Provisional sandeel fishery advice in the Norwegian exclusive economic zone in 2024
In accordance with the objectives of the Norwegian management model for sandeel, the Institute of Marine Research recommends a preliminary quota in the Norwegian exclusive economic zone of the North Sea (NEEZ-NS) of up to 19,000 tons in 2024. The sub-areas 1a, 1c, 2b, 2c, 3b, and 3c will be open for sandeel fishing from April 15 to June 23. However, management areas 4 and 5 are recommended to remain closed due to the critical low biomass of sandeel in these areas. The results from the acoustic survey in 2024 will form the basis for an updated recommendation on sandeel, which will be available no later than May 15, 2024.
The spawning biomass of sandeel in the southern part of the NEEZ-NS has experienced a significant reduction since the peak year of 2020. However, in management areas 1-3, the population remains above critical levels. In management area 4, the sandeel biomass is too low to recommend fishing. This area has been closed for sandeel fishing since May 16, 2022.
The main reason for the decline is that the recruitment after 2019 has been weak or moderate. The 2022 year-class is among the weakest observed in the time series that began in 2009. Additionally, there are strong indications of increased predation pressure and natural mortality on sandeel in the last three years. This is likely due to the large numbers of haddock and whiting on the sandeel fishing grounds. The sandeel population in the southern areas of the NEEZ-NS consists of multiple year classes, and the harvesting rate has been reduced in recent years. In 2023, approximately half of the biomass consisted of individuals aged 4 years and older.
In the northern area of the NEEZ-NS (Viking Bank) the biomass sandeel is below critical levels, and the biomass in 2023 of 64 tons is the lowest in record.
Sammendrag
I henhold til målsetningen i den norske forvaltningsmodellen for tobis tilrår Havforskningsinstituttet (HI) en foreløpig kvote i norsk økonomisk sone av Nordsjøen (NØS-NS) på inntil 19 000 tonn i 2024 der underområdene 1a,1c, 2b, 2c, 3b og 3c åpnes for tobisfiske i perioden 15. april – 23. juni. Forvaltningsområdene 4 og 5 anbefales stengt grunnet liten bestand av tobis i disse områdene. Resultatene fra HI sitt akustiske tokt i 2024 vil danne grunnlaget for et oppdatert råd på tobis som vil foreligge senest 15. mai 2024.
Gytebiomassen av havsil (tobis) i sørlige del av norsk sone av Nordsjøen er sterkt redusert siden toppåret 2020, men i forvaltningsområdene (1-3) er bestanden over kritiske nivå. I forvaltningsområde 4 er bestanden for lav til at det kan anbefales et fiske av tobis. Dette området har vært stengt for tobisfiske siden 16.mai av 2022 sesongen. Hovedårsaken til bestandsnedgangen i sørlige del av NØS-NS er at rekrutteringen etter 2019 har vært svak eller middels, og 2022-årsklassen er blant de svakeste observert i tokttidsserien som startet i 2009. I tillegg er det sterke indikasjoner på at beitetrykket, og dermed naturlig dødelighet på tobis, har økt de tre siste årene, noe som sannsynligvis skyldes den store mengden hyse og hvitting på tobisfeltene. Tobisbestanden i sørlige områder består av mange årsklasser, og høstingsgraden er redusert de siste årene. I 2023 utgjorde omtrent halvparten av biomassen individer med alder 4 år og eldre.
I forvaltningsområde 5 (Vikingbanken), er biomassen av tobis fremdeles kritisk lav. Under toktet i 2023 ble biomassen estimert til 64 tonn. Dette er det laveste estimatet i tidsserien 2009-2023.
1 - Råd
I henhold til målsetningen i den norske forvaltningsmodellen for tobis tilrår Havforskningsinstituttet (HI) en foreløpig kvote i norsk økonomisk sone av Nordsjøen (NØS-NS) på inntil 19 000 tonn (Tabell 1) i 2024, der underområdene 1a,1c, 2b, 2c, 3b og 3c (Figur 1) åpnes for tobisfiske i perioden 15. april – 23. juni. Forvaltningsområdene 4 og 5 anbefales stengt grunnet liten bestand av tobis i disse områdene. Resultatene fra HI sitt akustiske tokt i 2024 vil danne grunnlaget for et oppdatert råd på tobis som vil foreligge senest 15. mai 2024.
År
Foreløpig råd
Endelig råd i mai
Fangst
Kvoteråd
Åpne underområder
Kvoteråd
Åpne underområder
2010
20 000
1b, 2b, 3b
50 000
1b, 2b, 3b
50 471
2011
60 000
1a, 2a, 3a
90 000
1a, 2a, 3a
88 424
2012
40 000
1b, 2b, 3b
40 000
1b, 2b, 3b
40 889
2013
20 000
3a
20 000
3a
9 052
2014
15 000
3b, 3c
90 000
2a, 3b, 3c, 4b
82 499
2015
100 000
2b, 3b, 3a
100 000
1b, 2b, 3a, 3b, 4a
100 858
2016
40 000
1b, 2a, 3a, 3b
40 000
1b, 2a, 3a, 3b, 4a
40 836
2017
50 000
1b, 1c, 2b, 2c, 3c, 3b, 4a
120 000
1b, 1c, 2b, 2c, 3c, 3b, 4a
119 975
2018
70 000
1b, 1c, 2a, 2c, 3a, 3b, 4b
70 000
1b, 1c, 2a, 2c, 3a, 3b, 4b
69 531
2019
55 000
1b, 1c, 2b, 2c, 3b, 3c, 4a
125 000
1b, 1c, 2b, 2c, 3b, 3c, 4a
123 958
2020
70 000
1a, 1c, 2b, 2c, 3b, 3c, 4a
250 000
1a, 1c, 2b, 2c, 3b, 3c, 4a
234 754
2021
110 000
1b, 1c, 2a, 2c, 3a, 3c, 4b
145 000
1b, 1c, 2a, 2c, 3a, 3c, 4b
146 442
2022
60 000
1a,1c, 2b, 2c, 3b, 3c, 4a
95 000
1a,1c, 2b, 2c, 3b, 3c
81 676
2023
60 000
1b, 1c, 2a, 2c, 3a, 3c
60 000
1b, 1c, 2a, 2c, 3a, 3c
15 948
2024
19 000
1a,1c, 2b, 2c, 3b, 3c
Tabell 1 . Kvoteråd 2010-2024 i norsk økonomisk sone
Figur 1 . Inndeling av de norske forvaltningsområdene (Gul=omr.5, Lilla=omr.4, Turkis=omr.3, Blå=omr.2, grønn=omr.1). Gyldig f.o.m 2024.
2 - Oppsummering bestandssituasjon
Gytebiomassen av havsil (tobis) i sørlige del av norsk sone av Nordsjøen er sterkt redusert siden toppåret 2020, men i forvaltningsområdene 1-3 er bestanden over kritiske nivå. I forvaltningsområde 4 er bestanden for lav til at det kan anbefales et fiske av tobis. Dette området har vært stengt for tobisfiske siden 16.mai av 2022 sesongen. Hovedårsaken til bestandsnedgangen i sørlige del av NØS-NS er at rekrutteringen etter 2019 har vært svak eller middels. 2022-årsklassen er blant de svakeste observert i tokttidsserien som startet i 2009. I tillegg er det sterke indikasjoner på at beitetrykket, og dermed naturlig dødelighet på tobis, har økt de tre siste årene, noe som sannsynligvis skyldes den store mengden hyse og hvitting på tobisfeltene. Tobisbestanden i sørlige områder består av mange årsklasser, og høstingsgraden er redusert de siste årene. I 2023 utgjorde omtrent 50% av biomassen individer med alder 4 år og eldre.
I forvaltningsområde 5 (Vikingbanken), er biomassen av tobis fremdeles kritisk lav. Under toktet i 2023 ble biomassen estimert til 64 tonn. Dette er det laveste estimatet i tidsserien 2009-2023.
3 - Tokt- og fiskeridata
3.1 - Akustisk tråltokt
Havforskningsinstituttet har utviklet akustisk metodikk for å måle utbredelse og mengde av tobis, og i nært samarbeid med tobisfiskerne er de sentrale og historisk viktige tobisområdene i norsk sone definert (Figur 2). For hvert toktområde (strata) blir det brukt et survey-toktdesign som baserer seg på parallelle eller sikksakk-kurser med tilfeldig startpunkt (Figur 3). Med ny kunnskap om geografisk fordeling av tobis har noen av toktområdene blitt noe endret mellom tokt. Se Johnsen (2022) for detaljer.
Toktet gjennomføres i april-mai hvert år, og gir informasjon om rekruttering av antall ettåringer, den totale bestandsstørrelsen og geografisk fordeling av alle aldre fra ett år og eldre. Toktet gir også oversikt over individvekt per aldersgruppe.
Estimatene fra akustikktoktet er beregnet med StoX (Johnsen et. al 2019), og hele tidsserien ble estimert på nytt høsten 2022 etter en grundig evaluering i forbindelse med metoderevisjonen av tobis-assessmentet i ICES. Alle toktestimatene i denne rapporten er beregnet som gjennomsnittet av 1000 kjøringer (bootstrap).
Figur 2 . Strata (grå polygoner) dekket under tobistoktet 2023. Et stratum kan dekke flere mindre tobisfelt.
Figur 3 . Strata (grå polygoner), akustiske transekt (svarte linjer) og biologiske stasjoner (T= trålstasjoner, S=skrapestasjoner) utført på tobistoktet 2023.
3.2 - Skrapetokt
Danmarks Tekniske Universitet, Institutt for Akvatiske Ressurser (DTU-Aqua) har gjennomført skrapetokt i november-desember i 2014-2023 i områdene 1-4 i norsk sone (Figur 4). Hovedmålsettingen med dette toktet er å måle mengden 0-åringer i november-desember for å ha et mål på rekrutteringen før fiskeriet starter i april året etter.
Fra 2014 ble skrapetoktet utvidet med flere stasjoner i NØS-NS med økonomisk støtte fra norsk fiskerinæring, og fra 2018 har Havforskningsinstituttet finansiert den delen av toktet som dekker NØS-NS. Stasjonene på toktet er på faste posisjoner i kjente områder med god tobis sandbunn. På alle posisjoner gjennomføres det tre skrapehal (Storr-Paulsen et al. 2020). Skrapen som brukes er en modifisert skjellskrape som måler relativ tetthet av tobis nedgravd i sanden. Dataene fra dette toktet (NSSS – North Sea Sandeel Survey) er tilgjengelige i ICES sin database;
Figur 4 gir en oversikt over den geografiske fordelingen av skrapestasjoner og fangstratene for 0- og 1-åringer per år. Rekrutteringsindeksen er beregnet ved å bruke en arealvektet delta-lognormal fordeling grunnet mange nullstasjoner og skjev fordeling av fangstratene (Pennington, 1983). Konfidensintervallene ble estimert ved hjelp av bootstrap (1000 kjøringer).
Figur 4. Skrapeposisjoner i norsk økonomisk sone av Nordsjøen 2014-2023. Størrelsen på sirklene indikerer fangstrate (antall per tauemeter). Nullfangstene er indikert med røde kryss.
3.3 - Fiskeridata
Tobis holder seg på avgrensede områder med bunnforhold der den kan grave seg ned i sanden. Det er i disse avgrensede tobisområdene flåten tråler (Johnsen et al. 2021). Figur 5 viser hvilke forvaltningsunderområder som var åpne for fiskeri i 2023. Det ble kun fanget 15 948 tonn tobis i norsk sone. Dette er vesentlig lavere enn kvoten på 60 000 tonn. Årsaken til den lave fangsten er sammensatt, men i tillegg til lite tobis så var det stor problemer med å fange tobis uten stor innblanding av andre arter som hyse, hvitting, makrell og sild. I perioder var det også innblanding av tobisyngel, som medførte at enkelte tobisfelt ble midlertidig stengt for tobisfiske.
Figur 5. Stengte (røde) og åpne (gjennomsiktige) områder for tobisfiskeriet i 2023. Grønt indikerer tobisområdene.
Tabell 3 viser fordelingen av tobisfangstene per forvaltningsområde og måned. Det ble fanget mest tobis i område 3 (11 469 tonn), mens det i område 2 ble fanget 3 722 tonn. I 2023 ble det omtrent ikke fanget noe i område 1, og område 4 og 5 var stengt i 2023. Nesten 75% av fangsten ble tatt i mai.
Tabell 2. Norske landinger av tobis (tonn) per forvaltningsområde og måned i 2023.
Måned
1
2
3
Totalt
April
2616
874
3 490
Mai
710
1 101
9 941
11 752
Juni
4
5
654
663
Totalt
714
3 722
11 469
15 905
Figur 6. Aldersfordeling i de kommersielle fangstene av tobis fra NØS-NS for perioden 2010-2023.
Analyser viser at lengdefordelingene fra toktene og de norske fangstene er like (Berge 2023), noe som gir en sterk indikasjon på at både tokt- og fangstdata reflekterer den reelle lengdestrukturen i bestanden. Ved høy rekruttering, som i 2020 der man fisket på 2019-årsklassen, dominerer 1-åringer i fangstene (Figur 6). I 2023 var andel ettåringer relativt lav, og det ble i antall fanget jevnt med 0- (13%), 1- (17%), 2- (17%), 3- (19%) og 4-åringer (21%).
4 - Bestandsutvikling 2009-2023
4.1 - Forvaltningsområdene 1-4
Biomassen av tobis er blitt kraftig redusert siden toppåret 2020 (Figur 7, Tabell 3). Dette skyldes at rekrutteringen av 2020-årsklassen var middels, og 2021- og 2022-årsklassene svake (Figur 8). Skrapetoktet indikerer også at 2023-årsklassen er svak (Figur 9, Tabell 4).
Figur 7 . Total biomasse (alder 1+) med 90% konfidensintervall (5-95%) for alle toktområder i forvaltningsområdene 1-4 (ekskl. Nordgyden) per år estimert fra de akustiske tobistoktene.
Tabell 3. Estimert biomasse (alder 1+) 5-persentilen, snitt og 95-persentilen (tonn) fra det akustiske toktet med relativ standard feil (RSE).
År
Biomasse 5%
Biomasse gjennomsnitt
Biomasse 95%
RSE
2009
138 706
225 460
316 510
0.24
2010
239 645
353 115
485 511
0.21
2011
102 188
146 119
198 268
0.20
2012
73 275
104 916
139 178
0.19
2013
17 317
30 251
44 969
0.28
2014
274 610
404 807
536 469
0.20
2015
137 311
170 161
204 197
0.12
2016
80 016
117 780
159 490
0.20
2017
278 679
363 980
449 827
0.14
2018
121 654
141 939
162 970
0.09
2019
265 930
327 518
392 703
0.12
2020
478 096
653 184
863 507
0.18
2021
293 489
372 707
462 884
0.14
2022
181 866
275 160
388 847
0.23
2023
80 435
105 480
136 609
0.16
Figur 8 . Antall ettåringer med 90% konfidensintervall (5-95%) per år for alle strata kombinert i forvaltningsområdene 1-4 i NØS (unntatt Nordgyden) estimert fra de akustiske tobistoktene.
Figur 9 . Rekrutteringsindeksen (Alder 0) fra skrapetoktet. Indeksen er vist med gjennomsnitt og 90% konfidensintervall (5-95%).
Tabell 4. Rekrutteringsindeks (Alder 0) fra skrapetoktet.
År
5 %
Gjennomsnitt
95 %
2014
0.44
1.35
2.91
2015
0.00
0.01
0.03
2016
0.47
0.84
0.84
2017
0.06
0.11
0.11
2018
0.49
1.02
1.02
2019
0.42
1.05
1.05
2020
0.42
0.85
0.85
2021
0.16
0.23
0.23
2022
0.32
0.52
0.52
2023
0.15
0.20
0.20
Den dårlige rekrutteringen gir store utslag i både aldersfordeling og mengde per aldersgruppe (Figur 10). Den relativt store mengden av 3 år og eldre tobis tyder på en moderat høstingsrate.
Figur 10 . Totalantall per lengde- og aldersgruppe for perioden 2017-2023 (ekskl. Nordgyden og Vikingbanken) estimert fra det akustiske toktet.
Den dårlige rekrutteringen fører til at biomassen synker i alle områder (Figur 11), og den geografiske utbredelsen er dermed vesentlig redusert de siste fire årene (Figur 12). Nedgangen i biomasse er størst i forvaltningsområde 4 som omfatter tobisfeltene Engelsk Klondyke, Østbanken, AlbjornLing og Nordgyden (Figur 11). I forvaltningsområde 4 er den totale biomassen målt til å være kun ca. 10 000 tonn de to siste årene (Tabell 5). I forvaltningsområdene 1-3 ble biomassen målt til henholdsvis ~16 000 tonn, ~21 000 tonn og ~28 000 tonn i 2023 (Tabell 5).
Figur 11 . Biomasse-estimat per stratum i perioden 2009-2023 estimert fra det akustiske toktet.
Figur 12 . Geografisk utbredelse av ekkotetthet av tobis per 0,1 n.mi.. Størrelsen og fargen på sirklene indikerer ekkotettheten (NASC). Nullverdier er angitt som blå prikker.
Tabell 5. Biomasse per forvaltningsområde (1-4). Forvaltningsområdene 2 og 3 overlapper ikke helt med strata inndelingen (Figur 2) så fordelingen av biomasse mellom disse to forvaltningsområdene er ikke helt klart fordelt i denne tabellen.
År
Område 1
Område 2
Område 3
Område 4
2009
31 156
101 948
156 625
7 020
2010
27 931
120 805
94 468
132 199
2011
16 042
62 484
58 846
37 811
2012
7 010
69 950
23 606
16 169
2013
385
10 398
11 118
12 198
2014
1 071
77 672
376 464
120 900
2015
30 750
77 174
61 156
29 116
2016
5 800
50 775
21 324
47 510
2017
11 669
148 283
134 211
112 324
2018
65 296
20 530
19 765
37 988
2019
80 298
72 456
86 909
129 082
2020
62 524
155 279
409 585
178 416
2021
38 862
140 581
78 498
118 209
2022
67 737
38 273
52 868
10 016
2023
16 337
20 985
28 062
9 998
I 2023 inneholdt tobismagene mye hoppekreps og andre dyreplankton, noe som dette tyder på at mattilgangen har vært relativt god. I de mer nordlige områdene var det mindre mat i tobismagene. Gjennomsnittlig individvekt gikk imidlertid ned fra 2022 til 2023, men avviker ikke vesentlig fra f.eks. 2019 og 2021 (Figur 13).
Figur 13 . Indvidvekt per alder (1=svart, 2=blå, 3=grønn, 4=rød, 5=turkis, 6=lilla) per år med 90% konfidensintervall (5-95%) målt under det akustiske tobistoktet. (Kombinert for strata i forvaltningsområdene 1-4 i NØS unntatt Nordgyden).
4.2 - Forvaltningsområde 5 (Vikingbanken)
Vikingbanken har også blitt undersøkt med akustiske tråltokt i perioden 2009-2023. Mengden tobis i område 5 er kritisk lav med en estimert biomasse på 70 og 64 tonn i henholdsvis 2022 og 2023. Dette er de laveste biomasseestimatene på Vikingbanken siden starten av tidsserien i 2009 (Figur 14).
Figur 14 . Biomasse (alder 1+) for Vikingbanken estimert fra de akustiske tobistoktene i Nordsjøen
5 - Metode for prediksjon av total biomasse i 2024
For å predikere mengde og antall av 1 år og eldre tobis i april 2024 er følgende beregninger og modellantagelser brukt:
a) Antall individer som har overlevd fiskeriet i 2024:
Estimert antall per lengdegruppe fra akustikktoktet 2023 minus estimert antall individer fanget av flåten per lengdegruppe.
b) Antall individer som dør naturlig i perioden mellom to akustiske tokt (i løpet av ett år).
Våre beregninger antyder at i gjennomsnitt 50 % av hver årsklasse dør naturlig per år. I våre prediksjoner brukes derfor en naturlig dødelighet på M=0,7 (ca. 50%) for alle aldersgrupper.
c) Lengdeveksten hos individene mellom to tokt (dvs. ett år) blir predikert i henhold til følgende modell:
der økningen i lengde (dL) er omvendt proporsjonal med lengden (Ls). dL minker dermed mot maksimum lengde Lmax. k kan påvirkes av vekstvilkårene til tobisen, I den nåværende framskrivningen antas k konstant. I vår modell har vi brukt parameterverdiene k=0,25 og Lmax=26 cm (Hamre et al. 2014).
d) Beregnet individvekt (w) per lengdegruppe (L) i 2024:
w=a·Lb der a og b er estimert fra 2023 toktdata. Antagelsen er at vekstforholdene i 2024 vil ligne på de i 2023. Analyser viser at prediksjonsfeilen er mindre når man bruker denne antagelsen enn ved å bruke en gjennomsnittlig lengde-vekt relasjon for tidsserien. Man bruker 0,5 cm lengdegrupper.
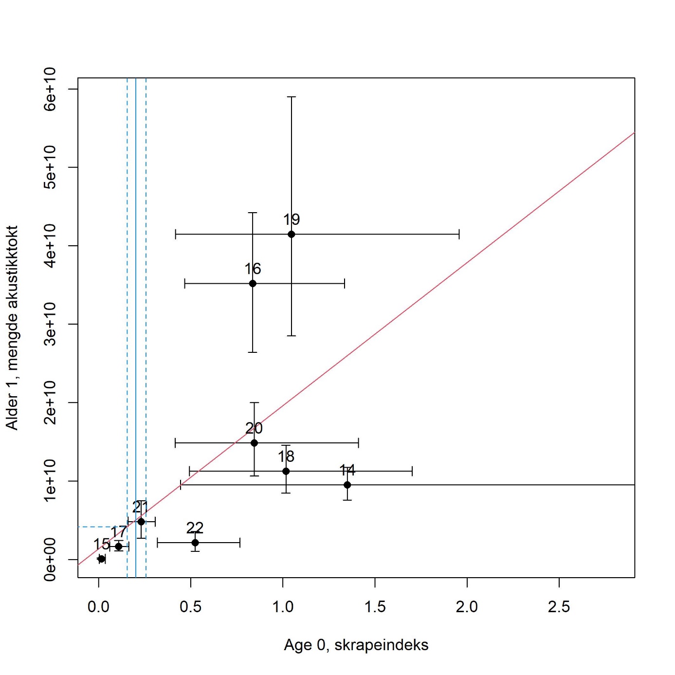
e) Mengdeindeksen av antall 0-åringer fra skrapetoktet om høsten indikerer om rekrutteringen er svak eller sterk, men skrapetoktet klarer ikke å predikere mengden ettåringer om våren med tilfredsstillende nivå av treffsikkerhet (Figur 15). Skrapetoktindeksen av 0-åringene i 2023 viser lav rekruttering, og biomassen av ettåringer i 2024 er derfor antatt å bli lav. Biomassen er antatt å bli blant de laveste i tidsserien og derfor satt lik 10-persentilen av biomassen av ettåringer målt i akustikktoktet for tidsserien 2009-2023.
Figur 15 . Tobis i norsk økonomisk sone (forvaltningsområde 1-4). Mengdeindeks av nullåringer fra skrapetokt («Age 0, skrapeindeks ») versus akustisk mengdeestimat av ettåringer året etter med 5-95% konfidensintervall (feillinjer rundt punktene) for årsklassene 2014-2022 (14-22 i figuren). Blå linje viser median rekrutteringsindeks fra skrapetoktet høsten 2023, og prikkete blå linjer viser de tilhørende 5- og 95-persentilene. Den røde linjen er en lineær regresjon basert på punktestimatene, altså en modell for å forutsi antall ettåringer i det akustiske toktet (mai) basert på skrapetoktet i november-desember året før.
5.1 - Prediksjon og treffsikkerhet
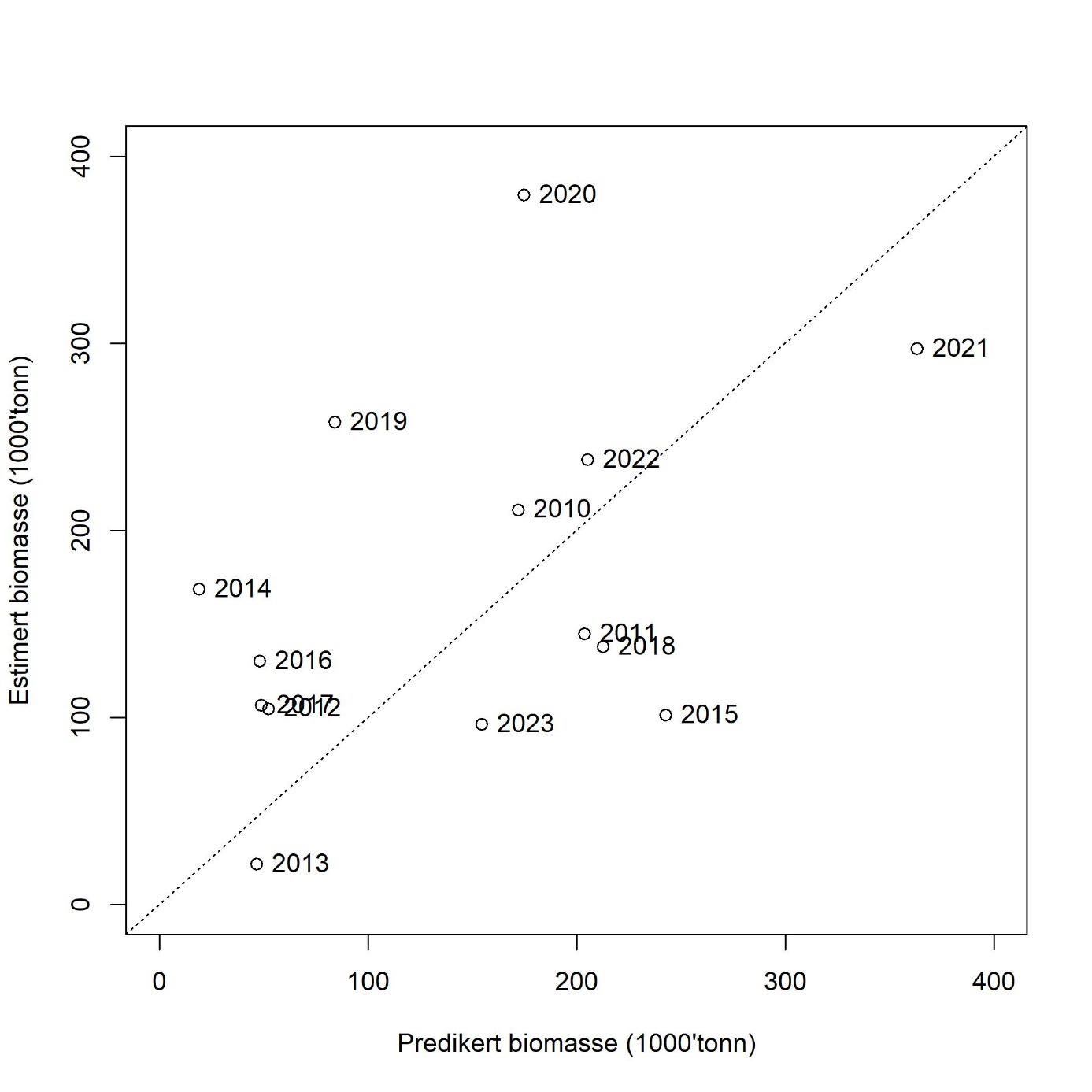
Tilsvarende prediksjon som beskrevet i punktene a-d over er beregnet for alle toktår etter 2009. Predikert individvekt er beregnet ved å bruke a og b parameterne i lengde-vekt funksjonen estimert fra toktdata året før prediksjonsåret. Figur 16 og 17 viser predikert og estimert (toktresultat) i henholdsvis antall og biomasse per år. Prediksjonstreffsikkerheten er større for antall individer enn for biomasse, noe som skyldes at individvekten varier mye mellom år (Figur 13). De siste tre årene har treffsikkerheten vært svært god for prediksjonen av antall individer, da prediksjonen kun har vært mellom 2% til 8% for lav (Figur 16). Avviket mellom målt og predikert biomasse var vesentlig større. Målt biomasse i toktet i 2023 var hele 60% lavere enn prediksjonen (Figur 17).
Figur 16 . Predikert antall individer versus estimert antall av 2 år og eldre tobis i det akustiske toktet i mai per år. Den stiplede linjen viser kurven der predikert og estimert mengden er lik. Årstallene viser til toktår (da mengden ble estimert).
Figur 17 . Predikert biomasse versus estimert biomasse av 2 år og eldre tobis i det akustiske toktet i mai per år. Den stiplede linjen viser kurven der predikert og estimert biomasse er lik. Årstallene viser til toktår (da biomassen ble estimert).
I perioden 2018-2020 er antall individer målt under toktet mye høyere enn predikert. I denne perioden var mengden predatorer vesentlig lavere enn etter 2020. Det er sannsynlig at en kraftig økning i hyse og hvitting i tobisområdene har endret beitetrykket på tobis de siste årene. I alle prediksjonene har den antatte naturlig dødeligheten vært konstant, og det kan virke som den sanne naturlige dødeligheten er nærmere den antatte dødeligheten de siste årene grunnet høyere tetthet av predatorer i tobisområdene.
5.2 - Prediksjonsfeil av biomasse av to år og eldre tobis
Ettersom prediksjonen (Figur 17, Tabell 6) innehar en del usikkerhet er det nødvendig å legge på en sikkerhetsbuffer i det foreløpige rådet i tilfelle prediksjonen av biomassen i 2023 er for optimistisk.
Prediksjonsfeilen per år (y) er beregnet som:
der Bpred,y,Age2+ er biomasse predikert for alder 2 år og eldre tobis, og Best,y,Age2+ er estimert biomasse fra de akustiske surveyene toktene for alder 2 år og eldre tobis. Prediksjonsfeilen viser hvor mye man har over- eller undervurdert bestandsbiomassen i prediksjonen i forhold til estimatet. De historiske prediksjonsfeilene gir viktig informasjon om hvor forsiktig eller føre-var man bør være når anbefalt kvote baseres på prediksjonen av biomasse. For fastsettelsen av det foreløpige kvoterådet er det fokus på årene der prediksjonen er høyere enn toktestimatet siden det vil være uforsvarlig å gi en høyere foreløpig kvote enn det toktestimatet i biomasse skulle tilsi. I henhold til forvaltningsmodellen er det mulig å øke rådet i etterkant av toktet, men det er ikke mulig å redusere kvoterådet. Med dette som utgangspunkt beregnes den gjeldende prediksjonsfeilen som snittet av prediksjonsfeilen i 2011, 2013, 2018, 2021 og 2023 (0,58 - 58%). For disse årene er toktestimatet lavere enn predikert biomasse (Tabell 6). På grunn av vanskelige måleforhold og underestimering i 2015 (Johnsen 2016) er dette toktet ekskludert fra utregningen av prediksjonsfeilen.
Tabell 6. Predikert og estimert (fra akustisk tokt) biomasse (tonn) av 2 år og eldre tobis. Positiv prediksjonsfeil betyr at prediksjonsmodellen gir et høyere biomasse-anslag enn toktestimatet.
År
Predikert
Estimert
Pred. feil
2010
171 885
211 077
19
2011
203 723
144 802
-41
2012
52 228
104 825
50
2013
46 470
21 699
-114
2014
18 873
168 751
89
2015
242 636
101 446
-139
2016
47 876
130 112
63
2017
48 660
106 588
54
2018
212 600
137 846
-54
2019
83 928
257 883
67
2020
174 650
379 364
54
2021
363 027
297 180
-22
2022
205 064
237 804
14
2023
154 525
96 429
-60
2024
69 618
5.3 - Prediksjon av rekruttering
Figur 18 viser at toktindeksene for rekruttering per kohort fra akustikk og skrapetoktet samvarierer. Det er imidlertid lav lineær korrelasjon (R2=0,32) mellom mengdeindeks av nullåringer fra skrapetokt og det akustiske mengdeestimatet av ettåringer våren etter (Figur 15). Rekrutteringsindeksen fra skrapetoktet har derfor lav prediksjonskraft, og selv et forsiktig anslag der man bruker 5-persentilen i skrapeindeksen til å predikere antall ettåringer året etter har vist seg å være for høyt (Figur 15). Alle de fire laveste skrapetoktindeksene overestimerer antall ettåringer betydelig, og i tre av disse årene så gir selv 5-persentilen et for optimistisk anslag på rekrutteringen (Figur 15).
Figur 18 . Tobis i norsk økonomisk sone (forvaltningsområde 1-4). Mengdeindeks av nullåringer fra skrapetokt (”Skrape_alder0”) versus akustisk mengdeestimat av ettåringer året etter (”Akustikk_alder1”) vist som tidsserier per kohort (årsklasse). Skrapetoktet startet i 2014.
Skrapetoktet gir en god indikasjon på når rekrutteringen er dårlig som vist for de tre laveste årsklassene: 2015, 2017 og 2021 (Figur 15) som alle ble estimert til å være svake i både skrapetoktene og de akustiske toktene. Hovedhensikten med skrapetoktet er å gi et tidlig varsel ved god rekruttering slik at tobisfiske ikke blir begrenset av et altfor forsiktig foreløpig råd. I tilfeller der skrapetoktet antyder svak rekruttering vil trolig ikke et forsiktig foreløpig råd virke begrensende på flåtens mulighet til å fiske kvoten.
6 - Høstingsregel
I 2018 ble det introdusert en regel for kvotefastsettelse for tobis i den norske forvaltningsmodellen. Regelen baserer seg på prediksjonene av biomasse av alder 2+ og alder 1. I utgangspunktet skal biomasse alder 1 utregnes direkte fra 5-persentilen av skrapetoktindeksen, men denne metoden predikerer ofte for høy rekruttering som beskrevet i Kap. 5.3.
For 2024 er blir derfor biomasse alder 1 predikert som 10-persentilen av alder 1 i akustikk tokttidsserien. Dette gir en forsiktigere prediksjon på rekrutteringen. Resten av regelen er lik som i fjor.
Utgangspunktet for regelen er at gjennomsnittlig årlig høstingsrate (definert som fangst i tonn dividert på estimert biomasse fra det akustiske toktet) har vært ca. 40 % for perioden 2010 til 2023 (Tabell 7). En slik høstingsrate synes å gi en langsiktig god balanse mellom overlevelse av tobis og et stabilt godt fiskeri.
Høstingsregel for foreløpig kvote:
Der Bpred,Age2+ er biomasse predikert for alder 2 år og eldre tobis, og Bpred,Age1 er biomasse predikert for 10-persentilen alder 1 fra akustiske tidsserie, og hr er høstingsraten (0,4). Forsiktighetsbufferen er satt til (1+prediksjonsfeilen), dvs. (1+0,58)
Høstingsregelen for endelig kvote er:
0,4·40-persentilen biomasse av 1 år og eldre tobis fra det akustiske toktet i april-mai 2024.
Tabell 7. Tobis i norsk økonomisk sone (forvaltningsområde 1-4). Estimert biomasse (alder 1+, tonn) fra det akustiske toktet. fangst i tonn og høstingsrate per år.
År
Biomasse
Fangst
Høstingsrate
2009
225 460
0
0
2010
353 115
50 471
0.14
2011
146 119
88 424
0.61
2012
104 916
40 889
0.39
2013
30 251
9 052
0.30
2014
404 807
82 499
0.20
2015
170 161
100 858
0.59
2016
117 780
40 836
0.35
2017
363 980
119 975
0.33
2018
141 939
69 531
0.49
2019
327 518
123 958
0.38
2020
653 184
234 754
0.36
2021
372 707
146 442
0.39
2022
275 160
81 676
0.30
2023
105 480
15 948
0.15
7 - Forvaltningsmodell av tobis
I 2011 innførte Norge en områdebasert forvaltning av tobis i NØS av Nordsjøen (NØS-NS), etter en prøvefase i 2010. Hovedmålet med planen er å bygge opp gytebiomassen av tobis på alle historisk viktige tobisfelt i NØS-NS. Dette vil igjen øke rekrutteringspotensialet for denne nøkkelarten og øke mattilgangen for arter som beiter på tobislarver og eldre tobis, samt sikre et langsiktig bærekraftig tobisfiske.
Forvaltningsmodellen ble evaluert av Fiskeridirektoratet, HI og fiskerinæringen i 2014, i 2016, i 2020 og i 2024. Alle evalueringene har konkludert med at modellen fungerer etter hensikten. Med en stadig bedring i bestandsovervåking og datagrunnlaget for fastsettelse av kvoteråd har det vært mulig å utvide størrelsen på de åpne områdene.
I 2024 ble forvaltningsområde 3 utvidet noe for å dekke et nyoppdaget tobisfelt som ligger helt i ytterkant av område 3, Det ble utvidet nordover til N57°41’ med en avgrensning i øst ved Ø8°00’. Kart over gjeldende forvaltningsområder (1-5) med deres underområder (a-c) er vist i Figur 1, og posisjonene per område er presentert i Vedlegg 1. Tidligere områdeinndelinger og detaljer knyttet til forvaltningsmodellen er vist i Vedlegg 2.
Når beregningene tilsier at gytebiomassen er for lav til å sikre full reproduksjonskapasitet for den lokale tobisbestanden vil området være stengt for tobisfiske. Dette har vært situasjonen i Forvaltningsområde 5 (Vikingbanken) siden 2010. I henhold til forvaltningsmodellen skal HI forut for fiskerisesongen gi et foreløpig råd om totalkvote og hvilke områder som kan åpnes. I løpet av april-mai 2024 skal HI gjennomføre et akustisk tokt for å validere tidligere bestandsprognoser med et særlig fokus på rekrutteringen (1-åringer). Basert på disse undersøkelsene skal HI gi et oppdatert råd om en eventuell åpning av nye områder, og en eventuell kvoteøkning.
8 - Referanser
Berge, D. S. 2023. Spatiotemporal variation in the growth and size distributions of lesser sandeel (Ammodytes marinus) in the north-eastern North Sea. The University of Bergen. https://bora.uib.no/bora-xmlui/handle/11250/3073098
Hamre, J., Johnsen, E., & Hamre, K. (2014). A new model for simulating growth in fish. PeerJ, 2, e244.
Johnsen, E. 2016. Råd for tobisfiske i norsk sone i 2016 og rapport for tobistokt i Nordsjøen 25. april – 15. mai. Toktrapport/Havforskningsinstituttet/ISSN 1503 6294/Nr.17–2016.
Johnsen, E., Totland, A., Skålevik, Å., Holmin, A. J., Dingsør, G. E., Fuglebakk, E., and Handegard, N. O. 2019. StoX: An open source software for marine survey analyses. Methods in Ecology and Evolution, 10(9), 1523-1528
Johnsen,E., Sørhus,E, de Jong, K, Lie K.K. og Grøsvik, B.E. 2021 Kunnskapsstatus for havsil i norsk sone av Nordsjøen. Rapport fra havforskningen 2021-33 ISSN 1893-4536
Johnsen, E. 2022. Råd for tobisfiskeriet i norsk sone for 2022 og rapport for tobistokt i Nordsjøen 27. april – 12. mai. Toktrapport/Havforskningsinstituttet/ISSN 1503-6294/Nr.6–2022.
Pennington, M. 1983. Efficient estimators of abundance, for fish and plankton surveys. Biometrics, 281-286.
Storr-Paulsen, Marie; Degel, Henrik; van Deurs, Mikael; Olesen, Hans Jakob 2021. Sandeel survey 2020. Technical University of Denmark. Dataset. https://doi.org/10.11583/DTU.14798028.v1
9 - Vedlegg
Forvaltningsområdene som gjelder fra 2024
9.1 - Forvaltningsområde 1
9.1.1 - Underområde 1a. Inner Shoal sør.
Området sør for N56°40’, vest for Ø004°36’ og ellers avgrenset av norsk sektorlinje i sør og vest.
9.1.2 - Underområde 1c. Inner Shoal midt.
Vil alltid være åpnet dersom det tillates fiskeri i område 1.
Området nord for N56°40’ og sør for N56°44’, vest for Ø004°36’ og ellers avgrenset av norsk sektorlinje i sør og vest.
9.1.3 - Underområde 1b. Inner Shoal nord.
Området mellom N56°40’ og N57°04’, vest for Ø004°36’ til norsk sektorlinje i vest.
Nordlige grense er N57°11’. Vest for Ø004°36’ er sydlige grense N57°04’, og øst for Ø004°36’ er sydlige grense den norske sektorlinjen. Den østlige grensen er Ø005°18’, og den norske sektorlinje er den vestlige grensen mellom N57°04’ og N57°11’. Sør for N57°04’ er den vestlige grensen Ø004°36’.
Vil alltid være åpnet dersom det tillates fiskeri i område 3.
Området mellom følgende koordinater;
1. N56˚40’ (Ved sektorlinja); Ø005˚18’
2. N57˚41’ ; Ø005˚59’42’’
3. N57˚41’ ; Ø006˚23`2’’
4. N56˚50,5’ (Mot sektorlinje) ; Ø005˚50’
9.3.3 - Underområde 3b; Vestbanken øst.
Området mellom følgende koordinater;
N56˚50,5’ (Mot sektorlinje); Ø005˚50’
N57˚41’; Ø006˚23’2’’
N57˚41’; Ø008˚00’
N57°30’11’’; Ø008°00’ (Ved sektorlinja)
9.4 - Forvaltningsområde 4
9.4.1 - Underområde 4a. Albjørn og Engelsk Klondyke Sør.
Området mellom norsk sektorlinje i vest og Ø005˚18 ’ i øst og mellom N57˚27 ’ og N57˚41 ’ eksklusiv området mellom N57˚38 ’ og N57˚41 ’ , og Ø003˚25 ’ og Ø003˚56 ’ .
9.4.2 - Underområde 4b. Lingbanken, Kadaveret, Minefeltet, Østbanken og Engelsk Klondyke Nord.
Området mellom N57°41’ og N58°15’, og den norsk sektorlinje i vest og Ø005°18’ i øst inklusiv området mellom N57˚38` og N57˚41 ’ , og Ø003˚25 ’ og Ø003˚56 ’ .
9.5 - Forvaltningsområde 5
9.5.1 - Underområde 5a. Vikingbanken sør.
Området mellom N60°00 og N60°20’, og mellom norsk sektorlinje i vest og Ø003°10’.
9.5.2 - Underområde 5b. Vikingbanken nord.
Området mellom N60°25’ og N60°40’, og mellom norsk sektorlinje i vest og Ø003°10’.
9.5.3 - Underområde 5c. Vikingbanken sentralt.
Vil alltid være åpnet dersom det tillates fiskeri i område 5.
Området mellom N60°20’ og N60°25’, og mellom norsk sektorlinje i vest og Ø003°10’.
9.6 - Norwegian spatial management plan
The spatial management plan was tested in 2010 and fully implemented from 2011. The plan was modified in 2014 (ICES 2017) and in 2017 after national reviews, however, the main principles of the management plan have been constant since the beginning.
Current management plan and advice process
The areas with known sandeel fishing grounds are divided into 5 areas (Figure 1) based on the differences in population developments, differences in recruitment and size at age.
An area is closed for fishery unless the abundance of sandeel is relatively high in the area (biomass estimated from the acoustic survey). There is no agreed definition of “high abundance”, but no area has been open with bio-mass estimate has been less than 20000 tonnes.
All areas are divided into sub-areas.
If an area is open for fishery, one of the associated subareas is closed to prevent a total depletion of sandeel in the area. Typically, the closed subarea will be open the next year if fishing is allowed in the area.
A preliminary stock assessment is carried out in January in the TAC year. IMR provides a conservative preliminary TAC advice, and a recommendation of which subareas that should be open. One TAC advice is given for all areas combined. The assessment, prediction and harvest rules are presented below.
An in-season acoustic-trawl/dredge survey is carried out around 25 April – 15 May, which is used to estimate the abundance of age 1 and older sandeel. An updated assessment is carried out, and a final advice is presented no later than 15 May in the TAC year. The final TAC advice cannot be lower than the preliminary advice, and no open subareas can be closed. In other word, the TAC can only be adjusted upwards or stay the same, and closed subareas may be opened (see Table 2).
To prevent fishing of lean individuals that have not started the growth the fishing season starts 15 April. The individual weight may increase up to 100% in a few weeks.
To avoid too high percentage of juveniles (age 0) the fishery ends 23 June. Typically, the 5-9 cm small juveniles aggregates on the sandeel grounds in late June for settlement.
If the number of sandeel < 10 cm comprise of more than 10% in a catch, the fishing ground is closed for seven days to prevent a fishery on 0-age fish. The fishing ground is re-open automatically after one week.
Figure A2.1 Map of the five Norwegian management areas in the North Sea for the period 2020-2023. Historically important fishing grounds are depicted in light grey.
Figure A2.2. Map of the five Norwegian management areas in the North Sea for the period 2017-2019. Historically important fishing grounds are depicted in light grey.
Figure A2.3 Map of the five Norwegian management areas in the North Sea for the period 2014-2016. Historically important fishing grounds are depicted in pink, and sandeel grounds in light pink.
Figure A2.4 Map of the six Norwegian management areas in the North Sea for the period 2011-2013. Historically important fishing grounds are depicted in pink, and sandeel grounds in light pink.