Gå til hovedinnhold

Vurdering av samlet påvirkning fra matsystemer på marine kystøkosystemer i Nord-Norge (Troms – Kvaløya til Loppa)

— CoastShift – et Framsenteret prosjekt

Forfatter(e): Katherine Mary Dunlop , Johanna Myrseth Aarflot , Angelika Renner , Ulf Lindstrøm , Ragni Olssøn , Hans Kristian Strand (HI), Anna Siwertsson (Akvaplan-niva), Per Fauchald og Kjetil Sagerup (Norsk Institutt for Naturforskning)

Sammendrag

Denne rapporten presenterer resultater fra en helhetlig vurdering av risiko for samlet negativ miljøpåvirkning fra matproduserende sektorer på marine kystøkosystemer i en casestudie-region i Nord-Norge, definert som produksjonsområde 11 for havbruk jf. trafikklyssystemet. I dette området fra Kvaløya i Troms til Loppa i Finnmark, er det i dag flere matproduserende og/eller -distribuerende sektorer. Disse er her kategorisert som akvakultur, fiskeri, fritidsjakt og fiske, landbruk og marin transport. Denne risikovurderingen evaluerer påvirkningsfaktorer fra de ulike sektorene, og hvordan disse kan ha miljømessig innvirkning på marine økosystemer. Rapporten presenterer også tilgjengelige data på marine økosystemkomponenter i området. I arbeidet har vi benyttet rammeverket ODEMM (Options for Delivering Ecosystem-based Marine Management) for å vekte ulike påvirkningsfaktorer og evaluere i hvilken grad de har potensiale til å påvirke negativt marine kystnære økosystemkomponenter, både hver for seg og sett under ett. Rapporten gir en detaljert forklaring av informasjonskildene brukt i den helhetlige risikovurderingen. Påvirkning fra fiskeriene ble vurdert å utgjøre den største risikoen for negativ påvirkning på det marine økosystemet i dette området, hovedsakelig gjennom effekter fra høsting, bifangst og fysisk påvirkning på sjøbunn. Disse påvirkningsfaktorene utgjør en risiko for samlet negativ påvirkning på både målarter (høsting) og ikke-målarter (bifangst, fysisk påvirkning) spesielt for bunnfisk, pelagisk fisk, bentiske krepsdyr og bentisk fauna. At påvirkninger fra fiskeri er vurdert å utgjøre den største risikoen betyr ikke at fiskeri har en uakseptabel negativ påvirkning på kystøkosystemet i regionen. For å kunne gjøre en slik vurdering må også tilstanden i økosystemet inkluderes, og det er ikke gjort her. Marin transport, akvakultur og fritidsbasert jakt og fiske hadde en samlet risikoscore på rundt en sjettedel av fiskeri fordi de primære påvirkningsfaktorene fra fiskeri anses å være mer utbredt enn påvirkningsfaktorer fra de øvrige sektorene, og har i tillegg en akutt eller kronisk effekt på bunnfisk, pelagisk fisk, bentiske krepsdyr og øvrig bentisk fauna. Undervannsstøy, oljeforurensning og miljøgifter er påvirkningsfaktorer fra marin transport som berører flere økosystemkomponenter og stod for mesteparten av risikoen fra denne sektoren. For akvakultur var påvirkningsfaktorene miljøgifter, parasitter, genetisk endring, og organisk belastning de største bidragsyterne til samlet påvirkningsrisiko, mens det største bidraget fra fritidsbasert jakt og fiske var fra høsting, utilsiktet tap og også her miljøgifter. Anadrom fisk, sjøpattedyr og sjøfugl ble vurdert til å være eksponert for flere påvirkningsfaktorer, men har en lavere samlet risiko for negativ påvirkning enn bunnfisk, bunnfauna, bentiske krepsdyr og pelagisk fisk. For anadrom fisk var genetisk endring og parasitter fra akvakultur samt undervannstøy fra marin transport de dominerende påvirkningene. Samlet risiko for sjøpattedyr og sjøfugl var en kombinasjon av flere påvirkningsfaktorer som inkluderte utilsiktet tap, bifangst og forsøpling. Tidlige livsstadier av fisk er mer sårbare for miljøgifter enn andre grupper og hadde derfor størst risiko knyttet til denne påvirkningsfaktoren som knyttes til akvakultur, marin transport og fritidsfiske. Planteplankton, dyreplankton, makroalger og ålegress er økosystemkomponentene med lavest samlet risiko for negativ påvirkning og var kun eksponert for noen få påvirkningsfaktorer, som næringssalter og miljøgifter. Resultater som viser de kumulative negative påvirkningene på kystøkosystemer i nåtid (2021–2023) vil i neste omgang bli sammenlignet med lignende vurderinger av mulige fremtidsscenarier for matsystemer i Nord-Norge (2040). Slike oppfølgende studier vil utgjøre en sentral del av Framsenter-prosjektet CoastShift, som har som mål å bidra med nødvendig kunnskap for å utvikle framtidige bærekraftige matsystemer i Nord-Norge.

1 - Området for studien – Kvaløya i Troms til Loppa

Norskekysten har siden 2017 vært inndelt i 13 produksjonsområder for havbruksnæringen. Denne inndelingen fungerer som et forvaltningsverktøy for næringen (Nærings- og Fiskeridepartementet, 2017). Grensene mellom produksjonsområdene er satt på bakgrunn av hydrografiske forhold, med målsetning om å minimere spredningen av lakselus mellom oppdrettsanlegg i ulike regioner langs kysten (Ådlandsvik, 2015, 2022). Denne risikovurderingen har vurdert produksjonsområde 11 (PO11), som strekker seg fra den sørlige delen av Kvaløya i Troms til Brynilen ved fylkesgrensen mot Finnmark (Fig. 1). Området ble valgt fordi det representerer et godt eksempel på et kystområde med variert matproduksjon (akvakultur, fiskeri, landbruk, turist- og fritidsfiske, samt jakt og marin transport), og fordi risikoen for samlet negativ påvirkning på økosystemene som følge av menneskelig aktivitet ikke har vært vurdert tidligere, i motsetning til i produksjonsområde 12 (Aarflot et al. 2024a). Det finnes også mye og god lokalkunnskap om produksjonsområde 11 hos forskningsinstitusjoner med tilholdssted i Framsenteret (Nordområdesenter for klima og miljø) når det gjelder matproduksjon, økologiske faktorer og menneskelig påvirkning. Produksjonsområdet strekker seg ut til en nautisk mil utenfor grunnlinjen, og dekker et sjøareal på 7071 km2. Sjøarealet i produksjonsområdet tilsvarer det marine arealet som dekkes av Vannrammedirektivet (Klima og miljødepartementet, 2006).

Kartutstnitt med skala 0 til 100 km, rød ramme rundt PO11, og kommunene delt med svarte linjer. Kart over Norge til venstre, med utsnittet vist i rødt.
Figur 1. Kart som viser utstrekningen av produksjonsområde 11 (rød ramme) og berørte kommuner.

 

Produksjonsområde 11 omfatter kommunene Tromsø, Balsfjord, Storfjord, Karlsøy, Lyngen, Kåfjord, Skjervøy, Kvænangen og Nordreisa, og fiskeriområder: 04-03, 04-02, 04-01, 05-31, 05-39, 04-28, 04-29, 04-27 (05-40). Området dekker også Kvaløya, Ringvassøya, Reinøya, Vannøya, Arnøya, og mange mindre øyer og holmer. Lyngenhalvøya, Skjervøy, Kvænangen og Tromsø by ligger også innenfor produksjonsområdet. Kyststrekningen omfatter også fjordsystemene Balsfjorden, Ullsfjorden, Lyngen, Reisa og Kvænangen, og de store sundene Skagøysundet, Vannsundet, Grøtsundet og Kvalsundet (Fig. 1).

 

Kartutsnitt med skala 0 til 100 km, svart ramme rundt PO11. Symbolforklaring til høyre i bildet. Følgende verneområder er merket inn i kartet: Rødt = Marint vern. Skravert blått = Annet vern. Oransje = Korallrev forbudsområde. Grønt = Nasjonal laksefjord. Skravert grønt = SVO område Senja-Tromsøflaket.
Figur 2. Marine områder av særlig interesse i produksjonsområde 11.

Marine områder av særlig interesse innenfor produksjonsområde 11 er blant andre Ytre Karlsøy marine verneområde (410,2 km2), som er et kystområde med stor variasjon i kystnatur, biotoper og habitater, og inkluderer tareskog, haneskjellområder, og viktige hekke og leveområder for sjøfuglarter. Rystraumen marine verneområde (17,5 km2) er lokalisert i et trangt sund mellom Ryøya og den sørlige delen av Kvaløya, og er vernet på grunn av den sterke tidevannsstrømmen og bunnfaunaen som er tilpasset disse forholdene. Området vurderes som sårbart for menneskelig påvirkning etter flere nasjonale og internasjonale retningslinjer (OSPAR og Artsdatabanken). Det finnes også flere andre verneområder i produksjonsområdet som er relatert til sjøfugl, slik som naturreservatene Auvær og Risøya, og vadefugler/fugler tilknyttet kystsonen (gjelder blant annet naturreservatene Grindøysundet, Kobbevågen, Reisautløpet og Spåkenesøra). I den nordlige delen av produksjonsområdet er det registrert kaldtvannskorallrev (Fugløyrevene), og her er det begrensninger i fiskeriaktiviteter. To av fjordene, Reisafjorden og Kvænangen, er nasjonale laksefjorder og er ment å gi et utvalg av de viktigste laksebestandene i Norge en særlig beskyttelse, inkludert mot oppdrettsvirksomhet i fjord og kystområder (Karlsen et al. 2018). Den nordvestre delen av produksjonsområdet er en del av Tromsøflaket SVO (Særlig verdifullt og sårbart område). Tromsøflaket er en viktig innfallsport for vann, næringsstoffer og biologisk materiale til Barentshavet. Vannmassene har høyere retensjon, og fiskeegg og andre passivt transporterte organismer får en lengre oppholdstid (Fig. 2).

 

2 - Metoder for risikovurdering av negativ påvirkning på marine økosystemet

Risiko for negativ påvirkning på det marine økosystemet basert på den samlede aktiviteten knyttet til matproduserende sektorer i produksjonsområde 11 ble vurdert ved hjelp av ODEMM-metoden (Options for Delivering Ecosystem based Marine Management). Dette er en semi-kvantitativ metode som har blitt brukt i en rekke forskningsprosjekter og nylige forvaltningsråd relatert til samlet menneskelig påvirkning på marine økosystem (f.eks. Knights et al. 2015, Pedreschi et al. 2019, Haynie et al. 2021, Hansen et al. 2022, Aarflot et al. 2024a,b).

Det første som gjøres i en vurdering av samlet påvirkning etter ODEMM-metoden er en screening av mulige påvirkningsfaktorer fra den menneskelige aktiviteten i et område. Dette gjøres ved å etablere en nettverksmodell som kartlegger alle potensielle miljøpåvirkninger fra menneskelige drivere (her, matproduserende sektorer) som kan påvirke en eller flere økosystem-komponenter på en uønsket måte (Knights et al. 2013). I dette produksjonsområdet fra Kvaløya i Troms til Loppa i Finnmark, er det i dag flere matproduserende og/eller -distribuerende sektorer. Disse er her kategorisert som akvakultur, fiskeri, fritidsjakt og fiske, landbruk og marin transport. Denne risikovurderingen evaluerer påvirkningsfaktorer fra de ulike sektorene, og hvordan disse kan ha miljømessig innvirkning på marine økosystemer. Påvirkningsfaktorer knyttet til de matproduserende sektorene i produksjonsområde 11 er gitt i Fig. 3, og koblinger mellom påvirkningsfaktorer og økosystemkomponenter er gitt i Fig. 4. Påvirkningsfaktorer presiseres nærmere for hver matproduserende sektor i del 4.

 

De fem matproduserende sektorene listet vannrett/x-akse, fra innerst til ytterst: Akvakultur, fiskeri, fritidsfiske, landbruk og marin transport. Påvirkningsfaktorer listet loddrett/y-aksen, fra øverst til nederst: Utilsiktet tap, undervannsstøy, tapt habitat, parasitter, organisk belastning, oljeforurensning, næringssalter, nedslamming, miljøgifter, høsting, genetisk endring, fysisk påvirkning, fremmede arter, forsøpling, forstyrrelser, elektromagnetiske felt, bifangst og barrierer.  Blå ruter viser hvilke faktorer som påvirker hvilke sektorer.
Figur 3. Oversikt over påvirkningsfaktorer knyttet til de fem matproduserende sektorene i produksjonsområde 11.

 

 

Påvirkningsfaktorer listet vannrett/x-akse, fra innerst til ytterst: Barrierer, bifangst, elektromagnetiske felt, forstyrrelser, forsøpling, fremmede arter, fysiske påvirkninger, genetiske endringer, høsting, miljøgifter, nedslamming, næringssalter, oljeforurensning, organisk belastning, parasitter, tapt habitat, undervannsstøy og utilsiktet tap. Økosystemkomponenter listet loddrett/y-akse, fra øverst til nederst: Tidlige livsstadier fisk, sjøpattedyr, sjøfugl, planteplankton, pelagisk fisk, makroalger/ålegress, dyreplankton, bunnfisk, bunnfauna, bentiske krepsdyr og anadrom fisk. Effekt av påvirkningsfaktor med følgende farger felt: Gul = lav, brun = kronisk og mørk blå = akutt.
Figur 4. Kobling mellom påvirkningsfaktorer og økosystemkomponenter i produksjonsområde 11. Fargekoden refererer til effekten en påvirkning forventes å ha på en økosystemkomponent (se tabell 1 for definisjon av kategoriene lav, kronisk og akutt). Blanke felt indikerer at påvirkningsfaktoren ikke anses som relevant for økosystemkomponenten. Vurderingene av effekt baserer seg på Hansen et al. (2022) og Aarflot et al. (2024b).

 

Videre blir hver kobling (sektor – påvirkningsfaktor– økosystemkomponent, Fig. 5) i nettverksmodellen evaluert og rangert basert på forventet eksponering, det vil si overlapp i rom og tid mellom en påvirkning og en økosystemkomponent, samt den antatte effekten av påvirkningsfaktoren på komponenten. Eksponering i rom og tid, og forventet effekt, vurderes i grove kategorier (beskrivelse i Tabell 1):

  • Eksponering i rom: stedvis, lokal, utbredt

  • Eksponering i tid: sjelden, noe, ofte, vedvarende

  • Effekt: lav, kronisk, akutt

Hver kategori for eksponering og effekt tildeles en score (Tabell 1). Vi har brukt et vektet scoringssystem siden dette er anbefalt som det mest effektive for å hjelpe forvaltningen til å prioritere mellom ulike menneskelige påvirkninger (Piet et al. 2017). Kort sagt tillegger et vektet scoringssystem høyere betydning til påvirkninger som er akutte og/eller utbredte i miljøet (f.eks. Aarflot et al. 2024a, b). Hver enkelt kobling tildeles deretter en risikoscore, som beregnes som produktet mellom eksponering i rom, eksponering i tid og effekt på økosystemkomponenten. Det er viktig å merke seg at kun direkte påvirkninger på økosystemkomponenter vurderes her, mens indirekte effekter (f.eks. næringskjedeeffekter), ikke er vurdert.

Den samlede risikoen fra påvirkninger kan så beregnes som enten summen eller gjennomsnittet av alle koblinger. Gjennomsnittlig risikoscore per påvirkningsfaktor er beregnet over alle individuelle koblinger (sektor – påvirkningsfaktor – økosystemkomponent) hvor risiko er > 0. En score > 0 betyr at der forventes å være overlapp i tid og rom mellom en påvirkningsfaktor fra en sektor og en økosystemkomponent som er sårbar for den konkrete påvirkningen. Gjennomsnittlig risikoscore kan fremheve påvirkninger som er knyttet til færre sektorer eller økosystemkomponenter, men gir et relativt høyt bidrag til risiko for de økosystemkomponentene som kan bli berørt. Man kan også fremstille risiko som sum per sektor, påvirkningsfaktor og økosystemkomponent. Dette muliggjør en effektiv og systematisk vekting av påvirkningsfaktorer basert på økosystemeksponering og potensiell påvirkning, og gir informasjon til forvaltningen om viktige og mindre viktige påvirkningsfaktorer i området, samt hvilke økosystemkomponenter man anser å ha størst risiko for å bli negativt påvirket av den samlede menneskelige aktiviteten i området.

Risikoscorene som estimeres med ODEMM-metoden reflekterer ikke en sannsynlighet for påvirkning av økosystemene. Den underliggende antakelsen er likevel at risikoen for negativ påvirkning øker med eksponering for en påvirkningsfaktor og alvorlighetsgraden av interaksjonen. I stedet for å beregne en sann sannsynlighet for påvirkning (noe som for de fleste etablerte koblinger ville være en umulig oppgave), er hovedmålet med denne typen vurderinger å etablere et felles grunnlag for å forstå og anerkjenne hvordan menneskelige aktiviteter legger press på det marine miljøet. Dette gir et felles utgangspunkt for diskusjoner og prioritering på tvers av sektorer og beslutningstakere.

 

Kriterier Kategori Beskrivelse Score - vektet
Eksponering i rom Stedvis Overlapp mellom påvirkning og økosystemkomponent i > 0 % og < 5 % av området 0,03
Lokal Overlapp mellom påvirkning og økosystemkomponent i 5–50 % av området 0,37
Utbredt Overlapp mellom påvirkning og økosystemkomponent i > 50 % av området 1
Eksponering i tid Sjelden Økosystemkomponent er eksponert for påvirkningen i opptil 1 mnd. per år 0,08
Noe Økosystemkomponent er eksponert for påvirkningen i opptil 4 mnd. Per år 0,33
Ofte Økosystemkomponent er eksponert for påvirkningen i opptil 8 mnd. per år 0,67
Vedvarende Økosystemkomponent er eksponert for påvirkningen hele året 1
Effekt Lav Påvirkningen er ikke forventet å ha en alvorlig effekt på økosystemkomponenten 0,01
Kronisk Påvirkningen kan på sikt gi alvorlige konsekvenser, hvis den forekommer ofte nok eller på et høyt nok nivå 0,13
Akutt Umiddelbar alvorlig effekt etter en enkel interaksjon med påvirkningen 1
Tabell 1. Kriterier, kategorier og verdier brukt for å vurdere koblingene (Fig. 5) i risikovurderingen, basert på Knights et al. (2015) og tilpasset fra Aarflot et al. (2024 a, b).

 

Figuren har følgende overskrift: «Sektor-påvirkning-økosystemkomponent» kobling. Vi ser tre symboler med pil mellom og med tekst (her gjengitt i parentes). En mann med fiskestang til venstre (sektor: fritidsfiske), pil til fisk og fiskekrok (påvirkning: høsting), pil til stor fisk (økosystemkomponent: bunnfisk). Under disse figurene står det følgende (under de to første symbolbildene): «Hvor eksponert i rom og tid er bunnfisk for høsting fra fritidsfiske?» «Eksponering i rom: stedvis, lokal, utbredt. Eksponering i tid: sjelden, noe, ofte, vedvarende». Under det tredje symbolbildet står det følgende: «Hvilken effekt er høsting forventet å ha på bunnfisk?» «Effekt: lav, kronisk, akutt».
Figur 5. Eksempel på en kobling mellom sektor, påvirkningsfaktor og økosystemkomponent. Ut ifra eksponering og effekt gjøres en vurdering for å skille mellom større og mindre påvirkninger. Figur fra Aarflot et al. (2024 a, b).

 

3 - Økosystemkomponenter

3.1 - Marine økosystemkomponenter

De marine økosystemkomponentene i produksjonsområde 11 er inndelt i elleve ulike økologiske funksjonelle grupper: planteplankton, dyreplankton, bunnfauna, bentiske krepsdyr, makroalger og ålegress, pelagisk fisk, bunnfisk, anadrom fisk, tidlige livsstadier av fisk, sjøfugl og sjøpattedyr. Det finnes ingen entydig konklusjon på hva som utgjør den beste tilgjengelige inndelingen av et økosystem for denne typen analyser. Imidlertid fanger kategoriene som benyttes her opp det levende biotaet i kystøkosystemet og tilsvarer økosystemkomponentene som ble vurdert for produksjonsområdene 3, 4, 9 og 12 i prosjektet CoastRisk (Aarflot et al. 2024a). I grove trekk er dette funksjonelle grupper som forventes å bli likt utsatt for ulike påvirkninger (eksponering vil for eksempel variere mellom økosystemkomponenter på bunnen og i de frie vannmassene), og der påvirkningene forventes å ha sammenlignbar effekt.

3.2 - Planteplankton

Som primærprodusenter utgjør planteplankton grunnlaget for det marine næringsnettet, og er en viktig matressurs for dyreplankton og en rekke filtrerende organismer (f. eks blåskjell). Planteplankton driver med havstrømmene og anses å være til stede i hele PO11. Fordelingen er imidlertid ujevn, spesielt der sirkulasjonsmønstre som fronter og virvler påvirker adveksjon, retensjon, aggregering og spredning (Skardhamar et al. 2007). Vanntransport inn i og ut av fjordene i PO11 påvirkes sterkt av strømmer på sokkelen (kyststrømmen, som transporterer kystvann nordover langs kysten; Atlanterhavsstrømmen, som fører atlantisk vann mot sokkelen og kysten) og ferskvannstilførsel fra land, spesielt under snøsmeltingen om våren. Vind kan fremme vanntransport til eller fra land og forårsake opp - og nedvelling og miksing av vannmasser, og vil dermed innvirke på sokkel-fjordutvekslingen. Mange av disse prosessene er sterkt sesongavhengige og PO11 karakteriseres av ekstreme sesongvariasjoner i solinnstråling. Veksten av planteplankton er lysavhenging, og polarnatten med sola fullstendig under horisonten varer 49 dager i det sørlige hjørnet av området (Eilertsen & Degerlund, 2010). Mengden planteplankton er derfor svært lav om vinteren, og består for en stor del av hvilesporer som antas å danne grunnlaget for våroppblomstringen. Våroppblomstringen starter sent i mars og varer til slutten av april. Våroppblomstringen begynner ofte i en fullstendig gjennomblandet vannsøyle før man senere ser en temperaturdrevet laginndeling av vannmassene, noe som understreker betydningen av innfallende sollys som driver av prosessene (Eilertsen & Degerlund, 2010; Vonnahme et al. 2022). Algesammensetningen i planktonoppblomstringen er stort sett den samme fra år til år og i hele PO11. Blomstringen består av flere ulike arter av hovedsakelig kaldtvannsdiatomeer, (slik som Thalassiosira sp., Chaetoceros sp.) samt haptofytten Phaeocystis pouchetii, med unntak av sporadiske skadelige algeoppblomstringer og sommeroppblomstringer av Gephyrocapsa huxleyi (Degerlund & Eilertsen, 2010; John et al. 2022).  

Lagdelingen i vannmassene fremmes også av ferskvannsavrenning fra land under snøsmeltingen. Dette bidrar til å opprettholde overflateproduksjonen av planteplankton så lenge konsentrasjonen av næringssalter er tilstrekkelig. Ferskvannsutstrømmingen transporterer også planktonmateriale ut mot sokkelen og fremmer produksjon her (Skardhamar et al. 2007). Utover sommeren vil lavere ferskvannstilførsel, mindre grad av vinddrevet omrøring, og nedkjøling av overflaten muliggjøre høstoppblomstringer av planteplankton i månedsskiftet august-september (Vonnahme et al. 2022). Vekstsesongen for planteplankton slutter i oktober, og mengden plankton avtar raskt mot vinteren (Eilertsen & Degerlund, 2010). Produktivitet, horisontal adveksjon av materiale (inkludert plankton) og vertikal eksport av organisk materiale påvirkes alle av koblinger mellom hav, fjord og land. Disse mønstrene er sammenfallende over hele PO11.

Det utenforliggende havområdet vil ha innflytelse selv helt inn i fjordbotner, langs en gradient fra minst påvirkning i innestengte fjorder med grunne terskler (som Balsfjorden) til større påvirkning i åpne fjorder (som Ullsfjorden og Lyngen). Nedslagsfelt og avrenning vil også ha en innflytelse (Wassmann et al. 1996; Vonnahme et al. 2022). Viktigheten av ferskvannstilførsel og temperatur gjør at planteplanktonsamfunnet i denne regionen er utsatt for endringer i klimaet, særlig endringer som påvirker timingen og dynamikken i algeblomstringene. I tillegg kan høyere temperaturer i havoverflaten fremme oppblomstring av skadelige mikroalger, tilsvarende det som ble sett langs kysten av Nord-Norge i 2019 da en oppblomstring av haptophytten Chrysochromulina leadbeateri førte til massedød av laks i oppdrettsanlegg i regionen (John et al. 2022).  

3.3 - Dyreplankton

Dyreplankton beiter på planteplankton, og omdanner energien fra primærprodusentene til mat for nivåene lengre opp i det marine næringsnettet. De mindre størrelsesgruppene og tidlige livsstadiene av dyreplankton utgjør en viktig næringskilde for tidlige livsstadier hos fisk, mens større dyreplankton er en viktig matkilde for voksne, planktonspisende fisk (slik som sild, makrell, lodde), samt sjøfugl og sjøpattedyr. På samme måte som planteplankton blir dyreplankton fraktet med havstrømmer og anses å være til stede i hele PO11. Særlig på kontinentalsokkelen vil mesoskalaprosesser (som fronter og gyrer) og måten disse prosessene styres av banker og trau på sokkelen føre til at det dannes områder med større grad av adveksjon, aggregering, eller retensjon (Zhu et al. 2009). Den nordlige delen av PO 11 overlapper med SVO Tromsøflaket, som sammen med andre banker langs kysten av Troms er blitt beskrevet som et viktig retensjonsområde med forhøyet biomasse av dyreplankton (Eriksen et al. 2021, Zhu et al. 2009; Halvorsen et al. 1999). I motsetning til disse retensjonsområdene vil trau som Malangsdjupet i den sørlige delen av PO11 fungere som viktige kanaler for transport av dyreplankton og annet materiale fra Norskehavet og inn til kysten og videre inn i fjordene i produksjonsområdet. Særlig dyreplanktonarter som utviser døgnvertikalmigrasjon, slik som hoppekrepsen Calanus finmarchicus som dominerer dyreplanktonbiomassen, har vist seg å bruke havstrømmer til å etablere seg på ulike deler av sokkelen (Zhu et al. 2009). 

Sammensetningen av dyreplankton langs kysten og i fjordene gjenspeiler graden av hav-fjordutveksling. I innestengte terskelfjorder som Balsfjorden og Sørfjord innerst i Ullsfjorden kan den lille hoppekrepsen Microsetella norvegica opptre i svært store mengder, mens dyreplanktonsamfunnet i åpne fjorder med regelmessig tilførsel av sokkelvann i større grad domineres av atlantiske arter som Oithona spp og Calanus finmarchicus (Svensen et al. 2018; Trudnowska et al. 2020). På samme måte som for planteplankton vil mengden partikulært materiale fra elver og omrøringen i fjordene bidra til disse forskjellene i dyreplanktonsamfunn. Fordeling, menge og artssammensetning av dyreplankton er svært sesongavhengig. Man vet at Calanus finmarchicus kan overvintre på dypt vann utenfor sokkelen og i dype fjordbasseng (e.g., Halvorsen et al. 2003) for så å forflytte seg til vannlag nær overflaten om våren. Siden det meste av PO11 er grunnere enn 200-300 m vil C. finmarchicus først bli dominerende ganske sent på våren (Coguiec et al. 2021; Walker et al. 2022). Mengden dyreplankton er på det laveste midtvinters før våroppblomstringen, og domineres da av små hoppekreps (Oithona og Microcalanus). Den svært diverse gruppen av meroplankton (plankton som har hvilestadier, hvor det sykner til bunn) er tallrik om våren og sommeren, men har også blitt funnet i store mengder høst og tidlig vinter samtidig som mengden små hoppekreps (slik som Pseudocalanus og Oithona) er på sitt høyeste. I motsetning til tidligere antagelser om at vinteren er en hvileperiode, ser man også aktivitet gjennom polarnatten. Det er mulig at vinteren er en periode for reproduksjon og vekst hos små hoppekreps og andre små dyreplankton, mens større hoppekreps formerer seg og utvikles i løpet av våren og sommeren (Barth-Jensen et al. 2022; Walker et al. 2022). 

3.4 - Bunnfauna

Bunnlevende fauna omfatter alle bunntilknyttede organismer og er en svært variert gruppe. Disse organismene kan leve enten nede i sedimentene (infauna) eller på overflaten (epifauna) av bløtbunn eller hardbunn, fra tidevannsonen ned til dype fjordbasseng langs norskekysten. Denne økologiske gruppen omfatter også mikroorganismer (bakterier og sopp) i tilknytning til havbunnen, i tillegg til større virvelløse dyr som børstemark, nesledyr og bløtdyr. Epifauna inkluderer organismer som lever festet i underlaget (som koraller, svamp og sjøfjær), mens infauna omfatter arter som lever nedgravd i sedimentene, som børstemark. Gruppen inkluderer også frittlevende virvelløse dyr som pigghuder. Det nasjonale kartleggingsprogrammet MAREANO (https://mareano.no/en/about_mareano) kartlegger biodiversitet, habitater og forurensning på havbunnen i norske havområder. Bunnkartlegging i norske kystområder har vært mer flekkvis utført. Et pilotprosjekt ble etablert i 2021 som en del av prosjektet Marine Grunnkart (https://marinegrunnkart.avinet.no/). Dette prosjektet setter søkelys på kartlegging av bunnfauna som antas å være sårbar for menneskelig påvirkning, og derfor er en prioritet for kystforvaltningen å få kartlagt og bevart.

I produksjonsområde 11 ble det i 2021 kartlagt fastsittende epifauna i Skjervøy og Kvænangen, som et av tre nasjonale pilotområder. Indikatorarter for sårbare marine økosystemer på både bløt -og hardbunn i pilotområdet omfatter sjøfjær (Virgularia spp., Funiculina quadrangularis, Pennatula spp.) og svamphager dominert av svamp i slekten Craniella. Den relative sannsynligheten for forekomster av habitater som kjennetegnes av svamp og sjøfjærsamfunn ble predikert for området, basert på kunnskap om fordeling av ulike bunntyper og deres korrelasjon med forekomster av svamp og sjøfjær (Fig. 6).

Kartutsnitt med skala 0 til 30 km. Symbolforklaring til høyre i bildet. Fargede punkter («Sårbare naturtyper») har følgende beskrivelse, fra øverst: Rødt = bløtkorallhage, mørk oransje = cerianthidebunn, oransje = cerianthidebunn/ruglbunn, lys oransje = cerianthidebunn/sjøfjærbunn, mørk blå = korallskog, rosa = ruglbunn, lys rosa = ruglbunn/cerianthidebunn, lys blå = sjøfjærbunn, kraftig gul = svamphage, gul = svamphage/bløtkorallhage, lys gul = svamphage/ cerianthidebunn og lite grått punkt = ingen.
Figur 6: Observerte sårbare marine bunn naturtyper (fargede punkter) vist over det kartlagte området (mørkegrått) i Skjervøy og Kvænangen, basert på marine grunnkart i kystsonen i pilotprosjektet.
 

Rystraumen marine verneområde ble kartlagt av Havforskningsinstituttet i 2022 på oppdrag fra Statsforvalteren, for å framskaffe kunnskap til utformingen av en verneplan. I Rystraumen er det sterke tidevannsstrømmer i den dype passasjen mellom Ryøya og Kvaløya, og her finnes samfunn av bløtkoraller (Duva sp. og Alcyonium digitatum) og svamp (Halichondria penicea and Geodia barretti) som er karakteristisk for områder med sterk strøm. På grunnere vann i verneområdet finner man ruglbunn og gravende sylindersjøroser (Cerianthus lloydi) (Fig. 7). Den relative sannsynligheten for forekomsten av de forvaltningsrelevante bentiske gruppene (tareskog, bløtkoraller, gravende sylindersjøroser og ruglbunn) ble predikert for området basert på kunnskap om fordeling av ulike bunntyper og deres korrelasjon med forekomster av arter (Fig. 7).

Kartutsnitt med skala 0 til 5 km, symbolforklaring øverst i bildet. Punkter med følgende fargesymboler: Blå = bløtkorallhage, oransje = cerianthidebunn, lys gul = cerianthidebunn/ruglbunn, svart prikk = NA (ingen observasjon av sårbare naturtyper), mørk rosa = ruglbunn, lys rosa = ruglbunn/cerianthidebunn og grønn = tareskog.
Figur 7. Observerte sårbare marine bunn naturtyper (fargede punkter) vist over det kartlagt området i Rystraumen marine verneområde, Troms.   

 

Det er gjort observasjoner av kaldtvannskorallrev (Desmophyllum pertusum) fra trålfangster i Malangen og ved Hekkingen, og ved bruk av ROV i munningen av Lyngenfjorden. Korallrev har også blitt påvist ved hjelp av ROV i Lopphavet nord for Skjervøy. Denne observasjonen er nær det nordligste kjente revet utenfor Sørøya, som er yttergrensen for den kjente utbredelsen av øyekorallrev. Gruppen med bentisk infauna inneholder også makrobentiske virvelløse dyr som lever i sedimenter, og anses å være til stede i hele studieområdet. Endringer i samfunn av bunnlevende dyr fungerer som en økologisk indikator på menneskelig påvirkning, og danner grunnlaget for overvåkning av den organiske tilførselen og påvirkningen fra akvakulturanlegg (B- og C-undersøkelser etter Norsk Standard NS 9410). Informasjon om infaunasamfunn er derfor tilgjengelig for områder rundt eksisterende anlegg i PO11. Etablerte eller planlagte oppdrettsanlegg som er plassert i områder med høy sannsynlighet for forekomst av sårbare bentiske habitater, må kartlegge havbunnen visuelt innenfor et påvirkningsområde på 1 km rundt anlegget. En foreslått lokalitet er kartlagt ved Vorterøy i Skjervøy kommune. Her finnes ruglbunn og spredte og hyppige forekomster av svamphager dominert av slekten Craniella, samt sjøfjær.

 

Kartutsnitt med skala 0 til 100 km, samme forklaring til høyre i bildet som i figurteksten.
Figur 8. Observasjoner av korallrev (gule prikker) og modellerte korallrevfordelinger (lilla polygoner) i produksjonsområde 11 (svart kant). Kilde: Arealverktøyet (www.kart.barentswatch.no). 

 

3.5 - Bentiske krepsdyr

Sjøkreps (Nephrops norvegicus), dypvannsreke (Pandulus borealis), kongekrabbe (Paralithodes camtschaticus) og taskekrabbe (Cancer pagurus) er eksempler på mobil bunnlevende fauna, og disse krepsdyrene kan forekomme i hele produksjonsområdet (https://kart.barentswatch.no/). Taskekrabben har i den senere tid økt sin utbredelse nordover i Troms, og utbredelsen ble kartlagt i 2023. Det ble fanget taskekrabbe i skjærgården utenfor Kattfjord og Ersfjord på Kvaløya, og fangstene varierte mellom én og ti krabber per teine (Marcussen et al. 2024). Det har også blitt gjort observasjoner av den introduserte arten kongekrabbe i området, og denne krabben forventes å være i stand til å etablere seg i fjordene og langs kysten av Troms. Kongekrabben forvaltes som en økonomisk ressurs i Øst-Finnmark, mens lengre vest og sør ønsker man å forhindre spredningen av denne arten. Det er derfor fritt fiske etter kongekrabbe vest for Nordkapp (26 grader øst) og forbudt å sette levende krabbe tilbake i sjøen (Hjelset & Zimmermann, 2024). 

3.6 - Tare og ålegress

Tare, tang og ålegress danner komplekse, tredimensjonale habitater med høy biodiversitet per m2, og disse habitatene er viktige beite – og yngleområder for fisk, sjøfugl og sjøpattedyr. I tillegg har habitatene en betydelig evne til å fange og lagre karbon, noe som gjør dem til en viktig faktor i marin karbonlagring (Duarte et al. 2013; Krause-Jensen et al. 2018). I produksjonsområde 11 er det registrert både tareskog og ålegress. Tareskog bestående av arter i slekten Laminaria (L. digitata, L. hyperborea og L. saccharina) finnes særlig i eksponerte områder på yttersida av Rebbenesøya, Grøtøya, Nord-Kvaløya, Vannøya, Vengsøya og ved flere mindre øyer utenfor Kvaløya. Utbredelsen av tareskog er modellert basert på miljøvariabler, og tar ikke hensyn til dagens tilstand relatert til påvirkning fra kråkeboller. På 1970-tallet førte nedbeiting fra kråkeboller til kraftig tilbakegang av tareskog langs Norskekysten og videre inn i Russland (Norderhaug & Christie 2009 og deres referanser). Dette er fortsatt en utfordring, og store områder i Nord-Norge er fortsatt preget av slik nedbeiting. Ålegress (Zostera marina) har en begrenset utbredelse inne i fjorder, og de største forekomstene finnes i Balsfjorden og noen forekomster ved Håkøybotn og Lille Grindøya nær Tromsø og i Sørlenangen vest for Lyngenhalvøya (Naturbase, Fig. 9). Registreringer av ålegress er basert på observasjoner og det kan finnes flere ålegressenger innenfor produksjonsområdet.

 

Kartutsnitt med PO11 innrammet i svart. Symbolforklaring til høyre i bildet. Fargede felter viser «Tare og ålegress»: Grønt = tareskog og oransje = ålegress.
Figur. 9. Tare og ålegress i produksjonsområde 11. Data fra Naturbasen (Miljødirektoratet).

 

3.7 - Tidlige livsstadier hos fisk

De tidlige livsstadiene hos fisk omfatter både egg- og larvestadier. Fiskeegg og larver driver som regel med havstrømmene som plankton, og i denne vurderingen antar vi at de finnes i hele produksjonsområde 11. Flere fiskearter har gytefelt i området, og de høyeste tetthetene av tidlige livsstadier antas å forekomme i nærheten av disse. På samme måte som hos dyreplankton påvirkes tidlige livsstadier hos fisk av oseanografiske forhold som danner områder med økt adveksjon, aggregering og retensjon. SVO-området, «Senja–Tromsøflaket», som har overlapp med den nordlige delen av PO11, beskrives som et viktig retensjonsområde med forhøyet biomasse av dyreplankton, som er en viktig næringskilde for tidlige livsstadier hos fisk. De fleste gytefeltene i området har vist seg å være gytefelt for kysttorsk, og disse er særlig konsentrert i dype fjordbassenger. Gytefelt for andre kystnære arter som kveite (Hippoglossus hippoglossus), hyse, sei og lodde er mindre vanlige, men det er påvist flere både i den ytre skjærgården og i fjordene på yttersida. I Balsfjorden finnes gytefelt for flere ulike fiskearter, blant andre torsk, sild, hyse og vanlig uer. Plasseringen av gytefeltene er basert på lokalkunnskap fra fiskere og verifisert av Havforskningsinstituttet. (Fig 10). Oppvekst- og beiteområder for yngel av kysttorsk finnes i fjorder og i den ytre skjærgården i hele produksjonsområdet.

 

To kartutsnitt, A til venstre og B til høyre, begge med skala 0 til 100 km. PO11 innrammet i svart. Symbolforklaring til høyre i bildet. Fargede felter viser «Viktige områder for fisk»: A: Skravert oransje = Gytefelt torsk MB og oransje = gytefelt alle. B: Grønt = oppvekst- og beiteområder.
Figur 10. Gyteområder (A) og oppvekst- og beiteområde (B) i produksjonsområde 11. Data fra fiskeridirektoratet.

 

3.8 - Pelagisk fisk

Pelagiske fiskeslag lever i hovedsak i de frie vannmassene, og beiter typisk på plankton. De danner ofte store stimer, og noen arter vandrer over store områder. De viktigste pelagiske fiskeartene i produksjonsområde 11 er norsk vårgytende (NVG) sild, lodde, og i perioder også makrell. Det finnes også lokale populasjoner av sild og lodde i Balsfjorden lengst sør i området. Silda i Balsfjorden er beslektet med Stillehavssild (Clupea pallassii), og er rødlistet. NVG-silda har oppvekstområder langs kysten, og vil fra 3–4 års alder vandre mellom beiteområder i Norskehavet til kystnære overvintringsområder. Hvilke overvintringsområder som benyttes kan variere fra år til år, og kan være lokalisert både langs kysten og ute i Norskehavet. Basert på fiskeridata har den nordlige delen av produksjonsområdet (Kvænangen og Skjervøy) vært et slikt overvintringsområde for sild fra 2018–2022, og i perioden fra 2013–2018 ble de sørlige delene av PO11 utenfor Kvaløya og Ringvassøya brukt. Lodde er hovedsakelig til stede i området vinterstid, når den gyter langs de ytre delene av kysten. På denne årstiden utgjør lodda er en viktig næringskilde for mange fiskearter, fugler og sjøpattedyr.

3.9 - Bunnfisk

I denne rapporten omfatter bunnfisk alle fiskeslag som ikke er klart pelagiske, men som tilbringer noe av tiden nær bunnen hvor de beiter og søker skjul. Vanlige bunnfiskarter i produksjonsområde 11 omfatter torsk, sei, hyse, brosme, lange, øyepål og kveite. Skater og haier regnes også som bunnfisk. Flere av disse artene har gytefelt i produksjonsområdet. Gytefelt for skrei, hyse, sei og kveite er påvist i de ytre delene av området, mens det i fjordene finnes gytefelt for kysttorsk, kveite, uer og sei. Det finnes også flere yngeloppvekstområder og beiteområder for torsk, sei og hyse (Fig. 10).

3.10 - Mesopelagisk fisk

Mesopelagisk fisk er fiskearter som utelukkende lever i vannmasser dypere enn 200 m. Størstedelen av sjøarealet i produksjonsområde 11 er grunnere enn 200 m, med unntak av ett område i Fugløysundet hvor dybden ligger mellom 200 og 300 m. Mesopelagisk fisk omfattes derfor ikke av denne risikovurderingen.


3.11 - Anadrom fisk

Anadrom fisk er arter som gyter i ferskvann (elver og/eller innsjøer), og deretter vandrer de selv eller avkommet ut i sjøen. Der kan de oppholde seg langs kysten eller i det åpne havområder i perioder på opptil flere måneder eller år, mens de tar til seg næring og vokser. I produksjonsområde 11 er det tre arter anadrom fisk; laks (Salmo salar), ørret (Salmo trutta) og røye (Salvelinus alpinus). Laks har den lengste marine fasen av de tre, og tilbringer fra ett til fem år i sjøen før de returnerer til hjemmeelva for å gyte (Klemetsen et al. 2003). Laksen vandrer over store områder i det åpne havet, og laks fra ulike områder har ulike vandringsmønstre og beiteområder (Rikardsen et al. 2021). Postsmolt av laks vil typisk tilbringe fra noen dager opp til fire uker i fjordene før de forlater kysten og vandrer ut i havet (Thorstad et al. 2012; Halttunen et al. 2018). Anadrom ørret og røye tilbringer vanligvis fra ett til åtte år i ferskvann før de vandrer ut i sjøen for første gang (Klemetsen et al. 2003). De kan ha flere beiteopphold i sjøen og vil returnere til ferskvann enten for å gyte eller for å overvintre. Mens sjørøye går opp i ferskvann igjen årlig, kan sjøørret tilbringe to eller flere år i sjøen (Klemetsen et al. 2003). Her vil de holde seg i fjorder og kystområder inntil 100 km fra hjemmeelva (Klemetsen et al. 2003). Om våren vil vandringen ned elva vanligvis finne sted i mai–juni, og sjøørret vil som regel tilbringe lengre tid i saltvann (2–3 mnd) enn sjørøye (1–2 mnd). Etter gyting i ferskvann om høsten vil noen individer igjen gå ut i sjøen om vinteren. I produksjonsområde 11 har det blitt observert vinterutvandring hos ørret og røye både i Skibotnelva (Lyngen) og Tømmerelva (Balsfjord) (Rikardsen, 2004, Jensen & Rikardsen, 2008, 2012). I gjennomsnitt oppholdt ørret og røye fra Skibotnelva seg henholdsvis 84 og 65 dager i sjøen i løpet av vinteren, hovedsakelig i fjordbukter og andre saltvannsområder (Jensen & Rikardsen, 2012). Imidlertid varierer varigheten av utvandringene betydelig mellom populasjoner og mellom individer.

Selv om atlantisk laks hovedsakelig er til stede om våren og sommeren, anses anadrom fisk å være til stede året rundt i denne vurderingen. Dette er basert på variasjonen i sommer- og vintermigrasjoner observert hos sjøørret og røye. Imidlertid er tilstedeværelsen begrenset til områder nær kysten og inne i fjorder, da de har en tendens til å holde seg nær hjemmeelva. Det finnes tjue anadrome fiskeelver i PO11 (Fig. 11), og Kvænangenfjorden og Reisefjorden er nasjonale laksefjorder som leder inn til de nasjonale lakseelvene Reisaelva og Kvænangselva.

 

Kartutsnitt med PO11 innrammet i svart, med skala 0 til 100 km. Symbolforklaring til høyre i bildet. «Anadrome vassdrag»: Blå punkter = utløp, blå linjer = anadrom strekning, blå felt = nasjonal laksefjord.
Figur 11. Kart over anadrome lakseelver og nasjonale laksefjorder i produksjonsområde 11. Kilde: Naturbase.

 

Toppredatorer som sjøfugl og sjøpattedyr kan spille en viktig rolle i marine økosystem og brukes ofte som en indikator på økosystemenes tilstand (Hazen et al. 2019; Sydelan et al. 2021). En nedgang i antall toppredatorer kan derfor forårsake store endringer i artssammensetningen og føre til trofiske kaskader i økosystemet (f.eks. Estes et al. 1998).

3.12 - Sjøfugl

Til sammen har 344 hekkeplasser og 15 arter av sjøfugl i produksjonsområde 11 blitt overvåket i større eller mindre grad siden 1960-tallet (Tabell 2; Fig. 12, venstre kolonne). Blant disse 15 artene er sju vurdert til å være livskraftige, to sårbare, og seks truet i varierende grad (Artsdatabanken 2021) (Tabell 2).

Det finnes to store sjøfuglkolonier i området: Sør-Fugløy (60 000–120 000 par lunde, 5 000–15 000 par alke og 1 000–5 000 par lomvi). I tillegg finnes det en koloni av krykkjer (Stormekta) nær Sør-Fugløy, og en annen stor sjøfuglkoloni, Loppa, er lokalisert mindre enn 20 km nord for produksjonsområde 11. Områdene innenfor 100 km fra koloniene har svært høy tetthet av alkefugler fra fuglene ankommer koloniene i mars til de forlater i august. Kolonier av storskarv finnes på Flatvær. Måker, terner, ærfugl og teist hekker i små kolonier over hele området. Om vinteren og våren er området et viktig overvintringsområde for andefugler og dykkere. Store flokker av ærfugl, praktærfugl og havelle finnes i relativt grunne områder over hele produksjonsområde 11. Andre viktige overvintrende fugler inkluderer sjøorre, siland og gulnebblom. Basert på utbredelsen av hekkeplasser kan det for risikovurderingens del antas at sjøfugl er til stede i hele produksjonsområdet.


Arter Sårbarhet
Alke Sårbar
Ærfugl Sårbar
Fiskemåke Sårbar
Gråmåke Sårbar
Krykkje Sterkt truet
Lomvi Kritisk truet
Lunde Sterkt truet
Rødnebbterne Livskraftig
Sildemåke Livskraftig
Storskarv Nær truet
Svartbak Livskraftig
Teist Nær truet
Toppskarv Livskraftig
Tyvjo Sårbar
Tabell 2. Sjøfuglarter og status i produksjonsområde 11.

 

Kartutsnitt med PO11 innrammet i svart, med skala 0 til 100 km. Symbolforklaring til høyre i bildet. «Sjøfugl»: Blå prikker = sjøfuglkolonier.
Figur 12. Fordeling av sjøfuglkolonier i produksjonsområde 11 . Data fra Barentswatch/Arealverktøy.

 

3.13 - Sjøpattedyr

Av de tolv artene sjøpattedyr som er registrert i produksjonsområde 11 er det bare tre (havert Halichoerus grypus, steinkobbe Phoca vitulina og nise Phocoena phocoena) som regnes som kystarter. De øvrige sjøpattedyrene er innom i kortere eller lengre perioder på sine sesongmessige vandringer, og bruker både dette og andre områder til å finne føde. Havert og steinkobbe parer seg i området, henholdsvis i november-desember, og i juni-juli (Fig. 13A). Antallet fødte havertunger har de siste 20 årene variert mellom 22 i 2003 og 64 i 2016, mens for steinkobbe har det totale antallet dyr (basert på modelleringer) variert mellom 920 i 2004 og 1623 i 2013. Nise er det klart mest tallrike sjøpattedyret i norske kystområder, og føder sine unger i mai-juni og parer seg i juli. Det er svært sannsynlig at paring finner sted innenfor produksjonsområde 11. Beregninger av antallet niser og andre sjøpattedyr mangler, men det er gjort 107 tilfeldige observasjoner de siste ti årene (Fig. 13B). Det høye antallet observasjoner av spekkhogger og knølhval har sammenheng med hvalenes intensive beiting på sild, som siden 2017 har funnet sted årlig fra oktober til februar i området rundt Kvænangen (Kettemer et al. 2024). For knølhvalene er dette et midlertidig stoppested før de returnerer til paringsområdene i sørlige farvann. Basert på tilfeldige observasjoner og de tre kystnære sjøpattedyrartenes bruk av området, kan man gå ut fra at det finnes sjøpattedyr i hele produksjonsområdet.

 

To kartutsnitt, A til venstre og B til høyre, begge med skala 0 til 100 km. PO11 innrammet i svart. Symbolforklaring til høyre i bildet. Fargede prikker viser «Pattedyr». A: lilla = havert-koloni og grønn = steinkobbe-koloni. B: blå = sjøpattedyr-observasjoner.
Figur 13. Hekkeområder og kastelokaliteter for havert (Panel A) og steinkobbe i produksjonsområde 11 (Panel B). Data fra Nilssen et al. 2010 Nilssen og Haug, 2007. Tilfeldige observasjoner av sjøpattedyr i PO11 i perioden 2020–2022 (Panel B; N = 107). Data samlet av Fiskeridirektoratet

 

4 - Matsystemer og deres påvirkning

4.1 - Matsystemer i produksjonsområde 11

Kumulativ risiko for negativ påvirkning på kystøkosystemkomponenter fra de fem viktigste sektorene for matproduksjon ble vurdert i perioden 2021– 2023 i produksjonsområde 11 i Nord-Norge. Sektorene inkludere; akvakultur, fiskeri, turistfiske, fritidsfiske og jakt, marine transport fra sektorer som driver matproduksjon, og landbruk. Matproduksjon sektorer ble valg for en detaljert kumulativ risikovurdering fordi sjømatproduksjoner en at de mest viktig menneskelig aktiviteter i Nord-Norge og produksjonsområde 11. Området ble valgt fordi det representerer et kystområde med et bredt spekter av de viktigste kystnære sektorene for matproduksjon i Norge.

4.2 - Akvakultur

Akvakultur er styrt oppdrett av fisk, skalldyr (krepsdyr og bløtdyr) og makroalger i anlegg i sjøen og på land. Oppdrettsnæringa sin virksomhet omfatter etablering av sjøanlegg og landbaserte anlegg for alle livsstadier av fisk, skalldyr og alger i oppdrett. Det inkluderer også utslipp av avføring, fôrrester, bruk av rensefisk, tiltak for sykdoms- og lusebegrensning, samt slakt, pakking og transport. Troms og Finnmark fylker (produksjonsområder 11, 12 og 13) hadde 160 registrerte kommersielle oppdrettslokaliteter i perioden 2021–2023. 136 av disse var i sjøen, og 24 var enten i ferskvann eller landbaserte anlegg (Fig. 14). Den dominerende produksjonen (132 anlegg) bestod av laks, ørret og regnbueørret for konsum, men det var også anlegg for taredyrking (3), pigghuder og skalldyr (7), andre arter (5), samt produksjon av yngel til fiskeoppdrett (13). Med et volum på 355 360 tonn rundvekt til en førstehåndsverdi på omtrent 22 milliarder kroner (Fiskeridirektoratet) stod disse to fylkene i 2022 for ~ 22 % av det totale fiskesalget fra den norske oppdrettsnæringa.

Matproduksjon i oppdrettsnæringa kan betraktes som en syklisk prosess med fire faser, både i sjøbasert og landbasert produksjon: 1) forberedelse (for eksempel etablering av sjøanlegg og landbasert produksjon av smolt), 2) produksjon av voksen fisk i sjøen, 3) bearbeiding (slakting og pakking, både landbasert og på sjøen) og 4) distribusjon av bearbeidede produkter til markedene (transport på land og sjø).

 

Kartutsnitt med skala 0 til 100 km, der PO11, 12 og 13 er innrammet i hver sin svarte ramme. Symbolforklaring øverst til venstre. Fargede prikker: blå = anlegg i sjø og mørk rosa = landbasert.
Figur 14. Lokalisering av terrestriske (ferskvann) og marine akvakulturområder registrert for kommersielle formål (Akvakulturregisteret) i Troms og Finnmark fyke. Kilde: Yggdrasil, Fiskeridirektoratet.

 

4.2.1 - Påvirkninger fra akvakultur i produksjonsområde 11

Produksjonsområde 11 (Kvaløya i Troms til Loppa) har 63 registrerte kommersielle oppdrettslokaliteter der de fleste produserer laks, ørret og regnbueørret (Fig. 15), og tre lokaliteter driver med skalldyroppdrett eller kommersiell taredyrking. Ni anlegg er registrert som landbaserte, og fem av disse driver med settefisk og yngelproduksjon. (Fig. 15). Tre av disse landbaserte anleggene brukes til oppdrett av et utvalg arter i akvakultur, både for kommersiell bruk og i forsknings -og utviklingsøyemed. Disse anleggenes arealbruk av kystsonen, ferskvann og landarealer i PO 11 gjennom de fire produksjonsfasene er beskrevet over. Forberedelser av fisk til akvakulturproduksjon innebærer oppdrett av yngel på åtte lokaliteter som til sammen dekker et landareal på omtrent 105 000 m2 (0,105 km2). Sjøarealene for produksjon av voksen fisk dekker områder på til sammen 5,2 km2, noe som utgjør ~ 0,07 % av det totale sjøarealet i produksjonsområdet (7071 km2). Landbasert oppdrett av voksen fisk forekommer på bare én lokalitet, denne dekker et landareal på 1000 m2. Anlegg for bearbeiding og distribusjon inkluderer de tre fiskeslakteriene i Skjervøy og Kvænangen, som samlet dekker et landareal på omtrent 50 000 m2 = 0,05 km2. Datagrunnlaget for beregninger av størrelsen på sjøarealet som brukes av hvert enkelt anlegg er hentet fra Fiskeridirektoratets database.

 

Kartutsnitt med PO11 innrammet i svart, med skala 0 til 100 km. Symbolforklaring til høyre i bildet. Fargede prikker viser «Akvakultur»: blå = laks, ørret, regnbueørret. Gul = bløtdyr, krepsdyr, pigghuder. Lys grønn = alger. Rød = settefisk laks, ørret. Lys blå = andre.
Figur 15. Kommersielle akvakulturlokaliteter i produksjonsområde 11 (kilde: Yggdrasil, Fiskeridirektoratet, 2023.10.17).

 

Oppdrettsnæringa påvirker marine økosystemkomponenter gjennom følgende påvirkninger:

  • Barrierer (fysiske blokkeringer, slik som merder og bygninger som hindrer frittlevende fauna i å forflytte seg naturlig langs ruter brukt til sesongmessige vandringer eller næringssøk)

  • Elektromagnetiske endringer (endringer i mengde, fordeling og periodiske frekvenser av elektromagnetisk energi, generert av undersjøiske kabler og infrastruktur til anleggene)

  • Forsøpling (makro) (søppel fra oppdrettsrelaterte aktiviteter finner veien ut i miljøet)

  • Fysisk påvirkning (direkte fysiske påvirkninger på sjøbunnen og plante -og dyrelivet der, slik at skade og/eller død forekommer under etablering av anlegg og moringer).

  • Genetisk endring (permanente endringer i det genetiske uttrykket hos villaks som følge av krysning med rømt oppdrettslaks)

  • Høsting (målrettet høsting av villfisk til bruk som rensefisk i merder for å bekjempe lakselus)

  • Miljøgifter (vannmassene langs kysten tilføres tungmetaller og menneskeskapte forbindelser som legemidler og avlusningsmidler fra fòr og avføring, samt kobber fra antibegroingsmidler)

  • Nedslamming (fysisk påvirkning fra materiale som slippes ut fra akvakulturområder, i form av overflødig fôr og avføring som påvirker havbunnen og organismer)

  • Næringssalter (nitrogen og fosfor fra oppdrettsanlegg og slakterier går ut i vannmassene og kan forårsake overgjødsling)

  • Organisk belastning (organisk tilførsel av partikulært organisk materiale fra akvakultur og slakteaktiviteter som akkumuleres på havbunnen)

  • Parasitter (forhøyede nivåer av lakselus på fiskebiomassen i merdene, som forhøyer smittepresset i det omkringliggende miljøet)

  • Tap habitat (permanente installasjoner som moringer sundt anleggene dekker til havbunnen og fører til tap av habitater)

  • Undervannsstøy (støy fra driftsoperasjoner på anleggene)

 

4.2.2 - Påvirkninger fra akvakultur – romlig fordeling og hyppighet

Risikovurderingen for produksjonsområde 11 og påvirkningen fra akvakultur i området er basert på kunnskap fra næringa og forskningsmiljøene, risikorapporter for norsk fiskeoppdrett (Grefsrud et al. 2021, 2022 and 2023), data fra Fiskeridirektoratet, og en nylig utgitt rapport om “Environmental impacts of aquaculture and coexisting industries” som gir en bred oversikt over det eksisterende kunnskapsgrunnlaget når det gjelder miljømessige påvirkninger fra akvakultur (Evenset et al. 2023), og andre publikasjoner med kunnskap relevant for området.

Barrierer: Det er anslått at barrierer fra anlegg dekker < 5 % av arealet (= stedvis). Anleggene har en kontinuerlig tilstedeværelse, og påvirkningen er kun relevant for hindring av viktige vandringsruter for anadrom fisk og marine pattedyr under migrasjon som for eksempel sesongmessige beitevandringer. Den tidsmessige frekvensen av eksponering er derfor opptil åtte måneder i året (= ofte). Graden av påvirkning for de påvirkede økosystemkomponentene er lav ettersom en alvorlig effekt ikke forventes.

Elektromagnetiske endringer: Det romlige området som påvirkes av elektromagnetiske endringer er estimert til å ha en radius på 1 km omkring anleggene. Samlet vil dette gi et berørt areal som utgjør 2,5 % av sjøarealet i produksjonsområde 11 (= stedvis). Elektromagnetiske endringer er en påvirkning som er satt til å gjelde alle økologiske grupper med unntak av tare og ålegress, planteplankton og sjøfugl. Ledningsnett til oppdrettsanleggene er i drift hele året, og regnes derfor som en vedvarende påvirkning for alle relevante økosystemkomponenter, unntatt anadrome fisk og sjøpattedyr som beveger seg inn og ut av akvakulturinfluensområdene oftere enn de andre komponentene. Den tidsmessige frekvensen av eksponering vurderes derfor som ofte for anadrome fisk og sjøpattedyr. Graden av påvirkning for økosystemkomponentene som er utsatt for elektromagnetiske endringer er enten lav der det forventes å ikke ha en alvorlig påvirkning eller kronisk for anadrome fisk, sjøpattedyr, tidlige livsstadier hos fisk og bunnfisk som er kjent for å være mer følsomme for lyd.

Forsøpling (makro): Avfall fra akvakultur har ikke vært inkludert i tidligere risikorapporter som en av de miljømessige påvirkningene fra næringen. Imidlertid har et nylig prosjekt finansiert av Miljødirektoratet (2017–2018) kartlagt opprinnelsen til marint avfall, og resultatene viser at akvakultur og fiskeri er de største kildene (> 50 %) til strandsøppel i Nord-Norge. Grunnet den lave romlige fordelingen av lokaliteter i produksjonsområde 11 (~ 0,07 %) antas denne påvirkningen å være stedvis. Avfall fra akvakultur regnes med å ha en effekt på alle økologiske grupper, unntatt tidlige livsstadier hos fisk, planteplankton og dyreplankton. Den tidsmessige frekvensen av overlapp mellom presset og relevante økosystemkomponenter vurderes som en ofte forekomst for bunnfauna, bunnfisk, makroalger og ålegress, sjøpattedyr, sjøfugler og krepsdyr, men sjelden for anadrom fisk og pelagisk fisk som har mindre hyppig kontakt med makroavfall på havbunnen. Graden av påvirkning anses som kronisk for alle marine økosystemkomponenter som kan innta makroavfall, på grunn av vevsskaden det kan forårsake. Graden av påvirkning er lav for makroalger og ålegress.

Fysiske påvirkning: Sjøarealet som er tatt i bruk av etablerte merder og moringer dekker 0,07 % av det totale sjøarealet i produksjonsområdet, altså < 5 % av PO (= stedvis). Denne påvirkningen regnes bare som relevant for bunnfauna som er berørt av utplasseringen av moringer og anker. Graden av påvirkning for bentisk fauna anses som akutt ettersom påvirkede individer har høy dødelighet. Det antas at antall nyetableringer er færre enn én per år, derfor anses den tidsmessige frekvensen av overlapp mellom bentisk fauna og slitasje som sjelden.

Genetisk endringer: Risikorapport norsk fiskeoppdrett (Grefsrud et al. 2023) fastslår at til tross for få meldinger om rømt oppdrettsfisk i området, er det blitt gjort mange observasjoner av rømt fisk i elvene (i 15 % av elvene ble det observert en høy andel rømt oppdrettsfisk, og i ytterligere 15 % av elvene en moderat andel rømt oppdrettsfisk). Videre er det meldt om høy grad av genetisk endring i seks av ni vurderte bestander av villaks. Grefsrud et al. (2023) vurderer risikoen til å være høy for videre genetiske endringer i villaksstammen i produksjonsområde 11. Denne påvirkningen antas derfor å være lokal (5–50 %) og ofte (opptil 8 måneder av året) for villaks (anadrom fisk) i produksjonsområde 11. Graden av påvirkning på anadrome laks er vurdert som kronisk, da genetisk innblanding fra en høy grad av rømming over tid til slutt vil ha alvorlige konsekvenser for villaksbestandene.

Høsting: Bruken av rensefisk er lav i Troms og Finnmark sammenlignet med andre deler av norskekysten (~ 4 % av det totale antallet fisk brukt i Norge i 2022, og ~ 7 % av fisk i 2021, statistikk fra Fiskeridirektoratet). Høsting av rensefisk for akvakultur anses derfor ikke som relevant for kystøkosystemkomponenter.

Miljøgifter: Miljøovervåking i produksjonsområde 11 har vist at det er få lokaliteter (4 %) som har dårlig miljøtilstand ut fra utslipp av kobber til miljøet, og den miljømessige risikoen fra kobberutslipp ansees som lav (Grefsrud et al. 2023). Andre forurensende stoffer slik som avlusningsmidler kan imidlertid spre seg flere kilometer vekk fra opprinnelsesstedet (Evenset et al. 2023). Derfor antas denne påvirkningen å ha et stedvis (5 %) eksponeringspotensiale, med ofte hyppighet. Forurensinger fra akvakultur har en kronisk påvirkningsgrad på alle økologiske komponenter, unntatt tidlige livsstadier hos fisk der påvirkningen er akutt, og planteplankton der påvirkningen er lav.

Nedslamming: Fysisk påvirkning fra materiale som slippes ut fra akvakulturområder, i form av overflødig fôr og avføring, har den største påvirkningen på bunnen under merdene og opp til 500 m til radiusen av anlegg (Bannister et al. 2016). Det vil utgjøre 0,7 % ar arealet i produksjonsområdet (= stedvis). Siden utslipp av fôr og avføring pågår det meste av året, antas påvirkningen å være vedvarende. Fastsittende bunnfauna og makroalger og ålegress ble ansett å ha en vedvarende overlapp med den nesten kontinuerlige utslipp av ufortært fôr og avføring. Graden av påvirkning var kronisk for disse økosystemkomponenter som er knyttet til havbunnen.

Næringssalter: Det er en sammenheng mellom mengden utslipp av oppløste næringssalter og produksjon av fisk i akvakultur, og dette antas å være på det høyeste i sommermånedene (Husa et al. 2019). Næringssalter vil spres med overflatestrømmene, og forhøyede verdier av (ammoniakk) nitrogen har blitt målt inntil 2 km fra anleggene. Om man legger til ytterligere to kilometers radius rundt eksisterende anlegg vil planteplankton kunne være eksponert for forhøyede nivå av næringssalter i ~ 7 % av arealet i produksjonsområde 11. Påvirkningen regnes derfor med å gi en stedvis (5 %) effekt, og forekomsten vil være vedvarende. Oppløste næringssalter fra oppdrett antas å påvirke primærproduserende økologiske grupper (planteplankton og makroalger og ålegress) med vedvarende tidsmessig eksponering. Næringsstoffer har en kronisk grad av påvirkning på primærprodusenter, da konsekvent eksponering for et høyt nivå over tid kan resultere i alvorlige konsekvenser.

Organisk belastning: Utslipp av organisk materiale fra akvakulturområdet har sammenheng med mengden fisk som produseres i anleggene. Den største påvirkningen fra organisk belastning sees på bunnen under merdene, med betydelig påvirkning inntil 300 meter fra anleggene (Evenset et al. 2023). Ved hjelp av simuleringer er det beregnet at 75 % av organiske utslipp fra fiskeoppdrett spres innen 500 m fra oppdrettsanlegget (Bannister et al. 2016). Om man legger ytterligere 500 m til radiusen av eksisterende anlegg vil dette utgjøre 0,7 % av arealet i produksjonsområdet (= stedvis). Siden utslipp av fôr og avføring pågår det meste av året, antas påvirkningen å være vedvarende. Økologiske komponenter knyttet til havbunnen (bunnfauna, bunnfisk, tidlige livsstadier hos fisk, makroalger og ålegress og bentisk krepsdyr) ble ansett å ha et tidsmessig vedvarende overlapp med nesten kontinuerlig utslipp av uspist fôr og avføring. Grupper i den pelagiske sonen har noe overlapp med den organiske berikelsesprosessen som skjer på havbunnen. Graden av påvirkning var lav for de pelagiske gruppene; anadrome, pelagisk fisk og planteplankton, dyreplankton og marine pattedyr, men kronisk for økosystemkomponenter knyttet til havbunnen.

Parasitter. Tettheten av lakselus i produksjonsområde 11 er generelt lav (høye tettheter bare i begrensede områder), og smittepresset på anadrom fisk regnes for å være lavt til moderat (Grefsrud et al. 2023). Ut fra dette antas parasitter å ha en lokal-spesifikk påvirkning med ofte hyppighet. Vurdering av smittepress fra akvakultur er bare relevant for anadrome fiskearter som er mottakelige for lakselus og påvirkningen regnes som kronisk. Infeksjon kan føre til alvorlige konsekvenser for ville laksefiskbestander.

Tapt habitat: Tap av habitat vurderes å bare forekomme under etableringen av akvakulturområder og areal påvirket av eksisterende og slettede lokaliteter er over et relativt lite område av produksjonsområdet (< 5 %) og blir dermed vurdert som stedvis og sjelden. Dette presset fra akvakultur er bare relevant for fastsittende bunnfauna som ikke kan bevege seg som respons på tap av habitat forårsaket av etablering av oppdrettsfortøyninger. Disse organismene påvirkes umiddelbart og alvorlig etter én etableringshendelse, noe som gir en akutt grad av påvirkning.

Undervannsstøy. De to viktigste støykildene fra oppdrett er: 1) støy fra den daglige driften (slik som båttrafikk, pumper, maskineri og tankveggvibrasjoner, 2) akustiske skremme-innretninger som brukes for å holde sjøpattedyr borte fra merdene (Evenset et al. 2023). Støy fra fartøy knyttet til akvakultur er inkludert i marin transport. Siden lyd spres over store avstander i vann (Chahouri et al. 2022) har vi gått ut fra at den romlige fordelingen av støy fra akvakultur er større enn arealet til lokaliteter (1 km radius), som utgjør ~ 2 % av arealet i produksjonsområde 11. Undervannsstøy regnes derfor med å ha en stedvis eksponering for alle relevante økosystemkomponenter unntatt sjøpattedyr, for hvilke undervannsstøy fra akustiske skremmer kan oppdages over et større områder. Undervannsstøy genereres nesten kontinuerlig fra akvakulturanlegg i drift og alle relevante økosystemkomponenter regnes med å være eksponert for påvirkningen i opptil åtte måneder av året (= ofte). Graden av påvirkning fra undervannstøy er kronisk for økosystemkomponenter som er kjent for å være følsomme for undervannsstøy (sjøpattedyr, anadrome, bunnlevende og pelagisk fisk, sjøfugler), mens andre har lav påvirkning.

4.3 - Fiskeri

Matproduksjon i form av fiskeri defineres som "kommersiell fangst av marine fisk og skalldyr". Fiskerisektoren inkluderer også aktiviteter relatert til driften til sjøs og på land, etablering av mottaksanlegg og drift av fiskebruk. Seiling til og fra fiskeplasser og frakt av foredlede fiskeprodukter er inkludert i sektoren "marin transport", siden denne typen aktivitet har store likheter mellom sektorer. I produksjonsområde 11 er det registrert landinger av fangst i alle kommuner unntatt Balsfjord og Storfjord. Totalt ble det i 2022 landet 270 000 tonn til en verdi av 6,1 milliarder kroner i 2022, og Tromsø kommune sto for størstedelen av denne med > 90 % av alt som ble landet i området. Størstedelen (60–70 %) av landingene i området var torskefisk, i hovedsak torsk, men også noe hyse og sei. I tillegg var det regelmessig landinger av dypvannsreke, NVG-sild, og uer. Bare 15–20 % av leveransene var fra fartøy registrert i produksjonsområde 11, selv om disse fartøyene ilandførte rundt 50 % av fangsten sin her (statistikk fra Fiskeridirektoratet).

Fiskerisektorens bidrag til matproduksjon kan deles i tre faser, med både sjø -og landbaserte aktiviteter: 1) Fangst av fisk og skalldyr (sjø), 2) landbasert mottak og foredling, og 3) distribusjon av råstoff for foredling, og bearbeidede produkter til markedene (transport på land og sjø).

4.3.1 - Påvirkninger fra fiskeri i produksjonsområde 11

Fiskeriaktiviteter er dynamiske, kvoteregulerte iht. bestandstetthet, og tilpasser seg endringer i den geografiske fordelingen av målartene. For å beskrive påvirkninger fra fiskeri i produksjonsområde 11 har vi fokusert på en treårs-periode fra 2020–2022, men også sett på langsiktige trender for å inkludere variasjonen i denne typen matproduksjon. Fangstdata har sammenheng med påvirkninger knyttet til uttak av biomasse (høsting), mens data på fiskeriintensitet eller aktivitet er relatert til påvirkninger som fysisk påvirkning, tap av habitat, undervannsstøy osv. Den geografisk mest presise fangstposisjonen som oppgis til Fiskeridirektoratet er "lokasjon" og produksjonsområde 11 overlapper med lokasjonene 4-1, 4-2, 4-3, 4-27, 4-28, 4-29, 5-31 og 5-39 (Fig. 16). 

 

Kartutsnitt med PO11 innrammet i svart, med skala 0 til 100 km. Nummererte fiskerilokasjoner innrammet i blått.
Figur 16. Kart over produksjonsområde 11 med overlappende fiskerilokasjoner inkludert. Data fra Fiskeridirektoratet.

 

Fangster

Ifølge landingssedler fra 2013 til 2022 var fangstene i produksjonsområde 11 dominert av NVG-sild, torsk, sei, lodde og hyse. Den årlige fangsten var i gjennomsnitt på 100 000 tonn til en snittverdi på 760 millioner kroner. I den siste perioden (2020–2022) gikk fangstene av hyse og lodde ned, og de dominerende artene var NVG-sild, torsk, sei, andre torskefisk (hovedsakelig brosme), flatfisk (hovedsakelig kveite) og reker (Fig. 17). De siste årene har fangstene i produksjonsområde 11 ligget på i gjennomsnitt 118 000 tonn årlig, til en verdi av 950 millioner kroner.

Pelagiske arter: Fangstene var dominert av sild, med et gjennomsnitt årlig fangst på 100 000 tonn. Sildefisket pågår typisk i en kort periode om vinteren (nov–jan), og flåten består av større fartøy (> 28 m) som fisker med ringnot. I de senere årene (etter 2018) har sildefisket flyttet seg fra områder sør i produksjonsområdet (5–31, yttersida av Kvaløya og Ringvassøya) til nordlige deler (4-27, 4-3: Kvænangen og Skjervøy) (Fig. 17).  

Bunnfisk: Med unntak av sild var torsk og sei de viktigste artene, med en gjennomsnittlig årlig fangst på hhv 9000 og 5600 tonn. Mesteparten av fangsten kom fra de ytre områdene (4-3), men også noe fra Kvænangen (4-1, 4-2, 4-27) (Fig. 17). Fisket etter begge arter foregikk hovedsakelig med garn fra små fartøy (< 15 m), i tillegg til noen fangster med juksa/pilk og bunntrål. En relativt stor andel (28 %) av sei-fangsten kom også fra ringnotfangster fra større fartøy (>28 m). Fisket etter torsk foregikk i vintermånedene (nov-april), mens sei ble fisket året rundt med størst fangst i perioden mai til november. Andre torskefisker (hyse, brosme, lange) ble fisket året rundt. De største fangstene av hyse var fra perioden feb–april, og for brosme i aug–okt. Fangstene ble i hovedsak tatt i de nordvestre områdene (4–1, 4–3), av større (> 28 m) trålere (hyse) og mindre (< 15 m) fartøy som fisket med garn og line. Årlig fangst av andre torskefisk var i gjennomsnitt på 920 tonn til en verdi av 10 millioner kroner.

Reke: Det foregår også et viktig rekefiske i produksjonsområde 11, med årlige fangster (2020–2022) på rundt 400 tonn til en verdi av 28 millioner kroner. Dette utgjør 11 % av fangstene i hele landet i 2020 og 2022. Det finnes viktige rekefelt i Kvænangen (4-27), Lyngen (4-29) og Ullsfjorden (4-28) (Fig. 17). Reker ble fisket med reketrål fra små fartøy (11–15 m) året rundt, med en topp i mai-juni.

 

To stablede stolpediagram der A til venstre er uten sild og B til høyre er med sild. X-aksene lister fiskerilokasjonene fra 4-1 innerst til 5-39 ytterst. Y-aksene = Middelverdi årlig fangst 2020–2022 (tonn). Verdien på aksene går fra 0 til 55000 i A, og 0 til 7500 i B. Fargeforklaring til høyre for diagrammene: «Art» listet fra øverst til nederst: Grå = andre, mørk rosa = hyse, mørk blå = dypvannsreke, grønn = brosme, gul = sei og rødrosa = torsk, lyst blå = Norsk vårgytende sild.
Figur 17. Gjennomsnittlig fangst per år i perioden 2020–2022 i fiskerilokasjoner i produksjonsområde 11. A) viser fangster med NVG-sild og B) uten sild.

 

4.3.2 - Fiskeredskap og intensitet

Data på fiskeriintensitet og bruk av ulike fiskeredskap er tilgjengelig fra Fiskeridirektoratet sin karttjeneste. De viktigste fiskeredskapene i området ble identifisert på bakgrunn av fangstvekt og geografisk utbredelse av redskapsbruken. Notredskap er det viktigste redskapet målt etter fangstvekt, og brukes primært i fiske etter sild (se over). Andre viktige redskapstyper i området er garn, juksa/pilk, og bunntrål (inkludert reketrål) (Fig. 18). Påvirkninger knyttet til de ulike fiskeredskapene er presentert i tabell 4. Den laveste påvirkningen kommer fra notredskap og fiske med snøre (line og krok), da disse redskapene har lite bifangst og ikke er i kontakt med havbunnen. Bunntrål gir størst påvirkning, både i forhold til fysisk påvirkning på havbunnen og for bifangst. Passive redskaper som garn og teiner er mest utsatt for å drive spøkelsesfiske dersom de blir mistet. Fiskeriintensitet i området er presentert for hvert kvartal de tre siste årene, og inkluderer kun fartøy større enn 15 m (Fig. 19). Den høyeste intensiteten var i de nordlige delene av området i de to siste kvartalene av 2022, og dette er sannsynligvis knyttet til sildefiske med snurpenot. Garn, og line og krok ble også brukt i denne delen av produksjonsområde 11. Aktiviteten som er registrert i fjordene Lyngen og Ullsfjorden er sannsynligvis relatert til bunntråling, inkludert reketråling (Fig. 18, 19).

Tabell 3. Fiskeredskaper benyttet i produksjonsområde 11, målarter og viktigste påvirkninger fra fisket.

Fiskeredskaper Habitat skade Bifangst Andre påvirkning Målart
Notredskap Nei Lav   Sild
Garn Nei Middels Spøkelsesfiske Bunnfisk (torsk og sei)
Line og krok Nei Lav   Bunnfisk (torsk og sei)
Bunntrål Høy Høy   Reke og bunnfisk (torsk og sei)

 

Åtte kartutsnitt, listet fire og fire, PO11 innrammet i linje. Listet fra øverst til venstre til nederst til høyre: bunntrål, line og krok, garn, teiner, snurrevad, not-redskap, flytetrål og annet.  Fiskeriaktiviteten for hver av disse er vist i med skraverte/fargede områder i hvert av kartene.
Figur 18. Romlig utbredelse av fiskeriaktiviteter med forskjellige redskapstyper, basert på de siste 10 årene med data fra fartøy > 11 m. Data og kart fra Fiskeridirektoratets kartportal.

 

Kartutsnitt med PO11 innrammet, listet i tre rader: 2020 øverst med kartene for Q1, Q2, Q3 og Q4 etter hverandre, deretter 2021 på samme måte i midten og 2022 nederst. Fargefeltene viser fiskeriintensitet for hvert av kvartalene per år.
Figur 19. Fiskeriintensitet i produksjonsområde 11, basert på satellittsporing og fangstrapportering fra norske fartøy > 15 m. Data og kart fra Fiskeridirektoratets kartportal. Q1-Q4: kvartal 1 til kvartal 4.

 

4.3.3 - Landing og foredling av fangster

Totalt er det registrert 25 aktive fiskerihavner i produksjonsområde 11, og flesteparten (19) eies av Kystverket (Fig. 20). Landingsdata fra Fiskeridirektoratet viser at det i kommunene i produksjonsområdet ble landet mellom 280 000 og 350 000 tonn rundvekt årlig, i perioden 2020–2022 (Fig. 21). Dette utgjør 11–14 % av alle landinger i Norge. Landingene var fordelt på 57 ulike fasiliteter, hvorav to store fryseterminaler sto for 78 % av landingene, målt i vekt. Tromsøterminalen (Tromsø kommune) er en av landets største fryseterminaler for fisk (Fig. 21, Fiskeribladet, 2022).

I Brønnøysundregisteret er det ca. 40 registrerte virksomheter i området med næringskoder relatert til bearbeiding og konservering av fisk, skalldyr og bløtdyr. De fleste av disse er relativt små og krever derfor ikke utslippstillatelse etter forurensingsloven. Det er heller ikke alle som driver aktivt med foredling av villfisk for humant konsum og utslipp til sjø. I PO11 er det kun en større produksjonsvirksomhet for foredling av villfisk for humant konsum med utslippstillatelse. Virksomheten har tillatelse for å prosessere 12 000 tonn sildefilet (+ 12–15 000 tonn reststoff) per år med tilhørende utslipp av prosessvann til sjø. Det vurderes å være relativt få og små fiskebruk i området, med ukjente mengder utslipp til sjø, og relaterte påvirkningsfaktorer (endringer i salinitet, temperatur, næringstilførsel, organisk materiale) fra disse er derfor ikke vurdert videre.

 

Kartutsnitt med PO11 innrammet i svart, med skala 0 til 100 km. Symbolforklaring til høyre i bildet. Fargede prikker viser «Fiskerihavner»: blå = Kystverket eier og grønne = kystverket eier ikke.
Figur 20. Fiskerihavner i produksjonsområde 11, data fra Kystverket (2025-02-05).

 

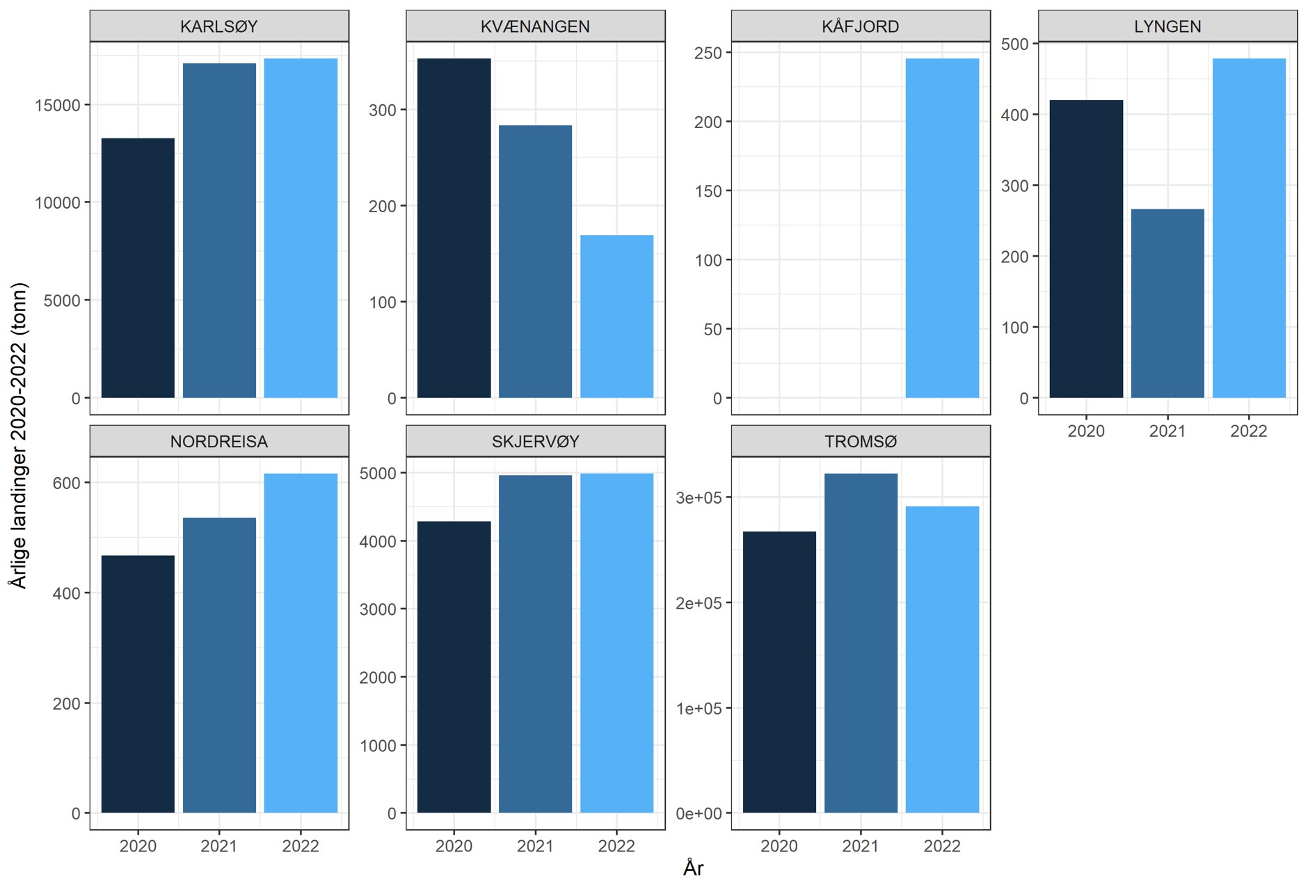
Syv stolpediagram som alle har y-aksen «Årlige landinger 2020–2022 (tonn)», x-aksene viser årene 2020 innerst (mørk blå stolpe), 2021 i midten (blå) og 2022 (lys blå). Ett diagram for hver av kommunene, ramset fra øverst til venstre, og med henholdsvis skala på y-aksen gitt i parentes. Karlsøy (0 til 17500), Kvænangen (0 til 350), Kåfjord, kun 2022 (0 til 250), Lyngen (0 til 500), Nordreisa (0 til 600), Skjervøy (0 til 5000) og Tromsø (0e+00 til 3,5e+05)
Figur 21. Årlige landinger i kommunene i produksjonsområde 11. Merk de forskjellige skalaene på y-aksene. Basert på fangststatistikk fra Fiskeridirektoratet.

Fiskerisektoren i produksjonsområde 11 assosieres med følgende påvirkninger på marine økosystemkomponenter:

  • Bifangst (uttak av arter som ikke er målarter for fisket, hovedsakelig fra bunntråling og garnfiske)

  • Høsting (målrettet uttak av biomasse)

  • Forsøpling (makro) (avfall fra fiskeriaktiviteter, f.eks. deler av ødelagte fiskeredskaper, tauverk)

  • Fysisk påvirkning (forstyrrelser og skader på havbunnen fra bunntråling som forårsaker skade og/eller økt dødelighet for fauna og flora)

  • Nedslamming (bunntråling virvler opp sedimenter slik at disse spres i vannsøylen og senere faller ned til bunnen, kan potensielt skade fisk og virvelløse dyr).

  • Undervannsstøy (støy fra fiskeriaktiviteter, i hovedsak knyttet til bunntråling, og til bruk av sonar og ekkolodd særlig i pelagiske fiskerier)

  • Utilsiktet tap (død eller skade på dyr som følge av spøkelsesfiske fra tapte fiskeredskaper, skipskollisjoner med sjøpattedyr)

4.3.4 - Påvirkninger fra fiskerier – romlig fordeling og hyppighet

Risikovurderingen av påvirkninger fra fiskeriene er basert på offisielle data fra Fiskeridirektoratet og Arealverktøyet (www.kart.barentswatch.no). For vurdering av romlig fordeling ble akkumulert årlig fotavtrykk benyttet.

Bifangst: Bifangst er i hovedsak forbundet med tråling og garnfiske, som til sammen dekker det meste av arealet i produksjonsområde 11. Bifangst i fiskerier regnes for å ha lokal eksponering for de vanligste dyregruppene som forekommer som bifangst, det vil si bunnlevende fisk og bunnlevende evertebrater, og frekvensen er satt til ofte. Andre grupper, som sjøfugl og sjøpattedyr, forventes å være mindre berørt av bifangst, både i tid og rom (stedvis og noe). Bunnlevende fauna som for eksempel svamp og koraller, og noen bunnlevende fiskeslag som skater som ikke landes regnes som bifangst. Mens noen bunnlevende dyr vil kunne overleve å bli håndtert som bifangst (men med skader), antas det at de fleste fisk, sjøfugl og sjøpattedyr ikke vil overleve, og at effekten derfor er akutt.

Høsting: Fangst av målartene i produksjonsområde 11 er beskrevet over. Sild er den viktigste pelagiske målarten, og fra okt/nov til januar pågår det et konsentrert sildefiske i den nordlige delen av produksjonsområde 11. Fisket etter ulike bunnfiskarter er mer spredt, både i tid og rom. Rekefisket pågår mer eller mindre året rundt, og for det meste inne i fjordene. Høsting omfatter alle arter som blir fisket og som kan landes og brukes i matproduksjon, også arter som landes på bifangstkvoter er inkludert. Høsting antas å forårsake lokal påvirkning med noe frekvens når det gjelder pelagisk fisk, og ofte frekvens for bunnfisk og krepsdyr som fiskes året rundt. Graden av påvirkning for alle berørte økosystemkomponenter, pelagisk fisk, bunnfisk og krepsdyr, er akutt, siden høsting har en umiddelbar alvorlig effekt (død).

Forsøpling (makro): Kartlegging av opprinnelsen til søppel i havet viser at akvakultur og fiskeri er de største kildene (> 50 %) til strandsøppel i Nord-Norge (Mepex, 2024). I vurderingen inkluderes kun større gjenstander (makro-søppel), men disse vil over tid brytes ned til f.eks. mikroplast som også kan ha påvirke på mindre organismer. I produksjonsområde 11 drives det ulike fiskeriaktiviteter inne i fjordene sammenlignet med de ytre delene, men alle typer fiskeredskap og fiskeriaktiviteter kan bidra til forsøpling fra fiskeriene. Påvirkningen av søppel vurderes til å være lokal (5–50 %) med noe påvirkning for bunnlevende fisk, bunnfauna, bunnlevende krepsdyr, makroalger, ålegress, sjøfugl og sjøpattedyr. Pelagisk og anadrom fisk antas å bli påvirket i mindre grad. Påvirkningen regnes for å være kronisk for alle marine dyregrupper som kan få i seg søppel gjennom næringsinntak, siden dette kan forårsake vevsskader. For makroalger og ålegress er effekt lav.

Fysisk påvirkning: Fysiske påvirkning på havbunnen er først og fremst knyttet til bunntråling. Bunntrål, inkludert reketrål, er blant de mest brukte fiskeredskapene i dette området året rundt, særlig inne i fjordene. Bunntråling påvirker et areal estimert til 5–50 % av produksjonsområdet inntil 8 måneder i året. Fysisk påvirkning fra bunntråling forventes å gi lokal og ofte påvirkning i produksjonsområde 11. Påvirkningen vurderes å kun være relevant for bunnfauna, og graden av påvirkning er antatt å være akutt, siden berørte individer vil ha høy dødelighet. Tråling foregår ikke i grunne områder som ellers ville kunne overlappe med utbredelsen av ålegress og makroalger.

Nedslamming. Oppvirvling av bunnsedimenter forårsaket av bunntråling regnes for å gi en lokal og ofte påvirkning i produksjonsområde 11. Det er bare bunnfauna, bentiske krepsdyr og bunnlevende fisk som berøres av nedslamming. Bentiske krepsdyr og fisk har mulighet til å flytte seg bort fra områder med pågående nedslamming og grad av påvirkning vurderes som lav påvirkning, mens for fastsittende bunnfauna vil påvirkningen være kronisk.

Undervannsstøy. Det antas at områder som blir eksponert for støy tilsvarer områdene hvor det bedrives aktivt fiskeri. Støy fra fartøyene er i denne vurderingen inkludert i Marin transport (kap. 4.4). Påvirkning fra undervannsstøy fra fiskeri vurderes derfor som stedvis og ofte. Graden av påvirkning fra undervannsstøy er kronisk for grupper som er sensitive for støy (sjøpattedyr, anadrome, pelagisk og bunnlevende fisk og sjøfugl) og lav for de øvrige delene av økosystemet.

Utilsiktede tap. Tapte fiskeredskaper er innrapportert fra flere plasser i området (Fiskeridirektoratet). Det er spesielt passive redskaper som garn og teiner som har stort potensiale for å drive spøkelsesfiske. For å minske risikoen for spøkelsesfiske er det fra 2022 påbudt med rømmingshull i teiner. Under opprydningsaksjoner i Skagerrak og Oslofjorden (2019–2022) var 84 % av de tapte teinene uten rømmingshull (Thorbjørnsen et al. 2023), men det kan forventes at denne andelen går ned fremover. Effekten av spøkelsesfiske har størst påvirkning på mobile krepsdyr (f.eks. krabber), bunnfisk, sjøfugl og sjøpattedyr, og vurderes som en stedvis påvirkning med noe frekvens for disse gruppene. Annen bunnfauna som for eksempel koraller og svamp kan også bli sittende fast i tapte garn, og utilsiktede tap vurderes som en stedvis og sporadisk påvirkning for denne gruppen. Ved sjeldne tilfeller vil også pelagisk og anadrom fisk kunne sette seg fast i tapt fiskeutstyr. Graden av påvirkning er akutt for alle de relevante gruppene (krepsdyr, sjøfugl, sjøpattedyr, fisk) med unntak av bunndyr, f.eks. koraller og svamp. For disse vil påvirkningen være kronisk da de overlever, men fiskeredskapene vil likevel kunne påvirke tilstanden deres negativt.

4.4 - Turistfiske, fritidsfiske og jakt

Fritidsfiske i sjø er en utbredt aktivitet i Norge (Hyder et al. 2018), med begrenset regulering (Ferter et al. 2023). Fritidsfiske i sjø foregår i hovedsak i kystnære områder, og ringvirkningene av fisket sees i de samme områdene (Lewin et al. 2019). I Norge er det tillatt for innbyggere å fiske med håndholdte redskap samt garn, line og teiner, og det er tillatt å selge fangst for inntil 50 000 NOK (Ferter et al. 2023). I tillegg er turistfiske en næring i sterk vekst (Borch et al. 2011) med noe flere reguleringer enn for fritidsfiske. Fisketurister har bare lov å fiske med håndholdt redskap, de kan ikke selge fangsten, og de kan ta inntil 18 kg inntil 2 x per år selvfiskede produkter ut av landet dersom fisket har foregått hos en registrert turistfiskebedrift (Ferter et al. 2023; Nærings- og fiskeridepartementet, 2020). Det er en økende bekymring for at det foregår ulovlig turistfiske og eksport av fisk i Nord-Norge (e.g. NRK, 2024), men ulovlige aktiviteter omfattes ikke av denne risikovurderingen.

4.4.1 - Påvirknings av fritidsfiske i produksjonsområde 11

Både innbyggere og fisketurister står for et betydelig uttak av økonomisk viktige fiskearter fra kystområdene i Troms (Ferter et al. 2023). I 2022 ble det innrapportert fangster på totalt ~ 385   000 fisk fra turistfiske i region Nord (statistikk fra Fiskeridirektoratet), men disse dataene er ikke pålitelige og må brukes med varsomhet (Ferter, pers. komm.). I tillegg til turistfisket kommer uttaket fra fritidsfisket, og for dette finnes det ingen offisielle data. Det antas at det totale uttaket fra turist -og fritidsfiske er lavt sammenlignet med de kommersielle fangstene tatt innenfor 12-mila. For torsk er uttaket fra turist- og fritidsfiske estimert til ~ 10 % av den totale fangsten (Ferter et al. 2023). Dette står i kontrast til regionene lenger sør (Hordaland, Agder) hvor det er estimert at fritidsfiskere tar ut like mye eller mer av enkelte fiskeslag som torsk sammenlignet med de kommersielle fiskeriene (Kleiven et al. 2016; Ferter et al. 2023). Likevel er det totale volumet av torsk tatt i fritids -og turistfiske ~ 3 ganger så høyt i Troms som i Hordaland (Ferter et al. 2023).

Fritidsfiske er tett knyttet til bruk av fritidsbåter, noe som gir ytterligere påvirkninger på det marine miljøet i tillegg til konsekvensene av fisket i seg selv. I 2022 eide 33 % av husholdningene i Troms og Finnmark en fritidsbåt, noe som gir 115 000 båter totalt i regionen, hvorav halvparten av båtene antas å ha en båtplass (Kongelig Norsk Båtforbund, 2023).

Fritidsfiske i sjø er knyttet til følgende påvirkninger på det marine økosystemet langs kysten:

  • Høsting (målrettet uttak av biomasse)

  • Forstyrrelser (menneskelig nærvær og aktivitet som kan forstyrre paring, hvile og næringssøk hos dyr og fugler)

  • Forsøpling (søppel med opphav i fritids – og turistfiske tilføres kystsonen)

  • Fremmede arter (introduksjon eller spredning av fremmede arter gjennom bruk av fritidsbåter)

  • Miljøgifter (tilførsel av persistente organiske forurensningsforbindelser, tungmetaller og antibegroingsmidler gjennom bruk av fritidsbåter)

  • Oljeforurensning (tilførsel av hydrokarboner gjennom bruk av fritidsbåter)

  • Undervannsstøy (støy fra fritidsbåter)

  • Utilsiktede tap (kollisjoner med fritidsbåter, dyr som vikler seg inn i redskap under fiske eller i tapte fiskeredskap)

4.4.2 - Påvirkninger fra fritidsfiske i sjø - romlig fordeling og hyppighet

Arealverktøyet (www.kart.barentswatch.no) gir data fra Emodnet for den romlige fordelingen av bruken av fritidsbåter i produksjonsområde 11, men dette omfatter ikke båter uten AIS. Ellers er det begrenset informasjon tilgjengelig for å vurdere utbredelsen av påvirkningene fra fritidsfiske i tid og rom, og vurderingene knyttet til denne sektoren har derfor lav konfidens.

Høsting: Siden fangstene fra fritidsrelatert fiske antas å være relativt lave sammenlignet med kommersielle fiskerier i regionen, vurderes uttaket av arter til å være en stedvis påvirkning med ofte frekvens for bunnfisk og pelagisk fisk, og noe frekvens for marine krepsdyr og anadrom fisk. Høsting av sjøfugl og sjøpattedyr regnes med å foregå sjelden, men påvirkningen vil være akutt siden den medfører død.

Forstyrrelser. Turistfiske, fritidsfiske og jakt kan forstyrre sjøfugl og sjøpattedyr ved at mennesker oppholder seg på land (for eksempel nær fuglekolonier) eller i fritidsbåter. Påvirkningen antas å følge den romlige fordelingen av jakt og fiske, det vil si at den er stedvis og skjer noe. Graden av påvirkning fra fritidsrelatert jakt og fiske er kronisk, siden vedvarende forstyrrelser vil kunne ha innvirkning på hekking og næringsinntak.

Forsøpling. Det antas at forsøpling fra fritidsfiske følger fiskeinnsatsen i tid og rom, men ikke alt fiske vil forårsake forsøpling. Påvirkningen regnes derfor å gi en stedvis eksponering med noe frekvens for bunnlevende organismer (som bunnfisk og krepsdyr), og sjelden frekvens for organismer i vannmassene slik som pelagisk og anadrom fisk. Effekt er lav for makroalger og graden av effekt er kronisk for andre økosystemkomponenter.

Fremmede arter. Forflytninger/fremmede arter knyttet til fritidsfiske gjelder i hovedsak spredning av havnespy (Didemnum vexillum) via fritidsbåter (Aarflot et al. 2024). Det er ikke påvist noen forekomster av denne svartelistede arten i Nord-Norge, og det antas derfor at denne påvirkningsfaktoren ikke er relevant for fritidsfiske i produksjonsområde 11.

Miljøgifter: Marin maling og antibegroingsmidler brukt på fritidsbåter inneholder mikroplast og biocider (i hovedsak kobber, Cu, og sink, Zn). På forespørsel fra Miljødirektoratet estimerte COWI i 2018 utslippene til sjø til å være 0,135 kg mikroplast per båt per år, noe som for 57 500 fritidsbåter med båtplass på sjøen utgjør 2 ~ 8 tonn mikroplast i året for Troms og Finnmark fylker. En fritidsbåt bruker i gjennomsnitt 1,1 kg antibegroingsmidler årlig. Disse inneholder ~ 16 % biocider, hvorav 70–90 % frigis i sjøen (COWI, 2018). For det samme antallet fritidsbåter i småbåthavner vil dette gi en tilførsel av inntil 9 tonn biocider til miljøet hvert år i Troms og Finnmark fylker. Forurensning fra fritidsfartøy forventes å være konsentrert til småbåthavner og regnes med å gi en stedvis påvirkning med noe til vedvarende eksponering i produksjonsområde 11. Mobile økosystemkomponenter (som fisk) antas å være mindre eksponert enn fastsittende bunnlevende flora og fauna. Effektene fra forurensningen berører alle økosystemkomponentene, og graden av påvirkning varierer fra akutt for tidlige livsstadier hos fisk som er særlig sensitive, til kronisk for de fleste andre økosystemkomponentene, og lav for planteplankton.

Oljeforurensning. En rapport fra US National Academies Press (NAP) viser at oljeutslipp til sjø fra motorer i drift på mindre båter kan være betydelig, på grunn av måten motorene er utformet på (NAP 2022). Etter det vi kjenner til har ikke mengden oljeutslipp fra bruk av fritidsbåter vært estimert i norske farvann. Utslippene antas å følge båttrafikken, men vil formodentlig ikke bli spredt dypere enn 100 m (Hansen et al. 2023). Videre antas det at bruken av fritidsbåter er sesongbasert, med større trafikkmengde om sommeren (Johnsen et al. 2020). Oljeforurensning fra fritidsfiske antas å gi en stedvis påvirkning med noe frekvens for pelagiske økosystemkomponenter, og sjelden frekvens for økosystemkomponenter tilknyttet habitater dypere enn 100 m. Effekt er lav for planteplankton og kronisk for alle andre økosystemkomponenter.

Undervannstøy. Støy fra bruken av fritidsbåter antas å følge den romlige fordelingen av båttrafikken, det vil si at det gir en stedvis påvirkning med noe frekvens i produksjonsområde 11. Effekt er kronisk eller lav for økosystemkomponenter berørt av undervannsstøy.

Utilsiktede tap. Tapte fiskeredskaper er påvist flere steder i produksjonsområde 11, blant annet i Kvænangen (Yggdrasil, Fiskeridirektoratet). Store deler av området ser ikke ut til å ha vært undersøkt (Thorbjørnsen et al. 2023a, Thorbjørnsen pers. komm.). Det antas at mengden tapte fiskeredskaper følger den samme romlige fordelingen som for uttak av arter, det vil si at påvirkningen er stedvis. Bunnlevende organismer, sjøpattedyr og sjøfugl regnes med å være noe utsatt for tapte fiskeredskaper, mens pelagisk og anadrom fisk sjelden berøres. Effekt er kronisk for bunnlevende fauna, og akutt for øvrige økosystemkomponenter.

4.5 - Marin transport

Matproduksjonen i den undersøkte regionen er avhengig av transport på sjø, vei og med fly for å frakte produktene sine til markeder innenlands og internasjonalt. Totalt har eksporten av varer fra Troms og Finnmark fylker vokst med 164 % det siste tiåret, og dette skyldes i stor grad veksten i eksport av sjømat, noe som utgjør 53 % av den totale eksporten (ca. 30 milliarder NOK i 2022). Den totale sjømateksporten fra Troms og Finnmark var i 2022 lik eksporten fra andre store sjømatfylker (Vestland, Møre og Romsdal, Trøndelag, Nordland) (Menon Economics, 2023). Nergård Havfiske, Cermaq (Alta), Lerøy Aurora (Skjervøy) og Grieg seafood (Alta) er store eksportører av sjømat fra Troms og Finnmark. Transport på vei er den dominerende transportmetoden for norsk sjømat, både innenlands og for eksport. (Ziegler et al. 2022; Johansen et al. 2022). Villfanget fisk eksporteres via veinettet, og kongekrabbe med fly. Det pågår et skifte mot økende eksport av sløye fisken (mest torsk, sei og hyse) og hel fisk (sild og makrell) for bearbeiding i andre land (som Kina, Danmark og Polen) før videre distribusjon til markedene. Bakgrunnen for disse endingene er EU sine økte tollsatser på bearbeidet kontra ikke-bearbeidet fisk. Disse endringene gjør at transportbehovet øker. I våre vurderinger omfatter sektoren marin transport bruk av fartøy fra sektorer som driver med matproduksjon (for eksempel skipstrafikk til og fra fiskebanker), distribusjon av oppdretts -og villfanget fisk til markedene, transport av fôr til bruk i akvakultur (for eksempel fra anlegget i Balsfjorden), og servicebåter (fartøy til bruk i lusebehandling, og mindre fartøy tilknyttet oppdrettsanlegg). Utseilt distanse for fiskefartøy til og fra fiskebanker varierer innenfor området, og er høyest langs de viktigste skipsleiene (Fig. 22). I tillegg utmerker de viktigste fiskebankene og fjordene seg.

Tre kartutsnitt fra 2020 (venstre), 2021 (midten) og 2022 (høyre), PO11 innrammet i rødt. Fargeskalaen gjengitt nederst i høyre hjørne i 2022: «Utseilt distanse i nautiske mil». Grå/blå toner (30) via grønt og gult (300) og via oransje, rødt til mørk rødt (5000).
Figur 22. Fiskefartøytrafikk målt som seilt avstand (nm) per år basert på AIS. Data fra Barentswatch, Arealverktøy.

4.5.1 - Påvirknings av marine transport i produksjonsområde 11

Marin transport av fôr til bruk i oppdrett foregår med store skip som besøker flere anlegg for å levere fôrprodukter. Det finnes en fabrikk for fiskefôr som ligger i Balsfjorden og som forsyner oppdrettsnæringen i regionen. Hvert oppdrettsanlegg har i tillegg flere egne servicefartøy som jobber med drift og vedlikehold rundt anleggene, og større fartøy som besøker hver lokalitet flere ganger årlig etter behov, for å utføre avlusning eller frakte slaktemoden fisk til slakteriene.

Marin transport knyttes til følgende påvirkninger på det marine økosystemet:

  • Forsøpling (eks. utslipp ved lasting og lossing fra fraktefartøy som fører fôrprodukter)

  • Fremmede arter (introduksjon og forflytning fra begroing på fartøy)

  • Fysisk påvirkning (ankring)

  • Miljøgifter (tilførsel av persistente organiske forbindelser, tungmetaller og antibegroingsmidler fra fartøy)

  • Oljeforurensning (driftsutslipp fra fartøy)

  • Undervannstøy (fra skipstrafikk)

4.5.2 - Påvirkning fra marin transport - romlig fordeling og hyppighet

Forsøpling: Søppel kan være for eksempel emballasje, tau eller annet som ved uhell mistes over bord fra lasteskip i området. Det antas at dette er en stedvis påvirkning som gir noe eksponering for bunnlevende organismer som bunnfisk og krepsdyr, og sjelden for pelagiske organismer som pelagisk og anadrom fisk. Graden av påvirkning er kronisk for makroalger og lav for bunnlevende krepsdyr. Det finnes ikke målinger eller estimat av mengden søppel fra næringsmiddeltransport til sjøs, og denne vurderingen har derfor lav konfidens.

Fremmede arter. Etter at Ballastvannkonvensjonen ble implementert, regnes det med at begroing på fartøy nå er den viktigste vektoren for introduksjon av fremmede arter i Norge (Husa et al. 2022). Det er lokale klimaforhold som avgjør om fremmede arter klarer å etablere seg i et gitt område, og Sørvest-Norge som har et mildt klima regnes som regionen med høyest risiko for introduksjon av uønskede arter (Husa et al. 2022). Ikke alle fartøy vil være vektorer for spredning, og det forventes ikke etablering av nye arter årlig selv om fartøy tilknyttet matproduksjon går i trafikk mellom ulike regioner i Norge. Det antas derfor at dette er en stedvis påvirkning, som gir sjelden eksponering for de relevante bunndyrgruppene.

Fysiske påvirkning: Det er ikke registrert større ankringsplasser innenfor produksjonsområde 11 i nasjonale databaser, og ankring antas derfor ikke å utgjøre en relevant påvirkning for området.

Miljøgifter: Miljøgifter fra sjøtransport kommer fra skipsmaling, antibegroingsmidler (biocider, kobber (Cu), sink (Zn) og andre utslipp fra fartøy (Jalkanen et al. 2021, Ytreberg et al. 2022). Et eksempel på dette er utslipp av kobber fra skipsmaling med antibegroingsmidler, som er estimert til å være en stor kilde til kobber (> 35 %) i Østersjøen – adskillig mer enn den atmosfæriske avsetningen (Ytreberg et al. 2022). Vi kjenner ikke til at det er gjort estimater for utslipp av miljøgifter knyttet til sjøtransport i norske farvann. Som for oljeforurensning forventes denne påvirkningen å følge skipstrafikken, og har potensiale til videre spredning over avstander (også til dyp større enn 100 m). Miljøgifter fra sjøtransport antas å ha en stedvis utbredelse, med høyest konsentrasjon langs de viktigste skipsleiene og ved større havner. Frekvensen av eksponering vurderes til ofte for mobile økosystemkomponenter, og vedvarende for fastsittende komponenter som makroalger, ålegress og fastsittende bunnfauna. Påvirkningsgraden vil være kronisk for de fleste økosystemkomponentene, akutt for tidlige livsstadier hos fisk, og lav for planteplankton.

Oljeforurensning. Utslipp av hydrokarboner (PAH) eksempelvis fra gråvann, spyling av tanker, eksosrensesystemer, bunnvann i fartøy og smøremidler fra propellakslinger er blant kildene til forurensning fra skipstrafikk (Jalkanen et al. 2021, Ytreberg et al. 2022). Som et eksempel har lekkasje av smøreolje fra propellakslinger blitt estimert til tre liter per døgn for fiskefartøy, fire liter per døgn for kjøleskip og fem liter per døgn for containerskip (Jalkanen et al. 2021 og referanser i denne). Dessverre finnes det få vitenskapelige estimater av utslippsmengden fra fartøy i drift (Jalkanen et al. 2021) og vi kjenner ikke til estimater av hydrokarbonutslipp fra skipstrafikk i Norge. Det antas at oljeforurensning fra skipstrafikk tilknyttet matproduksjon vil gi en stedvis påvirkning i produksjonsområde 11, med høyest konsentrasjon i de mest brukte skipsleiene (https://www.barentswatch.no). Siden hydrokarboner antas å ikke spre seg til dyp større enn 100 m (Hansen et al. 2023) går vi her ut fra en ofte eksponeringsfrekvens for pelagiske økosystemkomponenter, og noe eksponeringsfrekvens for bunnlevende grupper. Graden av påvirkning er kronisk for alle økosystemkomponenter og lav for planteplankton.

Undervannsstøy. Siden støy kan spres over store avstander i sjøvann (Chahouri et al. 2022), antas det at den romlige fordelingen av støy fra sjøtransport følger skipstrafikken. Kart over trafikken av fiskefartøy (https://nais.kystverket.no/) viser at området som benyttes av disse fartøyene dekker inntil halvparten av produksjonsområdet. Påvirkningen fra støy antas derfor å gi en lokal eksponering med ofte eksponeringsfrekvens (fartøyer i drift en stor del av året) i det undersøkte området. Økosystemkomponenter som er sensitive for støy (sjøpattedyr, anadrom, pelagisk og bunnlevende fisk samt sjøfugl) antas å være under kronisk påvirkning, mens påvirkningsgraden er lav for øvrige økosystemkomponenter.

4.6 - Landbruk

Landbruk defineres her som kultivering av avlinger, husdyrhold, hagebruk og bruk av beiteland, og omfatter aktiviteter som etablering av gjerder og driftsbygninger, arealbruk, scooter/firhjuling/traktortrafikk mellom landbruksområder, avrenning, bruk av maskiner, spredning av husdyrgjødsel, mineralgjødselspredning, og bruk av polytuneller og plastmateriale for tildekking av avlinger. Omtrent 1,5 % av arealet i Troms fylke er egent til landbruksformål, og 1,1 % av arealet (omtrent 280 000 dekar) er oppdyrket (https://arealbarometer.nibio.no/). Det meste av landbruksarealet i Nord-Norge brukes til beite og gressdyrking til fôrproduksjon for beitedyr (Lang et al. 2023). Det tas sjelden i bruk nye områder (> 5 år), og bruken av ugressmidler i denne typen landbruk er så liten at den anses å være neglisjerbar (Hilde Halland, NIBIO, pers. kom.). 

4.6.1 - Påvirkninger av landbruk i produksjonsområde 11

Den eneste påvirkningen fra landbruk som vurderes å ha relevante effekter på kystområdene i produksjonsområde 11, er tilførselen av nitrogen og fosforholdige substanser (nitrogen fosforberikning) fra avrenning. Siden bruk av plantevernmidler i området er minimal, er miljøgifter fra landbruk ikke vurdert som en relevant påvirkning i denne risikovurderingen. Tilførsel av nitrogen og fosfor vurderes å ha en stedvis eksponering med sjelden frekvens i produksjonsområde 11, og påvirkningen er kun relevant for makroalger, ålegress og planteplankton. Påvirkningsgraden er kronisk.

5 - Resultater av samlet påvirkning

ODEMM metoden (Options for Delivering Ecosystem-based Marine Management) ble her brukt for å vurdere risiko fra den samlede påvirkningen på de marine kystøkosystemene i produksjonsområde 11, med fokus på aktivitet knyttet til de fem viktigste sektorene for matproduksjon: akvakultur, fiskeri, sjøtransport, fritidsbasert jakt og fiske og landbruk (se Kap. 2). Fiskeri var sektoren med høyest bidrag til samlet risiko for negativ påvirkning, mens landbruk hadde det laveste bidraget (Fig. 23). Høsting, bifangst og fysisk påvirkning på sjøbunn var påvirkningsfaktorene assosiert med høyest risiko, både summert over alle økosystemkomponenter, og gjennomsnittlig (Fig. 24). Marin transport, akvakultur og fritidsbasert jakt og fiske hadde en samlet risikoscore på rundt 0,2, en sjettedel av fiskeri (1,3). De tre sektorene er assosiert med hhv. 5, 12 og 7 av de totalt 18 påvirkningsfaktorene fra matproduserende sektorer (Fig. 3, 24 og 25), mens landbruk som her kun er knyttet til en enkelt påvirkningsfaktor (utslipp av næringssalter) med lav romlig utbredelse hadde et ubetydelig bidrag til risiko fra samlet påvirkning (Fig. 23). Gjennomsnittlig risikoscore per påvirkningsfaktor er beregnet over alle individuelle koblinger (sektor – påvirkningsfaktor – økosystemkomponent) hvor risiko er > 0. En score > 0 betyr at der forventes å være overlapp i tid og rom mellom en påvirkningsfaktor fra en sektor og en økosystemkomponent som er sårbar for den konkrete påvirkningen. Akvakultur hadde det høyeste antallet av koblinger med score > 0 (55), tett fulgt av fritidsbasert jakt og fiske (53). Marin transport hadde 38 koblinger med score > 0, fiskeri hadde 33 og landbruk kun 2. Gjennomsnittlig risikoscore kan fremheve påvirkninger som er knyttet til færre sektorer eller økosystemkomponenter, men gir et relativt høyt bidrag til risiko for de økosystemkomponentene som kan bli berørt. Parasitter (lakselus) er et eksempel på dette: i sum rangeres dette som den 9. største påvirkningen her (Fig. 24, venstre panel), da den kun er knyttet til akvakultur-sektoren og økosystemkomponenten anadrom fisk. Men i snitt rangeres den som påvirkningsfaktor nr. 4 (Fig. 24, høyre panel), da den utgjør en relativt høy andel av den totale risikoen for påvirkning på anadrom fisk (Fig. 25).

 

To diagram med loddrett/y-akse fra øverst til nederst: Fiskeri, marin transport, akvakultur, fritidsfiske og landbruk. Nederst/x-akse: A (samlet risiko): fra 0 til 1,5. B (gjennomsnitt risiko): 0,00 til 0,04. Grå felt viser risikoscore for de ulike sektorene.
Figur 23. Samlet (venstre) og gjennomsnittlig (høyre) risikoscore fordelt mellom de fem viktigste sektorene for matproduksjon i produksjonsområde 11.

 

 

To diagram (horisontale stabler), begge med påvirkningsfaktorer listet loddrett/y-akse fra øverst til nederst: Utilsiktet tap, undervannsstøy, tapt habitat, parasitter, organisk belastning, oljeforurensning, næringssalter, nedslamming, miljøgifter, høsting, genetisk endring, fysisk påvirkning, fremmede arter, forsøpling, forstyrrelser, elektromagnetiske felt, bifangst og barrierer. X-akse venstre: fra 0 til 0,7 og til høyre: 0 til 0,25. Symbolforklaring til høyre for diagrammene: «Sektor»: rød = Akvakultur, grå = fiskeri, oransje = fritidsfiske, grønn = landbruk og blå = marin transport.
Figur 24. Samlet (venstre) og gjennomsnittlig (høyre) risiko per påvirkningsfaktor fra de fem matproduserende sektorene i produksjonsområde 11.

 

 

Fem stykk horisontalt stablet søylediagram fra matproduserende sektorer (verdi på x-akse (sum risikoscore) i parentes). Akvakultur (0,00 til 0,075), Fiskeri (0,0 til 0,5), Fritidsfiske (0,00 til 0,035), Landbruk (0e+00 til 3e-04) og Marin transport (0,00 til 0,04). Alle med marine økosystemkomponenter listet loddrett/y-akse fra øverst til nederst: tidlige livsstadier fisk, sjøpattedyr, sjøfugl, planteplankton, pelagisk fisk, makroalger/ålegress, dyreplankton, bunnfisk, bunnfauna, bentiske krepsdyr og anadrom fisk. Fargeforklaring til høyre for diagrammene, listet fra øverst til nederst med påvirkningsfaktorer: Barrierer, bifangst, elektromagnetiske felt, forstyrrelser, forsøpling, fremmede arter, fysiske påvirkninger, genetiske endringer, høsting, miljøgifter, nedslamming, næringssalter, oljeforurensning.
Figur 25. Risikoscore for marine økosystemkomponenter farget etter bidraget fra de forskjellige påvirkningsfaktorene fra matproduserende sektorer. Merk at panelene har ulike x-akser.

 

Høsting, hovedsakelig fra fiskerier, men også fritidsfiske, hadde det høyeste bidraget til risiko fra samlet påvirkning i sum, og rangerte som nr. 2 i snitt (Fig. 24). Selv om høsting fra fiskerier kun påvirker bunnfisk, pelagisk fisk og krepsdyr, vurderes det å forekomme ofte og på lokal skala med akutte effekter på disse økosystemkomponentene, noe som resulterer i høy risiko for negativ påvirkning. Høsting fra fritidsfiske påvirker flere økosystemkomponenter enn kommersielle fiskeri, men anses å ha en vesentlig mindre utbredelse i tid og rom (Fig. 25). Bifangst og fysisk påvirkning på sjøbunn, nesten utelukkende fra fiskerier, rangerer høyt både for gjennomsnittlig og sum risikoscore (Fig. 24). Bifangst er en akutt påvirkningsfaktor fra fiskeri som i hovedsak påvirker bunnfisk (Fig. 25). Fysisk påvirkning fra bunntråling påvirker kun bunnfauna (Fig. 25) og for denne gruppen anses påvirkningen å ha lokalt (5–50 %) overlapp med bunnfauna i området, forekomme ofte og ha en akutt effekt. Derfor vises fysisk påvirkning som en viktigere påvirkningsfaktor ved bruk av gjennomsnittlig påvirkning på relevante grupper, enn ved bruk av summert risiko (Fig. 25) . Fiskerier bidro også til noe risiko for negativ påvirkning fra utilsiktet tap, nedslamming og forsøpling. Disse tre påvirkningene knyttes til et bredt spekter av økosystemkomponenter (Fig. 25). Utilsiktet tap, selv om dette har en stedvis og en sporadisk eller sjelden romlig og tidsmessig overlapp, gir en akutt grad av påvirkning på flere økosystemkomponenter. Sjøfugl og sjøpattedyr er påvirket av en kombinasjon av disse tre påvirkningsrisikoene. En fullstendig oversikt over romlig, tidsmessig utbredelse og effekt av påvirkninger for alle sektor-press-økosystemkomponent-kombinasjoner er tilgjengelig i vedlegg 1–3.

Undervannsstøy, oljeforurensning og miljøgifter er påvirkningsfaktorer fra marin transport som berører flere økosystemkomponenter, noe som resulterte i at disse påvirkningene sto for mesteparten av risikoen fra denne sektoren (Fig. 24, 25). Undervannsstøy hadde en større samlet risikoscore enn de to andre påvirkningene fra marin transport på grunn større eksponering i rom og tid for økosystemkomponentene sjøpattedyr, pelagisk, bunn- og anadrom fisk, og effekten fra støy vurderes som kronisk. Tidlige livsstadier av fisk er mer sårbare for miljøgifter enn andre grupper og hadde derfor størst risiko knyttet til denne påvirkningsfaktoren.

For akvakultur var påvirkningsfaktorene miljøgifter, parasitter, genetisk endring, og organisk belastning de største bidragsyterne til både samlet og gjennomsnittlig påvirkningsrisiko (Fig. 24). Akvakulturutslipp; organisk belastning og miljøgifter fra legemidler og antibegroingsmidler, hadde et stedsspesifikt (< 5 %) romlig overlapp med flere økosystemkomponenter (Fig. 25). Miljøgifter ble vurdert å forekomme ofte, men med variert grad av påvirkning (fra lav for planteplankton til akutt for tidlige livsstadier av fisk). Organisk belastning fra akvakultur hadde størst påvirkning på økosystemkomponenter tilknyttet havbunnen (Fig. 25). Den gjennomsnittlige risikoscoren var høyest for parasitter og genetiske endringer for anadrom fisk, som utsettes for en betydelig risiko fra påvirkninger fra akvakultur (Fig. 24, 25). Til tross for at genetisk endring og parasitter fra akvakultur kun påvirker anadrom fisk, utgjorde de likevel de viktigste påvirkningene fra akvakultur da begge over tid har en alvorlig påvirkning på anadrom fisk (Grefsrud et al. 2025). Eksponering og effekt av undervannsstøy og elektromagnetiske endringer fra akvakultur er dårlig kjent, men vurderes å utgjøre en risiko for flere økosystemkomponenter, spesielt for de som er mottakelige for endringer i lyd og elektromagnetiske felt.

Fritidsbasert jakt og fiske bidrar til samlet risiko fra påvirkningsfaktorene høsting, utilsiktet tap, miljøgifter, forstyrrelser, forsøpling, undervannsstøy, og oljeforurensning, hvor de tre første påvirkningene gir det største bidraget til både samlet og gjennomsnittlig påvirkningsrisiko (Fig. 24, 25). Høsting og utilsiktet tap har en akutt grad av påvirkning på komponentene, og gir derfor et relativt stort bidrag til samlet risiko til tross for at stedvis og sporadisk/sjelden eksponering. Landbruk ga et svært lavt bidrag til samlet påvirkning, da kun næringssalter ble vurdert å være en relevant påvirkningsfaktor på marine økosystemkomponenter i dette området (makroalger og ålegress og planteplankton) med en stedvis og sjelden eksponering (Fig. 24, 25).

 

Horisontalt stablet søylediagram med marine økosystemkomponenter listet loddrett/y-akse fra øverst til nederst: tidlige livsstadier fisk, sjøpattedyr, sjøfugl, planteplankton, pelagisk fisk, makroalger/ålegress, dyreplankton, bunnfisk, bunnfauna, bentiske krepsdyr og anadrom fisk. X-akse (sum risikoscore) fra 0,0 til 0,6. Fargeforklaring til høyre for diagrammet, listet fra øverst til nederst med påvirkningsfaktorer: Barrierer, bifangst, elektromagnetiske felt, forstyrrelser, forsøpling, fremmede arter, fysiske påvirkninger, genetiske endringer, høsting, miljøgifter, nedslamming, næringssalter, oljeforurensning.
Figur 26. Risikoscore for marine økosystemkomponenter farget etter bidrag fra de forskjellige påvirkningsfaktorene fra alle matproduserende sektorer.

 

Bunnfisk, bunnfauna, bentiske krepsdyr og pelagisk fisk var økosystemkomponentene med den største risikoen for negativ påvirkning samlet sett, hvor høsting, bifangst og fysisk påvirkning fra fiskerier generelt utgjorde det høyeste bidraget for alle fire økosystemkomponentene. For bunnfisk var høsting og bifangst fra fiskeri de dominerende påvirkningene som bidrar til samlet risiko for negativ påvirkning. I tillegg kom mindre tilleggspåvirkninger fra høsting og utilsiktet tap fra fritidsfiske, undervannsstøy fra marine transport og en kombinasjon av flere påvirkningsfaktorer fra akvakultur. For bunnfauna var den største risikoen for negativ påvirkning fra fysisk påvirkning (primært bunntrål), med mindre bidrag fra andre påvirkningsfaktorer som nedslamming, bifangst, forsøpling og miljøgifter. Bunnfauna påvirkes av miljøgifter fra fartøy i transportsektoren og båter brukt til fritidsfiske, og av en rekke faktorer fra akvakultur. Bentiske krepsdyr er mer mobile enn fastsittende bunnfauna og er derfor mindre påvirket av fysisk påvirkning og utslipp fra akvakultur på havbunnen, men de har større risiko fra høsting fra fiskeri og fritidsfiske. Pelagisk fisk ble i størst grad påvirket av høsting fra fiskeri og fritidsfiske (Fig. 25, 26).


Anadrom fisk, sjøpattedyr, og sjøfugl ble vurdert til å være påvirket av flere menneskelige påvirkninger, men har en lavere samlet risiko for negativ påvirkning enn bunnfisk, bunnfauna, bentiske krepsdyr og pelagisk fisk. For anadrom fisk var genetisk endring og parasitter fra akvakultur og undervannstøy fra marin transport de dominerende påvirkningene. Samlet påvirkning på sjøpattedyr og sjøfugl var en kombinasjon av flere påvirkningsfaktorer som inkluderte utilsiktet tap, forsøpling og bifangst fra flere sektorer. Sjøpattedyr var i tillegg påvirket av undervannstøy primært fra marin transport. Fiskens tidlige livsstadier ble i størst grad påvirket av miljøgifter fra marin transport, akvakultur og fritidsfiske, men ikke fra fiskeri eller landbruk (Fig. 25, 26).

Planteplankton, dyreplankton, makroalger og ålegress er økosystemkomponentene med lavest samlet risiko for negativ påvirkning. Planteplankton er kun påvirket av næringssalter fra akvakultur og landbruk, mens dyreplankton påvirkes av miljøgifter og oljeforurensning fra fritidsfiske og marin transport samt miljøgifter fra akvakultur og undervannstøy fra marin transport. For makroalger og ålegress, er akvakultur den sektoren som bidrar mest til samlet risiko fra en kombinasjon av organisk belastning, næringssalter, nedslamming og miljøgifter. Miljøgifter og oljeforurensning bidrar også til samlet risiko for denne økosystemkomponenten (Fig. 25, 26).

6 - Oppsummering og diskusjon

Kumulativ risiko for negativ påvirkning på kystøkosystemkomponenter fra de fem viktigste sektorene for matproduksjon ble vurdert i perioden 2021 - 2023 i et område i Nord-Norge som strekker seg fra øya Kvaløya i Troms til Loppa i Finnmark. Grensene for området tilsvarer produksjonsområde 11 i inndelingen av kysten som brukes i forvaltningen av akvakultur. Området ble valgt fordi det representerer et kystområde med et bredt spekter av de viktigste kystnære sektorene for matproduksjon i Norge, og kunnskapen om fordeling av økosystemkomponenter og påvirkninger fra menneskelige aktiviteter i området er relativt god blant forskere ved Framsenteret i Tromsø. Den samlede påvirkningsrisikoen fordelt mellom de fem matproduserende sektorene for produksjonsområde 11 var størst for fiskerier. Kommersiell fangst av marin fisk, særlig av NVG-sild, torsk, sei, lodde og hyse, er en av de viktigste næringene i PO11, og dette området har noen av de største fangstene av sild i Norge. Det at fiskerisektoren, og særlig høsting, hadde det største bidraget til samlet påvirkning i denne analysen betyr ikke at dagens fangster er på et nivå som økosystemet ikke kan håndtere. For dette kreves en supplerende vurdering av økosystemets tilstand. Analysene viser likevel at påvirkninger fra fiskerisektoren anses å være mer utbredt (særlig i rom) sammenlignet med påvirkninger fra de øvrige matproduserende sektorene. I tillegg har påvirkninger fra denne sektoren mer akutte effekter (f.eks. høsting og fysisk påvirkning fra bunntrål) enn andre påvirkningsfaktorer som også anses å gi lokal (5–50 %) eksponering i området (undervannsstøy, parasitter, genetisk endring – kronisk effekt). Det er verdt å merke seg at ingen av påvirkningsfaktorene fra de matproduserende sektorene anses å gi utbredt (>50 %) eksponering for økosystemkomponenter i PO11 (Fig. V1).

Troms og Finnmark har store aktiviteter innen sjømattransport på lik linje med andre kystfylker som Vestland og Nordland, og transportbehovet er økende (Husa et al. 2022). Dagens bruk av skipsleier, fiskebanker og fjorder i området er høy. Marin transport inkluderer i denne studien bruk av fartøy fra sektorer som driver matproduksjon, som for eksempel transport av kommersielt fanget fisk og bruk av servicebåter i akvakulturnæringen. Hoved-påvirkninger fra marin transport ble her vurdert å være undervannsstøy, miljøgifter og (i noen grad) oljeforurensning. Undervannsstøy ga det største bidraget til risiko for negativ påvirkning på grunn av større utbredelse i rom enn de øvrige. Risiko fra spredning av fremmede arter og forsøpling ble vurdert som ubetydelig sett opp mot de øvrige påvirkningsfaktorene.

Arealet av produksjonsområdet som dekkes av akvakulturanlegg er relativt lite i produksjonsområde 11 sammenlignet med andre produksjonsområder, for eksempel i Vestland fylke, Midt-Norge og tilgrensende produksjonsområde mot sør (PO10) (Grefsrud et al. 2025). Fra akvakultur var den samlede risikoen kompleks med et høyt antall påvirkningsfaktorer assosiert med sektoren, og de dominerende påvirkningene var genetisk endring og parasitter. Begge disse faktorene er spesifikke for anadrom fisk (laks og sjøørret), som er den økosystemkomponenten som vurderes bli mest negativt påvirket av akvakultur. Sannsynlighet for risiko for høy dødelighet for migrerende postsmolt fra lakselus har vært vurdert som lav i perioden 2020–2024, men i 2025 ble den hevet til moderat risiko for høy dødelighet for migrerende postsmolt på grunn av en varm sommer i 2024 (Gresfrud et al. 2020–2025).

Fritidsfiske i sjø er populært blant innbyggerne i produksjonsområde 11 og turistfisket er i vekst i Nord-Norge der Troms er en populær destinasjon. Sektoren er forbundet med flere forskjellige påvirkningsfaktorer, der de viktigste var høsting, utilsiktet tap og miljøgifter, primært relatert til forurensing fra fritidsbåter. Som for fiskeri bidrar høsting mye til samlet påvirkning fra sektoren, grunnet både relativt høy eksponering og akutt påvirkningsgrad. Det er derfor gruppene med viktige målarter for fritids- og turistfiske, bunnfisk og pelagisk fisk, som forventes ha størst risiko for negativ påvirkning fra denne sektoren. Det er imidlertid lite tilgjengelig informasjon om påvirkninger fra denne sektoren, og vurderingene er forbundet med høy usikkerhet.

Landbruk var den matproduserende sektoren som bidro minst til samlet påvirkning i denne studien. I en tilsvarende vurdering av samlet risiko i ytre Oslofjorden var landbruk forbundet med flere påvirkningsfaktorer (Aarflot et al. 2024b), og avrenning fra landbruk regnes som en viktig bidragende årsak til eutrofiering av kystvann (Staalstrøm m.fl. 2022). Landbruksområder i Nord-Norge består i stort sett av beitemark og dyrking av gress til dyrefôr, og tilførsel av næringsstoffer fra landbruk her er betydelig mindre enn i f.eks. ytre Oslofjord.

Bunnfisk, bunnfauna, bentiske krepsdyr og pelagisk fisk ble vurdert å være eksponert for høyest risiko for negativ påvirkninger fra de fem matproduserende sektorene. Disse gruppene var også mest utsatt for samlet risiko i en tilsvarende vurdering som omfattet flere menneskelige aktiviteter i produksjonsområde 3, 4, 9 og 12 (Aarflot et al. 2024a). Sjøpattedyr og anadrom fisk fikk også høy risikoscore fra påvirkninger fra matproduserende sektorer. For anadrom fisk var de største påvirkningsfaktorene knyttet til akvakultur (parasitter og genetisk endring), samt undervannsstøy fra marin transport. For sjøpattedyr og sjøfugl var samlet risiko en kombinasjon av påvirkningsfaktorer som inkluderte utilsiktet tap, forsøpling og bifangst fra flere sektorer. Tidlige livsstadier av fisk er særlig sårbare for miljøgifter (Hansen et al. 2022) som her også slo ut som påvirkningsfaktoren med høyest risiko for negativ påvirkning på disse. Miljøgifter i PO11 knyttes i hovedsak til marin transport og akvakultur samt noe fritidsfiske relatert til forurensing fra småbåter (se kap. 4).

ODEMM-tilnærmingen muliggjør en systematisk gjennomgang av påvirkninger fra flere sektorer på tvers av økosystemet, og identifiserer regionale områder og økologiske grupper som er utsatt for høyere risiko for negativ menneskelige påvirkning. Metoden strukturerer og tilgjengeliggjør regional kunnskap om marine økosystemer og menneskelig påvirkning for forskere, kystsoneplanleggere og andre aktører, og kan dermed bidra til en bærekraftig utvikling av næringer. En ODEMM-basert vurdering giret helthetlig bilde av potensiell samlet risiko for negative effekter fra ulike sektorer. Forvaltningen av de ulike næringene regulerer disse påvirkningene for å oppnå bærekraftige næringer og god tilstand i økosystemene. En vurdering av økosystemets tilstand vil kunne bidra til å vurdere om påvirkningene er på et nivå som økosystemet kan håndtere.

Det er begrenset kunnskap om utbredelse i tid og rom av de fleste økologiske gruppene langs kysten, hovedsakelig på grunn av kostnader og tidskrevende kartlegging av en av verdens lengste kystlinjer. Nåværende vurderinger blir derfor gjort på grov skala, både når det gjelder taksonomiske grupper og i vurderinger av eksponering i tid og rom. Denne typen kunnskap kan forbedres gjennom bruk av nye teknologier som ubemannede undervanns- eller overflatefartøy og modeller for å forbedre dekning og oppløsning av kunnskap fra kartlegginger. Noen deler av PO11 er blitt mer grundig kartlagt gjennom prosjektet "marine grunnkart i kystsonen" (NGU, 2022; Kartverket, 2023). Denne typen kartlegginger vil bidra til økt kunnskap særlig om utbredelse og fordeling av bunndyr og bunnhabitater, og dermed mer presise vurderinger av risiko for eksponering.

I ODEMM-metoden inkluderes kun direkte effekter, og det antas at den samlede påvirkningen er additiv. Per i dag vurderes derfor verken samspillet mellom økologiske grupper, samvirkning mellom påvirkningsfaktorer eller den økologiske tilstanden til komponenter, noe som vil ha betydning for utfallet av negative effekter av menneskelige påvirkninger. Heller ikke indirekte effekter som for eksempel effekten av bunntråling på habitater med negativ påvirkning på tidlige stadier av fisk som er avhengige av disse habitatene. Videre metodeutvikling på disse områdene vil være et viktig bidrag til forbedring av metoden. Vurderingene av forventede effekter (sårbarhet) av påvirkningsfaktorer på økosystemkomponenter bygger på en tilsvarende analyse av sårbare og verdifulle områder (SVO) i norske havområder (Hansen et al. 2022). I studien av produksjonsområde 11 er det gjort enkelte tilpasninger for kystøkosystemer, men en fullstendig kystspesifikk sårbarhetsanalyse lå utenfor prosjektets omfang. En grundigere gjennomgang av forventede effekter fra påvirkningsfaktorer på kystnære økosystemkomponenter vil kunne styrke presisjonen i fremtidige risikovurderinger av kystøkosystemer.

ODEMM kan være et nyttig verktøy for å sette de ulike næringenes individuelle påvirkninger i sammenheng med samlet påvirkning fra andre aktiviteter i det samme området. Tilnærmingen kan også brukes til å vurdere økologiske effekter av endringer i menneskelige aktiviteter og utforske fremtidige scenarier, slik som innføring av ny teknologi for å redusere miljøbelastning. Eksempler på relevante fremtidige endringer inkluderer semi-lukkede oppdrettsanlegg for å redusere lakselus og etablering av marine verneområder for å beskytte sjeldne og sårbare bunnhabitater mot bunntråling. Kombinert med prediksjoner av endringer i utbredelse og fordeling av økosystemkomponenter som følge av klimaendringer, kan ODEMM-tilnærmingen brukes til å utforske de samlede effektene av klimaendringer og fremtidige endringer i menneskelige aktiviteter.

7 - Referanser

Aarflot JM, Bjørdal VR, Dunlop KM, Espinasse M, Husson B, Lindstrøm U, et al. 2024a. Ecosystem risk from human use of ocean space and resources: A case study from the Norwegian coast. Ocean & Coastal Management. 256:107299. 10.1016/j.ocecoaman.2024.107299

Aarflot JM, Naustvoll LJ, Moy FE, Norderhaug KM, Berg F, Kvamme C, et al. 2024b. Pilotprosjekt for vurdering av samlet påvirkning i Oslofjorden–ytre del. Rapport fra havforskningen. 2024. https://www.hi.no/hi/nettrapporter/rapport-fra-havforskningen-2024-15 

Ådlandsvik B. 2015. Forslag til produksjonsområder i norsk lakse-og ørretoppdrett. https://www.regjeringen.no/contentassets/9380b2e564e9433e830551b4e2baa823/omraderapport.pdf.

Ådlandsvik B. 2022. Havbruk til havs–yttergrense for produksjonsområdene. https://www.regjeringen.no/contentassets/6347e248aa444c8fae53145003847a9a/havbruk-til-havs-yttergrensene-for-produksjonsomradene.pdf.

Bannister RJ, Johnsen IA, Hansen PK, Kutti T, Asplin L. 2016. Near-and far-field dispersal modelling of organic waste from Atlantic salmon aquaculture in fjord systems. ICES Journal of marine Science. 73(9):2408-19. 10.1093/icesjms/fsw027.

Barth-Jensen C, Daase M, Ormańczyk MR, Varpe Ø, Kwaśniewski S, Svensen C. 2022. High abundances of small copepods early developmental stages and nauplii strengthen the perception of a non-dormant Arctic winter. Polar Biology. 45(4):675-90. 10.1007/s00300-022-03025-4.

Borch T, Moilanen M, Olsen F. 2011. Marine fishing tourism in Norway: structure and economic effects. Økonomisk fiskeriforskning. 21(1):1-17. https://okonomiskfiskeriforskning.no/wp-content/uploads/sites/2/2023/03/Borch-Moilanen-og-Olsen.pdf

Chahouri A, Elouahmani N, Ouchene H. 2022. Recent progress in marine noise pollution: A thorough review. Chemosphere. 291:132983. 10.1016/j.chemosphere.2021.132983.

Coguiec E, Ershova EA, Daase M, Vonnahme TR, Wangensteen OS, Gradinger R, et al. 2021. Seasonal Variability in the Zooplankton Community Structure in a Sub-Arctic Fjord as Revealed by Morphological and Molecular Approaches. Frontiers in Marine Science. 8. 10.3389/fmars.2021.705042.

Degerlund M, Eilertsen HC. 2010. Main Species Characteristics of Phytoplankton Spring Blooms in NE Atlantic and Arctic Waters (68–80° N). Estuaries and Coasts. 33(2):242-69. 10.1007/s12237-009-9167-7.

Duarte CM, Losada IJ, Hendriks IE, Mazarrasa I, Marbà N. 2013. The role of coastal plant communities for climate change mitigation and adaptation. Nature Climate Change. 3(11):961-8. 10.1038/nclimate1970.

Eilertsen HC, Degerlund M. 2010. Phytoplankton and light during the northern high-latitude winter. Journal of Plankton Research. 32:899-912. 10.1093/plankt/fbq017

Eriksen E, van der Meeren GI, Nilsen BM, von Quillfeldt CH, Johnsen H. 2021. Particularly valuable and vulnerable areas (SVO) in Norwegian seas-environmental values: assessment of environmental values and borders of present SVOs and proposals for new areas. https://www.hi.no/en/hi/nettrapporter/rapport-fra-havforskningen-2021-26.

Estes JA, Tinker MT, Williams TM, Doak DF. 1998. Killer Whale Predation on Sea Otters Linking Oceanic and Nearshore Ecosystems. Science. 282(5388):473-6. 10.1126/science.282.5388.473.

Evenset A, Refseth GH, Dale T, Arnberg M, Harendza A, Mikkelsen EI, et al. 2023. Environmental impacts of aquaculture and coexisting industries. Akvaplan-niva rapport (63547.01) . https://munin.uit.no/handle/10037/32358.

Fiskeribladet, 2022. Tromsø fryser seg til fiskerihavn-toppen. Tok imot fisk for over 5,2 milliarder kroner i fjor. | Fiskeribladet.

Ferter K, Otterå H, Christman M, Kleiven AR, Weltersbach MS, Gundersen S, et al. 2020. Integrating complementary survey methods to estimate catches in Norway’s complex marine recreational hook-and-line fishery. ICES Journal of Marine Science. 80(1):107-21. 10.1093/icesjms/fsac216.

Grefsrud ES, Karlsen Ø, Svåsand T. 2020. Risikorapport norsk fiskeoppdrett 2020 - Risiko knyttet til dødelighet hos utvandrende postsmolt laks som følge av utslipp av lakselus fra fiskeoppdrett . Rapport fra havforskningen. https://www.hi.no/hi/nettrapporter/fisken-og-havet-2020-4

Grefsrud ES, Karlsen Ø, Kvamme BO, Glover K, Husa V, Hansen PK, et al. 2021. Risikorapport norsk fiskeoppdrett 2021 – effekter av norske fiskeoppdrett. Rapport fra havforskningen. 2021. https://www.hi.no/hi/nettrapporter/rapport-fra-havforskningen-2021-8.

Grefsrud ES, Bjørn PA, Grøsvik BE, Hansen PK, Husa V, Karlsen Ø, et al. 2022. Risikorapport norsk fiskeoppdrett 2022 – effekter på miljø og dyrevelferd i norsk fiskeoppdrett. Rapport fra havforskningen. https://www.hi.no/hi/nettrapporter/rapport-fra-havforskningen-2022-12

Grefsrud ES, Andersen LB, Grøsvik BE, Karlsen Ø, Kvamme BO, Hansen PK, et al. 2023. Risikorapport norsk fiskeoppdrett 2023 - Produksjonsdødelighet hos oppdrettsfisk og miljøeffekter av norsk fiskeoppdrett. Rapport fra havforskningen. https://www.hi.no/hi/nettrapporter/rapport-fra-havforskningen-2023-6.

Grefsrud ES, Agnalt A-L, Diserud OH, Dunlop KM, Escobar R, Fiske P, Folkedal O, et al. 2024. Risikorapport norsk fiskeoppdrett 2024 - Produksjonsdødelighet hos oppdrettsfisk og miljøeffekter av norsk fiskeoppdrett. Rapport fra havforskningen. https://www.hi.no/hi/nettrapporter/rapport-fra-havforskningen-2024-4

Grefsrud ES, Berg Andersen L, Agnalt A-L, Bui S, Bøhn T, Diserud OH, et al. 2025. Risikorapport norsk fiskeoppdrett 2025 - Produksjonsdødelighet hos oppdrettsfisk og miljøeffekter av norsk fiskeoppdrett. Rapport fra havforskningen. https://www.hi.no/hi/nettrapporter/rapport-fra-havforskningen-2025-14

Halttunen E, Gjelland K, Glover KA, Askeland Johnsen I, Serra-Llinares RM, Skaala Ø, et al. 2018. Migration of Atlantic salmon post-smolts in a fjord with high infestation pressure of salmon lice. Marine Ecology Progress Series. 592:243-56. 10.3354/meps12403.

Halvorsen E, Tande KS, Edvardsen A, Slagstad D, Pedersen OP. 2003. Habitat selection of overwintering Calanus finmarchicus in the NE Norwegian Sea and shelf waters off Northern Norway in 2000–02. Fisheries Oceanography. 12(4-5):339-51. 10.1016/j.dsr.2008.02.009

Halvorsen E, Tande KS, Høisæter T. 1994. Physical and biological factors influencing the seasonal variation in distribution of zooplankton across the shelf at Nordvestbaskem, northern Norway, 1994. Sarsia. 84(3-4):279-92.  10.1080/00364827.1999.10420432.

Hansen C, Aarflot JM, Eriksen E, Husson B, Fauchald P, Johansen GO, et al. 2022. Samlet påvirkning i foreslåtte særlig verdifulle og sårbare områder i norske havområder. Rapport fra havforskningen. https://www.hi.no/hi/nettrapporter/rapport-fra-havforskningen-2022-46

Hansen C, Hjøllo SS, Ottersen G, Skern-Mauritzen M. 2022. Miljøverdiers Sårbarhet i Norske Havområder - En gjennomgang av sårbarhet til ulike typer påvirkninger i foreslåtte særlig verdifulle og sårbare områder i norske havområder. Rapport fra havforskningen. https://www.hi.no/hi/nettrapporter/rapport-fra-havforskningen-2022-433.

Haynie A, Hoel AH, Belgrano A, Llope M. Workshop on methods and guidelines to link human activities, pressures and state of the ecosystem in Ecosystem Overviews (WKTRANSPARENT). Centro Oceanográfico de Cádiz. 2021. 10.17895/ices.pub.7930

Hazen EL, Abrahms B, Brodie S, Carroll G, Jacox MG, Savoca MS, et al. 2019. Marine top predators as climate and ecosystem sentinels. Frontiers in Ecology and the Environment.17(10):565-74. 10.1002/fee.2125

Hjelset AM, Zimmermann F. 2024. Råd om fiske av kongekrabbe i norsk sone i 2025. Rapport fra havforskningen. https://www.hi.no/hi/nettrapporter/rapport-fra-havforskningen-2024-47.

Husa V, Agnalt A-L, Berntsen H, Falkenhaug T, Fossøy F, Forsgren E, et al. 2022. Alien marine species in Norway: mapping, monitoring and assessment of vectors for introductions. https://www.hi.no/hi/nettrapporter/rapport-fra-havforskningen-en-2022-8.

Hyder K, Weltersbach MS, Armstrong M, Ferter K, Townhill B, Ahvonen A, et al. 2018. Recreational sea fishing in Europe in a global context—Participation rates, fishing effort, expenditure, and implications for monitoring and assessment. Fish and Fisheries. 19(2):225-43. 10.1111/faf.12251

Jalkanen JP, Johansson L, Wilewska-Bien M, Granhag L, Ytreberg E, Eriksson KM, et al. 2021. Modelling of discharges from Baltic Sea shipping. Ocean Sci. 17(3):699-728. https://doi.org/10.5194/os-17-699-2021

Jensen JLA, Rikardsen AH. 2008. Do northern riverine anadromous Arctic charr Salvelinus alpinus and sea trout ( Salmo trutta ) overwinter in estuarine and marine waters? Journal of Fish Biology. 73(7):1810-8. 10.1111/j.1095-8649.2008. 02042.x.

Jensen JLA, Rikardsen AH. 2012. Archival tags reveal that Arctic charr ( Salvelinus alpinus ) and brown trout ( Salmo trutta ) can use estuarine and marine waters during winter. Journal of Fish Biology. 81(2):735-49. 10.1111/j.1095-8649.2012.03343.x.

Johansen U, Nistad AA, Ziegler F, Mehta S, Wocken Y, Hognes ES. 2022. Greenhouse gas emissions of Norwegian salmon products. SINTEF report. https://www.sintef.no/en/publications/publication/2106677/

Johansson L, Ytreberg E, Jalkanen JP, Fridell E, Eriksson KM, Lagerström M, et al. 2020. Model for leisure boat activities and emissions – implementation for the Baltic Sea. Ocean Sci. 16(5):1143-63. https://doi.org/10.5194/os-16-1143-2020

John U, Šupraha L, Gran-Stadniczeñko S, Bunse C, Cembella A, Eikrem W, et al. 2022. Spatial and biological oceanographic insights into the massive fish-killing bloom of the haptophyte Chrysochromulina leadbeateri in northern Norway. Harmful Algae. 118:102287. 10.1016/j.hal.2022.102287

Johnsen JP. 2020. Small-scale fisheries governance in Norway: Hierarchy, institutions and markets.  In: Pascual-Fernandes, Pita C, Bavinck M. Small-Scale Fisheries in Europe: Status, Resilience and Governance, 2020. Springer Nature p. 439-460. https://doi.org/10.1007/978-3-030-37371-9_21

Karlsen Ø, Asplin L, Finstad B, Sandvik AD, Serra-Llinares RM, Johnsen IA, et al. 2018. Effekten av nasjonale laksefjorder på risikoen for lakselusinfestasjon hos vill laksefisk langs norskekysten-Sluttrapportering av ordningen med nasjonale laksefjorder. Fisken og Havet nr. 2-2018. https://www.hi.no/hi/nettrapporter/fisken-og-havet/2018/effekten_av_nasjonale_laksefjorder_sluttrapport_nlf_korrigert_juni18

Kartverket 2023. Nye marine grunnkart fra Skjervøy og Kvænangen. https://kartverket.no/geodataarbeid/marine-grunnkart-i-kystsonen/nye-marine-grunnkart-fra-skjervoy-og-kvanangen.

Kettemer LE, Ramm T, Broms F, Biuw M, Blanchet M-A, Bourgeon S, et al. 2023. Don’t mind if I do: Arctic humpback whales respond to winter foraging opportunities before migration. Royal Society Open Science.10(9):230069. 10.1098/rsos.230069.

Kleiven AR, Fernandez-Chacon A, Nordahl J-H, Moland E, Espeland SH, Knutsen H, et al. 2016. Harvest Pressure on Coastal Atlantic Cod ( Gadus morhua ) from Recreational Fishing Relative to Commercial Fishing Assessed from Tag-Recovery Data. PLOS ONE. 11(3): e0149595. 10.1371/journal.pone.0149595.

Klemetsen A, Amundsen PA, Dempson JB, Jonsson B, Jonsson N, O'Connell MF, et al. 2003. Atlantic salmon ( Salmo salar L)., brown trout ( Salmo trutta L.) and Arctic charr ( Salvelinus alpinus (L.)): a review of aspects of their life histories. Ecology of Freshwater Fish. 12(1):1-59. 10.1034/j.1600-0633.2003.00010.x.

Klima- og miljødepartementet, 2006. Forskrift om rammer for vannforvaltningen. Lovdata; 2006. https://lovdata.no/dokument/SF/forskrift/2006-12-15-1446

Knies J, Boitsov S, Elvenes S, Bøe R. 2022. Sedimentasjonsmiljø og historisk utvikling i forurensningsstatus i sjøområde i kommunene Skjervøy, Kvænangen, og Nordreisa. https://hdl.handle.net/11250/3109111.

Knights AM, Koss RS, Robinson LA. 2013. Identifying common pressure pathways from a complex network of human activities to support ecosystem-based management. Ecological Applications. 23(4):755-65.10.1890/12-1137.1

Knights AM, Piet GJ, Jongbloed RH, Tamis JE, White L, Akoglu E, et al. 2015. An exposure-effect approach for evaluating ecosystem-wide risks from human activities. ICES Journal of Marine Science. 72(3):1105-15. 10.1093/icesjms/fsu245

Krause-Jensen D, Lavery P, Serrano O, Marbà N, Masque P, Duarte CM. 2018. Sequestration of macroalgal carbon: the elephant in the Blue Carbon room. Biology Letters. 14(6):20180236. 10.1098/rsbl.2018.0236.

Kongelig Norsk Båtforbund, 2023. Båtlivsundersøkelsen Fritidsbåtlivet i Norge 2023. https://www.knbf.no/wp-content/uploads/2023/03/Region_NORD-NORGE_2023.pdf

Lang K, Almvik M, Stenrød M. 2023. Kartlegging av plantevernmidler i jordbruksjord. Kunnskapsbehov for å vurdere sammenhenger med jordhelse. NIBIO Rapport. https://hdl.handle.net/11250/3107291

Lewin W-C, Weltersbach MS, Ferter K, Hyder K, Mugerza E, Prellezo R, et al. 2019. Potential Environmental Impacts of Recreational Fishing on Marine Fish Stocks and Ecosystems. Reviews in Fisheries Science & Aquaculture. 27(3):287-330. 10.1080/23308249.2019.1586829

Marcussen JB, Bakke S, Olsen SA, Skardhamar J, Zimmermann F. 2024. Krabbespredning i nord-Toktrapport 2023200030. https://www.hi.no/hi/nettrapporter/toktrapport-2024-3

Menon Econimics, 2023. Fylkesvedlegg til eksportmeldingen – Troms og Finnmark. https://menon.no/prosjekter/fylkesvedlegg-til-eksportmeldingen-troms-og-finnmark?modal=download&id=2066

Mepex 2020. A deep dive into our plastic ocean. https://mepex.no/wp-content/uploads/2024/02/A-deep-dive-into-our-plastic-ocean.pdf

Norderhaug KM, Christie HC. 2009. Sea urchin grazing and kelp re-vegetation in the NE Atlantic. Marine Biology Research. 5(6):515-28. 10.1080/17451000902932985

NRK, 2024. Avdekket ulovlig fisketurisme i Vest-Finnmark – Fant flere lovbrudd hos flere kontrollerte bedrifter – NRK Troms og Finnmark.

Nærings- og fiskeridepartementet. 2017. Forskrift om produksjonsområder for akvakultur av matfisk i sjø av laks, ørret og regnbueørret (produksjonsområdeforskriften). https://lovdata.no/dokument/SF/forskrift/2017-01-16-61.

Nærings- og fiskeridepartementet.2020. Forskrift om endring i forskrift om turistfiskevirksomheter m.m. https://lovdata.no/dokument/LTI/forskrift/2020-07-09-1540.

Pedreschi D, Bouch P, Moriarty M, Nixon E, Knights AM, Reid DG. 2018. Integrated ecosystem analysis in Irish waters; providing the context for ecosystem-based fisheries management. Fisheries Research. 209: 218-29. 10.1016/j.fishres.2018.09.023

Piet GJ, Knights AM, Jongbloed RH, Tamis JE, de Vries P, Robinson LA. 2017. Ecological risk assessments to guide decision-making: Methodology matters. Environmental Science & Policy. 68:1-9. 10.1016/j.envsci.2016.11.009

Rikardsen AH. 2004. Seasonal occurrence of sea lice ( Lepeophtheirus salmonis ) on sea trout in two north Norwegian fjords. Journal of Fish Biology. 65(3):711-22. 10.1111/j.0022-1112.2004.00478.x.

Rikardsen AH, Righton D, Strøm JF, Thorstad EB, Gargan P, Sheehan T, et al. 2021. Redefining the oceanic distribution of Atlantic salmon. Scientific Reports. 11(1):12266. 10.1038/s41598-021-91137-y.

Skarðhamar J, Slagstad D, Edvardsen A. 2007. Plankton distributions related to hydrography and circulation dynamics on a narrow continental shelf off Northern Norway. Estuarine, Coastal and Shelf Science. 75:381-92. 10.1016/j.ecss.2007.05.044

Staalstrøm A, Walday MG, Vogelsang C, Frigstad H, Borgersen G, Albretsen J, et al. 2022. Utredning av behovet for å redusere tilførslene av nitrogen til Ytre Oslofjord. NIVA-rapport. https://www.miljodirektoratet.no/publikasjoner/2021/juni-2021/utredning-av-behovet-for-a-redusere-tilforslene-av-nitrogen-til-ytre-oslofjord/

Svensen C, Antonsen MT, Reigstad M. 2018. Small copepods matter: population dynamics of Microsetella norvegica in a high-latitude coastal ecosystem. Journal of Plankton Research. 40(4):446-57. https://doi.org/10.1093/plankt/fby019

Sydeman WJ, Schoeman DS, Thompson SA, Hoover BA, García-Reyes M, Daunt F, et al. 2021. Hemispheric asymmetry in ocean change and the productivity of ecosystem sentinels. Science. 372(6545):980-3. 10.1126/science.abf1772.

Thorbjørnsen SH, Kleiven AR, Aslaksen T, Jørgensen T, Kerlefsen KV, Loga SR, et al. 2023. Tiltak mot spøkelsesfiske i marine nasjonalparker-Arbeidsrapport. Rapport fra havforskningen. https://www.hi.no/hi/nettrapporter/rapport-fra-havforskningen-2023-26.

Thorbjørnsen SH, Synnes A-EW, Løset ID, Kleiven AR. 2023. Hazard and catch composition of ghost fishing gear revealed by a citizen science clean-up initiative. Marine Policy. 148:105431. 10.1016/j.marpol.2022.105431.

Thorstad EB, Whoriskey F, Uglem I, Moore A, Rikardsen A, Finstad B. 2021. A critical life stage of the Atlantic salmon Salmo salar: Behaviour and survival during the smolt and initial post ‐ smolt migration. Journal of fish biology. 81(2):500-42. 10.1111/j.1095-8649.2012.03370.x.

Trudnowska E, Stemmann L, Błachowiak-Samołyk K, Kwasniewski S. 2020. Taxonomic and size structures of zooplankton communities in the fjords along the Atlantic water passage to the Arctic. Journal of Marine Systems. 204:103306. 10.1016/j.jmarsys.2020.103306.

Vonnahme TR, Klausen L, Bank RM, Michellod D, Lavik G, Dietrich U, et al. 2022. Light and freshwater discharge drive the biogeochemistry and microbial ecology in a sub-Arctic fjord over the Polar night. Frontiers in Marine Science. 9. 10.3389/fmars.2022.915192

Walker EZ, Wiedmann I, Nikolopoulos A, Skarðhamar J, Jones EM, Renner AHH. 2022. Pelagic ecosystem dynamics between late autumn and the post spring bloom in a sub-Arctic fjord. Elementa: Science of the Anthropocene. 10(1):00070. 10.1525/elementa.2021.00070

Wassmann P, Svendsen H, Keck A, Reigstad M. 1996. Selected aspects of the physical oceanography and particle fluxes in fjords of northern Norway. Journal of Marine Systems. 8(1):53-71. 10.1016/0924-7963(95)00037-2.

White L, Koss R, Knights A, Eriksson A, Robinson L. 2013. ODEMM linkage framework userguide (Version 2). ODEMM Guidance Document Series. 2013(3):14. https://www.liverpool.ac.uk/media/livacuk/odemmnew/docs/ODEMM-Deliverable-9-Technical-Report.pdf

Ytreberg E, Hansson K, Hermansson AL, Parsmo R, Lagerström M, Jalkanen J-P, et al. 2022. Metal and PAH loads from ships and boats, relative other sources, in the Baltic Sea. Marine Pollution Bulletin. 182:113904. 10.1016/j.marpolbul.2022.113904.

Zhu Y, Tande KS, Zhou M. 2009. Mesoscale physical processes and zooplankton transport-retention in the northern Norwegian shelf region. Deep Sea Research Part II: Topical Studies in Oceanography. 56(21):1922-33. 10.1016/j.dsr2.2008.11.019.

Ziegler F, Jafarzadeh S, Skontorp Hognes E, Winther U. 2022. Greenhouse gas emissions of Norwegian seafoods: From comprehensive to simplified assessment. Journal of Industrial Ecology. 26(6):1908-19. 10.1111/jiec.13150 .

8 - Vedlegg 1: Scoring av eksponering i rom

 

Elleve diagram (horisontale stabler), 4-4-3, ett for hvert av anadrom fisk (øverst til venstre), bentiske krepsdyr, bunnfauna, bunnfisk, dyreplankton, makroalger/ålegress, pelagisk fisk, planteplankton, sjøfugl, sjøpattedyr og tidlige livsstadier fisk (nederst til høyre). Påvirkningsfaktorer listet loddrett/y-akse fra øverst til nederst: Utilsiktet tap, undervannsstøy, tapt habitat, parasitter, organisk belastning, oljeforurensning, næringssalter, nedslamming, miljøgifter, høsting, genetisk endring, fysisk påvirkning, fremmede arter, forsøpling, forstyrrelser, elektromagnetiske felt, bifangst og barrierer. De fem matproduserende sektorene listet vannrett/x-akse, fra innerst til ytterst: Akvakultur, fiskeri, fritidsfiske, landbruk og marin transport. Fargede ruter viser «Eksponering i rom»: Oransje = Lokal (5–50 %) og grønn = stedvis (< 5 %).
Figur V1. Scoring av eksponering i rom for økosystemkomponenter til påvirkninger fra sektorer. For definisjon av kategoriene for eksponering i rom se tabell 1.

 

9 - Vedlegg 2: Scoring av eksponering i tid

 

Elleve diagram (horisontale stabler), 4-4-3, ett for hvert av anadrom fisk (øverst til venstre), bentiske krepsdyr, bunnfauna, bunnfisk, dyreplankton, makroalger/ålegress, pelagisk fisk, planteplankton, sjøfugl, sjøpattedyr og tidlige livsstadier fisk (nederst til høyre). Påvirkningsfaktorer listet loddrett/y-akse fra øverst til nederst: Utilsiktet tap, undervannsstøy, tapt habitat, parasitter, organisk belastning, oljeforurensning, næringssalter, nedslamming, miljøgifter, høsting, genetisk endring, fysisk påvirkning, fremmede arter, forsøpling, forstyrrelser, elektromagnetiske felt, bifangst og barrierer. De fem matproduserende sektorene listet vannrett/x-akse, fra innerst til ytterst: Akvakultur, fiskeri, fritidsfiske, landbruk og marin transport. Fargede ruter viser «Eksponering i tid»: Svart = vedvarende, rosa = ofte, blå = noe og grønn = sjelden.
Figur V2. Scoring av eksponering i tid for økosystemkomponenter til påvirkninger fra sektorer. For definisjon av kategoriene for eksponering i tid se tabell 1.

 

10 - Vedlegg 3. Scoring av effekt av påvirkningsfaktorer på økosystemkomponenter

 

Elleve diagram (horisontale stabler), 4-4-3, ett for hvert av anadrom fisk (øverst til venstre), bentiske krepsdyr, bunnfauna, bunnfisk, dyreplankton, makroalger/ålegress, pelagisk fisk, planteplankton, sjøfugl, sjøpattedyr og tidlige livsstadier fisk (nederst til høyre). Påvirkningsfaktorer listet loddrett/y-akse fra øverst til nederst: Utilsiktet tap, undervannsstøy, tapt habitat, parasitter, organisk belastning, oljeforurensning, næringssalter, nedslamming, miljøgifter, høsting, genetisk endring, fysisk påvirkning, fremmede arter, forsøpling, forstyrrelser, elektromagnetiske felt, bifangst og barrierer. De fem matproduserende sektorene listet vannrett/x-akse, fra innerst til ytterst: Akvakultur, fiskeri, fritidsfiske, landbruk og marin transport. Fargede ruter viser «Effekt»: Rød = akutt, blå = kronisk og grønn = lav.
Figur V3. Scoring av effekt av påvirkningsfaktorer på økosystemkomponenter fra sektorer. For definisjon av kategoriene for effekt se tabell 1.