Selectivity in shrimp trawls: Survival of shrimp that escape at the sea surface
Final report - FHF project 901661
From 2020 to 2022, a number of experiments were carried out in the Skagerrak investigating trawl selection and survival of deep-water prawn ( Pandalus borealis ). The main objective was to quantify what proportion of the total selection occurs at the sea surface and to investigate associated post-escape survival rates. The survival of escapees likely depends on the environmental conditions at the surface and the duration of exposure to these conditions. High mortality in escaped juvenile prawns would introduce a serious source of error in stock calculations and reduce stock yields. The experiments were divided into four work packages: i) quantification of selection at the sea surface and seabed; ii) behavioral and environmental tolerance studies; iii) method development for field survival experiments; and iv) survival experiments in the field
The selection trials investigated the selective properties of three different codend designs: i) a four-panel diamond mesh with 150 mesh circumference; ii) as for i) but with 15% shortened lastridge ropes fitted; and iii) a square meshed codend with a diamond mesh lifting bag fitted with 15% shortened lastridge ropes. These codend designs are candidates for future regulatory changes to improve prawn trawl selection. The diamond mesh codend was the least effective at selecting out undersized prawn at the seabed and led to the largest proportion of escapes occurring at the sea surface. Adding shortened lastridge ropes increased the amount of selection occurring at the seabed, resulting in less surface selection. The square-meshed codend had similar selection properties to the diamond mesh with shortened lastridge ropes, but a greater proportion of prawn are retained at the seabed and subsequently reach the surface and a greater loss of the largest prawn was evident.
The sinking speed and tolerance of prawn to seawater with different temperature and salinity conditions was studied in laboratory experiments. Two different trials were conducted: i) examining sinking speed and behaviour at two different temperatures (6 and 12 ˚C) and salinities (35 and 27 ‰); and ii) examining survival rates in response to changes in temperature (6-15 ˚C) or salinity (35-27 ‰). The estimated sinking speed for live prawn indicated that ~60 minutes is required to reach the typical habitat depth of 3-400 m. Prawns showed the lowest activity levels in low salinity and high temperature conditions. The prawn had high tolerance (>95% survival) for short-term change in environmental conditions (temperature increase and salinity reduction) corresponding to conditions that normally occur at the Skagerrak sea surface. Assuming that the prawns are not eaten by predators or have significant catch damage when they escape the trawl, these results indicate that prawns have the potential to survive surface conditions of relatively high temperature (15 ˚C) and low salinity (27 ‰).
The objective of the methodology development package was to establish a way to collect prawns escaping the codend at: i) the fishing depth; and ii) the surface. For those escaping at the seabed, the intention was to collect a sample of escapees for a defined period of time while the trawl was at depth, transfer the sample to a cage to be anchored on the seabed and then quantify survival after 2 days. For prawn escaping at the surface, the intention was to transfer a sample of escapees to cages which were then to be lowered to the bottom at a speed corresponding to the prawns' estimated sinking speed. Field trials were carried out on the prawn fishing grounds in Balsfjorden in autumn 2020 and autumn 2021 . In the first trial, a system consisting of a cover net over the codend was tested. The cover net was kept open with hydrodynamic kites. A large-mesh, cylindrical net section was mounted at the back of the cover net and at the back of this a collection cage was braided. This net section was intended to control when sample collection should start by means of a trigger that released a fine-mesh net that was to cover the section and open the collection cage. After the desired sampling time, the cage was closed and detached from the gear by another electronic trigger. However, the releasing mechanisms were not reliably functional, and attempts at modification were not successful. On the next trip, the section was replaced with a rigid frame with a trigger-controlled gate that opened to allow entry of prawn into the cage. The frame itself worked as intended, but the rope resistance now became so great that the trawl extension was stretched and closed shut in front of the attachment point for the cover net. As a result, no prawn reached the back of the codend. These methodological problems resulted in a decision to focus on the surface phase of escape for planned survival experiments (WP4). For the collection of prawn that escape at the surface, a floating mesh cage was tested in which the codend was “washed”. This appeared to function satisfactorily.
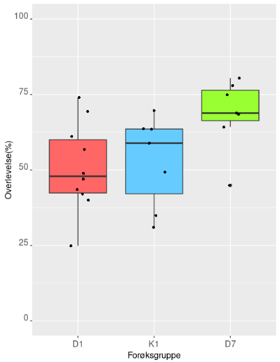
Survival of prawn escaping trawls at the sea surface was studied in two field experiments in 2022. The first experiment was carried out in April-May onboard MS Fangst on the prawn fishing groups 5-6 nm outside Arendal. The surface temperature was approx. 10 °C, while the salinity in the surface layer was around 20 ppt. During preliminary testing, it became clear that the deployment of floating mesh cage was time consuming. This meant that the duration of exposure for escaping shrimp to the environmental conditions at the sea surface was far longer than could be expected during the course of normal commercial fishing. Further use of the cage was therefore not attempted. The codend was instead washed in a 1000 l tank onboard filled with sea water from a 75 m deep intake at the Flødevigen Research Station. Escapees were then transferred to either: i) cages that were lowered to the seabed at the sinking rate determined in WP2; or ii) plastic crates that were stored in a tub onboard (filled from the same 75 m deep water source) before being transferred later the same day to aquaria at the Flødevigen Research Station. Survival rates were determined after 48 h. Mean survival was 70% in cages and 85% in the aquaria. Control groups of viable prawn kept in aquaria had 98% survival. The significantly lower survival in cages compared to aquaria may be due to the additional exposure to the low salinity in the surface layer while the cage was being lowered. The second survival experiment was conducted from the prawn trawler MS Sjøvik in August/September on the coastal prawn fields between Arendal and Kristiansand. This is the time when the surface temperature in the Skagerrak reaches its annual maximum. Measured temperature in the surface layer varied from 17-19 °C, while the salinity varied from 23 to 27 ppt. For logistical reasons (access to winches and cranes), cages set at the seabed was not attempted during these experiments. A codend cover net was used to collect prawn that escaped at the surface. The catch was released in the covered section of the codend during hauling by a pressure-controlled trigger once the net reached 30 m depth. Escaped prawns were lifted onboard in a canvas bucket mounted at the rear of the cover net and released into a 1000 l tub filled with water from the 75 m intake at the Flødevigen Research Station. Prawns were then carefully transferred to plastic crates which were placed in storage tubs onboard (also filled with water from Flødevigen). A water cooler and oxygen bubbler were used to ensure stable water quality. On arrival at Flødevigen (once per day), the prawns were transferred to aquaria. A series of hauls were conducted with either 1 or 7 hour duration. In addition, a series of 1-hour hauls without a codend cover were made, where the codend was manually washed in tub in the same way as in the survival trials in April/May. Mean survival for the different treatments was: codend cover, 1 hour duration = 59%; codend cover, 7hr duration = 69%, and: iii) no codend cover, 1 hour duration = 50%. There were no significant statistical differences in survival between treatments. However, there was a significantly higher survival rate in April/May compared to August/September for the manually washed codend treatment group. As the methodology for this experimental group was identical in the two field trials, the lower survival in Aug / Sept is probably the result of differences in the environmental conditions, especially the high temperatures in the surface layer.
In general, the experiments have shown that prawn are robust to short-term exposure to relatively wide changes in salinity and temperature. During much of the prawn fishing season, the environmental conditions in the Skagerrak will be within the tolerance range for short-term exposure. However, in some periods (especially the spring), the surface layer salinity in the Skagerrak can drop to 20 ppt. In late summer, the surface temperature can reach 20 C. The experiments suggest that such conditions are within the lethal range for prawn, especially in terms of temperature. The mortality of prawns escaping at the surface in such conditions can be expected to be at least 30-50%. The particularly unfavourable conditions coincide with the time when most shrimp fry are taken in catches and the potential for surface selection is high. In order to minimize mortality for sorted shrimp, it is therefore important to avoid surface selection as much as possible. The results show that this may be achieved by using codend designs that provide good selection at the fishing depth, e.g. a 4-panel design with shortened lastridge ropes.
Sammendrag
Fra 2020 til 2022 ble det gjennomført en rekke forsøk i Skagerrak i forbindelse med seleksjon og overlevelse til dypvannsreker (Pandalus borealis). Hovedmålsettingen var å kvantifisere hvor stor andel av trålsekkseleksjonen av reker som skjer i havoverflaten og undersøke overlevelsen til rekene som selekteres ut her. Overlevelsen til reker som unnslipper i overflaten avhenger av miljøforholdene i overflaten og hvor lenge de eksponeres for disse. Høy dødelighet på utsortert småreke vil være en alvorlig feilkilde i bestandsberegninger og også reduserer utbyttet fra bestanden. Forsøkene ble inndelt i fire arbeidspakker: Kvantifisering av seleksjon i havoverflate og på bunn, adferds- og toleranseundersøkelser, metodeutvikling for overlevelsesforsøk i felt og overlevelsesforsøk i rekefiske (feltforsøk).
Seleksjonsforsøkene tok for seg tre alternative utforminger på sekk som anses som kandidater ved regelverksendringer for å forbedre seleksjon i rekefiske; fire-panels diamantmaskesekk med 150 masker i omkrets med og uten innkortede (15%) leistau og kvadratmaskesekk med diamantmaskesekkeløft med 15 % innkortede leis. Totalseleksjon kvantifiseres ved å fiske med dobbelttrål, hvor den ene trålen har en finmasket, ikke-selektiv sekk. For å kvantifisere seleksjon i havoverflate, ble det fisket med to identiske sekker og reken i en av de to sekkene sluppet bak i en finmasket, ikke-selektiv pose for å hindre seleksjon i overflaten. Seleksjon beregnes deretter ved å sammenlikne størrelsesfordelingene. Diamantmaskesekk er minst egnet for å selektere undermålsreke og fører til størst andel av reke som selekteres ut i havoverflaten. Innkorting av leistau øker seleksjon på bunn samtidig som overflateseleksjon blir langt lavere. Kvadratmaskesekk har tilsvarende seleksjonsegenskaper som sekk med innkortede leistau, men større andel reke går ut i havoverflaten og fører til større tap av den største reken.
Rekers vertikale bevegelse (synkehastighet) og deres toleranse for endringer i temperatur og salinitet ble studert i laboratorieforsøk. Det ble gjennomført to ulike forsøksserier der en først (forsøksserie 1) så på synkehastighet ved to ulike temperaturer (6 og 12 ˚C) og to ulike saliniteter (35 og 27 ‰). I forsøksserie 2 ble toleranse for endringer i temperatur (6- 15 ˚C) eller salinitet (35-27 ppt) undersøkt. Gjennomsnittlig synkehastighet for levende reker varierte mellom gruppene fra 7,8-12,3 cm/s (280-423 m/time), mens nylig avlivede reker hadde en synkehastighet på 8 cm/s (288 m/time). For et fiskedyp på 300 m, vil reker selektert ut i overflaten følgelig bruke ca. 1 time på å nå bunnen. Reker var minst aktive ved lav salinitet og høy temperatur.. Eksponeringsforsøkene viste at reker har høy toleranse (>95 % overlevelse) for kortvarige endringer (<1 time) i miljøforhold (temperaturøkning og salinitetsreduksjon) innenfor de temperatur- og salinitetsintervall som ble benyttet i forsøkene og som tilsvarer forhold som er vanlig forekommende i havoverflaten på rekefeltene i Skagerrak. Forutsatt at rekene ikke spises av predatorer eller har betydelige fangstskader når de er sortert ut av trålen så kan en med disse resultatene anta at reker vil kunne overleve seleksjon fra trål i overflaten selv ved relativ høy temperatur (15 ˚C) og lav salinitet (27 ‰).
Målet med metodikkutviklingspakken var å utvikle metodikk for å samle opp reker som ble utsortert fra fiskeposen under tråling, og å overføre disse til bur som skulle koples fra og stå på bunnen i to døgn før de ble tatt opp. Systemet måtte kunne sette et tidsvindu for når og hvor lenge oppsamlingen av utsorterte reker skulle skje. Videre skulle det utvikles metodikk for å samle opp reker som selekteres ut fra trålposen når den "vasker" i overflaten før innhiving. Også her skulle rekene overføres til bur som så skulle senkes ned til bunnen med en hastighet svarende til rekenes estimerte synkehastighet. Forsøkene ble utført på rekefeltene i Balsfjorden høsten 2020 og høsten 2021. På første feltforsøk ble det testet et system som bestod av et dekknett over posen. Dekknettet ble holdt åpent med kites. I bakkant av dekknettet var det påmontert en stormasket, sylindrisk nettseksjon og i bakkant av denne var oppsamlingsburet flettet på. Nettseksjonen skulle styre når samling skulle starte ved hjelp av en utløser som frigjorde et finmasket dekknett som skulle kle seksjonen, samtidig som oppsamlingsburet ble åpnet. Etter ønsket samplingstid ble buret lukket og frikoplet av en annen elektronisk utløser. Mekanismen for frigjøring av dekknett og bur var imidlertid ikke funksjonssikker, og forsøk på modifikasjon var ikke vellykket. På neste tokt ble seksjonen byttet ut med en rigid ramme med utløserstyrt lem som åpnet for inngang av reker til buret. Selve rammen fungerte som tiltenkt, men tauemotstanden ble nå så stor at trålforlengelsen ble stupet igjen framfor festepunktet for dekknettet, og det gikk derfor ikke reker bak i posen. Det ble derfor bestemt å fokusere på overflatefasen i overlevelsesforsøkene. Til oppsamling av reker som vaskes ut i overflaten ble det testet ut en flytekrage med notpose som trålposen ble “vasket” i. Denne fungerte tilfredsstillende i metodeuttestingsforsøkene.
Overlevelse av reke som selekteres ut i havoverflaten ble studert i to feltforsøk i 2022. Det første forsøket ble gjennomført i april-mai. Forsøkene ble gjort med MS Fangst på rekefeltene 5-6 n mil utenfor Arendal. Overflatetemperaturen var da ca. 10 °C, mens saliniteten i overflatelaget var rundt 20 ppt. Metodikken med “vasking” av trålsekk i en merd som ble satt ut ved skutesiden viste seg å være tidkrevende og eksponerte rekene for lav salinitet i vesentlig lengre tid enn ved utvasking i havoverflaten i ordinært fiske, og ble antatt å være årsaken til høy dødelighet for de utsorterte rekene. Det ble derfor bestemt å løfte sekken om bord og utføre vaskingen i et 1000 l kar, før reker så hhv ble satt ut i bur og overført til lagringskar. Høy initiell dødelighet i lagringskar ble antatt å skyldes bruk av overflatevann med lav salinitet. I fortsettelsen ble det derfor bestemt å benytte dyphavsvann (7 °C, 35 ppt) fra 75 m inntaket på Forskningsstasjonen Flødevigen i både vaske- og mellomlagringskar. Utsorterte reker ble etter vasking overført til hhv bur som ble senket ned til bunnen på fiskelokaliteten og trådkasser som ble holdt i kar om bord før de senere samme dag ble overført til kar på Forskningsstasjonen Flødevigen. Burene ble senket med synkehastigheten for reker estimert i laboratorieforsøkene. Etter 48 t ble bur/kar tatt opp og overlevelse bestemt. Gjennomsnittlig overlevelse var 70 % i burgruppen og 85 % i kargruppen. En kontrollgruppe av levedyktige reker som ble holdt i kar hadde 98 % overlevelse. Den signifikant lavere overlevelsen i burgruppen enn i kargrupper kan skyldes den ekstra eksponeringen for den lave saliniteten i overflatelaget mens rekeburet sakte ble senket. Det neste overlevelsesforsøket ble gjort med reketråleren MS Sjøvik i august/september på de kystnære rekefeltene mellom Arendal og Kristiansand. Dette er tiden når overflatetemperaturen når sitt årsmaksimum i Skagerrak. Målt temperatur i overflatelaget varierte fra 17-19 °C, mens saliniteten varierte fra 23 til 27 ppt. Av logistiske hensyn (tilgang på garn-/teinehaler og kraner) ble det ikke benyttet burutsett på dette toktet. Dekknett ble benyttet for å samle opp reker som selekteres ut mens trålposen er i overflaten. Dekknettet ble utløst av en trykkstyrt utløser når sekken var på 30 m dyp under innhivingen. De utselekterte rekene ble løftet om bord i en seilduksbøtte montert bakerst på dekknettet og tatt over i et 1000 l kar fylt med vann fra 75 m inntaket på Forskningsstasjonen Flødevigen. Deretter ble de forsiktig overført til kasser som ble satt i lagringskar om bord. Disse karene var også fylt med vann fra Flødevigen og var dessuten koplet til en vannkjøler for å sikre stabil vannkvalitet. Det ble også tilført oksygen. Ved anløp Flødevigen (1 gang per døgn) ble rekene overført til kar på stasjonen. Det ble gjort hal med tauelengde på 1 t og 7 timer. I tillegg ble det gjort en serie 1 t hal uten dekknett der trålposen ble vasket i kar på dekk på samme måte som i det første overlevelsesforsøket i april/mai. Estimert median overlevelse i de tre forsøksgruppene. Dekknett 1 t, Dekknett 7 t og Kar 1 t var henholdsvis 59, 69 og 50 %. Det var ikke signifikante forskjeller mellom gruppene. Det var imidlertid signifikant forskjell i overlevelse for kargruppen mellom forsøket i april/mai og forsøkt i august/september. Da metodikken for denne forsøksgruppa var identisk i de to feltforsøkene, er den lavere overlevelsen i august/september trolig er resultat av forskjeller i miljøforholdene, spesielt de høye temperaturene i overflatelaget.
Generelt har forsøkene vist at reker er robuste for kortvarig eksponering for relativt vide endringer i salinitet og temperatur. I mye av rekesesongen vil miljøforholdene i Skagerrak være innenfor toleranseområdet for kortsiktig eksponering. I perioder, særlig om våren, kan imidlertid saliniteten i overflatelaget i Skagerrak komme ned i 20 ppt og sensommers kan overflatetemperaturen nå 20 °C. Feltforsøkene antyder at vi da er innenfor det letale området for disse miljøparametrene for reker, spesielt hva gjelder temperatur, og dødeligheten for reker utsortert i overflaten kan være betydelig. De spesielt ugunstige miljøforholdene for overlevelse av reker sammenfaller med tiden da det tas mest rekeyngel i fangstene og potensialet for overflateseleksjon er stort. For å minimere dødelighet for utsorterte reker er det derfor viktig å unngå overfateseleksjon ved å bruke trålposer og trålutforminger som gir god seleksjon på fiskedypet, f. eks. 4-panels trålpose med innkortede leistau.
1 - Innledning
Fisket etter reker ( Pandalus borealis ) i Skagerrak/Nordsjøen er et av de viktigste fiskeriene for fiskeflåten fra svenskegrensen til Rogaland. Årlig uttak fra bestanden har ligget på 10-15 tusen tonn de siste tiårene ( https://www.hi.no/hi/radgivning/kvoterad/2020/reke-i-norskerenna-og-skagerrak ). Norges kvote av TAC er 59 %, Danmarks 27 % og Sveriges 17 %. Norsk forvaltning er basert på en totalkvote og tekniske reguleringer som skal sikre et ansvarlig beskatningsmønster, dvs. bruk av rist for å begrense uønsket bifangst av andre arter og bestemmelser om minstemål, maksimal tillatt innblanding av undermåls reker, minimum tillatt maskevidde og utkastforbud. Utkastforbudet ble imidlertid i liten grad etterlevd og håndhevet inntil WWF i 2016 rødlistet reker i Skagerrak. Det ble da satt i gang et omfattende arbeid med å utvikle mer effektive seleksjonsinnretninger og skaffe til veie et bedre kunnskapsgrunnlag om seleksjonsprosessen.
Mye av dette arbeidet ble utført innenfor forskningsprosjektet "Optimalisering av fiske etter reker" som var et samarbeidsprosjekt mellom de største marine forskningsmiljøene i Norge. Prosjektet var primært finansiert av Fiskeri og havbruksnæringens forskningsfinansiering (FHF) og Fiskeri-direktoratet. I dette prosjektet ble det estimert seleksjon for forskjellige trålsekkeutforminger inkludert ordinære to-panels sekker, fire-panels sekker med nedkortede leistau og kvadratmaskesekker. Videre er effekten av sekkeomkrets og sekkelengde på seleksjon undersøkt, samt overlevelse på selekterte reker ved kort tauetid og lav vann-temperatur. Resultatene viste at med enkle grep, som å redusere sekkeomkrets og bruke nedkortede leistau kan fangst av rekeyngel reduseres vesentlig. Spørsmål knyttet til overlevelse av reker som sorteres ut i havoverflaten etter at reke har vært utsatt for flere stressfaktorer (høy vanntemperatur, salinitet, trykkforandringer med mer) gjenstår å svare.
Ressursforvaltning basert på minstemål og størrelsesselektive redskaper forutsetter at det som selekteres ut er levedyktig. I motsatt fall er det bedre å beholde fangst av yngel til industrielle produkter. Utsortering av reker skjer primært i trålposen der fangsten akkumuleres. Videre kan utsorteringen skje på selve fiskedypet under tråling, på vei opp mens trålen hales eller i overflaten mens trålen tas om bord. Omfanget av utsortering av småreker i overflaten er antatt å kunne være betydelig og skje primært når sekken blir liggende å "vaske" i overflaten.
Størrelsesseleksjonen bør i størst mulig grad skje på fiskedypet nær det naturlige habitatet. Ved utsortering på fiskedypet vil rekene få en kortere oppholdstid i sekken enn når de sorteres ut i overflaten. De fleste som selekteres ut på fiskedypet vil trolig unnslippe før de havner helt bakerst i sekken, hvor de blir presset mot bakre del av posen. Når posen kommer til overflaten, stopper fartøyet opp, og sveiper og trålbelg blir tatt inn. Akkumulert fangst utsettes da for mer mekanisk omrøring i posen grunnet bølgebevegelser. Når posen klargjøres for ombordtaking (f.eks. ved at den føres fram til styrbord side) vil den ofte ligge og vaske i overflaten. Reker vil da kunne bevege seg mer fritt og de som er i en gunstig posisjon vil kunne unnslippe aktivt (og muligens passivt) når masker åpner seg. Omrøring i posen i overflaten øker sannsynligheten for fysisk skade. Rekene har dessuten ligget i delvis klem i posen, ofte i flere timer. Begge disse forholdene kan redusere sannsynligheten for overlevelse hos reker som selekteres ut i overflaten kontra på fiskedypet.
Det er ikke publisert data for hvor stor andel av rekeseleksjonen som skjer i overflaten. Det er rimelig å anta at forholdet påvirkes av trålposens utforming. I Skagerrak har det tradisjonelt blitt brukt to-panels diamantmaskesekker med stor omkrets. Bruk av slike sekker gir svært lite utsortering av rekeyngel på fiskedypet. Ved akkumulering av fangst i sekken blir det et longitudinalt strekk som innsnevrer åpningstverrsnittet på sekken framfor fangsten. Når sekken har mange masker i omkrets, blir maskene da tilnærmet lukket. Det er derfor potensielt mer yngel i en slik sekk når den når overflaten enn dersom sekken hadde hatt åpne masker og god utsortering på fiskedypet. Preliminære data fra et pilotforsøk utført av Havforskningsinstituttet synes å bekrefte denne antagelsen. Det bør derfor gjøres forsøk med et utvalg av sekker når omfanget av overflateseleksjonen skal beregnes.
Reker som selekteres ut i overflaten vil periodevis eksponeres for betydelig høyere temperaturer og variasjon i saliniteten enn i det naturlige habitatet på fiskedypet. Det hydrografiske snittet Torungen-Hirtshals viser at temperaturen på 2-300 m dyp (typisk fiskedyp i Skagerrak bortsett fra i gytetiden senvinters) varierer lite (6-7 °C). Overflatetemperaturen varierer imidlertid svært mye gjennom året. I sommermånedene er det markant sjikting, ofte 17 °C eller mer i overflatelaget. Rekene vil da i løpet av få minutter utsettes for mer enn 10 graders temperaturforskjell. Reken lever normalt i områder med temperaturer mellom -1,6 og 8 °C (Shumway et al., 1985; Appollonio et al., 1986), men det er også rapportert naturlig forekomst av Pandalus borealis i vannmasser opptil 12 °C (Björk, 1913). I forsøk der reken selv har fått velge vanntemperatur mellom 3,8 og 9,5 °C viser reken preferanse for de laveste temperaturområdene (Larssen et al. 2021). I forsøk der reker ble mellomlagret ved relativ høy temperatur (10 og 15 °C) i 2 døgn hadde de en dødelighet på 33 og 52 % (Larssen et al. 2013). Saliniteten er relativ stabil på 130-300 m dyp (~35 ‰) gjennom vinteren, men kan synke ned mot 27 ‰ i overflatevannet (Sætre, 2007). Rekenes salinitetspreferanse er 23,4 - 35,7 ‰ (Allen, 1959; Barr, 1970), men plutselige salinitetsendringer kan påvirke deres fysiologi og overlevelse.
Overlevelsen til reker som unnslipper trål avhenger av hvor lenge rekene må befinne seg i de øvre delene av vannmassene hvor miljøfaktorene (temperatur og salinitet m. fl.) kan være ugunstige og eksponeringen for predatorer høyere enn på bunnen. Det finnes ingen data på hvor lang tid reker som unnslipper i overflaten vil bruke på å bevege seg fra overflaten og ned til bunnen igjen, ei heller om de lar seg synke passivt eller aktivt svømmer mot bunnen. Rulifson (1985) viser at juvenile reker ( P. aztecus og P. duorarum ) har en synkehastighet på 9,5-27 cm per sekund. Dersom dyphavreken har en tilsvarende synkehastighet vil de behøve mellom 18,5 og 52,5 minutter på å komme seg ned igjen på 300 m.
Tidligere forskning på overlevelse av reker som blir selektert tyder på at overlevelsen kan variere sterkt avhengig av fangstforhold og metode. Larssen og Christophersen (2018) undersøkte dødelighet til reke selektert ut gjennom en nordmørerist og 35-40 mm masker. Rekene ble samlet ved bruk av dekknett festet rundt trålposen der rekene endte i en plasttønne for skånsom ombordhaling og tauetiden var på maks 1 time. Estimert dødelighet etter 2 døgn lagring var ~20 % (9 % ved start (0 timer) og ~14 % etter 24 timer). I tillegg kunne 10 % av reke anslås som døende (rekene hadde utviklet hvite flekker, som resulterer av stressrelatert idiopathic muscle necrosis [IMN]) (Larssen og Christophersen, 2018). Dødelighet for reker i kontrollgruppe var lav (0.6 %). I feltforsøk gjennomført i rekefisket på Island ble overlevelse av både utsortert reke og utkast undersøkt ved bruk av både diamant- og kvadratmaskesekker (Thorsteinsson, 1995). Reken ble samlet i bur som ble ankret 15 m under havoverflaten. Dødelighet av utsortert reke var variabel etter en observasjonsperiode på i gjennomsnitt tre døgn (10- 233 timer), med ~0-43 % dødelighet for diamantmaskesekk og 2-7 % for kvadratmaske. Dødelighet i kontrollbur var 1-15 %.
Forsøk har også vist at tauetid og sesong har stor påvirkning på kondisjon til reker under fangst (Larssen et al. 2013). Etter 2,5 t tråling hadde trålfangete reker, død og døende (med letale skader) på 30 %. Ved å øke tauetiden til 6 og 10 timer, øker dødeligheten til henholdsvis 50 og 70 %. Larsen et. al (2013) viser også at overlevelsesraten er betydelig lavere på reker fangstet i august kontra mars med overlevelse på henholdsvis 42 og 70 %. Temperaturpåvirking under hiving med en overflatetemperatur på 18° og betydelig lavere skallkondisjon (tynnere skall) anses å være en forklaring på dette.
Resultatene ovenfor gir en indikasjon på dødelighetsrate av reke som blir selektert fra trål og en generell ide om hvordan masketype, rist, tauetid og sesong kan påvirke dødeligheten. Men det er knyttet stor usikkerhet til andel selekterte reker på bunn kontra i overflaten og overlevelse av reker som trekkes gjennom temperatursjiktet og dermed eksponeres for store temperatursvingninger. Basert på erfaringer fra tidligere forsøk (Thorsteinsson, 1995, Larssen et.al., 2013, Larssen og Christophersen, 2018) ser en også et det knyttes noe usikkerhet til metodikk for innsamling av selekterte reker. Prøvetakingsmetoden hvor reke ble akkumulert i lengre periode i en tønne, kan ha resultert i dødelighet som ikke kan relateres til det som kan forventes i fiske. Ved samling av reker i bur kan rester av reker i trålen havne i burene i påfølgende trålhal og dermed observeres en falsk, forhøyet dødelighet. Det er derfor nødvendig å utvikle metodikk for innsamling av rekene som eliminerer slike faktorer.
Argumentasjonen ovenfor leder fram til to hovedproblemstillinger som vi bli belyst i prosjektet:
1. Hvor stor er den relative andel reker som selekteres ut hhv på fiskedypet og i overflaten?
2. Hvor høy er overlevelsen av reker sortert ut under fiske og reker sortert ut i overflaten, og er det sesongmessige variasjoner i overlevelsen?
2 - Problemstilling og formål
Dødelighet av utsorterte reker representerer en kilde til utilsiktet dødelighet. Høy dødelighet på utsortert småreke reduserer potensielt utbytte fra bestanden, og er en alvorlig feilkilde i bestandsberegninger og etisk uforsvarlig. Prosjektet vil belyse hvordan trålposedesign påvirker den relative andel som sorteres ut på hhv fiskedyp og i overflaten, og om overlevelse er relatert til hvor utsortering skjer. Fiskeridirektoratet har bebudet en revisjon av det tekniske regelverket for rekefisket i bl.a. Skagerrak. Kunnskapsinnhentingen som skjer i prosjektet, vil bidra til at den nye reguleringen blir funksjonell og formålstjenlig for næringen. Bærekraftige løsninger vil også bidra til å sikre fiskeriet miljøsertifisering (gjeldende MSC-sertifisering i 2026), og med det fornyet adgang til godt betalte markeder.
3 - Prosjektorganisering
Prosjektet har vært et samarbeid mellom Havforskningsinstituttet og Møreforskning og har vært tett knyttet opp mot et internt prosjekt hos Havforskningsinstituttet på samme tema. Sistnevnte prosjektet var basert på en rådgivningsbestilling fra Fiskeridirektoratet og var samfinansiert av Fiskeridirektoratet og Havforskningsinstituttet.
Prosjektet har hatt en prosjektgruppe med representanter fra rekefiskerne, produsenter av reketråler og forvaltningen. Disse har vært med:
Martin Andås, MS Sjøvik
Lennart Danielsen, Sør-Norges Fiskarlag
Frode Jensen, MS Tenor
Dagfinn Lilleng, Fiskeridirektoratet
Rita Naustvik, Fiskeri- og havbruksnæringen forskningsfinansiering
Peder Asbjørn Pedersen, Skagerak trål og notbøteri AS
Geir Magne Skjelbred, Egersund Trål As, avd. Hvaler
4 - Prosjektgjennomføring
Prosjektet har vært delt inn i fire arbeidspakker:
AP 1: Kvantifisering av seleksjon i overflate og på bunn
AP2: Adferds- og toleranseundersøkelser i tank
AP 3: Metodikk for overlevelsesforsøk i felt
AP 4: Overlevelse av reker - feltforsøk
4.1 - AP1: Kvantifisering av seleksjon i overflate og på bunn
Målet for denne arbeidspakken var å anslå hvor stor andel av de utsorterte rekene i et trålhal som går ut i havoverflaten. Beregningene skulle gjøres for forskjellige sekkeutforminger. Av budsjettmessige årsaker ble fiskeforsøkene gjort over to påfølgende år. Det ble også bestemt at feltforsøkene skulle estimere seleksjonskurver for hhv totalseleksjon og overflateseleksjon og at bunnseleksjon skulle beregnes basert på de forannevnte.
4.1.1 - Materiale og metoder
4.1.1.1 - Fiskeforsøk oktober-november 2020
På det første feltforsøket ble det testet ut to forskjellige firepanels sekkeutforminger, en med og en uten nedkortede leistau. Forsøket ble gjort med det innleide fiskefartøyet MS Tenor (VA-19-S) i perioden 18. oktober til 14. november 2020. Fartøyet er 35,25 m langt og var rigget for dobbelttrål. Det ble fisket med båtens egne 2960 maskers tråler produsert av Skagerak trål og notbøteri AS. Trålene var firepanels, med en strekt omkrets på 177,6 m (2960 x 60 mm). Tråldørene var av typen Thyborøn 150’’ Type 2B. Disse har et areal på 10,9 m2 og veier 2300 kg. Senterloddet veide 3250 Kg og sveipene var 63 m lange. Begge forsøkssekkene var 17,6 m lange. De fremste 8,8 meterne var skråskårne fra 400 maskers omkrets (som var omkretsen på ristseksjonen). De bakerste 8,8 meterne var rettskårne med en omkrets på 150 masker (37,5 masker i hvert panel). Sekkene var laget i nylon, 210/24 tråd med nominell maskevidde på 42 mm (44 mm helmaske). Sekkeløftet var 2,5 m langt og hadde et beskyttelsesnett, 50 masker i omkrets, laget i 1x5 mm PE med 140 mm maskestørrelse. På den ene sekken var leistauene på den rettskårne seksjonen av sekken innkortet 15 %.
For hver sekkutforming ble det kjørt en serie med hal for estimering av totalseleksjon og en serie for estimering av overflateseleksjon. For estimering av totalseleksjon fungerte den ene trålen som kontroll og trålsekken på denne trålen hadde et småmasket innernett av tobisnotlin (8 mm maskevidde). Totalseleksjonen ble beregnet ved å sammenligne fangsten per lengdegruppe i kontrollsekken med fangsten i den eksperimentelle sekken. For estimering av overflateseleksjon ble det fisket med de to forsøkssekkene. Når sekkene kom til overflaten (definert som dyp <= 30 m), ble fangsten i den ene sekken sluppet bak i en finmasket oppsamlingspose som var sydd på i bakkant av sekken (Figur 1). Under fiske var overgangen mellom sekk og oppsamlingspose strupet med et tau. Tauet var festet i begge ender til en trykkstyrt Fosstech-utløser som var innstilt for å løse ut på 30 m dyp ved innhiving av trålen. Utløseren lades av hydrostatisk trykk og vil derfor ikke løse ut ved setting av trålen. Hvis det foregår overflateseleksjon av reker i trålsekken, vil denne da vise seg som en forskjell mellom rekefangsten i posen og rekefangsten i den eksperimentelle sekken.
Tauetiden varierte mellom 6 og 12,6 timer, med en medianlengde på 9,2 timer. Babord trål fungerte som kontroll i hal 1-25, mens styrbord trål var kontroll i de resterende halene. Totalt i forsøksperioden ble det gjennomført 42 gyldige hal. Målsettingen var minimum 10 hal for hver serie, mens det faktiske antallet varierte mellom 9 og 12 (Tabell 1). Fartøyet fisket i nord- og sørkant av Norskerenna sør av Mandal (Figur 2) på dyp mellom 120 og 215 fv. (mediandyp 170 fv.).
Figur 1. Metode for estimering av overflateseleksjon illustrert. Begge sekkene fisker selektivt på bunn og innhiving, mens i kontrollsekken brukes utløser for å slippe fangsten bak i en ikke-selektiv småmasket pose på 30 m dyp. Forskjell i størrelsesseleksjon mellom sekkene er da på grunn av overflateseleksjon. Ved måling av totalseleksjon er kontrollsekken blindet og ingen utløser brukes.
Tabell 1. Stasjonsinformasjon og rekefangst for halene tatt med MS Tenor på toktet 18. oktober - 14. November 2020. Sekkeutforming er kodet S for standard firepanels sekk og N for firepanels sekk med 15 % nedkortede leistau. Fase angir hvilken fase av halet seleksjon ble beregnet for (overflate eller totalseleksjon). NA indikerer manglende data.
Hal
Dato
Tid
Tauetid
Startposisjon
Sekk
Fase
Totalfangst reker
Kokte reker
Rekeprøve
(t)
Bredde
Lengde
Test
Kontroll
Test
Kontroll
Test
Kontroll
1
20201018
23:45
7,75
57,64°
7,10°
N
Overfl
64,32
45,80
47,0
33,0
3,37
3,49
2
20201019
09:23
8,58
57,57°
7,51°
N
Overfl
105,38
151,04
59,0
80,0
2,52
2,50
3
20201020
17:15
11,93
57,63°
7,65°
N
Overfl
169,34
157,73
135,0
120,0
3,04
3,29
4
20201021
15:03
11,02
57,63°
7,66°
N
Overfl
126,18
107,26
99,0
82,0
3,14
3,16
5
20201022
06:08
7,92
57,65°
6,80°
N
Overfl
136,90
75,57
78,0
45,0
2,50
2,36
6
20201022
15:45
10,25
57,73°
6,38°
N
Overfl
74,99
79,71
45,0
53,0
3,20
3,48
7
20201023
11:50
10,22
57,64°
7,65°
N
Overfl
111,14
53,01
78,0
42,0
2,70
2,86
8
20201023
23:40
8,15
57,71°
7,15°
N
Overfl
96,38
51,91
75,0
42,2
3,82
3,86
9
20201024
09:39
8,85
57,65°
7,48°
N
Overfl
73,12
58,72
54,0
44,0
2,80
2,22
10
20201024
20:15
9,50
57,74°
8,06°
N
Overfl
41,16
63,52
33,0
47,6
3,56
3,42
11
20201025
07:10
6,67
57,63°
7,44°
N
Overfl
5,75
45,22
2,8
28,0
1,62
2,62
12
20201025
23:50
9,30
NA
NA
N
Total
62,73
219,19
45,5
118,4
3,18
3,52
13
20201026
13:53
6,03
57,66°
7,32°
N
Total
108,56
207,64
81,0
126,5
2,90
2,40
14
20201026
22:25
6,58
57,62°
7,59°
N
Total
164,84
307,37
124,0
154,0
3,60
2,88
15
20201027
NA
NA
NA
NA
N
Total
48,83
135,37
39,0
71,0
2,50
2,00
16
20201027
NA
NA
57,64°
7,51°
N
Total
56,59
272,80
44,0
179,0
3,28
3,24
17
20201029
14:00
11,05
57,69°
7,11°
N
Total
30,64
159,11
24,0
104,7
3,76
2,78
18
20201030
09:50
9,67
57,99°
8,08°
N
Total
155,25
280,29
120,5
150,0
3,38
2,54
19
20201031
02:45
9,82
57,63°
6,96°
N
Total
186,86
331,70
126
171,0
2,86
2,90
20
20201031
14:15
11,28
57,68°
6,68°
N
Total
169,72
424,05
118,5
197,5
3,50
2,22
21
20201101
20:35
6,92
57,59°
7,17°
S
Overfl
186,75
169,82
116
103,8
3,76
2,92
22
20201102
10:50
8,03
57,65°
6,92°
S
Overfl
172,15
164,67
99,8
87,0
2,84
2,78
23
20201102
20:20
10,75
57,74°
6,53°
S
Overfl
126,08
135,21
70,0
68,7
3,48
2,75
24
20201103
09:15
8,33
57,59°
6,83°
S
Overfl
114,60
132,12
66,7
62,2
2,70
2,32
25
20201103
19:52
8,15
57,59°
7,12°
S
Overfl
254,42
303,75
142,0
187,4
2,70
2,62
26
20201104
12:50
6,55
57,91°
7,54°
S
Overfl
128,43
128,16
85,0
78,0
2,64
3,02
27
20201104
20:45
10,75
57,98°
8,01°
S
Overfl
144,61
152,13
95,0
98,0
2,88
2,60
28
20201105
11:15
7,25
57,98°
8,00°
S
Overfl
319,03
366,23
171,0
181,0
2,36
2,36
29
20201105
20:45
6,35
57,97°
7,85°
S
Overfl
168,00
236,94
75,0
84,0
2,56
2,34
30
20201106
10:15
10,28
57,98°
8,07°
S
Overfl
361,43
395,61
184,0
185,0
2,20
2,12
31
20201107
03:35
10,58
57,99°
8,11°
S
Overfl
261,21
290,04
191,0
197,0
3,10
2,76
32
20201107
17:01
10,52
57,92°
7,67°
S
Overfl
262,94
285,46
179,0
161,0
2,40
2,56
33
20201108
14:39
9,42
57,98°
8,10°
S
Total
231,89
132,22
134,0
101,0
2,58
2,64
34
20201109
03:02
11,15
57,97°
7,99°
S
Total
223,28
325,40
181,0
188,0
2,98
2,10
35
20201109
18:29
10,53
57,98°
8,00°
S
Total
127,09
189,43
94
114,00
2,80
2,54
36
20201110
08:52
8,58
57,97°
7,96°
S
Total
318,45
399,22
162
198,00
2,00
2,00
37
20201110
22:00
8,03
57,98°
8,07°
S
Total
191,47
221,67
85
93,00
2,04
1,80
38
20201111
16:10
10,92
57,74°
6,42°
S
Total
175,13
228,69
112
119,00
2,42
2,30
39
20201112
14:55
11,63
57,59°
6,81°
S
Total
353,56
387,32
216
200,00
2,22
2,06
40
20201113
12:15
12,67
57,57°
6,90°
S
Total
406,65
462,59
202
189,00
2,42
2,10
41
20201114
11:52
9,13
57,59°
6,84°
S
Total
210,77
303,85
103
102,00
2,20
2,02
42
20201114
23:05
9,05
57,57°
7,42°
S
Total
301,63
403,30
180
196,00
2,26
1,92
Figur 2. Halposisjoner for toktet med M/S Tenor 18. Oktober – 14. November 2020.
Maskeåpningen i de to sekkene ble målt etter hal 25 med en Omega-maskemåler (ICES, 2005). For hver sekk ble det målt 20 masker i hvert av de fire panelene. Maskeåpningen i styrbord sekk var 40,9 mm (sd=0,69, n = 80), mens den for babord sekk var 41,4 mm (sd=0,79; n = 80). Grunnen til det ble brukt forholdsvis store masker på dette toktet (~41 mm vs ~37 mm i senere forsøk) er at smårekene er betydelig større om høsten enn om våren. For å kunne beregne en seleksjonskurve, måtte vi derfor tilpasse maskevidden til den tilgjengelige størrelsesfordelingen av reke.
Fangstene i oppsamlingssekk og hovedpose ble registrert separat for hver trål. Fangsten av reker er basert på fangstdagbok-data. For beregning av lengdesammensetningen av reker i fangsten ble det tatt to tilfeldig prøver på til sammen ca. 4 kg fra hver delfangst. For alle rekene i disse delprøvene ble carapax-lengde (CL) for alle reker målt med et elektronisk skyvelære, og lengden ble avrundet til nærmeste halve mm.
4.1.1.2 - Fiskeforsøk mai-juni 2021
På det andre feltforsøket ble det estimert total- og overflateseleksjon for en kvadratmaskesekk. Forsøkene ble gjort med MS Sjøvik (VA-72-K) i perioden 31. mai – 14. juni 2021. Fartøyet er 28,05 m langt og rigget med dobbelttrål.
Trålene som ble brukt var av typen Flekkerøytrål, 2850 masker i omkrets, regnet i 60 mm, dvs. 171 m strekt omkrets. MS Sjøvik fisket med tråldører av typen Thyborøn 2 (155") som hver veide 2300 kg og hadde et areal på 10,9 m2. Til dørene var det koblet 8 m haneføtter til 53 m sveiper. Bunngearet hadde 10" plastbobbins i midten, og gummi på sidene. Senterloddet veide 3200 kg.
Testsekken var 16 m lang og hadde fire panel. De fremste 8 m var skråskårne fra 400 til 150 masker i omkrets og hadde en maskevidde på 39,25 mm (sd= 0,72). Deretter kom det en 5 m lang kvadratmaskeseksjon i 36 mm nominell maskevidde. Maskevidden i denne ble målt ved forsøksstart (middel= 36,65 mm; sd= 0,7; n= 20), midt i forsøket (middel= 37,52, sd=0,60, n=21) og etter avsluttet forsøk (middel= 37,55, sd= 0,72, n= 146). Bak kvadratmaskeseksjonen var det et løft som bestod av en 3 m lang sekk av diamantmasker (maskevidde = 37,95; sd= 0,50). Sekken hadde en omkrets på 150 masker (4 x 37,5) og var felt på 15 % innkortede leistau.
Det ble gjennomført to forsøksserier; en for estimering av totalseleksjon og en for estimering av overflateseleksjon. Metodikken var identisk med den som ble benyttet på toktet med MS Tenor, med unntak av at det var knyttet for løftet under fiske. Før ombordtaking av fangsten ble sekken løftet opp slik at knyttingen kunne fjernes og fangsten tas bak i løftet. Totalt ble det tatt 21 gyldige hal (Tabell 2). Fartøyet fisket i sørkant av Norskerenna mellom Egersund og Kristiansand (Figur 3).
Tabell 2. Stasjonsinformasjon og rekefangst for forsøkene med MS Sjøvik 31. Mai – 14. Juni 2021. Det ble benyttet kvadratmaskesekk med løft med diamantmasker og 15 % nedkortede leistau. Fase angir hvilken fase av halet seleksjonen (overflate- eller totalseleksjon) ble beregnet for. Gyldige hal er kodet med 1. NA indikerer manglende data.
Hal
Dato
Tid
Tauetid
Startposisjon
Hal-
Gyldig
Totalfangst reker
Kokte
Rekeprøve
(t)
Bredde
Lengde
fase
Test
Kontroll
Test
Kontroll
Test
Kontroll
1
20210531
21:12
5,28
57°53,00'
6°17,00'
Total
0
129,8
190,4
71
79
2,31
1,98
2
20210601
07:35
4,81
58°01,12'
5°49,12'
Total
1
91,7
177,0
65
77
5,16
4,29
3
20210601
17:15
4,85
58°10,62'
5°25,25'
Total
1
180,9
208,3
115
120
6,08
4,96
4
20210602
02:40
4,85
58°09,45'
5°42,80'
Total
1
78,5
138,3
60
90
5,53
4,65
5
20210602
12:00
4,20
57°56,50'
6°02,80'
Total
1
124,5
203,9
75
90
5,29
3,49
6
20210602
20:20
3,97
57°49,30'
6°19,65'
Total
1
57,3
131,7
35
56
4,67
4,34
7
20210603
22:35
4,89
57°37,75'
7°49,83'
Total
1
152,8
265,2
93
125
5,71
6,33
8
20210604
08:00
4,80
57°36,90'
7°24,55'
Total
1
179,3
435,5
109
150
5,30
3,59
9
20210604
17:10
6,00
57°38,15'
7°54,50'
Total
1
226,3
347,6
152
191
6,42
5,42
10
20210605
11:30
4,85
57°37,17'
7°22,23'
Total
1
150,8
264,9
70
90
3,55
4,02
11
20210605
20:45
4,83
57°37,70'
7°51,60'
Total
0
NA
NA
8
180
2,02
2,38
12
20210606
06:10
4,85
57°42,75'
8°18,05'
Total
0
NA
NA
NA
NA
NA
NA
13
20210606
15:30
8,10
57°38,05'
7°55,20'
Total
1
212,9
284,1
122
161
4,98
4,11
14
20210607
14:25
4,95
57°37,73'
7°19,89'
Overfl
1
151,2
171,8
106
126
5,35
5,17
15
20210608
00:00
4,91
57°36,85'
7°45,85'
Overfl
1
163,3
164,7
74
72
4,88
4,66
16
20210608
09:15
4,96
57°37,50'
7°20,60'
Overfl
1
78,1
90,4
45
45
3,65
3,60
17
20210608
18:30
2,64
57°37,10'
7°49,95'
Overfl
1
165,4
215,5
109
128
5,34
5,42
18
20210609
17:45
4,82
57°36,19'
7°43,40'
Overfl
1
141,1
187,8
78
120
4,97
5,04
19
20210610
03:00
3,80
57°40,40'
8°12,50'
Overfl
1
135,8
134,2
75
75
4,65
4,08
20
20210610
12:15
4,04
57°41,30'
8°11,85'
Overfl
1
112,1
149,5
61
90
4,85
3,39
21
20210610
20:20
4,35
57°44,70'
8°31,20'
Overfl
1
121,6
168,2
87
107
4,87
4,29
22
20210611
12:00
4,87
57°35,45'
7°41,67'
Overfl
1
107,4
184,3
59
66
5,78
3,29
23
20210612
21:30
5,16
57°39,75'
8°06,15'
Overfl
1
130,7
177,8
88
107
4,74
6,01
24
20210612
07:25
6,00
57°36,95'
7°39,65'
Overfl
1
199,2
255,5
137
172
5,24
5,29
25
20210613
04:15
5,95
57°39,75'
8°06,80'
Overfl
0
157,7
330,1
94
125
4,64
3,51
26
20210613
15:20
5,50
57°37,30'
7°40,70'
Overfl
0
212,3
373,3
127
160
5,56
4,19
Figur 3. Halposisjoner for toktet med M/S Sjøvik 31. mai – 14. juni 2021.
4.1.1.3 - Analyse
Seleksjonskurver for totalseleksjonen og overflateseleksjon ble estimert basert på lengdemålingene av reker fra fangstene i kontrollsekken og den eksperimentelle sekken. Totalseleksjon for en gitt carapax-lengde er sannsynligheten for at en reke av denne størrelsen holdes tilbake i sekken i hele fangstprosessen, gitt at den kom i sekken. Overflateseleksjon er samme sannsynlighet for fasen der trålposen er i havoverflaten (definert som de øverste 30 m av vannsøylen), mens bunnseleksjon er retensjonssannsynligheten mens sekken er på bunn og under innhiving inntil den når overflatelaget definert over.
For å beregne seleksjon for hvert av de fire datasettene fra Tenor (totalseleksjon og overflateseleksjon med og uten innkortede leistau) og de to datasettene fra Sjøvik (totalseleksjon og overflateseleksjon med kvadratmaskesekk benytter vi binomiske regresjonsmodeller, tilpasset med maximum likelihood. Seleksjonskurve er estimert for individuelle hal-par og middelverdi beregnet for hver lengdegruppe. For å beregne 95 % konfidensintervall for hvert datasett brukes det to-trinns «bootstrapping» der det først (med tilbakelegging) trekkes et tilfeldig sett med hal-par og deretter for hvert hal-par trekkes en tilfeldig prøve fra det enkelte hals størrelsesfordeling. Begge utvalgene samsvarer med de opprinnelige sampelstørrelsene. Seleksjonskurver beregnes så på samme måte som for det opprinnelige empiriske datasettet. Denne prosessen gjentas 1000 ganger for å kunne beregne konfidensintervaller, og 95 % konfidensintervall for den estimerte empiriske seleksjonskurven blir da 2,5 og 97,5 % kvartiler for hver lengdegruppe. En kan være 95% sikker på at den «sanne» seleksjonskurven ligger innenfor dette intervallet. Det finnes en del mulige modeller å velge mellom, en konvensjonell logistisk modell, «logit» ga tilstrekkelig tilpasning for sekk med 150 maske omkrets og overflateseleksjon med innkortede leistau. For de øvrige seleksjonskurvene ble det benyttet en asymmetrisk «Richards» kurve.
Bunnseleksjonen ble beregnet indirekte basert på seleksjonskurvene for totalseleksjon og overflateseleksjon og relasjonen mellom totalseleksjonen og de to seleksjonskomponentene:
Bunnseleksjon rBunn(l) regnes ved å bruke de 2 x 1000 seleksjonskurvene som ble frembrakt ved bootstrapping.
Hvor stor andel av en fangst som selekteres ut avhenger av størrelsessammensetningen i fangsten og seleksjonsegenskapene til redskapet. I simuleringene i denne rapporten har vi benyttet totalfangsten i kontrollsekken som populasjonen det fiskes på. Her var det totalt 17490 reker, hvorav 10 % var undermåls (< 15 mm CL), 47 % var produksjonsreker (15-20 mm CL) og 43 % var kokreker (> = 20 mm CL). Antall reker som selekteres ut av sekken i hhv bunnfasen og i overflaten beregnes så sekvensielt for hver lengdegruppe basert på seleksjonskurven for hver fase.
4.1.2 - Resultater
Estimerte seleksjonskurver for totalseleksjon, bunnseleksjon og overflateseleksjon for hver av de tre testede sekkeutformingene er vist på Figur 4. Totalseleksjon for sekk med 150 maskers omkrets, uten og med innkortede leistau, og kvadratmaskesekk, viser L50 på henholdsvis 15,1, 21,7 og 19,4 mm carapaxlengde. Bruk av sekk uten innkortede leistau vil derfor resultere i at mer enn halvparten av rekene under minstemålet på 15 mm carapax-lengde som kommer i sekken, fanges. For sekker med innkortede leistau og kvadratiske masker vil derimot mesteparten av undermålsreke unnslippe. Samtidig medfører bruk av de to sistnevnte sekkene at mer enn halvparten av industrireke (15-20 mm carapaxlengde) unnslipper. Punktestimatet «L50» beskriver den lengden der en reke av denne størrelsen har 50% sannsynlighet for å bli tilbakeholdt (fanget i rekesekken). L50 for overflateseleksjon med de samme sekkene er noe lavere, hhv 12,2, 15,1 og 15,9 mm. L50 for bunn- og ved innhivingsfasen ligger på hhv 13,4, 21,3 og 18,6 mm. Seleksjonsbredden (SR) er forskjell i mm på rekestørrelser som har 75 og 25% sannsynlighet for å bli tilbakeholdt i sekken (L75 og L25). SR brukes som mål for stigningen på seleksjonskurven, der lavere tall indikerer «skarpere» seleksjon. SR for totalseleksjon er 4,2 -5,2 mm, høyest for 150 maskers sekk med korte leistau. Tabell 3 viser seleksjonsresultater for samtlige oppsett.
På grunn av forskjell i maskevidde (41,1 mm for sekk med 150 maskers omkrets og 37,5 mm for kvadratmaskesekk), ble data for 41 mm sekk skalert ned med 8,8 % (rekestørrelse fra toktet med Tenor ganget med 0.912) for å kunne sammenligne forskjell i seleksjonsegenskaper direkte, ved bruk av samme maskevidde. Disse resultatene er presentert i Figur 5 og Tabell 3. Totalseleksjon for sekk med 150 maske omkrets, uten og med innkortede leistau, og kvadratmaskesekk, viser L50 på henholdsvis 13,8,18,9 og 19,4 mm carapaxlengde. L50 for overflateseleksjon med de samme sekkene er noe lavere, 11,3, 13,7 og 15,9 mm. Seleksjonsbredden (SR) for totalseleksjon er 3,6 -5,2 mm, lavest for sekken med korte leis. Som følge av nedskalering av data for 41 mm sekk er L50 for kvadratsekken større enn for diamantmaskesekk med og uten korte leistau.
Tap av reke, gruppert etter størrelse (undermåls-, industri-, kok-reke) i de forskjellige fasene for alle sekkene er presentert i Tabell 4 og Tabell 5. Disse resultatene er presentert med seleksjon for korrigert maskevidde, dvs. 37,5 mm maskevidde er brukt i modelleringen for å få et sammenligningsgrunnlag. Utsortering av reke både på bunn og i overflate, under minstemål med 150 maske sekk uten korte leistau er da 51 %, sammenlignet med 97 % for både sekk med innkortede leis og kvadratmaskesekk. 37 % av utsorteringen foregår i havoverflaten med 150 maske sekk uten leis, 9 % med innkortede leis og 17 % med kvadratmaskesekk. Tap av industrireke er 13, 64 og 68 %. Utsortering i havoverflaten står for 60, 6 og 19 % av totalseleksjonen med de samme sekkene. Tap av kokreker med sekk uten innkortede leis var 2 %, med innkortede leis ble det 11 % og 21 % med kvadratmasker. Det skal påpekes at disse tallene er for sammenligning og er basert på størrelsesfordelingen av reke på disse toktene. Ved større innslag av småreke og/eller større kokreke vil dette bildet endres.
Figur 4. Seleksjonskurver fra forsøkene ombord på Tenor som viser resultater for fire-panels sekk med 150 masker i omkrets, 41 mm maskevidde (til venstre) og samme sekk med innkortede leistau (midtkolonne) og fra Sjøvik med kvadratmaskesekk med 37,5 mm maskevidde, der sekkeløftet hadde innkortede leis (høyre). Øverste rad viser totalseleksjon, overflateseleksjon i midten og bunnseleksjon (bunn og innhiving til 30 m dybde) nederst.
Figur 5. Seleksjonskurver fra forsøkene ombord på Tenor som viser resultater for fire-panels sekk med 150 masker i omkrets (til venstre) og samme sekk med innkortede leistau (midtkolonne) og fra Sjøvik med kvadratmaskesekk der sekkeløftet hadde innkortede leis (høyre). Øverste rad viser totalseleksjon, overflateseleksjon i midten og bunnseleksjon (bunn og innhiving til 30 m dybde) nederst. Seleksjonskurvene fra Tenor (til venstre og i midten) er justert for maskevidde, alle kurvene er basert på seleksjon med 37,5 mm maskevidde.
4.1.3 - Diskusjon
Toktet med fire-panels sekker måtte gjennomføres på høsten, og da er smårekene blitt forholdsvis store. For å sikre seleksjonsdata var det derfor nødvendig å bruke større maskevidde enn det som anses som vanlig praksis (37-38 mm). For å kunne sammenligne data fra fire-panels sekkene (41,1 mm maskevidde) med kvadratmaskesekkene (37,5 mm maskevidde) ble kurvene derfor forskjøvet tilsvarende maskeviddereduksjon på 8,8 % ((41,1 – 37,5) / 41,1 x 100). På den måten kan vi få direkte sammenligning mellom tokt, med maskevidde standardisert til 37,5 mm. Sammenligningen ble foretatt ved å bruke median kurver hvor hvert oppsett, for å gjenspeile resultater fra de «mest vanlige» halene.
Forsøkene dokumenterer at det kan skje en betydelig utsortering av reker fra trålsekken i havoverflaten. Høyest utsortering i overflaten ble beregnet for firepanelssekken, der totalt nær 60 % av de utsorterte reken gikk ut i havoverflaten. Hovedmengden av rekene som unnslipper i overflaten er produksjonsreker, dvs. reker med en CL mellom 15 og 20 mm. Firepanelssekken er den av de tre sekkeutformingene som forventes å ha minst åpne masker under fiske. Dette skyldes at den er laget av diamantmaskenotlin, og når det blir strekk i sekkens lengderetning under tauing, og spesielt ved akkumulering av fangst, vil maskene delvis lukke seg. Det blir da vanskelig for reker å rømme, men vel 30 % i den minste størrelsesgruppen unnslipper. Når trålen kommer til overflaten, opphører det longitudinale strekket, og maskene vil åpne seg. Mens sekken vasker i overflaten, vil derfor reker kunne rømme eller bli passivt selektert ut via de nå åpne maskene.
Sekken med korte leistau hadde den laveste prosentvise utsortering i overflaten med 7,5 % av totalt antall utsorterte reker. Det var liten forskjell i andel utsorterte i overflaten mellom de tre størrelseskategoriene av reker. Ved bruk av nedkortede leistau vil strekket i lengderetningen av sekken komme på leistauene og ikke på selve notlinet. Maskene vil derfor holde seg åpne under tauing og reker under retensjonslengden for maskevidden kan rømme. Når sekken kommer til overflaten, vil derfor hovedmengden av reker som potensielt kan rømme ha gått ut. Av de som er igjen, vil en del gå ut når sekken ligger og vasker i overflaten like før sekken tas om bord.
For kvadratmaskesekken gikk ca. 17,5 % av de utsorterte rekene ut i overflaten. Som for sekken med nedkortede leistau var prosentandel nesten lik for de tre størrelsesgruppene av reker, men prosentandelen som går ut i overflaten er ca. 10 % høyere enn for sekken med nedkortede leistau. Siden begge disse sekkene har åpne masker under tauing, og det er korrigert for forskjeller i maskeåpning mellom de to sekkene, tror vi denne forskjellen skyldes ulik ombordtakingsprosedyre for de to sekkene. I forsøkene med kvadratmaskesekk var det knyttet foran løftet. Når fangsten skulle tas om bord, måtte knyttingen fjernes slik at fangsten kunne komme bak i løftet. Sekken ble derfor løftet opp i løftestroppen mens fangsten gled framover i kvadratmaskedelen. Etter at knyttingen var fjernet, ble fangsten så glidd bak i løftet. Denne omfattende bukseringen av fangsten kan ha bidratt til økt utsortering av reker i overflaten.
Tabell 3. Seleksjonsresultater fra Tenor og Sjøvik, presentert som l50 (middelseleksjon) og SR (seleksjonsbredde) med 95 % konfidensintervaller. Tabellen viser resultatene for 150 maskers sekk med og uten korte leistau, før og etter nedskalering av maskevidde fra 41 til 37 mm.
Sekk
maskevidde (mm)
L50
SR
Low
Med
High
Low
Med
High
Total
150 masker
41
13.20
15.10
18.10
2.90
4.60
8.60
150 masker
37.5
12.04
13.77
16.51
2.65
4.10
8.22
150 m. korte leis
41
20.00
21.70
25.40
4.09
5.21
7.04
150 m. korte leis
37.5
17.68
18.94
24.36
2.89
3.60
9.53
Kvadratmaske
37.5
18.30
19.40
24.20
3.30
4.23
10.50
Overflate
150 masker
41
2.10
12.20
15.80
0.81
5.30
11.40
150 masker
37.5
2.44
11.34
14.31
0.89
5.04
9.78
150 m. korte leis
41
6.54
15.05
25.80
0.58
4.79
19.60
150 m. korte leis
37.5
2.92
13.68
19.18
0.05
4.21
13.42
Kvadratmaske
37.5
13.78
15.85
20.20
3.87
5.95
13.10
Bunn og innhiving
150 masker
41
0
13.40
17.50
150 masker
37.5
0
12.22
15.20
150 m. korte leis
41
18.00
21.30
25.20
150 m. korte leis
37.5
15.60
19.43
23.10
Kvadratmaske
37.5
0
18.60
25.50
Tabell 4. Resultater fra simulering som viser andel reke som tilbakeholdes i sekken og mengde i kg, basert på størrelsesfordeling av reke i forsøkene. Øverste tabell viser total antall reker, skalert opp til 1000 kg totalvekt. Tabellene under viser hvor mye reke som blir igjen i sekken etter bunnseleksjon og overflateseleksjon (totalseleksjon). Størrelsene er gruppert i reke under minstemål (< 15 mm) industrireke (15-19,5 mm) og kokreke (≥20 mm).
Total
<15
15-19.5
20+
Start
Antall
229506
22255
107813
99438
Prosent
100
9.70
46.98
43.33
Vekt
1000
33.64
348.73
617.62
Prosent
100
3.36
34.87
61.76
150 vanlig
Før overflate
Antall
214776
14518
100940
99318
Prosent
93.6 %
65.2 %
93.6 %
99.9 %
Vekt
970.57
22.9
330.66
617.01
Prosent
97.1 %
68.1 %
94.8 %
99.9 %
Etter overflate
Antall
199497
10268
91524
97705
Prosent
86.9 %
46.1 %
84.9 %
98.3 %
Vekt
927.87
16.53
303.44
607.9
Prosent
92.8 %
49.1 %
87.0 %
98.4 %
150 kort
Før overflate
Antall
131775
3699
39895
88181
Prosent
57.4 %
16.6 %
37.0 %
88.7 %
Vekt
703.88
5.61
140.66
557.61
Prosent
70.4 %
16.7 %
40.3 %
90.3 %
Etter overflate
Antall
123995
1762
35436
86797
Prosent
54.0 %
7.9 %
32.9 %
87.3 %
Vekt
679.7
2.85
127.09
549.76
Prosent
68.0 %
8.5 %
36.4 %
89.0 %
Kvadratmaske
Før overflate
Antall
131119
5167
46000
79952
Prosent
57.1 %
23.2 %
42.7 %
80.4 %
Vekt
673.34
8.04
157.21
508.09
Prosent
67.3 %
23.9 %
45.1 %
82.3 %
Etter overflate
Antall
109680
1631
31669
76380
Prosent
47.8 %
7.3 %
29.4 %
76.8 %
Vekt
603.96
2.65
113.07
488.24
Prosent
60.4 %
7.9 %
32.4 %
79.1 %
Tabell 5. Prosentvis utsortering i kg reke på bunn og i havoverflate for alle tre sekkene (150 maske omkrets med og uten korte leis, kvadratmaske med sekkeløft med innkortede leis). Tabellen viser også andel reke som går ut i havoverflaten av totalen (bunn + overflate).
Sekk
Fase
Total
Småreke
Industri
Kokreke
100
100
100
100
150 vanlig (4-panels)
Bunn
2.9
31.9
5.2
0.1
Overflate
4.3
18.9
7.8
1.5
Total
7.2
50.9
13.0
1.6
% overflate
59.2
37.2
60.1
93.7
150 mm korte leis
Bunn
29.6
83.3
59.7
9.7
Overflate
2.4
8.2
3.9
1.3
Total
32.0
91.5
63.6
11.0
% overflate
7.5
9.0
6.1
11.6
Kvadrat-maske
Bunn
32.7
76.1
54.9
17.7
Overflate
6.9
16.0
12.7
3.2
Total
39.6
92.1
67.6
20.9
% overflate
17.5
17.4
18.7
15.3
Generelt indikerer forsøkene at vi ved å bruke en sekk med god seleksjon kan redusere andelen som selekteres ut i overflaten. Forsøkene antyder at firepanels sekk med nedkortede leistau eller kvadtratmaskesekk, begge med en omkrets på 150 masker, er sekkeutforminger som sikrer god utsortering på fiskedypet. Maskeviddene som ble benyttet ga imidlertid et betydelig tap av industrireker (vel 60 %) og et mindre tap av kokreker (10 % for nedkortede leistau og 20 % for kvadratmaskesekken). Med nedkortede leistau eller kvadratmaskesekk kan det derfor vurderes å benytte noe mindre masker enn i dette forsøket. I forsøkene har vi testet ut tre forskjellige sekkeutforminger, alle med en omkrets på 150 masker. I kommersielt fiske er det imidlertid vanlig med sekker med betydelig større omkrets, ofte 300-450 masker Sekkene har oftest diamantmaskenotlin og har dessuten gjerne et 2-panels design. Forsøk har vist at slike sekker gir lite maskeåpning under tauing. Disse sekkene forventes derfor å gi en høyere relativ andel av utsorteringen i overflaten enn det beregningene i denne studien antyder. Reduksjon av sekkeomkrets er derfor et viktig forvaltningstiltak.
4.2 - AP 2: Adferds- og toleranseundersøkelser i tank
4.2.1 - Materiale og metoder
Levende reker (P. borealis) til de eksperimentelle forsøkene ble anskaffet fra en lokal kysttråler som driver kommersielt fiske. Rekene ble fangstet på 150-200 m dyp i Vigrafjorden utenfor Ålesund (62.50°N-06.00°E) om våren (april 2021) og om vinteren (januar 2022). Tråltiden var maksimum to timer, og fangstene <80 kg per hal. Om bord på båten ble usoldete reker umiddelbart overført til holdetanker med sjøvann (7 °C). Rekene ble fraktet til Møreforskings forsøksavdeling for levende dyr i løpet av 30 minutter. Her ble døde og synlig skadde reker sortert ut, og intakte levende reker ble revitalisert i minst 48 timer i tanker (L 100 cm x B 100 cm x H 50 cm) med gjennomstrømmende ufiltrert sjøvann (10 liter per min) fra 40 m dyp (~ 6 °C, O2 >90 %, salinitet ~33 ‰,) før gjennomføring av eksperimentene. Det er tidligere dokumentert at reker som er i god kondisjon etter 48 timer under disse forholdene kan anses å være revitalisert (Larssen et al. 2021). Kun reker med vitalitet 1 (Tabell 6) ble benyttet i forsøkene. Vitalitet ble vurdert i henhold til Larssen et al. (2013).
Våtvekten til levende rekene brukt i forsøk varierte fra 1,90 til 19,50 gram (snitt 4,65 g ± 1,46 (sd), n=1195), og ryggskjold(carapax)-lengden varierte fra 14,00 til 25,55 mm (snitt 18,57 mm ± 1,80 (sd), n=1191). Nylig døde reker (Figur 6) benyttet i synkeforsøk varierte fra 6,50 til 18,50 mm (snitt 12,26 mm ± 2,96 (sd), n=50).
4.2.1.1 - Estimere hvor lang tid en reke vil bruke fra havoverflaten til sitt naturlige habitat på havbunnen
Det ble gjennomført eksperimentelle studier i laboratorieskala for å kunne beregne hvor lang tid reker som selekteres ut i overflatevannet (0-30 m dyp) vil bruke for å unnslippe dette vannsjiktet og nå bunnen. Gjennomsiktige plexiglassrør (høyde 200 cm, utvendig diameter 40 cm / innvendig diameter 39 cm) påmontert bunnplate ble brukt i forsøkene hvor en ønsket å undersøke rekenes synkehastighet og vertikale svømmemønster gjennom vannmassene (Figur 7). Sylindrene ble fylt med sjøvann av fire ulike kvaliteter som representerte sannsynlige årstidsvariasjoner. Det ble benyttet kombinasjoner av to temperaturer (6 og 12 °C) og to saliniteter (27 og 35 ‰) samt kontroll i samme vannmiljø som i holdetankene i laboratoriet på forsøksdagen. Sylindrene ble markert for hver 25 cm for lettere å kunne observere rekenes adferd gjennom vannsøylen fra overflaten og mot bunnen. Lysforholdene var dempet under gjennomføringen av forsøkene for å gi tilnærmet like forhold som overflatevann i sjø.
Gjennomsiktig kropp (hode) og hale med pumping av hemolymfe over kroppshulen.
Holder hodet opp og bakover.
Svømmebeina trukket godt inn under halen.
God bevegelse i alle bein
Slår med halen
2
Skadet
Fargeforskjeller (hvit) på vev i hale av ulik gradering.
Gjennomsiktig kropp.
Helt eller delvis lamme svømmebein.
Kropp begynner å henge ned.
3
Død
Ingen bevegelse i ben eller kroppshule.
Hodet henger slapt ned og er hvit og ikke gjennomsiktig.
Halen til reken er hvit.
Reken har ofte en 90o knekk på halen.
Figur 6. Nylig døde reker brukt i synkeforsøk med immobile reker
4.2.1.1.1 - Synkehastighet
Et utvalg på 50 individer per temperatur-salinitetskombinasjon (6 °C/ 27 ‰, 6 °C/ 35 ‰, 12 °C/ 27 ‰ og 12 °C/ 35 ‰) ble benyttet. Rekene ble holdt forsiktig og sluppet en og en med hode ned og i vann fra overflaten (øverst i sylinderen). Passiv synkehastighet ble beregnet for nylig døde reker under rådende laboratorieforhold (13,5 °C/ 32 ‰). Tiden det tok reken å nå bunnen ble registrert. Tider til og med 4 minutter ble registrert nøyaktig, men for de rekene som ikke søkte bunnen i løpet av det tidsrommet, ble tiden registrert som >4 minutter. Synkehastighet for levende og aktive reker ble sammenliknet med immobile, og beregnet som cm per sekund og meter per time.
Figur 7. Sylindere brukt til synkeforsøk med reker.
4.2.1.1.2 - Svømmeadferd
Svømmeadferden til rekene som ble eksponert for de ulike kombinasjonene av temperatur- og salinitet ble observert og beskrevet. Observasjoner ble gjort hver for seg i øvre (0-100 cm) og nedre (100-200 cm) del av sylinderen for hvert individ. Et tilpasset registreringsskjema (Figur 8) ble utviklet for beskrivelse av bevegelse, posisjon og svømmemønster til rekene fra de ble sluppet i overflaten, og videre gjennom vannsøylen til de nådde bunnen. Svømmeadferden ble vurdert etter definerte kriterier for svømmemønster og kroppsstilling, og om de var i bevegelse (aktive) eller ikke (passive). Følgende kriterier ble benyttet:
Bevegelse (aktivitet i bein og hale)
Aktiv
Passiv
Posisjon (hvordan reken plasserer seg vannsøylen)
Vertikal – hode ned
Vertikal – hode opp
Horisontal – hode ned
Horisontal – hode opp
Svømmemønster
Aktiv svøm mot bunn (målrettet svømming nedover)
Flukt (rask sprangvis bevegelse bakover ved å slå bakerste del av halen under seg)
Spiral (svømmer i sirkel)
Jojo (gjentatte opp- og -ned bevegelser - som oftest aktiv opp og synker ned)
Salto (360 graders rotasjon)
Likevekt (holder seg på samme nivå i vannsøylen)
Figur 8. Skjema brukt til registrering av rekenes bevegelse, posisjon og svømmemønster.
4.2.1.1.3 - Verifisering i stortank
Reker som unnslipper trålen beveger seg i store vannmasser sammenliknet med det begrensede vannvolumet de blir eksponert for i sylindrene som ble brukt i de de eksperimentelle synke- og adferdsstudiene. For å undersøke om resultatene som ble oppnådd i småskala forsøk er overførbare til større vannmasser ble Atlanterhavstanken (lengde 35 m x bredde 17 m x dybde 7 m) til akvariet i Ålesund (Atlanterhavsparken) benyttet. Møreforsking sine forsøksfasiliteter for levende dyr ligger i tilknytning til dette akvariet. Reker (n=50) ble sluppet individuelt ned i tanken fra toppen og observert inntil de nådde bunnen eller ble spist av predatorer (fisk) i tanken. Forsøkene ble utført under rådende akvarieforhold (8 °C/ 32 ‰). Forenklet horisontalt og vertikalt bevegelsesmønster gjennom vannmassene ble registrert (passiv, aktiv ned, aktiv opp, likevekt, flukt) og i tillegg dokumentert ved foto og video.
4.2.1.1.4 - Effekt av vanntemperatur og salinitet på overlevelse hos utsorterte reker
For å estimere overlevelsen av reker som sorteres ut i havoverflaten på forskjellige årstider ble det gjennomført flere laboratorieforsøk. Rekene ble eksponert for ulike årstidstypiske temperatur- og salinitetsprofiler for å simulere endringene i miljøforholdene de møter i vannsøylen når trålen hales, og når de søker mot bunnen igjen etter å ha unnsluppet trålen. Temperaturendringens hastighet ble basert på erfaringer fra fiskeriet og på resultatene fra aktivitet 2.1, hvor det ble undersøkt hvor mye tid rekene trenger for å synke/bevege seg fra overflatevannet og ned til dypet der temperaturen er 6 °C.
Forsøksdyrene ble mottatt i tre omganger, et parti til temperaturendringene (forsøk 1 og 2), et parti til salinitetsendringene (forsøk 3 og 4) og et siste parti til kombinert parameterendring (forsøk 5). Statistisk dataanalyse ble derfor kun gjennomført innenfor partiene. De ulike temperatur- og salinitetsregimene vises i Figur 9 - Figur 13 .
4.2.1.1.5 - Forsøk 1 og 2: Effekt av temperaturendringer ved to ulike saliniteter
Vitale småreker (midlere carapaxlengde= 18,5 mm, sd=1,8, n=1181) uten synlige skader ble overført til perforerte kasser (6 kasser á 50 individ, L 60 cm x B 35 cm x H 9 cm). Tre kasser hver ble plassert i respektive gjennomstrømmende sjøvann (kontroll, 6 °C) og resirkulert vann (Adriatic Sea Kitchen Tank, 300 l ufiltrert sjøvann). Vannet i resirkuleringstanken hadde i utgangspunktet samme temperatur som i revitaliseringstankene (6°C). Etter en tilvenningsperiode på 15 minutter ble vanntemperaturen i resirkuleringstanken økt kontinuerlig til 15 °C i løpet av 10 minutter. Dette tilsvarer temperaturøkningen rekene kan oppleve når trålen hales til overflaten. Deretter ble vanntemperaturen holdt konstant på 15 °C i 15 minutter for å simulere trålens håndteringsperiode i overflaten før temperaturen ble senket gradvis tilbake til 6 °C i løpet av 45 minutter. Temperaturendringene i resirkuleringstanken ble oppnådd ved å tilføre henholdsvis nedkjølt og oppvarmet vann fra separate vanntanker via pumper. Ved slutten av forsøket ble rekene overført til gjennomstrømmingstanker for restitusjon. Vitalitet og eventuell dødelighet ble overvåket både i temperaturendringsfasen og i restitusjonsperioden på 48 timer. Forsøket ble gjennomført med triplikate grupper eksponert for sjøvann med konstant høy (35 ‰, forsøk 1) og lav (27 ‰, forsøk 2) salinitet.
4.2.1.1.6 - Forsøk 3 og 4: Effekt av salinitetsendringer ved to ulike temperaturer
Salinitetsendringene rekene opplever når trålen hales fra bunnen til overflaten og gjennom deres ferd tilbake til bunnen etter utsorteringen, ble også simulert i resirkuleringstanker (Adriatic Sea Kitchen Tank, 300 l). Det ble brukt samme antall uskadete, vitale undermåls reker og kassesystem som i forsøk 1 og 2, og lagring i gjennomstrømmende sjøvann fungerte som kontroll. Utgangssalinitet ved innsett av rekene i resirkulert vann var 35 ‰. Etter en tilvenningsperiode på 15 minutter ble saliniteten kontinuerlig redusert til 27 ‰ i løpet av 10 minutter, og deretter holdt konstant i 15 minutter før den ble økt igjen til 35 ‰ i løpet av en tidsperiode som samsvarer med tiden rekene bruker for å ta seg ned til vann med full salinitet (~45 minutter, beregnet i aktivitet 2.1). Salinitetsendringene i resirkuleringstanken ble oppnådd ved å tilføre henholdsvis fortynnet og oppkonsentrert sjøvann fra separate vanntanker via pumper. Ved slutten av forsøket ble rekene tilbakeført til tanker med gjennomstrømmende sjøvann for restitusjon. Vitalitet og eventuell dødelighet ble observert gjennom simuleringen og i restitusjonsperioden på 48 timer. Forsøkene ble gjennomført i triplikate grupper eksponert for sjøvann med lav (6 °C, forsøk 3) og høy (15 °C, forsøk 4) temperatur.
Figur 9 . Forsøk 1. Temperaturendring (6 °C → 15 °C → 6 °C) ved konstant salinitet (35 ‰).
Figur 10. Forsøk 2. Temperaturendring (6 °C → 15 °C → 6 °C) ved konstant salinitet (27 ‰).
Figur 11. Forsøk 3. Salinitetsendring (35 ‰ → 27 ‰ → 35 ‰) ved konstant temperatur (6 °C).
Figur 12. Forsøk 4. Salinitetsendring (35 ‰ → 27 ‰ → 35 ‰) ved konstant temperatur (15 °C).
4.2.1.1.7 - Forsøk 5: Kombinert effekt av salinitets- og temperaturendringer
For å se nærmere på den kombinerte effekten av salinitets- og temperaturendring på rekenes overlevelse ble rekene eksponert for simultane endringer i salinitet og temperatur etter samme mønster som i forsøkene 1-4. Utgangssalinitet ved innsett av rekene i resirkulert vann var 35 ‰ og temperaturen 6 °C. Etter en tilvenningsperiode på 15 minutter ble saliniteten senket ned til 27 ‰ mens temperaturen samtidig ble økt til 15 °C i løpet av 10 minutter. Vanntemperaturen og saliniteten ble så holdt konstant i 15 minutter før parameterne ble tilbakeført til utgangspunktet (35 ‰ og 6 °C) i løpet av de neste 45 minuttene. Ved slutten av forsøket ble rekene igjen overført til gjennomstrømmingstanker for restitusjon. Vitalitet og eventuell dødelighet ble overvåket både i temperaturendringsfasen og i restitusjonsperioden på 48 timer. Forsøket ble gjennomført i triplikate grupper med samme antall reker som i forsøk 1-4. Reker lagret i gjennomstrømmende sjøvann (6 °C) ble brukt som kontroll.
Figur 13 . Forsøk 5. Simultan endring i salinitet (35 ‰→ 27 ‰→ 35 ‰) og temperatur (6 °C→ 15 °C→ 6 °C).
4.2.1.1.8 - Estimere hvor lang tid en reke vil bruke fra havoverflaten til sitt naturlige habitat på havbunnen
Tiden det tok for en reke å nå bunnen etter å ha blitt sluppet fra toppen av sylinderen i de ulike temperatur- og salinitetskombinasjonene viste store individuelle forskjeller, mens variasjonen for nylig døde reker var langt lavere (Tabell 7). En høy synkehastighet uttrykte at rekene søkte raskere mot bunnen enn reker som valgte å oppholde seg høyt i vannsøylen over tid, og dermed fikk en lavere synkehastighet. Gjennomsnittlig synkehastighet (283 m per time) var lavest for de rekene som ble eksponert for lav temperatur og høy salinitet (6 °C/ 35 ‰), som antas å være et vannmiljø hvor rekene trives. Synkehastigheten varierte fra 0.83 til 26.53 cm per sek for denne gruppen. Rekene som ble eksponert for høy temperatur og lav salinitet (12 °C/ 35 ‰, 6 °C/ 27 ‰ og 12 °C/ 27 ‰) viste synkehastigheter som varierte fra 0,83 til 55,40 cm per sek, tilsvarende gjennomsnittlige synkehastigheter fra 346 til 440 m per time (Tabell 7). Synkehastigheten til nylig døde reker var uavhengig størrelsen (Figur 14), og varierte fra 4,00 til 11,66 cm per sek (144-420 m per time).
Tabell 7. Synkerater for levende (aktive) og nylig døde (immobile) reker eksponert for sjøvann med ulike salinitet- og temperaturkombinasjoner.
Behandling
Synkehastighet
Temperatur (°C)
Salinitet (‰)
cm/sekund
Sd
m/time
sd
6
35
7,86
5,86
283,00
211,03
12
35
12,22
10,84
439,92
390,19
6
27
9,60
8,12
345,50
292,46
12
27
9,70
6,33
349,14
227,73
Nylig døde reker
8,08
1,76
291,04
63,35
Figur 14. Sammenheng mellom våtvekten til nylig døde reker (n=50) og synkehastigheten.
Rekene som ble eksponert for høy temperatur og/eller lav salinitet (12 °C/ 35 ‰, 6 °C/ 27 ‰ og 12 °C/ 27 ‰) var enten mer aktive og utviste en unnvikelsesrespons, eller de var mer passive og lot seg raskere synke mot bunnen enn rekene som ble eksponert for 6 °C og 35 ‰ (Figur 15). Adferdsmønsteret i øvre (0-100 cm) og nedre (100-200 cm) del av sylinderen var sammenliknbart.
Figur 15. Svømmeadferd til reker som ble eksponert for to temperaturer (6 og 12 °C) og salinitetene 35 ‰ (venstre) og 27 ‰ (høyre). Figurene viser sammenslått antall observasjoner i (0-100 cm) og nedre (100-200 cm) del av sylinderen for 50 individer.
Rekene som ble sluppet i Atlanterhavstanken (lengde 35 m x bredde 17 m x dybde 7 m) til akvariet i Ålesund (Atlanterhavsparken) viste liknende adferd som reker som ble sluppet i mindre vannvolum (sylindere). Rekene lot seg drifte eller bidro aktivt til å søke mot bunnen i varierende grad. I tanken var det stor fisk, og halvparten av rekene ble spist av predatorer før de nådde bunnen eller kom seg i skjul (Figur 16 og Figur 17).
Figur 16. Adferdsmønsteret til reker (n=50) sluppet i stortank med predatorer (fisk).
Figur 17. Reker sluppet i Atlanterhavsparkens stortank hvor predatorer var til stede.
4.2.1.2 - Effekt av vanntemperatur og salinitet på overlevelse hos utsorterte reker.
Ingen av de simulerte parameterendringene viste seg å ha en signifikant effekt på vitaliteten og overlevelsesraten til forsøksdyrene (Tabell 8).
Tabell 8. Overlevelse hos reker 48 timer etter fullendt forsøk og i kontrollen. Gjennomsnitt og standardavvik av 3 replikat.
Forsøk
Behandling
Overlevelse [%]
Forsøk
Kontroll
1
35‰_6→15→6°C
98,66 ± 4,62
98,05 ± 4,00
2
27‰_6→15→6°C
96,82 ± 5,23
98,64 ± 2,44
3
6°C_35→27→35‰
95,33 ± 1,95
94,74 ± 1,74
4
15°C_35→27→35‰
95,95 ± 7,21
95,86 ± 8,05
5
6→15→6°C_35→27→35‰
96,67 ± 1,86
97,97 ± 1,73
4.2.1.2.1 - Forsøk 1 og 2: Effekt av temperaturendringer ved to ulike saliniteter
Temperaturendringen (6 °C → 15 °C → 6 °C) påvirket hverken rekenes vitalitet eller overlevelse på et statistisk signifikant nivå (variansanalyse, en-faktor p ≤ 0,62), selv om den gjennomsnittlige overlevelsen ved 27 ‰ var noe lavere enn ved 35 ‰ og i kontrollen (Figur 18).
Figur 18. Overlevelse 48 timer etter temperaturendringen (6 °C → 15 °C → 6 °C) ved 2 forskjellige saliniteter (forsøk 1: 35 ‰ og forsøk 2: 27 ‰). Gjennomsnitt og standardavvik av 3 replikat.
4.2.1.2.2 - Forsøk 3 og 4: Effekt av salinitetsendringer ved to ulike temperaturer
Rekenes vitalitet og overlevelse ble heller ikke påvirket av salinitetsendringen (35 ‰ → 27 ‰ → 35 ‰) – hverken ved 6 eller 15 °C vanntemperatur (variansanalyse, en-faktor, p ≤ 0,96) (Figur 19).
Figur 19. Overlevelse 48 timer etter salinitetsendringen (35 ‰ → 27 ‰ → 35 ‰) ved 2 forskjellige temperaturer (forsøk 3: 6 °C og forsøk 4: 15 °C). Gjennomsnitt og standardavvik av 3 replikat.
4.2.1.2.3 - Forsøk 5: Kombinert effekt av salinitets- og temperaturendringer
Det ble heller ikke funnet en effekt av salinitets- og temperaturendringer i kombinasjon på dyrenes vitalitet og overlevelse når sammenlignet med kontrollgruppen (t-test, p ≤ 0,49) (Figur 20).
Figur 20. Overlevelse 48 timer etter kombinert temperatur- og salinitetsendring (6 °C → 15 °C → 6 °C, 35 ‰ → 27 ‰ → 35 ‰). Gjennomsnitt og standardavvik av 3 replikat.
4.2.2 - Diskusjon
Overlevelsen til reker som unnslipper trål i overflaten vil blant annet kunne avhenge av hvor lenge rekene må befinne seg i de øvre delene av vannmassene hvor miljøfaktorene er ugunstige. Gjennom dette studiet har en bestemt rekens nedstigningshastighet gjennom vannmassene i en sylinder med vannvolum ca. 240 liter (høyde 2 m), samt rekens toleranse for endringer i temperatur og salinitet. Basert på disse resultatene er det mulig å gi et estimat på hvor lenge rekene er i de øvre vannmassene og om denne perioden påvirker rekens overlevelse.
Til forsøkene ble det benyttet reker som var fangstet med kysttrål og revitalisert i 48 timer. Vurdering av rekenes kondisjon (vitalitet) etter 48 timer i revitaliseringskar er basert på tidligere studier som har vist høy overlevelse av reker når de holdes i gjennomstrømmende ufiltrert sjøvann av god kvalitet (10 liter per min, 6 °C, O2 >90 %, salinitet ~33 ‰). I løpet av denne perioden vil reker som har blitt skadet under trålingen eller behandlingen vise synlige tegn på skader eller være døde (Larssen et al. 2013, 2021). Utviklingen av «hvithale» (idiopathic muscle necrosis) er stressrelatert og indikerer at reken er døende (Larssen et al., 2021).
Miljøendringer simulert i laboratorium viser at reken har en beregnet synkehastigheter på 7,9-12,2 cm per sek i snitt. Nylig døde reker sank med en hastighet på 8,1 cm per sek. Basert på disse målingene er det beregnet at rekene vil kunne nå ned til 3-400 meters dyp i løpet av en time. Dette er sammenliknbart med hva Rulifson (1985) fant for juvenile reker av artene Penaeus aztecus og P. duorarum (9,5-27 cm/sek) som vil behøve mellom 18,5-52,5 minutter på å komme seg ned til 300 meters dyp. Rekene vil imidlertid møte gunstigere temperatur og salinitet allerede når de kommer under overflatelaget.
Reker lever normalt i områder med temperaturer mellom -1,6 og 8 °C (Shumway et al., 1985; Appollonio et al., 1986). I Skagerrak viser de hydrografiske stasjonene som ble tatt i feltforsøkene i 2022 (at temperaturen på 2-300 m dyp der reken fangstes varierer lite gjennom året (6-7 °C) (se AP4). Målingene viser at for å komme under 8 °C måtte rekene i april/mai dypere enn 10-20 m, og i august dypere enn 100 meter). I praksis betyr det at reken vil behøve 2-20 minutter for å synke ned til en gunstig vanntemperatur.
Saliniteten er relativ stabil på 130-300 m dyp (~35 ‰), men kan synke ned mot 27 ‰ i overflatevannet (www.imr.no). Rekenes salinitetspreferanse er 23,4 – 35,7 ‰ (Allen, 1959; Barr, 1970) og de er derfor ganske robuste. Salinitetsundersøkelser fra felt viser at reken må ned 10 meter for å komme under 23,4 ‰ i vårsesongen, mens det på sommeren kan være en gradvis senkning fra 27-35 ‰ de første 40 meterne (se AP 4). Reken vil dermed kun trenge et par minutter for å komme seg ned til en salinitet som er innenfor preferanseområdet.
I de eksperimentelle laboratorieforsøkene med ulike temperatur- og salinitetskombinasjoner var overlevelsen høy (>95 %) uavhengig av behandlingen. Disse forsøkene ble imidlertid gjort med reker som hadde fått anledning til å restituere seg i to døgn etter at de ble fanget. Reker som unnslipper trålposen vil ikke ha hatt denne restitusjonstiden for fangstrelaterte stressorer før de møter de kortvarige ugunstige miljøforholdene. Feltforsøkene i 2022 (AP 4) viste at høyere overflatetemperaturer og lavere saliniteter enn dette kan forekomme under rekefiske i Skagerrak. Dette vil påvirke rekenes fysiologi i sterkere grad og dermed evnen til å overleve.
Tidligere forskning på overlevelse av reker som blir selektert tyder på at overlevelsen kan variere sterkt avhengig av fangstforhold og metode. Larssen og Christophersen (2018) undersøkte dødelighet til reke selektert ut gjennom en nordmørerist og 35-40 mm masker. Rekene ble samlet ved bruk av dekknett festet rundt trålposen der rekene endte i en plasttønne for skånsom ombordhaling og tauetiden var på maks 1 time. Estimert dødelighet etter to døgns lagring var ~20 % pluss at 10 % av rekene kunne anslås å være døende da de hadde utviklet hvite flekker (Larssen og Christophersen, 2018). Resultatene støttes av overlevelsesforsøkene i 2022 der andel uskadet reker etter mellomlagring i 48 timer varierte mellom 50 og 80 % avhengig av tråltid, sesong og metode for oppsamling av reker (AP 4).
4.3 - AP 3: Metodikk for overlevelsesforsøk i felt.
Målsettinger med denne arbeidspakken var å utvikle metodikk for å samle opp reker som ble utsortert fra fiskeposen under tråling, og å overføre disse til bur som skulle koples fra og stå på bunnen i to døgn før de ble tatt opp. Systemet måtte kunne sette et tidsvindu for når og hvor lenge oppsamlingen av utsorterte reker skulle skje. Videre skulle det utvikles metodikk for å samle opp reker som selekteres ut fra trålposen når den "vasker" i overflaten før innhiving. Også her skulle rekene overføres til bur som så skulle senkes ned til bunnen med en hastighet svarende til rekenes estimerte synkehastighet (som skulle estimeres i AP 2). I tillegg skulle reker selektert ut i overflaten overføres til forsøkstanker på Forskningsstasjonen Flødevigen for monitorering av overlevelse under kontrollerte forhold.
4.3.1 - Feltuttesting
Uttestingen av metodikk ble gjort på to tokt med MS Fangst (M-3-MD) som Havforskningsinstituttet har leieavtale med. For begge toktene ble forsøkene gjort på rekefeltene i Balsfjorden i Troms. Dette området ble valgt basert på fartøyets driftsplan og fordi lokaliteten er relativt skjermet, samtidig som det ikke var kommersielt fiske der i forsøksperioden.
Til forsøkene ble det benyttet en to-panels kystreketrål produsert av Mørenot, Skjervøy. Trålen var rigget med sabb som bunngear. Dørene var av type Injector Shark, 2 m2 og veide 550 kg hver. Trålen ble fisket med en Nordmøre enkeltrist i plast, produsert av Carlsen Net.
På det første toktet 13.10 - 22.10 2020 ble oppsettet vist på Figur 21 testet. Over sekken er det montert et dekknett (3) som holdes utspilt med "kites". For god vannstrøm inn i dekknettet hadde dette store masker fremst, der det er festet i trålens forlengelse (1). I bakkant av dekknettet er det påmontert en stormasket, sylindrisk nettseksjon og i bakkant av denne er oppsamlingsburet flettet på. Nettseksjonen har fremst en innvendig seildukslomme (4) der det er pakket et finmasket nett av tobisnotlin (her betegnet som "gardin"). Seildukslommen holdes lukket av en taufletting festet til en tidsstyrt utløser. I tauflettingen er det festet et lite drivanker. Utløseren holder også passasjen til oppsamlingsburet lukket ved hjelp av en kort taustropp. Når utløseren løser ut, frigjøres drivankeret som trekker opp flettingen og gardinet trekkes bakover og kler hele den stormaskede seksjonen. Samtidig åpnes passasjen til oppsamlingsburet. En annen utløser plassert i samme posisjon (7) vil ved hjelp av et drivanker frigjøre og stenge oppsamlingsburet etter ønsket samplingstid.
Figur 21. Trålriggingen som ble testet på toktet i 2020. Øverst: Utsorterte reker går ut gjennom maskene i nettseksjonen (6). Nederst: Utsorterte reker samles opp i det sylindriske buret (8). For detaljer se teksten.
Det ble gjort flere sjøtester med dette systemet. Tidvis fungerte hele eller deler av systemet, men det viste seg å være svært komplisert å operere, selv i skjermet farvann. Et hovedproblem var at flettingen som holdt dekknettet i seilduksposen ofte ble hengende i en fletteknute og derfor ikke utløste. Dessuten hadde de to drivankrene (et for utløsing av gardinet og et for utløsing av oppsamlingsburet) en tendens til å vikle seg inn i hverandre under tauing.
Til andre feltuttesting 2.11-16.11 2021 ble det bestemt å bytte ut den stormaskede nettseksjonen med en rigid seksjon (metallramme kledd med tobisnotlin med en lem som kunne åpnes når det skulle samles reker i oppsamlingsburet) (Figur 22). Dette systemet overflødiggjorde gardinen som hadde vært en av hovedutfordringene med nettseksjonen. På grunn av lemmen i buret var struping av inngang til oppsamlingsburet ikke lenger nødvendig. Montering av de elektroniske utløserne ble også enklere når disse kunne festes på en rigid ramme. Dette reduserte risikoen for at utløserliner hektet ved utsetting av utstyret. Oppsettet var fortsatt utsatt for funksjonsproblemer, selv om det ble gjennomført vellykkede utløsinger av bur. Imidlertid viste det seg at fangsten samlet seg framfor festepunktet for dekknettet og ikke gikk videre bakover i trålposen. Følgelig kom det heller ingen reker i oppsamlingsburet. Forsøk på å løse problemet med metallringer montert framme ved festepunktet for dekknettet var ikke vellykket. Trolig var tauemotstanden fra bur så stor at forlengelsen ble helt innsnevret ved innfestingspunket for dekknettet. Kitene hadde heller ikke kapasitet til å åpne dekknettet framme.
Figur 22. Trålriggingen som ble testet på toktet i 2021. Den stormaskede nettseksjonen er byttet ut med en seksjon med en rigid ramme. Rammen har en lem hengslet i forkant. På figuren er lemmen i øvre posisjon. Rekene ledes da langs lemmen og ut gjennom en utslippsåpning i taket av buret. Når lemmen slippes i bakkant, vil den falle ned og åpne passasjen til oppsamlingsburet.
4.3.2 - Diskusjon
For å kunne estimere overlevelsesevnen til reke, både i forsøk på fiskedyp og i havoverflate, må vi kunne starte og stoppe prøvetaking, dekknett over sekken må være godt utspilt slik at det ikke påvirker seleksjon, vannstrøm rundt sekken bør holdes tilnærmet normalt, konstruksjonen må ha lav tauemotstand for minimal påvirkning på trål, ved frigjøring av buret må det også stå «riktig» på bunn og vi må ha et iletau til overflaten. I prosjektperioden var det en stadig progresjon i utvikling av et konsept, og metode for prøvetaking i havoverflaten ble etablert. Teknologiske utfordringer av varierende slag derimot, gjorde at vi ikke kom i mål med å utvikle metodikk for å samle reke som unnslipper på fiskedyp i bur, for å undersøke overlevelsesevnen til disse.
4.4 - AP 4: Overlevelse av reker - felt
Basert på resultatene fra metodetoktet i 2021, ble det bestemt at feltforsøkene skulle fokusere på overlevelse til reker som selekteres ut i havoverflaten. Det ble gjennomført to feltforsøk i 2022 for å belyse dette; et i april/mai svarende til en (vinter)situasjon der det er liten forskjell mellom temperaturen på fiskedypet og temperaturen i overflaten og et sensommers (august/september) når overflatetemperaturen når årsmaksimum.
4.4.1 - Materiale og metoder
4.4.1.1 - Vårtoktet
Det første toktet ble gjennomført i perioden 22. april til 5. mai med MS Fangst. Fartøyet var bemannet for 12 t drift per døgn. Det ble benyttet en reketrål med en strukket omkrets på 102 m produsert av Skagerrak trål og notbøteri AS. Trålposen hadde en lengde på 11,6 m og en omkrets på 250 masker med en nominell maskestørrelse på 36,1 med mer (sd= 0,6). Sveipene var 35 m lange. Det ble benyttet standard Nordmøre seleksjonsrist.
Hver forsøksdag i perioden 29. april til 3. mai ble det tatt en vertikal CTD-profil. Til dette ble det benyttet en SAIV Model: SD204 (SAIV AS) med en RINKO III elektronisk oksygensensor (JFE Advantach Co., Ltd.).
To innledende prøvehal ble gjort på et kystnært trålfelt like utenfor Forskningsstasjonen Flødevigen (Gråholmen-Lossene). De resterende 14 halene ble gjort på rekefeltene 5-6 n. mil utenfor Torungen (Arendal) (Figur 23). For å sikre nok replikater ble det bestemt å kun benytte korte trålhal på 1 time.
Basert på resultatene fra metodeuttestingen, var planen å vaske sekken i flytekragen der det var montert ei konisk not som oppsamlingsburet var koplet til. Innledningsvis ble flytekragen med not og oppsamlingsbur satt ut når trålposen var ved skutesiden. Utsetting var en tidkrevende prosess som tok 15-20 minutter, og det ble observert mye småreker som gikk ut av trålposen før den kunne hales over i merden. På neste hal ble det derfor forsøkt å sette ut flytekragen straks tråldørene var opp og det var et svakt sig i båten. Utsettingstiden ble tilnærmet halvert, og sekken kom nå raskere opp i merden. Mer av de utsorterte rekene kom derfor i oppsamlingsburet. Frakopling og utsetting av bur gikk greit. Prøver av reker ble også tatt over i kar med overflatevann som stod på dekk. Rekene overlevde imidlertid ikke. CTD-profiler som ble tatt på fiskefeltet viste at mens det på fiskedypet var en salinitet på 35 ppt og en temperatur på 7 ºC, var saliniteten i overflaten under 20 ppt, mens temperaturen var 9-10 ºC. Det ble antatt at hovedårsaken til dødeligheten var den lave saliniteten i overflatelaget.
Figur 23 . Halposisjoner for toktet med MS Fangst, 24.04-05.05 2022.
Metodikken med "vasking" av sekk i merden eksponerte rekene for lav salinitet i vesentlig lengre tid enn ved utvasking i havoverflaten i ordinært fiske. Det ble derfor bestemt å endre metodikk. Trålposen ble i de resterende hal løftet ombord og vasket for hånd i et kar med vann på dekk ved gradvis å løfte og slakke sekken. Etter ca. 5 min vasking ble sekken tatt ut og de utsorterte rekene ble tatt opp med en finmasket akvariehåv. En tilfeldig prøve på 200 reker ble satt i bur som så ble lukket og sakte senket til bunn og ankret opp. Samme antall reker ble overført til perforerte kasser (L 60 cm x B 35 cm x H 9 cm; se AP 2, Avsnitt 5.2.1.2) som ble oppbevart i lagringskar ombord. Saliniteten i karet ble på den første ordinære forsøksdagen forsøkt hevet ved å løse koksalt i vannet. Dette var imidlertid en tungvint og arbeidskrevende prosess. I den resterende del av forsøket (f.o.m. 28. april) ble derfor alle de tre karene ombord fylt med dypvann fra 75m-inntaket på Forskningsstasjonen Flødevigen hver morgen før vi dro ut på fiskefeltet. Dette vannet hadde en salinitet på 34,4 ppt og en temperatur på 6,4 ºC. Vi hadde også 10 l bøtter med frosset sjøvann (samme type sjøvann som i karene) som ble brukt for å holde temperaturen i karene på 7-9 ºC. Kun hal gjort med sistnevnte oppsett er med i beregningene av overlevelse.
Forsøksburene ble ved utsett senket med en hastighet som skulle tilsvare nedstigningshastigheten som ble beregnet i laboratorieforsøkene i AP 2 (350 m/time). Til dette benyttet vi fartøyets hydrauliske garnspill. Rett hastighet på spillet ble bestemt ved å sette ventilåpningen slik at det tok 51 sekunder å fire ut 5 m tau. For å verifisere faktisk nedstigningshastighet, ble det montert en Starmon dybdesensor (Star-oddi.com, Island) på buret i åtte av de 14 burutsettingene. Innledningsvis var burene ankret opp slik at de stod 0,6 m over bunnen. Etter første opptak ble dette økt til 25 m, da det ble observert bunnlus (Tmetonyx cicada) i buret og at disse hadde spist på døde reker. Burene ble satt i innerkant av trålfeltet og stod ute i 48 t før de ble tatt opp og antall levende reker ble talt.
4.4.1.2 - Høsttoktet
Høsttoktet ble utført i perioden 22. august til 6. september 2022 med MS Sjøvik, en 27 m lang reketråler som var innleid for forsøkene. Fartøyet fisker normalt med dobbelttrål, men av hensyn til gjennomføringen ble det kun fisket med enkelttrål. Forsøkene skulle etter planen gjøres i samme område som vårtoktet. Imidlertid gikk trålen tungt på bunnen og det var problemer med riving og leire i sekkene. Fartøyet flyttet derfor etter noen dager vestover til området mellom Kristiansand og Lillesand, der det er hardere bunn (Figur 24).
Figur 24 . Halposisjoner for toktet med MS Sjøvik 22.08-05.09.2022.
Da fartøyet ikke hadde kran akter for innløfting av posen, ble det for å sikre en skånsom håndtering bestemt å samle opp reker som ble utsortert i havoverflaten i et dekknett (Figur 25). I bakkant av den ordinære trålposen ble det montert en sekundær trålpose med dekknett holdt utspent av aluminiumsringer. Bakerst på dekknettet var det montert en sylindrisk pose av tobisnotlin med seilduk. Denne seilduken fungerte som en bøtte ved innløfting og sikret rekene mot klemskader. Overgangen mellom de to posene ble holdt lukket av en taustropp koplet til en trykkstyrt Fosstech-utløser. Denne var satt til å utløse på 30 m dyp. Faktisk utløserdyp ble verifisert ved bruk av en Starmon dybdelogger (star-oddi.com) i kombinasjon med et GoPro kamera. Disse var montert ved siden av Fosstech-utløseren. Kameraet tok video av utløseren og med tidssynkroniserte klokker kunne dyp for utløsning da bestemmes fra dybdeloggerens registreringer. Gjennomsnittlig utløserdyp var 29,27 m (n=20, sd= 4,72, variasjonsbredde= 13,96-34,74 m). Når trålposen under hiving nådde utløserdypet, ble passasjen til sekundærposen åpnet og rekene flytter seg bak i denne. Denne posen hadde innkortede leistau for bedre seleksjon. Etter 15 min i overflaten ble posene tatt inn og seilduksbøtta med de utsorterte rekene ble tømt i et 1000 l kar på dekk. Det ble også tatt hal uten dekknett, der trålposen ble løftet ombord og vasket i et kar, dvs. samme metodikk som ble brukt på toktet i april/mai. Det ble imidlertid kun satt ut ett bur helt i begynnelsen av forsøket. Årsaken til dette var at utsetting og opptak av bur var vanskelig og tidkrevende uten linehaler og kran. Med metodikken med dekknett og seildukspose ble det gjort hal med 1 t og 7 t tauetid, mens det ved vasking av sekk i kar kun ble brukt 1 t tauetid.
Det ble tatt CTD-profiler fordelt jevnt over forsøksperioden (totalt 9 stasjoner). Til dette ble det benyttet en SAIV Model: SD204 (SAIV AS) med en RINKO III elektronisk oksygen-sensor (JFE Advantach Co., Ltd.).
Figur 25. Dekknettløsningen som ble benyttet for å samle opp reker selektert ut i overflaten på toktet i august 2022.
4.4.1.3 - Prosedyrer for fangstbehandling, skader og individuelle undersøkelser om bord
Umiddelbart etter ombordtaking ble det tatt ut 200 reker for et landbasert overlevelses- og vitalitetsforsøk i Havforskningsinstituttets lokaler i Flødevigen. Rekene ble fordelt i perforerte kasser som var inndelt i 2 bur (se AP 2, avsnitt 5.2.1.2). Det ble plassert 50 reker i hvert bur. Kassene med reker ble deretter satt i et resirkuleringskar med vann med temperatur 8 ˚C og salinitet 35 ppt. Oksygeninnholdet i tanken ble målt jevnlig. På vårtoktet ble det satt en grense på miljøfaktorer på 80 % oksygeninnhold og maksimum 8 ˚C. Om temperaturen gikk over denne grensen ble det tilsatt medbrakt is av frosset sjøvann. Ved lavt oksygennivå ble sjøis tilsatt, og lufting av vannet ble intensivert. På høsttoktet var lagringskarene koplet til en vannkjøler (Teco 900 h) og karene fikk oksygentilførsel fra flaske via en perforert oksygeneringsslange.
Som kontroll på håndteringsprosess ble reker fra fangsten med jevne mellomrom lagret i mellomlagringskasser om bord i båten i 24 timer etterfulgt av 24 timer frittsvømmende i 600 liters tank med sjøvann. Døde individer i mellomlagringskassene ble sortert ut etter 24 timer og de resterende rekene ble sluppet fri i tanken. Det ble deretter daglig tatt ut 100 revitaliserte reker uten synlige skader (vitalitet 1, Tabell 10) som ble plassert i mellomlagringskasser på samme måte som de selekterte rekene som en kontroll i vitalitetsforsøket.
For å undersøke skader på reker som følge av selektering gjennom trål ble 100 selekterte reker sortert etter om de var døde eller levende, etterfulgt av undersøkelser knyttet til klemskader og skader på bein og antenner. Carapaxlengde ble målt ved hjelp av et elektronisk skyvelære. Det ble utført vurdering av skallkondisjon i henhold til Tabell 9 og graden av rognutvikling i henhold til Tabell 10.
Tabell 9. Kategorisering av parameterne som ble benyttet til vurdering av skallkondisjon.
Skala
Beskrivelse
1
Mykt skall. Papiraktig. Ingen motstand når en klemmer over gjellebuene.
2
Halvhardt skall. Litt motstand når en klemmer over gjellebuene.
3
Hardt skall med spenst. Mye motstand og ofte «klikkelyd» når en presser over gjellebuene.
Tabell 10. Skala for vurdering av rognutvikling.
Skala
Beskrivelse
1
Ingen rogn
2
Hoderogn
3
Utrogn
4.4.1.4 - Vitalitet og overlevelse
Én gang i døgnet ble mellomlagringskasser med reker tatt i land og overført til nye tanker med vanngjennomstrømming. Temperatur i tankene var < 8 ˚C, salinitet 3,5 % og oksygeninnhold > 80 %. Etter 24 timer ble kassene gått gjennom for å fjerne døde individ, og etter 48 timer ble de resterende rekene sortert etter vitalitetsindeks (Tabell 6).
4.4.2 - Resultater
4.4.2.1 - Vårtoktet
Totalt ble det tatt 16 trålhal, hvorav 12 var gyldige forsøkshal. Rekefangstene varierte mellom 40 og 120 kg og var dominert av småreker (2021-årsklassen) med en modallengde på 14 mm CL. Det var derfor liten forskjell i middellengde mellom utsorterte reker og rekene som ble igjen i trålposen (Figur 26). Totalt ble det målt 1265 utsorterte reker og 1438 fra trålposen med en midlere CL-lengde på henholdsvis 14,6 mm (+/- 1,3) og 15,2 mm (+/- 2,0).
Figur 26. Størrelsesfordeling av selekterte og ikke selekterte reker fanget i april/mai. N=2700
4.4.2.1.1 - Miljøforhold
Vannmassene i fiskeområdet var karakterisert av homogene forhold på dyp > 100 m, salinitet 35 ppt, temp 7 °C og oksygennivå 8,5 mg/L. Det var et temperaturminimum på ca. 6 °C på 30-50 m dyp. Derfra mot overflaten var det en rask endring i temperatur, salinitet og oksygennivå mot overflaten der det ble målt temperatur på 9-10 °C, salinitet på 18-20 ppt. og oksygennivå på 10 mg/L (Figur 27, Appendiks 1).
Figur 27 . Dybdeprofil for temperatur, salinitet og oksygennivå tatt på fiskefeltet 30. April 2022.
4.4.2.1.2 - Synkehastighet bur
Dybdeloggere på overlevelsesburene viste at de hadde en midlere synkehastighet på 0,08-0,22 m/s, med en midlere verdi på 0,13 m/s (Tabell 11, Figur 28). Hastigheten var generelt tilnærmet konstant over hele synkeperioden, med unntak av burutsettene 27. april. Denne dagen ble det observert sterk overflatestrøm. Dette kan ha bidratt til at burene fikk en lavere synkehastighet i overflatelaget enn under dette.
Tabell 11. Utsatte overlevelsesbur våren 2022. Data for utsettelsestidspunkt, dyp, synkehastighet og ståtid.
Bur
Utsett
Synketid
Synkehast
Ståtid
Dato
Tid
Dyp (m)
(min)
(ms-1)
(t)
1
27/04/22
11:01:00
195
20
0.22
45.76
2
27/04/22
16:42:30
215
16.5
0.14
44.90
3
29/04/22
12:15:00
196
26
0.16
46.11
4
29/04/22
16:53:00
192
22.5
0.08
47.33
5
01/05/22
15:35:00
183
27.5
0.08
41.29
6
01/05/22
19:12:00
175
18
0.11
41.87
7
03/05/22
12:13:00
185
37.5
0.13
43.79
8
03/05/22
16:27:30
170
34.5
0.16
40.20
Figur 28. Dybdeprofiler for nedsenking av overlevelsesburene.
4.4.2.1.3 - Fangstskader
100 selekterte reker fra hvert hal ble undersøkt mht. overlevelse etter fangst og eventuelle fangstskader, før skallkondisjon, carapaxlengde og rognutvikling ble målt. Samtlige undersøkte reker hadde hoderogn. Tabell 12 viser en oversikt over registrert skallkondisjon til rekene og hvordan dette fordeler seg på registrerte fangstskader. Skallkondisjon 1 (mykt skall) utgjør kun 90 av totalt 1265 individ. Av reker registret med skallkondisjon 1 er 55,5% uskadet. Dette er rundt 30 % lavere enn for reker med skallkondisjon 2 (halvhardt skall) eller 3 (hardt skall med spenst).
Tabell 12. Oversikt over skallkondisjon på reker og hvordan skader fordeler seg mellom de tre graderingene. N=1265.
Skall-kondisjon
Antall uskadet
Antall klemskadet
Antall skadet i antenner eller bein
Antall døde
Totalt antall
% uskadet
1
50
5
25
10
90
55,6
2
497
15
53
13
578
86,0
3
518
18
53
8
597
86,8
4.4.2.1.4 - Vitalitet etter 48 t lagring i sjø eller på land
Figur 29 viser overlevelse på reker etter mellomlagring i 48 timer enten i bur senket ned til bunnen eller i perforerte kasser oppbevart i kar med kaldt sjøvann. Vitalitetsdataene er sammenlignet med en kontroll. I hal 1 og 2 ble det brukt overflatevann med en salinitet på ca. 20 ppt. i mellomlagringstankene. Den lave saliniteten påvirket overlevelsen under mellomlagring for disse to halene. For de påfølgende halene ble saliniteten justert, og da økte overlevelsen markant. En har derfor valgt å ta bort trålhal 1 og 2 i snittberegningene.
Figur 29. Halvis oversikt over prosentvis overlevelse for reker etter 48 timers mellomlagring for de tre forsøksgruppene (Bur, Kar og Kontroll). Trålsekken ble løftet om bord i et kar på dekk der vi simulerte vasking i overflaten ved å løfte og slakke på sekken. Bur: Utselekterte reker ble overført til et bur som ble senket til bunnen og ankret opp; Kar: Utselekterte reker ble overført til trådkurver. Disse ble midlertidig oppbevart i et kar om bord og seinere samme dag overført til kar i forsøkshallen på Forskningsstasjonen Flødevigen.; Kontroll: Gruppe med utsorterte levedyktige reker fra halet. Samme lagring som for Kar-gruppen.
Gjennomsnittlig overlevelse etter totalt 12 trålhal var på 70,0 %, 85,8 % og 98,1 % i henholdsvis bur, kar og kontroll (Tabell 13, Figur 30). Det var signifikante parvise forskjeller mellom alle gruppene (Kruskal-Wallis test, p< 0,001).
Tabell 13. Oversikt over antall reker i forsøkene, fordeling på vitalitet og % overlevelse etter 48 timer. N=6650.
Trålhal
Tråltid
Lagringsenhet
Antall totalt
Antall levende
Antall død og skadet
% Overlevelse
3-14
1 time
Kar
3450
2961
489
85,8
3-14
1 time
Bur
2200
1536
664
70,0
5-14
Kontroll
1000
981
19
98,1
Figur 30. Grafisk oppsummering av overlevelse etter 48 timer i de tre forsøksgruppene (Bur= reker holdt i bur på fiskedypet; Kar= reker hold i kar på Forskningsstasjonen Flødevigen); Kontroll = kontrollgruppe av levedyktige reker). Boksplottet viser median (fet horisontal strek) og interkvartilbredde (høyden på rektangelet). Utstikkerne (engelsk: whiskers) angir hhv. minste og største verdi. Verdier for overlevelse i det enkelte hal for hver gruppe er vist som fylte sirkler.
4.4.2.2 - Høsttoktet
Totalt ble det gjort 40 hal i løpet av toktet (Tabell 14). Av disse var 24 gyldige seleksjonshal, mens 12 hal ble ekskludert grunnet mye leire i sekken eller tørn på trålposen. I tillegg ble det tatt et testhal og tre korte hal for å samle inn reker til en kontrollgruppe.
4.4.2.2.1 - Miljøforhold
CTD-profilene viste at temperaturen i overflaten i forsøksperioden varierte mellom 17,5 og 19 ºC, mens saliniteten i overflaten varierte mellom 23 og 30 ppt (Figur 31, Appendiks 1). Saliniteten var stabil på 35 ppt på dyp større enn ca. 50 m, mens temperaturen var stabil på 7,5 ºC på dyp større enn 100 m.
4.4.2.2.2 - Tid i overflaten
Tiden sekken var i overflaten ble beregnet som tiden fra dørene var i galgene til sekken ble løftet om bord (Tabell 14). Median tid over gyldige hal var 13 min. Det var ingen signifikant forskjell mellom hal med (13 min) og uten (11 min) dekknett (Wilcoxon ranksum test, W= 86, p=1).
4.4.2.2.3 - Størrelsesfordeling
Størrelsesfordeling mellom selekterte og ikke selekterte reker (reker som ble igjen i trålposen) er vist på Figur 32 . Totalt ble 1971 selekterte og 617 ikke selekterte reker målt. Midlere carapaxlengde på selekterte reker var 17,2 mm (sd= 1,5 mm), mens den for ikke selekterte reker var på 17,5 mm (sd= 3,3 mm).
Figur 31. Dybdeprofiler for salinitet, temperatur og oksygen tatt på fiskefeltet den 27. august og 4. september. Legg merke til forskjellen i salinitet i overflaten de to dagene.
Tabell 14. Stasjonsoversikt for toktet med MS Sjøvik, 22. August – 5. september 2022.bRigging angir om det ble brukt dekknett for å samle opp reker som går ut i havoverflaten (dekknett) eller om trålposen var uten dekknett og reker ble selektert ut ved å “vaske” sekken i et kar på dekk (uten). Gyldige hal er kodet 1.
Hal
Dato
Tid
Rigging
Tauetid
Startposisjon
Gyldig
Fangst
Tid når om bord
Sekk i over-
Merknad
(t)
Bredde
Lengde
(kg)
Dører
Rist
Sekk
flaten (min)
1
20220824
22:45
NA
6,583
58.256°
8.805°
0
381
05:33
05:42
05:57
24
Testhal - ingen prøve
2
20220825
22:00
dekknett
7,167
58.010°
8.248°
0
162
05:25
05:33
06:02
37
Tørn på sekken
3
20220826
08:45
dekknett
1,250
58.308°
8.867°
1
48
10:12
10:19
10:28
16
4
20220826
10:45
uten
1,250
58.330°
8.910°
1
44
12:12
12:19
12:23
11
5
20220826
23:00
dekknett
6,333
58.010°
8.253°
1
98
05:35
05:42
05:48
13
6
20220827
08:10
dekknett
1,000
58.304°
8.869°
0
36
09:20
09:28
09:33
13
7
20220827
10:20
uten
1,167
58.323°
8.905°
1
32
11:39
11:44
11:49
10
8
20220827
12:25
dekknett
1,050
58.336°
8.919°
0
10
13:39
13:45
13:48
9
For liten fangst
9
20220827
23:12
dekknett
6,883
58.013°
8.252°
0
213
06:21
06:30
06:37
16
Leire i sekken
10
20220828
09:00
dekknett
1,167
58.271°
8.814°
1
30
10:22
10:31
10:38
16
11
20220828
11:00
uten
1,167
58.273°
8.817°
1
88
12:25
12:31
12:35
10
12
20220828
13:15
dekknett
1,000
58.304°
8.867°
1
89
14:31
14:38
14:42
11
13
20220828
23:05
dekknett
7,167
58.011°
8.248°
1
149
06:29
06:35
06:39
10
14
20220829
08:50
dekknett
1,167
58.271°
8.778°
1
14
10:14
10:20
10:22
8
15
20220829
10:55
uten
1,050
58.275°
8.821°
1
17
12:12
12:18
12:26
14
16
20220829
13:25
uten
0,583
58.279°
8.823°
0
10
14:13
14:19
14:22
9
17
20220829
22:59
dekknett
7,167
58.002°
8.246°
1
238
06:29
06:36
06:44
15
18
20220830
09:13
dekknett
1,000
58.272°
8.816°
0
34
12:35
12:41
12:48
13
19
20220830
11:49
uten
1,000
58.304°
8.877°
1
68
13:08
13:08
13:19
11
Kort hal for kontrollgruppe.
20
20220830
20:54
dekknett
7,000
58.002°
8.268°
1
51
04:19
04:25
04:29
10
21
20220831
07:13
dekknett
1,000
58.271°
8.811°
0
10
08:35
08:46
08:51
16
For få reker i dekknett.
22
20220831
09:50
dekknett
1,000
58.304°
8.877°
0
100
11:12
11:22
11:26
14
Tørn på pose.
23
20220831
20:47
uten
0,500
58.042°
8.291°
0
40
21:35
21:45
21:44
9
Kort hal for kontrollgruppe.
24
20220831
23:18
dekknett
7,000
58.002°
8.258°
1
255
06:36
06:46
06:56
20
Tørn på pose.
25
20220901
09:24
dekknett
1,000
58.273°
8.817°
1
68
10:42
10:48
10:55
13
Tørn på sekk. Fangst seint bak.
26
20220901
11:38
dekknett
1,000
58.303°
8.872°
1
NA
12:55
13:01
13:06
11
27
20220901
20:45
uten
0,500
58.035°
8.360°
0
15
21:40
21:49
21:53
13
Kort hal for kontrollgruppe.
28
20220901
23:15
dekknett
7,017
58.018°
8.252°
1
164
06:42
06:48
06:57
15
29
20220902
09:25
dekknett
1,017
58.279°
8.827°
1
10
10:46
10:49
10:55
9
30
20220902
12:01
uten
0,983
58.308°
8.880°
1
37
13:21
13:27
13:31
10
31
20220902
14:47
dekknett
1,033
58.290°
8.849°
1
85
15:50
NA
NA
NA
32
20220902
23:45
dekknett
7,000
58.026°
8.269°
1
213
07:03
07:13
07:18
15
33
20220903
10:20
dekknett
1,000
58.275°
8.826°
1
66
11:33
11:42
11:47
14
34
20220903
12:28
uten
1,017
58.304°
8.878°
1
22
13:49
13:57
14:03
14
Frelserline rundt sekk. Reker klemt
35
20220903
14:50
uten
0,967
58.308°
8.881°
1
17
16:08
16:19
16:25
17
36
20220903
23:30
dekknett
5,117
58.021°
8.279°
1
130
04:55
05:05
05:11
16
Fastkjørt og halt tidlig.
37
20220904
08:43
dekknett
1,000
58.276°
8.822°
1
17
10:03
10:12
10:16
13
38
20220904
11:25
dekknett
1,017
58.305°
8.351°
1
49
12:45
12:57
12:54
9
39
20220904
13:53
uten
0,700
58.303°
8.870°
1
10
14:40
14:46
14:56
16
Fastkjørt i leire etter 42 min
40
20220904
23:45
dekknett
7,250
58.452°
8.241°
1
159
07:25
07:31
07:35
10
Figur 32. Størrelsesfordeling basert på carapaxlengde (mm) for selekterte (svart) og uselekterte (grå) reker. N=2588.
4.4.2.2.4 - Fangstskader
Det ble tatt ut henholdsvis 574, 664 og 698 reker til individuelle undersøkelser på dekk for gruppene D1, K1 og D7 (Tabell 15). Av de levende rekene var 80-90% uten skader, mens det i gruppen med døde reker var 44-69% uskadde individer.
Tabell 15. Oversikt over fangstskader blant levende og døde individer i de tre eksperimentelle rekegruppene. (D1: reker utsortert i havoverflaten og samlet opp i et dekknett over trålposen; 1 t hal), K1= reker selektert ut fra trålpose i kar på dekk; 1 t hal), D7: reker utsortert i havoverflaten og samlet opp i et dekknett over trålposen; 7 t hal).
Gruppe
Fangstskade levende
Fangstskade død
Ingen
Klem-skader
Bein
Uskadd [%]
Ingen
Klem-skader
Bein
Uskadd [%]
D1 (dekknett, 1t )
484
4
52
89,63
15
13
6
44,12
K1 (kar, 1t)
500
5
98
82,92
35
9
17
57,38
D7 (dekknett, 7t)
535
4
82
86,15
51
12
14
66,23
Tabell 16 viser en oversikt over registrert skallkondisjon til rekene og hvordan dette fordeler seg på registrerte fangstskader uavhengig av fangstgrupper. Skallkondisjon 1 og 2 utgjør kun 18 % av totalfangsten og er en liten gruppe. Kun 33,3 % av reker registret med skallkondisjon 1 er uskadet og for skallkondisjon 2 er rundt 66,6 % uskadet. Høyest andel uskadde reker ser en ved skallkondisjon 3.
Tabell 16 . Oversikt over hvordan skader fordeler seg mellom de tre graderingene for skallkondisjon. N=1940.
Skall-kondisjon
Antall uskadet
Antall klemskadet
Antall skadet i antenner eller bein
Antall død
Totalt antall
Prosent uskadet
1
3
1
5
3
12
25.00
2
230
5
52
40
327
70.34
3
1291
9
177
124
1601
80.64
Total
1524
15
234
167
1940
78.56
4.4.2.2.5 - Vitalitet etter 24 og 48 timers lagring på land
Figur 33 viser halvis overlevelse til reker etter mellomlagring i 48 timer i perforerte kasser senket ned i kar med kaldt sjøvann. En grafisk oppsummering av de samme data er vist i Figur 34 .
Figur 33. Halvis oversikt over prosentvis overlevelse for reker utsortert i overflaten etter 48 timers mellomlagring i kar. Eksperimentelt oppsett varierte mellom hal. D1: dekknett, 1 t hal; K1: vasking av sekk i kar på dekk, 1 t hal; D7: dekknett, 7 t hal). Utselekterte reker ble overført til trådkurver. Disse ble midlertidig oppbevart i et kar om bord og seinere samme dag overført til kar i forsøkshallen på Forskningsstasjonen Flødevigen.
Median overlevelse var 47.9 % for forsøksgruppe D1, 58,9 % for forsøksgruppe K1 og 68,8 % for forsøksgruppe D7. For de tre gruppene under ett, var det en marginal signifikant forskjell mellom dem (Kruskal Wallis test, χ 2= 7.58, df=2, p= 0.041), men de parvise testene viste ingen signifikante forskjeller på 5 % nivå (Wilcoxon sum rank test; D1 vs K1: p= 0.669; D1 vs D7: p= 0.057; K1 vs D7: p= 0.057). For alle gruppene ble hovedparten av dødeligheten til rekene registrert det første døgnet (Tabell 17).
Figur 34. Grafisk oppsummering av overlevelse etter 48 timer i de tre forsøksgruppene (D1: reker utsortert i havoverflaten og samlet opp i et dekknett over trålposen; 1 t hal), K1= reker selektert ut fra trålpose i kar på dekk; 1 t hal), D7: reker utsortert i havoverflaten og samlet opp i et dekknett over trålposen; 7 t hal). Boksplottet viser median (fet horisontal strek) og interkvartilbredde (høyden på rektangelet). Utstikkerne (engelsk: whiskers) angir hhv minste og største verdi. Verdier for overlevelse i det enkelte hal for hver gruppe er vist som fylte sirkler.
Tabell 17. Oversikt over antall reker i forsøkene, fordeling på vitalitet og % overlevelse etter 24 og 48 timer. N=4529.
Forsøksgruppe
Antall totalt
Antall levende
Antall dødog skadet
Overlevelse1 døgn (%)
Overlevelse2 døgn (%)
D1 (1t, dekknett)
1378
776
602
68,5
57,7
K1 (1t, kar)
944
481
463
64,3
53,8
D7 (7t, dekknett)
1590
967
623
69,3
67,6
Kontroll
617
539
78
97,5
88,2
Av forsøksgruppene var det kun kargruppene for 1 t trålhal som hadde identisk oppsett på de to feltforsøkene og derfor er direkte sammenlignbare. En sammenstilling av de halvise overlevelsesratene viser signifikant høyere overlevelse på vårtoktet enn på toktet i august (Figur 35; Kruskal-Wallis sign rank test, 12,611, df=1, p= 0,0004). I tillegg til at median overlevelse er ca. 35 % lavere for høsttoktet, er det også større variasjon mellom hal for forsøket i august/september.
Figur 35 . Sammenligning av overlevelse i kargruppen for 1 t trålhal for vår- og høsttoktet. Boksplottet viser median (fet horisontal strek) og interkvartilbredde (høyden på rektangelet). Utstikkerne (engelsk: whiskers) angir hhv minste
og største verdi. Verdier for overlevelse i det enkelte hal for hver gruppe er vist som fylte sirkler.
4.4.3 - Diskusjon
Det er gjennomført to overlevelsesforsøk i felt med reker som unnslipper fra en trålpose i havoverflaten; et i april/mai og et i august/september. På vårtoktet ble det benyttet to forsøksgrupper, en burgruppe der de utselekterte rekene ble overført til bur som ble senket ned til bunnen og ankret opp på fiskedypet, og en kargruppe der utselekterte reker ble overført til oppbevaringskar med dypvann. Gjennomsnittlig overlevelse i burgruppa var 70 %, mens den var 85 % i kargruppa. På høsttoktet ble det av logistiske årsaker kun benyttet kargrupper. Gjennomsnittlig overlevelse varierte i dette forsøket mellom 54 og 68 %.
På begge toktene var miljøforholdene i overflaten utenfor rekenes toleransegrenser ved langvarig eksponering. På vårtoktet var saliniteten ned til ca. 20 ppt, mens det på høsttoktet var høy temperatur (17-19 °C) og i tillegg tidvis lav salinitet ned mot 23 ppt. Reker forekommer naturlig i vann med temperatur opp til 12 (Shumway et al. 1985) eller 14 °C (Squires (1990), og salinitet over 34 ppt (Allen 1959). Abercrombie (1941) oppgir letaltemperaturen ved langtidseksponering for voksne reker uten adaptering (dvs. som kommer direkte fra vann med 5-6 °C) til 11,5 °C.
Miljøforholdene i overflaten ga utfordringer og krevde tilpasning av forsøksmetodikken. Hovedutfordringen var å gi rekene forsøksbetingelser svarende til den utsorterte reker i overflaten vil få etter at de er selektert ut og deretter synker/beveger seg mot bunnen. På vårtoktet var planen å samle utsorterte reker ved å vaske trålsekken i en merd på siden av fartøyet og så overføre rekene til et bur som deretter senkes til fiskedypet og ankres opp der. Prosessen med utsetting av merden var imidlertid tidkrevende og medførte lang eksponering for den lave saliniteten i overflaten og dermed tilnærmet 100 % dødelighet. Forsøk med vasking av sekken i et kar med overflatevann på dekk ble derfor prøvd, og dette ga høyere overlevelse for burgruppa, men oppbevaring av kar-grupper av utselekterte reker i overflatevann krevde justering av saliniteten ved tilsetting av salt. Dette var både tungvint og arbeidskrevende. Det ble derfor bestemt å fylle alle kar med dypvann fra Forskningsstasjonens vanninntak på 75 m dyp. Denne løsningen fungerte bra og ble benyttet i de påfølgende hal på begge tokt.
For burgruppen eksponeres forsøksrekene for tilnærmet identiske miljøforhold som reker som selekteres ut i overflaten i ordinært fiske ved at buret fires ned til bunnen med rekenes naturlige synkehastighet. Den eneste forskjellen er at rekene under selve vaskingen av sekken i karet (som tok 5 min) er i et miljø med karakteristika svarende til deres naturlige biotop. Hvorvidt dette korte oppholdet i atlantisk vann har vesentlig betydning for senere overlevelse, er uklart. På den annen side vil reker som selekteres ut av trålposen under ordinært fiske kunne starte nedstigningen raskere og dermed få en litt kortere eksponering for overflatevannet enn det burgruppa fikk. Kar-gruppa vil imidlertid få kortere eksponering for overflatevannet enn reker utsortert i ordinært fiske gitt at den laboratorie-estimerte synkehastigheten for reker er korrekt. Det er derfor rimelig å anta at forskjellen i overlevelse mellom bur- og kar-gruppa er et resultat av forskjellen i eksponeringslengde for et ugunstig overflatemiljø. Det er videre sannsynlig at karmetoden overestimerte overlevelsen med ca. 15 % i vårforsøket.
En kargruppe for trålhal med 1 times halengde ble benyttet i begge feltforsøkene. En direkte sammenligning av disse to forsøksseriene viser ca. 30 % lavere overlevelse for forsøket i august/september enn det i april/mai. Dette reflekterer trolig de mer ugunstige miljøforholdene i overlaget på det siste toktet, med høye temperaturer og tidvis lav salinitet. Forutsatt at metodisk bias for karforsøkene er den samme på begge tokt, tilsier det en faktisk overlevelse på høsttoktet som er 15 % lavere enn den estimerte, dvs. en overlevelse på 40-55 %.
Forsøkene i august/september viste ingen signifikant forskjell i overlevelse for reker selektert ut i overflaten og samlet opp i et dekknett med seildukspose og reker selektert ut ved å løfte sekken om bord og vaske den i et kar på dekk. Den første metodikken er antatt å være mest skånsom, bl.a. ved at de utsorterte rekene løftes om bord i ei vannfylt seilduksbøtte, mens ombordløfting av sekk for vasking i kar kan tenkes å gi klemskader på rekene. Resultatene antyder imidlertid at metodikken med vasking av trålsekken i kar på dekk ikke gir metodeindusert dødelighet.
For å undersøke effekten av trålhalets lengde på overlevelsen til utsorterte reker ble gjort to halserier med hallengde på hhv 1 og 7 t. Forsøkene viste ingen signifikant forskjell mellom de to seriene og støtter dermed ikke en hypotese om økt dødelighet ved lange hal. Dette står i motsetning til et tidligere forsøk (Larssen et al. 2013) som fant at dødeligheten økte med lengden på trålhalet; fra 30% for et 2,5 t hal til 50% for et 6 t hal og 70% for et 10 t hal. Dette forsøket beregnet imidlertid overlevelse for reker som er holdt tilbake i trålposen (dvs akkumulert fangst), mens vårt forsøk ser på overlevelsen til reker som selekteres ut av trålposen i overflate. De rekene som selekteres ut i overflaten kan være de mest vitale, dvs reker fanget på slutten av halet. Videre vil fangst generelt øke med økende tauetid, og en tung sekk vil muligens vaske mer skånsomt i overflaten enn en sekk med liten fangst.
Dersom vi, basert på litteraturdata presentert over, forutsetter at reker overlever langtidseksponering for temperaturer lavere enn 11,5 °C og salinitet over 34 ppt, kan vi fra CTD-målingene beregne hvilket dyp de må nå for at begge disse betingelsene skal være oppfylt (Tabell 18). For høstforsøket under ett må rekene nå et dyp på 54 m. Med synkehastigheten beregnet i AP 2 (7-12 cms-1) vil rekene bruke fra 7-13 min. på dette. Hvis sekken er i overflaten i ca. 12 minutter, betyr dette at rekene vil være eksponert for potensielt letale miljøforhold i opptil 25 minutter.
4.5 - Generell diskusjon
Med en firepanels pose av diamantmaskenotlin med 150 maskers omkrets viste beregningene at 60 % av de utsorterte rekene går ut i overflaten. Ved å montere 15 % nedkortede leisetau på denne sekken ble andelen redusert til 7,5 %. Forsøkene bekrefter dermed tidligere antakelser om at en betydelig andel av utsorteringen av småreker fra en trålpose kan skje i havoverflaten hvis det benyttes en pose med dårlig seleksjon. Et eksempel på en slik pose kan f.eks. være en trålpose av diamantmaskenotlin med stor omkrets, som er en vanlig brukt sekk i dag. Under tauing vil det ved akkumulering av fangst i posen bli strekk i lengderetningen av posen og dette strekket reduserer åpningen av sekk og masker. Under inntaking av trålen opphører i stor grad dette strekket, og posen blir tidvis liggende og vaske i havoverflaten. Maskene vil derfor åpne seg mer, og småreker vil da kunne rømme eller bli vasket ut.
Tabell 18. Minste dyp for temperaturer lavere enn 11,5 C og salinitet over 34 ppt.
Minste dyp
Dato for CTD-profil
T<11,5 C
S >34 ppt
2022-08-26
46
33
2022-08-27
46
33
2022-08-28
47
33
2022-08-29
53
38
2022-08-31
50
32
2022-09-01
54
29
2022-09-03
44
22
2022-09-04
42
26
2022-09-05
41
20
Normalt lever reker i Skagerrak på et dyp der det er lite variasjon i både temperatur (6-7 °C) og salinitet (35 ppt). Når de selekteres ut av en trålpose i havoverflaten møter de imidlertid miljøforhold som er svært forskjellige fra deres naturlige habitat. Lite har hittil vært kjent om hvor tolerante dypvannsreker er for kortvarig eksponering for markante endringer i temperatur og salinitet. Prosjektet inkluderte derfor en laboratoriestudie der toleranse for endringer i temperatur og salinitet ble undersøkt under kontrollerte betingelser. I studien ble rekene eksponert i 15 min for salinitet ned til 27 ppt, og temperatur opp til 15 °C, antatt å være typiske overflateverdier i Skagerrak for disse miljøparameterne. Laboratorieforsøkene viste at dypvannsreker tåler selv raske endringer i salinitet og temperatur innenfor de testede verdier for salinitet og temperatur. Under feltforsøkene ble imidlertid rekene utsatt for både vesentlig høyere temperatur (opptil 20 °C) og vesentlig lavere salinitet (ned til 20 ppt). Resultatene fra feltforsøkene antyder at selv om vi da er innenfor letalområdet (Abercrombie 1941), overlever reker allikevel en korttidseksponering på 10-15 minutter i vannmasser med 20 °C og 20 ppt.
Vasking av sekk i ramme ved overflaten medførte lengre eksponering for lav salinitet/høy temperatur enn rekene tålte. Det ble derfor bestemt å simulere vasking av sekken i et kar på dekk. Innledningsvis ble dette gjort med overflatevann, men dette det førte til forhøyet dødelighet, og vasking ble derfor gjort i vann som ble fylt fra dypvannsinntaket på Forskningsstasjonen Flødevigen. Mellomlagring av utsorterte reker som skulle monitoreres for dødelighet i tanker på stasjonen ble også gjort i kar med dypvann. Disse rekene ble følgelig overført direkte fra overflatevann til dypvann.
Når reker går ut av trålsekken i overflaten, antas de straks å søke mot bunnen igjen. De vil da oppleve en gradvis endring av miljøforhold ettersom de kommer dypere. Denne effekten prøvde vi å inkludere i det eksperimentelle oppsettet ved å sette reker i bur som ble senket med en hastighet svarende til rekenes vertikale forplantningshastighet (synkehastighet). Denne ble estimert i laboratorieforsøkene i AP2 og estimert til 300-400 m per time. Dybdemålere på burene dokumenterte at synkehastigheten for burene var tilnærmet konstant og i samsvar med resultatene fra laboratorieforsøkene. Det er derfor sannsynlig at burforsøkene gir en eksponeringsprofil svært lik den utsorterte reker vil ha.
Metodikken med vasking av sekken i kar med bunnvann medførte at reker som ble overført til burene fikk en 5-10 minutters eksponering (vaskeperioden) for optimale miljøbetingelser (bunnvann) før de ble satt ut i buret som hang i overflaten ved skutesiden. Hvorvidt dette har påvirket overlevelsen er usikkert, selv om eksponeringstid i overflaten og nedstigning samsvarer bra med en reell utsortering fra en trålsekk i overflaten under ordinært fiske. Burforsøkene antas imidlertid å gi en mer reell eksponeringsprofil for rekene enn direkte overføring av de utsorterte rekene til kar med bunnvann. Resultatene fra vårforsøket antyder også at gjennomsnittlig dødelighet for burgruppen var 15 % høyere enn dødeligheten for kargruppene. For øvrig er estimatene for overlevelse for reker utsortert i havoverflaten i dette forsøket på nivå med tidligere forsøk med overlevelse for utselekterte reker i Barentshavet (Larssen og Christophersen, 2018).
I høstforsøket kunne det ikke gjennomføres burforsøk. Dette skyldtes at det innleide fartøyet ikke var rigget for å sette og trekke bur. Det ble derfor bare benyttet monitorering av overlevelse i kar. To teknikker ble benyttet for å samle opp reker som ble selektert ut fra trålsekken i overflaten: 1) In situ oppsamling ved bruk av et finmasket dekknett med en seil-duksbøtte som ble åpnet/utløst når trålposen kom til overflaten (30 m dyp) og 2). Vasking i kar på samme måte som for vårtoktet. I tillegg til 1 t hal som på vårtoktet ble det også tatt hal på 7 t for å se på effekten av hallengde på overlevelse. Forsøkene ga ingen indikasjoner på at dødelighet avhenger av hallengde. For de lange halene ble det kun benyttet dekknett. Resultatene viste 20-30 % lavere overlevelse enn i vårforsøket. Dette er sannsynligvis et resultat av de høye overflatetemperaturene i forsøksperioden (opptil 19 °C), sammen med en lav salinitet (23-27 ppt).
Resultatene fra forsøkene tilsier at 30-50 % av rekene som selekteres ut fra en trålpose i overflaten i Skagerrak dør som følge av eksponering for miljøforhold utenfor deres tålegrenser. Seleksjon bør derfor fortrinnsvis skje på fangstdypet under fiske, da dette antas å være den mest skånsomme seleksjonsprosessen og gi best dyrevelferd. De utselekterte individene vil da forbli i sitt vanlige miljø, og de vil unngå eksponering for markante endringer i variabler som trykk, temperatur, salinitet og lys, og mekanisk skade ved at de får lengre opphold i trålposen. De unngår også predatorer på den relativt lange ferden nedover i vannsøylen. Irreversible skader på syn hos sjøkreps (Nephrops norwegicus) er dokumentert etter kort eksponering mot dagslys (Richardson, 1996). På grunn av artenes likhetstrekk er det rimelig å anta at slike øyeskader også kan forekomme hos reke. Tap av syn kan påvirke muligheten å skaffe føde, unnvike predatorer og reproduksjon.
På grunn av tekniske utfordringer var det ikke mulig å estimere overlevelse for reke som unnslipper på fiskedyp. Vi kan likevel anta, spesielt med hensyn til høy dødelighet på grunn av temperatur- og salinitetsforskjeller i de øvre vannmassene, at reke som unnslipper etter kort opphold i trålsekk på fiskedyp har betydelig høyere sjanser for å overleve redskapskontakt enn de som unnslipper i havoverflaten.
De to feltforsøkene ble gjennomført i et fiskeområde som er innenfor grensene til den norske kyststrømmen og til tider på året der det er henholdsvis lav salinitet i overflaten og temperaturen i overflaten når sitt årsmaksimum. Slik sett representerer de de mest ugunstige miljøforholdene for overlevelse av reker utselektert i havoverflaten. Vi antar at den observerte dødeligheten på 30-50 % er en øvre grense, og vil derfor være noe lavere i vinterhalvåret. I årets første kvartal kan vi forvente lavere dødelighet, men det vil være større andel rekeyngel i mange områder og derfor betydelig mengde som går ut i havoverflaten, forutsatt at det brukes konvensjonelle diamantmaskesekker med relativt stor omkrets. Det presiseres derfor at for å maksimere langtidsutbytte fra rekebestanden bør selektive redskaper og/eller seleksjonsinnretninger benyttes i større grad – hele året. Disse vil resultere i større andel småreke som unnslipper på fiskedyp, i sitt naturlige habitat, og vil følgelig ha større mulighet for å overleve.
5 - Hovedfunn
For trålposer med dårlig seleksjon under selve fisket, gikk over halvparten av de utsorterte rekene ut i havoverflaten.
Ved å montere 15 % nedkortede leistau på en 4-panels sekk med 150 masker i omkrets, reduseres andelen som sorteres ut i overflaten fra 60 % til 7,5 %.
Laboratorieforsøk viste at reker er tolerante for korttidseksponering for vann med temperatur opptil minst 15 ° C (høyeste temperatur testet) og salinitet minst ned til 27 ppt (laveste verdi testet).
På vårtoktet (april/mai) ble det observert salinitet ned til 20 ppt, og på høsttoktet (august/september) temperaturer opptil 19 ° C. Under slike miljøbetingelser overlever rekene kun en kortere eksponeringsperiode (anslagvis < 15-20 min) og det må påregnes en viss dødelighet.
Feltforsøkene viste at henholdsvis 20 og 23 % av rekene hadde synlige skader etter å ha gått igjennom maskene under vår og høsttoktet.
Overlevelse på reker etter 48 timers mellomlagring var 15 % lavere for reker mellomlagret i bur oppankret på fiskedypet enn for reker oppbevart i kar på dekk og i laboratoriet.
Det var ingen signifikant forskjell i overlevelse mellom reker utsortert i overflaten for hhv korte (1 t) og lange (7 t) hal.
Det var ingen signifikant forskjell i overlevelse mellom reker utsortert ved vasking av sekk i kar på dekk og reker som ble utsortert i havoverflaten og samlet opp ved bruk av dekknett med seildukspose rundt sekken.
Gjennomsnittlig overlevelse for utsorterte reker var ca. 30 % lavere på høsttoktet enn på vårtoktet (75 vs 50 %).
6 - Referanse
Abercrombie, M. 1941. The effect of temperature on the respiratory movements and viability of a cold water prawn, Pandalus borealis. J. Zool., A111(1-2): 87-89.
Allen, J. A. 1959. On the biology of Pandalus borealis Krøyer, with reference to a population off the Northumberland coast. J. Mar. Biol. Assoc. U. K., 38: 189-220.
Appollonio, S., Stevenson, D.K. and E.E. Dunton, Jr. 1986. Effects of temperature on the biology of the Northern shrimp Pandalus borealis , in the Gulf of Maine. NOAA Tech. Rep. NMFS, 42.
Barr, L. 1970. Diel vertical migration of Pandalus borealis in Kachemak Bay, Alaska. J. Fish. Res. Bd. Canada, 27: 669-676.
Björk ,W. 1913. Bidrag til kännedomen om nordhafsräkans (Pandalus borealis Kr.) utbredning och biologi i Kattegat och Skagerak. Svenska hydrogr. - biol. Komma Skr., 4: 1-11.
ICES. 2005. Protocol for the Use of an Objective Mesh Gauge for Scientific Purposes. ICES Coop. Res. Rep., 279. 8 pp.
Larssen, W.E., Landes, A.M., Christophersen, G., and Bakke, S. 2021. Key factors and methods for successful live transport of wild caught shrimp ( Pandalus borealis ). J. Aquat. Food Prod. Technol., 30(4): 392-405. DOI: 10.1080/10498850.2021.1893878
Larssen, W.E og Christophersen, G. 2018. Overlevelse av reker etter seleksjon i reketrål. Toktrapport fra F/F Johan Ruud mai 2017 og jan. 2018, og fra F/F Helmer Hanssen nov. 2017. Møreforsking rapport MA 18-01. 14s
Larssen, W.E., Dyb, J.E., Woll, A.K. and Kennedy, J. 2013. Factors that Affect Vitality of Northern Shrimp ( Pandalus borealis , Krøyer 1838) During Capture and Storage that are Destined for Live Trade. J. Shellfish Res., 32(3): 807-813.
Richardson, G. 1996. The effect of light-induced eye damage on the behaviour of Nephrops norwegicus . PhD thesis. University of Leicester. 292 pp.
Rulifson, R.A. 1983. Behavioral aspects of juvenile penaeid shrimps, P. aztecus and P. duorarum , during tidal transport. Contrib. Mar. Sci., 26: 55-63.
Shumway, S.E., Perkins, H.C., Schick, D.F. and Stickney, A.P. 1985. Synopsis of biological data on the pink shrimp, Pandalus borealis Krøyer , 1838. FAO Fish. Synop. 144, U.S. Dep. Commer., NOAA Tech. Rep. NMFS 30, 57 p.
Squires, H.J. 1990. Decapod Crustacea of the Atalntic coast of Canada. Can. Bull. Fish. Aquat. Sci., 221: 532.
Sætre, R. (Editor) 2007. The Norwegian Coastal Current - Oceanography and Climate. Tapir Academic Press, Trondheim. 159 pp.
Thorsteinsson, G. 2005. Survival of shrimp and small fish in the inshore shrimp fishery at Iceland. ICES study group on unaccounted fishing mortality in fisheries. 14 pp.
7 - Leveranser
Detaljert oversikt over leveranser i prosjekt
11.02.2023: Avslutningsmøte for prosjektet
15.10.2023: Larssen,W.E., Christophersen, G. og Landes, A.M. 2023. Adferds- og toleranseundersøkelse til reker i tank. Delrapport i prosjektet seleksjon i reketrås-overlevelse hos utsortert reke. Møreforsking rapport nr 2304.
Dette er en separat rapport for forsøkene i prosjektets AP3.
15.10.2023: Sluttrapport.
15.10.2023: PowerPoint presentasjon for distribusjon til næringen
8 - Appendiks
8.1 - Appendiks 1. CTD-profiler tatt på fiskefeltet for oppgitte datoer under forskningstoktet med MS Fangst 24.05-05.05 2022.
8.2 - Appendiks 2. CTD-profiler tatt på fiskefeltet for oppgitt datoer under forskningstoktet med MS Sjøvik 22.08-05.09 2022.