Gå til hovedinnhold

Utvikling av et miljø- og ressursvennlig teinefiske etter snøkrabbe

— Økt fangsteffektivitet, selektivitet og velferd

Forfatter(e): Odd-Børre Humborstad , Neil Anders , Terje Jørgensen , Svein Løkkeborg , Jostein Saltskår , Erik Schuster , Olafur Arnar Ingolfsson (HI), Sten Ivar Siikavuopio, Anette Hustad og Tina Thesslund (Nofima)

Sammendrag

Prosjektet «Utvikling av et miljø- og ressursvennlig teinefiske etter snøkrabbe» har bestått av fire arbeidspakker og ble gjennomført som en kombinasjon av atferdsforsøk i lab og fiskeforsøk i felt. I den første arbeidspakken «Økt fangsteffektivitet for krabber over minstemål» ble det vist at små masker i teinene øker fangst av alle størrelsesgrupper. I den andre arbeidspakken «Effektiv utsortering av undermålskrabber på fiskedypet» ble det vist at spalter effektivt sorterer ut undermålskrabbe, men det tapes også overmålskrabbe. Spaltene kan også lett tilstoppes av overmålskrabbe. Teinene selekterer mye ut gjennom bunnen på vei til overflaten og her er det potensiale til å sortere ut enda mer med alternativ bunnutforming. Plastkrager for å hindre undermålskrabbe i å nå inngangen på toppen av teinene fungerte ikke. Krabben fikk lett tak i uregelmessigheter i kragen og klatret over hinderet. I den tredje arbeidspakken «Rømmingsåpninger i tapte teiner» ble det testet ulike tykkelser av bomullstråd i kommersielt fiskeri. Bomullstråd er foreløpig den enkleste måten å forhindre spøkelsesfiske når teiner går tapt. Det ble også gjort forsøk på standardisering av bomullstråd gjennom flere strekkcelletester, ulike metoder for måling av diameter samt ved å tilføye Rtex (vekt per 1000 meter) for beskrivelse av tråd. I den fjerde arbeidspakken «Undervannsbøye med akustisk utløser (IceCatcher)» ble det gjort flere vellykkede funksjonstester om bord på forskningsfartøy, mens det fortsatt mangler tester i fiskeri under kommersiell fangst og reelle isforhold. Prosjektet har gitt et betydelig bidrag til vår forståelse av effektivitet og seleksjon i snøkrabbeteiner. En viktig konklusjon fra studiene er at utformingen teinene har i dag er den hittil beste balansen mellom effektivitet og seleksjon. Det bør imidlertid gjennomføres fiskeforsøk med ulike maskestørrelser for å ytterligere redusere fangst av undermålskrabbe som vil bli enda viktigere med en forespeilet kvotetildeling og høyre pris for den største krabben. Arbeidet med nedbrytbar tråd har blitt brukt i rådgivningen fra HI og grunnlag for et nært forestående påbud i snøkrabbefisket. Konseptutviklingen av IceCatcher viser at det er fullt mulig å lage systemer som kan forhindre tap av redskap, men at det må rettes betydelig innsats for å komme fram til et ferdigutviklet produkt og kommersialisering.

1 - Innledning

Snøkrabbe er en relativt ny ressurs for den norske fiskeflåten. De første kommersielle fangstene ble tatt i 2012, og kvoter ble innført fra 2017 (4000 tonn). Kvoten økte lite de påfølgende årene, men har siden 2019 økt med litt over 1000 tonn årlig, og var i 2023 7790 tonn. Det er forventet at fiskeriet vil fortsette å øke i omfang som følge av en betydelig økning i mengde og utbredelse av snøkrabbe. Det ligger derfor et stort økonomisk potensial i dette fiskeriet, og på sikt vil eksportverdien av snøkrabbe sannsynligvis være den høyeste blant skalldyrressursene våre. Fisket etter snøkrabbe er imidlertid et nyutviklet fiskeri i norsk fiskerinæring, og det er identifisert flere utfordringer og problemstillinger som bør løses for å gjøre fisket mer bærekraftig og miljøvennlig.

Den norske flåten består av store havgående fartøyer som bruker den samme koniske teinetypen som er utviklet for kystflåten på den kanadiske østkysten. Disse teinene har relativt lav fangsteffektivitet og kan gi fangster med en høy andel krabber under minstemålet. Nguyen m.fl. (2019) fant at undermålskrabbe under forsøk i Barentshavet (< 100 mm) utgjorde 32% av fangstene, mens tilsvarende tall med et minstemål på 95 mm (dagens minstemål) ville ha vært 11%. Data fra HIs ressurskartleggingstokt i Barentshavet i juni 2020 viste at andel undermålskrabbe i fangstene med standardteiner var på 27%. Det er også tilbakemeldinger om fangster med inntil 50% undermålskrabbe (skipper, Northeastern, pers. medd.).

Utsorteringen av undermålskrabber på dekk kan påføre krabbene skader (slagskade, avrevne bein og klør) og føre til utilsiktet dødelighet og redusert dyrevelferd. Liten krabbe må sorteres ut, noe som øker arbeidsmengden om bord. Økt fangsteffektivitet for krabber over minstemål og bedre seleksjon av småkrabber på fiskedypet vil gjøre dette fiskeriet mer bærekraftig. De norske båtene kan operere med opptil 9000 teiner og ståtid på inntil tre uker. Tap av redskap er et generelt problem i teinefiskeriene, og Fiskeridirektoratets årlige opprydningstokt viser at problemet er omfattende også i dette fiskeriet. I det norske fiskeriet er isforholdene tidvis et stort problem ved at drivis drar med seg teinelenken og kutter iletauet. Tapte teiner vil fortsette å fiske i lang tid (spøkelsesfiske). En undersøkelse av 1000 teiner som hadde stått i sjøen i 1,5 år viste en totalfangst på 2971 snøkrabber hvorav 98% var levende (Humborstad m.fl. 2021). Dette indikerer at tapte teiner fortsetter å tiltrekke seg krabber som sannsynligvis dør av sult og kannibalisme. Spøkelsesfiske fører til skjult beskatning, dårlig dyrevelferd og marin forsøpling. Den beste løsningen på dette problemet vil være teknologiske innretninger som hindrer redskapstap, men det bør i tillegg utvikles rømmingsåpninger som slipper ut krabber og annen fangst i de tilfeller hvor redskapen tapes.

I 2020 fikk Havforskningsinstituttet i samarbeid med Nofima tilslag på et 3-årig forskningsprosjekt gjennom Fiskeri og Havbruksnæringens forskningsfinansiering (FHF -901663) med målsetning om å utvikle et mer ressursvennlig fiske etter snøkrabbe. Prosjektet har hatt fire arbeidspakker som hver er beskrevet enkeltvis i rapporten:

AP1: Økt fangsteffektivitet for krabber over minstemål

AP2: Effektiv utsortering av undermålskrabber på fiskedypet

AP3: Rømmingsåpninger i tapte teiner

AP4: Undervannsbøye med akustisk utløser (IceCatcher)

Prosjektet ble gjennomført som en kombinasjon av atferdsforsøk i lab og fiskeforsøk i felt. Det endelige målet er å gjøre det norske snøkrabbefisket til et mer effektivt, lønnsomt og bærekraftig fiskeri.

2 - AP1: Økt fangsteffektivitet for krabber over minstemål

2.1 - Innledning

Teinene som brukes i det ordinære fisket etter snøkrabbe er koniske med inngang på toppen. For å nå inngangen må derfor krabbene klatre opp sidekanten av teina. Selve teina (Fig. 2.1) består av en stålramme kledd med notlin med en maskevidde på ca. 135 mm (strekt maske). Det er foreløpig ingen påbudt minste maskevidde i det norske snøkrabbefisket. Forsøk utført i tidligere prosjekter ved HI har vist at teiner med små masker (50 mm strekt maske) ga en 35% økning i fangstene av krabbe over minstemål sammenlignet med teinene som brukes av de kommersielle båtene (Anders m.fl. 2023). Dette er en relativt liten endring av design på teinene som ikke vil medføre praktiske problemer under håndtering av teinene, hverken under setting, haling eller stabling om bord i fartøyene. Det er uklart hva økningen i fangst for teiner med små masker skyldes, men den mest åpenbare forklaringen er at det er lettere for krabbene å klatre på finmasket not. Det ble derfor gjennomført atferdsforsøk i tank for å få svar på dette spørsmålet og om maskestørrelse har ulik effekt på fangst av krabber over og under minstemålet.

Disse forsøkene skulle gi svar på om det er systematiske forskjeller mellom teiner med småmasket notlin og standardteiner med hensyn til antall forsøk krabbene gjør på å klatre opp sideflaten på teina, hvor raskt de kryper oppover, og hvor ofte de stopper opp eller henger seg fast i notlinet, og om søkeatferden hos krabbene er størrelsesavhengig. Krabbenes atferd på teina ble dokumentert med video-opptak.

I tillegg til tankforsøkene ble det gjennomført fiskeforsøk på kommersielle fangstfelt. Resultatene fra fiskeforsøkene er rapportert sammen med seleksjonsforsøkene under AP2.

2.2 - Materiale og metoder

2.2.1 - Atferd på notlin med ulike maskevidder-laboratorieforsøk

Til forsøkene ble det tatt inn ca. 300 snøkrabber som hadde et bredt størrelsesintervall. Dispensasjonssøknad for inntak av krabbe under minstemål var godkjent av Fiskeridirektoratet og det ble gjort avtale med en kommersiell båt for leveranse av krabber til Nofima sin Havbruksstasjon utenfor Tromsø.

Det første lab-forsøket med klatring på teine ble gjennomført våren 2021, men ble avbrutt etter 5 dager da det var veldig lav aktivitet blant krabbene.

Våren 2022 ble det gjennomført nye tester for å dokumentere hvordan krabbene klatret på teiner med notlin av ulik maskestørrelse (Figur 2.1). Tre forskjellige maskevidder ble testet: Standard 135 mm (teine 1), finmasket 50 mm (teine 2) og superfinmasket 22 mm (teine 3). Bortsett fra maskevidde var teinene identiske. Klatreatferd ble studert ved å plassere teinene enkeltvis i et 4000 l stort kar med vanngjennomstrømning på ca. 30 l/min der det på forhånd var satt ut en gruppe på 15 krabber. Totalt ble det benyttet tre distinkte grupper for hver teine. Rekkefølgen krabbegruppene ble eksponert for teinene på ble randomisert. Teinene ble egnet med 1 akkar delt i 2 biter, og agnboksen ble hengt fra kanten av kalven inn i teina. Det ble montert GoPro kamera med videoopptak fra to sider av teina for å få sett så mye av teina som mulig. Det fungerte ikke å filme med kamera over teina da stigningen fra bunn mot topp er for bratt til å kunne se ID nummeret på krabben.

Bildet viser tre teiner med ulik maskestørrelse
Figur 2.1 Standard snøkrabbeteiner med forskjellig notlin. Teine 1: kun standard notlin, Teine 2: standard notlin dekket med finmasket notlin, Teine 3: standard notlin dekket med superfinmasket tynt notlin.

2.3 - Resultater og diskusjon

2.3.1 - Atferd på ulike notlin

Totalt ble det gjennomført 9 forsøksrunder med observasjoner av klatreaktivitet på teiner (3 maskestørrelser hver med 3 grupper med krabber). I tabellen under er det oppsummert i hvilken rekkefølge forsøkene ble gjort. Forsøkene viste at teine 1 med standard notlin fanget 1 krabbe på alle 3 testrundene, mens teine 2 og teine 3 med finmasket og superfinmasket notlin fanget henholdsvis 7 og 8 krabber til sammen på alle testrundene. Andelen interaksjoner som ga fangst var 0,08% for standardteine (1/1251), 0,69% for finmasket teine (7/1009) og 0,65% for superfinmasket teine (8/1222) (Tabell 2.1).

Målet for forsøket var ikke å studere fangsteffektivitet direkte, men forsøke å skaffe datagrunnlag for å forstå hvordan fangsteffektivitet påvirkes av notlin. Alle videoene er gjennomgått og det er registrert ca. 3500 krabbeinteraksjoner med teiner. Foreløpige kvalitative observasjoner tyder på at der er forskjeller i adferd på forskjellige notlin, men det gjenstår et større arbeide på kategorisering og kvantifisering av atferd for å fastslå dette. Videoanalyser er svært tidkrevende og det lyktes ikke å skaffe midler til videre opparbeiding og analyser av dette materialet innenfor prosjektperioden. Dataene er likevel viktige og vil kunne gi svar på detaljert fangstrelevant atferd.

Dato start Runde teine krabbe ID fangst antall Distinkte interaksjoner med teine
10.5.2022 1 2 1-15 4 61
11.5.2022 2 1 1-15 1 83
12.5.2022 3 3 1-15 2 256
30.5.2022 4 1 16-30 0 419
31.5.2022 5 2 16-30 2 583
1.6.2022 6 3 16-30 4 321
6.6.2022 7 3 31-45 2 645
7.6.2022 8 1 31-45 0 749
8.6.2022 9 2 31-45 1 365
Tabell 2.1 Oversikt over dato for videoopptak, rekkefølge på teiner og krabbegrupper testet. Samt antall krabber som gikk inn i teina og antall interaksjoner.

3 - AP2: Effektiv utsortering av undermålskrabber på fiskedypet

3.1 - Innledning

Målet med denne arbeidspakken var å se på ulike løsninger som sorterte ut krabbe (eller hindret de å gå inn) på fiskedypet for å unngå skader, utilsiktet dødelighet og redusert velferd ved sortering på dekk.

Ved å montere en krage av plast rundt den øvre delen av ei konisk snøkrabbeteine ble andelen undermålskrabbe betydelig redusert i et forsøk utført i det kanadiske fiskeriet (Hébert m.fl. 2001). Kragen hindret småkrabbene i å klatre opp på toppen av teina der kalvinngangen er montert (Figur 3.1). En krage med 12cm høyde påvirket ikke fangsteffektiviteten for krabber over minstemål (95mm skallbredde). I et tidligere FHF-prosjekt (901612) er det samme prinsippet testet i kongekrabbeteiner der det var montert et seildukspanel i den øverste delen av kalven. Det glatte panelet ga en 50% reduksjon i andel kongekrabber under minstemål. Seleksjonsforsøk utført i snøkrabbefiskeriet i Canada viste at fangstene av undermålskrabbe ble betydelig redusert ved å montere fluktåpninger i teinene (Winger & Walsh 2007; 2011). Montering av krage på den øvre delen av teina og spalteåpninger langs den nedre delen ble testet i fiskeforsøk av HI.

Bilde av teiner med plastkrage
Figur 3.1 Venstre: Ved å montere krager av ulike høyder på snøkrabbeteiner reduserte Hébert m.fl.. (2001) andel undermålskrabbe uten at antall overmålskrabbe ble redusert. Høyre: I våre forsøk ble det tilpasset plast- eller presseningskrager til de koniske teinene som benyttes i det norske fisket etter snøkrabbe i Barentshavet.

Seleksjonsforsøk utført i et krabbefiskeri i Australia viste at fangstene av undermålskrabbe ble redusert med ca. 90% ved å montere ovale fluktåpninger som selekterer på høyde (Broadhurst m.fl.. 2018). Fluktåpninger som baserer seg på begrensing av høyde og ikke bredde er ikke testet på snøkrabbe (Figur 3.2). Forsøk ble gjennomført i laboratorie for å undersøke optimal høyde på spalte tilpasset minstemål samt for å få adferdsobservasjoner av rømming. Feltforsøk ble i 2020 og 2021 utført basert kun basert på forhold mellom høyde og bredde, mens feltforsøk i 2022 ble justert etter resultater fra lab forsøkene.

3.2 - Materiale og metoder laboratorieforsøk

3.2.1 - Labforsøk 1: fluktåpninger

I det første lab-forsøket ble atferd og graden av rømming observert for standardteiner (135 mm maskevidde) og finmaskede teiner (50 mm maskevidde) med fluktåpninger (spalter Figur 3.2). Basert på egne målinger var 40 mm spaltehøyde den høyden som teoretisk samsvarte med skallbredden til en undermålskrabbe (100 mm) (Anders m.fl. 2023). For å sikre høy interaksjon med spaltene (dvs. høy sannsynlighet for kontakt) ble det benyttet teiner med 4 spalteåpninger som er en løsning som vil fungere i praktisk fiskeri. Spaltene var 30 cm breie (se Anders m.fl. 2023 for detaljer). Atferd i teiner ble dokumentert med GoPro timelapse video (Figur 3.3). Forsøkene ble utført i kar på 5 meter i diameter, en vanndybde på 165 cm og en vanngjennomstrømning på ca. 200 l/min. Vannet hadde en temperatur på 4 oC. Vanninntak langs ytterkant av karet og sentrert avløp skapte en sirkulær vannstrøm.

Bilde av teiner med utslippshull
Figur 3.2 Fluktåpning med 40 mm høyde montert i standardteine og i finmasket teine.

 

Bildet viser bilde av teine i karforsøk
Figur 3.3 Forsøksoppsett: Standardteine med 4 fluktåpninger med en høyde på 40 mm fylt med krabber og filmet ovenfra i forsøkskaret. Agnposer med akkar på utsiden av teina.

Krabbene ble delt inn i 6 grupper på 30 snøkrabber omtrent likt fordelt på krabber over og under minstemål (95 mm).  Krabbene ble individmerket med påskrevet ID nummer på ryggen (Figur 3.4). Skallbredde ble målt på alle krabber, mens beinlengde (1. gangbein på venstre side) ble registrert for en gruppe. Gruppeinndelingen og størrelsesspredningen er vist i Figur 3.5 . Alle de 30 krabbene i hver gruppe ble plassert inn i testteina med finmasket eller standard notlin (en teine ble plassert i karet pr forsøksrunde). Det ble gjennomført til sammen 6 testrunder, tre for hver teine. Teinene ble plassert slik at en fluktåpning var plassert mot strømretning, en nedstrøms og de to andre henholdsvis mot senter av kar og karvegg. Agnposer egnet med 2 akkar delt i to biter ble plassert 0,5-1 meter fra teina på hver side fremfor fluktåpninger mot og nedstrøms (Figur 3.3). GoPro kamera med timelap-innstilling (2 sekunders intervall) ble plassert rett over kalven på teina for å kunne dokumentere antall rømminger og rømmingsforsøk fra hele teina.

Videoene fra hver test ble gjennomgått manuelt for å registrere:

  • Tidspunkt for hendelse. Forsøk på rømming er når krabben søker ut av teina og klarer å stikke gangbein/klør ut av notlin eller fluktåpning.

  • Krabbe ID tilknyttet mål på krabbens skallbredde.

  • Rømmingsvei. Mulig utgang fra standardteine var både fluktåpning og kalv i tillegg til notlin. For finmasket testteine var det kun fluktåpning eller kalv hvor krabben kunne komme seg ut.

  • Rømmingssuksess (kodet ja/nei). Ja er definert som at hele krabben kommer seg ut av teina. Nei betyr at krabben enten sitter fast i notlin/fluktåpning, eller gir opp og trekker seg tilbake inn i teina.

Bilde av individmerket krabbe
Figur 3.4 Krabbe ID merket med korrekturlakk for enkel identifisering av individ under rømmingsforsøk fra teine.

 

Figur med forsøksgruppene av krabbe som ble benyttet i laboratorieforsøk
Figur 3.5 Størrelse (skallbredde) på krabbene i de 6 gruppene som ble benyttet i rømmingstestene. Resultatene fra testene er oppsummert i Tabell 3.1.

3.2.2 - Labforsøk 2: Crawlthrough tester

De innledende testene av spalteåpninger besto av kun en spaltestørrelse (40 mm). Valget av denne spaltestørrelsen var basert på et lineært forhold mellom skallhøyde og skallbredde (Anders m.fl. 2023). Det var derfor ønskelig å teste ulike spaltestørrelser for å kunne selektere bedre på størrelse. Det ble brukt et kar på 100 cm x 74 cm med et finmasket skillepanel på midten med en innsydd fluktåpning (Figur 3.6). Dette panelet gjorde det enklere å bytte mellom de 4 ulike spalteåpningene på henholdsvis 34, 36, 38 og 40 mm (Figur 3.7).

Forsøkskar med merket krabbe
Figur 3.6 Testkammer montert med panel i finmasket notlin utstyrt med 38 mm fluktåpning.

 

Bildet viser fire ulike spalter som ble testet
Figur 3.7 Fluktåpninger med 34-40 mm spaltehøyde.

Spalten ble montert i panelet 5 cm opp fra bunnen tilsvarende plasseringen på ei teine. Ti krabber ble ID-merket, og plassert på vannutløpssiden i karet. GoPro kamera ble montert på siden av karet og det ble gjort 24-timers opptak (time lapse).

3.2.3 - Labforsøk 3: Fallthrough tester

Som et supplement til “Crawlthrough testene” ble det gjort fysiske tester der levende krabbene ble manuelt sluppet igjennom spaltene (Herrmann m.fl. 2009; Figur 3.8). Dette ble gjennomført på til sammen 46 krabber med skallbredde fra 7,35 til 11,70 cm, medianverdi på 9,40 cm. I testene ble krabben ført igjennom spalteåpninger på 34, 36, 38 og 40 mm. Hvis krabben ikke av gravitasjon alene gled igjennom ble krabben vrikket på lett i en opp-ned beveglese for å se om en endring i posisjon gjorde at krabben gled igjennom. De krabbene som ikke kom igjennom den aktuelle spaltestørrelsen scoret 0 for denne, mens de som klarte å komme igjennom scoret 1, som betyr at rømming er mulig.  

Krabbe som føres gjennom spalte
Figur 3.8 "Fallthrough", føring av snøkrabber gjennom fluktspalter med høyde på hhv 34, 36, 38 og 40mm.

For alle krabbene ble skallbredde (CPW), skallengde (CPL) og skallhøyde (CPH) målt med skyvelær. I tillegg målte vi avstanden mellom 1. gangbein på høyre og venstre side på et utvalg krabber for å kunne si noe om rekkevidden til krabbene ved klatring sidelengs. Skallengde og skallbredde ble målt fra oversiden av skallet på de bredeste områdene. For skallhøyde ble skyvelæret plassert fra bakenden av krabben over rygg og hale (Figur 3.9).

Bilene viser hvordan man måler høyde på krabbe
Figur 3.9 Måling av skallhøyde.

3.3 - Resultater og diskusjon laboratorieforsøk

3.3.1 - Labforsøk 1: Teiner med fluktåpning

For teine med finmasket notlin klarte ingen krabber å komme seg igjennom notlinet og alle rømmingene ble observert gjennom spaltene. Det var utfordrende å registrere ID nr. på krabber inne i teine som forsøkte å rømme da notlinet er tett. Dårlig synlighet gjorde det vanskelig å skille mellom ulike individer og hendelser og dermed registrering av rett type aktivitet. Antall observerte rømmingsforsøk er derfor trolig underestimert for teine med finmasket notlin. For gruppene som ble testet i standardteine, rømte mer enn 2/3 av krabbene gjennom spaltene og de resterende gjennom maskene i notlinet. Dette kan tyde på at det er lettere (høyere suksess) for krabber å rømme gjennom de rigide spaltene enn gjennom maskene. En sammenfatning av obervasjonene er vist i Tabell 3.1 .

I standardteine var det lettere å se ID-nr både for krabber inni og utenfor teina, men det var vanskeligere å vurdere rømmingsforsøk da krabbene kunne strekke seg ut igjennom notlinet, og bli sittende fast over lengere tid uten å avbryte forsøket på å komme seg ut. Denne atferden vil med mye fangst i teina redusere tilgjengelige fluktmuligheter ved at krabber blokkerer de tilgjengelige fluktmulighetene. To overmålskrabber rømte gjennom notlinet (100 og 122 mm skallbredde) . I forsøket med standardteine ble det observert en stor krabbe som rømte ut kalven. Den fikk tak i hullet i kalven som er laget for plassering av agnposen (Figur 3.10). Dette ble kun observert en gang, men viser at kalven er en mulig rømmingsvei. Det er også intuitivt at det med agnpose vil være enda lettere for krabbe å klatre ut gjennom kalven, samt at mengde krabber i teina også vil påvirke rømmingssannsynlighet. I teiner med finmasket not er det indikasjon på at man taper overmålskrabbe med økende fangst (ikke vist). En grunn til det kan være at færre undermålskrabber kommer seg ut, som fører til økende mengde krabber i teina. Avstanden opp til kalven blir dermed kortere og dette forenkler rømming denne veien.

Bildet viser en krabbe i karforsøk som rømmer ut av teinen
Figur 3.10 Overmålskrabbe som rømmer fra teina gjennom kalven.

 

  Standardteine med spalte Finmasket teine med spalte
Antall observerte rømmingsforsøk 343   ​ 55    
% vellykkede rømminger av totalt registrerte rømmingsforsøk 11,0 54,5
% undermålskrabbe av totalt antall undermålskrabbe i forsøket som rømte 66,6 54,4
% overmålskrabbe av totalt antall overmålskrabbe i forsøket som rømte 25,5 10,9
% av rømminger som skjedde gjennom fluktåpning 65,7 100
Gjennomsnittsstørrelse (CW) på krabber som rømte gjennom fluktåpning 9,2 cm (SD 0,8) 8,9 cm (SD 0,68)
Gjennomsnittsstørrelse (CW) på krabber som rømte gjennom notlin 9,3 cm SD 1,0 cm Ingen rømming gjennom notlin

Tabell 3.1 Oppsummering av resultater fra laboratorieforsøk 1. Rømming fra standardteiner (135 mm maskevidde) og finmasket teine (50 mm maskevidde) med 4 spalter. Til sammen 6 grupper hver på 30 krabber ble testet i 6 testrunder, tre for hver teine. Antall rømmings­forsøk, hvilken vei krabben prøvde å rømme (spalte eller gjennom notlin), og hvorvidt rømmingsforsøket var vellykket eller ikke ble registrert utfra videopptak. En krabbe ble observert å rømme via kalven, men denne registreringen er ikke tatt med i tabellen. Det ble også registrert til sammen 4 rømminger, to for hver teinetype, hvor rømmingsvei ikke kunne bestemmes. Disse observasjonene er utelatt fra oppsummeringen.

3.3.2 - Labforsøk 2: «Crawlthrough»

Justeringer ble gjort de påfølgende dagene etter oppstart for å lokke krabber gjennom fluktåpningen. Første natta skjedde ingen rømming gjennom åpningen. Neste dag ble det plassert litt agn (tinte reker) ved vanninnløpet, men ingen respons fra krabbene etter nye 24 timer. En av de største snøkrabbene ble da plassert i karet, men dette førte ikke til at noen av krabbene reagerte ved å rømme gjennom åpningen. Neste endring var å dekke til den delen av karet hvor vi ønsker å lokke krabbene til med svart plast for å skape skygge, men fortsatt ingen respons. Siste forsøk på å lokke krabber til andre siden av panelet var å flytte en av krabbene over til denne siden, men fortsatt uten effekt. Forsøkene ble derfor avsluttet.

3.3.3 - Labforsøk 3: «Fallthrough»

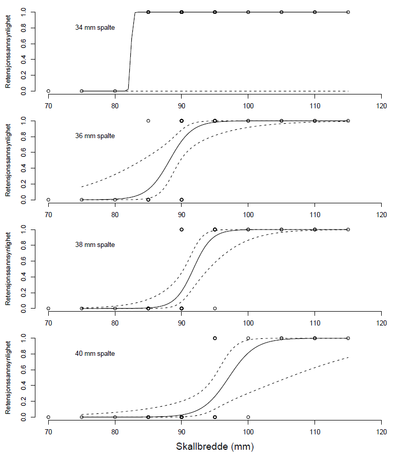
Resultatene fra fall-through-testene er illustrert i Figur 3.11 .  Forsøkene viste at med 40 mm spaltehøyde vil man kunne miste mye krabbe over minstemålet. En spalte på 34 mm vil holde tilbake all krabbe over 85 mm skallbredde. Av de fire spaltene var det 36-mm spalten som kom best ut med hensyn til å holde tilbake krabber over 95 mm (retensjonssannsynlighet 0,8-1) og samtidig selektere ut undermålskrabbe. Det bør bemerkes at utvalget av krabber til forsøkene var lite (n = 46) og de beregnede kurvene derfor er beheftet med høy usikkerhet (vide konfidensintervaller). Siden det var stor forskjell mellom 34 og 36 mm spalte vil det også være fordelaktig å gjøre forøk med 35 mm spaltehøyde. Forsøkene bør også gjøres med et betydelig større antall krabber i intervallet rundt minstemål (Herrmann m.fl. 2021).

Bildet viser figur av sannsynligheten for at krabber holdes tilbake i teina og ikke kan komme seg ut gjennom fluktåpninger som funksjon av krabbestørrelse (skallbredde) for fire ulike spaltehøyder. 
Figur 3.11 : Sannsynligheten for at krabber holdes tilbake i teina og ikke kan komme seg ut gjennom fluktåpninger som funksjon av krabbestørrelse (skallbredde) for fire ulike spaltehøyder. 

3.4 - Fangsteffektivitet ved bruk av småmasker og seleksjonspalter.

3.4.1 - Materiale og metoder

For å teste ut effekten av maskevidde og seleksjonspalter ble det gjennomført fiskeforsøk i 2021 og 2022 med kombinasjon av små masker for økt effektivitet og fluktåpninger for forbedret seleksjon. I disse studiene brukte vi sammenlignende fiskeforsøk for å bestemme størrelsesavhengig fangsteffektivitet av tre modifiserte teinetyper designet for å håndtere disse problemene (Figur 3.12), samt atferdsobservasjoner av krabbe i og rundt teinene.

Bildet viser fire ulike teiner som som ble sammenlignet i forsøkene
Figur 3.12 Øvre og midterste figur: De fire teinene som ble sammenlignet. Nederste figur: Fluktåpningen som ble montert nede på fire av sidefeltene på teinene. Fluktåpningene var 30 cm vid og 4 cm høy og tilpasset minstemål som var gjeldende frem til 2021 (100 mm skallbredde).

3.4.2 - Resultater og diskusjon

Forsøkene i 2021 viste at finmaskede teiner (maskevidde på 40 mm) fanget ca. 35% flere overmålskrabber (≥ 100 mm skallbredde) sammenlignet med teina som vanligvis brukes i det kommersielle fisket (140 mm maskevidde). Imidlertid holdt den også tilbake store mengder små individer (< 100 mm skallbredde). Fluktåpninger i teinene med maskevidde på 40 mm og 140 mm førte til en betydelig reduksjon i fangsten av småkrabber, men også en ca. 30% reduksjon av store krabber. Det kan være flere årsaker til at man fanger mindre overmålskrabbe med spalter. Noe av forklaringen kan ligge i at det er variasjon i sammenhengen mellom skallbredde og skallhøyde ved at noen krabber på minstemålet er lavere enn 40 mm og derfor slipper ut. Det kan også tenkes at krabber klarer å presse seg ut. Videre indikerer “fallthrough” forsøkene at en spalte på 40 mm er for høy. I 2022 ble det derfor gjennomført et nytt forsøk med 36 mm høyde på spaltene i standard kommersielle teiner basert på disse forsøkene og det nye minstemålet på 95 mm. Resultatene herfra viste bedre seleksjon med kun et lite tap av krabbe mellom 95 og 102 mm, mens det var for lite data til å konkludere på krabbe under 80 og over 130 mm.

Når det gjelder undermålskrabbe, så kan de se ut som at det er vanskelig å oppnå 100% utsortering selv etter lange ståtider når agnet har mistet sin effekt. Under toktet i 2022 ble det halt en lenke i forbindelse med forsøkene på bomullstråd (kapittel 4). Denne lenken hadde da stått ute i 21 dager, hvilket skulle tilsi at agnet var borte og krabben ville forsøke å komme seg ut. I denne lenken var det imidlertid hele 26% (n=1114) undermålskrabbe. Årsaken er trolig at krabbe tiltrekkes til teiner selv uten agn, for eksempel gjennom sosial tiltrekking, og det derfor hele tiden fylles på med krabber av alle størrelser. En annen årsak til at man ikke får ut småkrabber kan skyldes blokkering av fluktåpningene (Figur 3.13). I en standardteine som har mye krabbe blokkeres de nederste maskene som har størst lysåpning og dette hindrer effektiv seleksjon. I finmaskede teiner med spalter ser man samme effekt der spaltene blokkeres av overmålskrabber som forsøker rømme. Således kan man tenke seg at høyere fangstrater gir dårligere seleksjon. Et annet forhold er at fluktåpningene også muliggjør at undermålskrabbe kan gå inn i teina. For å hindre dette, kan det monteres hengsler på spaltene slik at krabber ikke kan komme inn, men bare ut (samme prinsipp som for katteluker).

Bildene viser krabbe som sitter fast/stikker ut av masker og seleksjonsspalter
Figur 3.13 Blokkering av fluktmuligheter. Venstre: Standardteine med mye fangst der de nederste maskene gjøres utilgjengelige for flukt. Høyre: En finmasket teine med seleksjonsspalter som ikke slekter mer da det står krabbe og blokkerer alle de fire fluktåpningene.

Av de testede designene ga den kommersielt brukte teina den mest optimale fangsten med tanke på både effektivitet og seleksjon. Likevel konkluderer vi med at en teine med små masker og fluktåpninger har potensial til å øke fangstene av store krabber og redusere fangster av ikke-kommersielle små krabber. Videre utvikling av dette designet, spesielt når det gjelder dimensjon, antall og plassering av fluktåpningene, er derfor nødvendig.

Resultatene og detaljer fra studien i 2021 med 40 mm høyde på spaltene er publisert i Fisheries Research (Anders m.fl. 2022)

3.5 - Fiske- og atferdsforsøk med krager

3.5.1 - Materiale og metoder

Under det samme toktet som over ble det gjennomført sammenlignende fiskeforsøk med krager i plastmateriale (Figur 3.14) for å forsøke å hindre undermålskrabbe å gå inn i teina. Høyden på kragen (12 cm) ble basert på halve lengden av lengste utstrakte gangbein for en hannkrabbe på 95mm skallbredde. I tidligere forsøk så gav dette en reduksjon i fangst av undermålskrabbe uten å redusere fangst av overmålskrabbe (Hébert m.fl. 2001).

3.5.2 - Resultat og diskusjon

I våre forsøk var det tydelig at kragen var for liten. Det ble observert en reduksjon i fangst kun for krabbe under 55 mm (Figur 3.15). Videopptak av teiner med krager viste også tydelig at selv små krabbene lett klatret over hinderet. Snøkrabben har skarpe spisser på gangbeina og selv den minste uregelmessighet på hinderet, som festehull for krage og skjøter, gjør at krabben får tak og kan klatre. Denne evnen til å klatre ble også observert i et tilsvarende forsøk med kongekrabbe (Anders m.fl. 2023).

Bildet viser kontroll og forsøksteine med krager
Figur 3.14 Finmaskede teiner med og uten en 12 cm høy krage ble sammenlignet.

 

Bildet viser graf av størrelsesfordeling for kontroll mot teiner med krage
Figur 3.15 En krage på 12 cm førte til en reduksjon i fangst kun for krabbe mindre enn 55 mm skallbredde.

Det ble også gjort forsøk på å øke høyden på kragen til 24 cm med presenning (Figur 3.16), men selv da ble det observert flere krabber som klarte å klatre over. Konklusjonen er derfor at for å oppnå god seleksjon må kragens høyde økes så mye at det blir en veldig upraktisk teine, eller denne innretningen må kombineres med andre seleksjonsinnretninger som for eksempel rømmingsåpninger.

Bildet viser en krabbe som forserer en krage montert på teine
Figur 3.16 Selv en krage på 24 cm klarte undermålskrabbe å forsere. På bildet vises en krabbe som skyver seg opp og får tak i stripsene som kragen var festet med.

 

4 - AP3: Rømmingsåpninger i tapte teiner

4.1 - Innledning

Snøkrabben i Barentshavet fiskes i all hovedsak med koniske teiner med inngang på toppen. Norske fiskefartøy kan fiske med inntil 9 000 teiner per fartøy, og teinene skal røktes minst en gang hver tredje uke. Teinene blir oftest satt i lenker på 200 eller 400 stykker og avstanden mellom enkeltteiner er typisk 25 meter.

Hvert år tapes det et ukjent antall teiner i det norske snøkrabbefisket. Tapte teiner har potensial til å fortsette å fiske også etter at agnet er borte, såkalt spøkelsesfiske. Krabber som ikke klarer å rømme fra tapte teiner vil etter en stund dø (Hébert m.fl. 2001). Spøkelsesfiske representerer derfor et dyrevelferdsmessig problem. Tapt redskap fører også til forsøpling av havbunnen og kan videre føre til nye tap når nytt bruk blir satt i samme område og hekter. I tillegg er det en kilde til utilsiktet dødelig som avhengig av omfanget kan gi tap av potensielt fangstutbytte fra bestanden. Det er ikke gjennomført undersøkelser av redskapstap i Barentshavet, og omfanget er derfor ukjent.

Det er imidlertid hentet opp 1 200 snøkrabbeteiner på Fiskeridirektoratets opprydningstokt i 2019 og 2 400 i 2020, noe som indikerer at problemet er omfattende. I 2021 ble det ikke gjennomført oppryddingstokt på snøkrabbefeltene. I 2022 ble det forsøkt opprensking av snøkrabbeteiner, på samme felt hvor det i flere måneder hadde pågått et intensiv rektrålfiske (Langedal og Skaar 2022). Opprenskingen ble lite effektiv, med fangst av kun 114 teiner og 10 km tauverk. Dette viser at opprensking etter pågående trålaktivitet er lite formålstjenlig. Noe av den gjenstående teinemengden er tatt om bord reketrålerne, mens andre er flyttet til andre områder. Hvor stor andel som er intakt og fortsetter å spøkelsesfiske er usikkert.    

Årsakene til redskapstap kan være flere, for eksempel kutting av overflatevak (blåser/bøyer) fra fartøypropeller eller is, nedsetting fra andre tilstøtende teinelenker, fasthekting på bunn og redskapskonflikter med trålere. Fiskeridirektoratet foretok i 2018 en opprensking av 8 600 snøkrabbeteiner (81 lenker) som hadde stått i 1,5 år (Langedal og Kalvenes 2018), der også HI deltok for å samle fangstdata (Humborstad m.fl. 2021). Alle lenkene hadde fangst med et gjennomsnitt på 3 krabber per teine. Det var stor variasjon mellom lenkene i antall teiner med fangst og antall krabber per teine. Hele 98% av krabbene var levende. Disse resultatene gir et viktig innblikk i potensialet for spøkelsesfiske i Barentshavet, selv etter at teiner har stått lang tid i sjøen. Tilsvarende studier fra andre områder viser at selvegning og skjult beskatning kan være en utfordring i snøkrabbefisket (Hébert m.fl. 2001).

Den beste løsningen for å unngå spøkelsesfiske vil være å unngå tap av redskap i utgangspunktet og å utvikle effektive metoder for gjenfinning i tilfelle tap. Dette har i andre fiskerier vist seg å være krevende, og i flere tilfeller er man avhengig av egne opprenskningstokt der man går på kjente posisjoner for å sokne opp redskapen. Slike tokt utføres i dag for snøkrabbe-, garn- og kongekrabberedskap i regi av Fiskeridirektoratet, men disse toktene er veldig kostbare og vil ikke kunne ta opp all tapt redskap. Det er derfor viktig å forhindre at teiner tapes i utgangspunktet og at teiner som mistes opphører å fiske og slipper ut fangsten.

For å hindre at redskap som likevel går tapt ikke skal fortsette å fiske kan det monteres rømmingshull som aktiveres etter en viss tid i sjøen. Bruk av nedbrytbar tråd for å lisse sammen åpninger i notlinet i teineveggen eller holde på plass luker er en enkel og effektiv metode som er påbudt i flere teinefiskerier i Nord-Amerika og i Norge i fisket etter leppefisk, hummer, kongekrabbe, sjøkreps og taskekrabbe. Valg av trådtype med tanke på holdbarhet og nedbrytningstid vil være et kompromiss mellom ønsket om å redusere omfanget av spøkelsesfiske (kort nedbrytningstid) og hensynet til merarbeidet dette påfører fiskerne (lang holdbarhet). I yrkesfiske er det tillatt å bruke tråd med en diameter på maksimalt 4 mm, med unntak av fisket etter leppefisk der maksimal diameter er 3 mm. Materialet skal være av ubehandlet bomull og tråden skal være uten kjerne.

I Canada er snøkrabbefisket et sesongfiskeri med en varighet på 2-4 måneder, mens det norske fisket har varighet opp mot 9 måneder. Det er gjort målinger av nedbrytningshastighet for samme tråd som benyttes i det kanadiske fisket. Disse målingene ble foretatt i Porsangerfjorden (utsett på 60 m dyp i desember 2016), og viste at tråden var nedbrutt etter rundt 6 måneder i sjøen (Terje Jørgensen, Havforskningsinstituttet; upubliserte data). Kanadiske forsøk på kysten av Newfoundland har vist tilsvarende nedbrytningshastighet (Winger m.fl. 2015), selv om temperaturen her var -1.4 – -0.4 oC, mens den i det norske forsøket var 2-5 oC. De beregnede nedbrytningstidene tar imidlertid ikke høyde for slitasje på tråden fra håndtering av teinene og gnaging fra krabber. Trådens levetid i fiske vil derfor være kortere enn den beregnede nedbrytingstiden.

I 2021 ble det initiert et samarbeid mellom Fiskeridirektoratet og Havforskningsinstituttet for å teste ut bomullstråd som skadebegrensende tiltak i snøkrabbefisket under kommersielle forhold i Barentshavet. Samarbeidet var en del av arbeidspakke 3 (Rømmingsåpninger i tapte teiner) i FHF-prosjektet «Utvikling av et miljøvennlig teinefiske etter snøkrabbe» (FHF-prosjektnummer 901663). Målet med undersøkelsene var å skaffe til veie et bedre kunnskapsgrunnlag for rådgivning om valg av trådtykkelse med tanke på et fremtidig påbud om nedbrytbar tråd i snøkrabbefisket.

4.2 - Materiale og metode

4.2.1 - Feltforsøk 2021 og 2022

Testing av bomullstråd i snøkrabbeteiner ble gjennomført i samarbeid med snøkrabbefartøyet M/S Northeastern (lengde 57,7 m) under ordinært fiske i 2021 (22.02-20.06) og 2022 (15.01.-20.06). Fartøyet fisket da på snøkrabbefeltene i det sentrale Barentshavet (N76o10’6-N76o31’5 og Ø33o5’22-Ø37o59’3) på dyp mellom 250-350 meter.

4.2.2 - Trådbeskrivelse

Det ble i forkant av forsøkene montert bomullstråd av tre ulike tykkelser i 60 teiner, likt fordelt med 20 teiner for hver trådtykkelse. Tråden var laget av ubehandlet (uimpregnert) egyptisk bomull og produsert av Norsk Fletteri AS.

Bildet viser 6 ulike bomullstråder som ble testet i forsøkene
Figur 4.1 Bilde av tråder testet i 2021 og 2022 med angivelse av diameter avrundet til nærmeste 0,1 mm målt ved blyantmetoden (se 4.2.3 Måling av diameter).

Utgangspunktet var at alle trådene skulle være flettet tråd med 8 kordeler og uten kjernetråd (Figur 4.4), men en tråd (Tråd 1 (2,6 mm)) viste seg å ha kjernetråd. Trådtykkelse er et resultat av antall og vekt av fibre som benyttes og hvor hard/stram flettingen er. Sistnevnte gir seg utslag i at tråder med like antall fibre kan ha ulik diameter og Rtex-verdi. Tex-systemet måler den lineære tettheten til tråder, hvor 1 tex= 1g/1000 m for enkeltfiber (Klust 1982). Total tex er definert som summen av lineær tetthet av alle enkeltfibre. Rtex (Resultant tex) benyttes dersom det er det ferdige produktet og ikke enkeltfiber som skal beskrives. Rtex kan derfor være høyere enn total tex. Dette fordi Rtex tar høyde for økningen i lineær tetthet på grunn av slåing eller fletting. Rtex ble målt ved å veie 10 meter av den aktuelle tråden på en digital vekt (Mettler Toledo- ME204, d=0,0001 gram), 5 replikater for hver av de 6 trådene.

4.2.3 - Måling av diameter

All tråd var levert med angivelse av nominell diameter målt med skyvelære (Figur 4.2). Målemetoden baserer seg på at tråden strekkes forsiktig til den er rett og deretter legges i skyvelærets gap som så lukkes inntil tråden så vidt berører sidene på gapet. Hvis tverrsnittet av tråden ikke er sirkulært, måles største og minste bredde og trådens diameter oppgis som middelverdien av disse to målingene. Metoden er enkel, men er beheftet med subjektiv variasjon på grunn av lite standardisering med tanke på strekk og klem av tråd før avlesing.

All tråd ble derfor «kontrollmålt» med blyantmetoden som er en antatt mindre subjektiv metode. Tråddiameter måles da ved å surre tråd stramt rundt en blyant, måle lengden av surringene og dele på antall surringer (Prado and Dremiere,1990). Metoden er spesifisert med midling av 20 surringer. For ny tråd ble det gjort 10 målinger med tråd fra forskjellige steder på samme spole. For å se på en eventuell endring av diameter for tråd som hadde vært i fiske, ble det i 2021 målt 10 tråder fra ulike teiner. På grunn av den korte lengden på de demonterte trådene, ble det for disse målingene kun gjort 10 surringer. Trådene er angitt i rapporten med nummer fra 1 til 6 og diameter målt med blyantmetode i parentes.

En objektiv tredje metode for måling av trådtykkelse er gitt i Ferro (1989) og ble testet for sammenligning med blyantmetoden. Metoden innebærer å strekke tråden til 1% av våt knutebruddstyrke (enkelt flaggstikk) etter prosedyre fra ISO 1805 (2006). Deretter skal tykkelsen måles på tørr tråd ved hjelp av laser mens tråden står i en strekkcelle. Det gjøres 10 målinger på tilfeldige steder langs tråden og deretter på 10 nye punkt fra en måleretning som er forskjøvet 90 grader fra den første serien. Denne metodikken tar hensyn til at tråden kan ha et tverrsnitt som ikke er sirkulært (Ferro 1989). Uten tilgang på lasermåler benyttet vi i stedet en tilnærming med optisk måling fra bilder tatt med et Sony-speilreflekskamera (Figur 4.2). Målingene ble gjort i bildebehandlingsprogrammet ImageJ (Schneider m.fl. 2012).

Bildet viser 3 ulike metoder for måling av tykkelse på tråd
Figur 4.2 . Ulike metoder for måling av trådtykkelse (diameter). Skyvelæremetoden er enkel, men har åpenbart en del usikkerhet knyttet til hvor stramt tråden er strukket og hvor hardt den er presset mot målegapet på skyvelæret. Med skyvelære er det også viktig å måle fra ulike sider om tråden ikke er rund. Eksempelet viser måling av tråd nr. 6 (5 mm), en tråd med tilnærmet rektangulært tverrsnitt. Blyantmetoden med 20 surringer er også en enkel metode, men som for skyvelære vil det uten ytterligere standardisering være variasjon i hvor stramt tråden strekkes under surringen og hvor tett omgangene legges på blyanten. Optisk måling under standardisert strekk anses som den mest objektive metoden, men også den mest tid- og utstyrskrevende.

 

Bildet viser sammenligning av blyantmetode og optisk metode for trådtykkelse
Figur 4.3 Sammenligning av blyant og optisk metode for bestemmelse av diameter.

 

Tråd År Diameter oppgitt nominell Diameter målt blyantmetode Diameter målt optiskmetode Rtex målt Antall fiber A
1 2021 2,5 2,6 2.33 3271 128*
2 2021 3,0** 3,7 3.00 4611 224
3 2021 4,0 3,8 3.02 4678 224
4 2022 2,5 2,5 - 2735 128
5 2022 3,0 2,9 - 3195 192
6 2022 4,0*** 5,0 - 7885 480
Tabell 4.1. Diameter, Rtex og antall fiber. * Denne tråden hadde kjernetråd som var oppbygd av 4 tykkere fiber. **Tråd oppgitt til å være 3 mm i 2021 var tilnærmet identisk med den som var oppgitt til 4 mm. ***Denne tråden ble oppgitt av produsent til å være 4 mm, men var merket med 5 mm inne i spolen.

 

Bilde av oppbygging av flettet bomullstråd
Figur 4.4 Oppbygning av flettet tråd (modifisert fra Klust 1982). Alle trådene hadde samme generelle oppbygning med 8 kordeler, mens tråd 1(2,6 mm) hadde kjernetråd i tillegg.

4.2.4 - Montering av tråd, fiske og registrering

I både 2021 og 2022 ble alle de 60 forsøksteinene satt i samme lenke og egnet med akkar på samme måte som de resterende teinene til fartøyet. Teinene hadde en maskevidde på 140 mm. Lenken med forsøksteinene skulle driftes som under kommersielt fiske. Instruksen gitt til mannskapet var at det ved hver haling skulle noteres hvilke teiner som hadde røket tråd og at denne skulle tas vare på, samt at ny tråd skulle settes inn. Registreringene ble gjort av mannskapet på oppdrag av HI. Bomullstrådene ble montert som vist i Figur 4.5 og Figur 4.6 .

Bilde av en teine med montert bomullstråd
Figur 4.5 Teinene ble nummerert fra 1-60 med tall skrevet med vannfast tusj i kalven. I tillegg var hver teine utstyrt med en fargekode i form av et bendsel som samsvarte med fargekoden på trådnøstet som skulle benyttes når det var behov for å skifte tråden. Bomullstråden ble montert over 3 masker tilsvarende et utslippshull på ca. 45 cm dersom tråden skulle ryke (se detalj Figur 4.6). Tråden ble montert i klatrefeltet mellom 2 stenger på samme side som hanefot var festet for å unngå at fangsten skulle ligge mot tråden under haling.

 

Bomullstråd montert i teine
Figur 4.6 Montering av bomullstråd ble utført ved å kutte 6 stolper (3 masker), knytte tråden i ene enden og deretter tre den gjennom maskene og knyte i andre enden. Monteringen tok ca. 1 minutt per teine etter noe trening.

4.2.5 - Målinger av bruddstyrke

I etterkant av utprøvingen i kommersielt fiske i 2021 ble alle trådene skåret ut av teinene av mannskapet på fiskefartøyet og umiddelbart lagt våte i plastposer og sendt til Bergen for måling av bruddstyrke. Målingene ble utført hos Norsk Fletteri AS hvor vi leide en hydraulisk strekkbenk med et påmontert digitalt tensiometer (Sauter model FH 1K, max 1000 N, KERN & SOHN GmbH, Balingen, Tyskland). Etter ankomst Bergen ble trådene lagt på kjøl og av logistiske årsaker ikke testet før 2 måneder etter forsøksslutt.

I 2022 ble det kjøpt inn en elektrisk digital strekkcelle (Sauter TVO 2000N500S; Figur 4.7) og montert et tilsvarende tensiometer som i 2021. Strekkcellen har mulighet for styring av strekkhastighet fra 10-1000 mm per minutt og er beregnet for trådstyrke opp til 2000 N, tilsvarende ca. 200 kg. Strekkhastigheten var i alle målinger med ny strekkcelle standardisert til 100 mm per minutt.

I 2022 ble strekkcellen medbrakt av Havforskningsinstituttet på forskningstokt med F/F Kristine Bonnevie som halte teinene som var satt igjen av fiskefartøyet. Fangsten ble registrert og trådene ble umiddelbart skåret ut og oppbevart i sjøvann på dekk inntil bruddstyrken ble målt innen 12 timer etter haling.

Bilde av strekkcelle benyttet til beregning av bruddstyrke
Figur 4.7 Elektrisk strekkcelle med steppermotor, spesifikt laget for testing av strekk og bruddstyrke. Her ble det montert samme tensiometer som på den hydrauliske strekkcellen benyttet i 2021.

4.3 - Resultater

4.3.1 - Minimum varighet av bomullstråd

I 2021 ble teinelenken satt og halt til sammen 13 ganger over en periode på 118 dager hvorav 99 døgn var aktive fiskedøgn. Tiden teinene ikke var i sjøen var fartøyet i transitt mellom ulike fiskefelt. Ståtid varierte mellom 3 og 17 dager. Ingen av trådene var røket ved forsøksslutt. I praksis betyr det at trådtykkelsene som ble testet vil vare i minst 4 måneder i et ordinært fiskeri.

I 2022 ble teinelenken også satt og halt til sammen 13 ganger over en periode på 156 dager hvorav 147 døgn var aktive fiskedøgn. Ståtid varierte mellom 4 og 25 dager. Ved forsøkslutt var tråden røket i en teine med 2,5 mm bomullstråd. Denne teina var uten fangst. I praksis betyr det at de to tykkeste trådene (tråd 5 (2,9 mm) og tråd 6 (5 mm)) vil vare i minst 5 måneder, mens den tynneste (tråd 4 (2,5 mm)) vil vare i minst 4,5 måneder før første forventede brudd.

Alle trådene var etter fiske blitt mørkere i farge og noe oppfliset, men bar ikke preg av å være veldig slitt (Figur 4.8). Trådene så ikke ut til å være mer slitt eller ha forskjellig diameter på kontaktpunktene hvor de var tredd gjennom maskene i sideflata på teina.

Bilde av bomullstråd før og etter utprøving i fiske
Figur 4.8 Tråd nr. 2 (3,7 mm) før og etter fiske i 2021.

4.3.2 - Bruddstyrke våt og tørr tråd

Målinger av bruddstyrke gjort i tørr og våt (lagt i vann i 4oC i 24 timer) tilstand av alle trådtypene benyttet i forsøkene er vist i Figur 4.9 . Disse målingene viser at våt tråd er sterkere enn tørr tråd. For trådene uten kjerne var bruddstyrken i snitt 28 % (24 – 32 %) sterkere i våt tilstand. Målingene viser også at det er forskjell mellom alle trådene unntatt mellom tråd 2 (3,7 mm) og 3 (3,8 mm) som etter kontrollmålinger av diameter og sammenligning av Rtex viste seg å ha tilnærmet identiske dimensjoner.

Bidet viser sammenligning av bruddstyrke for 6 ulike tråder i våt tilstand, tørr tilstand og etter fiske
Figur 4. 9 Sammenligning av bruddstyrke for trådene som ble benyttet i 2021 og 2022 i tørr og våt tilstand. I 2021 var trådene fuktige, mens de i 2022 var våte under målingene. Ståtiden var også kortere i 2021.

4.3.3 - Styrke etter fiske og estimert varighet

Det var ikke signifikant forskjell i bruddstyrke mellom trådene 1-3 etter 118 dager i fiske (2021, Figur 4.9). Bruddstyrken var da ca. 200 N for alle tre trådtykkelsene (Tabell 4.2). Bruddstyrken var ikke forskjellige for tråd 4 (2,5 mm) og 5 (2,9 mm) etter 156 dager i sjøen, mens de var signifikant forskjellige fra bruddstyrken for tråd 6 (5 mm). Bruddstyrke var ca. 100 N for tråd 4 (2,5 mm) og 5 (2,9 mm) og 3 ganger høyere for tråd 6 (5 mm).

Tråd (diameter) Gjennomsnittlig våt bruddstyrke (Newton) Gjennomsnittlig bruddstyrke etter fiske (Newton) %tap av bruddstyrke i forsøket (sammenlignet med ny våt tråd) Gjennomsnittlig %vis tap av styrke per dag
1 (2,6mm) 669.2 196.1 70.70 0.60
2 (3,7mm) 1011.4 221.6 78.09 0.66
3 (3,8mm) 1031.3 199.3 80.67 0.68
4 (2,5mm) 509.0 82 83.89 0.54
5 (2,9mm) 615.5 97.9 84.09 0.54
6 (5,0mm) 1859.9 323.7 82.60 0.53

Tabell 4.2. Bruddstyrke før og etter fiske (118 dager i 2021 og 156 dager i 2022) og prosentvis tap av styrke.

4.4 - Diskusjon

4.4.1 - Måling av diameter

Forsøkene viser at målt trådtykkelse er avhengig av målemetode og at de enkle og mest brukte målemetodene er usikre og utsatt for subjektiv variasjon. Skyvelæremetoden er ikke en anbefalt metode, spesielt ikke for løst slått tråd hvor grad av strekk på tråden og kraft på skyvelæret kan påvirke målingene mye. I tillegg kommer utfordringer ved måling av tråd som ikke er rund (Figur 4.2). Blyantmetoden er en bedre metode da den midler over 20 målinger og er beskrevet i litteraturen (Prado og Dremiere 1990). Hovedutfordring med blyantmetode er at det ikke er noen angivelse av hvor mye strekk det skal være på tråden når den vindes rundt blyanten. Målingene i vårt forsøk ble derfor utført av samme person for at målingene skulle bli utført så likt som mulig. Den mest objektive metoden er optisk måling eller lasermåling av diameteren (Ferro 1989). Her vil man kunne følge en detaljert standard som tar høyde både for strekk og avvik fra rundt tverrsnitt og unngår subjektiv variasjon. Metoden er imidlertid ikke egnet for praktisk bruk da den krever kostbart utstyr og er tidkrevende. Måleverdiene en får ved bruk av de to sistnevnte metodene er også vesentlig lavere enn det som oppnås med bruk av skyvelær eller blyantmetoden (Tabell 4.1, Figur 4.3).

Det var flere avvik mellom oppgitt diameter fra produsent og målt diameter med blyantmetoden (Tabell 4.1). I 2021 førte dette til at tråd som ifølge produsent skulle være hhv 3 og 4 mm begge ble målt til samme diameter med både blyantmetoden (~4 mm) og den optiske metoden (3mm). Målinger av Rtex (Tabell 4.1) viste også bare små forskjeller mellom de to trådene.

For trådene som var benyttet i fiskeforsøkene ble diameteren ikke redusert i løpet av forsøksperioden. Forklaringen ligger trolig i at selv om tråden brytes ned, så sveller den ca 10% i vann (Klust 1982), og oppflising vil også kunne føre til større diameter. Det ble ikke gjort måling av Rtex etter fiskeperioden da trådene var for korte til å gi nøyaktige målinger.

4.4.2 - Målinger av bruddstyrke

Samme tråd hadde 28% høyere bruddstyrke i våt tilstand enn i tørr tilstand. Dette må tas hensyn til ved sammenligning av tråder. For tråd som har vært i fiske er det videre viktig at man får gjennomført restbruddstyrkemålingene så raskt som mulig, siden råtneprosessen kan fortsette helt til tråden tørker opp (Klust 1982). I 2021 var trådene som ble målt etter avsluttet fiske fuktige/halvtørre under testing noe som i kombinasjon med testing lenge etter avsluttet fiskeforsøk kan ha påvirket målingene. Den målte restbruddstyrken for trådene som ble testet i 2021-forsøket er derfor trolig underestimert i forhold til faktisk bruddstyrke på tråden ved avslutning av fisket.

4.4.3 - Minimum varighet av bomullstråd

Med unntak av tråden med kjerne vil alle trådene som ble testet være kandidater for å implementeres i fiske. Ingen av trådene vil under tilsvarende bruk ryke før tidligst etter 4 måneder. Trådene uten kjerne hadde ved forsøkslutt ca. 20% bruddstyrke som indikerer at de ville kunne vare lengre før brudd, mens tråd med kjerne hadde ca 30% resterende bruddstyrke. Selv om det er rapportert lineær nedbrytingsrate av noen (Winger m.fl. 2015; Araya-Scmidt m.fl. 2019; Lopez m.fl. 2019) så er det så er det av andre konkludert med at det ikke er det (Wang m.fl. 2021; Barnard 2008) noe som sammenfaller med data innsamlet ved HI (Terje Jørgensen, Havforskningsinstituttet; upubliserte data). Siden vi bare hadde start og slutt bruddstyrke i forsøkene våre kan vi ikke gi noe godt estimat på når tråden vil ryke. Det er uansett anbefalt å foreta trådskifte i god tid før bruddstyrke nærmer seg 0, da det ikke er godt undersøkt hvilken effekt fysisk påvirkning fra fangstmengde, håndtering og fiske i isen har på holdbarheten.

Forsøkene i 2021 viste at en 2,5 mm tråd (tråd 1) med kjernetråd brytes saktere ned (70% reduksjon i bruddstyrke) og ville sannsynligvis vart lengre enn 4 mm trådene (tråd 2 og 3, 80% reduksjon i bruddstyrke). Årsaken til dette er sannsynligvis at kjernetråden ikke kommer i kontakt med sjøvann før etter lang tids nedbryting, kjernetråden var også bygd opp av tykkere fiber. I tråd uten kjernetråd vil alle kordelene bli eksponert for sjøvann langs de områdene hvor de ligger ytterst på tråden (Figur 4.10). Det er ikke anbefalt å bruke bomullstråd med kjerne siden dette vil forsinke nedbrytningen. Det er også verdt å merke seg at tråden som ble benyttet i forsøket var flettet, og vi kan ikke ukritisk overføre resultatene til bomullstråd som er slått.

Bildet viser oppbygging av bomullstråd med kjernetråd
Figur 4.10 Kjernetråden i en flettet tråd ligger godt beskyttet, mens de flettede kordelene vil være mer eksponert mot sjøvann. Kjernetråd anbefales derfor ikke.

4.4.4 - Montering av bomullstråd

Trådene hadde lite synlige tegn på slitasje som indikerer at med rett montering er gnag og slitasje fra håndtering og fangst lav. Fangstene ble ikke registrert spesifikt for forsøksteinene men siden de var av samme type som resten av teinene og ble satt i samme områder med samme agn så er det grunn til å anta at belastningen på forsøkteiner er representative for kommersielt fiske. Montering av bomullstråd på den sideflaten av teina hvor krabbene ikke samler seg under haling er i samsvar med råd fra fiskerne. Vi har ikke undersøkt om monteringssted påvirker holdbarheten til tråden. Fiskere har imidlertid observert brudd under ombordtaking når tråden var montert på sideflaten der krabbene samlet seg, mens dette ikke ble observert ved den diamentralt motsatte plasseringen av bomullstråden (Atle Forland; skipper MS Northeastern pers. med). Montering av rømmingshullet minst 10 cm opp fra bunnrammen er viktig for å unngå at åpningen blir blokkert hvis teina synker ned i bunnsedimentet. Den begrensende fysiske faktoren for rømming er skallengde til krabben (se figurer i Herrmann m.fl. 2021). Den største krabben fanget på forskningstoktene med Kristine Bonnevie i 2020-2022 hadde en skallbredde på 15 cm, tilsvarende en skallengde på 16,3 cm (basert på omregningsfaktor gitt i Winger og Walsh (2007)). Tar man høyde for at det kan finnes større individer og øker denne verdien med 20%, blir maksimal skallengde 19,56 cm. Siden maskevidden varierer noe i de ulike teinetypene som benyttes i Barentshavet, anbefales det å bruke samme metodikk som for andre teinefiskerier, hvor rømmingshullets minste størrelse er spesifisert ved at en sylinder med gitt diameter skal kunne tres gjennom hullet. Som vist i Figur 4.11 så vil et hull tilpasset en sylinder på 20 cm i diameter tilsvare at 3 stolper skjæres bort i en teine med 140 mm maskevidde. Få skårne stolper vil medføre mindre arbeid ved montering av bomullstråden.

Bildet viser en monteringsanvisning for bomullstråd i teiner
Figur 4.11 Rømmingshull tilpasset passasje av krabbe med maks skallengde på 20 cm montert i teiner med 140 mm maskevidde.

4.4.5 - Valg av bomullstråd og veien videre

Med unntak av tråden med kjerne vil alle trådene som ble testet være kandidater for å implementeres i snøkrabbefisket, alle med en varighet på minimum 4 måneder. Med to fiskesesonger og en fredningsperiode i mellom (1.juli-31.oktober), må det påregnes å skifte tråd før hver ny sesong og en gang ekstra i løpet av vårsesongen. Hvor mange trådbytter som er påkrevd i løpet av et år vil likevel avhenge av varigheten av fiskesesongene. Eksempelvis ville det for inneværende år (2023) ha vært tilstrekkelig å montere tråd i forkant av fisket i januar da fisket ble avsluttet 3. april.

Forsøkene viser at tråddiametermålinger med enkle metoder (skyvelær eller blyantmetoden) er svært usikre. Dessuten forteller ikke diameter hvor hardt flettet eller slått tråden er, noe som i stor grad påvirker mengde trådfiber per lengdeenhet og hvor eksponert trådfibrene er for vannmassene (og dermed de cellulosespisende mikroorganismene). Begge forhold påvirker sannsynligvis bruddstyrke og nedbrytningstid. Tråder med samme oppgitte diameter vil derfor kunne ha markant forskjellige egenskaper som nedbrytbartråd. Pågående arbeid indikerer at spesifikasjon av total tex (som angir relativ trådmasse) og Rtex (som angir hvor komprimert trådmassen er) kan være påkrevd for en nøyaktig angivelse av fysiske egenskaper for en tråd. Men selv med en god beskrivelse av trådens fysiske egenskaper før den settes i havet, vil man få variasjon i spøkelsesfisketid for tråd med identisk spesifikasjoner (Terje Jørgensen, Havforskningsinstituttet; upubliserte data). Bomullskvalitet vil også ha betydning for styrke og nedbrytningsrate, og denne varier mellom sorter av bomullsplanten og med varierende vekstforhold (Hussein m.fl. 2022). Vi kan derfor ikke nødvendigvis direkte overføre våre funn til tråd av andre fabrikat. Dessuten avhenger nedbrytningstiden også av miljøforholdene der det fiskes (jfr ”rottening power of the water”; Klust 1982). Slitasje kan også variere med fiskeområde og fartøyspesifikke forhold. Videre så er det ikke lenger slitasje fra setting/haling, håndtering etc. etter at teina er tapt noe som kan tenkes å redusere nedbrytingsrate av bomullstråd.

Forsøkene har vist at diameter er en lite eksakt angivelse av bruddstyrke og levetid for en bomullstråd. Dette kan gi betydelig variasjon i nedbrytningtid for tråd med samme diameter. For å sikre aksept for bruk av nedbrytbar tråd i næringen er det viktig at tråd med samme spesifikasjon har mest mulig like egenskaper, slik at bruk av tråd med samme spesifikasjon gir samme levetid, og slik at resultater oppnådd i forsøk også har gyldighet i ordinært fiske. Som nevnt over krever dette angivelse av total tex og Rtex. Inntil dette er på plass fra produsentene, vil det likevel være hensiktsmessig å innføre krav om bomullstråd basert på diameterangivelse for å sikre minst mulig omfang på spøkelsesfiske, selv om kan resultere i høyere variasjon i spøkelsesfisketid enn tilfellet ville vært for en tråd med mer nøyaktige spesifikasjoner. Det er ellers verd å merke at regelverket i for eksempel i Nord-Amerika er basert på maksimalt tillatt tråddiameter eller trådnummer. For eksempel er det for det canadiske snøkrabbefisket angitt bruk av en “soft laid, untreated 96-thread cotton twine”.

Basert på feltforsøkene vi har gjort, anbefales det som et føre-var-tiltak å montere en flettet, ubehandlet bomullstråd uten kjernetråd med maksimalt 4 mm diameter målt med blyantmetode (tilsvarende 3 mm med optisk målemetode) og en Rtex på maksimalt 5000 g/1000 m. Angivelsen av en maksimal Rtex i tillegg til diameter er gjort for å sikre at det ikke benyttes svært hardt flettede tråder som forventes å ha vesentlig lengre nedbrytningstider enn de vi har testet. Det er ikke gjort forsøk med slått tråd av tilsvarende dimensjon/Rtex som den flettede, og følgelig kan vi ikke gi anbefalinger for slik tråd. Slått tråd kan imidlertid være aktuell, og 4 mm slått tråd er som nevnt over brukt i det canadiske snøkrabbefisket.

5 - AP4: Undervannsbøye med akustisk utløser-IceCatcher

5.1 - Innledning

Den beste løsningen for å unngå spøkelsesfiske vil være å unngå tap av redskap i utgangspunktet og å utvikle effektive metoder for gjenfinning i tilfelle tap. En prototype undervannsbøye er utviklet for å løse dette problemet. Funksjonstesting i 2019 avdekket svakheter med signalmottak og en videreutviklet versjon av systemet ble testet ut i 2020 og 2021. Bøyen skal forhindre tap av teinelenker på grunn av drivis som sliter av iletauene som er en av hovedårsakene til redskapstap i snøkrabbefisket.

5.2 - Materiale og metoder

Systemet består av en beholder med tau, kuler til oppdrift og akustisk utløser (Figur 5.1). Beholderen festes til et iletau hvor lengde tilpasses dyp slik at den blir stående 30-50 m under overflaten uten fare for hekting i drivis og dypt nok til å unngå kontakt med skipstrafikk. Et akustisk signal fra en sender om bord i båten løser ut tauet og fløyt (2 trålkuler 11``) flyter opp til overflaten. Løsningen kan enkelt bygges og tilpasses ulike dyp ved å regulere lengde på beholder og/eller tykkelse på tau. For vårt formål i snøkrabbefiskeret var kriteriene at beholderen måtte romme minimum 50 m med 10 mm dynema tau (spectra) med 10 tonn bruddstyrke for å kunne tåle belastning av teinelenkene under haling. Dynema ble videre valgt fordi den har høy bruddstyrke i forhold til tykkelse og størrelsen på bøyen kan derfor være relativt liten. Videre måtte beholder for tau og beskyttelse av akustisk enhet være robust slik at den tålte påkjenning under harde vær- og isforhold. Beholderen ble derfor bygget av kraftig polyetylen (PE) rør med 200 mm diameter og 20 mm godstykkelse og 600 mm lengde og med et indre 100 mm PE rør til utløseren. Når beholderen var ferdig utformet med bunn og lokk ble det dreid en overgang til innerrøret for en solid tilkobling som skulle tåle slag og belastningen under utsetting og hiving. For å minimere muligheten for skader på utløser ble den i første versjon bygget inn og beskyttet med en kappe av PE materialer over mottakeren. I neste versjon ble denne erstattet med en stålbøye.

Bildet viser en prisnippskisse av en undervannsbøye og foto av bøyen.
Figur 5.1 Venstre: Prinsippskisse undervannsbøye med akustisk utløser. Høyre: Bilde av IceCatcher systemet.

For å løse ut kuler fra bøyen ble det benyttet en akustisk utløser (Vemco ASCENT AR-2). Dette er en utløserenhet som i utgangspunktet er ment for utstasjonering under vann for å lese fiskemerker med RFiD teknologi. Den kan lagre data i opptil 5 år før den må bringes til overflaten for å laste ned disse dataene. For å forenkle metoden knyttet til oppankring og opphenting av enheten er den utstyrt med en utløsningsmekanisme som styres fra overflaten via en akustisk kommunikasjons link. Det er denne funksjonaliteten på ASCENT AR-2 som er benyttet i IceCatcher bøyen. Styringen av utløsningsmekanismen gjøres fra overflaten fra en egen dekksenhet som er tilkoblet en hydrofon (Figur 5.2) . Mekanismen er en skrue som skrur seg ut og til slutt separerer et øye fra enheten. Mellom hydrofonen og AR-2 benyttes det lydbølger som sendes igjennom sjøen for kommunikasjon. Frekvensområdet til disse lydbølgene er i området 70kHz, som er en frekvens som skal gi en relativt god rekkevidde avhengig av forhold (ca. 1000 m ved gode forhold). Denne kommunikasjonen er to-veis, noe som medfører at man kan både sende data til utløseren og motta data fra denne. Hydrofonen har 25 m kabel som muliggjør å justere dybden den sender fra. Både hydrofon og AR-2 har såkalt omnidireksjonal transmisjonskarakteristikk som vil si at den kan sende og motta i alle retninger i sjøen.

Før setting ble Dyneema tauet pakket omhyggelig i enheten før den ble montert sammen og festet til oppstøet på teinelenken med en C-krok for å forenkle avkobling ved haling av lenken. Enheten ble halt ut fra dekk som siste del av lenken. Ved utløsing av IceCatcher før haling av teinelenken beveget båten seg til posisjonen merket i kartet ved utsett. Ved mellom 100 og 200 m avstand mot styrbord ble hydrofonen senket til 10 m dybde. Det ble så sendt kommando til enheten om å løse ut. Det tar ca. 20 sekunder fra kommando er sendt til enheten faktisk er utløst.

Bildet viser akustisk utløser
Figur 5.2 Dekksenhet koblet til ledning og hydrofon og Ar-2 (utløser) som ble bygd inn i undervannsbøyen.

 

Bildet viser foto og rigging av akustisk undervannsbøye samt skjermdump av AIS bøye fra kartplotter på fartøy
Figur 5.3 Oppe venstre: Dynema tau kveiles rundt den indre beholderen som beskytter den akustiske utløseren. På bildet er det en beskyttelseskappe rundt utløserenheten som ble fjernet da den forstyrret mottak. Lengden på tau tilpasses til settedyp slik at kulene når overflaten med god margin ved utløsning av enheten. Nederst: Skjermdump som viser ved hjelp av AIS (Matsutec HAB-80 AIS Fishing Net Bouy) at IceCatcher er kommet til overflaten.

I 2021 om bord på RV Kristine Bonnevie ble det gjort forsøk med en AIS-transponder på en av IceCatcher enhetene. Utfordringer med å finne en AIS som kunne tåle å være under vann på ca. 30 m dybde gjorde at det ble bygget om en Matsutec HAB-80 AIS Fishing Net Bouy til dette formålet. Denne er beregnet til montering på fiskegarn eller bøyer i overflaten. Den kommer ferdig med programvare der brukeren selv kan konfigurere MMSI nummer, navn på fartøy etc. Den har oppladbart batteri som har en levetid på 240 timer med sendeintervall på 3 minutter. Rekkevidde på 8 nm og en vekt på 500 g. Denne ble demontert og satt inn i en vanntett beholder for å kunne oppbevares på 50 m dyp. Siden den hadde god batteritid, ble den ikke utstyrt med noen form for av/på bryter. Den ble slått på før utsett og lå og sendte i vannmassene på 30-50 m i de 2-3 døgnene før røkting. Den kom opp på kartene så snart den var kommet til overflaten.

De praktiske testene ble utført på snøkrabbetokt med F/F «Kristine Bonnevie» i 2020 og 2021. Forsøkene ble foretatt på tre lenker med 50 snøkrabbeteiner i hver lenke. Rigging av teinelenke fulgte standard oppsett med fløyt, sjøhund, 110 m lengde 18 mm synketau, 170 m lengde 18 mm flytetau og en dregg på ca. 50 kg i den første enden. Den akustiske bøyen ble festet i enden av et 170 m langt flytetau med sjøhund i den andre enden av teinelenken. (Se Figur 5.4).

Bildet viser prisnippskisse av akustisk undervannsbøye benyttet på en teinelenke i isfylte farvann.
Figur 5.4 Prinsippskisse for sjøtester av bøyen. Det ble rigget en sjøhund for å ta av for strøm og bevegelse slik at den akustiske bøyen skulle stå noenlunde loddrett og rolig i sjøen.

5.3 - Resultater

Det ble gjort 9 tester i 2020. Oversikt over testene med rigging og antall forsøk på å løse ut er gitt i Tabell 5.1. I tre av testene ble det gjort 10 eller flere forsøk på å løse ut hvorav 2 tilfeller ikke løste ut.

Det viste seg at all akustisk instrumentering om bord på skipet burde slåes av for å ikke forstyrre kommunikasjonen mellom hydrofon og ASCENT AR-2 enheten. Tilsynelatende hjalp dette på kommunikasjonen, men selv med akustikk avslått var det kommunikasjonsutfordringer mellom dekksenhet og bøyen. Videre viste det seg at utstyret var litt følsomt for følgende forhold:

  • avstand mellom hydrofon og AR-2,

  • dybde hydrofonen ble senket til

  • dybden IceCatcher (AR-2) befant seg på.

Det siste punket omfatter refleksjon av lydbølger mot havflaten og spredningen av disse når man sender horisontalt i vannmassene. I tillegg var det montert en beskyttelseskappe i plastmateriale rundt mottakerelementet på AR-2 enheten for å forhindre slag mot denne. Denne ble det knyttet usikkerhet til om kunne påvirke kommunikasjonen negativt, og det ble besluttet at den skulle erstattes med en metalbøyle. I 2021 ble det gjennomført 12 tester hvor enheten ble løst ut i alle (Tabell 5.2). I noen tilfeller ble den løst ut på første forsøk, mens man i andre trengte inntil 3 forsøk med endring av dybde på hydrofon, justering av skipets posisjon (drev for langt bort pga vind og strøm) eller avslåing av akustisk instrumenter i de tilfeller en hadde glemt dette.

2020
Dato Operasjon Lenke IceCatcher Iletau Dybde   Avstand (rett linje) Utløst Antall forsøk Kommentar
27.06 Utsett 1 4 190 222        
27.06 Utsett 2 3 170 200        
27.06 Utsett 3 5 170 208        
29.06 Røkting 1       90 Ja 10 Første test. Erfaring: All akustisk instrumentering bør slås av
29.06 Røkting 2       192 Ja 1  
29.06 Røkting 3       142 Ja 1  
29.06 Utsett 1 4 190 203        
29.06 Utsett 2 3 190 219        
29.06 Utsett 3 5 220 232        
02.07 Røkting 3       192 Ja 2 Akustisk instrumentering ikke slått av
02.07 Røkting 2       100 Nei 10+ antatt 100m fra bøye
02.07 Røkting 1       160 Ja 2  
03.07 Utsett 1 5 190 203        
03.07 Utsett 2 3 190 219        
03.07 Utsett 3 NA (ARC) 220 232        
05.07 Røkting 1 5     # Nei 10+  
06.07 Røkting 2 3     118 Ja 1  
06.07 Røkting 3 NA (ARC)     180 Ja 1  

Tabell 5.1 Oversikt over forsøksoppsett og resultater fra forsøkene med IceCatcher om bord i RV Kristine Bonnevie i 2020.

2021
Dato Operasjon Lenke Icecatcher Iletau Dybde Avstand (rett linje) Utløst Antall forsøk Kommentar
29.05 Utsett 1 5 230 250        

29.05

Utsett 2 3 225 250        
29.05 Utsett 3 4 230 250        
31.05 Røkting 1       # Ja 1  
31.05 Røkting 2       # Ja 1  
31.05 Røkting 3       # Ja 1 For langt iletau. Lå i overflaten
01.06 Utsett 1 4 # 220        
01.06 Utsett 2 3 # 220        
01.06 Utsett 3 5 # 220        
04.06 Røkting 1       150 Ja 3 Akustisk instrumentering ikke slått av
04.06 Røkting 2       141 Ja 3 Akustisk instrumentering ikke slått av
04.06 Røkting 3       147 Ja 1 Akustisk instrumentering ikke slått av. Forsøkte først på 450m avstand -> neg. resultat
05.06 Utsett 1 3 # 240        
05.06 Utsett 2 4 # 250        
05.06 Utsett 3 5 # 280       AIS montert mellom kuler på IceCatcher
07.06 Røkting 1       296 Ja 3 Akustisk instrumentering ikke slått av
07.06 Røkting 2       218 Ja 3 Akustisk instrumentering ikke slått av. Stod for dypt 70m -> kom ikke til overflaten
07.06 Røkting 3       103 Ja 3 Akustisk instrumentering ikke slått av AIS kom opp på OLEX etter ca 3 minutter
08.06 Utsett 1 3 # 285        
08.06 Utsett 2 4 # 290        
08.06 Utsett 3 5 # 280       AIS montert mellom kuler på IceCatcher
10.06 Røkting 1       163 Ja 3 Akustisk instrumentering ikke slått av
10.06 Røkting 2       140 Ja 2  
10.06 Røkting 3       194 Ja 1 AIS kom opp på OLEX etter ca 3 minutter

Tabell 5.2 Oversikt over forsøksoppsett og resultater fra forsøkene med IceCatcher om bord i RV Kristine Bonnevie i 2021.

5.4 - Diskusjon

Forsøkene i 2020 viste at det var vanskelig å få kontakt med utløser og at det ofte måtte mange forsøk til for å få løst ut. En av grunnene var at IceCatcher- enheten tidvis var plassert grunt i vannmassene. Dette gjorde at signalene mellom hydrofon (dekksenhet) og utløser sendes horisontalt og nær overflaten slik at man risikerer å få mye refleksjoner. Dette kan løses ved å plassere IceCatcher dypere, men det igjen fører til at det må installeres mer tau i enheten som det ikke er plass til i nåværende utførelse. For å kunne benytte et slikt system er det viktig at plassering av enhet og lengde på tau tilpasses i hvert tilfelle til fiskedyp og at fløyt på IceCatcher er tilstrekkelig for at ikke strøm skal presse bøyen for langt ned. Ved ett tilfelle fløt tauet i overflaten pga for grunn plassering av enheten. Slik montering utgjør en fare for hekting av fartøy.

En annen årsak til dårlig signal var beskyttelseskragen i PE plast som omkranset mottakeren på AR-2 enheten. Tiltaket med å bytte beskyttelseskragen i plast til en bøyle i metall virker å ha gitt ønsket effekt med hensyn til å forbedre mottak av akustiske signaler. Til og med når bøyen lå i overflaten (lenke 3 31/5-21) fikk man løst ut. Akustisk instrumentering om bord på RV Kristine Bonnevie (Ekkolodd, ADCP, Hi-PaP og lignende) stod på under flesteparten av forsøkene i 2021 (alle utenom de 2 siste) og dette førte trolig til at det måtte flere forsøk til for å få løst ut bøyene.

Forsøkene viser at en AIS-sender vil gi verdifull sporbarhet når IceCatcher er løst ut og kommer til overflaten. Dette vil være en viktig egenskap for å lokalisere bruket i overflaten ved fiske som foregår i mørketid og blant drivis. AIS enheten som ble brukt i disse forsøkene var montert i en vanntett beholder og var påslått hele tiden under fisket. Det ville vært naturlig at den var styrt med en trykkbryter som aktiverer den i overflaten for å spare batteri. Per i dag har vi ikke kunnet finne en kommersielt tilgjengelig AIS-enhet som er designet for nedsenking i vann under 50 m over tid.

Prototype fremstilling og tester var i all hovedsak positive. Beholder, innfesting og kveiling av tau kan trolig benyttes videre i kommersielle versjoner uten store tilpasninger, men det akustiske utstyret er for teknisk utfordrende, komplisert og lite brukervennlig. Videre forsøk bør gjøres i kommersielt fiske der en har drivis.

6 - Takk

Takk til Fiskeri- og Havbruksnæringens Forskningsfinansiering (FHF) for finansiering av prosjektet «Utvikling av et miljøvennlig teinefiske etter snøkrabbe» (prosjekt 901663). Takk til Opilio AS og mannskapet ombord på snøkrabbefartøyet Northeastern for godt utført oppdrag for Havforskningsinstituttet. Takk til Gjermund Langedal i Fiskeridirektoratet som tok initiativ til undersøkelsene om bord på Northeastern og bidrog til finansiering av fartøyleie gjennom Ordningen med fiskeforsøk og utviklingstiltak. Takk til skippere og mannskap ombord på forskningsfartøyet Kristine Bonnevie for profesjonell utførelse av oppdrag med teinesetting og haling, en fornøyelse å være ombord. Takk også til HI teamet fra Tromsø: Ann Merete Hjelset, Hanna Ellerine Helle Danielsen, Maria Jenssen, Sten-Richard Birkely og Mona Maria Fuhrmann for fabelaktig hjelp til opparbeiding av fangstene under forsøkene på Kristine Bonnevie.

7 - Referanser

Anders, N., Arnesen, K., Hustad, A., Jørgensen, T., Løkkeborg, S., Siikavuopio, S., ... & Utne-Palm, A. C. (2023). Improving size selection in the Norwegian red king crab (Paralithodes camtschaticus) fishery through modification to pot design and soak time. Fisheries Research, 261, 106641.

Anders, N., Ingolfsson, O.A., Jørgensen, T., Løkkeborg, S. & Humborstad, O.-B. (2022). Investigating the potential of escape openings and reduced mesh size to optimize snow crab (Chionoecetes opilio) pot catches in the Barents Sea. Fisheries Research, 258, 106517.https://doi.org/10.1016/j.fishres.2022.106517 .

Araya-Schmidt, T., & Queirolo, D. (2019). Breaking strength evaluation of biodegradable twines to reduce ghost fishing in the pot and trap fisheries of Chile. Latin american journal of aquatic research, 47(1), 201-205.

Barnard, D. R. (2008). Biodegradable twine report to the Alaska Board of Fisheries. Alaska Department of Fish and Game, Division of Sport Fish, Research and Technical Services.

Ferro, R. S. T. (1989). Objective measurement of the thickness of netting twine used in the fishing industry. Fisheries Research, 8(2), 103-112.

Hebert, M., Miron, G., Moriyasu, M., Vienneau, R., & DeGrâce, P. (2001). Efficiency and ghost fishing of snow crab (Chionoecetes opilio) traps in the Gulf of St. Lawrence. Fisheries Research, 52(3), 143-153.

Herrmann, B., Grimaldo, E., Brčić, J., & Cerbule, K. (2021). Modelling the effect of mesh size and opening angle on size selection and capture pattern in a snow crab (Chionoecetes opilio) pot fishery. Ocean & Coastal Management, 201, 105495.

Herrmann, B., Krag, L. A., Frandsen, R. P., Madsen, N., Lundgren, B., & Stæhr, K. J. (2009). Prediction of selectivity from morphological conditions: methodology and a case study on cod (Gadus morhua). Fisheries Research, 97(1-2), 59-71.

Humborstad, O.B., Eliassen, L. K., Siikavuopio, S. I., Løkkeborg, S., Ingolfsson, O. A., & Hjelset, A. M. (2021). Catches in abandoned snow crab (Chionoecetes opilio) pots in the Barents Sea. Marine Pollution Bulletin, 173, 113001.

Hussein, A., Sajid, M., Iqbal, D., Sarwar, M.I., Farooq, A., Siddique, A., Khan, M.Q., & Kim. I.-S. (2022). Impact of novel varietal and regional differences on cotton fiber quality characteristics. Materials (Basel), 15(9), 3242. doi: 10.3390/ma15093242.

ISO 1805, (2006). Fishing nets - Determination of breaking force of netting yarns.

Klust, G. (1982). Netting materials for fishing gear. 2nd edition. Fishing News Books Ltd.

Langedal, G., & Kalvenes, O. (2018). Oppreinsking gjenstående snøkrabbeteiner. Rapport fra Fiskeridirektoratet.

Langedal, G., & Skaar, K.L. Oppreinsing av tapte fiskeredskaper 2022. Rapport frå Fiskeridirektoratet.

Lopez, J., Ferarios, J. M., Santiago, J., Ubis, M., Moreno, G., & Murua, H. (2019). Evaluating potential biodegradable twines for use in the tropical tuna FAD fishery. Fisheries Research, 219, 105321.

Nguyen, K.Q., Humborstad, O.B., Løkkeborg, S., Winger, P.D. & Bayse, S.M. (2019). Effect of light-emitting diodes (LEDs) on snow crab catch rates in the Nguyen KQ, Humborstad OB, Løkkeborg S, Winger PD and Bayse SM 2019. Effect of light-emitting diodes (LEDs) on snow crab catch rates in the Barents Sea pot fishery. ICES Journal of Marine Science. https://doi.org/10.1093/icesjms/fsz062

Prado, J., & Dremiere, P. Y. (1990). Fisherman's Workbook. Fishing News Books .

Schneider, C. A., Rasband, W. S., & Eliceiri, K. W. (2012). NIH Image to ImageJ: 25 years of image analysis. Nature Methods, 9(7), 671–675. doi:10.1038/nmeth.2089

Wang, Y., Zhou, C., Xu, L., Wan, R., Shi, J., Wang, X., ... & Wang, K. (2021). Degradability evaluation for natural material fibre used on fish aggregation devices (FADs) in tuna purse seine fishery. Aquaculture and Fisheries, 6(4), 376-381.

Winger, P. D., Legge, G., Batten, C., & Bishop, G. (2015). Evaluating potential biodegradable twines for use in the snow crab fishery off Newfoundland and Labrador. Fisheries Research, 161, 21-23. http://dx.doi.org/10.1016/j.fishres.2014.06.007

Winger, P. D., & Walsh, P. J. (2007). The feasibility of escape mechanisms in conical snow crab traps. ICES Journal of Marine Science, 64(8), 1587-1591.

Winger, P. D., & Walsh, P. J. (2011). Selectivity, efficiency, and underwater observations of modified trap designs for the snow crab (Chionoecetes opilio) fishery in Newfoundland and Labrador. Fisheries Research, 109(1), 107-113.