel.int.
Agdenes
22
29
284 (36-1503)
86 [69-95]
15 [10-24]
21 [10-38]
Agdenes
23
39
207 (48-725)
97 [87-100]
38 [29-51]
69 [54-81]
Agdenes
24
34
245 (38-1072)
100 [90-100]
88 [69-118]
91 [77-97]
Agdenes
25
51
151 (24-2220)
100 [93-100]
63 [56-71]
98 [90-100]
Agdenes
26
52
333 (28-2250)
100 [93-100]
76 [64-91]
76 [62-85]
Agdenes
27
42
396 (49-3867)
100 [92-100]
90 [71-112]
62 [47-75]
Hitra
23
30
133 (30-500)
97 [83-100]
33 [23-47]
66 [47-80]
Hitra
25
56
196 (55-1436)
93 [83-97]
13 [11-17]
44 [31-57]
Tabell 10. Infestasjon av lakselus på sjøørret i PO 6. Se Tabell 1 for forklaring av verdiene.
Fordelingen av lus på sjøørreten fanget med ruse og garn viser noe overvekt av de fastsittende stadiene de to første ukene undersøkt ved Agdenes (Figur 37), men uke 25 og 25 ses en kraftig økning i påslag. Ved Hitra dominerer de fastsittende stadiene i første undersøkte uke.
Figur 37. Antall lakselus (A), relativt antall lus (antall lus/gram kroppsvekt) (B) og antall lakselus fordelt på fastsittende og bevegelige stadier (C) fra sjøørret på stasjonene i PO6.
Dødelighetsestimatene ved Agdenes indikerer økende dødelighet fra moderat i uke 22 (15 [8-26] %), til høy (55-97 %) i ukene 23 til 27 (Figur 38). Mønsteret er mye tilsvarende hva som er observert årene 2016-2021. Ved Hitra estimeres det høy (56 [39-71] %) dødelighet uke 23, moderat (28 [20-38] %) uke 25.
Figur 38. Estimert luseindusert dødelighet på rusefanget sjøørret med 95% konfidensintervaller. Alle beregningene er basert på all fisk fanget og alle lusestadier.
Tråldata
Det ble trålt i Trondheimsfjorden fra 18. mai til 12. juni, ukene 20-23. Median dato for utvandring i dette området er uke 20, sammenfallende med start på trålingen. Fangstene var jevnt gode ukene 20, 22 og 23 med mellom 101 og 141 laks, lavere uke 21 (Figur 39). Tidligere undersøkelser viser at størst fangst oppnås oftest i ukene 21-22, men enkelte år (2021) i uke 20. Trålperioden ser derfor ut til å ha truffet relativt godt på smoltutvandringen i området, men fangstdata indikerer at de tidligst utvandrende kan ha gått ut før trålingen ble igangsatt.
Figur 39. Områdene trålt etter utvandrende postsmolt laks i Trondheimsfjorden, innsatsen i område 3 er prioritert, men når været ikke tillot det tråles det i sone 1 og 2.
Prevalens på den trålfangete laksen var relativt lav ukene 20-22 (5-9 %), noe høyere (23%) siste uken (Tabell 11). Intensiteten var lav alle ukene (1-2 lus/fisk), men også her høyest siste uken.
Uke
n
Vekt (range)
Prevalens [KI]
Intensitet [KI]
% >0.1 rel.int. [KI]
20
101
17 (8-47)
6 [3-12]
1 [1-2]
2 [1-7]
21
37
15 (8-24)
5 [1-18]
1 [1-1]
3 [0-14]
22
141
17 (9-45)
9 [5-15]
1 [1-1]
1 [0-4]
23
131
15 (7-34)
23 [17-31]
2 [2-3]
10 [6-16]
Tabell 11. Infestasjon av lakselus på utvandrende laksesmolt i Trondheimsfjorden. Se Tabell 1 for forklaring av verdiene.
Det ble estimert lav dødelighet i alle de trålte ukene (Figur 40), men høyest siste tråluken (4 [2-8] %). Dette er tilsvarende som undersøkelsene 2016-2021 for samme tidsperiode.
Figur 40. Risiko for lakselusrelatert dødelighet (med konfidensintervaller) som snitt av all trålfanget vill postsmolt av laks fanget hver uke i Trondheimsfjorden. Antall undersøkt hver uke er angitt i figuren.
For hele trålperioden som helhet estimeres det lav (2 [1-3] %) dødelighet (Figur 41). Dette er tilsvarende som estimert for alle de tidligere årene 2016-2021 for de samme ukene.
Figur 41. Risiko som snitt av all fisk fanget beregnet med ulike toleransegrenser for lakselusrelatert dødelighet (med konfidensintervaller) på trålfanget vill postsmolt av laks.
I 2021 og 2022 er det gjort genetisk analyser av tilhørighet til elv. I 2022 er 194 av totalt 410 (47 %) laks tilordnet elv. Av disse domineres fangstene av fisk fra Nidelva i Trondheimsfjorden (n=65) og Orkla (n=60), etterfulgt av Gaula (n=27) og Skauga (n= 24). Det estimeres lav dødelighet (1 [0-2] %) i 2022 på postsmolten tilordnet elver i Trondheimsfjorden (Figur 42), tilsvarende som i 2021.
Figur 42. Risiko for lakselusrelatert dødelighet (med konfidensintervaller) på trålfanget vill postsmolt av laks tilordnet hjemelv. Elver som kan tilordnes er vist i kartet til høyre. Antall er angitt i figuren. Elvene er gruppert i regioner.
3.7 - PO 7 Nord-Trøndelag med Bindal
I 2022 ble kun stasjonen i Sitter undersøkt med garn/ruse i dette produksjonsområdet. Data fra garn/ruse indikerer høy lakselusindusert dødelighet i første periode (uke 24) og moderat lakselusindusert dødelighet i andre periode (uke 26). Smittemodellen viser høy tetthet av lakselus i hele området sør for Vikna. Data fra ruse/garn støtter derfor en kategorisering i høy lakselusindusert dødelighet. Stasjonen ble overvåket fra ca. 2 uker etter estimert median utvandring, og anses dekkende fra 1-2 uker før median utvandring. Det er imidlertid uklart hvor postsmolt fra Namsenfjorden vandrer på ytre kyst, noe som kan påvirke eksponering for smittepress betydelig. Dette, sammen med de få observasjonene i området gjør at vi anser at kategoriseringen har stor usikkerhet.
I dette området har vi undersøkt Sitter rett sør for innløpet til Namsenfjorden, samt Vikna (Figur 43). I dette området regner en at 50% av fisken har utvandret i uke 21 (29. mai).
Figur 43. Stasjonene undersøkt med ruse eller garn i PO7 i 2022.
Ruse og garnfangst
Stasjonen Sitter sør for innløpet til Namsfjorden ble undersøkt i ukene 24 og 26. Prevalens var høy begge ukene (93-100 %) (Tabell 12). Intensiteten var 48 lus/fisk uke 24, noe lavere uke 26 (16 lus/fisk).
Stasjon
Uke
n
Vekt (range)
Prevalens [KI]
Intensitet [KI]
% >0.1 rel.int.
Sitter
24
46
191 (29-1275)
93 [82-98]
48 [39-61]
83 [69-91]
Sitter
26
22
419 (40-1184)
100 [85-100]
16 [11-23]
18 [7-39]
Tabell 12. Infestasjon av lakselus på sjøørret i PO 7. Se Tabell 1 for forklaring av verdiene.
I uke 24 var fordelingen av lus på sjøørreten dominert av de fastsittende stadiene (Figur 44), mens i uke 26 var det jevnere fordelt mellom fastsittende og bevegelige stadier. Dette indikere relativt høyere smittepress uke 24 enn i uke 26.
Figur 44. Antall lakselus (A), relativt antall lus (antall lus/gram kroppsvekt) (B) og antall lakselus fordelt på fastsittende og bevegelige stadier (C) fra sjøørret på stasjonene i PO7.
Estimert dødelighet ved Sitter var høy (78 [66-87] %) uke 24, moderat (15 [7-27] %) uke 26 (Figur 45). Situasjonen den første uken er mye tilsvarende som observert 2019-2021.
Figur 45. Estimert luseindusert dødelighet på rusefanget sjøørret med 95% konfidensintervaller. Alle beregningene er basert på all fisk fanget og alle lusestadier.
Første undersøkelse ved Sitter i uke 24 er 3 uker etter estimert median dato (uke 21) for smiltutvandring fra dette området, og de fastsittende stadiene er derfor mest dekkende for smittepresset fra denne datoen. Undersøkelsene i uke 26 vil dekke opp utvandringen noe etter median dato for utvandring. Smittepresskartene indikerer at høyest tetthet av lakselus er sør for Vikna.
3.8 - PO 8 Helgeland til Bodø
I 2022 ble kun stasjonen Leirfjord undersøkt med garn/ruse i dette produksjonsområdet. Data fra garn/ruse indikerer lav lakselusindusert dødelighet i begge periodene (uke 24 og 26). Smittemodellen viser samtidig høy tetthet av lakselus i andre deler av produksjonsområdet, spesielt i nord for Leirfjord og hele veien mot Bodø. Data fra ruse/garn støtter derfor en kategorisering i lav lakselusindusert dødelighet. Stasjonen ble overvåket fra ca. 2 uker etter estimert median utvandring, og anses dekkende fra 1-2 uker før median utvandring. På grunn av få observasjoner (kun én stasjon) i et område hvor smittemodellen indikerer stor variasjon i smittepresset anser vi at kategoriseringen har stor usikkerhet.
Det er foretatt ruse og garnfiske på stasjonen Leirfjord (Figur 46). Det er ikke benyttet vaktbur eller trålt etter utvandrende laksesmolt. Her regner en at 50% av fisken har utvandret i uke 22 (3. juni).
Figur 46. Stasjonene undersøkt med ruse eller garn i PO8 i 2022.
Ruse og garnfangst
Prevalens på fisken fanget i Leirfjord var begge de undersøkte ukene lav, 12-15%, mens intensitet var 9-23 lus/fisk (Tabell 13).
Stasjon
Uke
n
Vekt (range)
Prevalens [KI]
Intensitet [KI]
% >0.1 rel.int.
Leirfjord
24
33
102 (28-1197)
12 [5-27]
23 [1-67]
3 [0-15]
Leirfjord
26
26
121 (22-742)
15 [6-34]
9 [1-16]
4 [0-19]
Tabell 13. Infestasjon av lakselus på sjøørret i PO 8. Se Tabell 1 for forklaring av verdiene.
Det er få fisk med lus, og fordelingen av lus på fisk er svært variabel, men indikerer lavt smittepress i perioden undersøkt (Figur 47). Stasjonen er undersøkt ca. 2 uker etter estimert median utvandring (dvs. uke 22), og tidsperioden undersøkt anses som dekkende for smoltutvandringen i området.
Figur 47. Antall lakselus (A), relativt antall lus (antall lus/gram kroppsvekt) (B) og antall lakselus fordelt på fastsittende og bevegelige stadier (C) fra sjøørret på stasjonene i PO8.
I Leirfjord estimeres det lav dødelighet i ukene 24 og 26, med hhv 3 [0-9] og 4 [0-12] % dødelighet (Figur 48). Estimert dødelighet er tilsvarende som tidligere år på denne stasjonen. Smittpresskartene sentrert rundt estimert dato for median utvandring viser enkelte områder med forhøyet smittepress, Leirfjord er i ett område hvor smittepresskartene indikerer lavt smittepress.
Figur 48. Estimert luseindusert dødelighet på rusefanget sjøørret/sjørøye med 95% konfidensintervaller. Alle beregningene er basert på all fisk fanget og alle lusestadier.
3.9 - PO 9 Vestfjorden og Vesterålen
I 2022 ble kun stasjonen Steigen undersøkt med garn/ruse i dette produksjonsområdet. Data fra garn/ruse indikerer lav lakselusindusert dødelighet i første periode (uke 25) og høy lakselusindusert dødelighet i andre periode (uke 27). Smittemodellen indikerer høy tetthet av lakselus i andre deler av produksjonsområdet, spesielt i Nord-Salten og deler av Vesterålen. Data fra ruse/garn støtter en kategorisering i moderat lakselusindusert dødelighet, spesielt for sent utvandrende smolt med lang vandringsvei til kysten. Stasjonen ble overvåket fra ca. 3 uker etter estimert median utvandring, og anses dekkende fra ca. 1 uke før median utvandring. På grunn av få observasjoner (kun én stasjon) i et område hvor smittemodellen indikerer stor variasjon i smittepresset anser vi at kategoriseringen har stor usikkerhet.
I dette området har vi undersøkt stasjonen Steigen (Figur 49) med ruse og garn ukene 25 og 27. Det er ikke benyttet vaktbur eller trålt etter utvandrende laksesmolt. I dette området regner en at 50% av fisken har utvandret i uke 22 (5. juni).
Ruse og garnfangst
Figur 49. Stasjonene undersøkt med ruse eller garn i PO9 i 2022.
Første fangstuken (uke 25) hadde 22% av fisken lus, og intensiteten var 3 lus/fisk (Tabell 14). To uker senere hadde all fisken lus, og intensiteten var økt til 16 lus/fisk.
Stasjon
Uke
n
Vekt (range)
Prevalens [KI]
Intensitet [KI]
% >0.1 rel.int.
Steigen
25
23
50 (30-74)
22 [10-42]
3 [2-4]
0 [0-14]
Steigen
27
34
259 (36-1248)
100 [90-100]
16 [12-21]
24 [12-40]
Tabell 14. Infestasjon av lakselus på sjøørret i PO 9. Se Tabell 1 for forklaring av verdiene.
Fordelingen av lus viser at de fastsittende stadiene dominerer lusepopulasjonen i uke 27 i Steigen (Figur 50), som indikerer et høyt smittepress noe etter smoltutvandringen.. Undersøkelsen i Steigen har startet ca. 2 uker etter median tid for utvandring i området, og de antall av fastsittende stadiene av lus er derfor dekkende for lusepåslagene 1-2 uker før dette.
Figur 50. Antall lakselus (A), relativt antall lus (antall lus/gram kroppsvekt) (B) og antall lakselus fordelt på fastsittende og bevegelige stadier (C) fra sjøørret på stasjonene i PO9.
I 2022 estimeres det lav (0 [0-0] %) lakselusrelatert dødelighet på fisken fanget i Steigen uke 25, men høy (36 [25-49] %) i uke 27 (Figur 51). Smittekartene sentrert rundt median utvandring indikerer enkelte områder med forhøyet smittepress. Steigen ligger i ett område med estimert lavt smittepress i denne perioden.
Figur 51. Estimert luseindusert dødelighet på rusefanget sjøørret/sjørøye med 95% konfidensintervaller. Alle beregningene er basert på all fisk fanget og alle lusestadier.
3.10 - PO 10 Andøya til Senja
I 2022 ble stasjonene Finnsnes og Løksebotn undersøkt med garn/ruse i dette produksjonsområdet. Data fra Finnsnes indikerer lav lakselusindusert dødelighet i første periode (uke 25) og høy lakselusindusert dødelighet i andre periode (uke 27). Løksebotn ble kun undersøkt i andre periode (uke 27) hvor data indikerer lav lakselusindusert dødelighet. Smittemodellen indikerer samtidig varierende tetthet av lakselus i andre deler av produksjonsområdet, med høyest fra Ibestad og nordover mot Finnsnes. Lengre nord var tettheten lavere, spesielt ved Malangen hvor Målselva renner ut. Data fra ruse/garn støtter derfor en kategorisering i lav/moderat lakselusindusert dødelighet, spesielt for sent utvandrende smolt. Stasjonen Finnsnes ble overvåket fra ca. 2 uker etter estimert median utvandring, og anses dekkende fra 1 uke før median utvandring. På grunn av få observasjoner (kun én stasjon i det mest aktuelle tidsrommet) i et område hvor smittemodellen indikerer stor variasjon i smittepresset anser vi at kategoriseringen har stor usikkerhet.
I dette området har vi undersøkt stasjoner i Løksebotn og Finnsnes med ruse og garn (Figur 52). Det er ikke satt ut vaktbur eller trålt etter utvandrende postsmolt av laks. I dette området regner en at 50% av fisken har utvandret i uke 23 (8. juni).
Ruse og garnfangst
Figur 52. Stasjonene undersøkt med ruse eller garn i PO10 i 2022.
I 2022 estimeres lav dødelighet i ukene 24-26 i Løksebotn (Figur 38), i Finnsnes lav uke 24, moderat uke 25 og lav uke 26, og lav i Malangen ukene 25-26. Verdiene for Malangen og Finnsnes er omtrent som i tidligere år, mens for Løksebotn er estimatene lavere enn i 2019.
Stasjon
Uke
n
Vekt (range)
Prevalens [KI]
Intensitet [KI]
% >0.1 rel.int.
Løksebotn
27
31
196 (38-1408)
48 [32-65]
5 [3-10]
3 [0-16]
Finnsnes
25
31
78 (37-202)
3 [0-16]
1 [1-1]
0 [0-11]
Finnsnes
27
60
225 (14-1436)
100 [94-100]
24 [18-30]
50 [38-62]
Tabell 15. Infestasjon av lakselus på sjøørret i PO 10. Se Tabell 1 for forklaring av verdiene.
Fordelingen av lus på fisken fanget i uke 27 i Løksebotn viser at de fastsittende stadiene dominerer (Figur 53), mens ved Finnsnes er det noe mer fastsittende enn bevegelige uke 27.
Figur 53. Antall lakselus (A), relativt antall lus (antall lus/gram kroppsvekt) (B) og antall lakselus fordelt på fastsittende og bevegelige stadier (C) fra sjøørret på stasjonene i PO10.
Estimert dødelighet er lav (3 [0-10] %) i uke 27 i Løksebotn, og øker fra lav (0 [0-0] %) til høy (38 [28-48] %) ved Finnsnes fra uke 25 til uke 27 (Figur 54). Da median utvandring for dette området er estimert til uke 23, og undersøkelsene startet uke 27 (Løksebotn) eller 25 (Finnsnes), anses undersøkelsen i Løksebotn å dekke infeksjonstrykket fra median dato for utvandring, mens stasjonen Finnsnes vil dekke 1-2 uker før dette.
Figur 54. Estimert luseindusert dødelighet på rusefanget sjøørret/sjørøye med 95% konfidensintervaller. Alle beregningene er basert på all fisk fanget og alle lusestadier.
Smittekartene som dekker median utvandring indikerer få områder med forhøyet smittepress, hovedsakelig enkelte områder ved Senja.
3.11 - PO 11 Kvaløya til Loppa
I 2022 ble to stasjoner i Nord-Reisa undersøkt med garn/ruse i dette produksjonsområdet, henholdsvis Oksfjord (uke 24-26 og uke 28) og Straumfjord (uke 24-28). Data fra begge stasjoner indikerer lav men økende lakselusindusert dødelighet fra uke 24. I uke 28 indikerer data fra Straumfjorden moderat lakselusindusert dødelighet. Dette blir ikke indikert i Oksfjorden, men antall undersøkte fisk fra dette området var lavt. Smittemodellen indikerer generelt lav tetthet av lakselus i andre deler av produksjonsområdet, men noe høyere rundt Skjervøy og på vestsiden av Kvaløya. Data fra ruse/garn støtter derfor en kategorisering i lav lakselusindusert dødelighet. Stasjonene ble overvåket fra samme uker som estimert median utvandring, og anses dekkende fra 1-2 uke før. På grunn av få stasjoner (kun to nærliggende) og tidvis lav fangst i et område hvor modellen indikerer noe variasjon i smittepresset anser vi at kategoriseringen har stor usikkerhet.
I dette området har vi undersøkt to nærliggende stasjoner i Reisa. Det er ikke benyttet vaktbur eller trålt etter utvandrende laksesmolt. I dette området regner en at 50% av fisken har utvandret i uke 24 (15. juni).
Ruse og garnfangst
I dette området har vi undersøkt stasjonene Straumfjord og Oksfjord (Figur 55) med ruse og garn sammenhengende ukene 24-28.
Figur 55. Stasjonene undersøkt med ruse eller garn i PO11 i 2022.
I Oksfjord økte prevalens ukene 24-28 fra 15 til 100 % (men merk svært lav N), mens intensiteten økte fra 1 til 6 lus/fisk (Tabell 16). I Straumfjord økte prevalens i ukene 24-28 fra 16 til 78%, mens intensiteten økte fra 1 til 9 lus/fisk.
Stasjon
Uke
n
Vekt (range)
Prevalens [KI]
Intensitet [KI]
% >0.1 rel.int.
Oksfjord
24
13
103 (20-286)
15 [4-42]
1 [1-1]
0 [0-23]
Oksfjord
25
7
299 (77-871)
43 [16-75]
2 [1-2]
0 [0-35]
Oksfjord
26
6
638 (190-1400)
100 [61-100]
5 [3-7]
0 [0-39]
Oksfjord
28
3
424 (46-1175)
100 [44-100]
6 [4-7]
33 [2-79]
Straumfjord
24
98
154 (24-3880)
16 [10-25]
1 [1-2]
0 [0-4]
Straumfjord
25
92
150 (21-3040)
57 [46-66]
2 [2-2]
2 [1-8]
Straumfjord
26
36
149 (36-1416)
69 [53-82]
3 [2-4]
3 [0-15]
Straumfjord
27
17
157 (42-1060)
76 [53-90]
5 [3-7]
12 [3-34]
Straumfjord
28
67
131 (33-2400)
78 [66-86]
9 [7-14]
27 [18-39]
Tabell 16. Infestasjon av lakselus på sjøørret i PO 11. Se Tabell 1 for forklaring av verdiene. Merk lav N enkelte uker.
Fordelingen av lus viser at de fastsittende stadiene dominerer i ukene 26 og 28 i Oksfjord, ellers er fordelingen av fastsittende og mobile relativt like (Figur 56). Dette indikerer at det høyeste smittepresset er relativt sent.
Figur 56. Antall lakselus (A), relativt antall lus (antall lus/gram kroppsvekt) (B) og antall lakselus fordelt på fastsittende og bevegelige stadier (C) fra sjøørret på stasjonene i PO11.
Estimert dødelighet på sjøørret/røye i Oksfjord var liten alle ukene, 0 [0-0] ukene 24-26, mens i Straumfjord estimeres liten dødelighet fra uke 24 til uke 27, men moderat (14 [9-21] %) i uke 28 (Figur 57).
Figur 57. Estimert luseindusert dødelighet på rusefanget sjøørret/sjørøye med 95% konfidensintervaller. Alle beregningene er basert på all fisk fanget og alle lusestadier.
Da median utvandring for dette området er estimert til uke 24 (15. juni), dekker overvåkingen storparten av utvandringen. Fangstene var relativt gode alle ukene i Straumfjord, med størst fangst uke ukene 24-25. Smittekartene sentrert rundt, og i perioden etter median smoltutvandring indikerer enkelte begrensede området med forhøyet smittepress. Stasjonene ligger i en nasjonal laksefjord, hvor smittekartene indikerer lavt smittepress. Observasjonene i 2022 er i tråd med tidligere observasjoner i dette området (Nordreisa).
3.12 - PO 12 Vest Finnmark
Ruse og garn undersøkelsene i PO12 indikerer liten dødelighet i Talvik ukene 27, moderat uke 30, og Handelsbukt liten i uke 29. Observasjonene indikerer derfor en kategorisering av området i lav lakselus relatert dødelighet i 2022. Modell indikerer lav tetthet av kopepoditter i det aktuelle tidsrommet, men med unntak. Grunnet få stasjoner, og at de ikke dekker områder med høyest modellert tetthet av lakselus, vurderes usikkerheten som stor.
Tråldata indikerer lav dødelighet. Fangstene er dårligere enn i 2020-2021, og størst fangst ble tatt de to første ukene. Dette kan indikere at en andel av fisken har gått ut før trålingen ble igangsatt. Trålområdet dekker de største elvene i området, og vedvarende lave estimerte dødeligheter, også de to første ukene, gjør at vi anser usikkerheten som liten.
I dette området er det i 2022 undersøkt Talvik i Altafjorden samt Handelsbukt i Porsangerfjorden med ruse og garn (Figur 58). Begge stasjonene ligger i nasjonale laksefjorder. Det er trålt i 4 uker Altafjorden i 2022, men ikke benyttet vaktbur. I dette området regner en at 50% av fisken har utvandret uke 25 (24. juni)
Ruse og garnfangst
Figur 58. Stasjonene undersøkt med ruse eller garn i PO12 i 2022.
Sjøørret/røye fanget ved Talvik i Altafjorden hadde lav prevalens uke 26, men denne økte til 58% to uker etterpå (Tabell 17). Intensiteten var hhv. 7 og 10 lus/fisk (men merk relativt høye snittvekter på fisken). I Handelsbukt i Porsangerfjorden var prevalens 38-29 % ukene 28 og 29, mens intensiteten var lav (1-2 lus/fisk) begge ukene.
Stasjon
Uke
n
Vekt (range)
Prevalens [KI]
Intensitet [KI]
% >0.1 rel.int.
Talvik
26
30
317 (35-1735)
7 [2-21]
1 [1-1]
0 [0-11]
Talvik
28
43
333 (40-1737)
58 [43-72]
10 [4-32]
5 [1-15]
Handelsbukt
28
8
152 (50-346)
38 [14-69]
1 [1-1]
0 [0-32]
Handelsbukt
29
25
224 (60-590)
28 [14-48]
2 [1-2]
0 [0-13]
Tabell 17. Infestasjon av lakselus på sjøørret i PO 12. Se Tabell 1 for forklaring av verdiene. Merk lav N enkelte uker.
Fordelingen av lus på fisken i Talvik domineres av de fastsittende uke 28 (Figur 59).
Figur 59. Antall lakselus (A), relativt antall lus (antall lus/gram kroppsvekt) (B) og antall lakselus fordelt på fastsittende og bevegelige stadier (C) fra sjøørret på stasjonene i PO12.
I Talvik estimeres liten dødelighet både uke 26 (0 [0-0] %) og 28 (4 [1-13] %) (Figur 60). På stasjonen i Porsangerfjorden (Handelsbukt) estimeres ingen (0 [0-0] %) dødelighet uke 28 eller 29.
Figur 60. Estimert luseindusert dødelighet på rusefanget sjøørret/sjørøye med 95% konfidensintervaller. Alle beregningene er basert på all fisk fanget og alle lusestadier.
I dette produksjonsområdet regner en at 50% av fisken har utvandret i uke 25 (24. juni), og undersøkelsene er derfor tatt 2-4 uker etter utvandringen. Da det er de fastsittende stadiene som dominerer, fanger stasjonen i Talvik opp hovedutvandringen, mens stasjonen i Handelsbukt fanger opp smittepresset fra median utvandring. Utslippene av nauplier er lave også i 2021, men det estimeres en jevn økning under smoltutvandringen Smittekartene sentret rundt median smoltutvandring indikerer enkelte begrensede områder med forhøyet smittepress. Stasjonene dekker ikke opp de områdene som smittekartene indikerer har høyest smittepress.
Tråldata
Trålingen i Altafjorden foregikk fra 21. juni til 18. juli (ukene 25-28, samt en dag i uke 29). Størst fangst var de to første ukene, og det var lite fisk i uke 28 (Tabell 18). Både prevalens (2--12 %) og intensitet (1-2 lus/fisk) var lav.
Uke
n
Vekt (range)
Prevalens [KI]
Intensitet [KI]
% >0.1 rel.int. [KI]
25
61
21 (12-34)
3 [1-11]
2 [1-2]
0 [0-6]
26
58
19 (12-37)
2 [0-9]
1 [1-1]
0 [0-6]
27
25
26 (17-44)
12 [4-30]
1 [1-2]
0 [0-13]
28
2
16 (13-20)
50 [3-97]
2 [2-2]
50 [3-97]
Tabell 18. Infestasjon av lakselus på utvandrende laksesmolt i Altafjorden. Se Tabell 1 for forklaring av verdiene.
Estimert dødelighet de enkelte ukene 25-27 var i alle tilfeller lav, 0 [0-0] % (Figur 61).
Figur 61. Risiko for lakselusrelatert dødelighet (med konfidensintervaller) som snitt av all trålfanget vill postsmolt av laks fanget hver uke i Altafjorden. Antall undersøkt hver uke er angitt i figuren.
Som snitt av all fisken fanget i hele trålperioden, estimeres liten dødelighet (0 [0-0] %), tilsvarende som alle tidligere dataserier fra Altafjorden (Figur 62).
Figur 62. Risiko som snitt av all fisk fanget beregnet med ulike toleransegrenser for lakselusrelatert dødelighet (med konfidensintervaller) på trålfanget vill postsmolt av laks.
I 2020 og 2022 har vi kunnet genetisk bestemme hjemelv til den trålfangete fisken fra Altafjorden. I analysen er alle elvene i Altafjorden slått sammen, i tillegg fanges en del fisk fra Repparfjordelva. I 2022 ble 128 av totalt 147 trålfanget postsmolt laks genetisk bestemt til hjemelv (87 %). Det estimeres i 2022 ikke dødelighet på laksen verken fra Altafjorden (0 [0-1] %) eller fra Repparfjordelva (0 [0-0] %) (Figur 63), tilsvarende som i 2020.
Figur 63. Risiko for lakselusrelatert dødelighet (med konfidensintervaller) på trålfanget vill postsmolt av laks tilordnet hjemelv. Elver som kan tilordnes er vist i kartet til høyre. Antall er angitt i figuren. Elvene er gruppert i regioner.
3.13 - PO 13 Øst Finnmark
I dette området har vi undersøkt Jarfjorden med garn, undersøkelsen indikerer lav dødelighet i området. Undersøkelsen er foretatt nesten 4 uker etter de oppdaterte tidene for utvandring. Det er ingen økning i utslipp av klekte nauplier fra anlegg i ukene 20-30, og smittekartene indikerer ikke områder med forhøyet smittepress hverken analysert rundt median utvandring eller i perioden etter median utvandring. Usikkerheten vurderes derfor som liten, selv om det bare er undersøkt en stasjon i dette relativt store området.
I dette området er det i 2022 undersøkt stasjonen i Jarfjord med ruse og garn (Figur 64). Det er ikke benyttet vaktbur eller trålt etter utvandrende laksesmolt. I dette området regner en at 50% av fisken har utvandret i uke 25 (22. juni).
Ruse og garnfangst
Figur 64. Stasjonen undersøkt med garn i PO13 i 2022.
I 2021 ble bare Jarfjord undersøkt uke 29. Prevalens var da 76%, mens intensiteten var 4 [3-4] lus/fisk (Tabell 19).
Stasjon
Uke
n
Vekt (range)
Prevalens [KI]
Intensitet [KI]
% >0.1 rel.int.
Jarfjord
29
66
309 (48-830)
76 [64-84]
4 [3-4]
0 [0-6]
Tabell 19. Infestasjon av lakselus på sjøørret i PO 13. Se Tabell 1 for forklaring av verdiene.
Det er de bevegelige stadiene som dominerer, hvilket indikerer et jevnt, men her lavt smittepress (Figur 65).
Figur 65. Antall lakselus (A), relativt antall lus (antall lus/gram kroppsvekt) (B) og antall lakselus fordelt på fastsittende og bevegelige stadier (C) fra sjøørret på stasjonene i PO13.
Det estimeres liten dødelighet (1 [0-4] %) (Figur 44) for sjøørret og sjørøye på stasjonen Jarfjord i 2022 (Figur 66).
Figur 66. Estimert luseindusert dødelighet på rusefanget sjøørret/sjørøye med 95% konfidensintervaller. Alle beregningene er basert på all fisk fanget og alle lusestadier.
Undersøkelsen er foretatt nesten 4 uker etter de oppdaterte tidene for utvandring, men da det er ingen økning i utslipp av klekte nauplier fra anleggene i produksjonsområdet ukene 20-30, og smittekartene ikke indikerer områder med forhøyet smittepress hverken analysert rundt median utvandring eller i perioden etter median utvandring, vurderes det at stasjonen er representativ for området.
4 - Referanser
Bjørn, P. A., Finstad, B., Asplin, L., Skilbrei, O., Nilsen, R., Serra-Llinares, R. M. & Boxaspen, K. K. (2011). Metodeutvikling for overvåkning og telling av lakselus på viltlevende laksefisk. Rapport fra Havforskningen, nr. 8-2011, 58 s.
Bui, S., Dempster, T., Remen, M. & Oppedal, F. (2016). Effect of ectoparasite infestation density and life‑history stages on the swimming performance of Atlantic salmon Salmo salar . Aquaculture Environment Interactions 8, 387-395.
Dawson, L. H. J., Pike, A. W., Houlihan, D. F. & McVicar, A. H. (1997). Comparison of the susceptibility of sea trout ( Salmo trutta L.) and Atlantic salmon ( Salmo salar L.) to sea lice ( Lepeophtheirus salmonis (Krøyer, 1837)) infections. ICES Journal of Marine Science 54, 1129-1139.
Efron, B. & Tibshirani, R. (1993). An introduction to the bootstrap. Chapman & Hall, London.
Grøn, H. H. (2016). Comparison of gillnet and trap in relation to retention of salmon lice ( Lepeophtheirus salmonis ), size selection of sea trout ( Salmo trutta ) and catch efficiency. - Comparing the two most used fishing gear in National Salmon lice monitoring Program. Master thesis, Universitetet i Tromsø.
Harvey, A. C., Quintela, M., Glover, K. A., Karlsen, Ø., Nilsen, R., Skaala, Ø., Sægrov, H., Kålås, S., Knutar, S. & Wennevik, V. (2019). Inferring Atlantic salmon post-smolt migration patterns using genetic assignment. Royal Society Open Science 6, 190426.
Hvas, M. & Bui, S. (2022). Energetic costs of ectoparasite infection in Atlantic salmon. Journal of Experimental Biology 225:1.
Nilsen, R., Serra-Llinares, R. M., Sandvik, A. D., Johnsen, I.A., Mohn, A.M., Karlsen, Ø., Lehmann, G. B., Birkeland, I.B., Stöger, E., Lennox, R., Uglem, I. & Berg, M. (2020). Lakselusinfestasjon på vill laksefisk langs norskekysten i 2020 - Sluttrapport til Mattilsynet. Rapport fra Havforskningen nr. 46-2020, 81 s.
Nilsen, R., Serra-Llinares, R. M., Sandvik, A. D., Mohn, A.M., Johnsen, I.A., Karlsen, Ø., Uglem, I. & Lehmann, G. B. (2021). Lakselusinfestasjon på vill laksefisk våren 2021 - Fremdriftsrapport til Mattilsynet. Rapport fra Havforskningen nr. 29-2021, 27 s.
Svåsand, T., Karlsen, Ø., Kvamme, B. O., Stien, L. H., Taranger, G. L. & Boxaspen, K. K. (2016). Risikovurdering norsk fiskeoppdrett 2016. Fisken og Havet, særnummer 2-2016, 190 s.
Taranger, G. L., Svåsand, T., Bjørn, P. A., Jansen, P. A., Heuch, P. A., Grøntvedt, R. N., Asplin, L., Skilbrei, O. T., Glover, K. A., Skaala, Ø., Wennevik, V. & Boxaspen, K. K. (2012). Forslag til førstegangs målemetode for miljøeffekt (effektindikatorer) med hensyn til genetisk påvirkning fra oppdrettslaks til villaks, og påvirkning av lakselus fra oppdrett på viltlevende laksefiskbestander Rapport fra Havforskningen nr. 13-2012 / Veterinærinstituttets rapportserie nr. 7-2012, 40 s.
Wagner, G. N., McKinley, R. S., Bjørn, P. A. & Finstad, B. (2003). Physiological impact of sea lice on swimming performance of Atlantic salmon. Journal of Fish Biology 62, 1000-1009.
5 - Vedlegg A. Effekt av toleransegrenser for lus på garn og rusefanget sjøørret < 150 g
For å vurdere hvilken effekt endrede toleransegrenser har på estimert dødelighet på garn og rusefanget sjøørret og sjørøye < 150 g har vi analysert dataene med å sette toleransegrensene til hhv. halvparten og dobbelt så høy (Tabell A1), og grafene viser derfor estimert dødelighet med følgende toleransegrenser.
Dødelighet
Lav toleranse
Normal toleranse
Høy toleranse
0 %
RI ≤ 0,05
RI ≤ 0,1
RI ≤ 0,2
20 %
0,05 < RI ≤0,1
0,1 < RI ≤ 0,2
0,2 < RI ≤ 0,3
50 %
0,1< RI ≤ 0,15
0,2 < RI ≤ 0,3
0,4 < RI ≤ 0,6
100 %
RI > 0,15
RI > 0,3
RI > 0,6
Tabell A1. Toleransegrenser brukt for i sensitivitetstesten, normal referer til toleransegrensene som er benyttet. RI er relativ infestasjon, dvs. antall lus per g fiskevekt.
Figur A1. Estimert risiko for dødelighet med konfidensintervaller for sjøørret fanget på stasjonene i PO1 beregnet ved å benytte standard (sirkler), lav (trekanter) eller høy (firkanter) toleransegrenser (Tabell A1). Alle beregningene er basert på sjøørret/sjørøye < 150 g.
Figur A2. Estimert risiko for dødelighet med konfidensintervaller for sjøørret fanget på stasjonene i PO2 beregnet ved å benytte standard (sirkler), lav (trekanter) eller høy (firkanter) toleransegrenser (Tabell A1). Alle beregningene er basert på sjøørret/sjørøye < 150 g.
Figur A3. Estimert risiko for dødelighet med konfidensintervaller for sjøørret fanget på stasjonene i PO3 beregnet ved å benytte standard (sirkler), lav (trekanter) eller høy (firkanter) toleransegrenser (Tabell A1). Alle beregningene er basert på sjøørret/sjørøye < 150 g.
Figur A4. Estimert risiko for dødelighet med konfidensintervaller for sjøørret fanget på stasjonene i PO4 beregnet ved å benytte standard (sirkler), lav (trekanter) eller høy (firkanter) toleransegrenser (Tabell A1). Alle beregningene er basert på sjøørret/sjørøye < 150 g.
Figur A5. Estimert risiko for dødelighet med konfidensintervaller for sjøørret fanget på stasjonene i PO5 beregnet ved å benytte standard (sirkler), lav (trekanter) eller høy (firkanter) toleransegrenser (Tabell A1). Alle beregningene er basert på sjøørret/sjørøye < 150 g.
Figur A6. Estimert risiko for dødelighet med konfidensintervaller for sjøørret fanget på stasjonene i PO6 beregnet ved å benytte standard (sirkler), lav (trekanter) eller høy (firkanter) toleransegrenser (Tabell A1). Alle beregningene er basert på all sjøørret/sjørøye fanget.
Figur A7. Estimert risiko for dødelighet med konfidensintervaller for sjøørret fanget på stasjonene i PO7 beregnet ved å benytte standard (sirkler), lav (trekanter) eller høy (firkanter) toleransegrenser (Tabell A1). Alle beregningene er basert på sjøørret/sjørøye < 150 g.
Figur A8. Estimert risiko for dødelighet med konfidensintervaller for sjøørret fanget på stasjonene i PO8 beregnet ved å benytte standard (sirkler), lav (trekanter) eller høy (firkanter) toleransegrenser (Tabell A1). Alle beregningene er basert på sjøørret/sjørøye < 150 g.
Figur A9. Estimert risiko for dødelighet med konfidensintervaller for sjøørret/sjørøye fanget på stasjonene i PO9 beregnet ved å benytte standard (sirkler), lav (trekanter) eller høy (firkanter) toleransegrenser (Tabell A1). Alle beregningene er basert på sjøørret/sjørøye < 150 g.
Figur A10. Estimert risiko for dødelighet med konfidensintervaller for sjøørret/sjørøye fanget på stasjonene i PO10 beregnet ved å benytte standard (sirkler), lav (trekanter) eller høy (firkanter) toleransegrenser (Tabell A1). Alle beregningene er basert på sjøørret/sjørøye < 150 g.
Figur A11. Estimert risiko for dødelighet med konfidensintervaller for sjøørret/sjørøye fanget på stasjonene i PO11 beregnet ved å benytte standard (sirkler), lav (trekanter) eller høy (firkanter) toleransegrenser (Tabell A1). Alle beregningene er basert på sjøørret/sjørøye < 150 g.
Figur A12. Estimert risiko for dødelighet med konfidensintervaller for sjøørret/sjørøye fanget på stasjonene i PO12 beregnet ved å benytte standard (sirkler), lav (trekanter) eller høy (firkanter) toleransegrenser (Tabell A1). Alle beregningene er basert på sjøørret/sjørøye < 150 g.
Figur A13. Estimert risiko for dødelighet med konfidensintervaller for sjøørret/sjørøye fanget på stasjonene i PO13 beregnet ved å benytte standard (sirkler), lav (trekanter) eller høy (firkanter) toleransegrenser (Tabell A1). Alle beregningene er basert på sjøørret/sjørøye < 150 g.
6 - Vedlegg B: Effekt av toleransegrenser for lus på trålfanget laks
For å vurdere hvilken effekt endrede toleransegrenser har på estimert dødelighet på trålfanget utvandrende postsmolt av laks har vi reanalysert dataene med å sette toleransegrensene til hhv. halvparten og dobbelt så høy (Tabell B1), og grafene viser derfor estimert dødelighet med følgende toleransegrenser:
Dødelighet
Lav toleranse
Normal toleranse
Høy toleranse
0 %
RI ≤ 0,05
RI ≤ 0,1
RI ≤ 0,2
20 %
0,05 < RI ≤0,1
0,1 < RI ≤ 0,2
0,2 < RI ≤ 0,3
50 %
0,1< RI ≤ 0,15
0,2 < RI ≤ 0,3
0,4 < RI ≤ 0,6
100 %
RI > 0,15
RI > 0,3
RI > 0,6
Tabell B1. Toleransegrenser brukt for i sensitivitetstesten, normal referer til toleransegrensene som er benyttet. RI er relativ infestasjon, dvs. antall lus per g fiskevekt.
Figur B1: Estimert risiko for dødelighet med konfidensintervaller for trålfanget laks i Boknafjorden 2017-2022 beregnet ved å benytte standard (sirkler), lav (oppoverpekende trekant) eller høy (firkanter) toleransegrense slik de er definert i tabell B1.
Figur B2: Estimert risiko for dødelighet med konfidensintervaller for trålfanget laks i Hardangerfjorden 2015-2022 beregnet ved å benytte standard (sirkler), lav (trekanter) eller høy (firkanter) toleransegrense slik de er definert i tabell B1.
Figur B3: Estimert risiko for dødelighet med konfidensintervaller for trålfanget laks i Sognefjorden 2017-2022 beregnet ved å benytte standard (sirkler), lav (trekanter) eller høy (firkanter) toleransegrense slik de er definert i tabell B1.
Figur B4: Estimert risiko for dødelighet med konfidensintervaller for trålfanget laks i Romsdalsfjorden 2017-2022 beregnet ved å benytte standard (sirkler), lav (trekanter) eller høy (firkanter) toleransegrense slik de er definert i tabell B1.
Figur B4: Estimert risiko for dødelighet med konfidensintervaller for trålfanget laks i Trondheimsfjorden 2017-2022 beregnet ved å benytte standard (sirkler), lav (trekanter) eller høy (firkanter) toleransegrense slik de er definert i tabell B1.
Figur B4: Estimert risiko for dødelighet med konfidensintervaller for trålfanget laks i Altafjorden 2017-2020 og 2022 beregnet ved å benytte standard (sirkler), lav (trekanter) eller høy (firkanter) toleransegrense slik de er definert i tabell B1.
7 - Vedlegg C: Effekt av størrelse sjøørret
I rapporten har vi estimert dødelighet for all sjøørret fanget. Her viser vi effekten av å bare bruke data fra fisk < 150 g.
Figur C1: Estimert risiko for dødelighet med konfidensintervaller for sjøørret/sjørøye fanget på stasjonene i PO1 beregnet enten ved å bare inkludere fisk < 150 g, eller all sjøørret/sjørøye fanget.
Figur C2: Estimert risiko for dødelighet med konfidensintervaller for sjøørret/sjørøye fanget på stasjonene i PO2 beregnet enten ved å bare inkludere fisk < 150 g, eller all sjøørret/sjørøye fanget.
Figur C3: Estimert risiko for dødelighet med konfidensintervaller for sjøørret/sjørøye fanget på stasjonene i PO3 beregnet enten ved å bare inkludere fisk < 150 g, eller all sjøørret/sjørøye fanget.
Figur C4: Estimert risiko for dødelighet med konfidensintervaller for sjøørret/sjørøye fanget på stasjonene i PO4 beregnet enten ved å bare inkludere fisk < 150 g, eller all sjøørret/sjørøye fanget.
Figur C5: Estimert risiko for dødelighet med konfidensintervaller for sjøørret/sjørøye fanget på stasjonene i PO5 beregnet enten ved å bare inkludere fisk < 150 g, eller all sjøørret/sjørøye fanget.
Figur C6: Estimert risiko for dødelighet med konfidensintervaller for sjøørret/sjørøye fanget på stasjonene i PO6 beregnet enten ved å bare inkludere fisk < 150 g, eller all sjøørret/sjørøye fanget.
Figur C7: Estimert risiko for dødelighet med konfidensintervaller for sjøørret/sjørøye fanget på stasjonene i PO7 beregnet enten ved å bare inkludere fisk < 150 g, eller all sjøørret/sjørøye fanget.
Figur C8: Estimert risiko for dødelighet med konfidensintervaller for sjøørret/sjørøye fanget på stasjonene i PO8 beregnet enten ved å bare inkludere fisk < 150 g, eller all sjøørret/sjørøye fanget.
Figur C9: Estimert risiko for dødelighet med konfidensintervaller for sjøørret/sjørøye fanget på stasjonene i PO9 beregnet enten ved å bare inkludere fisk < 150 g, eller all sjøørret/sjørøye fanget.
Figur C10: Estimert risiko for dødelighet med konfidensintervaller for sjøørret/sjørøye fanget på stasjonene i PO10 beregnet enten ved å bare inkludere fisk < 150 g, eller all sjøørret/sjørøye fanget.
Figur C11: Estimert risiko for dødelighet med konfidensintervaller for sjøørret/sjørøye fanget på stasjonene i PO11 beregnet enten ved å bare inkludere fisk < 150 g, eller all sjøørret/sjørøye fanget.
Figur C12: Estimert risiko for dødelighet med konfidensintervaller for sjøørret/sjørøye fanget på stasjonene i PO12 beregnet enten ved å bare inkludere fisk < 150 g, eller all sjøørret/sjørøye fanget.
Figur C13: Estimert risiko for dødelighet med konfidensintervaller for sjøørret/sjørøye fanget på stasjonene i PO13 beregnet enten ved å bare inkludere fisk < 150 g, eller all sjøørret/sjørøye fanget.