Gå til hovedinnhold

Metoder for kartlegging av oppvekstområder for kystnære bestander av fisk

Sammendrag

Program for kartlegging av gyte- og oppvekstområder for kommersielt viktige arter i kystsonen» vil gjennom prosjektperioden kartlegge fisk i ulike habitater for å avgjøre hva som utgjør viktige oppvekstområder for fisk på kysten an Norge. Fiskeyngel har vært registrert i 4 ulike områder i kystsonen fra sør til nord i Norge på tvers av et bredt utvalg av miljøparametere og habitater. Betydelig utvikling har vært nødvendig for å finne egnede metoder for representativ innsamling av yngel og denne rapporten dokumenterer metoder brukt i prosjektet.

1 - Introduksjon

1.1 - Målsetting for «Program for kartlegging av gyte- og oppvekstområder for kommersielt viktige arter i kystsonen».

NFD bestilling til Havforskningsinstituttet 2018:

«Havforskningsinstituttet skal innen 1. august 2018 etablere et program for systematisk kartlegging av gyte- og oppvekstområder for ulike kystnære kommersielle bestander

De marine økosystemene er antakelig vår viktigste naturressurs, med tanke på økosystemtjenenester for fremtidige generasjoner. Eksempler på dette er fiske og næringer knyttet til opplevelser og reiseliv. Alt tyder på at hav- og vannressurser i fremtida vil få en enda mer sentral rolle i å løse store globale problem innen matvareforsyning, klima, miljø og helse. Nummer 14 av FNs 17 mål for bærekraft, lyder: «Bevare og bruke hav og marine ressurser på en måte som fremmer bærekraftig utvikling». Under den internasjonale konvensjonen om biologisk mangfold har man vedtatt 20 målsettinger for bevaring av naturmangfold og økosystemtjenester (Aichi – målene). Disse målene er også tatt inn i EUs miljøhandlingsprogram fram mot år 2020. I stortingsmeldingen om «Biologisk mangfold» - St. Meld. 14 (2015-2016) «Natur for livet. Norsk handlingsplan for naturmangfold.», sier regjeringen at det skal fastsettes mål for hvilken tilstand som skal opprettholdes eller oppnås i norske økosystemer.

Bevaring av økosystemene forutsetter kunnskap om livsstadier for deres arter. For å forvalte bestander av fisk på en bærekraftig måte er det ikke bare viktig å regulere uttaket, men også å beskytte gyte-, oppvekst-, leve- og beiteområder som arten trenger for å gjennomføre livssyklusen. McCauley m.fl. (2015) advarer om at tap av habitater kan bli en viktig fremtidig årsak til utryddelse av marine arter og peker på behovet for å ta hensyn til andre effekter enn fiskeri som kan påvirke levedyktigheten til en bestand. Spesielt gytefelt og oppvekstområder kan være sårbare for menneskelig påvirkning. Voksen fisk kan søke bort fra områder hvis forholdene er dårlige for fødesøk og aktivt velge habitat, mens larver og juvenil fisk i mindre grad er i stand til det.

Oppvekstområder kan være bestemt av hvor egg og larver driver før de bunnslår seg, og vil derfor også i stor grad være bestemt av forhold som fisken ikke nødvendigvis kan endre på annet vis enn gjennom evolusjonær tilpasning.

 

Bilde av en livssyklus hos torsk.
Figur 1: Skjematisk livssyklus for atlantisk torsk hentet fra piscoweb.org (ved: Molly Thomson). Selve gytingen (1) foregår ved at egg og larver slippes fritt i vannet. Egg og larver opptrer som pelagisk plankton en periode (2) før yngelen etablerer seg i et oppvekstområde (3). Når fisken er voksen (4), har den mulighet til å velge habitat før den igjen trekker mot gytefeltet.

 

Forskjellige arter vil ha forskjellig livshistoriestrategi. Noen arter samles på få store gytefelt og gyter samtidig eller over en periode, slik som torsk. I andre tilfeller, der fiskene har en mer stasjonær livshistoriestrategi, som for eksempel grønngylt og hummer vil ikke individene samles for å gyte på et felles gytefelt, men gyting vil foregå alle steder som også er leveområder. Tilsvarende kan oppvekst- og leveområde være ganske sammenfallende når individer beveger seg lite gjennom livet slik at oppvekstområder må tolkes som det samme som vanlige leveområder.

I kystsonen er det mange antropogene påvirkningsfaktorer. Aktiviteter som mudring, dumping, sprenging, bygging av konstruksjoner og brygger vil påvirke oppvekstområder og gytefelt direkte når de foregår innenfor kjerneområdene for oppvekst og gyting. Andre tiltak kan ha indirekte effekter på nøkkelområder selv om de skjer i god avstand fra kjerneområdene. Dette kan være inngrep som medfører overgjødsling og nedslamming av oppvekstområder, skremmeeffekter fra sprenging, båttrafikk og tiltak som endrer sirkulasjonsmønstre i fjorder.

For å få en god arealforvaltning er det nødvendig med kunnskap om ulike levesteders viktighet for de livsstadiene man ønsker å beskytte Det er også viktig at grensene og utstrekning av områdene som kartfestes er relevante i forhold til de påvirkningene man ønsker å beskytte mot. 

1.2 - Kartlegging av marine naturtyper, verdier og oppvekstområder

Havforskningsinstituttet har fra 2007 til 2019, kartlagt marine naturtyper gjennom samarbeidsprosjektet «Nasjonalt program for kartlegging av marine naturtyper». Dette prosjektet hadde som målsetting å kartlegge 12 utvalgte naturtyper og tre viktige nøkkelområder for spesielle arter og bestander. Nøkkelområdene inneholdt leveområder for østers og kamskjell samt gytefelt for fisk. De 12 utvalgte naturtypene var i hovedsak knyttet til forskjellige habitater som for eksempel tareskog, ålegress, bløtbunnsområder og litoralbassenger. Flere av disse ble kartlagt og verdisatt ut fra sin betydning for fisk som habitat og oppvekstområder (Direktoratet for naturforvaltning 2007). Da kartlegging ble avsluttet i 2019, hadde disse naturtypene og nøkkelområdene blitt kartlagt i hele den indre delen av Norges kyst.

Fremtidige kartleggingsprosjekter som «Marine grunnkart i kystsonen» vil drive heldekkende kartlegging av sedimenter, strømforhold, landskap og vegetasjon, og kart over kjemisk miljøtilstand. Natur og habitater vil kartlegges i henhold til systemet Natur i Norge (NiN), som vil kunne gi heldekkende habitatkart for kysten. I NiN vil naturtypene kartlegges ut fra sine egne egenskaper i form av vegetasjon og ulike miljøparametere. NiN benytter ikke data for fisk for å strukturere og definere naturtyper. Dette betyr at disse kartene ikke nødvendigvis vil kunne brukes direkte til å si hvor det er gode oppvekstområder uten god kunnskap om hvilke habitater og bunnforhold som yngel foretrekker.

Det finnes flere oppvekst- og beiteområder som har blitt kartlagt av Fiskeridirektoratet gjennom intervju med fiskere og lokalkjente personer. Disse dataene er generelt fiskeriavhengige og omfatter derfor først og fremst kunnskap om kommersielt viktige bestander og livsstadier. Yngel under lovlig minstemål fanges i liten grad opp i slik kartlegging. Frem til nå er derfor en kombinasjon av eksisterende habitatkart, kunnskap om leveområde for viktige bestander og indirekte informasjon fra andre studier om habitattilknytning beste indikasjon på hva som kan være gode oppvekstområder.

1.3 - Eksisterende kunnskap om hvilke habitater som er gode oppvekstområder

Yngel kan være knyttet til ulike bunntyper i kystsonen som gir mat og beskyttelse mot miljøet og rovfisk (Lefcheck m.fl. 2019). Tidlige stadier har typisk størst dødelighet og sammen med å finne mat er yngels adferd gjerne styrt av å unngå predatorer (Linehan m.fl. 2001). Adferden påvirker yngelens fordeling. De fleste arters gjennomsnittsstørrelse øker med dypet (Heinckes lov, Cushing 1975) og adferd for å maksimere mattilgang og minimalisere predasjonsrisiko inkluderer i tillegg blant annet stimdannelse, døgnvandring mellom dyp og habitater og døgnvariasjon i aktivitetsnivå.

Bunn med vegetasjon som ålegras eller tareskog har blitt rapportert som viktige oppvekstområder for fisk basert på funn av yngel i slik vegetasjon (f eks Angel & Ojeda 2001, Bergstrøm m.fl. 2016, Norderhaug m.fl. 2005, Pihl m.fl. 2006). Plantenes tredimensjonale struktur lager et oppreist habitat som for eksempel stortare som langs norskekysten kan bli opp til 3-4 meter høyt, og små alger, fastsittende på stilken, danner et stort mangfold av mikrohabitater som myldrer av føde i form av små krepsdyr, bløtdyr, pigghuder og børstemark (Norderhaug m.fl. 2005). Men få studier tar andre bunn- eller vegetasjonstyper i betraktning. Tupper og Boutilier, (1995) og Lough m.fl. (1989) undersøkte yngelforekomsten på ulike bunntyper med og uten vegetasjon, men studien ble utført med aktive innsamlingsmetoder (dykking og trål) metoder som kan ha påvirket adferden til yngelen.

I Norge har Havforskningsinstituttet siden 1919, utført undersøkelser av fiskesamfunn langs kysten av sør- og øst-Norge ved bruk av strandnot på et stort utvalg faste stasjoner (se for eksempel Barceló m.fl. 2015). Stasjonene er i tilknytning til strandområder hvor det forekommer eller har forekommet ålegress. Undersøkelsene antyder at populasjonene av torsk begrenses av kvaliteten på oppvekstområdet, i tilknytning til hvilken grad det gir næringstilgang og skjul (Fromentin m.fl. 1997).

Som oppsummering er grunne områder med vegetasjon gjerne blitt pekt på som gode oppvekstområder. Dette fordi yngel blir funnet i vegetasjon som tilbyr habitat og mat. Andre bunntyper med og uten vegetasjon og med ulike miljøforhold har i mindre grad blitt undersøkt med metoder egnet for kvantifisering av yngel og sammenligning mellom bunntyper.

1.4 - Hvordan samle data om oppvekstområder og yngelen som lever der

Generelt kan fiskeredskap og andre observasjonsmetoder deles i aktive og passive metoder. Ved bruk av passive redskap eller observasjonsmetoder venter man på at fisken oppsøker redskapen. Dette har tradisjonelt vært teiner, ruser, garn og snøre. I de siste tiårene har utviklingen av visuelle og akustiske metoder som video og ekkolodd skutt fart. Disse gir nye muligheter til innsamling av data om fisk som ikke lett lar seg fange med tradisjonelle metoder, skader ikke fisken og kan bidra til standardisering av innsamlingsmetoder på tvers av ulike skalaer i tid og rom (Duffy m.fl. 2019). Men også videoobservasjoner vil kunne ha en påvirkning på hva som blir observert. Små fisk kan være vanskeligere å oppdage og identifisere på en videofilm, fisk som er lite dagaktive vil kunne ha mindre sjanse for å bli oppdaget og fisk som generelt beveger seg lite, eller gjemmer seg i vegetasjon vil kunne være vanskelig å se. Akustikk kan registrere fiskens aktivitet like godt om dagen som om natten, men i mindre grad identifisere grupper og arter. Fiskeadferd kan være viktig for fangbarheten ved bruk av passive fangst- og observasjonsmetoder. En teine kan fungere som et mer attraktivt skjul på en åpen mudderbunn med få andre gjemmesteder, enn i et tangsamfunn der det er mange andre muligheter for å gjemme seg.

Aktive redskap er redskap eller observasjonsmetoder der redskapen oppsøker fisken. Dette vil være blant annet trål, strandnot og snurrevad, men også dykkertransekter og undervannsvideodrone. Ulike observasjonsmetoder vil ha ulike feilkilder og utfordringer ( Brandner m.fl. 2013, Mehdi m.fl. 2021). Aktive metoder, spesielt bruk av dykkere, vil kunne medføre adferds- og skremmeeffekter. Slike effekter vil ikke nødvendigvis være like for ulike størrelser av fisk eller like i ulike habitater. Det er for eksempel mulig at fisk i mindre grad rømmer unna i et habitat der det er mulig å gjemme seg, som ålegress, i forhold til åpne habitater. Det kan også være andre problemer knyttet til å kombinere aktive observasjonsmetoder med alle habitater. Strandnot kan f.eks. ikke brukes på svært ujevn bunn eller i høy, tett tareskog.

Yngel har ulik fangbarhet i forhold til voksen fisk, for eksempel fordi de har annen diett, er små og har mindre tydelige karaktertrekk. Dette er noe man må ta hensyn til ved kartlegging av oppvekstområder. Tupper og Boutilier (1995) gjennomførte dykkeundersøkelser av yngel ved St. Margarets Bay, Nova Scotia. Lough m.fl. (1989) brukte bunntrål og to ulike typer ubåter til å under søke nylige bunnslått yngel over Georges Bank. Begge disse studiene peker på betydningen av strukturert habitat som stein og grus som viktig for yngeloverlevelse. Keats & Steele (1992) studerte fødeadferd for juvenil (0- og 1-gruppe) torsk gjennom døgnet i Bonavista Bay, Newfoundland. De prøvde ulike innsamlingsmetoder og konkluderte med ulike fisker i ulik grad bet på line og rømte fra reletrål. De konkluderte også med at strandnot ikke kunne dras på hardbunn. De valgte å bruke dykkere med spyd (om dagen) og dykkere med fangstnett (om natten).

Felles for alle fangst- og observasjonsmetoder er at antallet fisk som blir registrert er en kombinasjon av hvor mange som er til stede og metodens effektivitet. De færreste redskaper vil klare å samle alt som er til stede i et område. Med bakgrunn i dette har vi vurdert det som viktig å bruke flere ulike fangst- eller observasjonsmetoder, spesielt fordi vi ville undersøke kombinasjoner av habitater og bunnsubstrat og sammenligne data mellom disse.

For tradisjonelle fangstredskaper vil man gjerne kalle effektiviteten for fangbarhet og vil kunne bruke en rate mellom det som er til stede og det som blir fanget slik at man kan tilbake beregne den sanne mengden individer til stede. For videometoder, dykking, droner og andre visuelle metoder vil man kunne kalle dette en observasjonseffektivitet, men prinsippet vil være det samme.

Formel som sier at fangst i et redskap er funksjon av antall yngel tilstede ganger fangbarhet.

Selv om det vil være mulig å beregne en ideell fangbarhet for et redskap eller observasjonsmetode, må man også anta at fangbarheten kan variere med ulike faktorer. For visuelle metoder vil effektiviteten åpenbart variere med sikt, slik at både i tett vegetasjon og ved dårlig lysforhold, enten om natten eller ved store dyp, vil observasjonseffektiviteten være lav. Tradisjonelle fiskeredskaper vil også kunne ha forskjellig fangbarhet i ulike habitater og for fisk av forskjellig størrelse, og for eksempel størrelsen på inngangen kan gjøre at fangbarheten er forskjellig for ulike størrelser av fisk.

Faktorer som påvirker fangbarheten eller observasjonseffektiviteten ved en metode kan enten være variabel eller systematisk. En variabel påvirkning kan være vind, bølger, strøm, fiskeintensitet eller andre forhold som ikke vil være ensartet hvis man observerer på samme sted over tid. Systematiske effekter vil alltid ha samme påvirkning og kan enten være knyttet til stedet som observasjonen blir gjort, gjennom interaksjon med habitat eller gjennom egenskaper ved metoden i interaksjon med enkeltfisk, som størrelse på inngangsåpning. Noen arter vil ha adferd som gjør at de sjelden blir fanget med en bestemt metode. Videre vil det kunne være begrensinger i hvor metoder kan brukes, for eksempel kan ikke strandnot trekkes der det er svært kupert eller høy tareskog.

Ettersom fangbarheten kan ha interaksjon med vegetasjon og bunnsubstrat kan det være vanskelig å skille reelle forskjeller i mengde fisk i et habitat og forskjeller i fangbarhet.

1.5 - Problemstilling

NFD bestillingens hovedmål (nevnt i kap. 1.1) er å kartlegge oppvekstområder for kystfisk med fokus på kommersielle arter.

Fra tidligere kartleggingsprosjekter i kystsonen finnes det allerede finnes noe habitat- og substratdata på utvalgte naturtyper. Kartlegging av natur gjennom NiN og Marine grunnkart-programmet er under utprøvning og vil gi detaljerte habitat og bunnkart. I dette prosjektet har vi sett det som effektivt og hensiktsmessig å etablere kunnskap om viktige økologiske relasjoner mellom fiskeyngel og deres habitater og naturtyper. Dette kan gjøres i pilotområder for senere å kunne si hvilke bunnsubstrat, vegetasjonstyper og økologiske forhold som vil være relevant å beskytte for å kunne samtidig beskytte yngel av fisk.

Dette prosjektet vil derfor prøve å belyse hvor det finnes mest yngel av kommersielt viktige arter, målt som antall yngel i forhold til ulike økologiske parametere som vegetasjon, bunnsubstrat, strøm, temperatur, dybde og lignende.

Målet vil belyses gjennom systematisk innsamling av yngel i 10 utvalgte områder som dekker den indre til ytre kystsonen og fra sør til nord i Norge. I hvert område vil vi innhente data om mengden yngel og data om habitater/bunntyper og miljøforhold. Habitater med mest yngel vil bli regnet som viktige oppvekstområder og data vil bli analysert i forhold til de ulike miljøparameterne.

Ettersom alle observasjoner av yngel vil være et produkt av både mengde til stede og fangbarhet, vil det være et sentralt punkt i prosjektet å vurdere betydningen av fangbarhet for ulike redskap og observasjonsplattformer. Figur 2. summerer noen forhold mellom økologiske parametere, som bestemmer et områdes betydning som oppvekstområde, og forhold som påvirker fangbarhet.

 

Skjematisk oversikt over hvilke faktorer som påvirker fangst
Figur 2: Mengden fangst (i midten) vil være både bestemt av fangbarhet (øverst) og den biologiske betydningen av forhold ved stedet (nedre del av figuren). Målet for prosjektet vil være kartlegge de økologiske prosessene i nedre del av figuren. I denne sammenhengen representerer stedsavhengige parametere, det som går direkte på habitat akkurat der innsamlingen gjøres, mens områdeavhengige parametere representerer forhold i et større område rundt der observasjonen gjøres.

 

Raden over fangst gir eksempler på faktorer som er med på å bestemme fangbarheten. Dette er ikke en fullstendig oversikt, men eksempel på viktige effekter. Det vil også være interaksjoner mellom effektene. Ulike arter vil ha ulik adferd (som bunnfisk og mer pelagiske fisk), men i tillegg vil fisk på fødesøk oppføre seg ulikt fra fisk som skjuler seg for predatorer. De systematiske effektene vil alltid gi samme fangbarhet gitt; samme fisk, av samme størrelse, på samme sted. Variable effekter vil også påvirke adferd, men vil kunne være forskjellig fra gang til gang. I linjen under fangst vil man finne parametere som har en biologisk betydning for hvor mye fisk som er i et område. Siden fisk beveger seg vil dette både være avhengig av faktorer der observasjonen er gjort, men også i tilstøtende områder.

Prosjektets mål om å kartlegge oppvekstområder skal gjennomføres i to trinn. I denne rapporten vil vi behandle faktorer knyttet til den øvre delen av figur 2, som omhandler fangbarhet. I prosjektets andre halvdel vil vi analysere beregnet tilstedeværelse av fisk, i forhold til de økologiske parameterne.

Variasjon på grunn av variable effekter, som vind og vær, vil vi minimere ved samle mest mulig data over lang tid og med en god design. Når det planlegges feltinnsamling vil det da være viktig å passe på at man får interaksjoner mellom variable og mer systematiske effekter. Dersom ålegress for eksempel undersøkes i ett vær, og tareskog i et annet, vil det ikke være mulig å skille den variable effekten av vær, fra den systematiske effekten av habitat.

Variasjon på grunn av systematiske effekter vil vi minimere ved å bruke flere ulike metoder på tvers av alle vurderingsparamtere som vil påvirke fangbarheten. Sammenligning av resultater fra ulike metoder vil da gi oss kunnskap om fangbarhetseffektene for de ulike metodene.

Enkelte redskap eller metoder kan likevel ikke gjøres i bestemte kombinasjoner av alle faktorer. Eksempelvis kan ikke strandnot benyttes på bunn med mye stein eller vegetasjon. Likeledes kan ikke videoobservasjoner gjennomføres om natten.

Tabell 1: gir en oppsummering av de viktigste systematiske effektene på fangbarhet som blir diskutert i denne rapporten.

Type effekt Vurderingsparameter Kommentar
Individ/ Adferd - Redskap interaksjon Arter Ulike arter vil i stor grad kunne reflektere ulike hovedtyper adferd (artsspesifikk adferd). Den relative mengden av forskjellige arter vil kunne si noe om metodens egenskap, når det gjelder å fange opp ulike typer adferd.
Størrelse Sammenligning av størrelsesfordeling mellom ulike metoder kan brukes til å indikere hvilke metoder som fanger relativt for mye eller for lite av bestemte størrelser.
Tid på dagen Nattaktive arter kan forventes å fange dårlig av metoder som bare benyttes om dagen. Video kan bare brukes om dagen, akustikk hele døgnet.
Redskap – Område interaksjon Vegetasjon Teiner kan være attraktive ettersom de kan fungere som skjul på åpen bunn. De kan da antas å ha en dårligere effekt på områder med vegetasjon. Video kan også ha dårligere fangbarhet dersom det er tett vegetasjon som hindrer sikt.
Dybde Videometoder kan ha variabel sikt og dermed variabel fangbarhet på ulike dyp. Enkelte redskap kan ikke brukes for dypt (ruser og strandnot), mens andre ikke kan brukes for grunt (bunnstående ekkolodd).
Substrat Enkelte redskap kan ikke brukes på alt for steinete bunn (redskap som trekkes over bunnen som strandnot).

I denne rapporten vil vi behandle data fra ulike observasjonsmetoder systematisk innsamlet for å sammenligne fangst og resultater på tvers av ulike observasjonsspesifikke fangbarheter. Hensikten er å vurdere hvordan de ulike redskapene egner seg til å fange yngel av kommersielt viktige arter i kystsonen. Vi vil i denne rapporten ikke gjøre analyse for å vurdere hvilke habitater, dybder eller andre kovariater som er det beste oppvekstområdet, men fokusere på om metodene som er brukt er egnet og om de i noen situasjoner vil gi store feilkilder.

Gjennomføringen av arbeidet gjort i denne rapporten er gjort i to deler. Først ble det gjennomført en ekspertvurdering med mål om å innhente ulike erfaringer med ulike redskaper og observasjonsplattformer, og avgjøre hvilke metoder som utprøves videre i prosjektet. Oppsummering av denne delen er gjort i kapittel 2: «metoder for å observere fiskeyngel».

I neste del ble det gjennomført feltarbeid der det ble benyttet ulike typer fangst og metoder. Det ble samlet gjennomført 5 felt-tokt over 3 år. Gjennom denne perioden ble det gjort en kontinuerlig vurdering av metodene, forbedringer og metodeutvikling. Oppsummering av praktiske erfaringer rundt bruk av metoder, mulighet for å gjennomføre representative undersøkelser og metodeutvikling er gitt i kapittel 3: «Feltundersøkelser». Her er tatt med data som ble brukt som vurderingsgrunnlag for videre metodeutvikling underveis mellom feltperioder.

Til sist blir feltdata fra alt arbeidet som ble gjort sammenstilt og oppsummert i kapittel 4:» Oppsummering av ulike observasjonsmetoder».

2 - Metoder for å observere fiskeyngel

Betydelig metodeutvikling har vært nødvendig for å finne gode og representative fangstmetoder for yngel. Adferden og fangbarheten til yngel skiller seg fra voksen fisk. I prosjektets første fase ble det derfor samlet ekspertkompetanse med erfaring fra bruk av ulike observasjonsmetoder for å vurdere fordeler og ulemper ved ulike metoder (expert elicitation). Panelet besto av forskere fra Havforskningsinstituttet: Kjell Magnus Norderhaug, Terje Jørgensen, Odd-Børre Humborstad, Jon Helge Vølstad, Kjell Nedreaas, Asgeir Aglen, Inger Aline Norberg Aanonsen, Kim Halvorsen, Terje van der Meeren, Stian Stiansen og Sigurd Heiberg Espeland (leder).

2.1 - Vurderingskriterier

Ikke alle mulige observasjonsmetoder kan brukes i kystsonen, og ikke alle metoder er egnet for å fange yngel av fisk. Tradisjonell tråling eller snurrevadfiske er plasskrevende og vanskelig å gjennomføre i trange farvann. Ofte er maskevidden på trål brukt i kommersielt fiskeri også for stor til at man kan anta at de representativt fanger yngel av fisk.

Redskap og observasjonsmetoder ble vurdert både ut fra hvor godt de egner seg til å fange yngel, hvordan de kan fungere i ulike habitater (visuelle metoder kan for eksempel ha mindre sikt i habitat med tett vegetasjon enn åpen bunn), og hvor enkle de er å håndtere og gjøre innsamlinger med.

For å kunne finne hvilke habitater eller kombinasjoner av miljøparametere som er foretrukket av fisk er det viktig at observasjonene gjennomføres i et balansert design. Ideelt sett bør alle kombinasjoner av habitater, bunnsubstrater og miljøparametere ha tilnærmet like mange observasjoner. Dette vil være vanskelig med kontinuerlige parametere og det vil være nødvendig med ulike nivåer av stratifisering. I prosjektets første fase ble det gjort subjektive forsøk på å designe forsøksfiske slik at flest mulig kombinasjoner av parametere kunne inkluderes.

For å teste ulike miljøparametere er det viktig å kunne lage et balansert og randomisert forsøksfiske. Dette er blant annet viktig for at toktpersonell ikke skal øke innsatsen i områder som forventes å være gode oppvekstområder på bekostning av det som er forventet å være dårlige oppvekstområder. Dette gjøres ved å plukke tilfeldige posisjoner redskap skal brukes basert på enkelte kriterier som dyp, habitat, eksponering mm. Noen redskap som har store krav til hvor og hvordan de brukes, som for eksempel strandnot, er vanskelig å randomisere. Potensielle redskaper ble derfor også vurdert i forhold til om de egner seg for å settes “tilfeldig” og randomisert.

2.2 - Diskusjon av valg av ulike redskap for innsamling

I valg av metoder for å samle yngel ble 11 potensielle innsamlingsredskaper (Tabell 2) diskutert opp mot seks habitater som byr på ulike utfordringer i forhold til datainnsamling.

De vurderte observasjonsmetodene kan inndeles i tradisjonelle fiskeredskaper, der fisken hentes opp av vannet, og «ikke-invasive» observasjonsmetoder, der fisk bare observeres under vann. Videre kan metodene deles inn etter aktive eller passive, der passive metoder er metoder hvor fisken selv må oppsøke fiskeredskapen eller observasjonsplatformen, mens det ved aktive metoder er fiskeredskapet/observasjonsplattformen som beveger seg og oppsøker fisken.

Tabell 2: Tilgjengelige metoder som ble vurdert i prosjektet.

  Aktive metoder Passive metoder
Fiskeredskap

Strandnot

Trål

Fallnot

Snurrevad

Ruse

Teine

Garn

Ikke-invasive

observasjonmetoder

ROV/ Drone

SCUBA – Dykking

Stereo video-rigger

Bunnstående ekkolodd

De vurderte habitatene var:

Stein/ur: Åpen hardbunn dominert av blokker av stein eller steinete områder med ujevn bunn og sprekker/ kanter. utfordringer i dette hardbunnshabitatet er at redskap vil kunne hekte seg fast samt at mange mindre fisk vil ha rikelig med gjemmesteder som kan skjule dem for observasjon.

Tareskog: Tett skog med høye kraftige planter på hardbunn. Utfordringer ligger i å få redskap ned mellom tareplantene, at redskapen vil hekte i tare og stein. Sikten er også kort nede i tareskogen.

Tangbelte: er betegnelsen på bunn av varierende hardhet med lav og liggende tangvegetasjon.

Ålegressenger: Enger av sjøgress som vokser på bløtbunn. Sikten vil være avhengig av tettheten på vegetasjonen. Ålegress har likevel ikke de samme utfordringene for redskap som trekkes langs bunnen som for eksempel tett tareskog.

Lurv” og undervegetasjon: Brukes i denne sammenheng på vegetasjon av trådformede alger som dekker bunnen som tepper og mindre oppreiste alger som står alene eller som undervegetasjon i tareskog. Slike alger vil kunne påvirke sikten, men som for ålegress være lite hinder i seg selv.

Bløtbunn: Bunn uten vegetasjon med fin- til grovkornet sediment.

Basert på tidligere erfaring med redskap og habitater ble gruppen enige om en indeks på hvor egnet et redskap var i det gitte habitat. Egnetheten ble gitt en verdi fra 0 – uegnet til 3 – Veldig godt egnet. Egnetheten inkluderer i dette tilfelle både hvor lett redskapet er å bruke i det gitte habitat (for eksempel ved å få satt uten heft) og hvor godt gruppen trodde redskapen vil samle inn den yngelen som presumtivt er til stede.

Tabell 3: Egnethet for ulike redskaper i ulike habitater. Dette omfatter både hvor lett redskapen lar seg bruke på gitt habitat og i hvilken grad metoder vil antas å samle representativt. Passive redskaper i bold, aktive i kursiv. Tradisjonelle fangstredskaper i svart, øvrige i rødt. Fotnote: 1: Tett tareskog kan gi utfordringer for redskap og rigger som skal senkes ned mellom vegetasjonen. 2: Dykking antas å kunne gjennomføres i alle habitater, men potensielt å kunne ha stor skremmeeffekt på fisk.

  Stein/ Ur Tareskog1 Blandet Tang Ålegress Lurv” Bløtbunn
Ruse 1 2 3 3 3 3
Teine 3 3 3 3 3 3
Garn 2 1 3 3 3 3
Strandnot 0 0 3 3 3 3
Trål 0 0 0 0 0 3
Fallnot 0 3 3 3 3 3
Snurrevad 0 1 3 3 3 3
Video 3 3 3 3 3 3
Akustikk 1 3 1 1 1 1
ROV/ Drone 2 1 3 2 3 3
Dykking2 2 1 1 1 1 1

Gruppen gjorde også en effektivitetsvurdering med anslag av hvor mange «innsamlinger» som var mulig å gjøre av et typisk arbeidslag (2-4 personer) pr. arbeidsdag med gitte redskap. Eksponeringstiden varierer for de ulike redskapene. Vi har vurdert hvor mange innsamlinger man kan gjennomføre dersom et ubegrenset antall redskap er tilgjengelig. Det ble vurdert hvilket dybdeintervall redskapen kan operere i og i hvilken grad redskapen er egnet i bølgeeksponerte og skjermede områder. I hvilken grad redskapen antas å være arts- eller størrelsessensitiv ble også vurdert. Dette vil innebære at lav score på selektivitet innebærer at mange arter eller størrelser ikke blir fanget. Vi ønsker i dette forsøket lite selektive redskap.

For de tre siste parameterne ble det satt en indeks fra 1 (dårligst) til 3 (best).

Tabell 4: Oppsummering av observasjonsmetoders egenskaper i fangstsammenheng. Kommentarer: A: Antallet innsamlinger det er mulig å gjøre med akustikk er i størst grad begrenset av tilgjengelig utstyr. B: Både for teiner og ruser vil størrelsesselektiviteten variere i stor grad med maskevidden på redskapen. Begge redskaper kan tilpasses med svært liten maskevidde. C: Video uten agn vil antas å fange dårlig i noen habitater, mens agn vil kunne lokke frem arters som gjemmer seg.

  Innsamlinger pr. dag Mulig dybde Eksponering Arts-selektivitet Størrelses-selektivitet
Ruse Mange (35) 0-15m 2 2 3B
Strandnot Få (5) 0-10m 1 3 3
Teine Mange (45) 0-300m 3 1 3B
Video Mange (50) 0-30m 3 1-2C 3
ROV/ Drone Få (5) 0-50m 1 2  
Akustikk A (2) 5-100m 2 1 2
Snurrevad Få (5) 5-300m 3 3 3
Trål Få (7) 20-300m 3 3 3
Garn Mange (25) 0-300m 3 2 1
Fallnot Få (1) 0-10m 2 3 3
Dykking Få (3) 0-30m 2 1 1

2.3 - Oppsummering om kommentarer og innledende diskusjon om observasjonsmetoder.

Ruser: Ruser har varierende utforming med en eller to koniske notposer og et tilhørende ledegarn (Bilde 1). Ruser har forskjellige utforminger med tanke på lengde på ledegarn, antall og størrelse på rommene i notposen og maskevidden på nota. Det vil være viktig å ikke sammenligne data fra ulike typer. Ruser er normalt ikke agnet og antas å kunne være både arts- og størrelsesselektive. For stor fisk vil ikke kunne gå inn, og for liten fisk vil kunne svømme ut gjennom maskene. Ruser vil primært fiske bunnfisk som følger ledegarnet inn i rusen. For ruser med to notposer kan en ikke regne med at begge posene fisker likt. Ruser fiskes normalt på grunt vann og settes vanligvis i dybdeskråninger på tvers av dybdekotene. De krever derfor noe kunnskap eller erfaring å operere og kan vanskelig settes helt «tilfeldig». Ruser vil ved å stå over 24 timer kunne samle både dag og nattaktive arter. Setting av ruser er lite tidkrevende og kan gjøres med lite personell. Statistisk må observasjoner fra ruser behandles som data fra en linje på opptil flere meter, ikke et punkt, og vil på denne måten kunne dekke ulike habitater og ulike dyp. Ruser gjør lite skade på fanget fisk.

 

Bilde som viser ulik ruser med ulik utforming.
Bilde 1: Ulike typer enkle ruser med en ende og et ledegarn av forskjellig lengde.

 

Strandnot: Strandnot samler fisk i et område som avsveipes av nota. Den er avhengig av relativt jevn bunn og kan ikke brukes i områder med mye vegetasjon og «heft». Strandnot kan også bare brukes på områder der det er et egnet sted på land å dra inn nota. Strandnot krever en del kunnskap og erfaring i bruk. Feil bruk antas å kunne ha store påvirkninger på mengde fangst, f.eks. ved at fisk kan unnslippe under nota ved for rask inndragning. Strandnot er relativt tidkrevende å bruke. Strandnot kan være lite habitatspesifikt når et sett dekker flere habitattyper. Strandnot er vurdert til å være lite arts-spesifikk og er antatt å fange alt som er i område bortsett fra de aller minste individene. Det er gjort mye tidligere arbeid med innsamling av yngel med strandnot og det finnes et stort og omfattende referansemateriale. Strandnot kan gjøre noe skade på fisk som fanges, men i stor grad kan fangsten slippes tilbake i sjøen uskadd.

 

Dronefoto som viser strandnot som trekkes inn mot en kystlinje.
Bilde 2: Strandnot trekkes sammen mot land

 

Teiner: Teiner vil kunne ha stor variasjon i utforming. For fangst av yngel er det antatt at leppefiskteiner er den kommersielle teinetypen som er best tilpasset fangst av småfisk. Teiner kan settes «tilfeldig» i et stort spekter av dybder, men er antatt avhengig av agn. Agn vil virke selektivt på ulike arter og ulike størrelser. Tiltrekking av fisk med agn eller lys, vil begge kunne tenkes å ha en arts og størrelsessensitiv effekt. Teiner kan lett settes på de aller fleste typer bunn, men kan kreve tilpasninger for å stå godt på eksponerte lokaliteter med tett tareskog. Teiner vil ved å stå over 24 timer kunne samle både dag- og nattaktive arter. Teiner er lite tidkrevende å operere og kan gjøres med lite personell. Statistisk kan teinefangster behandles som en punktobservasjon. Teiner gjør lite skade på fanget fisk.

 

Bilde som viser en åpen leppefiskteine på land.
Bilde 3: Leppefiskteine med to innganger og to kammer.

 

Video: Videorigg er en metode som ikke krever at fisken fysisk fanges, og er derfor skånsom. På lik linje med teiner, kan de settes i alle typer habitat. Størrelse på observerte individer kan estimeres ved bruk av stereokamera. Bruk av stereovideo kan korrigere for ulik sikt fordi avstand til observert fisk kan måles, men videoobervasjoner krever lys og er dermed selektive for dagaktive arter. Video er lite tidkrevende i felt, men etterfølgende analyse av video-opptak er tidkrevende. Statistisk kan video behandles som en punktobservasjon. Videorigger kan brukes agnet (BRUV) eller uagnet (RUV). Fordelen med BRUV er å lokke individer frem med agn for å kunne observere og relativt tidsintervall kan brukes. Ved bruk av agn kan det være fare for at stor fisk lokkes til BRUVen som igjen kan skremme den minste fisken. RUV observerer passivt uten skjevhet mot stor fisk som spiser, og kan dermed være spesielt godt egnet for studier av yngel.

 

Undervannsbilde av en videorigg.
Bilde 4: En uagnet undervanns stereo-videorigg (RUV), der to kameraer vil filme samme område. Bilde tatt fra en drone. Video gir ingen skader på fisk som observeres.

 

ROV/Drone: I de seneste årene er det kommet et stort utvalg av små droner (eller ROVer: Remotely Operated Vehicles) på markedet og disse kan opereres fra småbåt og gir et alternativ til tradisjonelle fisketransekt foretatt ved dykking. Dykking krever større logistikk og mer mannskap, og i tillegg reagerer fiskene mindre på tilstedeværelsen av dronene enn på en dykker. Dronene byr likevel på egne utfordringer i forhold til manøvrerbarhet. Drone kan brukes til å observere i transekter og vil dermed også kunne gi informasjon om relativ fordeling av fisk i mosaikken av habitater i et større område. Drone video vil være noe mer tidkrevende pr. observasjon enn videorigger, ettersom en følgebåt må følge dronen hele transektet. Dette stiller også noe mer krav til teknisk erfaring av de som skal bruke dronen. Drone vil ha mye av de samme utfordringene i forhold til sikt og observasjon av arter som videorigger. Drone kan kun benyttes på dagtid og være forventingskjev mot dagaktive arter som ikke gjemmer seg. Statistisk vil observasjoner fra drone behandles som data fra en linje og vil kunne dekke ulike habitater og ulike dyp. Observasjoner kan likevel knyttes direkte til punkter langs linjen. Video gir ingen skader på fisk som observeres.

 

Undervannsbilde av en drone.
Bilde 5: En undervannsdrone som beveger seg over bunnen. Ledning opp bak er tilknyttet følgebåten. Bildet er tatt fra en RUV.

 

Akustikk: Akustikk er i rask utvikling og kan gi kvantitative data om fisk på grunt vann gjennom hele døgnet. Grunt vann er i utgangspunktet et lite gjestmildt miljø for ekkoloddundersøkelser. Kort vannsøyle gjør at ekkoloddstrålen blir smal i forhold til undersøkelser på dypere vann og bølger og vaiende tare kan skape forstyrrelser. Bunnstående ekkolodd som SIMRAD WBAT kan plasseres på bunnen i ulike typer vegetasjon og registrerer fisk uavhengig av synlighet og lysforhold (natt og dag). Tidligere tester har vist at bunnstående ekkolodd kan gi gode registreringer av fisk, og systemet med analyseverktøy (LSSS) kan gjøre det effektivt å registrere døgnaktivitet, biomasse av fisk, antall osv. EK80 ekkoloddet i WBAT gjør det også mulig å skille ulike organismer fra hverandre, men artsidentifikasjon og størrelsesestimering basert på akustikk er usikker. Ekkolodd kan imidlertid være et nyttig verktøy til å utfylle kamera og tradisjonelle fiskeredskaper. Akustikk gjør ingen skade på fisk som observeres.

Stasjonære ekkolodd kan plasseres på bunnen og observere alt som passerer over. Det vil være forholdsvis lav innsats for å sette ut, og hvert ekkolodd vil kunne ha lang ståtid. Ekkolodd vil kunne gi god informasjon om aktivitet over tid som verken teiner, ruser eller video kan fange opp. Vurderingen av at det kun er mulig med et fåtall observasjoner pr. dag skyldes at ekkolodd er kostbare og at det er begrenset antall ekkolodd tilgjengelig (2 stk). Statistisk kan akustikk behandles som en geografisk punktobservasjon.

 

Ekkolodd i tareskog
Bilde 6: Et bunnstående ekkolodd SIMRAD WBAT med 200 khz svinger som pinger oppover.

 

Snurrevad: En vanlig snurrevad slik det benyttes i kommersielt fiske er vurdert som for stor og vanskelig håndterbar i grunne kystområder. En tradisjonell snurrevad egner seg også dårlig på bunn med stor stein. I alt annet habitat som bløt mudderbunn, ålegress, tang og tareskog ville snurrevaden kunne gå fint på bunnen. Det ble likevel diskutert å bruke en snurrevad til yngelinnsamling ved å designe en finmasket not som kunne opereres fra en liten båt (<25 fot). Snurrevad er antatt å kunne fange tilsvarende som strandnot, men vil være mer fleksibel ettersom den kan benyttes på dypere vann og ikke nødvendigvis trengs å trekkes opp mot land. Fangst i en snurrevad vil være svært avhengig av spesialkompetanse for setting, trekking og båtkjøring og feil antas å kunne ha stor påvirkning på mengde fangst. Mengden fisk som fanges må også antas å være avhengig av størrelsen på området som dekkes i halet. Sette-prosedyre og hallengde bør derfor standardiseres eller kunne måles. Bruk av snurrevad vil være avhengig av forholdsvis jevn bunn. Snurrevad er antatt å være lite habitatspesifikt ved å samle inn i et større område og dermed mulig dekke flere habitattyper, men vil som strandnot antas å være lite selektiv i forhold til arter og størrelser. Snurrevad kan gjøre noe skade på fisk som fanges, men i stor grad kan fangsten slippes tilbake i sjøen uskadd.

 

Snurrevad trekkes fra båt
Bilde 7: Snurrevad settes fra liten båt.

 

Trål: Bruk av tradisjonell trål kan gjøres helt opp til relativt grunne områder (>20m), men stiller krav til bunnforhold (ikke heft) og en viss størrelse på området om skal undersøkes. Mengde fangst vil være avhengig av hvor lenge det tråles. Trål er antatt å være lite habitatspesifikt ved å samle inn fangst fra et større område og dermed mulig dekke flere habitattyper. Trål kan gjøre noe skade på fisk som fanges, men i stor grad kan fangsten slippes tilbake i sjøen uskadd.

Garn: Garn kan benyttes over et større dybdeintervall og større fleksibilitet på hvor det kan settes enn ruser. Finmasket garn vil kunne benyttes for å fange fiskeyngel, men krever bruk av tynn tråd. Det vil derfor være svært utsatt for skade under bruk. Garn vil fange langs en linje og vil derfor kunne dekke flere ulike habitater. I motsetning til video som i veldig liten grad påvirker fisken, og teiner og ruser som gir lite skader, vil bruk av garn kunne gjøre stor påvirkning. Fisk fanget i garn vil i stor grad ikke kunne settes tilbake uten skader.

Fallnot/kastenett: enhver innretning av not som slippes ned i et habitat og samler «alt» som omsluttes av nota. Denne ble ikke vurdert videre da ekspertgruppen hadde liten erfaring og kunnskap om hvordan dette kunne optimaliseres og gjennomføres for å fange yngel.

Dykking: Dykking kan bruks til filming med video eller visuelle observasjoner langs transekt på lik linje med ROV/ drone observasjoner, men antas å ha en mye større skremmeeffekt på fisk. Dykking krever et større mannskap og er mer tidkrevende enn å benytte droner.

2.4 - Valg av redskap for videre uttesting og videreutvikling

Basert på redskapsdiskusjon ble det konkludert med at alle redskap og observasjonsmetoder vil ha ulik fangst og observasjonseffektivitet som vil variere med arter og mellom størrelse. Det ble derfor konkludert med at det ikke finnes en enkelt ideell objektiv innsamlingsmetode som alene vil kunne gi gode data uten bias. Det ble bestemt at det hensiktsmessige var å benytte og videreutvikle både passive og aktive fiske og observasjonsmetoder. Det ble også konkludert at det bør brukes både visuelle, ikke-invasive observasjonsmetoder og tradisjonelle fangstredskap. Ved bruk av en del tradisjonelle redskap vil det være behov for å undersøke lokaliteter med droppkamera eller andre visuelle metoder for å avgjøre hvilken type habitat redskapen settes i. Tradisjonelle redskap vil ha større påvirkning på fiskene som samles gjennom en potensiell dødelighet. Til gjengjeld vil det være mulig samle inn et utvalg fisk for å kunne undersøke mageinnhold og gjøre genetiske analyser dersom uttaket er akseptabelt lavt i forhold til tilgjengelige fisk. Tradisjonelle metoder gjør det også lettere å sammenligne resultatene med eksisterende data fra andre kilder.

Valgte redskap for videre sammenligning, utprøving og videreutvikling var:

TEINER: Det ble bestemt å bruke leppefiskteiner for å fange fisk av samme størrelsesklasse som mye yngel har på høsten. Siden det var antatt at ulike arter kan ha ulik preferanse for forskjellige typer agn, ble det bestemt å teste uagnede teiner. Ved ikke å agne teinene forventes artsspesifisitet å bli redusert. Det er forventet at fangst i teiner uten agn vil være mindre enn i agnede teiner, men dette forsøkte vi å kompensere med å sette flere teiner. Teiner kan også modifiseres og tilpasses ved å sette sperre på inngangen så ikke stor fisk (predatorer) går inn, samt bruke teiner med finmasket netting for at ikke de minste fiskene skal gå ut.

RUSER: Ruser er antatt å gi forholdsvis like data som teiner. Ruser er likevel et enkelt redskap å teste ut ettersom Havforskningsinstituttet har tilgengelig et stort antall ruser og har lang erfaring med bruk av ruser. Ruser er antatt å ha høyere fangsteffektivitet enn teiner, og vil derfor kunne gi høyere antall fisk i forhold til tiden som brukes og antall redskap som settes.

SNURREVAD: Det vil spesialdesignes en yngelsnurrevad for uttesting i prosjektet. En snurrevad kan fungere som en mellomting mellom strandnot og trål, men kan gi data på mange flere områder enn en strandnot.

RUV: Det ble bestemt å benytte uagnede videorigger. Vi antar at ved å agne vil dette kunne tiltrekke seg større fisk og dermed ha et potensiale for å skremme bort yngel som vi ønsker å observere. Tiltrekning av fisk ved bruk av agn vil også være avhengig av strømstyrke og retning, mens effekten av disse parameterne vil være mindre dersom riggene ikke agnes. Fordelen av at agn kan lokke frem arter som gjememr seg ble vurdert som mindre siden vi ikke vet hvordan ulike arter reagerer på ulikt agn. Det testes ut små videorigger som antas også kan fungere i relativt tett tareskog.

ROV/ Drone: Vi vil teste å kjøre dronetransekter. Dette kan brukes både til å «kartlegge» og gi oversikt over den vertikale fordelingen av habitater i et større område og vurdere mengde fisk. Forutsetningen for å benytte drone til å skaffe kvantitative data vil være at dronens posisjon enten kan registreres til enhver tid med et posisjoneringssystem, eller at det er mulig å måle avstanden en drone har tilbakelagt. Varierende strøm og forhold i vannet kan påvirke dronens fart slik at en oversikt over antall fisk pr. minutt i ulike habitater ikke nødvendigvis korresponderer med antall fisk pr. meter dekket.

Bunnstående ekkolodd: Det skal testes ut bunnstående ekkolodd for å vurdere hvorvidt dette kan gi data på mengden av yngel av fisk i ulike habitater. Bunnstående ekkolodd kan også gi informasjon om døgnaktivitet for stor og liten fisk og mindre krepsdyr som kan være en påvirkende faktor for hvor fiskeyngel foretrekker å være.

2.5 - Genetiske populasjonsmetoder

Bruk av genetiske metoder kan gi svært verdifull informasjon i studier av oppvekstområder for fisk langs kysten. I enkelte tilfeller kan det være vanskelig å artsbestemme yngel, men dette kan gjøres presist med genetiske metoder. Genetiske metoder kan også gi informasjon om fordeling av yngel fra ulike sub-populasjoner. I Nord kan for eksempel torsk være en blanding av kysttorsk og torsk av Nordøstatlantisk opprinnelse i oppvekstområdene. Disse vil ikke være mulig å kunne skille visuelt på et tidlig livsstadium, men vil kunne skilles genetisk. I sørlige deler av Norge kan det være tilsvarende problemstillinger. I Skagerrak er det dokumentert to ulike økotyper av torsk. En Nordsjøøkotype som er vanligere i de ytre områdene, og en kystøkotype som er vanligere i de indre delene av fjorden. Ulike økotyper av torsk og andre fisk kan muligens benytte de ulike habitatene litt forskjellig. Det kan derfor være av sentral betydning å kunne gjøre genetiske undersøkelser av yngel som blir fanget inn slik at det er mulig å dokumentere hvilke økotyper som benytter hvilke habitater. Ulike økotyper kan også potensielt ha noe avvikende adferd, og kan potensielt også påvirke fangbarheten til redskap i ulike situasjoner. Genetikkprøver er likevel bare mulig å samle inn for de observasjonsplattformene der man fysisk får tak i fisken. Dette betyr at innsamling som kun benytter «ikke-invasive observasjonsmetoder» i liten grad vil ha mulighet for å samle inn genetiske data.

3 - Feltundersøkelser

Feltundersøkelser ble i de første tre årene i prosjektet gjennomført med 5 tokt hvor hvert tokt strakk seg over 14 dager i fire forskjellige regioner i Norge. Østlandet/ Oslofjorden ble dekket med ett tokt på Bolærne i 2019, I Trøndelag ble det gjennomført ett indre tokt i Trondheimsfjorden og ett ytre tokt på Frøya i 2020. I 2021 ble det gjennomført ett tokt i Troms og ett i Sogn og Fjordane. Høsten 2019 ble det gjennomført bassengforsøk med teiner for å teste betydningen av å bruke finere maskevidde på teinene. På grunn av lang levringstid på spesiallaget redskap var det ikke mulig implementere denne kunnskapen i stort omfang før på toktene i 2021. Resultatene fra bassengforsøket er derfor behandlet mellom erfaringer fra toktene i 2020 og 2021.

3.1 - Feltundersøkelser Bolærne 2019

Gjennomføring av feltundersøkelser i Oslofjorden i 2019 ble valgt for å utnytte synergieffekter med “Økosystembasert overvåkning av Skagerrak kyst og Skagerrak”. Data som ble samlet inn på dette toktet kunne benyttes for begge prosjekter.

Fartøy: GM Dannevig toktnr: 2019311

Tidsrom: 5/8 -18/8 - 2019.

Område: Bolærne-Færder nasjonalpark, Vestfold

3.1.1 - Praktiske gjennomføring gjort på tokt

For innsamling av data ble det etterstrebet å benytte både teiner, ruser, snurrevad, strandnot, RUV, ekkolodd og drone i de samme områdene. Før redskap ble satt ut, ble det gjort en undersøkelse med droppkamera for å finne ulike habitater. Målet var å dekke alle tilgjengelige habitattyper med flere metoder. Det ble benyttet ett droppkamera uten mulighet for opptak, slik at habitat og bunninformasjon ble notert sammen med tilhørende GPS koordinater. Det ble benyttet eksisterende informasjon om lokalisering av ålegressenger og tareskog som veiledning for å finne disse habitattypene.

 

Kart over Bolærne med punkter som viser habitat på områder som ble undersøkt.
Figur 3: Kart viser områder der det ble satt ut redskap og gjort observasjoner. Punkter har farge som indikerer bunntype eller habitat. Det er bare vist habitat bunntype der det ble gjort observasjoner.

 

3.1.2 - Fangst teiner og ruser i Oslofjorden

Rusene og teinene som ble benyttet var tradisjonelle åleruser og leppefiskteiner. Det ble eksperimentert med å kle enkelte teiner med finmasket notlin, men dette var totalt bare 7 trekk og data fra disse ble ikke inkludert i analysen av forskjeller mellom redskap og områder Totalt ble det gjort 18 rusetrekk og trukket 88 teiner.

Teiner og ruser ble satt ut på ulike dyp, og det ble etterstrebet å få en jevn fordeling fra 0 til 15 m dyp. For å dekke et representativt utvalg habitater med tilstrekkelig antall observasjoner ble det likevel nødvendig med noen skjevheter i antallet redskap i ulike dybder (Figur 4). Teinene og rusene ble satt ut på dagtid og hadde omtrentlig ett døgns ståtid før de ble trukket. Det ble ikke benyttet agn hverken i rusene eller teinene. De teinene som ble brukt var standard leppefiskteiner på 70x40x28 cm, med splittkalv til innerrom og sort, impregnert, knuteløsbus med en maskevidde på 11 mm. Teinene hadde to ovale kalver (60x90 mm) som ble stripset på tvers for å hindre større fisk i å komme inn. Fluktåpningene ble blokkert.

Ettersom det kan være forskjeller mellom ulike arter om de vil bevege seg mot dypere eller grunnere vann når de møter på et ledegarn ved en ruse, ble det fisket med ruser med fangstkammer i begge ender av ledegarnet. Dette sørget for at all fisk som beveget seg langs ledegarnet hadde en mulighet for å gå inn i rusa. Rusefangsten ble oppgitt som summert fangst i begge ruseposer. Rusene hadde en maskevidde på 17 mm.

To histogrammer med søyler som viser antall redskap i dybdeintervaller fra 0 til 14 m dyp.
Figur 4: Antall utsettinger av hhv teiner og ruser på ulike dyp. Dybde for ruser representerer dybde for nedre rusepose.

Ettersom det ble fisket med doble ruser, dvs. ruser med rusepose i hver ende, vil totalfangst pr. ruse være forventet høyere enn teiner. Fangstene i de to endene av rusene må likevel vurderes sammen ettersom de ikke kan antas å være uavhengige observasjoner. Hver dobbelruse fanget til sammen i snitt 67 individer fra 5.1 arter. Teiner fisket 27 individer fordelt på et snitt på 3.5 arter, dvs. at fangsten i en teine var litt lavere enn i ett av rusenes fangstkamre (33.5 individer). Totalt ble det fanget 16 ulike arter i ruser og 13 ulike arter i teiner. Ål, sandflyndre, gressgylt, tunge og rødspette ble bare fanget i ruser, mens berggylte og tangstikling kun ble fanget i teiner. Torsk og hvitting ble fanget i både teiner og ruser, selv om hvitting ble fanget i svært lave antall (totalt 12 individer) i teiner.

 

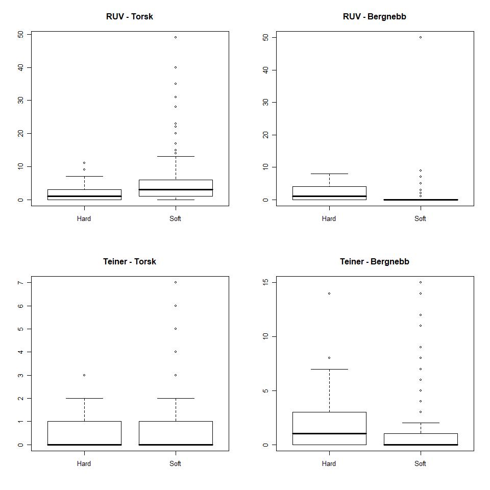
Boksplot som viser fordeling av størrelse på torsk og hvitting fanget i ruser og teiner.
Figur 5: Fordeling av størrelse av torsk og hvitting fanget i ruser og teiner. Skalaen på y-aksen er lengde i mm. Tall over figuren representerer antall individer fanget i hver gruppe.

 

Det var lite forskjell mellom lengde på fisk fanget i ulike redskap. Bare hvitting fanget i teiner var noe større enn hvitting fanget i ruser, men dette vare basert på et lite antall fisk. Av den totale fangsten av fisk var 8% av teinefangsten mindre enn 8 cm, mens i ruser var det bare 0.4% som var mindre enn 8 cm. For finmaskede teiner var 34 % av fangsten mindre enn 8 cm. Dette kan indikere at finmaskede teiner fisker bedre små fisk enn teiner som igjen fisker bedre små fisk enn ruser. Det skal også bemerkes at maskevidden på rusene var noe større enn maskevidden på teinene.

Fangst i teiner og ruser er ganske lik, selv om undersøkelsene kan tyde på at ruser fanger noe bedre enn teiner både med tanke på antall arter og antall individer. Det ble likevel vurdert at ruser krever mer erfaring å sette, og at ytterligere faktorer kan påvirke fangst. Herunder vil hvor bratt bunnen er kunne påvirke, vinkelen rusen står i forhold til land og hvor godt rusene blir strukket ut kunne påvirke fangsten. Dette kan kompenseres med erfarent personell, men vil være vanskeligere å standardisere på tvers av studier og feltundersøkelser. Det ble også vurdert at verdien av å ha mange fangster fra enten teiner eller ruse, vil oppveie fordelen av å ha observasjoner fra både teiner og ruse. Med bakgrunn i dette ble det gjort den vurderingen at det for videre feltundersøkelser for å kartlegge oppvekstområder skulle prioriteres å bruke teiner. Ettersom fangstene også kunne tyde på at det mest ideelle ville være å benytte finmaskede teiner, skulle man fortsette å prøve å forbedre teinene ved å få spesiallaget teiner med et finere notlin.

3.1.3 - Strandnot og snurrevad

Både snurrevad og strandnot er aktive redskap som dekker et større område. Det er forventet at innenfor området som blir dekket, vil fangbarheten være svært høy. Det ble observert med kameraer i nota at enkelte fisk kunne rømme fra snurrevaden ved å svømme ut over toppen av nota. Dette vil nok være avhengig av dybden, og en strandnot som trekkes grunnere vil dekke hele vannsøylen og gi fisken mindre mulighet for å rømme ut av nota.

Det ble gjennomført totalt 3 vellykkede strandnottrekk og 3 vellykkede snurrevadhal. Begge metodene er tidskrevende og krever minimum tre personer. I alle tilfeller ble det også gjort forundersøkelser av områder for å forsikre seg om at bunnen var egnet slik at ikke strandnota eller snurrevaden ville sette seg fast.

Strandnot ble trukket i områder med dyp opptil 4-6 m dyp og på steder der det var mulig å berge nota inn mot en egnet strandlinje.

Snurrevad ble trukket på 10-12 m dyp. Snurrevaden hadde montert blytamper på fiskelina for å sikre bedre bunnkontakt.

 

Undervannsbilde av fisk som svømmer forran en snurrevad.
Bilde 8: Nedre del av snurrevaden som trekkes over sandbunn. Fisk som svømmer foran nota kan skimtes øverst til høyre.

 

Strandnot og snurrevad ble ikke trukket på overlappende områder. Det ble heller ikke gjort gjentatte trekk på samme sted på kort tid da det er antatt at et trekk kan påvirke den rommelig fordeling og adferd til fisk i området, selv om fangst fra foregående hal gjenutsettes i området. Strandnot ble kun trukket i ålegress (2 trekk) og på åpen sand/ småsteinbunn (1 trekk), mens snurrevad ble trukket både på sand og sand/ småstein, begge deler uten vegetasjon. Noe av årsaken til at snurrevaden ikke ble trukket nær land, var at dette er et nytt redskap og båtfører har derfor behov for å opparbeide seg erfaring med bruk av redskapet..

Av fisk fanget snurrevaden 542 individer fra 5 arter (torsk, hvitting, rødspette, bergnebb og tangstikling). Av disse artene var det torsk og hvitting som dominerte med hhv. 432 og 106 individer. Det ble bare lengdemålt en liten tilfeldig delprøve av torsk og hvitting i hvert snurrevadhal, for å kunne slippe flest mulig tilbake i sjøen i god kondisjon.

Strandnota fanget langt flere arter (16 ulike fiskearter), men mye færre individer (138 individer) enn snurrevaden. Dette skyldes både forskjeller i hvor redskapene ble trukket, men også at snurrevaden dekket et større område enn strandnota. Artene som dominerte var ulike kutlinger (67 individer) og leppefisk (44 individer). I strandnota ble det fanget 4 individer av torsk, og ikke andre torskefisk.

Snurrevaden ser generelt ut til å fange fisk av noenlunde samme størrelse som strandnota, men det er relativt sett få store fisk i snurrevadfangstene. Dette kan skyldes at stor fisk i større grad kan unnvike snurrevaden enn strandnota, men det kan også være påvirket av at fangsten i snurrevaden er dominert av mange individer av samme art og årsklasse (torsk og hvitting).

Ettersom snurrevad og strandnot ble trukket på ulike områder, dyp og dekket ulikt areal, er det vanskelig å gjøre en direkte sammenligning som kan gi detaljert informasjon om ulikheter i fangbarhet mellom redskapene. Det er tidligere godt dokumentert at strandnot fanger yngel av torskefisk i strandsonen når den er til stede (høstundersøkelsene). Det at snurrevaden fanget større mengder yngel av torskefisk i noe som var antatt å være et dårligere oppveksthabitat, peker mot at snurrevad også er et godt redskap for a samle data om yngel av torskefisk, selv om det ble trukket på et større område. Flere av strandnottrekkene som gjøres på høstundersøkelsen gjøres på lokaliteter som er så dype at fisk kan rømme over. Likevel er disse erfaringsmessig regnet som å gi representative data for yngel av torskefisk. Snurrevaden skulle derfor også gi et representativt bilde av fisk til stede, selv om den trekkes på dypere områder.

Basert på praktiske erfaringer fra toktet ble det bestemt at for videre feltundersøkelser skulle man fokusere på å legge mer innsats i bruk av snurrevad enn strandnot. Dette var gjort under antagelse om at de i grove trekk vil gi like data (fisk pr. m2), at fangbarhet ikke er veldig forskjellig men god på målartene (årsyngel av blant annet torskefisk), men at snurrevaden er mer fleksibel i forhold til dyp og lettere å operere i områder man ikke er kjent med terrenget under vann. Det ble videre bestemt at snurrevaden skulle videreutvikles med tanke på blytamper nederst for å oppnå best mulig bunnkontakt i noe mer variert bunn.

3.1.4 - RUV

Små stereovideorigger utviklet spesielt for å telle yngel i vegetasjon på grunt vann ble testet.

Totalt 30 uagnede rigger (RUVs) ble plassert i utvalgte habitat (ålegress, skulpetang, sagtang, sukkertare, bar bløtbunn, og hardbunn med blandede alger) på dybder fra 1-16 m. Riggene kunne filme i mer enn 6 timer, men i Oslofjorden ble det filmet i 2 timer. Det ble gjort 5 replikater per område.

Fisk på videoene innenfor en fastsatt avstand fra riggene ble identifisert og lengdemålt. Totalt ble videopptak fra 27 vellykkede utsett av videorigger analysert.

 

Histogram med søyler som viser antall redskap i ulike dybder i Oslofjorden
Figur 6: Fordeling av antallet utplasserte viderigger i henhold til ulike dyp i Oslofjorden..

 

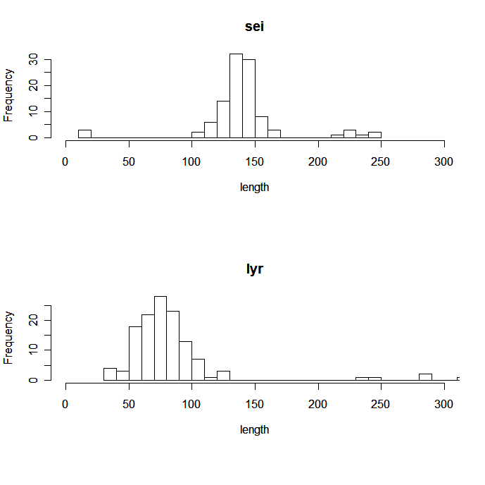
På videoene ble det observert 202 individer av fisk fordelt på 18 ulike arter, hvorav det ble observert 1 hyse, 17 lyr, 36 sei og 31 torsk. Videre analyser er behandlet senere i «oppsummering av ulike observasjonsmetoder».

3.1.5 - Videotransekter med drone

Vi testet tre ulike typer mindre undervannsdroner (ROV) og etablerte metode for karakterisering av bunnhabitat og telling av yngel langs transekter. Dronene var alle små nok til å kunne tas med på og opereres fra småbåt og ble testet med hensyn på manøvrerbarhet og bildekvalitet.

 

Kart som viser Bolærne og områder udnersøkt.
Figur 7. Stasjonskart for 10 Undervannsdrone-transekt ved Bolærne i 2019. Transektene ble tatt i ulike habitat (hardbunn, ålegress, tangsamfunn, sandbunn og mudderbunn) på dyp mellom 1 og 10 m. Transektlengdene var på 50-150 m.

 

Vi anvendte modellene «Blueye Pioneer», «Sofar Trident» og «Gladius Mini». Alle de testede dronene var små og hadde begrenset rekkevidde og thrusterkraft, men sistnevnte var veldig påvirkelig av vannbevegelse og tilhørende trekk i kabelen, hvilket gjorde det vanskelig å holde jevn hastighet og rett transektlinje. Den ble derfor kun benyttet på et enkelt transekt. Pioneer gjorde det best når det var strøm i vannet da den er tyngst og har kraftigere motor som gjør at den kan holde jevn lav hastighet. Pioneer er noe høyere enn de andre og kameraet er på toppen, hvilket gjør at man ikke kommer like tett på fisk i vegetasjonen. Trident hadde best bildekvalitet og var rask å ta i bruk i felt og etterfølgende nedlastning av data gikk også raskt. Den ble derfor anvendt til størstedelen av transektene.

Undervannsbilde av åpen mudderbunn.

 

Undervannsbilde av bevokst bunn med leppefisk rundt.
Bilde 10 og 11: Transektene ble kjørt fra «land til land» tvers over sund, eller med start på bunn på ca. 20 m dybde og kjørt mot land til overflaten. Totalt ble det kjørt 15 transekt med lengder på 50-150 m, og videoene som tilhørte de utvalgte stasjonene ble analysert. Slike transekter gir oversikt over bunnhabitater, hvordan de fordeler seg og hvordan fisk fordeler seg i forhold til habitatene. Forekomstene av fisk ble registrert, og det ble registrert hvilken habitattype observasjonen var gjort i. Den kan derfor gi et godt samtidig bilde av fiskenes habitatvalg, i tillegg til å bidra til en generell habitatbeskrivelse av området. Det vil likevel være nødvendig med enten GPS posisjonering, filming langs et måletau eller konstant hastighet dersom antall fisk pr. tid skal omregnes til fisk pr. areal.

 

Erfaringene fra uttestingen var positive, og det var tilsynelatende liten reaksjon fra fisk på tilstedeværelsen av undervannsdronen. Fisk som gjemmer seg i vegetasjonen registreres ikke like bra med denne metoden sammenlignet med stasjonære visuelle metoder eller fangst. Metoden kan heller ikke registrere størrelse på fisken.

For å kvantifisere tetthet av fisk fra drone-video er det nødvendig med mulighet for å registrere lengden på transektene. Varigheten av drone transektene er relativt kort og gir få observasjoner av fisk i forhold til innsats. Ettersom dronene kan bevege seg rundt vil de være egnet til å avdekke områdespesifikke miljøparametere som helning, habitatkompleksitet og vegetasjonsfragmentering.

Det ble vurdert at lengde og retning på transektet burde standardiseres mer nøyaktig ved bruk av bunnliggende blytau eller GPS.

3.1.6 - Akustikk

Akustiske data ble samlet inn på 8 stasjoner med bunnstående WBAT 200 kHz CW ved bruk av to enheter, begge med ES200-7CD transducer (Norderhaug m.fl. 2020). Enhetene kjørte med identiske innstillinger og var på forhånd kalibrert etter standard prosedyre med Tungsten Carbide (38.100 mm nominal diameter) kuler fra Redhill (Foote 1987, Ona 1999). RAW filer ble hentet ut fra WBAT enhetene og analysert i LSSS (K orneliussen m.fl 2006) . Ekkolodd er ikke avhengig av lys og man kan registrere fisk gjennom hele døgnet. Ekkoet en organisme gir avhenger av dens størrelse, om den har svømmeblære og dens orientering i vannet (hvordan den blir truffet av ekkolodd-strålen). Det ble benyttet følgende parametere for oppsett av ekkolodd:

• Ping interval: 0,25s

• Beam type: split

• Power: 75

• Pulse type: CW

• Start frequency: -200 kHz

• Pulse duration: 256µs

• Ramping: Fast

• Range: 15-20m

• TX mode: Active

Ekkogrammet ble delt i 5 perioder basert på tidspunkt for soloppgang og solnedgang. Perioden for sol opp-/nedgang ble definert som en halv time før til en halv time etter solen gikk opp eller ned. Periodene ble ekkointegrert hver for seg, i tillegg ble det laget et samlet biomasse-estimat per stasjon. Forstyrrelser fra bølger på overflaten og nærfeltet til svingeren på bunnen (satt til 48 cm) ble ekskludert fra undersøkelsen før ekkointegrering. Fra ekkogrammet kan man potensielt også estimere biomasse (vekt) men dette vil også kreve et representativt utvalg fysiske prøver av det ekkoloddet ser.

3.2 - Feltundersøkelser Trøndelag 2020

Feltundersøkelsene i 2020 ble lokalisert til Trøndelagsområdet. Det skulle gjennomføres to tokt à 14 dager. Det første av disse toktene ble gjennomført i Trondheimsfjorden i område utenfor Verdal. Dette område var valgt for å få å gjennomføre undersøkelser i et typisk indre fjordsystem. Det andre av disse to toktene ble lagt til Frøya/ Hitra. Dette var for å kunne sammenligne data med tilsvarende undersøkelser gjort i prosjektet “Aktiv Forvaltning”. Flere av personellet som deltok på toktet hadde også gjort feltarbeid for Aktiv forvaltning og var derfor kjent både under og over vann i området.

Med bakgrunn i erfaringer fra tokt i Oslofjorden i 2019 ble det fokusert innsamling med teiner, RUV (undervanns videorigger) og snurrevad. Det ble gjennomført noen videotransekter med blytau som måleline på bunnen. Det hadde ikke vært mulig å få spesiallaget finmaskede teiner i tide, så det ble benyttet vanlige leppefiskteiner. Det ble ikke fisket med ruser, eller gjennomført strandnottrekk. Erfaringer fra begge toktene blir delvis behandlet enhetlig selv om de samlet i et ytre eksponert område, og et indre skjermet område.

3.2.1 - Gjennomføring i Trondheimsfjorden

Fartøy: FF Fangst tokt 2019311

Tidsrom: 1/8 -15/8 - 2020.

Område: Indre deler av Trondheimsfjorden fra Innerøy og litt sør for Ytterøya.

Det var lite tilgjengelige habitatdata på forhånd og data fra «Nasjonalt program for kartlegging av marine naturtyper» ble benyttet som veiledende informasjon for å fordele innsats på tvers av både habitat og forskjellige dyp. Tareskog var ikke tilgjengelig og mudderbunn med lite vegetasjon var den vanligste habitattypen.

 

Kart som viser ulike naturtyper i Trondhjemsfjorden hentet fra kartjenesten yggdrasil
Figur 8: Registrerte naturtyper fra naturbase visualisert gjennom fiskeridirektoratets kartsider (yggdrasil). Røde polygoner er bløtbunnsområder i strandsonen og grønne polygoner er ålegressområder. Området er påvirket av ferskvann gjennom Verdalselva, Steinkjærelva og avrenning fra snåsavannet lengre inn.

 

 

Kart over deler av Trondheimsfjorden inn mot Verdal med røde, gule og blå punkter.
Figur 9: Kart over studieområdet i Trondheimsfjorden. Symboler av ulike farger representerer ulike redskap og observasjonsmetoder. Blå prikker er lokaliteter for teinefiske, røde er lokaliteter for videoundersøkelser og gule prikker er lokaliteter for snurrevadhal.

 

3.2.2 - Gjennomføring i Frøya

Fartøy: Leiefartøy 2020839 - Rind

Tidsrom: 30/8 -12/9 - 2020.

Område: Primært områder utenfor tettstedet Sistranda og rundt øya Inntian. Enkelte innsamlinger ble også gjort noe lengre unna bl.a. Barmfjorden på Frøya.

 

Kart over registrerte naturtyper rundt Frøya
Figur 10: Registrerte naturtyper fra naturbase visualisert gjennom fiskeridirektoratets kartsider (yggdrasil, se https://open-data-fiskeridirektoratet-fiskeridir.hub.arcgis.com/). Røde polygoner er bløtbunnsområder i strandsonen og brune polygoner er tareskog.

 

 

Kart over østsiden av Frøya med røde, gule og blå punkter.
Figur 11: Kart over studieområdet på Frøya/ Hitra. Symboler av ulike farger representerer ulike redskap og observasjonsmetoder. Blå prikker er lokaliteter for teinefiske, røde er lokaliteter for videoundersøkelser og gule prikker er lokaliteter for snurrevadhal.

 

3.2.3 - Fangst med teiner i Trøndelag

I Trøndelag ble det satt et langt høyere antall teiner enn året før i Oslofjorden med totalt 645 teinetrekk. Det ble fanget i snitt 1.9 individer i hver teine (0-17), og i snitt 1.14 arter i hver teine. Totalt ble det fanget 1 273 fisk av 26 ulike arter. Av målarter ble det primært fanget torsk (421 individer) men også sei (39 individer) og noen lyr (16 individer).

 

Histogram over fordeling av teiner på ulike dyp i Trøndelag
Figur 12: Fordeling av dybde av teiner. Teinene ble spredt over et større dybdespenn enn i Oslofjorden. For å få repetisjoner av forskjellige habitater var det ikke mulig å få en helt jevn fordeling over ulike dyp.

 

 

Histogram med søyler med høyde som tilsvarer antall torskefisk i ulike størrelsesgrupper.
Figur 13: Fordeling av mengde torskefisk i ulike størrelseskategorier. Hvite er torsk, grå er sei og svarte er lyr. Bare fisk under 30 cm er vist.

 

Teinene fanget stort antall små fisk av torsk, sei og til dels lyr. Basert på størrelsesfordelingen av torsk kan det se ut som det i størrelsesgruppen under 30 cm opptrer to årsklasser. En gruppe med gjennomsnitt på mellom 15 og 20 cm og en gruppe som er mindre enn 10 cm. Dette kan reflektere henholdsvis små 0-gruppe torsk og 1-gruppe fisk. Det er verdt å merke seg at mengden av 0-gruppe er liten i forhold til mengden av det som da kan regnes som 1-gruppe. Dette kan være at selv om teinene kan fange fisk ned i bare noen få cm, så er fangbarheten for denne fisken mindre enn for den større fisken. Det kan være at den minste fisken i større grad kan komme seg ut gjennom maskene i leppefiskteinene. Det ble fanget lite fisk også her under 8 cm, som kan være nedre grense for størrelse av torskefisk som er fangbar i teinene.

3.2.4 - Snurrevad Trøndelag

I Trøndelag (Frøya og Hitra) ble det fokusert på å få et større antall trekk med snurrevad. Totalt ble det på begge toktene trukket 73 trekk hvorav 50 ble regnet som vellykket. Snurrevadtrekk ble gjennomført fra 3 m dyp til 16 m dyp. 15 trekk ble gjort på sandbunn, 11 trekk ble gjort på mudderbunn og 24 trekk ble gjort på varianter av hardbunn. 24 trekk ble gjort i vegetasjon hvorav 4 trekk i ålegress. 13 trekk ble gjort uten informasjon om bunnforhold.

Det ble fanget over 1000 indvider fra ca. 31 ulike arter av fisk. Flere arter, som tangkutling og øyepål var svært tallrike og ble registrert som “mange”. Av viktige målarter ble det fanget større mengder torsk (456 individer), sei (149 individer), lyr (127 individer) og hvitting (68 individer).

 

Histogram med søyler med høyde som tilsvarer antall fisk fanget i snurrevad i ulike størrelsesgrupper.
Figur 14: Snurrevaden fanget i Trøndelag et svært bredt spekter av størrelser, helt opp til 70 cm, men med hovedvekt på mindre fisk (<20 cm).

 

Fordelingen av størrelser av fisk som blir fanget i snurrevaden antyder en nedre grense for fangbarhet som ligner det som ble funnet i Oslofjorden. Det blir fanget et stort antall fisk i størrelsen 5-10 cm, og et mindretall fisk mindre enn dette.

For yngel av torskefiskene fordelte disse seg over flere dyp, men flest i intervallet 7 til 12 m dyp. Her kan det være regionale forskjeller mellom ytre områder rundt Frøya og indre områder i Verdal, men det lave antallet fisk dypere enn 15 m tyder på at område som ble dekket med snurrevaden var representativt for hvor fisken oppholdt seg.

Snurrevaden fanget et stort antall fisk under 30 cm som kan brukes til å vurdere hva som er 0-gruppe og eldre fisk.

To histogramer med søyler med høyde som tilsvarer antall torsk og hvitting i ulike størrelsesgrupper.

 

To histogrammer med søyler med høyde som tilsvarer antall sei og lyr i ulike størrelsesgrupper.
Figur 15: Størrelsesfordeling av de fire viktigste artene av torskefisk som ble fanget med snurreavd i Trøndelag.

 

For alle fire artene finner vi topper i størrelsesfordeling under 20-30 cm som kan representere årsyngel. Torsk har antydning til to topper i størrelsesfordelingen som kan representere to ulike årsklasser. Snurrevaden fanger enkelte fisk helt ned i 2-3 cm og ettersom alle disse fiskene er født på samme tid er det ikke grunn til å tro at mangelen på fisk ned i denne størrelsen skyldes fangbarhet, men at de ikke er til stede. Vi antar derfor at nedgangen i fisk fra 10cm og nedover ikke skyldes fangbarhet, men at fisken ikke er tilstede. Fangst av små fisk i strandnot kan også indikere at teiner har en dårlig fangbarhet for disse små fiskene ettersom teinene fisket dårlig fisk under 8 cm. Dette bekreftet at for å bruke teiner til innsamling av data for den minste fisken er det nødvendig å modifisere teinene.

Funksjonaliteten til snurrevad som redskap og bruk av denne ble vurdert som god.

3.2.5 - RUV

I Trøndelagsområde ble det til sammen analysert 226 videofilmer fra undervannsrigger. Videoene ble klassifisert etter habitat og dyp.

 

Histogram som viser fordeling av videorigger på ulike dyp i TRøndelag
Figur 16: Fordeling av antallet videobservasjoner i ulike dyp i Trøndelag.

 

Totalt 161 observasjoner ble gjort i registrert vegetasjon og 87 ble gjort i områder registrert uten vegetasjon. 13 observasjoner ble gjort i ålegressenger.

Videre ble 47 observasjoner gjort på hardbunn, 84 ble gjort på mudderbunn og 117 ble gjort på sandbunn.

Totalt ble det observert og identifisert 23 952 individer fra 40 ulike arter, eller grupper av arter. Enkelte ganger var det ikke mulig å artsbestemme fisk annet enn til familie og familien er da registrert som mest presise informasjon. I Trøndelag ble det observert arter mange av torskefisk blant annet hyse (50), lyr (146), torsk (1020) og sei (9494).

3.2.6 Videotransekt og akustikk

Det ble kjørt 41 videotransekter med drone hvorav 37 er gjort med stereovideo. Det er ikke gjort systematiske analyser av video samlet fra Drone i Trøndelag, men det ble gjort viktige erfaringer med bruk av drone herunder at tett ålegress gir utfordringer for manøvrering.

 

Bilde av Portia Nillos Kleiven som renser motorene på en drone for ålegress.
Bilde 12: En undervannsdrone har fått trusterne fulle av ålegress under kjøring av dronetransekt i Trøndelag.

 

Det var ikke tilgjengelige utstyr og ressurser for å gjennomføre akustikk på tokt i Trøndelag.

3.3 - Bassengforsøk med teiner

For å undersøke nærmere fangsteffektivitet for i torsk i teiner av forskjellige typer ble det gjennomført et kontrollert eksperiment i et av bassengene på Havforskningsinstituttets forskningsstasjon i Flødevigen. Bassenget hadde vinteren 2019/ 2020 hatt voksen gytefisk som skulle benyttes i et annet prosjekt («Codlove»). Disse fiskene hadde gytt i bassenget og avkommet hadde i løpet av høsten 2020 vokst til fangbar yngel. Det var ikke kjent hvor mange torskeyngel som befant seg i bassenget.

I dette forsøket ble det testet nye teiner betegnet som “finmaskede”. Disse teiene hadde to lag notline, et finmasket nett under der åpningene er 4 mm, og et lag med standard 11 mm knuteløs bus på utsiden. I kalver og splittkalv var det kun finmasket nett. Målene var 70 x 40 x 28 cm, med 70 mm runde kalver som var stripset for å hindre større fisk i å komme inn.

 

Flyfoto av Fldøevigen med markerte røde områder der det ble fisket med leppefiskteiner i bassengene.
Bilde 13: Det ble fisket fra 28.10 til 21.12 2020 i to områder i bassenget. Område A dekket de dypeste delene av bassenget, der maksimal dybde er ned mot 4m. Område B dekket grunne områder på motsatt side. Det ble i hvert område satt to leppefiskteiner med vanlig maskevidde og to finmaskede teiner, slik at hvert trekk innebær fire teiner av hver type. Det ble gjort 25 trekk i perioden for en total innsats på 100 teinetrekk.

 

Miljøet i bassenget er homogent. Ettersom fiskene ikke var en del av et pågående forsøk, var det ikke gjort tiltak for å sikre god vegetasjon eller tilført ekstra for til bassenget. Fisken som levde livnærte seg primært på plankton, og må ikke sees på som en naturlig kost. Fisken må heller ikke vurderes som å være normal størrelse eller ha normal kondisjon. Samtlige fisk var fra samme årsklasse.

 

Figur med røde og blå linjer som viser fangst av torsk i teiner i bassengene utover i sesongen. To nedadgående trendlinjer er markert for vanlige og finmaskede teiner.
Figur 17: Fangst for begge typer teiner går ned over tid, men fangsten er jevnt høyest i finmaskede teiner. Blå punkter med svart linje representerer finmaskede teiner, mens røde punkter og rød linje representerer vanlige leppefiskteiner. «Dagnummer» tilsvarer dager etter 1. oktober. De to stiplede linjene er den lineære trenden i hvert av datasettene.

 

Det var en nedadgående trend i fangsten for begge typer teiner. Dette var likevel bare signifikant for vanlige leppefiskteiner, men nært signifikant (p=0.056) for finmaskede leppefiskteiner. Dette skyldes at det var stor variasjon i mengde fangst der det ble fanget totalt fra 3 til 16 torskeyngel hver gang teinene ble trukket (fra 0.75 til 4 torsk pr. teine). Denne variasjonen kommer til tross for at miljøet er relativt stabilt. Det er ingen variasjon i interaksjoner med redskap og habitat og ingen interaksjoner med andre arter. Det var likevel predasjon i bassenget ettersom fisken grovt sett var fordelt i to grupper: små fisk som måtte leve på plankton, og stor fisk som kunne spise andre torskeyngel.

Resultatene indikerer at fangsttall på yngel fanget i teiner inneholder en stor komponent av tilfeldig variasjon eller støy. Dette viser viktigheten av et høyt antall observasjoner og replikater for å benytte fangstdata fra teiner til å si noe om underliggende trender og økologiske forhold.

 

To histogrammer som viser søyler med høyde tilsvarende antall fisk i ulike størrelsesgrupper. Et histogram for finmaskede teiner og ett histogram for vanlige teiner.
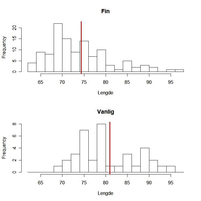
Figur 18: Størrelsesfordeling av fisk fanget i finmaskede leppefiskteiner (4mm maskevidde) og vanlige leppefiskteiner (11mm maskevidde). Røde vertikale linjer er gjennomsnitt for hver type.

 

Det var en tydelig og signifikant forskjell i gjennomsnittsstørrelse på fisken som ble fanget i de to typene teiner, der fisk fanget i finmaskede leppefiskteiner i snitt var 31 mm mindre enn fisk fanget i vanlige leppefiskteiner. Tilsynelatende kan det virke som om de vanlige teinene fisker mer stor fisk, men dette skyldes at de finmaskede teinene fanger totalt mer fisk, som også vist i figur 17, slik at søylene for stor fisk blir lavere. Legg merke til at skalaen på y-aksen er forskjellig i de to panelene i figur 18.

For fisk under 10 cm er det tydelig at de finmaskede teinene i større grad fanger fisk i et spekter (5-7 cm), der fangbarheten til vanlige leppefiskteiner er mindre god.

 

To histogrammer som viser søyler med høyde tilsvarende antall fisk i ulike størrelsesgrupper. Et histogram for finmaskede teiner og ett histogram for vanlige teiner.
Figur 19: Fordeling av fisk mindre enn 10 cm fanget i vanlige og finmaskede leppefiskteiner. Røde vertikale linjer er gjennomsnitt.

 

For å fange små yngel av torskefisk ser det ut til at finmaskede leppefiskteiner er bedre redskap enn vanlige leppefiskteiner. De fanget både større mengde og i mye større grad den minste fisken som ser ut til at går ut igjen av de vanlige leppefiskteinene.

3.4 - Feltundersøkelser Gulen 2021

Fartøy: Hans Brattström 2021941

Tidsrom: 28/8 -10/9 - 2021.

Område: Område som ble dekket inkluderte både indre fjordsystem i Nordgulfjorden og ut til område rundt Grima.

Toktet ble lokalisert i Gulen for å overlappe med områder der det ble gjennomført kartlegging av gytefelt for ulike kommersielt viktige arter i kystsonen, primær torskefisk. For å kunne koble mulige oppvekstområder til gytefelt som biologisk parameter som kan påvirke mengden fisk i et område, var det et ønske å gjennomføre undersøkelser både i nærheten av og avstand fra gytefelt sammen med øvrige habitatvariasjon.

 

Kart over naturtyper i Gulen
Figur 20: Kart over registrerte naturtyper i Gulen område. På kartet er avmerket tareskogsforekomster og skjellsand som brune/ røde polygoner. Få område med ålegress er registrert. Skraverte områder er gytefelt for kysttorsk.

 

 

Kart som viser røde punkter som ble undersøkt i Gulen i Sogn og Fjordane.
Figur 21: Skisse over hvor det ble fisket med teiner og satt ut RUV i Gulen område.

 

3.4.1 - Fangst teiner Gulen

Det ble fisket med til sammen 390 teinetrekk i Gulen. Samtlige teiner var utstyrt med fin maskevidde tilsvarende det som ble benyttet i bassengforsøket for å kunne dekke også de minste spektrene av fisk. Det ble til sammen fanget 65 torskefisk hvorav mesteparten bestod av Lyr.

 

To histogrammer som viser søyler med høyde tilsvarende antall fisk i ulike størrelsesgrupper. Et histogram for finmaskede teiner og ett histogram for vanlige teiner.
Figur 22: De finmaskede teinene fanget i større grad den minste fisken. Her er bare fisk opp til 12 cm tatt med til å lage en størrelsesfordeling fra alle vanlige teiner brukt (i alle tidligere tokt) og de finmaskede teinene som ble benyttet i Gulen og Troms. Det tas her forbehold om at ulike fisk vil bidra i ulik grad når det gjelder data fra ulike tokt.

 

 

Histogram som viser fordeling av teiner på ulike dyp i Gulen
Figur 23: Fordeling av dybder for satte teiner i Gulen.

 

Fordelingen av teiner i ulike dyp var ganske lik i Trøndelagsområde (Figur 12) og Gulen både når det gjelder spennet av dybder som ble dekket og hvilke dybder som i størst grad ble dekket. Største dyp dekket med teiner i Gulen var 23.5m.

Likevel fanget de finmaskede teinene i større grad den minste fisken. Det er tydelig at for begge typene er det avtagende fangst fra 9-10 cm og nedover, som både kan skyldes tilstedeværelse av fisk og fangbarhet, likevel er fangstene under 8 cm i finmaskede teiner 3 ganger så store ved tilnærmet samme antall teinetrekk.

3.4.2 - Fangst Snurrevad i Gulen

Det ble gjennomført 29 snurrevadhal hvorav 22 ble regnet som vellykket. Disse dekket dybder fra 6 til 22m.

Tallmessig dominerte kutlinger i fangstene (~1400), men det var gode fangster også av torskefisk og leppefisk.

 

Histogram som viser fordeling av fisk i ulike størrelsesklasser
Figur 24: Størrelsesfordeling av all fisk fanget i snurrevad.

 

Ved å sammenligne fordelingen av størrelse på fisk fanget i teiner og snurrevad kan det se ut som snurrevaden i enda større grad enn teinene fanger opp fisk som er fra omtrent 2 til 7 cm. Dersom man antar at snurrevaden fanger i størst grad representativt kan dette kan tyde på at det fortsatt er en grad av fangbarhetsbegrensning i bruk av teiner på å fange den minste fisken. Dette trenger ikke nødvendigvis bare å henge sammen med maskevidden, men at noen små fisker har en adferd som gjør at de i mindre grad lar seg fange i teiner.

3.4.3 - Observasjoner RUV i Gulen

Det ble totalt satt ut og analysert 130 RUV videorigger i Gulen.

 

Histogram over videorigger i ulike dyp
Figur 25: Dybder der det ble satt RUV i gulen.

 

Ettersom video og ulike fiskeredskaper ikke kan settes på nøyaktig samme lokaliteter uten risiko for å påvirke hverandre ble teiner og videorigger satt ut fra to ulike team. Dette gjør at fordelingen av rigger på ulike dyp ikke er identisk med den som er for teinene, men begge redskaper dekker samme dybdeintervall fra ca. 2m til ca. 24m.

 

Histogram som viser mengden fisk i ulike størrelseskategorier
Figur: 26: Størrelsesfordeling av den minste fisken i Gulen

 

Video så i Gulen også ut til å fange inn bra med fisk ned i 7 cm. Sammenlignet med snurrevad kan det være noen fisker mindre enn 7 cm som ikke er fanget representativt på video, men dette kan også skyldes forskjeller i hvilke arter som dominerer fangstene i de to forskjellig observasjonsmetodene.

3.5 - Feltundersøkelser Troms 2021

Fartøy: Fangst 2021511

Tidsrom: 24/9 -7/10 - 2021.

Område: Toktet var todelt mellom område rundt Sommarøy og indre deler av Malangen

 

Kart over naturtyper i Troms
Figur 27: Kart over naturtyper i Troms fra Fiskeridirektoratets karttjeneste Yggdrasil. Tett skraverte områder er gytefelt, Røde konturlinjer angir bløtbunnsområder, mørk konturlinje angir tareskog, prikket område angir området som ble dekket i gytefeltkartlegging.

 

 

Kart som viser hvor det ble samlet fisk i TRoms
Figur 28: Skisse over hvor det ble fisket med ulike redskaper og satt ut RUV rigger i Troms. De ytre lokalitetene var konsentrert rundt Sommarøy, mens de indre var lokalisert inne i Malangen.

 

Det ble gjennomført ett tokt i Troms, men innsatsen ble fordelt mellom to områder med en uke innsats i hvert område. Hensikten var å både få dekket områder som kunne sees på som ytre områder påvirket av yngel fra Nord Øst Altantisk torsk og indre fjord områder der det antatt var mer kysttorsk. For det ytre området ble feltaktivitet lagt til Sommarøy, mens for indre fjord ble aktiviteten lagt til indre deler av Malangen. Det var blitt gjennomført gytefeltkartlegging i Malangen våren 2021.

3.5.1 - Fangst teiner Troms

Totalt ble det gjort 372 teinetrekk i Troms, hvorav 180 i området rundt sommarøy og 192 inne i Malangen. Både i ytre og indre områder dominerte torsk fangstene med over 50% av alle individer som ble fanget.

 

Histogram som viser hvilke dyp som ble dekket med teiner i Troms
Figur 29: Dybdefordeling teiner i Troms.

 

I Troms ble teinene fordelt i en bred fordeling av forskjellige dyp som dekket spennet fra 2 til 21m. Det var antatt at oppvekstområder for småtorsk i Troms kunne være dypere enn i sørlige deler av landet. På grunn av standardisering av utstyr og for å få sammenlignbare data med resten av landet ble likevel fiske med teiner begrenset ned til ca. 20 m.

 

Plot som viser blå punkter i forhold til størrelse på fisk på y-aksen og dybde på fisken på x-aksen.
Figur 30: Fordeling av torsk av torsk iht. dyp de ble fanget og størrelse på fisken. Alle punktene har fått et lite tilfeldig tillegg for å ikke “overplotte”.

 

Ved å se på fordelingen av lengder i forhold til dyp kan man observere at fangstene tilsvarer to grupper torsk, de under 12-15 cm og de større enn det. Man kan da anta at det blir fanget yngel av torsk helt ned til 21 m dyp. Det kan være at innsamlingen burde strukket seg dypere for å sikre at man fikk dekket hele det som var viktige oppvekstområder for fisk og at det potensielt ikke var noen ansamlinger av yngel på enda dypere vann som ikke ble observert.

3.5.2 - Observasjoner i RUV i Troms

I Troms ble det totalt gjennomført og analysert 124 RUV observasjoner. Av disse var 55 gjort i område rundt Sommarøy mens 69 var gjort i Malangen.

 

Histogram som viser hvlike dybder som ble dekket med videorigger
Figur 31: Dybdefordeling av RUV i Troms

 

Videoriggene i Troms ble satt i områder som dekket dybder ned til 13 m. Dette var en noe grunnere enn teiner. Blant de observerte fiskene fra RUV var ikke torsk like dominerende som i teinene, med omtrent 12% av antallet observerte individer (totalt 14 948). Fra videoene ble det også observert store mengder havsil (10 713 indvider) og sei (2105), med en mindre andel av andre arter. Hvis man ser bort fra Havsil utgjorde torsk omtrent like stor del av antallet i RUV som i teiner (ca. 50%)

3.5.3 - Snurrevadtrekk i Troms

Det ble gjennomført 19 snurrevadtrekk i Troms. Av disse var 9 gjennomført i område rundt Sommarøy og 10 inne i Malangen. Som i teinene dominerte torsk fangstene i Snurrevaden med 94% av det totale antallet individer (totalt 2418 stk.). Det ble bare fanget små mengder sei og hvitting.

Snurrevaden dekket dybder fra 7 til 26 m med hovedvekt av observasjoner fra 13 til 18 m. Dette innebærer at RUV og snurrevad ikke nødvendigvis har dekket overlappende dybder. Snurrevaden er likevel mindre fleksibel i hvor den er mulig å benytte enn både RUV og teiner, selv med modifiseringer som er gjort.

4 - Oppsummering av ulike observasjonsmetoder

4.1 - Vurdering av data og analyse fra ulike observasjonsplattformer og redskaper

4.1.1 - Teiner

Teiner og snurrevad utgjør tradisjonelle fiskeredskaper der antallet individer som samles er et klart definert utvalg av det som finnes gitt fangbarhet. Data fra disse redskapene er relativt raskt og samle og opparbeide slik at komplette data kan foreligge umiddelbart etter at undersøkelsene er over. Dette i motsetning til videodata som må etterarbeides. Dette innebærer at bruk av teiner og snurrevad vil gi en umiddelbar tilgang på data, men til gjengjeld er dataene svært avhengig av personell som gjennomfører innsamlingene i felt. Som regel vil artsbestemmelse gjøres av feltpersonell og fisk vil slippes tilbake i sjøen, noe som gjør at det ikke er mulig å sjekke om datamateriale er riktig når det kommer til blant annet artsbestemmelse. Dette betyr at fiske med teiner og snurrevad er avhengig av kompetent personell på felt, mens video er avhengig av kompetent personell til etterarbeid.

Fangst i teiner vil til dels være avhengig av hvor lenge redskapen står ute. I alle våre feltundersøkelser har teinen stått i tilnærmet 24 timer, men ettersom det kan ta lang tid å trekke alle teinene vil noen stå lengre. Hvis vi sammenligner fangst med tidspunkt for trekking, kan vi anta at de som er trukket sent på dagen, både har fisket gjennom natta og over en lengre dagperiode.

 

Plot som viser røde, blå, grønne og grå punkter over fangst i teiner trukket på ulike tider av dagen. en trendlinje viser økende fangst utover dagen.
Figur 32: Det var en tilsynelatende en positiv sammenheng mellom tid på dagen for trekking av teiner og mengde fangst. Representert med den svarte linjen, når bare disse faktorene vurderes. Forskjeller i fangst mellom ulike områder utligner denne effekten. Her er forskjellige regioner merket med forskjellige farger. Grønne punkter er Gulen, blå punkter er Trøndelag og røde punkter er Troms. Åpne punkter er Oslofjorden.

 

Det var tilsynelatende en signifikant positiv effekt av når på dagen teinene ble trukket, slik at fangsten kunne se ut som den økte utover dagen. Denne effekter ble likevel ikke signifikant (p=0.357) dersom man samtidig korrigerte for forskjeller i fangst mellom ulike områder. Dette skyldes at trekking av teiner de forskjellige område ikke ble gjort helt på samme tider av døgnet. Denne effekten kan likevel være forskjellig for ulike arter, og det kan derfor være fordelaktig å kontrollere for tid i sjøen ved analyser av teinefangst for enkelte fisker.

For å analysere antall fisk i teiner i forhold til habitat vil det være nødvendig med en nøyaktig habitatbeskrivelse for plasseringen av teinene. Ved Bolærne ble dette gjort ved at et område først ble undersøkt med RUV, før teinene ble plassert så nøyaktig som mulig etter oppgitte koordinater. Dette var en relativ usikker metode, spesielt på større dyp. Det var vanskelig å treffe nøyaktig i små områder, og teinene kunne lett drive av et markert punkt før de nådde bunnen.

I 2020 ble det brukt et drop-kamera, som ble senket ned og observerte bunnforhold og vegetasjon før teinene ble plassert. Dette var tidkrevende og usikkert, pga. drift med vind og strøm av både båt, teine og kamera.

I 2021 ble det brukt en kamerarigg som kunne festes på teinene, der et GoPro HERO8 Black ble senket ned sammen med teina, filmet bunnforhold og hvordan teina la seg, før det ble utløst og dratt til overflaten. Dette gav muligheten for en nøyaktig beskrivelse av habitatet, med muligheten for å gå tilbake og analysere filmene i ettertid. Hver teine ble filmet med dato/klokkeslett og teine-nummer, og det kunne henges på en Castaway CTD nederst ved teine-festet, for dybde- og temperaturdata på hver teine.

Undervannsbilde av en teine på sand og mudderbunnn. Undervannsbilde av en teine på sand og mudderbunnn med tareplanter.

Undervannsbilde av en teine på sand og mudderbunnn med større tareplanter.

Undervannsbilde av en teine på sand og mudderbunnn med kråkeboller.
Bilde 14: Bilder av teiner plassert i ulike habitater.

 

Totalt sett gir teiner entydige tall på antall fisk pr. observasjon, som er lett å analysere. Problemer rundt artsidentifisering er minimale, og problemer rundt observasjoner av habitat har fått en god løsning. Dette gjør teiner til en egnet observasjonsmetode fra et datanalyseperspektiv.

4.1.2 - Snurrevad

Snurrevad og strandnot sleper over et stort område og vil også gi entydige tall på antall fisk pr. trekk. Det er likevel ikke mulig å differensiere nøyaktig på hvor fisk er fanget, og fisk kan bli fanget i mange ulike habitater og forskjellige dyp.

Snurrevaden har blitt utstyrt med en fastmontert kamerarigg (laget av Jostein Saltskår). Denne står i åpningen på snurrevaden, og gir muligheten for å feste to kameraer for å observere fangst-effektivitet, og eventuell tilstedeværelse av andre arter enn de som faktisk blir fanget, i de tilfellene hvor fisk kan rømme unna.

Kamera med innebygd CTD vil være en fordel også på snurrevaden, da vi vil få en bedre oversikt over hva slags dyp og bunntype den faktisk er trukket over, i forhold til nåværende metode der dybde registreres på båtens ekkolodd.

Snurrevad gir klare og entydige tall, men disse vil være sterkt påvirket av arealet som dekkes, så de må omregnes til fisk pr. areal. Disse tallene vil da ikke være direkte sammenlignbare med data som har enhet antall fisk pr. observasjon.

4.1.3 - RUV

I en videofilm vil vi registrere alle fisker som beveger seg innenfor synsfeltet i løpet av tiden RUV riggen står ute. Avstand fra kamera hvor fisk kan observeres og identifiseres kan reduseres av vegetasjon, sikt, og reduserte lysforhold. Dette vil gjøre at video også vil være påvirket av både systematisk (dynde) og variable effekter (Vær), og påvirke data på artsriksdom og antall fisk som registreres. Varierende tid som en videorig står ute vil også potensielt kunne påvirke hvor mange arter og individer som osberveres.

Minimumstiden det tok fra videoriggen ble satt ut til de første observasjonene av fisk ble gjort var fra ca. 1 min til 55 min. Det vanligste var at det tok under 10 minutter før første fisk ble observert på video.

 

Figur som viser forventet mot observert andel av arter over tid sett fra en videorigg. Andel observerte arter ligger under forventet ratio helt til å begynne med, men svinger etterhvert opp over forventet ratio.
Figur 33: Tid før første observasjon. Andelen av det totale antallet individer fra alle arter fisk som er observert i løpet av perioden videoriggene stod ute (blå linje). Dersom alle individer opptrer uavhengig av hverandre og er jevnt fordelt i tid bør observasjonene følge den svarte linjen.

 

De første minuttene etter at en kamerarigg er satt ut blir det observert noe færre fisk en om de var helt tilfeldig fordelt ut over tid. Dette kan skyldes en skremmeeffekt av selve utplasseringen, men allerede etter 2-3 minutter øker likevel den akkumulerte mengden observerte individer. Den raske økningen fra 2-3 til 7-8 minutter kan skyldes at videoriggen har virvlet opp mat i umiddelbar nærhet som fungerer som agn. Dette kan også forklare at mengden observerte individer etter hvert ligger over det som ville vært forventet basert på en tilfeldig fordeling. Denne effekten vil være forventet å være forskjellig for ulike arter. Små territorielle arter kan i større grad reagere på denne “agn”-effekten, mens fisk som søker mat over større områder som torskefisk i større grad vil opptre tilnærmet tilfeldig i tid.

 

Plot som viser punkter for avstand og lengde på fisk observert fra videorigger. En blå trendlinje viser en sammenheng mellom størrelse og avstand fra kamera.
Figur 34: Sammenheng mellom størrelse på observert fisk og avstand til fisken.

 

Resultater fra videoanalyse avhenger av bildekvaliteten som bestemmes av sikt, lysforhold og kameraløsning. Dårlig kvalitet kan gjøre at fisk langt fra kamera kan være både vanskelig å oppdage og vanskelig å artsbestemme.

I vårt material er det en signifikant sammenheng mellom hvor langt fra kamera en fisk er og hvor stor den er. Fisk på under 10 cm ble ikke observert lengre fra videoriggen enn 1.6 m, mens «stor fisk» ble observert så langt borte som 5m. I avstander mindre enn 2m til 3m er ikke denne effekten signifikant. For torskefisk totalt var det også en signifikant forskjell (p<0.005) i gjennomsnittlig avstand fra kamera mellom de som kunne artsbestemmes som torsk og de som ikke kunne artsbestemmes. For fisk som kunne artsbestemme som torsk var snittavstanden 1.4m, mens for gruppen torskefisk, som ikke kunne artsbestemmes videre, var snittavstanden til kamera 3m.

Dette kan indikere hvordan bruk av video er sensitivt til avstand fra kamera og at registreringer av juvenile arter kan være vanskelig på store avstander. Dette indikerer da at det bør benyttes en avstandsgrense for hvilke fisker som ekskluderes fra datasettet.

Den anvendte videoppløsning på 1920x1080 piksler gjør at det finnes et fysisk bestemt maksimal avstand fra kamera hvor en fisk på 5 cm kan identifiseres, da den vil avbildes med gradvis færre piksler. En løsning kunne være å filme i høyere oppløsning (4K) men dette vil frembringe utfordrende datamengder og avstanden ville i mange situasjoner uansett bestemmes av andre faktorer.

Kameratekniske begrensninger kan også gjøre at video blir kornet eller for mørkt i dårlige lysforhold, noe som gradvis reduserer avstanden for sikker artsbestemmelse. Og denne avstanden vil variere med både art og størrelse på fisken. Lysforhold påvirkes av vær (sol/overskyet), solvinkel, sikt og dybde, og også tapet av farger med dybden kan ha effekt.

Det var ikke sammenheng mellom dybde som riggen sto og den maksimale avstanden fisk (både voksen og yngel) ble observert. Det betyr at muligheten for å oppdage yngel, i våre data, ikke var påvirket av redusert sikt i form av dybde.

Data inkludert her kan tyde på at det kan være hensiktsmessig å ekskludere de første 10 minuttene av hver film for å unngå skremmeeffekter og tiltrekningseffekter på antall fisk observert. For å kartlegge tilstedeværelse av den minste fisken kan den også være hensiktsmessig å definere arbeidsrommet for videoriggene som alt innenfor 3 meter, og at observasjoner lengre fra ikke nødvendigvis vil reflektere riktig fordeling av den minste fisken.

For fiskeredskaper vil nesten alltid fangst være et klart definert heltall individer som er fanget i redskapen. For video vil det at fisk beveger seg ut og inn av synsfeltet gi ulike utfordringer for hva som skal regnes som en registrert fisk i en videofilm. Den vanligste praksisen for undervannsvideo er å bruke det bilde som har høyest tetthet av en gitt art. Antallet fisk på dette bilde vil registreres som «MaxN». Dette gir god mening for agnede videorigger der agnet tiltrekker og «holder» på målarten man har agnet for å fange. Alternativet kan være å telle all fisk man ser, dvs. at det telles hver gang en fisk kommer inn i bildet. Disse to metodene vil være ulikt påvirket av adferd og begge kan gi feil estimat på den sanne tettheten av fisk.

  • En stim på ti fisker kommer inn i bildet vil gi et tall på 10 enten det benyttes MaxN, eller telling av alle individer.

  • Ti fisker som opptrer alene og som kommer inn i bildet, en og en, vil kunne telles som 10 fisk dersom alle telles, men maxN vil bare være en.

  • En fisk som svømmer rundt kamera vil kunne komme inn i bilde ti ganger og telles som 10 fisk dersom alle registreringer telles, mens MaxN vil registrere dette som 1 fisk.

I analyser gjennomført i dette prosjektet er i utgangspunktet alle nye fisker telt, ettersom det ikke er benyttet agn og målet er å samle data på mange arter med ulik adferd. For å redusere feilkilden ved sistnevnte eksempel er observasjoner filtrert både på hvor lang «borte» tid en fisk har og på lengde. Hvis en fisk forsvinner ut av bilde og det like etterpå dukker opp en like stor fisk på samme sted, er dette regnet som samme fisk, og den er derfor ikke telt som ny. For enkelte fisk som opptrer i store mengder og der mange har samme lengde kan dette likevel gi et feil bilde av størrelsesfordelingen da det vil tendere mot å fjerne for mange individer som er av lik lengde.

I områder med mye fisk som svømmer i stim kan det være svært tidkrevende å telle alle fisk og samtidig avgjøre hvilke som er nye og hvilke som midlertidig har vært ute av kameraets synsvinkel. For å få anslag på antall fisk som er til stede i slike store stimer kan et videoopptak stratifiseres både i tid og bilde. En videosekvens kan deles inn i intervaller der bare noen enkelte bilder telles for så å beregne gjennomsnitt av antallet individer i de ulike intervallene. Det vil også være mulig å telle fisk i bare en del av et videobilde som et utvalg av hele bildet og estimere det totale antallet fisk.

 

Undervannsbilde av bevokst bunn med fisk.
Bilde 15: Stort antall bergnebb og 0-gruppe torsk utfordrer opptellingen når de er svakt synlige i bakgrunner eller hyppig forsvinner in og ut av bilderammen.

 

Disse utfordringene gjør at antallet fisk registrert i en videofilm ikke nødvendigvis vil være et sammenlignbart tall mellom ulike studier (de som benytter maxN eller ikke) eller mellom ulike arter. Arter som opptrer sjeldent, vil være registrert som direkte enkelt observasjoner, mens stimfisk kan være registrert som estimater. Det vil likevel være viktig at de samme artene registreres på tilsvarende måte i alle habitater og i alle områder.

4.1.4 - videotransekt

Videotransekt med drone kan egne seg godt til å gi oversikt til fordeling av bunnhabitater og gjøre generell habitatkartlegging.

Figur som viser søyler med ulike farge som indikerer habitat i forskjellige dyp på forskjellige lokaliteter. Figur som viser søyler med ulike farge som indikerer habitat i forskjellige dyp på forskjellige lokaliteter.

Fig. 35: Vertikalfordeling av substrat og vegetasjonstyper med dyp (0-20 m) på tre stasjoner i Bolærne Ytre Oslofjord og klassifisert fra dronetransekter. For substrat (til venstre) er grå: fjellbunn, blå: blokker, rød: sand og stein, grønn: mudder. For vegetasjon er gul: tangbeltet, brun: taresonen (sukker-/stortare) med vekslende innslag av trådformede alger, rød: rødalgesonen, grå; ingen vegetasjon, svart: data mangler.

Drone kan også brukes til telling av fiskeyngel, men det er utfordringer med standardisering og stabilitet, avhengig av metode, modell og utstyr. Bildefelt kan standardiseres ved bruk av stereo-video eller kjøre fast høyde over bunn. Mindre droner påvirkes av strøm og vær noe som kan redusere kvaliteten av kvantitative data. Og større droner kan større potensielt skremme fiskene mer. Varigheten av dronetransektene er også relativt korte og gir færre observasjoner av fisk i forhold til tilsvarende RUV-observasjoner.

Erfaringene fra uttestingen av droner var positive, og det var tilsynelatende liten reaksjon fra fisk på tilstedeværelsen av små undervannsdroner. Fisk som gjemmer seg i vegetasjonen registreres ikke like bra med denne metoden sammenlignet med stasjonære visuelle metoder eller fangst. Metoden kan heller ikke registrere størrelse på fisken uten at stereovideo utvikles for droner.

Droner har til nå blitt benyttet i prosjektet primært for å få en oversikt over et område og habitat, men data på fisk er ikke analysert.

4.1.5 - Akustikk

Akustikk har vært testet ut i prosjektet om enn ikke på alle tokt pga. mangel på tilgjengelige ressurser og utstyr. Data behandlet her stammer fra tester som ble gjort i Oslofjorden.

I ekkogrammet i Figur 36 kan man se fisk og andre organismers døgnaktivitet analysert fra WBAT bunnstående ekkolodd. Høyest aktivitet av både fisk (sorte prikker) og mindre organismer (blant annet små krepsdyr og børstemark, blågrønn farg) ble funnet rundt sol opp- og nedgang. Tidligere studier (Norderhaug m.fl. 2005) har vist at rovfisk kommer inn og spiser på tareskogens yrende liv av evertebrater på natten og holder seg dypere om dagen, men ekkogrammet viser at denne aktiviteten er særlig stor i svakt lys. Tilgang på mat og faren for predatorer er dermed størst på samme tider av døgnet.

Ekkogrammer kan brukes til å vise generell døgnaktivitet for små og store fisk som er nyttig for den helhetlige forståelsen av variasjon i yngelmengde samlet med andre metoder. De viser at tidspunktet på døgnet er viktig for resultatet.

Ekkogram som viser punkter som representerer fisk og andre dyr i forskjellige dyp gjennom perioden et ekkolodd stod ute på bunnen.

Fig. 36. Ekkogram som viser døgnaktivitet til fisk og evertebrater i sukkertareskog på Hvaløy. Havoverflaten kan sees på toppen siden ekkoloddet pinger oppover. Den røde linjen øverst markerer den delen av vannsøylen som har for mye bølger (støy) til å telle fisk. Den horisontale linjen nederst viser nærfeltet til svingeren og de vertikale linjene deler ekkogrammet i 5 soner (Dag1, solnedgang, natt, soloppgang og dag 2). Sorte prikker markerer identifisert fisk og blå-grønne farger er sannsynligvis evertebrater som svermer om natten.

Basert på ekkogrammene er mengden fisk (antall/m3) beregnet for de ulike periodene gjennom døgnet og presenter i figur 37 for Hvaløy. Her var aktiviteten størst for fisk gjennom natten, mens det var mest aktivitet ved solnedgang og soloppgang på de fleste stasjoner som ble undersøkt i 2020.

En figur som oppsumerer ekkogrammet og viser mengde fisk på forskjellige tider på døgnet.

Fig 37 Mengde fisk (antall/m3) ved ulike tidspunkter, eller tider på døgnet ved Østre Bolærne.

En figur som oppsummerer ekkogrammet og viser mengde fisk på forskjellige tider på døgnet og på forskjellige steder..

Fig 38 Mengde fisk (antall/m3) gjennom døgnet på stasjoner fra undersøkelser gjennomført i 2020.

Juvenil fisk har svakt ekko og kan være vanskelig å skille fra større krepsdyr og små fisk som kutlinger. Video fra de samme stasjonene ble brukt til å si noe mer om hvilke arter som ble identifisert på ekkogrammene. Ekkogrammene ble sammenlignet med video fra BRUV som ble satt ut på de samme stasjonene dag og natt og to eksempler er vist i figurene 37 og 38.

4.2 - Komparativ vurdering av fangbarhetseffekter for ulike redskap og observasjonsplatformer

4.2.1 - Fordeling av arter - Adferd

Ulike arter kan tenktes å i hovedtrekk ha ulik adferd og ulike størrelse som gjør at fangbarheten vil være forskjellig mellom ulike redskaper. For å vurdere artsselektivitet kan vi sammenligne mengdene som er observert fra de forskjellige redskapene på tvers av områder og regioner. Nøyaktige mengder som observeres kan tenkes å være påvirket av mange faktorer som potensielt kan variere mellom de ulike områdene og for å analyseres nummerisk kreve en balansert design over svært mange kovariater. Tall fra de forskjellige redskapene vil også være fundamentalt forskjellig på mange områder (se kap. 4.1). Man kan likevel gjøre noen generelle betraktninger ved å kvalitativt vurdere om fisk opptrer vanlig, sjeldent eller om de ikke er observert med en gitt metode.

Tabell 5: Oversikt over antall individer fanget av forskjellige arter i de ulike redskapene. Kun arter av fisk er inkludert i tabellen. Enkelte arter med liten kommersiell betydning og der fangsten er vurdert som svært sjeldne og tilfeldig er ikke tatt med i tabellen. Antall observasjoner er gitt ved «N= «øverst i tabellen. Arter uten registrering i gitt redskap er markert som rødt. Arter som er vurdert som å opptre med “få” observasjoner er merket lyserødt. 1) Fangst i kolonnen teiner inkluderer også fangst i ruser i Oslofjorden. 2) fangst i snurrevad inkluderer også fangst i strandnot i Oslofjorden.

Arter Antall i teiner1 N=1512 Antall i RUV N=507 Antall i Snurrevad2 N=127
Torsk 1374 3062 3179
Lyr 73 559 127
Sei 72 12 669 172
Hvitting 13 19 300
Hyse   67 12
Øyepål 2 104 1257
Sypike 20 2352 400
Bergnebb 1887 512 130
Berggylt 18 102 3
Gressgylt 10 198 5
Grønngylt 3131 204 14
Blåstål 8 217  
Sjøørret   12 2
Rødspette 1 25 23
Sandflyndre 1 101 75
Skrubbe     13
Bergkutling 53 1 24
Leirkutling   52 1
Sandkutling 19 265 657
Svartkutling 1083 7 36
Tangkutling 78 12 528 1430
Makrell   335  
Sild   3204  
Tangbrosme 23    
Tangsprell 40   6
Dvergulke 65 3 1
Vanlig ulke 60 1 5
Ålekvabbe 35 2 6

Totalt 85 forskjellige arter eller grupper av arter ble registrert i fangsten fra teiner, video og snurrevad. Av dette var 68 ulike arter eller grupper av fisk.

Torsk: Torsk er en av de viktigste målartene for å kartlegge oppvekstområder og fanges i stort antall i alle redskaper. Fangsten pr. observasjon er minst for teiner og høyest for snurrevad, alle redskap gir likevel mye og tilstrekkelig data som vil kunne brukes til analyse av preferanse i forhold til ulike miljø parametere.

Torskefiskene ble fanget i til dels stort antall også under 25 cm. Fisk mindre enn 25 cm kan både være 0-gruppe og 1 åringer i ulike deler av landet, men snittstørrelsen på fisk under 25 cm var 14 cm og tyder på at små fisk er fangbare. Det er ut fra dette vurdert at torskefisk vil være en viktig og mulig gruppe arter å vurdere med tanke på å finne representative oppvekstområder.

Øvrige Torskefisk: de andre torskefiskene som er viktige målarter å undersøke oppvekstområder for er lyr, sei, hyse og hvitting. Relativt sett fanges det lite av de øvrige torskefiskene i teiner, men de blir observert i tilstrekkelige mengder i de øvrige redskapene. Video fanger opp svært store mengder sei, særlig i Troms. Det lave antallet hvitting i video kan skyldes problemer rundt artsidentifisering. På video kan det være vanskelig å nøyaktig bestemme særlig små fisk, mens dette er ikke et problem med teiner og snurrevad dersom personell har god artskompetanse.

Øyepål er kommersielt viktig og fanges nesten utelukkende vha. snurrevad. Det er viktig å bemerke at mesteparten av observasjonene av øyepål stammer fra kun 12 snurrevadhal. De er i disse halene registrert som 100 fisk (med til sammen 1200), men dette er bare et indikatortall på “svært mange”. Reelt er derfor fangsten av øyepål i snurrevad langt høyere. All øyepål som er fanget er lite varierende i størrelse og er stort sett 5-10 cm (snitt 7cm). Dette indikerer at stimfisk som øyepål opptrer med en svært skjev tetthetsfordeling i ulike observasjoner, noe som gjør det vanskelig å koble observert mengde fisk til ulike habitater. Det relativt sett høyere fangbarheten kan være knyttet til adferd som gjør øyepålen lite aktiv annet enn når den skremmes av en snurrevad.

Leppefiskene bergnebb og grønngylt fanges i størst grad i teiner. Berggylt og blåstål/ rødnebb derimot ser ut til å i noe større grad bli observert på video. Bortsett fra Bergnebb fanges leppefisken dårlig med snurrevad. Dette kan skyldes at snurrevadtrekkene i mindre grad har dekket de typiske leppefiskhabitatene og i større grad dekket åpen mudderbunn.

 

To histogrammer som viser fordeling av antall i ulike størrelseskategorier av leppefisk
Figur 39: Størrelsesfordeling av all fangst av Bergnebb (øverst)og grønngylt (nederst).

 

Av leppefisk blir det primært fanget voksne individer og i liten grad yngel. Det er fanget enkelte svært små leppefisk, men mest sporadisk. Oppvekstområder fra leppefisk er likevel antatt å være tilsvarende habitat som voksen leppefisk foretrekker. Data fra fangst av voksne leppefisk kan benyttes videre i analyser av habitatpreferanse.

Sjøørret er bare observert et fåtall ganger, men disse er utelukkende på video og snurrevad. Dette styrker øvrig oppfattelse om at teiner er uegnet for å dokumentere sjøørret.

Flyndrefiskene fanges i liten grad i teiner, men ser ut til å kunne fanges i snurrevad. Den lave fangbarheten i teiner er antatt å være knyttet til adferd. Mange flyndrefisk kan være vanskelig å artsbestemme selv med det fysiske eksemplaret til stede. Dette vil kunne være enda vanskeligere ved utelukkende å bruke observasjoner fra video. Totalt ble det observert flyndrefisk fra 7 ulike arter, men bare sandflyndre er observert i stort nok antall at det kan konstrueres en egen størrelsesfordeling.

 

To histogrammer som viser søyler tilsvarende antall flyndrefisk i forskjellige størrelsesgrupper. Flyndrefsikene er "diverse flyndrefisk" og "Sandflyndre".
Figur 40: Størrelsesfordeling av alle flyndrefisker. Mange flyndrefisk ble fanget i mindre mengder og er slått sammen i øverste fordeling; “diverse Flyndrefisk”. Sandflyndre er fanget i større mengder totalt og har fått egen størrelsesfordeling nederst. Primært er fangst av flyndrefisk dominert av større individer.

 

Diverse Flyndrefisk inneholder kveite, lomre, rødspette, skrubbe, tunge og flyndrefisk ikke bestemt nærmere til art. Det er likevel vanskelig å bruke data fra sandflyndre da det bare er et fåtall fisk under 15 cm. Størrelsen på flyndrefisker tilsier at det som fanges i stor grad er voksen fisk og at ingen av metodene vil være egnet for å undersøke oppvekstområder for flyndrefisk. Dette kan skyldes at undersøkelsene ikke i tilstrekkelig grad har klart å dekke områder som er gode oppvekstområder for flyndrefisk.

De minste fiskene som kutlingene fanges best på video og i snurrevad. Dette kan nok skyldes at mesteparten av fiske som er gjennomført med teiner er gjort med en maskevidde der fangbarheten for den minste fisken er liten. Svartkutling derimot, som er noe større enn de øvrige kutlingene, fanges best i teiner. Dette kan indikere at de har en adferd som gjør dem vanskeligere å oppdage på video. Dette kan blant annet være dersom den i større grad enn de øvrige er nattaktiv da videoriggene kun har filmet på dagtid.

Makrell og sild er raske pelagiske arter som ikke går i teiner og som muligens også er vanskelig å fange med snurrevad da de lettere kan komme seg unna før de blir fanget. Observasjonene gjort av disse er primært voksen fisk og ikke av yngel.

Arter av ulker, tangbrosmer og ålekvabbe blir i stor grad fanget i teiner, men i liten grad observert med de øvrige metodene. Dette kan indikere at de har en adferd der de enten gjemmer seg og er vanskelig å oppdage med kamera, eller er nattaktive.

Noen arter som kan ha en kommersiell betydning eller viktig økologisk betydning er i liten grad observert med noen redskap. Bla disse kan nevnes Brosme, Lange, Nålefisker, Stingsild, Knurr, Uer, Rognkjeks, Fjesing, Steinbit, Breiflabb, Sil, Fløyfisk, flere bruskfisk samt flere pelagiske fisk som Brisling og delvis arter som sild og makrell, Lodde. Flere av disse har mest sannsynlig ikke oppvekstområder i kysten eller opptrer kun sporadisk så selv med mange observasjoner er det lite sannsynlig å observere på grunt vann.

Sammenligning av hvilke arter som blir observert i de ulike redskapene kan det tyde på at teinene i størst grad er sensitive i forhold til adferdsforskjeller mellom ulike arter. Pelagiske arter og arter som beveger seg noe mer over bunnen er mindre tilbøyelige til å bli fanget i teinene, enn arter som er nærmere knyttet til bunnen. På den andre siden vil teinene, som står ute over natta, i større grad kunne fange opp fisk som er mindre aktive om dagen. For torsk kan teiner være et godt redskap, men for de øvrige torskefiskene kan snurrevad og video være bedre egnede redskaper for representativ innsamling.

Ulik adferd vil også slå ut i hvordan fisk observeres. Fisk som ofte går i stim, vil typisk observeres med enten mange eller ingen individer pr. observasjon. Fisk som har veldig sterk tilknytning til et habitat, vil også observeres med høy variasjon gitt at både foretrukne og andre habitater er undersøkt. En enkel test på hvor ujevne observasjonene kan være er å sammenligne variasjon med gjennomsnitt (CV). Et høyt tall vil indikere at variasjonen er større enn gjennomsnittet og dermed er observasjonene forskjøvet mot enten null eller mange individer. Ved å bruke:

Formel som sier at "coefficient of variation" forkortet CV er stadardavvik delt på gjennomsnitt.

På alle artene fra video som er observert flere enn 50 individer (tilsvarende i 10% av alle observasjoner) kan ulik adferd vurderes. Blant artene med lav CV og dermed i større grad tilfeldig fordeling (CV<5) finner vi lyr (2.0), tangkutling (2.3), bergnebb (2.6), blåstål (2.7), sandflyndre (2.9) torsk (3.1) grønngylt (3.2). Med høy CV finner vi (sypike 5.2), leirkutling (5.7), glasskutling (6.4), hyse (6.7), sei (7.0).

4.2.2 - Fordeling av størrelse

Ved å vurdere fangst fra alle ulike typer observasjoner er det antatt at det har vært mulig å fange inn de størrelsene av ulike fisker som er til stede, selv om det kan være fangbarhetsforskjeller mellom fisk.

 

Tre histogrammer som viser antall fisk i forskjellige størrelsesgrupper for torsk fanget i hhv teiner, snurrevad og som ble sett på video.
Figur 41: Fordeling av torsk i ulike størrelsesklasser for RUV, Teiner og Snurrevad i Trøndelag. Figuren er hentet fra masteroppgave av Ida Camilla Aluwini Skaar. Den røde linjen avgrenser det som antatt er små unge fisk (0-gruppe og I-gruppe) og større eldre fisk.

 

Ved å sammenligne torsk fanget i de tre metodene i Trøndelag kan de ulike redskapenes evne til å fange opp forskjellige størrelser vurderes. Det er antatt at alle tre redskapene gjør observasjoner fra den samme populasjonene med fisk, så forskjeller vil være betinget av de ulike redskapenes evne til å fange opp bestemte størrelser. Den vertikale røde linjen i figuren kan representere et skille mellom små (0-gruppe og ettåringer), og større fisk (2 åringer og eldre). Basert på observasjoner fra film i snurrevad var det antatt at bare enkelte store fisk unnslapp snurrevaden og at denne redskapen derfor fanget tilnærmet mest representativt. De andre kan da sammenlignes opp mot snurrevad. Teinen fanger godt på det som er antatt er I-gruppe, men 0-gruppe fisken er underrepresentert. Det er viktig å bemerke at «teinefangst» i figuren er baserte på vanlige leppefiskteiner og ikke de finmaskede. Teinene fanger i liten grad stor fisk, noe som skyldes at inngangene er stripsen nettopp for å hindre at stor fisk går inn. Video fanger opp både stor og små fisk, men har tilsynelatende mye større relativ andel av stor fisk. Dette kan skyldes at små fisk er vanskeligere å se og artsbestemme på lang avstand. Videre kan det også se ut som video i mindre grad klarer å fange toppen av fisk rundt 20 cm. Dette kan skyldes at fisk av samme størrelse er fjernet for å kompensere for at fisk kan svømme ut og komme tilbake i bilde (se kap 4.1). Dette kan være med å bidra til at størrelsesfordelingen av fisk fra video er bredere og i større grad består av fisk med forskjellig størrelse enn for snurrevad og teiner.

4.2.3 - Bruk i ulike habitater definert ved vegetasjon

Prosjektets overordnede målsetting er å analysere tilstedeværelse av arter i ulike habitater og kombinasjoner av miljøvariabler for å vurdere hva som er foretrukket oppvekstområder.

Det kan være vanskelig å skille om et antall individer observert gjennom et redskap eller en observasjonsplatform er et resultat av tilstedeværelse eller om det er en habitateffekt av fangbarhet i kombinasjon med redskapen. Tett vegetasjon kan gjøre at sikten blir dårlig for visuelle metoder. Åpne områder kan også gjøre at teiner er mer tiltrekkende som skjul for mindre individer.

I denne rapporten er de overordnede linjene for fangbarhet vurdert. I neste del av prosjektet vil det gjøres en mer detaljert analyse av betydningen av ulike egenskaper hos habitatene. For å se på de overordnede prinsippene for vurdering av fangbarhet mellom redskaper har vi her eksempelvis sammenlignet to arter som opptrer i forholdsvis hyppig i både teiner og undervannsvideo. Disse artene er torsk og bergnebb.

 

Fire boksplot som viser fordeling av fanget torsk og bergnebb pr video og pr teine. hvert boksplot viser fangst i vegetasjon og fangst i områder uten vegetasjon.
Figur 42: Boxplot som viser fangst pr. enhet innsats (CPUE) for artene torsk og Bergnebb i RUV og teiner iht. om lokaliteten var notert med eller uten vegetasjon. Observasjoner av Bergnebb er i samsvar mellom teiner og RUV, mens observasjoner av Torsk spriker.

 

For bergnebb viser både teiner og RUV den samme tendens mot at vegetasjon har en betydning på mengde observert (cpue). Begge metoder gir et resultat som peker mot at bergnebb blir observert hyppigere på steder med vegetasjon.

For torsk er ikke tendensen den samme for teiner og RUV. På video er det lite forskjell mellom antallet som observeres i områder med og uten vegetasjon. Det er en liten positiv effekt, men denne er ikke signifikant. For data samlet fra teiner er det en tydelig negativ og signifikant effekt (p= 1.17e-09) av vegetasjon. Fangsten av torsk er betydelig høyere i områder uten vegetasjon. Disse motstridende resultatene kan peke mot at det ene eller begge redskapene er påvirket av habitatsbetinget fangbarhetseffekter. En forklaring kan være at teinefangster estimerer lavere tetthet i vegetasjon da teiner ikke i like stor grad vil oppfattes som attraktivt skjul i områder med vegetasjon og derfor fange dårlig.

Fire boksplot som viser fordeling av fangst av torsk og bergnebb pr teine og pr video. Hvert boksplot viser fangst fra hardbunn og bløtbunn. Figur 43: Boxplot som viser fangst pr. enhet innsats (CPUE) for artene torsk og Bergnebb i RUV og teiner iht. om lokaliteten var notert med hardbunn (stein og store steiner) eller bløtbunn (sand eller mudder). Observasjoner av Bergnebb er i samsvar mellom teiner og RUV, mens observasjoner av Torsk spriker.

For Bergnebb er det som for vegetasjon den sammen tendens i begge observasjonsmetoder. Det er tilsynelatende dårligere fangster, dvs. færre fisk til stede på sand og mudderbunn enn på hardbunn. For torsk er det lite forskjell mellom mengde fangst i teiner, mens på video er det observert mer torsk på bløtbunn enn på hardbunn. Dette kan være en fangbarhetseffekt, men dette kan også være forårsaket av at video og teiner opererer over ulike tidsperioder og på ulike tider av døgnet. Ettersom torsk har større grad av døgnvariasjon i aktivitet (Espeland m.fl. 2010) kan mudderbunn representere et daghabitat, mens teinene også vil samle natthabitater.

For å kunne skille mellom ulike effekter vil det være nødvendig å gjøre en mer omfattende analyse av hvilke kvaliteter i et habitat som påvirker både tilstedeværelse av fisk og fangbarhet. I prosjektets først fase ble det fokusert på å samle inn data med flere redskap og over et bredt spekter av miljøvariabler. I denne fasen ble habitat vurdert på et overordnet nivå der man etterstrebet å samle data i hovedgrupper av vegetasjon (som ålegress, tareskog) og utenfor vegetasjon basert på eksisterende habitatskart. Det er likevel ikke sikkert at denne inndelingen er tilstrekkelig for å vurdere hva som er gode oppvekstområder. For enkelte typer vegetasjon kan for eksempel høyden på vegetasjon ha mer å si enn hva slags type vegetasjon dette er. Spesielt for arter som primært benytter habitat som skjul for predatorer. For andre arter kan type vegetasjon være sentralt ettersom ulike typer vegetasjon kan skape ulike byttedyr-miljøer.

For å identifisere viktige egenskaper ved habitater som kan påvirke både preferanse og fangbarhetseffekter for fisk vil prosjektet gjennomføre en “expert elicitation” workshop basert på det innsamlede materiale. Etter dette vil vi gå tilbake og reklassifisere alle observasjoner der det er samlet visuell habitatinformasjon gjennom bilder.

4.2.4 - Fangbarhet for ulike redskaper i ulike dyp

I kap 4.1.3 ble det nevnt at det ikke var sammenheng mellom størrelse på fisk og dybden fisken ble observert på Video. Det betyr mao. at våre data ikke indikerer at det ved store dyp ikke blir observert små fisk, men bare stor fisk. Det kan likevel være dybderelaterte fangbarhetseffekter dersom både tilstedeværelse av fisk av forskjellig størrelse og fangbarhet av fisk med ulike størrelse variere med dyp. For å vurdere fangbarhetseffekter vil det som for habitater være best å sammenligne på tvers av redskap og for fisk som blir fanget i stort antall i både RUV og teiner.

Fire plot som viser modellerte sammenheng mellom fangst pr enhet innsats og dyp. Plottene viser resultater for torsk og bergnebb med data fra teiner og fra video. Figur 44: Plottene viser sammenheng mellom fangst pr. enhet innsats (CPUE) og dybde for teiner og RUV for de to artene Torsk og Bergnebb som begge ble fanget i større mengder i begge redskaper. Sammenhengen er basert på en generalisert additiv modell (GAM). Forskjellige kurver mellom ulike redskap for samme art kan indikere dybderelaterte fangbarhetseffekter.

For både Torsk og bergnebb viser data fra teiner en avtagende fangst med dyp, selv om ikke denne er like påfallende for torsk. Fra data fra RUV er det større forskjeller og trendene avviker tydelig fra hva som er vist ved teiner. Det er likevel viktig å bemerke to forhold ved disse dataene. Det første er at som tidligere vist har det ikke vært mulig å sette verken teiner eller videorigger i en jevn og bred dybdefordeling for alle områder. Dette innebærer at noen dybde intervaller kan være tungt påvirket av regionale effekter. Fordelingen av teiner og video har heller ikke vært lik i samme regioner slik at spesielle dybder i noen regioner med mye fisk kan være overrepresentert i den ene typen observasjoner, men ikke i den andre. Dette betyr at en del av den variasjonen som er forklart i disse figurene også kan forklares dersom man samtidig analyserer cpue i forhold til mange andre kovariater. Det andre forholdet er at modellene som kun kobler dybde og fangst (cpue) forklarer en relativt liten andel av variasjonen i datasettene. For Teiner forklares 3% (torsk) og 12% (Bergnebb) av variasjonen, mens for RUV forklares 17% (Torsk) og 7% (Bergnebb). Dette indikere også at dybde i seg selv utgjør en ganske liten forklaringsvariabel med tanke på fangst pr. enhet innsats og at det ikke må legges for mye biologisk tolkning i plottet over. Dette kan indikere at på det overordnede nivå er det ikke data som tyder på at det er store forskjeller i fangbarhet mellom disse to redskapene som følge av dybde.

4.3 - Evaluering og fremtidig bruk av metoder i prosjektet

Hensikten ved denne rapporten var å vurdere ulike redskapers egnethet til å kartlegge yngel av kommersielt viktige arter i kystsonen. Ved å teste ut ulike redskaper i ulike regioner har vi hatt mulighet for å vurdere mange forhold rundt redskapene som ble valgt i den innledende fasen. Vi oppsummerer her forhold rundt redskapene ved en revidert utgave av tabell 3 og 4.

I en rangering av de ulike metodene er ulike logistikk-egenskaper sammenlignet i tabell 6, og forhold rundt fangbarhet er oppsummert i tabell 7. Tallene i tabell 7 angir, som i tabell 3, hvor gode de forskjellige metodene er for å gi representative data på fiskeyngel i forhold til ulike parametere som påvirker fangbarheten. Parameterne er gruppert som i tabell 1 med hhv. fangbarhetseffekter som stammer fra individet som skal fanges, dvs. parametere som har sitt opphav i artsspesifikk adferd, og parametere som stammer fra stedet redskapet er satt ut, som habitat ol. I denne tabellen har vi med bakgrunn i erfaringer fra felt identifisert ulike typer variasjon innenfor parameterne som kan påvirke resultatene fra de ulike metodene.

Obs. Platform Krav til Kompetanse Antall Datapnkt. Måltall type Måltall definisjon Målrettet iht habitat Biologisk påvirkning Komparative data Artspresisjon
Teiner Lav Mange Fisk/ teiner Entydig Høy Medium Høy Høy
RUV Middels Mange Fisk/ video Flertydige Høy Lav Høy Medium
Snurrevad Middels Fisk/ areal Entydige Lav Høy Medium Høy
Akustikk Høy Abundans eller biomasse per areal eller volum Flertydige Høy Lav Lav Lav
ROV/Drone Høy Middels Fisk/ areal Flertydige Høy Lav Medium Medium

Tabell 6: Vurdering av logistikk forhold ved bruk av ulike observasjonsplattformer. Krav til kompetanse er en vurdering av hvor spesialisert oppgaven vil være. Antall datapunkter innebærer både hvor mange observasjoner man kan gjøre på en dag, og hvor mange observasjoner et datasett kan komme til å inneholde. Måltall type vil si hvilken enhet dataene man får vil være. Måltall definisjon er en vurdering av i hvor stor grad observasjonene må tolkes før man kan få en enhetsverdi i hvert datapunkt. Flertydig innebærer at det må gjøres et mer omfattende etterarbeid, analyse og tolkning, og at ulike definisjoner av hva som observeres vil påvirke måltallet. Målrettet iht habitat innebærer i hvilken grad en observasjon lett kan knyttes til ett sett med stedspesifikke habitat parametere. Biologisk påvirkning innebærer både graden av påvirkning som fisken opplever fra observasjonen (dødelighet med mer.) og i hvilken grad man må beregne at fisk vil være påvirket av at det er gjort en observasjon i ettertid. Dvs at ved høy grad av påvirkning vil to observasjoner på samme sted tett fulgt i tid, kunne ha en negativ påvirkning på hverandre. Komparative data vurdere hvor lett data fra plattformen kan sammenlignes direkte med data fra andre plattformer. Artspresisjon er en vurdering av hvor lett det er å artsbestemme fisk med denne metoden. Det innebærer ikke her i hvilken grad plattformen fisker flere arter representativt (dette er vurdert i tabell 7).

Type effekt Adferd – redskap interaksjon Område – redskap interaksjon
Vurderings-parameter Artsspesifikk adferd Størrelse Tid på dagen Vegetasjon Dybde Substrat
Typer av variasjon Pelagiske Bentiske Vandrende/ sjeldne Stasjonær/ Territorielle Stimfisk Små fisk Middels Fisk Stor fisk Dagaktive Nattaktive Ingen veg. Mye veg Grunne omr. Dype omr. Jevn bunn Ujevn bunn
Teiner 1 3 3 3 1 3 3 2 3 3 3B 3B 3 3 3 3
RUV 3 3 3 3C 3 2 3 3 3 1 3 2D 3 2 3 2D
Snurrevad 2 3 1 3 3 3 3 3 3 1E 3 1 1 3 3 1
AkustikkA 3 2 3 3 3 3 3 3 3 3 3 2 1 3 3 3
ROV/ Drone 2 3 1 3 2 2 3 3 3 1E 3 1 3 2 3 3

Tabell 7: Vurdering av redskapene evne til å fange representative data ved ulike faktorer som vil påvirke fangbarhet. Faktorene som vil kunne påvirke fangbarhet er delt hovedsakelig i de to typene effekter: Adferdsbestemte og områdebestemte. Disse er videre delt i ulike parametere med noen bestemte typer identifisert gjennom feltarbeid. For hver effekt er det gitt en poengsum fra 1 til 3, der 3 er det beste og indikerer at vi antar at redskapen vil samle gode og representative data for fisk i kombinasjon med gitte parameteren. Poengsum 1 er lavest og indikerer at data samlet med denne redskapen i kombinasjon med gitte parameter ikke vil gi gode representative data. Fotnoter: A) Data for akustikk er vurdert ut ifra hvorvidt akustikk vil fange opp fisk eller ikke, selv om det ikke nødvendigvis vil være mulig å identifisere hvilken art som er observert. B) Adferd i kombinasjon med vegetasjon kan påvirke hvorvidt fisk ønsker å bruke teiner som gjemmested eller ikke. Det medfører at teiner kan overestimere tetthet av fisk i områder uten vegetasjon og underestimere tettheter i områder med vegetasjon. C) RUV kan overestimere tetthet av territorielle fisk om alle observasjoner telles, eller underestimere tettheten av solitære fisk dersom maxN brukes. D) RUV kan underestimere tetthet av fisk som i stor grad gjemmer seg i vegetasjon og mellom steiner ol. E) Både snurrevad og drone krever at personell kan jobbe når observasjoner gjøres, og dette er i liten grad mulig om natten.

4.3.1 - Oppsummering

Teiner krever minst forkunnskaper for utsetting, selv om artskunnskap vil være viktig. Både teiner og RUV har liten behandlingstid i felt at det er mulig å gjennomføre et stort antall observasjoner. Dette er viktig ettersom et stort antall observasjoner vil være viktig for å resultater som er minst mulig påvirket av de variable effektene som vær vind mm.

Teiner har god fangbarhet på både dag og nattaktive arter som følger bunnen og som har adferd hvor de svømmer inn i teinene som skjul. Teinene har dårlig fangbarhet på en del arter som pelagiske fisk, stimfisk og andre arter som ikke svømmer ned i vegetasjon og som ikke oppfatter teinene som skjulested. Teiner og Snurrevad har en fordel ved at å hente opp fisken kan artsidentifisering gjøres med høyeste mulige presisjon. Teiner har en, ønsket, lavere fangst av stor fisk ettersom åpning er gjort størrelsesbegrenset. Teiner kan ha en lavere fangbarhet for enkelte arter i vegetasjon ettersom den ikke i så stor grad representerer et godt skjul.

Teiner og snurrevad vil gi nøyaktige heltall av antall fisk umiddelbart, selv om det vil være nødvendig å beregne dekket areal for snurrevad. På denne måten vil teiner gi resultater i antall fisk / timer ståtid, mens snurrevad vil gi data på fisk/ m2.

Snurrevadens hovedbegrensning er at den ikke kan benyttes på kupert bunn eller i områder med svært høy vegetasjon. Den kan være vanskelig å håndtere på de grunneste og de mest eksponerte områdene. Sjelden fisk som bare enkeltvis passerer gjennom områder kan være vanskelig å fange, mye gitt at det er vanskelig å få nok observasjoner til å finne sjelden fisk. Raske pelagiske fisk er nok de som i størst grad kan klare å svømme fra snurrevaden. Ettersom snurrevad også trekkes på dagtid, kan nattaktive arter ha dårlig representasjon, men dette gjelder bare de nattaktive artene som er et annet sted på dagen. Arter som er til stede i habitat, men gjemmer seg eller er veldig lite aktive kan bli skremt frem og fanget av snurrevad også på dagtid. Snurrevad vil også være det redskapet som i størst grad påvirker i form av dødelighet og skremmeeffekter på fisk.

For de videobaserte metodene (RUV og Drone) vil der være nødvendig regler for hvordan telling av fisk skal foregå, hvilket rom som skal være gjeldende og hvor mye av videoen som skal analyseres. Dette gjør at dataene kan bli flertydige eller variere ut ifra hvilke premisser som legges til grunn. Om det følges en fast protokoll vil likevel metodene gi et tall på antall fisk. For drone vil dette tallet være arealbasert (fisk/ m2) og for ROV vil det være basert på hver enkelt film over tid og areal (fisk/ minutter * m2). Ved videobaserte metoder kan sikker artsidentifisering, selv ved bruk av beste tilgjengelige personell, enkelte ganger være umulig. Til gjengjeld kan lengdemåling ofte gjøres med større nøyaktighet på video.

RUV har liten behandlingstid i felt, men krever mere ressurser til etterbehandling enn data fra fiskeredskaper. For dronevideo vil det ikke ha data på lengde på fisk uten montering av stereo-video.

Videorigger har jevnt over en god representasjon av ulike arter. Videoriggene, som benyttes på dagtid, har likevel en mangel i at de ikke fanger opp nattaktive arter. De kan gi en underrepresentasjon av like store fisk som holder seg på samme sted ved at flere ulike fisk kan tolkes som den samme fisken og fjernes under datanalyse. Video kan også være sensitiv til å gå glipp av den minste fisken. I tett vegetasjon vil arter som er lite aktive og som gjemmer seg i vegetasjonen være vanskelig å oppdage. Veldig tett vegetasjon vil også gi større sjanse for at en videorigg ikke filmer noe data som er brukbart i det hele tatt. I dype områder med lite lys vil video kunne se mindre fisk, men innenfor det dybdeområde som er undersøkt i denne studien har ikke dette vært et problem.

Data fra teiner og video kan lett sammenlignes innen samme plattform og delvis med data fra andre plattformer. Data fra snurrevad vil i større grad være påvirket av størrelse på område som dekkes og hvordan det gjennomføres slik at data på antall fisk ikke direkte vil være sammenlignbart med øvrige datakilder. Snurrevad gir likevel individdata på blant annet lengde som kan sammenlignes på tvers av redskap.

Akustikk gir unøyaktige data om størrelse og arts- eller gruppeidentifisering, men er ganske upåvirket av miljøfaktorer som lys. Det vil si at det er her vurdert at dersom fisken svømmer over ekkoloddet vil det bli registrert, selv om ikke dataene er sammenlignbare med data fra de øvrige observasjonsplattformene. Resultatene kan analyseres i etablert software for telling eller beregning av biomasse per areal eller volum i LSSS. Akustikk egner seg best til å gi oversikt over døgnaktivitet hos fisk. Testene viste at det kan være vanskelig å skille yngel fra annen småfisk som kutlinger og krepsdyr som svermer om natten og resultatene kan påvirkes av store organiske partikler i vannet og luft som slås ned i vannet i dårlig vær. Akustikk kan likevel være nyttig støttedata for de øvrige plattformene heller enn eget mål for å hente inn sammenlignbare data.

Drone data vil gi tall på antall fisk som observeres, men uten lengdedata vil disse bli mindre relevante å sammenligne med data fra andre datakilder. Droner egner seg best til å gi en oversikt over vertikalfordelingen av habitater som viktig forklaringsvariabel som kan knyttes til yngelforekomster. Droner kan også brukes til å analysere den relative fordelingen av yngel over ulike habitater, men målingene er unøyaktige i forhold til for eksempel stereovideo (RUV). Dronene brukt i dette prosjektet var små og sensitive for bølger og strøm. Større droner vil kunne gi mer stabile bilder og jevn fart gjennom transektene og således bedre kvantitative data.

Enkelte redskaper er testet ut i løpet av prosjektet, men ikke vurdert med i denne konklusjonen. Dette er i hovedsak ruser og strandnot. Ruser fisker svært godt, kanskje bedre enn teiner blant annet fordi de fisker i et større område. Dette gjør at ved bruk av ruser er det mulig å få mere fisk pr enhet innsats, men at presisjonen i kobling til habitat blir noe lavere. På en svært fin skal vil en ruse potensielt kunne fiske i flere habitater. Ruser er også påvirket av en større grad av variasjon med bakgrunn i hvordan rusene settes ut. De mest åpenbare er hvordan rusene blir stående i terrenget under vann og i hvilken gard de blir strukket ut. Hvor godt en ruse blir strukket ut kan variere med dyp og terreng i tillegg til erfaring. Ettersom vi er interessert i relative forskjeller mellom områder og ikke nødvendigvis absolutte tall på fangst, er det en gevinst i mulig reduksjon i variasjon ved å bruke teiner. Teiner kan forventes å være mindre påvirket av hvordan de settes og derfor mer presise også på en liten skal.

Snurrevad var også benyttet og fanget godt med fisk. Det ble likevel valgt å bruke snurrevad ettersom denne var mer fleksibel med tanke på hvor den kan brukes både i forhold til dyp, men også at den ikke var avhengig av egnet sted på land å berge. Den samler da riktignok ikke det aller grunneste inne ved land som strandnota vil gjøre, men er antatt å fange mye av det som er i det avsveipede område selv om habitatpresisjonen er lav.

5 - Konklusjon

Videoobservasjoner som RUV er et godt grunnlag for å samle spesifikke data om tilstedeværelse av mange arter fiskeyngel i ulike habitater. Det er likevel nødvendig med data fra øvrige datakilder for å komplettere bildet av hva som er til stede, spesielt om natten, og for å dekke fisk med adferd som gjør den vanskelig å oppdage. Videre er ikke nødvendigvis størrelsesfordeling av fisk basert på videodata representativ for hva som er til stede.

Teiner har lavere fangbarhet for mange arter, men kan dekke en del arter som er dårlig representert fra videobaserte metoder.

Snurrevad er den metoden som antatt samler det mest representative bilde av fisk som er i et område. Dette gjør at den også gir det beste bilde på størrelsesfordeling av fisk i et område. Ulempen med snurrevad er at den vanskelig lar seg knytte til et spesifikt habitat og har begrenset bruksområde. Droner gir mindre spesifikke data på fisk, men er den beste metoden for å kartlegge habitater i et område.

Akustikk vil kunne gi tilleggsinformasjon om fiskens generelle døgnaktivitet.

Prioritert rekkefølge for datainnsamling vil derfor være:

  1. RUV

  2. Teiner

  3. Snurrevad

  4. Drone

  5. Akustikk

5.1 - Referanser

Angel A, Ojeda FP (2001) Structure and trophic organization of subtidal fish assemblages on the northern Chilean coast: the effect of the habitat complexity. Mar Ecol Prog Ser 217:81–91.

Bergstrom L, Karlsson M, Bergstrom U, Pihl L, Kraufvelin P. (2016). Distribution of mesopredatory fish determined by habitat variables in a predator-depleted coastal system. Mar Biol.;163: 201

 

Brandner J, Pander J, Mueller M, Cerwenka AF, Geist J. (2013) Effects of sampling techniques on population assessment of invasive round goby Neogobius melanostomus. J Fish Biol. 82(6):2063-79.

Cheminée, A., Le Direach, L., Rouanet, E. et al. All shallow coastal habitats matter as nurseries for Mediterranean juvenile fish. Sci Rep 11, 14631 (2021). https://doi.org/10.1038/s41598-021-93557-2

Cushing DH. 1975. Marine ecology and fishes. Cambridge Univ Press. Cambridge.

Direktoratet for naturforvaltning 2007. Kartlegging av marint biologisk mangfold. DN Håndbok 19-2001 Revidert 2007. 51 s

Duffy JE, Benedetti-Cecchi L, Trinanes JA, Muller-Karger FA, Ambo-Rappe R, Boström C, Buschmann AH, Byrnes J, Coles RG, Creed J, Cullen-Unsworth L, Diaz-Pulido G, Duarte CM, Edgar GJ, Fortes MD, Goni GJ, Hu C, Huang X, Hurd CL, Konar B, Krause-Jensen D, Krumhansl K, Macreadie PI, Marsh H, McKenzie LJ, Mieszkowska N, Miloslavich P, Montes E, Nakaoka M, Norderhaug KM, Nordlund LM, Orth RO, Prathep A, Putman NF, Samper-Villarreal J, Serrao EA, Short F, Sousa Pinto I, Steinberg PD, Stuart-Smith R, Unsworth RKF, van Keulen M, Van Tussenbroek BI, Wang M, Waycott M, Weatherdon LV, Wernberg T, Yaakub SM. (2019). Toward a coordinated global observing system for marine macrophytes. Systematic Review, Front. Mar. Sci. 6:317.

Filbee-Dexter, K., Wernberg, T., Grace, S.P. J. Thormar, S. Fredriksen, C. N. Narvaez, C. J. Feehan & K. M. Norderhaug (2020). Marine heatwaves and the collapse of marginal North Atlantic kelp forests. Sci Rep 10, 13388.

Foote, K. (1987). Calibration of acoustic instruments for density estimation: a practical guide. Int. Counc. Explor. Sea. Coop. Res. Rep. , 144 , 57p.

Fromentin, J.-M., N. C. Stenseth, J. Gjøsæter, O. N.Bjørnstad, W. Falk, T. Johannessen. (1997). Spatial pat-terns of the temporal dynamics of three gadoids species along the Norwegian Skagerrak coast. Marine Ecology Pro-gress Series 155:209–222.

Gotceitas V, Fraser S, Brown JA. (1995). Habitat use by juvenile Atlantic cod (Gadus morhua) in the presence of actively foraging and non-foraging predator. Mar Biol 123: 421-430.

Keats DW, Steele DH. (1992). Diurnal feeding of juvenile cod ( Gadus morhua ) which migrate into shallow water at night in Eastern Newfoundland. J Northw Atl Fish Sci 13:7-14

Korneliussen, R., Ona, E., Eliassen, I., Heggelund, Y., Patel, R., Godø, O., Giertsen, C., Patel, D., Nornes, E., & Bekkvik, T. (2006). The large scale survey system-LSSS. Proceedings of the 29th Scandinavian Symposium on Physical Acoustics, Ustaoset,

Lefcheck et al. (2019). Are coastal habitats important nurseries? A meta-analysis. Conservation Letters. 2019; 12:e12645.

Linehan JE, Gregory RS, Schneider DC. (2001). Predation risk of 0-group cod (Gadus) relative to depth and substrate in coastal waters. J Exp Mar Biol Ecol 263: 25-44.

Lough, R., Valentine, P., Potter, D., Auditore, P., Bolz, G., Neilson, J., et al. (1989). Ecology and distribution of juvenile cod and haddock in relation to sediment type and bottom currents on eastern Georges Bank. Mar. Ecol. Prog. Ser. 56: 1-12.

Mehdi Hossein, Samantha C. Lau, Caitlyn Synyshyn, Matthew G. Salena, Markelle E. Morphet, Jonathan Hamilton, Melissa N.  (2021) Municipal wastewater as an ecological trap: Effects on fish communities across seasons Sci. Total Environ., 759 (2021), Article 143430.

Douglas J. McCauley, Malin L. Pinsky, Stephen R. Palumbi, James A. Estes,Francis H. Joyce, Robert R. Warner (2015) Science 347.

Muzzatti, Erin S. McCallum, Jonathan D. Midwood, Sigal Balshine (2021) A comparison of passive and active gear in fish community assessments in summer versus winter, Fisheries Research, Volume 242,

Norderhaug KM, Gundersen H, Pedersen A, Moy F, Green N, Walday M, Magnusson J, Gitmark J, Ledang AB, Bjerkeng B, Trannum H. (2015). Combined effects from climate variation and eutrophication on the diversity in hard bottom communities on the Skagerrak coast 1990-2010. Mar Ecol Prog Ser 530: 29–46.

Norderhaug KM, Christie H, Fosså JH, Fredriksen S. (2005). Fish-macrofauna interactions in a kelp ( Laminaria hyperborea ) forest. J Mar Biol Ass UK. 85:1279-1286

Norderhaug KM, K. Filbee-Dexter, C. Freitas, S.-R. Birkely, L. Christensen, I. Mellerud, J. Thormar, T. van Son, F. Moy, M. Vázquez Alonso, H. Steen. (2020) Ecosystem-level effects of large-scale disturbance in kelp forests. MEPS :ITRSav4. https://doi.org/10.3354/meps13426

Ona, E. (1999). Methodology for target strength measurements. ICES Cooperative research report , 235 , 59.

Pihl, L. & Wennhage, H. (2002). Structure and diversity of ¢sh assemblages on rocky and soft bottom shores on the Swedish west coast. Journal of Fish Biology, 61, 148^166.