Escaped farmed and wild Atlantic salmon in the river Etneelva 2021
Results from the national research platform in Etne
In 2021, the RBW upstream trap in the river Etneelva was operated from 9th April to 18th November. Owing to high water discharge and flooding, the catch efficiency was reduced for approximately 21 days (9% of operation time). A total of 3746 fish were recorded and handled on the trap, of which 1825 were wild salmon, 1649 seatrout, 168 originated from experimental groups, 60 pink salmon and 44 escaped farmed salmon. In 2021, 50% of wild salmon had passed the trap on the way to the spawning grounds by week 30, four weeks earlier than the escaped farmed salmon. The size of farmed salmon varied from 0,7 to 8,0 kgs, with the majority between 3 and 5 kgs. Scale reading confirmed farm origin of all recorded escapees, while 1 individual classified phenotypically as wild salmon, turned out to be an escaped farmed salmon. Of the 44 farm escapees captured on the trap, 77% were sexually mature and 23% were immature. Of the 23 escapees captured during autumn angling for selective removal of farmed salmon, 4 (17%) were classified as mature, 16 (70%) were classified as immature individuals and 3 (13%) were not classified. During summer angling four farmed escapees were reported downstream and no reports of farmed fish upstream the trap. One of the reported fish downstream was confirmed to be an escapee, while two of them turned out to be wild salmon. The last fish could not be confirmed due to lack of scale sample. After scale analysis of all of the scale samples from the angler season downstream the trap, two more escapes were discovered that was classified wrongly as wild salmon by anglers. In total, of 45 confirmed escaped salmon in the trap, 98% were removed by the trap and the percentage of escaped farmed fish in the population was reduced from 2% to ≈ 0%. About 10 persons were engaged in operation of the trap. The Institute of Marine Research budget of about NOK 4,7 mill. for the national platform, was extended with an additional NOK 0,5 mill from OURO.
Sammendrag
I 2021 vart fiskefella i Etneelva satt i drift 9. april og registreringa pågjekk til 18. november. Det var noko redusert fangseffektivitet i løpet av sesongen pga høg vassføring. I tilsaman 21 driftsdøgn (9% av driftstida) var fangsten i fella redusert pga mykje vatn. Dette er litt høgare enn tidlegare år, noko som kan skuldas vassføringsregimet eller slitasje på komponentar som skal redusera opninga mellom innfestnings-wire og flyterister. Noko reduksjon i fangsteffektivitet hadde vi også i 2020 (5%), 2019 (5%), 2018 (5%) og 2017 (6%). Fyrste villaks blei registrert i veke 16 og fyrste rømling i veke 23. I alt vart 3746 fiskar handtert på fella i 2021, mot 5093 i 2020 og 2693 i 2019. Av dei registrerte fiskane var 1825 villaks,1649 sjøaure, 168 forskingsfisk, 60 pukkellaks og 44 rømte laks. I 2021 vart 50% av villaksen registrert i veke 30, fire veker tidlegare enn rømlingane. Som tidlegare år dominerte storlaksen tidleg i oppvandringa medan terten dominerte i slutten av oppvandringsforløpet. Den rømte laksen kom fire veker seinare enn villaksen. For rømlingane registrert på fella varierte storleiken frå 0,7 kg til 8,0 kg. Vektfordelinga på oppdrettslaksen i fella var jevnt fordelt, men med ei overvekt av individ på 3,0 til 5,0 kg. Skjellkontrollen stadfesta oppdrettsbakgrunn til alle dei registrerte oppdrettslaksane. I tillegg vart ein fisk feilaktig klassifisera som villaks i fiskefella der skjellkontroll viste at det var ein oppdrettslaks. Av dei 44 registrerte rømlingane på fella, var 77% kjønnsmodne og 23% umodne. Gjennom uttaksfisket om hausten nedstraums fella i sone 1 og 2, vart det fanga 23 oppdrettslaksar. Av dei vart 4 (17%) klassifisert som modne, 16 (70%) vart klassifisert som umodne og 3 (13%) vart ikkje kjønnsbestemt. Frå sportsfisket blei det rapportert inn fire oppdrettslaksar nedstraums fella, og ingen oppstraums. Av dei fire rapporterte rømlingane nedstraums, vart ein bekrefta og to avkrefta ved skjellkontroll. Den siste var det ikkje skjellprøve på. På dei resterande skjellprøvane nedstraums fella, blei det oppdaga 2 oppdrettslaks, som var rapportert som villaks. Skjellprøvar oppstraums fella er ikkje analysert foreløpig. Av totalt 45 bekrefta rømlingar fanga i fiskefella fella, blei 98% effektivt fjerna og andelen rømlingar i gytebestanden vart redusert frå 2% til ≈ 0%. Rundt 10 personar var i større eller mindre grad engasjert på fella og Havforskingsinstituttet sitt budsjett for drifta var ca 4,7 mill kroner med tillegg på 0,5 mill kroner frå OURO.
1 - Bakgrunn
Rømt oppdrettslaks som går opp i vassdraga og gyt, er saman med lakselus rekna som dei største miljøutfordringane ved lakseoppdrett. Det er godt dokumentert at rømt laks har endra det genetiske materialet i mange laksebestandar i Noreg (Glover mfl. 2012; 2013; 2017; 2018; Bolstad mfl 2017; Diserud mfl. 2017) og at slik innkryssing gir lågare overleving i naturen, både i elv og i hav, samstundes som lakseungar der ein eller begge foreldre er oppdrettslaks, også konkurrerer om næringsressursane i vassdraga. I praksis tyder dette at når rømt oppdrettslaks gyt i eit vassdrag med villaks, kan produksjonen av både vill laks og totalmengda laks, bli redusert (McGinnity mfl 1997; 2003; Fleming mfl 2000; Skaala mfl. 2012; 2019). Etnevassdraget er det største laksevassdraget i Hardangerfjordbassenget, med ein av dei største laksebestandane i produksjonsområde 3. Vassdraget er eit nasjonalt laksevassdrag der villaksen skal ha særskilt vern mot trusselfaktorar, herunder rømt oppdrettslaks. Registreringar av rømt fisk ved stangfiske og gytefiskteljingar viste gjennom ei årrekkje høge prosentandelar rømt oppdrettslaks i vassdraget fram til 2011, då andel villaks gjekk kraftig opp og estimat for andel rømt fisk gjekk ned. Det har gjennom mange år vore lagt ned stor innsats i å prøva å redusera talet på rømt oppdrettslaks i gyteområdet ved hjelp av stangfiske, bruk av garn og harpun i vassdraget og kilenøter i sjøen, noko som er krevjande (Næsje mfl. 2013). Genetiske undersøkingar (Glover m.fl. 2013) har estimert at ca 20 % av genmaterialet i Etnelaksen no er innblanda oppdrettslaks. Tilsvarande er vist ved Veterinærinstituttet sin kontroll av stamfisken som blir DNA-testa av NINA (Karlsson m fl. 2011; 2016). Etter at det nasjonale pilotprosjektet, leia av Fiskeridirektoratet, Prioriterte strakstiltak for sikring av anadrome bestandar av laksefisk i Hardangerfjordbassenget i påvente av langsiktige forvaltingstiltak, vart avslutta hausten 2015, vedtok Havforskingsinstituttet å vidareføra drifta av stasjonen. Føremålet var å etablera ei nasjonal feltplattform for detaljstudiar av rømt oppdrettslaks, korleis bestandar av villaks som er blitt påverka gjennom innkryssing av oppdrettslaks utviklar seg over årsklassar, og i kva grad naturleg seleksjon selekterer vekk innkryssa genmateriale. Gjennom plattforma er det generert fysisk materiale og data både på rømt og vill laks og sjøaure til fleire forskingsprosjekt, overvakingsprogram og nasjonale rapportar. Uttaket av rømt fisk vart også i 2021 støtta av Oppdrettsnæringens sammenslutning for utfisking av rømt oppdrettsfisk (OURO) med NOK 500.000. Føremålet med den nasjonale feltplattforma er å:
a) Fjerna og skaffa data på rømt oppdrettsfisk (mengde, oppvandring, vekt, kjønnsmodning, rømingstidspunkt, genetisk samansetjing, helse)
b) Generera kunnskap om i kva grad naturleg seleksjon vil selektera bort innkryssa genmateriale frå rømt oppdrettslaks over tid
c) Framskaffa data på oppvandrande villaks og sjøaure , som mengde, lengde, vekt, skadar, oppvandring, alder og smoltårsklasse,
d) Bidra med materiale og data til andre prioriterte undersøkingar herunder marin overleving hos villaks og sjøaure.
2 - Materiale og metode
Den lakse- og sjøaureførande strekningen i Etnevassdraget er 12,2 km og samla produksjonsareal for smolt er estimert til 288500 m2 ( www.lakseregisteret.no ). Det er to målestasjonar for vassføring, ein ved utløpet av Stordalsvatn og ein nedstraums Litledalsvatn (Sildre.NVE.no). Vassføringa i Etneelva varierer frå låg vintervassføring på rundt 2 m3sek-1 til over 30 m3sek-1 gjennom vår og sommar med toppar over 60 m3sek-1.
Figur 1 Etneelva med fiskesonene 1-27 innteikna. Plasseringa av fiskefella i sone 3 er vist med raud stjerne og stasjonar for måling as vassføring i Nordelva og Sørelva er vist med raude punkt. The river Etne with fishing zones 1-27 marked. The trap is located in the lower section of zone 3. Stations for measuring water discharge are depicted by the red dots in Nordelva and Sørelva.
Den 40 m lange, fella som dekkar heile tverrsnittet av elva, er i drift frå april til november, og fangar gjennom heile oppvandringsperioden. Prinsipp og metodikk er omtala av Skaala m fl. (2015). Dette gir presise data ikkje berre på andel rømt fisk, men også på absolutt mengde rømlingar, noko som gir grunnlag for å registrera eventuelle reelle endringar i mengda rømt fisk over fleire år. Kvar einskild fisk blir handtert manuelt og klassifisert til art (laks, aure, regnbogeaure) og som rømt eller vill fisk. All rømt fisk blir avliva ved prøvetaking. Stadium for kjønnsmodning blir fastslått i samråd med veterinær, og foto av modningsstadium blir tatt av all fisk for dokumentasjon. Det blir teke lengde og vekt av all fisk, skjellprøve for kontroll med klassifiseringa og analysar av vekstmønster. Den fenotypiske klassifiseringa av rømt og vill laks, blir kontrollert ved vekstmønster i skjellmateriale. I tillegg blir ytste del av feittfinnen kutta som eit merke på at fisken er registrert i fella. Evaluering av fangsteffektivitet for vill og rømt fisk har oppigjennom årene blitt gjennomført ved ulike metodar, som registrering av «merka» og umerka fisk ved sportsfiske, gytefiskteljingar og stamfiske. Som del av prosjektet "The importance of the marine habitat for the critically endangered European eel" (MAREEL) er det blitt plassert ut to PIT antenner ved feltstasjonen. Desse antennene registrerer PIT-merka ål, laks og sjøaure som passerer.
3 - Resultat og diskusjon
3.1 - Oppvandringsperiode, mengde og kjønnsmodning
I 2021 vart fella sett i drift 9. april og registreringa pågjekk til 18. november. I løpet av sesongen 2021 var det nokre dagar med noe redusert fangsteffektivitet grunna høg vassføring, til saman 21 driftsdøgn eller ca 9 % av driftsperioden april-november, mot 7,5 driftstdøgn (ca 5%) i 2020, 5 driftsdøgn og 5 netter (ca 5 %) i 2019, 13 dagar (5 %) i 2018 og 11 dagar (6 %) i 2017. Antall drifstdøgn med redusert fangsteffektivitet er litt høgare enn tidlegare år, noko som kan skuldast vassføringsregimet eller slitasje på komponentar som skal redusera opninga mellom innfestings-wire og flyterister. I slike periodar med store flaumtoppar og vanskar med reinhald, vil det høgst truleg passera fisk.
Figur 2 Vassføring i 2021 med dagleg oppgang av villaks. Water discharge in 2021 with the daily fish migration.
I alt vart 3746 fiskar handsama på fella i 2021 mot 5098 fiskar i 2020, 2693 fiskar i 2019, 2473 fiskar i 2018, og 3047 i 2017. Av registreringane i 2021 var 1825 villaks, 44 rømt oppdrettslaks, 1649 sjøaure og 168 var utsett forsøksfisk. Det vart registrert 102 pukkellaks i Etneelva i 2021, 60 av dei i fiskefella, 12 på sportsfiske nedstraums fella. 21 pukkellaks vart også registrert oppstraums fella. 8 av desse er fanga med fiskereiskap, medan dei resterande 13 har havna på flyteristane etter gyting. Talet på rømlingar fanga på fella har endra seg slik: 44 (2021), 19 (2020), 53 (2019), 81 (2018), 75 (2017).
Registreringa gjennom 9-års perioden 2013-2021 har vist stor mellomårsvariasjon i oppvandringsforløpet for villaksen og for oppdrettslaksen. Innafor same år kan det vera stor skilnad mellom vill og rømt laks, der tidspunkt for 50% oppvandring for rømlingane einskilde år kan vera opptil 59 dagar seinare enn villaksen, medan dei andre år vandrar opp synkront. I 2021 var 50% av villaksen registrert i veke 30 (veke 29 i 2020, veke 30 i 2019, veke 31 i 2018 og veke 26 i 2017), medan 50% av den rømte oppdrettslaksen var registrert i uke 34, fire veker seinare enn villaksen i 2021 (veke 29 i 2020, veke 29 i 2019, veke 32 i 2018 og veke 29 i 2017).
Figur 3 Kumulativ oppvandring av vill og rømt laks og sjøaure pr veke i fella 2021, absolutt tal (øverst) og prosentvis (nederst). Cumulative upstream migration of escaped salmon, and wild salmon and sea trout captured in the fish trap per week in 2021, with absolute numbers (upper) and percentage (lower).
Oppvandringa delt i storleiksklassar, viste som før at fleirsjøvinterlaksen kjem først på plass i elva, og den minste terten sist i perioden. For storlaksen er oppgangen lik fordelt på kjønna (Fig. 4).
Figur 4 Kumulativ oppvandring av villaks i 2021 fordelt på kjønn og storleiksgrupper (F=Hofisk, M=Hannfisk). Cumulative upstream migration of wild salmon by sex and size-group (F=female, M=Male).
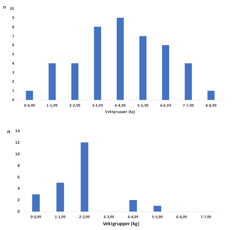
For rømlingane som var registrerte i fella i 2021, varierte storleiken frå 0,7 kg til 8,0 kg, mot 1,7 til 7,2 kg i 2020 og 0,8 til 7,7 kg i 2019. Vektfordelinga i 2021 var jevnt fordelt, men med ei overvekt av individ på 3 og 5 kg (Fig. 5). Skjellkontrollen stadfesta oppdrettsbakgrunn til alle rømlingane. Av dei 1825 individa som var klassifisert fenotypisk som villaks, vart eitt av individa vurdert som oppdrettslaks etter skjellanalyse.
Gjennom Etne elveeigarlag sitt uttaksfiske nedstraums fella på sone 1 og 2 vart det i 2021 teke ut 25 rømlingar der to viste seg å vera villaks etter skjellanalyse. Eitt individ som var klassifisert fenotypisk som villaks og difor sett tilbake i elva, viste seg ved skjellkontroll å vera ein rømling. Totalt 23 rømlingar blei tekne ut på uttaksfiske mot 19 rømlingar i 2020, 93 i 2019, 29 i 2018 og 27 i 2017. Av rømlingane registrert nedstraums fella i 2021 var 6 hofisk og 16 hannfisk (1 fisk med ukjent kjønn). Av desse var 4 (17%) kjønnsmodne, 16 (70%) var umodne medan 3 fisk (13%) ikkje vart bestemt modningsgrad.
Dette uttaksfisket omfattar gjerne hovudsakleg umoden rømt fisk som kjem opp heilt i slutten av oppvandringsperioden og stoppar nederst i elva. Det er administrert av Statsforvalteren og næring og inngår ikkje i drifta av fiskefella.
Rømlingane tekne under haustfisket nedstraums fella var også i 2021 mindre enn rømlingane i fella, storleiken varierte frå ca 0,6 til 5,0 kg mot 0,8 til 7,0 kg i 2020, 0,6 til 6,5 kg i 2019 og 1,0 til 7,1 kg i 2018. Hovudmengda av rømlingane tekne på haustfiske i 2021 låg på 2,0-2,5 kg mot 0,5-3 kg i 2020, 2,5 kg i 2019 og 2,5 – 5,0 kg i 2018.
Figur 5 Vektfordeling hos rømt oppdrettsaks fanga på fella (øverst) og i haustfisket (nederst) i 2021. Size distribution of farmed escapees captured in the trap (upper) and in the autumn angling (lower) in 2021.
Av dei 44 rømlingane registrert på fella i 2021 var 77% kjønnsmodne og 23% umodne. I 2020 var 58% kjønnsmodne og 42% umodne (2019; 45% kjønnsmodne, 2018; 68% kjønnsmodne). Andelen modne rømlingar varierer frå år til år, noko som kan ha ulike årsaker. Det kan vera reelle skilnadar i gruppene av rømt fisk som vandrar opp, men det kan også vera vanskeleg å avgjera sikkert modningsstadium hos fisk som vandrar tidleg opp i sesongen.
Figur 6 Kjønnsmodning hos oppdrettslaksen registrert på fella i 2021 (venstre) og i utfiskinga nedstraums fella (høgre). Sexual maturation in escaped farmed salmon captured on the trap (left) and in the selective autumn angling (right).
3.2 - Absolutt mengde og prosentdel rømt fisk
Mengda og prosentdel av rømt fisk som vandrar opp i ei elv kan variera mykje gjennom oppvandringsperioden (Fig. 7). I dei fleste vassdrag der ein registrerer rømt fisk i sportsfisket, haustfisket eller i stamfisket, får ein ikkje registrert gjennom heile oppvandringa, men får eit avgrensa uttak som gir eit estimat for prosentvis innslag av rømlingar i bestanden. I drivteljingar får ein betre oversikt over totalt antal fisk, men vanskar med visuell klassifisering tilseier at drivteljingane kan underestimera antal rømt oppdrettsfisk.
I fiskefella i Etne vert storparten av den oppvandrande rømte og ville fisken kontrollert, kvar einskild fisk inspisert og klassifisert utfrå morfologiske skilnadar på rømt og vill laks, som til dømes skader på finnar og finnestrålar, kroppsfasong og pigmentering. I tillegg tar ein ut skjellprøvar og prøvar til DNA som vert analysert i ettertid (Quintela mfl., 2015; Madhun mfl., 2017). Ein styrke med registreringar i heildekkande feller som i Etneelva er at ein får ikkje berre eit estimat for prosentdel rømt fisk, men eit tal for absolutt mengde. Dette medfører at ein får eit betre talgrunnlag for å analysera mellomårsvariasjonar og årsaker til desse. Samtidig kan ein i slike heildekkande feller fjerna den rømte fisken.
Alle skjellprøvar tekne av laks og oppretta laks i fiskefella frå sesongen 2021 er analysert og etterkontrollen av skjellprøvar viste at ein rømling har blitt feilbestemt som villaks. Det foreløpige absolutte talet på rømlingar registrert på fella i 2021 blir difor 45 individ.
Figur 7 Oppvandra mengde vill og rømt fisk og prosent oppdrettsfisk registrert (raud linje) på fella pr. veke i 2021. Numbers of wild and farmed fish trapped in Etne, and the percent of farmed salmon (red line), per week in 2021.
3.3 - Reduksjon av mengde og prosentdel rømt fisk
Fangsteffektiviteten på fella har over tid blitt evaluert ved fleire ulike metodar, a) kontroll av fisk gjennom det ordinære elvefisket, b) gjennom stamfisket om hausten og c) ved ekstra kontroll utført av dykkarar frå NORCE (Uni-Research). På fella vart det registrert 1869 laks i 2021, av desse var 45 (2%) rømlingar. I sportsfisket oppstraums fella vart det ikkje rapportert om rømlingar, men skjell frå sportsfiske oppstraums for fiskefella er ikkje analysert enno, så dette er ikkje verifisert. Det vart rapportert 4 rømlingar i sportsfisket nedstraums fiskefella. Ein av desse vart bekrefta som rømt laks etter skjellkontroll, to vart vurdert som villaks og den siste finnes det ikkje skjellprøve på. Alle skjellprøver frå sportsfisket nedstraums fiskefella er analysert. Etter skjellkontroll av desse vart det oppdaga 2 individ rapportert som villaks, som viste seg å vere rømlingar. Det vart ikkje gjennomført drivtejling i 2021, og vi har ikkje andre rapportar om rømlingar oppstraums fella. Totalt er det bekrefta 72 rømlinger i Etneelva i 2021 etter skjellkontroll. 45 i fiskefella, 3 på sportsfiske nedstraums fiskefella og 24 etter utfiske i regi av elveigerlaget. Av 45 bekrefta rømlingar i fiskefella i 2021, har fella effektivt teke ut 98% av desse mot tidlegare 95% i 2020, 90% (2019), 96% (2018) og 97% (2017). Andelen rømt oppdrettslaks vart i 2021 redusert til ≈ 0% av gytebestanden.
Andel rømt laks vart i 2021 redusert frå 2% til ≈ 0% mot tilsvarande frå 0.7% til 0,1% i 2020.
4 - Fiskeriforvaltninga og miljøforvaltninga sine behov for tidsseriar
Gjennom dei snart 10 åra som er gått sidan forskingsplattforma i Etneelva vart etablert, har det stadig dukka opp nye bruksområde for stasjonen. Utgangspunktet var testing av fangstutstyr for uttak av rømt oppdrettslaks. Etter kvart såg ein at å ha presise data på dei ville bestandane av både laks og sjøaure, er minst like viktig. I fokus av aktiviteten står no arbeidet med å avsløra korleis naturen eventuelt rekonstruerer villaksbestanden i Etneelva når oppvandringa av rømt laks stoppar.
I den internasjonale, vitskaplege lakselitteraturen vert det stadig oftare påpeika at datamaterialet på villaks frå sportsfisket blir vanskelegare å bruka fordi fisketider og fiskereglar endra seg mykje, samtidig som menneskeleg aktivitet i kystsona aukar, og økosystema i både vassdrag og hav endrar seg grunna klimaendringane.
Difor blir det ofte påpeika behov for lange og presise dataseriar på bestandsstatus og rekruttering, og på marin tilvekst og overleving. Etneelva representerer no ein lokalitet der vi genererer presise data på villaks, slik det mellom anna er etterlyst i den internasjonale evalueringa av den norske trafikkljossystemet. Det er publisert ei rekkje internasjonale arbeid heilt eller delvis basert på plattforma i Etne. Både i 2021 og alt i inneverande år, er det publisert nye arbeid. Eitt av dei nye arbeida viser korleis tilveksten det første året i sjøen er redusert frå 1980 talet fram til i dag, der fordelinga av 1-, 2- og 3- sjøvinter laks har endra seg frå dominas av 1- til 2- sjøvinter laks, og andel fleirgongsgytarar har auka frå 3 til 7 % (Harvey A. mfl.,2022).
Med infrastruktur og kompetent mannskap på plass, opna det seg også unike høve for forskings-aktivitetar på andre arter, som til dømes ål, ein annan art som er under sterkt press og med til dels mange uavklara utfordringar.
Sidan drifta av stasjonen i Etneelva er arbeidskrevjande, arbeidet Havforskingsinstituttet med utvikling av semi-automatiske overvakingssystem som kan redusera personellbehov og kostnadar og dermed aktualisera bruk av slike overvakingssystem som gir presise data i fleire lokalitetar. Første trinn i denne utviklinga var innkjøp av QuadEye stereokamera som skal generera bildebasar som er eit nødvendig grunnlagt for utvikling av maskinsyn og bruk av kunstig intelligens for identifisering og masseberekning av individa som passerer kameraet.
Med invasjonen av pukkellaks, særleg i nordlege vassdrag, men også sørover langs kysten, har RBW fangstsystemet i Etneelva fått ekstra aktualitet sidan miljølstyresmaktene har peika ut dette fangstsystemet som eit av dei mest aktuelle å testa ut til fjerning av pukkellaks. Gjennom driftsperioden i Etneelva, er det framskaffa atskilleg relevant kunnskap for denne problemstillinga.
Samla sett, med omsyn til fiskeriforvaltinga og miljøforvaltinga sine behov for presise data, er det difor viktig at forskingsplattforma i Etneelva blir vidareutvikla og vidareført i eit langsiktig tidsperspektiv, der ein genererer kunnskap og erfaring av betydning for utvikling av liknande overvakingsstasjonar i andre vassdrag.
5 - Referansar
Bolstad, G. H., Hindar, K., Robertsen, G., Jonsson, B., Saegrov, H., Diserud, O. H., … Karlsson, S. (2017). Gene flow from domesticated escapees alters the life history of wild Atlantic salmon. Nature Ecology & Evolution, 1, 0124.
Diserud, O., et al. (2018). Frequency of escapees in Norwegian rivers 1989–2013. Ices Journal of Marine Science. https://doi.org/10.1093/ icesjms/fsy202
Glover, K. A., Urdal, K., Næsje, T., Skoglund, H., Florø-Larsen, B., Otterå, H., & Wennevik, V. (2018). Domesticated escapees on the run: the second‐generation monitoring program reports the numbers and proportions of farmed Atlantic salmon in >200 rivers annually. Ices Journal of Marine Science. https://doi.org/10.1093/icesjms/fsy207
Glover, K. A., Solberg, M. F., McGinnity, P., Hindar, K., Verspoor, E., Coulson, M. W., … Svåsand, T. (2017). Half a century of genetic interaction between farmed and wild Atlantic salmon: Status of knowledge and unanswered questions. Fish and Fisheries, 18, 890–927. https://doi.org/10.1111/faf.12214
Glover KA, Pertoldi C, Besnier F, Wennevik V, Kent M.& Skaala O. 2013. Atlantic salmon populations invaded by farmed escapees: quantifying genetic introgression with a Bayesian approach and SNPs. BMC Genetics, 14.
Harvey A., Skaala Ø., Borgstrøm R., Fjeldheim P.T., Fjeldheim K.C.A., Rong K.U., Johnsen I.A., Fiske P.,Winterthun S., Knutar S., Sægrov H., Urdal K., Glover K. A. 2022. A time-series covering four decades reveals major changes and drivers of marine growth and proportion of repeat spawners of Atlantic salmon. Ecology and Evolution. In press.
Karlsson S, Diserud OH, Fiske P, and Hindar K. 2016. Widespread genetic introgression of escaped farmed Atlantic salmon in wild salmon populations. ICES. Journal of Marine Science (2016), doi:10.1093/icesjms/fsw121.
Karlsson S, Moen T, Lien S, Glover KA & Hindar K. 2011. Generic genetic differences between farmed and wild Atlantic salmon identifi from a 7K SNP-chip. Molecular Ecology Resources 11: 247-253.
Madhun AS, Wennevik V, Skilbrei OT, Karlsbakk E, Skaala Ø, Fiksdal IU, Meier S, Tang Y, and Glover KA. The ecological profile of Atlantic salmon escapees entering a river throughout an entire season: diverse in escape history and genetic background, but frequently virus-infected. ICES Journal of Marine Science (2017), doi:10.1093/icesjms/fsw243.
Robertsen G, Solem Ø, Staldvik F. 2013. Muligheter og teknologiske løsninger for å fjerne rømt oppdrettsfisk fra lakseførende vassdrag. NINA Rapport 972. 84s.
Quintela M, Wennevik V, Sørvik AGE, Skaala Ø, Skilbrei OT, Urdal K, Barlaup BT, Glover KA. 2016. Siblingship tests connect two seemingly independent farmed Atlantic salmon escape events. Aquacult Environ Interact Vol. 8: 497–509.
Skaala Ø, Besnier F, Borgstrøm R, Barlaup B T, Sørvik A G, Normann E, Østebø B I, Hansen M M, Glover K A. 2019. An extensive common-garden study with domesticated and wild Atlantic salmon in the wild reveals impact on smolt production and shifts in fitness traits. Evolutionary Applications. Doi:10.1111/eva.12777
Skaala, Ø., Glover, K. A., Barlaup, B. T., Svåsand, T., Besnier, F., Hansen, M. M., & Borgstrøm, R. (2012). Performance of farmed, hybrid, and wild Atlantic salmon (Salmo salar) families in a natural river environment.Canadian Journal of Fisheries and Aquatic Sciences, 69, 1994–2006.
Skaala Ø, Knutar S, Østebø BI, Holmedal T-E, Skilbrei OT, Madhun AS, Barlaup BT, Urdal K. Erfaringar med Resistance Board Weir-fangstsystemet i Etnevassdraget 2013–2014. Rapport fra Havforskningen Nr 6-2015.