Rapportserie:
Rapport fra havforskningen 2025-13ISSN: 1893-4536Publisert: 20.03.2025Oppdatert: 24.11.2025Prosjektnr: 14597-19Oppdragsgiver(e): Fiskeri- og havbruksnæringens forskningsfond (FHF)Referanse: 901784 Forskningsgruppe(r):
Dyrevelferd,
Smittespredning og sykdomTema:
Fiskevelferd,
Lakselus,
Laks i oppdrett,
Laks
Forskningsgruppeleder(e):
Lars Helge Stien (Dyrevelferd)
Godkjent av:
Forskningsdirektør(er):
Geir Lasse Taranger
Programleder(e):
Robin Ørnsrud
Mobile sea lice detach during crowding and can re-infest or be collected.
End report FHF #901784 «LuseOppsamlingSjø»
During crowding operations in sea cages, it is assumed that mobile stages of salmon lice may detach and infest both wild and farmed fish. The aim of the project was to quantify the lice detachment during handling and crowding, describe the survival and behaviour of the mobile stages of salmon lice off the host at various temperatures/ salinity levels, assess the lice's ability to re-infest, model their spread, document general requirements for mesh size to capture lice, and finally test the principle of using fine-mesh nets for collection. Various experiments were conducted on laboratory and tank scale (survival, re-infestation, behaviour, size estimation, collection with different mesh sizes), small-scale cages (crowding, detachment, collection, welfare), and at commercial crowding operations (detachment, collection). The proportion of mobile lice that detach during crowding operations is 10-40%. Smaller pre-adult lice detach more frequently than larger adult lice, and the amount depends on the crowding time, intensity, fish size and number of fish. Salmon lice sink at rates from 0.5 to 1.8 cm/s, with the smaller pre-adults and sizes up to adult males sinking slower (0.5-1.1 cm/s) than adult females (1.2-1.8 cm/s). Dead and live lice sink almost equally in both seawater and brackish water. Adult males are more active with the presence of salmon scent in the water, causing them to sink slower. Caligus lice does not sink but stays actively at the same water depth. Re-infestation success when lice are placed on new hosts ranges from 40-100% regardless of temperature and salinity but decreases following > 5 days without a host. Salmon lice survive in incubation chambers for 5-25 days without a host, with shorter survival time at higher temperatures (4-16°C) and with adult females living the longest. Lower salinity results in reduced survival (24 ppt partially, 12 ppt significantly). The salmon lice’s potential dispersal is mainly up to 2000 meters, which indicates primarily dispersal within the same farming site. Dispersal depends on local water currents and the depth of nets/ fish actual swimming depths in the cages. Lice can be collected using mesh sizes of 0.8-1.6 mm for pre-adults, 1.6 mm for adult males, and 2 mm for adult females, where the diagonal mesh size is 1.1/ 2.3/ 3.2 mm, respectively. Adult Caligus lice are collected at mesh size <1.6 mm. The width of mobile salmon lice stages ranges from approximately 1.7-4.5 mm, from pre-adult male to adult female. In commercial-scale sampling, there were too many sources of error to confirm or refute the collection effect comparing fine-mesh or standard crowding nets. Fine-mesh nets during crowding can improve fish welfare. Based on laboratory, tank, and small-scale cage studies, we found that collection of dislodged lice can be done with up to 100% efficiency, given the correct mesh size and methodology. Collecting dislodged lice during handling and crowding can significantly reduce the spread of mobile lice to farmed salmon within the same cage, neighbouring cages on the farm or wild fish. Collection of dislodged lice could make a substantial contribution to reducing the challenges of salmon lice in aquaculture. Future challenges to address include studies on whether mobile salmon lice might use other species as transport hosts between facilities, further develop collection methods and ensuring acceptable oxygen conditions when using fine-mesh collection nets.
Forord
Finansieringen ble gitt av Fiskeri- og Havbruksnæringens Forskningsfond (FHF) prosjekt nr. 901784 (Oppsamlingsteknologi for lus som faller av under trenging og bevegelige lus sin evne til spredning og reinfeksjon av ny laks -LuseOppsamlingSjø) og Havforskningsinstituttets prosjekt 14597-19. Vi takker de involverte industripartnere for gode innspill, diskusjoner og delaktighet med ressurser som utstyr, tid og tilgjengelighet. Spesielt takk til Eirik Gravdal hos MOWI som har organisert deltagelse ved bruk av ulike orkastnøter ved brønnbåtoperasjoner. Takk til Steffen Kildal hos Askvik Aqua/ OK Marine for å gjøre catchLICE noten tilgjengelig for prosjektet og delta på kommersiell prøvetaking. En stor takk til prosjektets referansegruppe (Kjetil Heggen, Geir Magne Knutsen, Henrik Trengereid og FHF observatør Eirik Ruud Sigstadstø) og utvidet prosjektgruppe for nyttige innspill i forkant og underveis.
Sammendrag
Under trengeoperasjoner i merder antas det at lus i bevegelige stadier kan falle av og infestere vill- og oppdrettsfisk. Prosjektets mål var å kvantifisere hvor stort tapet av lus er ved håndtering og trenging, beskrive bevegelige lakselus sin overlevelse og adferd uten vert ved ulike temperaturer/ saltholdigheter, vurdere lakselusens evne til å re-infestere, modellere dens spredning, dokumentere generelle krav til maskestørrelse som kreves for å filtrere ut lusen og til slutt teste ut prinsippet med å bruke en finmasket not til oppsamling. Ulike forsøk ble utført i lab- og karskala (overlevelse, re-infestasjon, atferd, størrelsesestimering, oppsamling med ulike maskestørrelser), småskala merder (trenging, løsrivelse, oppsamling, velferd) og ved kommersiell trenging (løsrivelse, oppsamling). Andel bevegelige lus som løsner ved trengingsoperasjoner er 10-40%. Flere små preadulte enn store voksne lakselus faller av og antallet avhenger av trengetid, -grad, fiskestørrelse og antall fisk. Lakselusen synker med hastigheter fra 0,5 til 1,8 cm/s hvor de små preadulte og opp til voksne hanner synker saktere (0,5-1,1 cm/s) enn voksne hunner (1,2-1,8 cm/s). Døde og levende lus synker bortimot likt både i sjø- og brakkvann. Voksne hanner er mer aktive med lakselukt i vannet og synker da saktere. Skottelus synker ikke, men holder seg aktivt på samme vanndyp. Re-infesteringssuksess når lusen plasseres på nye verter er 40-100% uavhengig av temperatur og saltholdighet, men med redusert suksess etter > 5 dager uten vert. Lakselusen overlever i inkubasjonsbrønner i 5-25 dager uten vert, kortere med økende temperatur (4-16 °C) og med voksne hunnlus som lengstlevende. Lavere saltholdighet gir delvis (24 ppt) og betydelig (12 ppt) redusert overlevelse. De løsrevne bevegelige stadier av lakselus sitt spredningspotensial er hovedsakelig opp til 2000 m, noe som innebærer fortrinnsvis spredning innen eget oppdrettsanlegg. Spredning avhenger av stedegen vannstrøm og dybde på nøter/ laksens svømmedyp i merdene. Bevegelige lakselus kan samles opp med maskestørrelse 0,8-1,6 mm for preadulte, 1,6 mm for voksne hanner og 2 mm for voksne hunner hvor diagonal maskestørrelse er henholdsvis 1,1/ 2,3/ 3,2 mm. Voksne skottelus samles med maskestørrelse <1,6 mm. De bevegelige stadiene av lakselus sin bredde er i størrelsesorden 1,7-4,5 mm fra preadult 1 hann til voksen hunn. Ved vår prøvetaking i kommersiell skala var det for mange feilkilder til å kunne trekke en konklusjon om oppsamlingseffekten med finmasket not. Finmasket not ved trenging kan gi bedre fiskevelferd. Basert på lab-, kar- og de småskala merdstudiene så vi at oppsamling av løsrevne lus kan gjøres med opptil 100% effektivitet, gitt rett maskestørrelse og metodikk. Oppsamling av løsrevne lus ved håndtering og trenging vil kunne gi betydelig reduksjon i spredning av bevegelige lus til laks i egen merd, nabomerder i anlegget og villfisk. Oppsamling av løsrevne lus i merd og avsilingsvann inn i brønnbåt vil kunne gi et betydelig bidrag til å redusere utfordringene med lakselus i oppdrettsnæringen. Fremtidige utfordringer som det kan jobbes mer med inkluderer studier av om bevegelige lakselus bruker andre arter som transportvert mellom anlegg, videreutvikle oppsamlingsmetoder og sikre akseptable oksygenforhold ved bruk av finmaskete orkastnøter.
1 - Bakgrunn, kunnskapshull, mål og forventet nytteverdi
Lus kan falle av som følge av håndtering og trenging. Observasjoner fra oppdrettere indikerer at så mye som 40-60% av lusa kan være borte fra fisken allerede før den er ombord i brønnbåt/ behandlingsbåt/ behandlingsflåte. Under et tidligere trengingsforsøk ved Havforskningsinstituttet (HI) ble det totale lusenivået på laksen signifikant redusert som følge av trengetid. Det samme ble observert ved at lusenivået økte i nedsenkete merder på et anlegg hvor standard nabomerder i overflaten ble trengt og avlust. I den vitenskapelige litteraturen finnes også klare bevis for at voksne og bevegelige lakselus kan sette seg på vill laksefisk som har vært i nærheten av oppdrettsanlegg. Etter 2-3 dager i sjøen ble tilbakevandrende sjøørret fanget i fiskefeller i elven og 5 av 34 fisk hadde nivåer av 1 til 20 bevegelige lakselus. Lakseluskopepoditter kunne ikke ha utviklet seg så raskt til bevegelige lus og disse må dermed ha falt av annen fisk og deretter satt seg på sjøørreten. Like utenfor elvemunningen var det et oppdrettsanlegg med betydelige mengder lakselus på oppdrettsfisken og dermed den mest sannsynlige kilden. Når mobile stadier av lakselus beveger seg fritt i vannmassene kan dette skape et betydelig smittepress for både egen lokalitet, nabolokaliteter og villfisk.
Livssyklusen til lus som hovedsakelig finnes på laks, inkludert lakselus (Lepeophtheirus salmonis) og skottelus (Caligus elongatus), kan deles inn i tre livsfaser: (1) den ikke-infektive frittsvømmende spredningsfasen (naupliusstadiet), (2) den infesterende frittsvømmende fasen (kopepodittstadiet), og (3) den parasittiske fasen der lusene utvikler seg på verten og produserer avkom (kopepoditt-, chalimus- og mobile (bevegelige) stadier). Mens chalimi er fysisk festet til fisken med et filament, kan mobile stadier (preadulte og adult stadier) bevege seg rundt på vertens kropp og mellom verter. Hos lakselus har preadulte og adult (voksne) stadier denne evnen, mens skottelus kun har et mobilt stadium, det adulte og ingen preadulte. Chalimi av begge arter sitter fysisk festet inn i fisken og kan bare mistes om filamentet rives over. Chalimi har heller ingen naturlige kroppsdeler for å holde seg fast på en vert, og det er derfor også lite sannsynlig at den kan være en betydelig kilde til ny infestasjon etter å ha falt av. Økologien og atferden til lakselus og skottelus skiller seg på måter som er relevante for infestasjons- og re-infestasjonrater i lakseanlegg. Lakselus er spesialiserte parasitter til å infestere laks og ørret, og i et naturlig system der interaksjonen mellom verter er begrenset, infesterer de normalt bare et enkelt individ i løpet av livet. Derimot, i oppdrettsanlegg med høy tetthet av laksefisk, beveger en del voksne hannlus seg mellom verter, sannsynlig i konkurranse om hunnlus. Voksne og bevegelige lakselus kan også sette seg på ville laksefisk som har vært nær fiskeoppdrettsanlegg. Skottelus er generalister som infesterer et bredt spekter av fisk og har blitt rapportert å bytte mellom vertsindivider og vertsarter i løpet av livssyklusen. Totalt sett er det grunn til å tro at mobile lakselus og ikke minst skottelus som løsner under avlusingsbehandlinger har en viss kapasitet til å finne og feste seg til en ny vert. Raten til å re-infestere vil avhenge av atferden til lusene som har falt av. Løsrevne lakselus vil sannsynligvis søke en annen laks- eller ørretvert. Vi antar at de på samme måte som kopepoditter bruker vertikal bevegelse for å oppholde seg i overflateområder hvor nye møter med laksefisk er mest sannsynlig, samtidig som de unngår ugunstige forhold som brakkvannslag. Gitt en aktiv vertikal atferd oppover vil dette gjøre at annen oppdrettslaks blir den mest sannsynlige nye verten. Det er også mulig at løsnede lakselus kan bevege seg til noten eller annet utstyr på anlegget, hvorfra de kan feste seg til fisk på samme anlegg – lus som løsner i kar har en stor andel som fester seg direkte til karveggen. Skottelus som er generalister har mulighet til å reinfisere en lang rekke fisker inkludert arter med en utbredelse lengere ned i vannsøylen. Disse individene ville i så fall utgjøre en mindre risiko for oppdrettslaks, men hvis de finner en ny vert og reproduserer, vil deres avkom bidra til fremtidig infestasjonspress på både oppdrettet og vill laksefisk.
Selv om det ikke er en naturlig atferd, kan mobile lakselus lett løsnes fra laks og lagres i kaldt, oksygenert sjøvann i flere dager før de påføres nye fisk som en del av standard prosedyrer i laboratorieoppsett. Lus kan festes igjen ved enkelt å plassere lusen på huden til en bedøvet fisk. Voksne hunner kan overleve adskilt fra verten i 1-3 uker og fortsette eggproduksjon utenfor fisken. Relativt lite vitenskapelig litteratur har blitt publisert om emnet, men frittsvømmende mobile og voksne lus overlever i mer enn 24 timer ved 12 °C. På grunn av den naturlige vertsbytteøkologien til C. elongatus, forventes voksne skottelus å overleve i lange perioder uten vert. Lusens utvikling, atferd og infestasjonssuksess påvirkes sterkt av miljøfaktorer som saltholdighet og temperatur, faktorer som sannsynligvis varierer mellom oppdrettsanlegg avhengig av sesong og lokalisering. Det vil derfor være avgjørende å undersøke hvordan miljøfaktorer påvirker overlevelse og evnen til å feste seg til nye verter. Generelt kan lus som løsner fra fisk forventes å overleve i lange perioder, noe som gjør transport over lange avstander lettere, samtidig som de fortsatt er i stand til å feste seg til en ny vert. Transport av lus i sjøen (og partikler generelt) styres hovedsakelig av vannstrømmer og partikkelens egenskaper. Viktige egenskaper inkluderer synkehastighet, ettersom horisontal transport varierer med dybde, og det å møte en ny vert avhenger av at man er på samme dybde som verten. Flyteevne og svømmeatferd vil påvirke hvor raskt lus synker, og må tas med i beregningene av transport. For å estimere mulige smitte mellom merder, må man ha detaljerte modeller av hydrodynamiske forhold som vannstrøm, saltholdighet og temperatur. Modellerte vannstrømmer definerer spredningspotensialet til lakselus, mens temperatur og saltholdighet er kritiske faktorer for overlevelse og atferd både for laks og lakselus. Når man kombinerer spredning av partikler (i dette tilfellet representative mobile lus) med viktige biologiske/ atferdsmessige egenskaper (en såkalt koblet hydrodynamisk-biologisk modell), kan man gjenskape transporten av lus. Denne tilnærmingen har blitt utviklet og validert i flere andre relevante applikasjoner.
Oppsamling av lus kan gjøres under trenging og håndtering, men da må enten trengingsnoten samle opp lusen, eller en duk utenpå trengingsnoten må samle opp lusen. En slik duk må være av en utforming og type som sikrer at den samler opp lusen, tilbyr nok gjennomstrømming av friskt, oksygenrikt vann, slipper ut vann når trenging øker og er håndterbar. Selv om vi vet at gjennomsnittlig bredde på de minste bevegelige lusene er omtrent 2 mm så vet vi ikke hvilken maskestørrelse som er nødvendig for å samle opp tilstrekkelige mengder av lusene som faller av. Valg av maskestørrelse, -strekkfasthet og materialvalg bestemmer oppsamlingseffektivitet og vanngjennomstrømming. Ved undertrykk i noten som følger av utpumping vil lusen vanskeligere komme seg ut gjennom maskene, mens det ved ytterligere trenging skapes et overtrykk som muligens hjelper å skyve lusen ut gjennom maskene. Små masker blir raskere dekket av fiskeskjell, slim og annet som hindrer vannet i å strømme fritt gjennom. Noen materialer gjør orkastnot lite håndterbar, mens andre er bedre. Normalt brukes orkastnot i flere kast for å ta ut laksen fra den enkelte merden, mens ved lavere biomasse og som siste orkast kan hovednoten trenges. Trålkulerekke nyttes oftest for å trenge orkastnot eller hovednot. Det må velges en optimal sammensetning og teknologisk utforming av oppsamlingsduk.
Trenging og håndtering kan påvirke fiskens velferd ved at laksen støter borti hverandre eller noten, ofte via paniske/ stressende utbrudd. Det er antydet at bruk av en mer finmasket not (t.d. catchLICE) kan gi mer skånsom påvirkning av fisken pga. mindre utbrudd, muligens også som følge av grønn farge, og de mindre maskene gir også en mykere/ jevnere overflate. Dette støttes av nylig avsluttede forsøk som viser at antall og alvorlighetsgrad av finnesplitting og skjelltap øker med maskestørrelse fra 5-20 mm, særlig på større laks (ca 1.5-2 kg).
Askvik Aqua har (i samarbeid med OK Marine/ Egersund Net) utviklet en ny type orkastnot som vil samle opp bevegelige, løse, frittsvømmende lus ved håndtering av laks i merd. Utviklingsarbeidet har pågått siden 2018 hos Askvik Aqua med patentsøknad i 2019 samtidig som samarbeidet med Egersund Net og OK Marine startet. Det har vært gjort en rekke tester med ulike versjoner av konseptet som ledd i utviklingen og for å etablere gode prosedyrer for bruk. Industrielle proof of concept tester i full skala har vært utført. Noten nyttes under avlusing av normal størrelse kommersielle merder, f.eks. 160 metringer). Ved behandling/ håndtering av fisk suges vannet (og lusa) ut av catchLICE sammen med fisken til behandlingssystemet med påfølgende filtrering av alt behandlingsvann og oppsamling av lus. Observasjoner/ erfaringer så langt har vært at fisken under trenging opptrer veldig rolig og fremstår lite stresset. Det er ikke registrert skader utover det en normalt forventer ved behandlinger. Oksygenmetning i kastet holdes på samme nivå som ved konvensjonelle orkast, og under forsøk med tilførsel av oksygenmettet vann eller ved bruk av diffusorslanger er det observert stabile oksygennivåer. Holdetid i kastene har i noen tilfeller vært 1-1,5 timer, uten at det er observerte negative konsekvenser for fisken. Materialet er mykt og skånsomt (finvevd høytetthets nylon), og kan ha positiv effekt med tanke på skjelltap kontra konvensjonelle kastenøter. Det er utført både større og mindre kast. I tester har det vært holdt 150-160 tonn. Noen elementer ved bruken av CatchLICE er spesiell, men med kort opplæring skiller ikke noten seg vesentlig fra rutiner ved ordinær orkastnot. Tilbakemeldinger så langt er at CatchLICE er enkel i bruk, og oppdretter er fornøyd med dens potensial til å stoppe re-smitte av lus som faller av.
Kunnskapshull
Det foreligger behov for dokumentasjon og videre utvikling på oppsamling av lus under håndtering og trenging av laks: Finnes det teknologi for å samle inn løsrevne mobile lus, og i hvilken grad påvirkes lusene? Vil lusene bli stresset eller skadet på en måte som hindrer gjenfeste på ny fisk? I forhold til overlevelse, atferd og evne til å feste seg igjen: Løsrivelse og re-infestasjon på en ny vert antas å være sjeldent i den naturlige livssyklusen til lakselus, men kan være mer vanlig for skottelus. Vertikal atferd og daglige dødelighetsrater under gitte fysiske forhold vil påvirke sannsynligheten for at løsrevne lus transporteres til merder på samme eller nærliggende oppdrettsanlegg. Disse egenskapene er ennå ikke kjent. Suksessraten for mobile lus sin evne til å re-infestere er ennå ikke beskrevet. Transport av lus mellom merder og anlegg: Transport av løsrevne lus vil hovedsakelig styres av vannstrøm. Mens kortdistanse transport (mellom nærliggende merder) er svært sannsynlig, er transport av tilstrekkelig mange lus til andre merder som kan føre til betydelig infestasjon fortsatt ukjent og krever modellering som innlemmer biologiske parametere (lusens atferd) og vannbevegelse.
Kontroll- og avbøtingstiltak: Hvis et betydelig antall lus løsner, transporteres og er i stand til å infestere ny fisk, bør både næring og forvaltning integrere denne kunnskapen. Kvantifisering av risikofaktorer relatert til atferd og hydrodynamisk transport vil bidra til å identifisere de mest effektive avbøtende tiltak. Det er også behov for å utvikle, teste og dokumentere teknologi som samler opp lus som faller av under trenging og håndtering, inkludert uavhengig dokumentasjon på effektiviteten til den eksisterende catchLICE. Det er også behov for å dokumentere teknologiens effekt på velferd.
Hovedmål
De overordnete mål med prosjektet var å utvikle, teste og dokumentere grunnlaget for, og teknologi for oppsamling av lus som faller av i forbindelse med håndtering og trenging samt vurdere dens effekt på laksens velferd (i) og finne ut i hvor stor grad og under hvilke forhold ulike stadier av lakse- og skottelus som faller av kan infestere laks på nytt på samme lokalitet og over større avstander (ii).
Delmål
Dokumentere nødvendige krav til filter, materialvalg i oppsamlingsduk eller tilsvarende for å sikre effektiv oppsamling av ulike stadier av lakse- og skottelus.
Vitenskapelig teste og dokumentere effekt av duk for oppsamling av lus i realistisk skala forsøksanlegg i forhold til oppsamlingseffektivitet, trengetid/-grad og påvirkning av fiskevelferd.
Utvikle bruk og dokumentere teknologi for oppsamling av bevegelige lakse- og skottelus i kommersiell skala anlegg med fokus på effektivitet, kapasitet og dyrevelferd.
Undersøke hvordan tid og fysiske forhold påvirker overlevelse av bevegelige lus uten vert, og teste evnen til re-infestering av nye verter
Undersøke atferden til bevegelig lus som mister sin vert og gi kunnskapsgrunnlag for å modellere lusens transport og reinfeksjons risiko.
Modellere bevegelige lus sin realistiske spredning mellom merder og anlegg.
Forventet nytteverdi
Lakse- og skottelus er en utfordring i oppdrettsnæringen og bidrar til mange behandlinger som reduserer vekst og velferd hos laks og regnbueørret. Utslipp av bevegelige lus kan gi infestasjon av annen laksefisk i nærheten, både vill og oppdrettet. Prosjektet vil ta for seg utfordringer og teknologiske løsninger for å utvikle og dokumentere metoder for oppsamling av lus som faller av under håndtering og trenging. Hvilke krav som stilles til oppsamlingsduk, hvor effektiv den er til å samle lus, effekten på vannmiljø og dyrevelferd er viktige spørsmål som belyses. Nylige funn fra tidligere og pågående FoU prosjekter vil sammen med prosjektet systematiseres og brukes for å dokumentere bruk. Prosjektet vil bli av stor betydning for oppdrettsnæringen i hele landet. Effektiv og veldokumentert bruk av luseoppsamling under trenging og håndtering som et målrettet forebyggings- og kontrolltiltak vil på sikt kunne øke lønnsomheten hos næringen og bidra sterkt til positiv omdømmebygging for hele den norske oppdrettsnæringen.
Dersom det transporteres lus mellom merder og mellom oppdrettsanlegg vil håndtering av luseinfisert fisk påvirke lusenivået for de enkelte merder og oppdrettsanlegg, men også påvirke regionen gjennom å produsere nytt avkom. Resultatene som oppnås i prosjektet vil være verdifulle for den enkelte oppdretter som har behov for å iverksette forebyggende tiltak for å unngå utslipp av bevegelige lus i miljøet, men også for tilsynsmyndigheter da kunnskapen kan ha betydning for å forstå plutselige endringer i lusenivået.
For bedriftspartnere vil resultatene i prosjektet kunne bidra til å målrette videre designarbeid og utvikling av konseptets egenskaper for å oppnå enda bedre effekt, samt å gjøre systemet mer intuitivt og brukervennlig under ulike operasjonelle forhold. Videre vil observasjoner og resultater fra de ulike arbeidspakkene gi Askvik Aqua og OK Marine dokumentert kunnskap som kan nyttes til å utvikle gode opplæringsopplegg for oppdrettere, og derved heve kvaliteten på selve bruken av systemet.
2 - Prosjektgjennomføring og overordnede metoder
Prosjektet var organisert i ulike arbeidspakker (AP). Det ble først utført kombinasjoner av grunnleggende studier for å dokumentere hvilke typer duk/ not som er egnet for oppsamling i forhold til materialvalg, lysåpning, vannstrømsbetingelser og lusestørrelse (AP1). Parallelt ble vitenskapelige tester utført i 4 ulike forsøk i kontrollerbare, realistiske forsøksskala merder (175-2000 m3) med kombinasjoner av planktonduk som samler opp all lus, tradisjonell orkastnot og catchLICE nota (AP2). Samtidig ble repetitive tester med luseoppsamling gjennomført på brønnbåter ved trengingsoperasjoner i kommersielle merder hos MOWI både med tradisjonell orkastnot og catchLICE (AP3). Lusens overlevelse uten vert og mulighet for reinfestasjon ble undersøkt i labskala med fisk i kar og lus i inkubasjonskamre (AP4). Lusens atferd og synkehastigheter ble studert i detalj i bøtter og kar samt på 15 til 25 m dyp i sjøen (AP5). Bevegelige lus sin distribusjon og spredning ble simulert i en hydrodynamisk-biologisk modell med partikler gitt biologiske/ atferdsmessige egenskaper basert på lusens atferd og egenskaper (AP6). Prosjektadministrasjon ble lagt i AP7.
Detaljer i oppsett er gitt i de neste resultatkapitler hvor AP’ene er rapportert om hverandre og med referanse til de ulike vitenskapelige manuskript som er sendt inn.
3 - Lus faller av under trenging
Flere detaljer finnes i det innsendte manuskript: Geitung L., Barrett, L.T., Nola, V., Dalvin, S., Vatne Martinsen, L., Dahlgren, A., Oppedal, F.,. Crowding causes detachment and loss of mobile sea lice: fine-meshed crowding nets may mitigate spread. Forfatter kan kontaktes ofr mer informasjon
Bakgrunn
Mobile stadier av lus som faller av fra laks under trenging og håndtering i merder kan føre til uønsket spredning av lus til andre merder, anlegg eller villfisk. Imidlertid vet vi lite om hvor mange som løsner og hvilke parametere som er styrende.
Oppsett
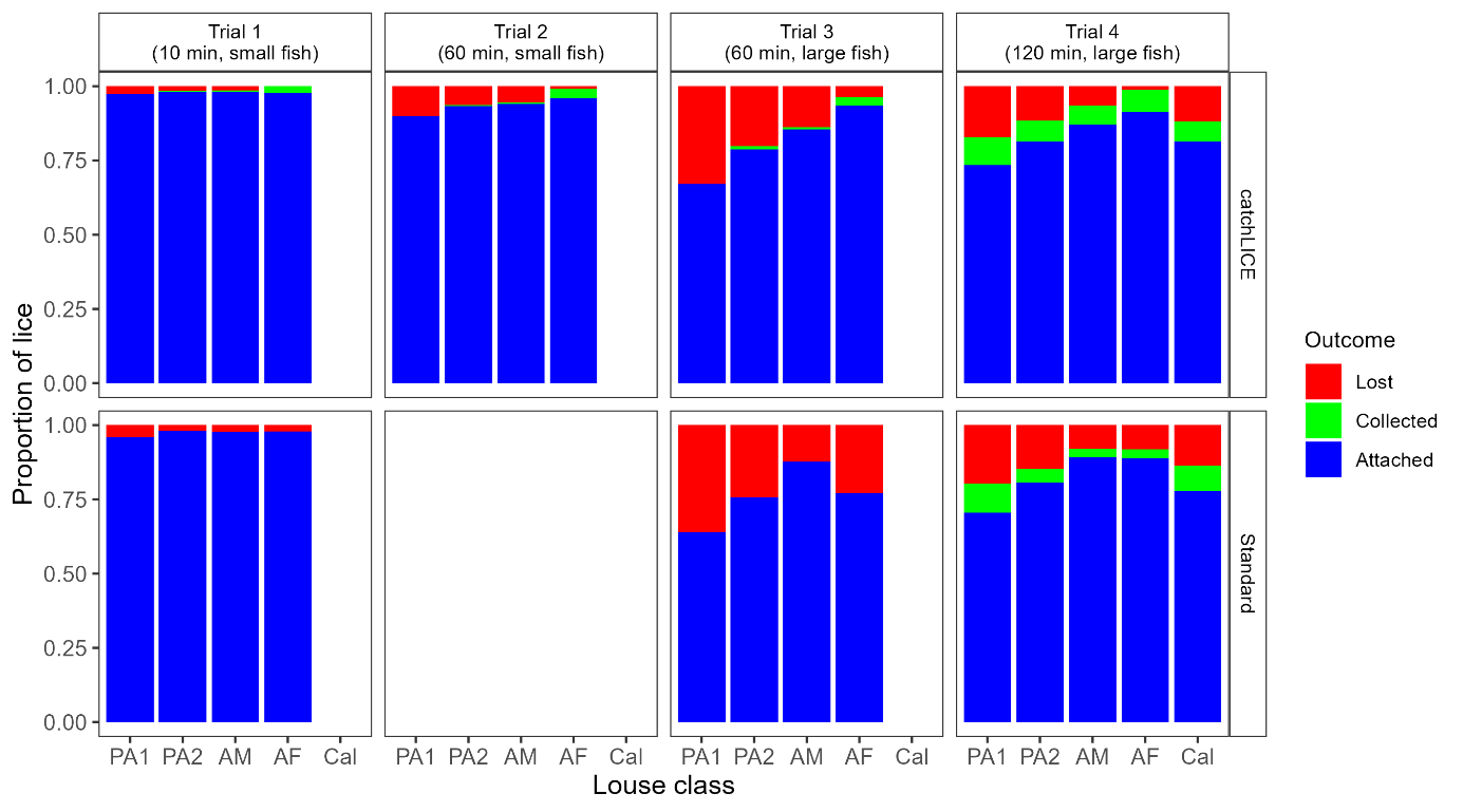
Vi gjennomførte derfor en serie på 4 trengingsforsøk med 3 replikate fiskegrupper hver gang, i merder på 125-2000 m³, ved å bruke enten en standard orkastnot med grovt nett (nominell åpning 30 mm, bar lengde 19 mm), eller den mer finmaskete catchLICE orkastnoten (bar lengde 2 og 3,4 mm) som var laget for å samle opp løsrevne mobile lus. Løsrevne lus som satt på orkastnot ble registrert direkte, mens lus som passerte gjennom orksnoten ble samlet inn ved hjelp av en 350 µm planktonduk plassert rundt orkastnoten. I forsøk 4 ble det i tillegg benyttet pumper med påmonterte lusefiltre plassert både inne i orkastnot og mellom orkastnot og planktonduk. Pumpen inne i orkastet skulle simulere samme forhold som ved kommersiell bruk hvor det er et kontinuerlig, betydelig sug av vann ut av orkastnoten og inn i brønnbåt. Pumpen på utsiden av orkastnot skulle samle opp lus som var kommet gjennom og delvis forhindre at de kunne svømme tilbake inn i orkastet igjen. Andeler av lus som ble "tapt" fra fisk kunne dermed kvantifiseres i pumpenes filtre, på orkastnot eller i planktonduken. I forsøk 4 ble det også talt lus på fisken jevnlig fra 0 til 120 minutter og antallet analysert i forhold til nedgang over tid.
Resultat
Mengde lus som falt av under trenging varierte fra 2 til 38 % (Figur 3.1), hvor høyest løsrivelse ble funnet av de mindre livsstadier. Flere lus falt av når laksen var større og/eller opplevde lengre trengetider (opptil 2 timer). I de fleste tilfellene påvirket ikke type orkastnot mengde lus som falt av. I alle de fire forsøkene var raten for løsrivelse signifikant forskjellig mellom lusestadiene. Generelt hadde pre-adult 1 (PA1) den høyeste løsrivelsesraten (20,0 ± 5,4 % i gjennomsnitt over alle forsøkene), og raten syntes å avta etter hvert som lusestørrelsen økte (pre-adult 2 [PA2]: 13,3 ± 3,4 %; voksen hann [AM]: 8,6 ± 2,0 %; voksen hunn [AF]: 8,2 ± 2,7 %). Det var liten forskjell i løsrivelsesraten mellom de to typer orkastnot, med unntak av Forsøk 3, hvor flere voksne hunnlus løsnet ved bruk av standard orkastnot enn med catchLICE. Det var også en mulig effekt av fiskens størrelse og trengingsstid mellom forsøkene. For eksempel, under Forsøk 1, med små fisk og kun 10 minutters trenging, løsnet svært få lus, og etter hvert som trengetid og fiskens størrelse økte i de senere forsøkene, økte også løsrivelsesraten.
Figure 3.1. Andel av lus (%) som faller av (lost+collected) i 4 ulike forsøk med ulik trengetid og størrelse fisk. Lusestadie: PA1 - preadult1, PA2 – Preadult 2, AM – voksen hann, AF – voksen hunn, Cal – Skottelus. Outcomes for mobile louse stages during crowding in Trials 1-4. Initial outcome, showing the proportion of lice that either remained attached through crowding and were counted when their host was sampled from the crowding net (‘Attached’), or detached during crowding as either lost or collected. Lice stage: PA1 - preadult1, PA2 – Preadult 2, AM – adult male, AF – adult female, Cal – Caligus.
I den grad effektene av fiskens størrelse og trengetid kan skilles, ser begge ut til å være viktige. Spesifikt var det mer enn 2× økning i løsrivelsesraten fra forsøk 2 til forsøk 3, hvor den eneste store endringen i oppsettet var større fisk, mens den kumulative løsrivelsesraten også økte med trengetiden i forsøk 4 (Figur 3.2). Modellert nedgang viser 20% reduksjon i både lakselus og skottelus antall fra start til slutt (0-120 minutter).
Diskusjon
Lus falt av i alle de fire forsøkene, som strakte seg fra 10 minutters trenging med små fisk til 2 timers trenging med større fisk. Dataene indikerer at enhver form for trenging og håndtering av fisk innebærer en risiko for at bevegelige lus slippes ut i det omkringliggende miljøet. Resultatene introduserer en ny risiko for re-infestasjon av bevegelige lus både på vill- og oppdrettet laks, ettersom lakselus kan overleve i flere uker og har høy sannsynlighet for å feste seg igjen dersom de møter en vert (se kapittel 4-6).
Figur 3.2. Gjennomsnittlig antall lus per fisk over tid under prøvetakingen i Forsøk 4. Fiskene ble delt i grupper med omtrent 30 minutters intervaller under prøvetakingen, noe som tilsvarer økende trengetid for fiskene som ble prøvetatt senere. Livsstadier for lakselus ( L. salmonis ) ble slått sammen, men det skilles mellom lakselus og C. elongatus . Mean lice per fish over time during the sampling for Trial 4. Fish were binned at ~30 min intervals during sampling, corresponding to increasing crowding time for fish that were sampled later. Salmon louse (L. salmonis) life stages were pooled, but separate counts were kept for salmon lice and C. elongatus.
Studien gir klare bevis på at mobile lus løsner og forsvinner fra merden. Lignende tap av lus er observert under kommersiell trenging og håndtering (Guttu et al 2025). Selv om det fortsatt er mange usikkerheter rundt deres evne til å feste seg til laks igjen etter å ha blitt frittsvømmende i vannmassene, er det sterke indikasjoner på at noen lus vil feste seg igjen. Det finnes flere metoder, prosedyrer eller forvaltningsrettede tiltak som kan bidra til å redusere mengde lus som faller av og dermed bidra til å minimere spredning av løsrevne lus. Lusen falt av over tid, noe som betyr at jo lengre fiskene er trengt, vil flere lus løsne. Ved å redusere varigheten av trengingen kan man redusere risikoen. En annen strategi kan være å bruke barrierer, som skjørt rundt merdene, men dette ble ikke testet her og effektiviteten vil sannsynligvis variere med strømmiljø og andre stedlige forhold. Umiddelbart kan man anta at tiltaket vil begrense horisontal spredning av lus inntil de har sunket under barrierens dybde. Strømforhold og svømmedybden til fiskene i nabomerdene og avstanden bør tas hensyn til, spesielt hvis nabomerdene er nedsenket eller også har skjørt. Det har blitt rapportert at mobile lus fester seg til nedsenkede fisk etter behandlinger av nabomerder med vanlig overflatenøter. Et mål bør være å samle opp eller skape en barriere eller vertikal adskillelse mellom de løsrevne mobile lusene og fisken i nabomerdene.
4 - Overlevelse og re-infestasjon av mobile lus uten vert
Flere detaljer i: Dalvin, S., Oppedal, F., Harvey, M., Barrett, L., 2025. Salmon lice detached during aquaculture practices survive and can reinfest other hosts. Aquaculture 598, 742065.
Bakgrunn
Ettersom en god del bevegelige (pre-adult og voksen) lus løsner fra vertsfiskene og forsvinner ut i det omkringliggende vannet ved trenging undersøkte vi hvorvidt mobile lus kan overleve uten vert, og gitt muligheten, feste seg til en ny vert.
Metode
Lus ble fjernet fra vertene og plassert i små inkubatorer (brønner med kontinuerlig friskt vann gjennom planktonduk i bunn) og holdt på forskjellige kombinasjoner av temperatur (4, 8, 12, 16 °C) og saltholdighet (12, 24, 34 ppt). Dødelighet ble registrert daglig. Når omtrent 50 % dødelighet var nådd, ble de overlevende lusene plassert på en bedøvet laks for å kvantifisere reetableringsraten på denne verten. Suksessfull re-infestasjon ble vurdert som i live og fortsatt på verten etter 24 timer.
Resultat - Overlevelse
Gitt ulike miljøbetingelser overlevde halvparten av lusene uten vert, i inkubasjonsbrønner, i perioder på 5 og 25 dager (Figur 4.1).
Figur 4.1. Forventet overlevelse over tid for bevegelige lakselus av ulike stadier (pre-adulte, voksne hanner og voksne hunner) som ble fjernet fra vertsfisk og inkubert ved 4 forskjellige temperaturer (4, 8, 12, 16 °C) i 34 ppt sjøvann og ved 12 °C også ved saltholdighet 24 og 12 ppt. Kaplan-Meier trinnfunksjoner og Weibull-regresjonsmodeller er plottet sammen. Det skyggelagte området viser 95 % konfidensintervall rundt Weibull-modellens tilpasning. Predicted survival over time for mobile salmon louse classes (pre-adult stages of mixed sex, adult males, and adult females) removed from host fish and incubated at 4 different temperatures (4, 8, 12, 16 °C) in 34 ppt seawater and at 12 °C also for 12 and 24 ppt water. Kaplan-Meier step functions and Weibull regression fits are plotted together. The shaded area indicates the 95% confidence interval around the Weibull model fit.
Temperatur og saltholdighet var begge viktige faktorer, med betydelig kortere overlevelsestid i varmere vann og i den laveste saltholdigheten. Voksne hunnlus overlevde lenger uten vert (median 12 dager ved 12 °C, 34 ppt) enn blandede kjønn av pre-adulte lus (8 dager) eller voksne hanner (10 dager). Voksne hunnlus levde spesielt lenge i det kaldeste sjøvannet med median overlevelse på 25 dager ved 4 °C, 34 ppt. Ved saltholdighet på 24 ppt, ble levetiden redusert med 13-30% hos henholdsvis preadulte og voksne hanner. Ved 12 ppt var overlevelse redusert hos voksne hanner og hunner (50-60%), og preadult (40%).
Resultat - Reetablering
Voksne hunnlus var også bedre på å reetablere seg når de ble plassert på en ny vert, med en suksessrate på 64–100 % på tvers av alle behandlingskombinasjoner (gjennomsnitt 74 %, mot 52 % og 51 % for henholdsvis pre-adulte lus og voksne hanner). Disse suksessratene ble sannsynligvis redusert av tid uten vert, ettersom kontroll lus hadde høyere suksessrater: 88 % blant pre-adulte lus, 94 % blant voksne hanner og 100 % blant voksne hunner.
Figur 4.2. Forventet sannsynlighet for at løsrevne lakselus reetablerer seg (gjennomsnitt ± 95 % konfidensintervall). Lus ble fjernet fra verten, inkubert frem til 50 % av kohorten hadde dødd, og deretter ble de overlevende lusene plassert på en ny vert og undersøkt for reetablering og overlevelse etter 24 timer. Sannsynligheten for å reetablere er vist etter lusestadie (predault, voksen hann, voksen hunn), i forhold til saltholdighet 12, 24 eller 36 ppt ved 12 °C (venstre panel) og ulike temperatur ved 34 ppt (høyre panel). Røde punkt indikerer reetablering av kontrollgruppe fra hvert stadium ved 12 °C og 34 ppt, hvor lusen ble fjernet fra verten og deretter umiddelbart plassert tilbake på verten, i stedet for å å oppleve de ulike opphold i inkubasjonskammere. Predicted probability of detached salmon lice successfully reattaching (mean ± 95% confidence interval). Lice were removed from the host, incubated until 50% of the cohort had died, and then the surviving lice were placed back on a host. Reattachment probabilities are shown by louse class, according to incubation salinity at 12 °C (left panel) and incubation temperature at 34 ppt (right panel). Red points indicate the reattachment rate of a procedural control group from each class, which were removed from the host and then immediately replaced on the host, rather than being incubated.
Diskusjon
Funnene indikerer at mobile lakselus kan overleve i lengre perioder uten vertsfisk og overlever de denne fasteperioden kan de fleste gjenetablere seg når de plasseres på en ny vert. Levetiden var uforventet lang. Overlevelse og reetablering ble påvirket av miljøforhold og lusekategori (stadium og kjønn) og interaksjoner mellom disse. Overlevelsestidens reduksjon med økende temperatur og redusert saltholdighet samsvarer med verdier for lusens larvestadier og generelle forventninger. Den mye lengre overlevelsestiden hos voksne hunner kan være relatert til størrelse eller energireserver/-bruk, men mekanismene må studeres i mer detalj for å konkludere. Det er mulig at dette eksperimentet resulterte i lengre overlevingstider enn det som ville skjedd i sjøen, ettersom lusene i denne studien tilbrakte mesteparten av sin tid uten vert festet til siden av en inkubator, noe som sannsynligvis er mindre energikrevende enn å svømme i åpent vann under varierende strømforhold. Studiet tar heller ikke hensyn til predasjon, som sannsynligvis er betydelig i naturen, spesielt når lusen ender på sjøbunnen.
Reetablering av lus som fortsatt levde etter at 50% dødelighet var betydelig, men noe svekket sammenlignet med kontroll lus som ble tatt direkte fra en fisk og satt på en annen. Selv om vårt forsøk kun tester disse to tidspunkt og benytter an aktiv metode for påsetting indikerer resultatene at reetableringsevnen til lus som faller av sin vert er stor. Tidligere studier har også vist at lakselus innen en merdpopulasjon kan bytte vert, hvor høyeste frekvens er observert hos voksne hannlus. Med tanke på antall laks som oppholder seg i en kommersiell merd hvor den løsrevne lusen kan flyte gjennom antas det at et betydelig antall vil reetablere seg på ny fisk.
Den høye overlevelsesraten og suksessen med reetablering hos løsrevne mobile lakselus har betydning for fremtidig håndtering av parasitter, ettersom den kan øke parasittutvekslingen både innenfor og mellom merder, samt mellom merder og ville fisk. Det er mulig for lus som løsner fra oppdrettslaksen å infestere annen laks i nærliggende merder eller ville laksefisk som svømmer i nærheten av merdene. Avstanden lusene kan bevege seg vil avhenge av deres synkehastighet, retningen på de rådende vannstrømmene, hastigheten på disse, samt mulighetene for midlertidig eller langvarig feste til biologiske eller fysiske strukturer. Disse detaljene må undersøkes for å avdekke det fulle potensialet for reinfestasjon og integreres i hydrodynamiske modeller som predikerer overføring av løsrevne lus til nærliggende merder/ anlegg, på samme måte som det gjøres for larvestadiene. Selv om lite er kjent om de mobile stadienes evne til å feste seg til andre overflater, observeres de ofte å feste seg til veggene i kar eller inkubatorer, og de kan derfor også ha evnen til midlertidig å bruke strukturer rundt merdene, som not, tau, flytere og ulike alger eller akvatiske dyr, før de løsner og fester seg til annen laks. Forfatterne har også observert lakselus på villfisk fanget rundt laksemerder, og hvis dette skjer regelmessig, kan de mobile lusene bruke andre fisk som transportmiddel mellom merdene. Ville fisk er kjent for å bevege seg mellom merder og kan i så fall spre lakselus som midlertidige verter. Allerede kan vi komme med en klar anbefaling for håndtering av trengt av fisk, nemlig å begrense spredning av løsrevne lus ved å vurdere strømningsforholdene i forkant og sette i verk tiltak for å samle opp lusene som løsner. De nåværende resultatene er trolig også relevante for andre lakselusarter som infester oppdrettsfisk, som Caligus rogercresseyi, en viktig parasitt innen lakseoppdrett på den sørlige halvkule. Imidlertid må den spesifikke biologien og atferden til hver lusart tas hensyn til: Andre lakselus arter som observeres i akvakultur, som C. elongatus, har betydelig høyere frekvens av vertskifte og løsrivelse, og overlevelse og reetablering vil derfor sannsynligvis være forskjellig fra de mønstrene som er observert her. For å beskytte villfisk kan det være lurt å unngå trenging av fisk i perioder hvor smoltens utvandringer er på sitt høysete ved de spesifikke oppdrettsanleggene, selv om dette kan vise seg vanskelig i praksis, ettersom oppdretternes har krav til å holde lave lusenivåer i samme perioder. Omfanget av hvor mye lakselus som løsner i løpet av forskjellige operasjoner og trenging er fortsatt ukjent og må studeres for å avdekke effekten av tiltak. De nåværende resultatene indikerer at overlevelse uten vert og evnen til å reetablere seg ikke er de begrensende faktorene for reinfestasjon.
Samlet sett indikerer disse funnene at bevegelige lus som faller av verten kan utgjøre en betydelig risiko for reinfestereing i samme eller nedstrøms merder, avhengig av vannbevegelse, synkerater og atferd når en ny vert blir møtt. Overlevelse av bevegelioge lus følger de samme mønstre som hos kopepoditter med lenger overlevelse på lave temperaturer og full saltholdighet. Overlevelse av voksne hunnlus ser ut til å være påvirket av flere faktorer uten at forsøksoppsettet i det nåværende prosjektet har vært egnet til å påvise disse. Metoder og prosedyrer bør utvikles for å minimere infestasjon av nye oppdrettslaks eller ville laksearter i det omkringliggende miljøet.
5 - Frittsvømmende bevegelige lakselus synker
Flere detaljer finnes i vitenskapelig manus under utarbeidelse: Barrett, L., Jensen, M.F, Dalvin, S., Oppedal, F.,. Behaviour and dispersal of mobile salmon lice when detached from the host. Forfatter kan kontaktes for mer informasjon.
Bakgrunn
Ettersom en betydelig andel av de bevegelige stadier av lakselus på oppdrettsfisk faller av under trenging, overlever lenge, er det viktig å vurdere deres atferd for å beregne risiko for å kunne re-infestere nye oppdrettslaks eller villfisk i nærheten. Re-infestasjon er intuitivt mer sannsynlig mellom merder på samme lokalitet enn mellom naboanlegg, men vi mangler grunnleggende informasjon om atferd for de løsrevne bevegelige stadier av lakselus og skottelus. Muligens svømmer lus av de bevegelige stadier aktiv for å opprettholde sin dybde, og kanskje påvirkes denne atferden av ulike miljøforhold.
Oppsett
I denne studien undersøkte vi den vertikale atferden til løsrevne, bevegelige lakselus i kontrollerte miljø, og testet om atferden påvirkes av saltholdighet eller tilstedeværelse av lukt fra dens naturlige vert, laksen. Våre hypoteser var at lusene ville vise aktiv svømming for å opprettholde dybde, synke raskere i brakkvann og at lusene ville svømme mer aktivt i nærvær av vertssignaler. Til slutt sammenlignet vi synkerater for levende og døde lus for å kvantifisere den atferdsmessige komponenten av den observerte synkeraten. Den vertikale atferden ble studert ved å slippe individer ut i vannsøylen i 40 cm dype bøtter, 340 cm dype kar eller på ca 15 m dyp i sjøen. Synkeraten ble kvantifisert ved å ta tiden på den vertikale avstanden tilbakelagt. Karforsøkene ble utført ved 9 °C for å matche temperaturen hvor lusen kom fra og unngå termisk sjokk, mens temperaturen i åpen sjø varierte mellom ulike replikater. Saltholdighet på 24 eller 34 ppt ble testet og fravær eller tilstedeværelse av lakselukt.
Resultat
Alle lakselus løsrevet fra verten hadde negativ oppdrift og sank med hastigheter fra 0,5 til 1,8 cm/s (Tabell 5.1). De store hunnene sank fortest med 1,2-1,8 cm/s. Hannene sank med 0,5-1,1 cm/s hvor lavest synkehastighet ble funnet hos levende lus hvor det var lakselukt tilstede i vannet. Lakselukt i vannet gir hanner litt lavere synkerate fordi deres svømmeaktivitet sideveis og oppover øker. De små bevegelige stadiene av lakselus (predault 1 og 2) sank med hastigheter på 0,4 til 0,9 cm/s. Det var ingen effekt av dybdeintervall (40, 340 eller 1000 cm) eller dyp (0-25 m) på synkehastighet. Lusen synker like fort i brakkvann som i fullt sjøvann. Døde lus synker med lik hastighet som levende, bortsett fra hos voksne hanner som gjennom økt aktivitet hos de levende synker noe saktere.
Skottelus synker ikke, men holder seg i den øverste halvmeteren nær overflaten hvor de ble introdusert, i minst 1 time.
Løsrevne bevegelige lus som ble sluppet ned i et kar med laks var i stand til å finne nye verter (23 % innen 5 minutter).
Stage
Salinity
Status
Conditioning
n
Mean (cm/s)
SE
PA1
24
Alive
Ambient
23
0.79
0.03
Dead
Ambient
20
0.51
0.06
34
Alive
Ambient
39
0.57
0.03
Alive
Salmon
28
0.49
0.04
Dead
Ambient
50
0.50
0.03
PA2M
24
Alive
Ambient
27
0.67
0.04
Dead
Ambient
25
0.44
0.03
34
Alive
Ambient
53
0.57
0.03
Alive
Salmon
12
0.53
0.07
Dead
Ambient
61
0.51
0.04
PA2F
24
Alive
Ambient
21
0.85
0.06
Dead
Ambient
21
0.80
0.05
34
Alive
Ambient
60
0.65
0.03
Alive
Salmon
42
0.66
0.04
Dead
Ambient
58
0.61
0.04
AM
24
Alive
Ambient
22
0.89
0.08
Dead
Ambient
22
1.11
0.07
34
Alive
Ambient
68
0.76
0.06
Alive
Salmon
39
0.52
0.06
Dead
Ambient
84
1.05
0.02
AF
24
Alive
Ambient
27
1.65
0.08
Dead
Ambient
19
1.73
0.09
34
Alive
Ambient
62
1.55
0.08
Alive
Salmon
32
1.50
0.05
Dead
Ambient
61
1.54
0.05
AFE
24
Alive
Ambient
4
1.38
0.09
Dead
Ambient
4
1.23
0.03
34
Alive
Ambient
10
1.79
0.18
Alive
Salmon
11
1.69
0.11
Dead
Ambient
10
1.54
0.09
Tabell 5.1 Synkehastigheter hos ulike stadier av lakselus, saltholdighet 24 eller 34, død eller levende, med eller uten lakselukt (salmon/ ambient). Lusestadie: PA1 - preadult1, PA2 – Preadult 2, AM – voksen hann, AF – voksen hunn, AFE – voksen hunn med eggstreng. Sinking speed of different stages of salmon lice at salinities of 24 or 34, with or without salmon odour, alive or dead . Lice stage: PA1 - preadult1, PA2 – Preadult 2, AM – adult male, AF – adult female, AFE – adult female with eggstring.
Diskusjon
Lakselusen var stort sett inaktiv i de frie vannmasser og med sin negative oppdrift sank den dermed relativt raskt til bunns. Omregnet så vil lakselusen synke 10 meter nedover i vannmassene i løpet av 10-30 minutter og passere et typisk dyp for en merd (30 m) i løpet av 30-90 minutter. Lakselus som faller av under trenging vil dermed hovedsakelig ha mulighet for å re-infestere laks som er i umiddelbar nærhet av posisjonen hvor den mistet sin vert.
I løpet av den observerte synketiden hadde enkelte lus atferdsmessige utbrudd på noen få sekunder hvor den typisk svømte sideveis og tidvis oppover før den igjen ble inaktiv og sank videre. Noen individer hadde ingen slike utbrudd, mens andre hadde frekvenser på opptil 5 ganger i løpet av 0-340 cm dybde eller i løpet av 15-20 minutter i fri sjø fra 15 m dyp og nedover. Etter at lusen nådde bunnen av karet/ sjøbunnen lå den stort sett i ro, mens enkelte svømte opp fra bunn 1-2 ganger i løpet av noen minutter. Hvis dette skjedde var maksimal svømmeavstand opp fra bunn 50 cm før lusen igjen sank ned til bunn og ble inaktiv igjen.
Skottelusen var derimot meget aktiv og holdt seg på samme vanndyp i mer enn 1 time. Skottelus synker dermed ikke og vil oppholde seg på samme dypet som de ble sluppet ut fra. Dette stemmer overens med at skottelusen finnes på flere ulike arter og er observert til å bytte art når den har nådd det bevegelige stadium.
6 - Spredning av lus med vannstrømmen
Flere detaljer finnes i vitenskapelig manus under utarbeidelse: Barrett, L., Jensen, M.F, Dalvin, S., Oppedal, F.,. Behaviour and dispersal of mobile salmon lice when detached from the host. Forfatter kan kontaktes for mer informasjon
Bakgrunn
Under trenging løsrives en del av de bevegelige stadier av lakselus og spres til det omkringliggende miljøet. Lakselusen har negativ oppdrift og synker sannsynligvis ut av merdenes dybde i løpet av få timer, men vil samtidig bli ført avgårde med vannstrømmen. Hvor langt de kan spres avhenger av synkehastigheten til de ulike lusestadiene og den stedegne vannstrømmens retning og styrke. Vannstrøm varierer også betydelig over tid. Ulike strømmodeller finnes for å beregne spredning av partikler (f.eks. luselarver) sluppet ut fra lokasjoner av oppdrettsanlegg. Dersom oppdrettsanlegg benytter nedsenkete merder (eksempelvis på 30-60 m dyp) vil lusene som kommer drivende ha mer dybde og tid til å spre seg og kan re-infestere over lengre avstander. Målet med arbeidet var å modellere spredningspotensial til lakselus av de bevegelige stadier som har mistet sin vert.
Oppsett
For å modellere spredningen av lakselus, benyttet vi en Lagrangian Advection and Diffusion Model (Ladim), for partikkelsporing. De tredimensjonale strømfeltene leveres av havmodellssystemet NorFjords160, som er basert på den hydrodynamiske havsirkulasjonsmodellen Regional Ocean Modelling System (ROMS). Modellen kjøres med 35 dybde-nivåer i et s-koordinatsystem, og utdata til partikkelsporingsmodellen er hvert timeintervall. En individbasert modell ble bygget der lusene har vertikal bevegelse som tilsvarer gjennomsnittet for de observerte levende lusene ved det gitte stadiet (kapittel 5). Dispersjonsmodelleringen utføres for stadiene med de høyeste og laveste synkeratene. Lusene blir spredd av et Euler-Forward adveksjonsskjemaet med horisontal diffusjon på 0,1 m/s² og tidssteg på 60 sekunder. Spredningsresultatene eksporteres hvert timeintervall og aggregeres på et rutenett med størrelsen 32 m × 32 m. Lusens posisjoner vises etter at den har nådd 30 (og 60) m dybde, og dermed viser den horisontale fordelingen lusene har fått innen denne tid. Dypet er valgt for å simulere hvor langt lusen når og fortsatt kan re-infestere en laks i en standard merd som er antatt å strekke seg ned til 30 m dyp eller en nedsenket merd som antas å rekke ned til 60 m dyp. Det antas da et nye lakseverter finnes for re-infestasjon ned til det angitte dyp. Ved 13 ulike anlegg blir ti partikler fra tilfeldige punkter innenfor hver merd sluppet hvert 30. minutt på dybder mellom 0-2 m fra januar til desember 2022, det nyeste året med fullstendige modellerte strømfelt (Tabell 6.1). Noen av anleggene ble valgt fordi de i perioden 2022–2024 har hatt ekstra dype merder (typisk ned til 60 m) og er nedsenket med tak og luftkuppel på toppen. Disse representerer det nye merddesignet som har noen av de dypeste merdene som benyttes i industrien i dag, og har derfor størst potensial for å fange driftende stadier av bevegelige lakselus når de synker. For å teste effekten av strømhastighet på lusenes spredning, blir ytterligere simuleringer utført fra anlegg med høyest og lavest gjennomsnittlig strømhastighet i 2022.
For å undersøke variasjonen i lusens spredning på forskjellige tidspunkter i tidevannssyklusen, ble to modelloppsett utviklet for lokaliteten Otervika. De sterkeste tidevannstrømmene i en fjord eller fjordmunn skjer vanligvis mellom høy- og lavvann; maksimum innstrømning i fjorden skjer når tidevannet stiger, mens maksimum utstrømning skjer når tidevannet synker. Lokaliteten Otervika er justert i forhold til hovedstrømmens retning og har både inn- og utstrømning relatert til tidevannet. En høyvanns- (lavvanns-) modellering er designet ved å finne alle tidspunktene med maksimal innstrømning (utstrømning) der den residuale strømmen (u - utide) er under en terskel på 0,04 m/s (for å fange forhold når tidevannstrømmen er mer dominerende enn vind-, trykk- eller gradientdrevet strøm) i løpet av året 2022. For hvert tidpunkt ble 100 partikler sluppet fra hver merd på Otervika ved dybder mellom 0 - 2 m. Resultatene vises for partikkelutslipp fra den nordligste merden. En synkehastighet på 0,6 cm/s som tilsvarer PA-lus, ble brukt.
Figur 6.1. Aggregert tetthet av lakselus på 30 meters dyp med synkehastighet 0,6 cm/s (PA1 og PA2M) for året 2022. Fra alle merder slippes det ut 10 partikler hvert 30. minutt, og figuren viser gjennomsnittet av de forskjellige utslippene. Den svarte linjen angir lokalitetens område, mens sirklene viser hver enkelt merd på lokaliteten. Den hvite linjen markerer 0,15 PA-lus/m² på 30 meters dyp, mens den grønne linjen markerer 0,15 PA-lus/m² på 60 meters dyp. Den rosa linjen markerer 0,15 AF-lus/m² for lus med en synkehastighet på 1,5 cm/s på 30 meters dyp. Aggregated density of salmon lice at 30 m depth with sinking rate 0.6 cm/s (PA1 and PA2M) for the year 2022. From all cages, 10 particles are released every 30 minutes, the figure shows the mean of the different cage-releases. The black line denotes the farm area, while the circles show the cages of the farm. White line marks 0.15 PA lice/m² at depth 30 m, while green line marks 0.15 PA lice/m² at depth 60 m. Pink line marks 0.15 AF lice/m² for lice with a sinking rate of 1.5 cm/s at 30 m.
Resultat
Modellen for den horisontale spredningen av preadulte (PA) og voksne hunnlus (AF) med synkehastigheter på henholdsvis 0,6 cm/s og 1,5 cm/s, viser at lusen begrenser seg til lokalitetens eget område, da disse synkehastighetene er høye sammenlignet med de gjennomsnittlige horisontale vannstrømmer på 7-12 cm/s (figur 6.1-6.2, Tabell 6.1). De løsrevne lusene sprer seg 700-1500 m på 30 meters dyp. Lusene vil dermed hovedsakelig kunne nå nabomerdene på lokaliteten, noe som utgjør en risiko for intern re-infestasjon. Den maksimale avstanden lusene sprer seg er større på 60 enn på 30 m dyp ettersom den synker lenger og spres over lenger tid. Spredningen er større for predaulte enn for voksne lus, da voksne synker raskere og dermed når 30 (eller 60) meters dybde nærmere utgangspunktet enn preadulte lus. Vi ser et mønster med at flere voksne lus blir igjen på lokaliteten, mens de preadulte i større grad spres vekk fra anlegget. Det samme gjelder for de ulike dybdescenarioene, hvor det er færre lus igjen på lokaliteten gitt 60 meters dype i forhold til 30 meters dype nøter.
Tidevannseksperimentene viste ulike spredningsmønstre under perioder med sterke innkommende eller utgående tidevannsstrømmer ved Otervika (Figur 6.2). Lus som ble sluppet fra den nordvestlige merden under en sterk nordvestlig tidevannsstrøm, spredte seg vekk fra lokaliteten. Derimot ble lus som ble sluppet fra samme merd under en sterk sørvestlig tidevannsstrøm, spredd innenfor lokaliteten og vil sannsynligvis møte på nye verter i samme eller andre merder.
Figur 6.2. Aggregert tetthet av lakselus på 30 meters dyp med synkehastighet 0,6 cm/s (PA1 og PA2M) for sterke tidevannsstrømmer inn i fjorden (venstre), og sterke tidevannsstrømmer ut av fjorden (til høyre). Den svarte linjen angir lokalitetens område, mens sirklene viser merdene på anlegget. Den grønne sirkelen viser merden hvor partiklene slippes ut. Aggregated density of salmon lice at 30 m depth with sinking rate 0.6 cm/s (PA1 and PA2M) for release times during left: strong tidal currents into the fjord, and right: strong tidal currents out the fjord. The black line denotes the farm area, while the circles show the cages of the farm. The green circle shows the cage where the particles are released.
Lus som slippes ut fra merdene på lokalitetene Gjengane og Hestabyneset sprer seg lengst unna anlegget. På disse lokalitetene er hovedstrømretningen i samsvar med retningen til merdene, og den gjennomsnittlige strømstyrken er relativt sterk (Tabell 6.1). Et neglisjerbart antall preadulte lus (<0,001 lus/m² i vårt scenario) fra Gjengane sprer seg til naboanlegget Brattavika på 60 meters dyp. Ellers sprer ikke lusene i våre utvalgte testanlegg seg til naboanlegg. Ringholmen, hvor hovedstrømretningen ikke er i samsvar med retningen til merdene og den gjennomsnittlige strømstyrken er sterk, har det laveste antallet lus spredd innad på lokaliteten. Modelleringen fra anleggene med svak og sterk vannstrøm viser at lusene sprer seg mye lengre når vannstrømmene er sterke (Tabell 6.1, 180 m vs. 1750 m), og at det er færre lus innen eget anlegg ved høy strømstyrke. På anlegg med svak vannstrøm er det modellert 8-20 lus/m² i utslippsmerden på 30 meters dyp, mens det er færre enn 1 lus/m² i anleggene med sterk strøm. Med sterk vannstrøm sprer lusene seg til nabomerdene, med opptil 0,06 lus/m² på nabomerden. Det er likevel verdt å nevne at trenging og avlusing kanskje ikke nødvendigvis ville blitt utført når vannstrømmen er på sitt høyeste og relevansen begrenset.
Diskusjon
Lus som faller av under trenging har en modellert spredning på 900-1500 meter og har dermed potensial til å re-infestere nabomerdene innenfor eget anlegg, uten å nå andre lokaliteter. Imidlertid, under sterke strømforhold, kan lus også nå naboanlegg som ligger nært. De årslange modellerte utslipp og spredning inkluderer alle strømforhold, inkludert stormer når fisk ikke ville blitt trengt eller avlust. Spredningsmodellen inkluderer ikke vertikal turbulens eller resuspensjon. Hvis dette ble inkludert, ville turbulens og muligens resuspensjon utvide den horisontale rekkevidden av spredningen. Merk at tallene som er brukt i spredningsmodelleringen er relative, ettersom en gitt mengde lus slippes ut hvert 30. minutt. Tallene bør brukes til å undersøke den potensielle spredningen av de løsrevne lusene, ikke den eksakte mengden lus på en gitt merd eller anlegg.
Ettersom trenging og avlusing vil spre lusen til nabomerder vil det være en fordel å velge avlusingstidspunkt i forhold til vannstrømmen og minimere re-infestasjon av nabomerder og heller la bevegelige lus som faller av synke ned eller spre seg vekk fra anlegget.
Lus som lever av og beveger seg mellom flere verter kan fungere som en vektor for patogener, enten ved å spise på infiserte vev eller ved å bære patogenet eksternt. Det er rapportert at lakselus bærer en rekke patogener, inkludert virus, bakterier og mikroskopiske sopper. Løsrevne bevegelige lus bør betraktes som en potensiell vektor for sykdommer hos laksefisk og forvaltes deretter, spesielt dersom er en mulighet for spredning til naboanlegg.
Tabell 6.1. Resultater fra kjøringer med spredningsmodell der 10 partikler (lus) slippes fra 13 lokaliteter hvert 30. minutt gjennom året 2022. Lusen slippes fra hvert enkelt merd på anlegget, og hver utslipp blir undersøkt separat. De modellerte gjennomsnittlige og maksimale vannstrømmene på 15 meters dyp er oppgitt i cm s-1. Spredningsavstand er den største avstanden der >0,15 lus m-² finnes.. Lokalitetene er gruppert etter årsak til inkludering (fra topp til bunn i tabellen): 7 anlegg med nedsenkede merder som potensielt er mer utsatt for spredning mellom merdene, 3 anlegg har svært lave strømhastigheter, og 3 anlegg har svært høye strømhastigheter. Verdiene for spredningsavstand er rapportert etter livsstadium (pre-adulte i kursiv og voksne hunner i fet skrift) og dybde (30 m ikke i parentes, 60 m i parentes). Overview of findings from dispersal modelling runs where 10 particles (lice) are released from 13 farm sites every 30 min through the year 2022. The lice are released from each cage on the farm, with each release investigated separately. The modelled mean and maximum water currents at 15 m depth are given in cm s-1. Spread dist. is the largest distance where >0.15 lice m-² are found. Farms are grouped by their reason for inclusion (from top to bottom of Table): 7 submerged cages that are potentially at higher risk of transmission between cages, 3 have very low current speeds, and 3 have very high current speeds. Spread distance values are reported by life stage (pre-adults in italic and adult females in bold) and depth (30 m not in parenthesis, 60 m in parentheses).
Farm
Mean (max)
current at 15 m
cm/s
Spread distance (m)
PA - AF
30 m (60 m)
Otervika
7.2 (52.9)
1128 (1241) - 884 (952)
Klungset
8.6 (68.2)
972 (1112) - 828 (890)
Hestabyneset
9.3 (50.3)
1268 (1601) - 1006 (1167)
Gjengane
8.7 (47.0)
1466 (1537) - 1165 (1236)
Farmannsøya
10.5 (58.2)
1140 (585) - 1039 (1001)
Fugløya
7.7 (81.6)
1171 (719) - 736 (636)
Ringholmen
12.3 (57.1)
953 (775) - 921 (1163)
Båfjorden
1.1 (8.3)
215 - 196
Kilaneset
1.3 (12.0)
223 - 180
Ommundsteigen
1.3 (14.0)
348 (412) - 223 (223)
Kariskjæret
20.4 (93.9)
1017 - 878
Brattholmen
21.5 (137)
1050 - 1436 (1499)
Torgerhaugen
26.7 (91.7)
1784 - 1748 (1836)
Ettersom de aller fleste lakselus i norske farvann finnes på oppdrettslaks heller enn villaks, vil selektive prosesser som foregår innenfor oppdrettsanlegg være retningsgivende for den evolusjonære utviklingen av lakselus. Løsrivelse og vertsskifte kan være et slikt eksempel. Lus på ville laksefisker antas å selekteres mot å ikke løsrives fra verten, ettersom lusene har lav predasjon på verten, og at den lave vertstettheten i naturen betyr at lusene sannsynligvis ikke vil finne en ny vert dersom de løsrives. Derimot vil den høye vertstettheten i merder trolig redusere kostnaden ved å løsrives, og kan dermed selektere for løsrivelse, spesielt dersom det er kostnader ved å henge ekstra godt fast. For eksempel kan det å henge meget godt fast komme på bekostning av mobilitet rundt på verten (voksne hanner er mer mobile på verten og har normalt høyere sannsynlighet for å løsne under håndtering), mens frivillig vertsskifte – for å finne partnere eller unngå konkurranse – kan sannsynligvis gi økt suksess når det er rikelig med verter. Hyppige lusebehandlinger kan også være en viktig seleksjonsprosess, da lus som forblir festet til verten gjennom håndtering og trenging sannsynligvis vil bli samlet inn/drept av behandlingen, mens de som løsner kan unngå behandlingen og kanskje finne en ny vert i en nabomerd. Mer forskning er nødvendig for å forstå disse dynamikkene, men dersom slike selektive endringer er uønsket, bør det være en prioritet å samle inn lus som løsrives.
7 - Lusen kan samles opp med rett maskestørrelse
Flere detaljer i: Barrett, L. T., Oppedal, F., Harvey, M., Eichner, C., Sambraus, F., & Dalvin, S. (2025). Collection rates of detached mobile sea lice according to net mesh and body size: a benchtop model. Aquacultural Engineering, 102514.
Bakgrunn
Trenging og håndtering av laks fører til at mobile stadier av lakselus og skottelus faller av. Disse utgjør en betydelig risiko for å re-infestere oppdretts- og villfisk. Oppsamling av disse lus kan redusere påslag av mobile lus på passerende villfisk til null og gi store besparelser for oppdretteren i forhold til å unngå eller utsette behovet for nye avlusinger, samt gi generelt redusert utslipp av luselarver til omgivelsene. Men oppsamling er ikke rett frem. Riktig oppsamlingsteknologi, som filter- og maskeåpninger må tilpasses størrelsen, formen og stivheten til de ulike stadiene av lus og det må tas hensyn til varierende vanntrykk/-strøm, eventuell tilstopping og lusens atferd. Det finnes lite data for relevante variabler, blant annet størrelsen på cephalothorax. Den maksimale bredden på dyret, cephalothorax bredden, er sannsynligvis viktigst for oppsamling av lus i de fleste nøter/ duker/ filtre, mens cephalothorax høyden vil være bestemmende for oppsamling i slot-filtre (Figur 7.1). Småskala, fysiske modeller kan gi viktig innsikt og estimater for valg av oppsamlingsteknologi. Vi ønsket å måle både lusens størrelse og konstruere et lab system med ulike filtre og vanntrykk/ -strøm for å teste hva som må til for å sikre oppsamling av de ulike stadier og størrelser av lakselus.
Figur 7.1. Måling av lus ( Lepeophtheirus salmonis ). Voksen hann fotografert fra siden (A) cephalothorax høyde (CH, rød) og ovenfra (B) cephalothorax lengde (CL, grønn), cephalothorax bredde (CW, lilla) og total lengde (TL, blå) er angitt. Foto: Christiane Eichner. Measurement of lice (Lepeophtheirus salmonis). Adult male photographed from the side (A) and from above (B). Cephalothorax height (CH, red), cephalothorax length (CL, green), cephalothorax width (CW, purple) and total length (TL, blue) are indicated. Photo: Christiane Eichner.
Metoder
I denne studien konstruerte vi en hesteskoformet, stående sløyfe av gjennomsiktige rør hvor vi satt inn filterdukinnsatser i sammenkoblingene (figur 7.2). Ved tilsetting av vann og bruk av en strømlikerettende honeycomb samt en avtakbar plugg i utløpet kunne vi skape stabil eller dynamisk vannstrøm. Oppsettet innebar enten stabil vannhastighet (fase 1), eller fluktuerende retning og styrke på vannet (fase 2) lagd ved å sette pluggen i avløpet i noen sekunder og flushe ved å fjerne pluggen. Fase 2 simulerte turbulent, fluktuerende bølgebevegelser eller den varierende vannstrøm ut av en orkastnot når brønnbåten suger opp fisk og vann. I røret monterte vi ulike duker/filtre og registrerte hvilke lus som passerte fra oppholdskammer 1 til oppsamlingskammer 2 (figur 7.2). Vi testet replikate grupper av ulik luseart, livsstadium og dukenes egenskaper. Maskestørrelser testet var 0,8/ 1,6/ 2,0 mm polyester duk med stive firkante masker, og catchLICE™, med et nominalt 2,0 mm × 3,4 mm heksagonalt vev (figur 7.3). Diagonale åpninger var henholdsvis 1,1 mm/ 2,3 mm/ 3,2 mm / 3,4-5,8 mm (normal-strukket). Masketyper og lusestadier (art, livsstadium, kjønn) ble målt i henhold til standardiserte metoder. Vi testet alle mobile stadier av lakselus (pre-adult I hann og hunn, pre-adult II hann og hunn, voksen hann, voksen hunn), samt voksne av C. elongatus (begge kjønn samlet). Deretter målte vi lengde og bredde for et utvalg av lakselus (alle mobile livsstadier) og C. elongatus (voksne) i henhold til figur 7.1. Eggstrenger av lus var hentet fra kommersielle oppdrettere og de ulike stadiene produsert fra kopepoditter satt på laks, mens rognkjeks ble benyttet som vert for produksjon av skottelus.
Figur 7.2. A) Tegning av forsøksoppsett med piler for vannstrømmens hovedretning. Lusen som skulle testes ble plassert i kammer 1 og duk montert mellom kammer 1 og 2. Lus som ble funnet i kammer 2 hadde passert gjeldende duktype. B) Bilde av kammer 1 med planktonduk øverst og eksperimentell duk nederst. C) Bilder av de ulike stive polyetylen duker testet og den fleksible heksagonale catchLICE duken. A) Schematic diagram of the filtering apparatus. Lice was placed in chamber 1 and any lice found in chamber 2 was considered not collected. B) Photo of chamber 1. C) Photos of polyetylen nets used in the test setup and the flexible hexagonal catchLICE net.
Resultat og diskusjon
Lusenes størrelse (cephalothorax bredde) økte med livsstadie og eksempler er gitt i figur 7.3. Frekvensdiagrammene viser hvordan luseindivider innen samme stadium dekker en distinkt størrelsesfordeling. Vertikale linjer indikerer de ulike diagonale åpninger for duker/ nøter testet. Således viser figuren maskestørrelse og sannsynlighet for at de ulike stadier av lus går gjennom. Denne enkle modellen viser at sannsynligheten for å bli samlet opp er avhengig av dukens maskeåpning. Duken med minste maskestørrelse (diagonal 1,1 mm) burde fange alle lus, mens dukene med størst maskestørrelse (diagonal 3,2 mm eller catchLICE) burde fange voksne hunnlus og ingen av de mindre lusene. Det var stort samsvar mellom hva som faktisk ble samlet opp eller passerte dukene og modellen i figur 7.3.
Figur 7.3. Frekvensdiagram som viser tetthet av luseindivider innen samme stadium i forhold til deres størrelse, mens linjene indikerer de ulike maksimale diagonale åpninger for duker/ nøter testet. Fra venstre til høyre: lys blå = nominell 0,8 mm firkantet nett; mid blå = nominell 1,6 mm firkantet nett; mørk blå = nominell 2 mm firkantet nett; grønn = catchLICE™-nett. Size frequency distribution of cephalothorax width within some of the louse classes (species, life stage and sex), depicted by a density kernel. Vertical dashed lines indicate the maximum dimension of the mesh opening for each net type (diagonally for square meshed netting, end-to-end for catchLICE™). From left to right: light blue = nominal 0.8 mm square mesh; mid blue = nominal 1.5 mm square mesh; dark blue = nominal 2 mm square mesh; green = catchLICE™ mesh.
I rørkammer forsøkene med duker/ nøter var det et åpenbart samsvar mellom lusens størrelse, dukens maskeåpning og oppsamlingsfrekvens (Figur 7.4). Den minste duken testet, 0,8 mm firkantet polyetylen med diagonal åpning på 1,1 mm samlet alle mobile livsstadier av begge kjønn (pre-adult I til voksen L. salmonis og voksen C. elongatus). Firkantduk på 1,6 mm (diagonal åpning 2,3 mm) samlet alle pre-adult II hunner og voksne L. salmonis, men ikke alle voksne C. elongatus. Den største firkantduk testet, 2 mm (diagonal åpning 3,2 mm) og catchLICE™ orkastnot samlet alle voksne hunner av L. salmonis, men med varierende grad av passerende lus av alle mindre stadier. Basert på målingene av cephalothorax-lengde, -bredde og -høyde for hvert lusestadium så vi at størrelse ikke var den eneste faktoren som var bestemmende for suksess i oppsamlingen. Flere lus som kunne ha passert gjennom maskenes åpninger ble ofte samlet opp, selv etter at gjentatte «spylende» fluktuerende vannstrømmer var utført. Observasjoner av atferden til noen lus kan delvis forklare denne diskrepansen da noen lus grep tak i og kravlet på dukens overflate.
Figur 7.4. Resultater fra filtreringstester der andelen lus enten blir samlet inn eller tapes i fase 1 (konstant vannstrøm) eller fase 2 (varierende vannstrøm) med filtre på 0,8-2,0 mm eller CatchLICE. Lakselus (A) er presentert etter livsstadium og/eller kjønn: PA1M/F = pre-adult I hann/hunn, PA2M/F = pre-adult II hann/hunn, AM = voksen hann, AF = voksen hunn. For noen forhold var kjønnspåvisning av pre-adult I individer usikker, så kjønnene er slått sammen i disse tilfellene (PA1). For C. elongates (B) ble kun voksne testet, med kjønnene slått sammen. Results of filtering trials where proportion of lice are either collected or lost in phase 1 (constant wtare flow) or phase 2 (fluctuating water flow) with filters of 0.8-2.0 mm or catchLICE. Salmon lice (A) are presented by life stage and/or sex: PA1M/F = pre-adult I male/female, PA2M/F = pre-adult II male/female, AM = adult male, AF = adult female. For some conditions, sexing of pre-adult I individuals was uncertain and so sexes are pooled in those instances (PA1). For C. elongates (B), only the adult stage was tested, with sexes pooled.
Totalt sett så kan vi konkludere med at en finmasket oppsamlingsduk kan benyttes som en metode for å samle opp lus som faller av under trenging, spesielt for de største lusestadiene. En oppsummerende tabell 7.1 er gitt for hvilken maskestørrelse som må til for å sikre god oppsamling av de ulike stadiene.
Stadie
PA1-male
PA2-male
PA1- female
PA2-female
Adult male
Adult female
Caligus
Minimum mesh size (mm)
0.8
0.8
≈1.5
1.6
1.6
2/ catchLICE
<1.6
Tabell 7.1 Maskestørrelse (nominell bar lengde) som må til for å få bortimot 100% oppsamling av de ulike lusestadier. Mesh size (nominal bar length) required to achieve nearly 100% collection of the different lice stages.
8 - Småskala oppsamling med catchLICE
Bakgrunn
Basert på foregående resultater hvor lusen åpenbart faller av under trenging, den overlever, kan spres og re-infestere eller samles opp med rett maskestørrelse er det et behov for å teste, undrer kontrollerte småskala merdforsøk om det er mulig å samle opp lusen med dagens markedstilgjengelige teknologi, catchLICE not. Ettersom denne noten også er meget finmasket sammenlignet med normal not/ orkastnot er det et behov for å dokumentere hvordan laksen velferd påvirkes likt eller ulikt.
Metode
I forsøkene beskrevet i kapittel 3 ble catchLICE nøter benyttet for å teste dens effektivitet på oppsamling av lus. Vi gjennomførte 4 trengingsforsøk med 3 replikate fiskegrupper hver gang, i merder på 125-2000 m³, ved å bruke enten en standard eller catchLICE orkastnot. Løsrevne lus som passerte gjennom orksnoten ble samlet inn ved hjelp av en 350 µm planktonduk plassert rundt noten. I forsøk 4 ble det i tillegg benyttet pumper med lusefiltre plassert både inne i orkastnot og mellom orkastnot og planktonduk. Andeler av lus som ble "tapt" fra fisk kunne kvantifiseres i pumpenes filtre eller i planktonduken.
Resultat
Den totale oppsamlingsraten for lakselus, gjennomsnittlig over de siste tre forsøkene (overordnet gjennomsnitt), var omtrent 30 % når catchLICE ble brukt. Oppsamlingsraten fra forsøk 1 ble ikke estimert på grunn av utilstrekkelig antall løsrevne lus. I de fleste forsøkene ble voksne hunnlus samlet i betydelig høyere grad enn de andre lusestadiene (figur 3.1), med gjennomsnitt på 75 % over de tre siste forsøkene. Gjennomsnittlig oppsamling for de andre lusestadiene var under 20 % (PA1 = 12 %, PA2 = 15 %, AM = 16 %). Ingen preadult 1 lus ble samlet av catchLICE i noen av de første 3 forsøk.
I forsøk 4 var det betydelig høyere oppsamlingsrate for alle lusestadiene som følge av at det ble plassert pumper inne i orkastet som samlet opp lus etter hvert som de falt av. Disse skulle skape mer realistiske forhold ved å etterligne effekten av typiske sugepumper i brønnbåter. Pumpene bidro altså til å fange flere av lusene som falt av fisken (figur 3.1 og 8.1). Pumpene på innsiden av begge typer orkastnøter samlet lignende mengder PA1 og Caligus elongatus, men i catchLICE ble betydelig flere av de større stadiene av lakselus samlet (figur 8.1). Oppsamlingsraten for C. elongatus var 37 %, og ble samlet i samme rater som de mindre stadier av lakselus.
Oppsummert så vi at innsamling av de løsrevne voksne hunnene var relativt effektiv ved bruk av catchLICE not (~75 %), mens en annen metode eller mer finmaskete duker/ nøter er nødvendig for å kunne samle inn de mindre lusestadier på en pålitelig måte. Men ved bruk av mer finmaskete nøter vil mindre vann strømme naturlig gjennom og det er derfor viktig å sørge for at nivået av oksygen opprettholdes og at annen vannkvalitet ikke blir uakseptabel.
Figure 8.1. Fra forsøk 4 vises andel av oppsamlet lus per stadie/ luseart i orkast not type catchLICE eller standard i henholdsvis pumpefilter på innsiden av orkastet (grønn) eller på orkastnoten (lysegrønn). Resterende andel lus ble tapt gjennom orkastnot og samlet med pumpefilter på utsiden av orkastnot (oransje) eller på plankton not (rød) plassert rundt orkastnoten. Lusestadier for Lepeophtheirus salmonis PA1 = pre-adult I, PA2 = pre-adult II, AM = voksen hann, AF = voksen hunn; Cal = skottelus, Caligus elongatus . Detailed outcome for mobile lice stages during trial 4, showing the proportions of detached lice that passed through the crowding net and was caught on the plankton net (red) or by the pump and filter outside the crowding net (orange) and lice that were retained within the crowding net for collection (light green) or caught by the pump and filter inside the collection net (green). Louse classes denote: Lepeophtheirus salmonis life stages: PA1 = pre-adult I, PA2 = pre-adult II, AM = adult male, AF = adult female; Cal = Caligus elongatus.
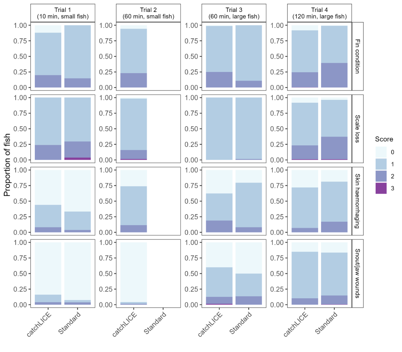
Velferdskår
Når ny teknologi introduseres i industrien, er det viktig å opprettholde og sikre god fiskevelferd. Under avlusingsoperasjoner er trenging sett på som en faktor som kan bidra til dårlig fiskevelferd og økt dødelighet. I forsøk 4 av denne studien så vi at laks som ble trengt i opptil 2 timer i catchLICE-noten hadde bedre velferdskår enn tilsvarende grupper av laks som ble trengt sammen i en standard orkastnot (figur 8.2). Den finmaskede orkastnoten forbedret velferdskår gjennom redusert skjelltap, finne- og blødningsskader.
Det er sannsynlig at de mindre maskestørrelser gir bedre støtte til finner og andre kroppsdeler sammenlignet med større masker, noe som kan redusere finneslitasje, skjelltap og sår. Imidlertid øker mindre masker også kontaktområdet med fisken, og kan føre til økt skjelltap. Men fisk som ble trengt sammen med catchLICE hadde lignende eller bedre tilstand på skinn skår sammenlignet med de i standard orkast. En mulig forklaring kan være at den finere duken som ble brukt i catchLICE hadde veldig tynne tråder, vevd relativt komplekst sammen med stor overflate, noe som betyr at det er færre 'trykkpunkter' enn med et knutet not eller en not vevd med grovere tråd. Anektodiske rapporter fra oppdrettere tyder også på at fisk er roligere når de er trengt sammen i catchLICE-nettet (Steffen Kildal, Askvik Aqua AS), og roligere fisk har mindre sannsynlighet til å pådra seg skader, selv når de er trengt sammen med høy tetthet. Selv om overfladiske skinnskader under trenging kanskje ikke er direkte skadelige for fisken, kan de øke sårbarheten for sekundære infeksjoner og videre sårutvikling. Gjennom bruk av finere not for å redusere slike skader kan man derfor i stor grad forbedre fiskevelferd under trenging.
Figur 8.2. Fordeling av velferdsskår (0-3, god-dårlig) blant fisk etter trenging standard orkastnot eller CatchLICE-not i de fire forsøkene. Kun velferdsskår som vanligvis er assosiert med skader etter trenging er vist. I forsøk 2 var det kun benyttet catchLICE-not. Distribution of welfare scores (0-3, good-bad) among fish crowded using a standard crowding net or catchLICE net in each of the four trials. Welfare metrics commonly associated with net abrasion are selected for display. Note, only catchLICE net was used in Trial 2.
Diskusjon
Finmaskede orkastnøter er et lovende tiltak for å begrense spredning av løsrevne bevegelige lus til det omkringliggende miljøet, samtidig som skader på fisken kan reduseres. Sugepumpe eller i kommersiell praksis, brønnbåtens pumpe, vil samle opp store mengder av den løsrevne lusen fra orkastvolumet. Ytterligere fordeler kan sannsynligvis oppnås ved å minimere trengetiden. Det er viktig å opprettholde et godt oksygenmiljø når den finmaskete noten reduserer mengden med innstrømmende friskt vann i forhold til en mer grovmasket not.
For å illustrere effekten av oppsamling har vi laget følgende regneeksempel: I en merd med 200 000 laks og 0,5 voksne hunnlus per fisk (dagens grense for når avlusing må skje), vil det være 100 000 voksne hunner. Basert på denne studien er det sannsynlig at omtrent 10 %, eller 10 000 voksne hunner vil løsne under trenging. Hvis vi veldig tentativt anslår at 10 % av disse re-infesterer en oppdrettslaks (1000 stk) og produserer ett par eggstrenger den påfølgende uken vil dette resultere i omtrent 500 000 nye infeksiøse lakseluskopepoditter. Ved å bruke en luseoppsamlende orkastnot under trenging kan omtrent 7 500 av disse voksne hunnene fanges, noe som reduserer den potensielle eggproduksjonen med over 400 000. Hvis denne tilnærmingen ble skalert til hele anlegg (×10), eller hvis alle merder brukte oppsamlingsnøter ved trenging ville det forhindre at enorme mengder mobile lakselus og deres avkom slippes ut i miljøet.
9 - Oppsamling av lus i kommersiell skala
Bakgrunn
Basert på foregående resultater og småskala kontrollerte merdforsøk med luseoppsamling under trenging ser vi at det er et behov for å verifisere funnene i kommersiell skala. Slikt arbeid er vanskelig da det eksisterer utallige faktorer som kan påvirke resultatet. Målet var likevel å utvikle, teste og bruke en metode for å estimere antall lus som ble samlet opp per fisk ved bruk av orkast med catchLICE sammenlignet med standard orkast.
Metode
Vi var med på brønnbåter ved trenging av slaktefisk. Det ble benyttet et orkast med catchLICE og et orkast med standard orkstnot/ perlebånd benyttet direkte på hovednoten (figur 9.1). Det meste av vannet fra avsilingen ble filtrert med planktonduk og alle mobile stadier av lus ble samlet opp sammen med skjell og tidvis meget små mengder av annet biologisk materiale. Etter at all fisken var ombord og noten var tom for fisk ble filtre tømt og veid etter 20 minutter tørketid. Fra det filtrerte materialet ble det tatt ut 6 tilfeldige prøver på 20-30 g. Disse ble analysert for mengde lus og total antall lus oppsamlet ble beregnet. Antall fisk per kast ble beregnet av brønnbåt. Til sist ble antall lus oppsamlet per fisk estimert.
Figur 9.1. I de 3 første bilder benyttes catchLICE orkastnot og de to siste trenges fisken i hovednot. Under begge operasjoner suges fisk og vann opp og ombord i brønnbåt. Foto: Velimir Nola. In the first 3 images, catchLICE net is used for crowding, and in the last two, the fish are crowded using the main net. During both operations, fish and water are sucked up and onboard the wellboat. Photo: Velimir Nola
Resultat og diskusjon
Relativ mengde oppsamlet lus per fisk med catchLICE vs standard orkast hos 6 ulike merdgrupper av laks ga forholdstall på 1,8/ 0,5/ 2,0/ 1,0/ 1,1/ 1,0. Det var ingen signifikante forskjeller mellom type orkast. Den oppsamlete mengde lus i filtrene varierte fra 1,2 til 4,5 kg fordelt på mellom 17 og 38 tusen laks i hvert av de individuelle orkast.
Det ble vurdert at en rekke feilkilder som var tilstede i disse kommersiell skala studiene som skiller dem distinkt fra de mer kontrollerte småskala testene: det var tidvis gjenværende fisk/ dødfisk i orkastet med store mengder re-etablert lus per fisk; det ble tidvis observert lus som henger igjen på catchLICE not eller i lommer som ikke ble samlet opp; det er muligens økt løsrivelse med standard orkast enn catchLICE pga ulik fiskeatferd/ - aktivitet og ulik notfriksjon; det kan ha vært høy løsrivelse av lus i pumpe/ rør/ avsilingssystemer som kamuflerer nivåforskjeller mellom de ulike orkast typene. Påstanden om at det er mulig at flere lus falt av i standard orkast vs catchLICE er også støttet av en trend i småskalaforsøk. I så fall vil oppsamling kunne bli lik mellom orkasttypene. Et annet relevant punkt er at hvis kun 10 % av voksne hunner faller av i orkastet er det også meget vanskelig å se forskjell på filtertall i brønnbåt som inkluderer pumping og rørtransport av fisken med muligens opp mot 50 % ytterligere løsrivelse underveis.
ROV ble benyttet på utsiden av orkastnoten ved noen tilfeller. Utenfor orkastet ble det da observert betydelige mengder skjell og en og annen lus ved standard orkast, mens begge var fraværende ved lignende ROV observasjoner på utsiden av catchLICE noten. Dette peker i retning av at catchLICE noten samler opp lus, men slike observasjoner må gjøres systematisk for å underbygge påstanden. En slik metode bør vurderes ved fremtidige studier.
Oppsummert så var det ingen åpenbare forskjeller og høy variasjon mellom antall lus som ble samlet per fisk gitt bruk av catchLICE eller standard orkast. På tross av iherdig innsats for å få tak i gode sammenlignbare tall ved bruk av de ulike orkastnøtene tror vi at det er for mange feilkilder til at vi kan stole på resultatene.
10 - Oppsummering, beste praksis og fremtidige perspektiver
Prosjektet har hatt høy måloppnåelse og de viktigste funn kan relateres direkte til hoved- og delmål som gitt i kapitell 1. Hovedfunn inkluderer følgende:
Bevegelige lus løsner i betydelig grad (opp mot 40%) under kontrollert småskala trenging og håndtering. Flere av de små «preadulte» enn de store «voksne» lakselus løsner. Også de voksne, mobile skottelus løsner.
Det er åpenbart at lakselusen kan leve lenge (5-25 dager) uten vert i typiske kyst- og fjordmiljø og de lever lengst ved lave temperaturer og som voksne hunner. Overlevelse i brakkvann med saltholdighet 24 er uendret, mens saltholdighet på 12 fører til omtrent halvering av levetiden.
Bevegelige stadier av laks- og skottelus har høy evne til å re-infestere ny laks.
Ettersom lusen synker relativt raskt (0,5-1,8 cm/s) sprer den seg hovedsakelig innen eget oppdrettsanlegg eller til villfisk som er nært anlegget.
De bevegelige stadiene av lakselus sin bredde er i størrelsesorden 1,7-4,5 mm fra preadult 1 hann til voksen hunn. Bevegelige lakselus kan samles opp med maskestørrelse 0,8-1,6 mm for preadulte, 1,6 mm for voksne hanner og 2 mm for voksne hunner hvor diagonal maskestørrelse er henholdsvis 1,1/ 2,3/ 3,2 mm. Voksne skottelus samles med maskestørrelse <1,6 mm.
Oppsamling er mulig med rette maskestørrelse i forhold til lusens størrelse/ stadium. Den mest effektive teknikken for å begrense antallet lus som slippes ut i miljøet er ved å bruke en relativt finmasket orkastnot, helst i kombinasjon med en sugepumpe inne i det trengte volumet for å samle løsrevne lus i alle størrelser og skape en negativt trykkgradient gjennom orkastet.
Innsamling av data ved kommersiell bruk av ulike orkastnøter ble gjennomført på ulike anlegg, med ulike båter, til ulike tider og med forbedret prøvetaking underveis. Likevel var det for mange faktorer som er vanskelig å kontrollere eller få gode data på. Vi mener at datamaterialet ikke er godt nok til å bekrefte eller avkrefte catchLICE versus normal orkast sin luseoppsamlende effektivitet i kommersiell bruk eller dens reduserte eller økende effekt på løsrivelsesrate. Hele delmål 3 (av 6) fikk dermed ikke en endelig konklusjon: "utvikle bruk og dokumentere teknologi for oppsamling av bevegelige lakse- og skottelus i kommersiell skala anlegg med fokus på effektivitet, kapasitet og dyrevelferd".
Beste praksis
Lusene som faller av under trenging bør samles opp og destrueres. En åpenbar metode er å bruke en finmasket not/ duk som hindrer lusen i å nå det omkringliggende miljø og samtidig blir samlet opp direkte eller brakt om bord i brønnbåt hvor den filtreres ut. Alle brønnbåter bør ha gode filtersystemer på vannet som avsiles før laksen går inn i brønn eller avlusingssystem. Oppsamling kan redusere behovet for fremtidige avlusinger. Oppsamlingsteknologi med finmasket not kan også gi mer skånsom trenging av laks.
Utover oppsamling finnes det flere tiltak, metoder eller prosedyrer som kan bidra til å redusere mengde lus som faller av og dermed kan bidra til å minimere spredning av løsrevne lus. Lusen falt av over tid, noe som betyr at jo lengre fiskene er trengt, desto flere lus vil løsne. Redusert trengetid vil dermed kunne gi færre løsrevne lus. Bruk av ulike skjørt eller oppsamlingsnøter vil kunne redusere spredning enten ved at lusen synker ut av merden/ anlegget eller samles opp. Ved å planlegge trenging i forhold til vannstrømmens retning og styrke kan man minimere spredning til andre merder. Ved å minimere trenging i perioder når ville laksesmolt er kjent for å passere lokaliteten kan spredning til ville laksefisk reduseres. Brønnbåter må ha gode system for oppsamling av lus ombord, inkludert effektive filtre som vedlikeholdes og fungerer til enhver tid. Restfisk i orkastet har ofte påslag av lusen som har falt av. Mange slike fisk bør ikke gå direkte tilbake til merden da disse kan utgjøre en betydelig mengde lus. Dersom flere oppdrettere i områder og regioner sørger for oppsamling av løsrevne bevegelige lus vil den akkumulerte effekten øke.
Fremtidige forskningsbehov og teknologiske utviklingsmuligheter
Næringen kan utvikle flere ulike orkastnøter som er tilpasset oppsamling av også de minste stadiene av lus som faller av. Små lus har absolutt størst løsrivelsesrate, synker saktest og har dermed størst spredningspotensial. Det er samtidig viktig å sikre at slik ny teknologi er tilpasset laksens behov for friskt vann og tilstrekkelig oksygen.
Basert på innspill fra oppdretterne og diskusjoner i prosjekt-/ referansegruppen ble det satt opp en del utfordringer og behov som det bør jobbes videre med.
Erfaringsmessig ser man påslag av bevegelige lakselus når naboanlegg >2 km unna håndterer/ avluser fisken sin. En hypotese er at bevegelige lakselus kanskje bruker andre arter som transportvert mellom anlegg. Selv om vi vet lite om kapasiteten til de mobile lakselus stadiene sin evne til å feste seg til andre overflater, observeres de ofte festet til veggene i kar eller inkubatorbrønner, og de kan derfor også ha evnen til midlertidig å bruke strukturer rundt merden, som not, tau, flytere og ulike alger i tiden mellom de løsner fra verten og til de finner en ny vert. Men slik atferd vil kun begrense seg til å kunne reinfestere laks i eget anlegg. Lakselus av de bevegelige stadier har derimot også blitt observert på andre arter enn laksefisk (sei) som ble fanget rundt lakseanlegg (Bruno og Stone, 1990; Lyndon og Toovey, 2001). Slik villfisk er også kjent for å bevege seg mellom anlegg, noe som antyder en annen potensiell smittekilde mellom anleggene. Spredning av lakselus gjennom bruk av en transportvert er ikke kjent i detalj, men kan studeres i fremtiden. I så fall vil dette komme som et alternativ på toppen av spredningsmodellen som kun gir uttrykk for direktespredning av frittsvevende bevegelige lakselus med vannstrømmen.
Finmaskete orkastnøter vil gi redusert innstrømming av friskt vann og det vil hyppigere oppstå perioder med lavt oksygen, spesielt ved høye temperaturer, stor fisk og høy biomasse. Gode metoder for å kontinuerlig sikre akseptabelt oksygenmiljø i orkastet bør videreutvikles og dokumenteres. Håndtering av noten kan bli mer utfordrende med bruk av finmasket not og noen oppdrettere vegrer seg for å ta disse i bruk. Utvikling av tilpassete løsninger og gode rutiner kan lages, dokumenteres og opplæring gis.
Det er fortsatt behov for dokumentasjon av den luseoppsamlende effekten av en finmasket orkastnot i kommersiell bruk. Metodene vi benyttet i dette prosjektet hadde for mange feilkilder og ga ikke klare svar. Basert på pilot observasjoner kan en fremtidig metodikk være å benytte en undervannsdrone på utsiden av orkastnoten for å observere hvor mange bevegelige lus som passerer. Et slikt oppsett vil kreve gode lysforhold, god sikt og planlagte, repetitive transekter. Det totale antallet av lus som slippes ut vil ikke kunne bestemmes, men den relative oppsamlende effektiviteten mellom ulike orkastnøter og metoder kan bestemmes.
11 - Referanseliste
Arbeider fra dette prosjektet
Barrett, L. T., Oppedal, F., Harvey, M., Eichner, C., Sambraus, F., Dalvin, S., 2025. Collection rates of detached mobile sea lice according to net mesh and body size: a benchtop model. Aquacultural Engineering, 102514. https://doi.org/10.1016/j.aquaeng.2025.102514
Barrett, L., Jensen, M.F, Dalvin, S., Oppedal, F., (in prep). Behaviour and dispersal of mobile salmon lice when detached from the host.
Dalvin, S., Oppedal, F., Harvey, M., Barrett, L., 2025. Salmon lice detached during aquaculture practices survive and can reinfest other hosts. Aquaculture 598, 742065. https://doi.org/10.1016/j.aquaculture.2024.742065
Geitung L., Barrett, L.T., Nola, V., Dalvin, S., Vatne Martinsen, L., Dahlgren, A., Oppedal, F., (submitted manuscript). Crowding causes detachment and loss of mobile sea lice: fine-meshed crowding nets may mitigate spread.
Annen litteratur
Bruno, D. W., Stone, J. (1990). The role of saithe, Pollachius virens L., as a host for the sea lice, Lepeoptheirus salmonis Krøyer and Caligus elongatus Nordmann. Aquaculture, 89 (3-4) 201-207.
Guttu, M., Båtnes, A., Aunsmo, A., Bjørnland, T., Olsen, Y., 2025. Detachment and re-attachment of Salmon lice during full-scale delousing operations on Salmon farms. Aquaculture 594, 741372
Lyndon, A. R., Toovey, J. P. G. (2001). Occurrence of gravid salmon lice (Lepeophtheirus salmonis (Krøyer)) on saithe ( Pollachius virens (L.)) from salmon farm cages. Bulletin of the European Association of Fish Pathologists, 21 (2) 84-85.