Gå til hovedinnhold

Analyse av mikroplast i sedimenter fra deler av Nordsjøen og Skagerrak

— Mareano-undersøkelser i 2023

Forfatter(e): André Marcel Bienfait , Fred Olav Libnau , Jennifer Gjerde (HI), Henning Jensen (NGU), Ana Banica (NGU) og Stepan Boitsov (HI)

Sammendrag

Plastforsøpling (makro-, meso-, mikro- og potensielt nanoplast) er anerkjent som et globalt problem de siste årene. Mikroplast er funnet i alle undersøkte deler av marint miljø og i et stort antall dyre- og plantearter. På verdensbasis øker produksjonen av plast fortsatt, mens avfallhåndteringen i store deler av verden fortsatt er utilstrekkelig utviklet, og det forventes følgelig å gi en økende plastforsøpling i årene som kommer. Marine sedimenter ansees som et endepunkt i mikroplastens reise gjennom økosystemet. Her akkumulerer mikroplast partikler av mange forskjellige polymer-(plast)typer, selv de som på grunn av sin lavere tetthet enn sjøvann burde flyte på havoverflaten.

I 2023 har Mareano-prosjektet valgt ut 8 overflatesedimentprøver fra Utsira-området (3 lokaliteter), Sørlige Nordsjø (NSJ-1; 1 lokalitet) og Skagerrak (4 lokaliteter) og i tillegg 3 sedimentkjerner fra Utsira-området (1 lokalitet) og Skagerrak (2 lokaliteter) til mikroplastanalyse. Havforskningsinstituttet (HI) har på oppdrag fra Mareano-prosjektet utført analysene. Sedimentprøvene (100 – 200 g våtvekt) ble homogenisert, og dernest ble en tetthetsseparasjon gjennomført i spesialkonstruerte «bauta» i en konsentrert saltløsning (sinkklorid (ZnCl2)/kalsiumklorid (CaCl2), ρ ~1,5 g/cm3). Prøvene ble deretter filtrert over en 45 µm stålfilter. Filteret ble brettet til en konvolutt for å sikre partiklene og beskytte prøven mot kontaminering. Deretter fulgte kjemiske behandlinger for å fjerne/redusere biologisk materiale som tre og skjellfragmenter. Etter overføring til et analysefilter (PTFE, 3,0 µm porestørrelse) og tørking, ble prøvematerialet analysert på antall, størrelse og type av mikroplastpartikler ved hjelp av infrarød-mikroskopisk bildegiving (µIR). Prøvematerialet ble videre overført til et glassfiberfilter (GF/C 1,2 µm porestørrelse), tørket og analysert på vektinnhold av forskjellige mikroplast typer ved hjelp av pyrolyse-gass-kromatografi-massespektrometri (Py-GC-MS).

Mikroplastkonsentrasjonene i overflatesedimentprøvene analysert i dette prosjektet inneholder mellom 96 og 809 (378±130) mikroplast partikler per kg tørrvekt (MP/kg tv.), basert på µIR-spektroskopi. Basert på Py-GC-MS ligger plastforurensningsnivåer i overflatesedimentprøvene mellom 167 og 405 (274±75) µg per kilogram tørrvekt (µg/kg tv.).

I kjernen fra stasjon R3200 ble det funnet mellom 175 og 476 (316±86) MP/kg tv., basert på µIR-spektroskopi. Analysen med Py-GC-MS fant konsentrasjoner mellom 77 og 412 (233±107) µg/kg tv.

Mellom 145 og 1126 (491±175) MP/kg tv. ble detektert i kjerne R3310 ved hjelp av µIR-spektroskopi. Mikroplast konsentrasjonene ifølge Py-GC-MS ligger mellom 75 og 315 (138±54) µg/kg tv.

Enda flere MP partikler ble detektert i kjerne R3365 med 249 til 1808 (812±287) MP partikler per kg tørrvekt. Ifølge Py-GC-MS ligger mikroplast konsentrasjonene mellom 113 og 473 (262±70) µg/kg tv.

Den dominerende plasttypen er polyetylen (PE), både i µIR-analysen og i Py-GC-MS.


 

1. Innledning

Plastforsøpling (makro-, meso-, mikro- og potensielt nanoplast) er anerkjent som et globalt problem de siste årene, ikke minst i havmiljø (for eksempel, Harris 2020). Foreliggende rapport fokuserer på mikroplast (MP) som vanligvis defineres som plastpartikler ≤5,0 mm i alle tre dimensjoner (Andrady m.fl. 2011). Det finnes primær MP, som er plast produsert i omtalte størrelsesområde, og det finnes sekundære MP, som er MP-partikler generert fra større plastobjekter gjennom nedbrytningsmekanismer (mekanisk, biologisk, [radio-]kjemisk). MP kan ha all slags forskjellige farger og former (fragmenter, film, sfærer og fibre) og bestå av forskjellige polymerer (de vanligste er polyamid [PA], polykarbonat [PC], polyetylen [PE], polyetylentereftalat [PET], poly(metyl metacrylat) [PMMA], polypropylen [PP], polystyren [PS], polytetrafluoroetylen [PTFE], polyuretan [PUR], polyvinylklorid [PVC], polydimetylsiloksan [silikon] osv.), eller kombinasjoner av dem. Egenskapene til de forskjellige plasttypene kan variere sterkt (som myk, hard, elastisk, skum…) og kan bli modifisert med tilsetningsstoffer, som ikke ble analysert i dette prosjektet. Tettheten til plastpolymerer varierer også betydelig, fra ekstrudert PS skum med ~0,3 g/cm3 til 2,2 g/cm3 for PTFE. I miljøprøver kan forskjellige faktorer bidra med å forandre den reelle tettheten. Mest omtalt er biofilm-danning på mikroplast fragmenter, som kan øke tettheten av lettere MP-typer (med en tetthet lavere enn den av [sjø-]vann) så mye at de synker gjennom vannsøylen ned til sedimentet. Marine sedimenter fungerer som et endepunkt for mikroplast-forurensning i havmiljø ( Harris 2020). Mikroplast har blitt funnet i alle undersøkte deler av miljø og i et stort antall dyre- og plantearter. På verdensbasis øker produksjonen av plast fortsatt, mens avfallhåndteringen i store deler av verden fortsatt er utilstrekkelig utviklet. Det er derfor ventet en økende plastforsøpling i årene som kommer.

Mareano-programmet er et nasjonalt program for detaljert kartlegging av havbunnen i norske havområder, påbegynt i 2005. Siden 2018 leverer Mareano også data på mikroplast i marine sedimenter (se rapporter fra tidligere år på https://www.mareano.no/resultater/geokjemirapporter). I denne rapporten presenteres det resultater av målinger av mikroplast i marine sedimenter innsamlet av Mareano i tre områder i Nordsjøen og Skagerrak i 2023. Innsamling av prøvene ble utført i samarbeid mellom Norges geologiske undersøkelse (NGU) og Havforskningsinstituttet (HI). HI analyserte prøvene for mikroplast, mens NGU analyserte prøver fra de samme lokalitetene for innhold av totalt organisk karbon (TOC) og kornstørrelsesfordeling (se egen rapport fra NGU på https://www.mareano.no/resultater/geokjemirapporter). I NGUs rapport er det også inkludert resultatene fra datering av utvalgte sedimentkjerner basert på måling av 210Pb-aktiviteten i sedimentene. Datering ble utført av Gamma Dating Center ved Universitetet i København på oppdrag fra NGU. Analysene ble utført i 2024.

2. Metodebeskrivelse

2.1 Prøvetakingsprosedyre

Prøvetaking ble gjennomført i henhold til Metodedokumentet utarbeidet for Mareanos Kjemiprogram, se https://mareano.no/resources/Metodedokument-Kjemiprogram-2024.pdf. Alle prøvene som har er ut til mikroplastanalyse i foreliggende rapport, ble tatt ved hjelp av multikjerneprøvetaker (multicorer, MC). Som beskrevet i Metodedokumentet, Pkt. 2.2, blir MC utstyrt med to stålrør til mikroplast prøvetaking og ytterlige fire gjennomsiktige PVC (polyvinylklorid) rør til prøvetaking for øvrige analytter som inngår i Mareanos kjemiprogram.

Multicorer hentes inn etter prøvetaking Figur 1 : Multicorer på vei inn etter prøvetaking på tokt mai – juni 2021, stasjon R2669 fra ytre Vestfjorden. Kilde: Metodedokument-Kjemiprogram-2023, NGU/Mareano.

Etter vellykket prøvetaking ble stålrørene luft- og vanntett forseglet med PE- (polyetylen) deksler og gaffateip. Gjenlukkingen gjennomføres såpass raskt at prøvene bare blir eksponert til omgivelsen i noen få sekunder. Dermed er risikoen for mikroplast kontaminasjonen via luft svært lav. PE-dekslene kan i prinsipp være en kilde til kontaminering, men siden tettheten (spesifikk vekt) er <1 g/cm3, bør disse partiklene holde seg på (sjø-)vannoverflaten, som befinner seg på toppen av sedimentkjernen. Prøvene ble lagret oppreist på dekk av prøvetakingsfartøyet og etter toktet sendt til NGU for videre karakterisering og uttak av prøvene.


2.2 Prøvebeskrivelse

Prøvene ble tatt under Mareano-toktene med forskningsfartøyet «G. O. Sars» i mars-april 2023 i Nordsjøen (tokt 2023001005), i juli 2023 i Nordsjøen og Skagerrak (tokt 2023001009), og i oktober 2023 i Nordsjøen (tokt 2023001014). Detaljert beskrivelse av prøvetakingslokaliteter er gitt i tabell 1, mens geografisk plassering er vist i Figur 2. Områdene dekket av Mareano-toktene i 2023 var Utsira Kystbelte (Utsira KB) og Sørlige Nordsjø (NSJ-1) i Nordsjøen, og Skagerrak Sør og Skagerrak Kystbelte (KB-Skagerrak) i Skagerrak. Av de 11 lokalitetene der det ble samlet prøver til mikroplast-analyse, ble det valgt tre lokaliteter hvor hele sedimentkjerner ble analysert for mikroplast, mens det på resterende åtte lokaliteter kun ble tatt overflateprøve til analyse (se tabell 1).

Kart over Norge som viser prøvetakingsområdene
Figur 2 : Oversikt over prøvetakingsområder og stasjonene. Kart: Kjell Bakkeplass, Havforskningsinstituttet.

 

Mareano stasjon Prøvetakingsnummer Dato Område* Breddegrad, N Lengdegrad, Ø Vanndybde, m Prøver analysert Kjernelengde analysert, cm
R3188 MC05 30.03.2023 Utsira KB 59°34.57’ 4°55.82’ 196 а 2
R3190 MC09 04.07.2023 Utsira KB 59°19.93’ 4°49.74’ 205 а 2
R3196 MC06 01.04.2023 Utsira KB 59°07.13’ 5°00.27’ 236 а 2
R3200 MC07 02.04.2023 Utsira KB 58°58.35’ 5°05.53’ 247 b 26
R3224 MC08 04.04.2023 NSJ-1 57°36.85’ 6°02.04’ 143 a 2
R3303 MC10 06.07.2023 Skagerrak Sør 58°10.36’ 9°25.58’ 635 а 2
R3310 MC11 07.07.2023 Skagerrak Sør 58°22.18’ 9°29.12’ 586 b 26
R3328 MC12 09.07.2023 Skagerrak Sør 58°13.80’ 9°54.24’ 482 а 2
R3333 MC13 10.07.2023 Skagerrak Sør 58°26.41’ 9°41.75’ 696 а 2
R3345 MC14 11.07.2023 Skagerrak Sør 58°28.12’ 10°04.70’ 517 а 2
R3365 MC15 14.07.2023 KB-Skagerrak 58°22.63’ 9°01.01’ 311 b 36
Tabell 1. Prøvetakingslokaliteter under Mareano-tokt i 2023.

* Utsira KB: Utsira Kystbelte; NSJ-1: Nordsjøen 1, KB-Skagerrak: Kystbelte Skagerrak.

a Kun overflatesediment analysert.

b Hele sedimentkjerner analysert.

2.3 Prøveuttak

Uttak av prøver fra stålrørene ble gjort på NGU, i et rom med kontrollert lufttilførsel og mulighet for å vaske ned vegger og gulv. Rommet er rengjort dagen før selve uttaket ved å vaske ned vegger og golv med vann. Rommet er reservert for prøveuttak i 3 dager, slik at det ikke har vært annen bruk av rommet i dette tidsrommet. Dermed er risiko for kontaminering redusert.

Før uttak av prøver er det gjennomført røntgenanalyser på stålrørene med sedimentprøver for å sjekke hvor lang sedimentkjernene er, og om overflaten er intakt, dvs. ikke blitt forstyrrett etter prøvetakingen på tokt.

Uttak av prøver er gjort med utskyvning av sedimentene fra stålrør (Figur 3), og det tatt ut 2 cm sedimentprøver enten fra hele kjernen eller fra overflaten (0-2 cm). Utvalg av kjerner for uttak gjennom hele sedimentkjerne og uttak av overflateprøve er gjort sammen med HI sine forskere og laboranter før uttaket.

Under uttak er det tatt blankprøver, som reflekterer følgende forhold:

  • Eksponering over tid i lokalet med en egen blankprøve (figur 4).

  • Eksponering under uttak av en enkelt prøve, dvs. tiden det tar fra åpning av rør med sedimentkjerne og uttak til prøven er forseglet i glass med aluminiumfolie mellom lokk og glass (figur 5).

 

Prøvetakingsrør i stål med sediment som blir skyvet ut.
Figur 3: Utskyvning av sedimentprøve fra stålrør.

 

 

Glass med skrift: Blank 06.12.2023 kl. 09:15-11:30.
Figur 4: Blankprøve tatt over lengre tid (kl. 09:15 – 11:30).

 

 

Flere glass med skrulokk som brukes som blankprøver.
Figur 5: Blankprøve tatt sammen med uttak av en sedimentprøve.

 

2.4 Opparbeiding for mikroplastanalyse

Opparbeidingen av sedimentprøver til mikroplastanalyse ble gjennomført på HI sitt sediment-separasjons-laboratorium, som er dedikert og tilrettelagt til dette formål. Blant tilretteleggingstiltak er støvreduserende byggetiltak, inneluftsirkulering med HEPA-filtrasjon («Dustbox»), tilgangsbegrensninger og filtrert vanninntak.

Sedimentprøve (100-200 g våtvekt) tilsettes konsentrert saltløsning (ZnCl2/CaCl2, 1,50-1,58 g/ml), homogeniseres og overføres til en sediment-separator (se Figur 6, Bauta Microplastic-Sediment Separator BMSS, 2.0, innkjøpt fra Norges Geotekniske Institutt (NGI)), hvor den separeres over natten (20-24 timer).

 

Bautastasjonen i HI sitt sedimentseparasjonslab.
Figur 6: Bauta-stasjonen i HI sitt sedimentseparasjonslab.

Den øverste delen av løsningen inneholder partikler med lavere tetthet enn saltløsningen, og tas ut ved filtrering. Partiklene filtreres først gjennom en 315 µm stålsikt, så gjennom et 45 µm stålfilter. Partikler som fanges på stålsikten blir plukket av med stålpinsetter og karakterisert/analysert ved hjelp av et stereomikroskop og attenuated total reflectance – Fourier transform infrared (ATR-FTIR) spektroskopi (Nicolet Summit PRO Everest ATR, Thermo Fisher Scientific). Partikler som fanges på filteret gjennomgår kjemisk oppslutning, der det først tilsettes en løsning av urea (CO(NH2)2) og NaOH (14,5% og 8%) og filteret settes på frys (-25 - -30 °C) over natten, etterfulgt av behandling med 30% H2O2 og 1M NaOH i volumforholdet 40:1 i fire timer, for å fjerne/redusere naturlig forekommende organiske materialer som cellulose. I tillegg er det mulig å behandle med 1 M HCl (0,5-1 time) som gjennomføres dersom det visuelt er mye skjell/skjellfragmenter i sedimentet eller på filteret. Oppløsing av CaCO3 med HCl kan også gjennomføres dersom det er felt ut CaCO3 som fanges på filteret (utfelling av CaCO3 skjer gradvis når CO2 fra luften oppløses i saltløsningen). Prøven overføres så til analyse-filter som tørkes over natten før µ-IR-analyse. Brukt saltløsning gjenvinnes. Løsninger filtreres på 20 µm filter før bruk. Partikler fra 45 µm stålfilter overføres til Teflon filtre (3 ,0 µm porestørrelse, 25 mm diameter) for videre analyse på Quantum Cascade Laser – micro-Infrared Spectroscopy (QCL-µIR, se 2.5). Deretter overføres partiklene til grade GF/C filtre (1,2 µm porestørrelse, 25 mm diameter) for pyrolyse gasskromatografi-massespektrometri (Py-GC-MS) analyse (se kapitel 2.6).

 

Oversikt over arbeidsstegene i mikroplastanalysen av sedimentrøver.
Figur 7: Flytdiagram for mikroplastanalyse på HI.

 

2.5 µIR-Spektroskopiske analyse

2.5.1 Instrumentering

For å bestemme mikroplast-innholdet i prøvene, ble analysefiltrene (3,0 µm porestørrelse, 25 mm diameter, Cole-Parmer, USA) analysert ved hjelp av µIR-spektroskopi etter tetthetsseparasjon (se avsnitt 2.4) og kjemisk behandling (se 2.4). Instrumentet som ble brukt er et Spero-QT 340 (Daylight Solutions, California, USA), som benytter seg av nær-monokromatisk lys generert av «tunable quantum cascade lasers» med en ekstremt høy lysstyrke, som gir et utmerket signal/støy-ratio. Under målingene ble lys i bølgetallsområde 948-1900 cm-1, med en spektral oppløsning av 2 cm-1 (totalt 477 målepunkter), sendt gjennom analysefiltrene og prøvematerialet. Basert på lysabsorbsjonen målt på hvert dedikerte bølgetall, ble et kjemisk bilde samlet ved hjelp av en ikke-kjølt mikrobolometer detektor. Detektoren er bygget opp av 480 x 480 (230 000) piksler, som hver for seg samler informasjon for å sette sammen hver sitt IR-spektrum. Kombinert med «standardobjektivet», som har blitt brukt, dekker hvert bildeopptak et synsfelt med et areal på 1930 x 1930 µm2, som resulterer i en romlig oppløsning på ~4,0 µm. For å dekke hele analysefilterområdet ble det tatt 10 x 10 bilder, som resulterer i nesten 11 milliarder datapunkter. For å analysere denne datamengden på en rask, pålitelig og reproduserbar måte benytter vi et egenprodusert, maskinlæringsbasert analyseverktøy for klassifisering og partikkelstørrelsesanalyse. Maskinlæringsmodellen (basert på «random forest» algoritme; se 2.5.2) for klassifiseringen av plasttyper utvides og forbedres jevnlig. Per i dag er modellen trent opp til å klassifisere 16 typer menneskelagde polymerer/plasttyper, hvorav 12 plasttyper inngår i analysen i denne rapporten. De resterende plasttypene (nitril [hansker], PTFE/Teflon [vannflasker, filter], silikon [slanger], “gummi” [slanger, pakninger]) brukes på laboratoriet og er derfor ekskludert fra analysen.

 

Picture 1
Figur 8 : µIR-mikroskop (Spero-QT 340, Daylight Solutions, California, USA)

 

2.5.2 Databehandling

Som nevnt i 2.5.1, blir det for hver prøve samlet inn nesten 11 milliarder datapunkter. Det begrunnes med tre faktorer, a) stort opptaksområde, b) høy spektral oppløsning, og c) høy romlig oppløsning. Kombinasjonen av de tre faktorene skal sikre høyest mulig kvalitet og partikkelgjenfinning. For å håndtere disse enorme datamengder, valgte HI å utvikle en automatisert «pipeline». Alle målinger som har blitt gjennomført gjennom et døgn blir automatisk synkronisert med HI sitt serversystem og lagret «dobbel-sikret». I det neste steget, leter en selvutviklet programvare etter nye, fullstendige datasett. Om disse blir funnet, starter programvaren automatisk med å prosessere slike datasett. Først gjennomgår spektrene transformasjoner, som hjelper å framheve signaler, noe som støtter maskinlæringsalgoritmen i å skille de forskjellige klassene (polymertyper, mineralske partikler, etc.). Maskinlæringsalgoritmen baserer seg på «random forest» klassifisering som er en veletablert prosess i datavitenskapen (Hufnagl et al. 2019, Hufnagl et al. 2022). Kort forklart bruker random forest et stort antall referansespektra for å generere et stort antall beslutningstrær basert på «features», som i vår tilfelle er signaler i IR-spektrene, for å bygge en modell. I dataanalyseprosessen blir spektrene fra prøvene «sortert» til de forskjellige klassene som ligger innebygd i modellen ved hjelp av beslutningstrærne. Spektra med få/ingen tydelige signaler kan være vanskelig å tolke for maskinlæringsalgoritmen. For å redusere feiltolkninger, erstattet vi den klassiske “flertallsstemming” med en sannsynlighetsbasert klassifisering. Denne prosessen er flere ganger raskere enn klassiske «sammenligningsmetode» (e.g. Pearson korrelasjon) og skal samtidig levere reproduserbare og pålitelige resultater. Resultater blir kvalitetssikret av kvalifisert personell.

2.5.3. Kvalitetssikring

Tre gjenfinningsforsøk ble utført. Suspensjoner med partikler (fragmenter) av plastpolymerer PA6 i størrelsesområdet 90-180 µm, PP i størrelsesområdet 180-315 µm, og PVC i størrelsesområdet 90-180 µm ble overført til petriskåler, tørket, og talt opp ved hjelp av stereomikroskop. Petriskålene spyles med saltløsning og til slutt vann ned i aluminiumstrau, før innholdet i trauet overføres bauta som om det var en sediment-prøve. Etter overføring til saltløsning i trau ble petriskålene sjekket for eventuelt gjenværende partikler og inngående antall partikler korrigert. PS-sfærer med en diameter på 100 µm inngikk også i forsøkene, men måtte telles manuelt da IR-signalet fra sfærer fraviker signalet fra fragmenter så mye at en får en underestimering av partikkelantall. Manuell telling av PS-sfærer på analyse-filter ga en gjenfinningsprosent på 53-64%.

Plasttype Antall partikler overført bauta Antall partikler gjenfunnet Gjenfunnet, %
S1 S2 S3 S1 S2 S3 S1 S2 S3
PA6, 90-180 µm 24 22 16 18 17 10 75 % 77 % 63 %
PP, 180-315 µm 13 35 11 12 39 7 92 % 111 % 64 %
PVC, 90-180 µm 19 28 24 10 15 13 53 % 54 % 54 %
Tabell 2. Resultater fra gjenfinningsforsøk

For å holde kontroll over mulig kontaminering av prøvene under forbehandling og analyse, ble en rekke blankprøver analysert samtidig med prøvene. Følgende typer blankprøver ble analysert:

  • prøveuttaksblankprøver laget av NGU til å kontrollere for kontaminering under prøveuttaket, se kapittel 2.3 – tre luftblankprøver og ett tomt glass;

  • vannblankprøver av springvann benyttet av HI sitt mikroplastlaboratorium ved tetthetsseparasjon – tre vannblankprøver; ca. 2 liter springvann filtreres på 45 µm stålfilter for hver prøve.

  • luftblankprøver laget av HI for å kontrollere for kontaminering i omgivelsene under tetthetsseparasjon – 18 luftblankprøver, med to prøver hver tatt når prøveopparbeidingen fant sted, og prøvene er plassert to forskjellige steder i rommet; ca. 2 dl springvann benyttes som bærer for hver prøve.

Blankprøver for prøveuttak, springvann og luft overføres til analysefilter uten kjemisk oppslutning.

  • metodeblankprøver – tre blankprøver som ble tatt gjennom hele prosedyren for prøveopparbeidelse på HI sitt mikroplastlaboratorium. Metodeblank består av ca. 100 ml saltløsning som gjennomgår samme opparbeiding som sedimentprøver, fra overføring til aluminiumstrau og bauta, filtrering på 45 µm filter, kjemisk oppslutning og videre til overføring til analysefilter.

Til sammen utgjør dette 38 blankprøver. Detaljerte resultater og beskrivelse av disse er gitt i Vedlegg 4. Gjennomsnittlige nivåer av antall partikler funnet i forskjellige typer blankprøver er gitt i Tabell 3 under.

Antall partikler PE PP PVC PS PET PC ABS PUR PLA PEEK PA PMMA Sum MP
Prøveuttak (n=4) 0,25 0 0,25 0 0,25 0 0 0 0 0 0,5 0,25 1,5
Springvann (n=3) 0,33 0 0 1,7 0 0 0 0 0 0 0 0 2,0
Luft (n=18) 0,67 0,11 0,06 0,78 0,11 0,06 0 0 0 0 0,06 0,06 1,9
Metodeblank (n=3) 12 1,7 0 0,67 0,67 0,33 0 0,33 0 0 1,0 0 17
Tabell 3. Gjennomsnittlig antall partikler funnet med µIR i blankprøver.

Det ble funnet lite kontaminering i blankprøvene fra prøveuttak, springvann og luft. I metodeblankprøver ble det også funnet lite kontaminering, med unntaket av PE som ble funnet i forskjellige mengder i de tre prøvene, opptil 25 partikler i én prøve. Mulig kilde for denne kontamineringen er diskutert i Vedlegg 4.

2.6 Py-GC-MS

Totalt ble det tatt 4 blankprøver (prøveuttaksblankprøver) og 39 sedimentprøver fra NGU til pyrolyse-gasskromatografi-massespektrometri (Py-GC-MS) analyse, i tillegg 18 luft- og springvannblankprøver fra mikroplast-laboratoriet og to metodeblankprøver. Etter μIR-analysen ble prøvene overført fra PTFE-filter til glassfiber filtre (GF/C) for videre analyse på Py-GC-MS (se Vedlegg 3, figur 1). Resultat fra en metodeblankprøve og en sedimentprøve (R3365MC15 F 34-36cm) mangler på grunn av instrumentfeil. Pyrolysen ble utført på en Multi-Shot Pyrolyzer EGA/PY 3030D (Frontier, Laboratories; Fukushima Japan) koblet til en GC-MS (Q Exactive, Thermo Scientific, MA, USA). Kolonnen som benyttes er en Ultra Alloy- MP GC-kolonne (Frontier, Laboratories; Fukushima Japan). Tracefinder brukes som analyseverktøy for kvantifisering og beregning (se Vedlegg 3, figur 2). En microplastics calibration standard (MPCs) fra Frontier, Laboratories (Fukushima Japan) ble benyttet for å identifisere og kvantifisere de ønskede analytter. Det er også tilsatt intern standard av deuterert PS-d8 i alle prøvene. Arealene for hver kvantifiseringsion ble delt med arealet til den interne standarden. En lineær sammenheng ble etablert for å danne kalibreringskurve, som ble brukt til å kvantifisere den relative konsentrasjonen (µg) (Vedlegg 3). Resultatene rapporteres i µg/kg tørrvekt med kvantifiseringsgrense som beskrevet i tabell 4. Metoden er i stand til å kvantifisere følgende materialer: polyetylene (PE), polypropylen (PP), Nylon-6 (PA6), Nylon-6,6 (PA6,6), polyetylentereftalat (PET), polymetylmetakrylat (PMMA), acetonitrile-butadiene-styrene ko-polymer (ABS), polystyrene (PS), polykarbonat (PC), Styren-Butadien-gummi (SBR), polyuretan (PU), og polyvinylklorid (PVC)

Prøver PE PP PA6 PA66 PET PMMA ABS PS PC SBR PU PVC
LOQ (µg/ kg) 3,90 0,70 0,10 0,40 1,90 0,40 0,50 0,20 0,50 0,90 0,40 0,30
Prøveuttaksblank (4) <LOQ <LOQ <LOQ <LOQ <LOQ <LOQ <LOQ <LOQ <LOQ <LOQ <LOQ <LOQ
Laboratorieblank (18) 19,53 0,71 0,12 0,61 <LOQ <LOQ <LOQ 0,26 <LOQ <LOQ 0,71 <LOQ
Tabell 4. LOQ (kvantifiseringsgrense) for Py-GC-MS og målte blankprøver for prøveuttak og på laboratoriet.
 
 

3. Resultater og Diskusjon

3.1 Mikroplastnivåer i overflatesediment

Resultater av målinger av mikroplast i overflatesediment (0-2 cm) fra 11 lokaliteter er vist i Tabell 5.

Stasjon Område Σ 12 MP/kg tv. Σ12py, µg/kg tv. slam%* TOC%*
R 3188 MC 5 Utsira KB 428 279 85 1,2
R 3190 MC 9 Utsira KB 243 405 64 1,1
R 3196 MC 6 Utsira KB 170 261 70 1,0
R 3200 MC 7 Utsira KB 361 379 78 1,5
R 3224 MC 8 NSJ-1 96 225 43 0,51
R 3303 MC 10 Skagerrak Sør ** 167 96 2,3
R 3328 MC 12 Skagerrak Sør 400 388 94 2,4
R 3310 MC 11 Skagerrak Sør 479 183 100 2,1
R 3333 MC 13 Skagerrak Sør 224 202 99 2,1
R 3345 MC 14 Skagerrak Sør 567 196 100 2,2
R 3365 MC 15 KB Skagerrak 809 331 98 2,0
Tabell 5. Mengder mikroplastpartikler (Σ 12 MP) og konsentrasjoner av plast (Σ12py) i overflatesedimenter (0-2 cm) fra 11 lokaliteter undersøkt av Mareano.

* Data fra NGU.

** Mislykket analyse.

Undersøkelser med µIR-mikroskopet bekrefter at plast – og spesielt lette polymertyper – er til stede i alle prøver (378±130 MP/kg tv. ), figur 9. I Utsira-område viser resultatene en synkende trend for antall partikler fra nord til sør (R3188>R3190>R3196, se kart i figur 2 i kapittel 2.2), fulgt av en bratt økning rett utenfor Stavanger (R3200). Stasjon R3224, som ligger lengst unna kysten i det sørlige Nordsjø (NSJ-1), viser det laveste antallet partikler (96 MP/kg tv. ). I Skagerrak-området finnes det i gjennomsnitt mer mikroplast (418 partikler per kg tørrvekt) enn i Utsira-området (300 MP/kg tv. ). Spesielt R3365, som er stasjonen nærmest kysten (KB-Skagerrak), skiller seg ut i antall (809 MP/kg tv. ), men også i sammensetningen av mikroplasten; her sees de største mengder PS i datasettet. Ellers viser Skagerrak-prøvene ingen tydelig geografisk trend, noe som kan henge sammen med de forholdsvis kompliserte havstrømsmønstre i Skagerrak. Overflatesediment fra stasjon R3303 utelates fra diskusjonen, siden vi opplevde tekniske problemer i µIR-analysen. Et kart med en grafisk framstilling av nivåene av mikroplastforurensing på partikkel-basis vises i figur 10.

Blant partiklene >300 µm var det bare én som kunne bekreftes, ved hjelp av ATR-FTIR, som mikroplast, en 2,68x0,67 mm2 stort brunt malingsflak. Partikkelen har blir funnet i prøve R3333.

Figur som viser antallet plastpartikler i overflatesediment (0-2 cm) fordelt etter plasttype, ifølge µIR-analysen
Figur 9 : Plastpartikler i overflatesediment (0-2 cm) fordelt etter plasttype, ifølge µIR-analysen.

 

Oversikt over stasjonene med visuell framstilling av antall detekterte mikroplast partikler.
Figur 10 : Nivåer av mikroplastforurensing (partikler per kg sediment tørrvekt) i overflatesedimenter (0-2 cm).

Resultatene presentert her henger godt sammen med sediment-sammensetningen i de tre områdene, se verdier for kornstørrelse utrykt som slam% i tabellen over. De groveste sedimentene ved R3224 har lavest mengde mikroplastpartikler, de mer finkornete sedimentene i Utsira-området har en høyere plastpartikkelmengde, og Skagerrak har de høyeste mengdene mikroplast i meget finkornete sedimenter. En lineærregresjonsanalyse har påvist en signifikant korrelasjon mellom Σ 12 MP/kg og slam% ( p <0,05), se figur 11 under. En slik korrelasjon har vært funnet tidligere i andre studier, særlig for plasttyper av høyere tetthet, men kan være svakere når lettere plasttyper inkluderes og når det geografiske området er begrenset (Enders m.fl. 2019; Harris 2020). Det ble ikke funnet en tilsvarende signifikant korrelasjon mellom Σ 12 MP/kg og TOC vekt%, selv om en antydning til en positiv sammenheng mellom mengden plastpartikler og TOC vekt% var til stede.

Lineær regresjon av summert antall MP/kg tv. i overflatesedimenter mot andel slam (%).
Figur 11: Lineær regresjon av summert antall MP/kg tv. i overflatesedimenter mot andel slam (%).

Relativt grovere sedimenter i områdene Utsira og NSJ-1 enn i Skagerrak (tabell 5) kan også til dels forklare resultater fått med Pyr-GC-MS. De samlete konsentrasjonene fra NSJ-1 og Utsira-området er i gjennomsnitt høyere (1550 µg/kg) enn i Skagerrak (1136 µg/kg). Den laveste mengden mikroplast ble funnet i Skagerrak Sør (R3303), mens høyest konsentrasjon er påvist utenfor kysten i Utsira KB (R3190) (figur 12). Det har tidligere vært antydet at partikkelstørrelse kan ha betydning for en mer effektiv sedimentering i grovere sedimenter (Radford m.fl. 2024), slik at partikler av høyere masse kan samles opp og høyere plastmasse blir detektert til tross for et lavere antall partikler. Et kart med en grafisk framstilling av nivåene av mikroplastforurensing på vekt-basis vises i figur 13.

Når det gjelder fordeling av plasttyper i prøvene på vektbasis, utgjør PE og PP hovedandelen av de observerte plasttypene i Skagerrak. µIR-analyse viser samme resultater (se figur 9). Dette skiller seg fra det som er observert i NSJ-1 og Utsira, der PET og PVC er de dominerende plasttypene. PET og PVC har høy tetthet og vil muligvis fordele seg jevnere gjennom de øvre lagene i NSJ-1 og Utsira området som har grovkornede sedimenter. Plasttyper med høyere tetthet vil også føre til høyere plastkonsentrasjoner ved lavere antall partikler. Det er ikke helt samsvar med resultatene mellom Py-GC-MS og µIR da det er funnet mer PET i Py-GC-MS enn med µIR. Dette kan muligens forklares med at PET i Py-GC-MS er i fiberform som vil være utfordrende på µIR dersom fibrene ikke er innenfor instrumentets fokusplan. Det er også mulig at tjukke, sterk absorberende PET partikler leverte såpass dårlige IR-spektra, at en sikker klassifisering ikke var mulig.

Figuren viser konsentrasjonene av plast i overflatesedimenter (0-2 cm) fordelt etter plasttype, målt med Py-GC-MS.
Figur 12: Konsentrasjoner av plast i overflatesedimenter (0-2 cm) fordelt etter plasttype, µg/kg tv.

 

Oversikt over stasjonene med visuell framstilling av mikroplast konsentrajoner.
Figur 13: Nivåer av mikroplastforurensing (µg/kg tørrvekt) i overflatesedimenter (0-2 cm).

Analysen av overflatesedimentene med Py-GC-MS viste lav forekomst av kunstig gummi (SBR) fra bildekk med konsentrasjon fra 1,68- 7,89 µg/kg (figur 14).

Figuren viser mengder av SBR-gummi i prøvene, målt med Py-GC-MS.
Figur 14: Konsentrasjoner av kunstig gummi (SBR) i overflatesedimenter (0-2 cm) i µg/kg.

Partikkelstørrelsesfordelingen i summen av samtlige overflatesedimenter (figur 15) viser det kjente bildet av signifikant, tilnærmet eksponentielt, økende antall mikroplastpartikler med minkende størrelse. Størrelsesregionen/størrelsesintervallet 100-150 µm er en uteligger i dette datasettet som muligens kan begrunnes med størrelsen av datasettet.

Figuren viser partikkelstørrelsesfordeling i summen av samtlige overflatesediment-prøver utenom R3303 med en kraftig stigende antall partikler i de mindre størrelsesområder.
Figur 15: Partikkelstørrelsesfordeling i summen av samtlige overflatesediment-prøver utenom R3303.

PE dominerer klart i antall og prosentuell andel av mikroplastpartikler detektert med µIR-spektroskopi i overflateprøvene i denne studien, fulgt av PP på andre plass (figur 16). Det stemmer overens med globale produksjonsmengder. PVC som ligger på tredje plass i produksjonsvolumet (Plastics –the Facts 2022), ble ikke funnet i like stоr grad. Det kan skyldes den høye tettheten, som gjør at PVC-partikler ikke sprer seg like langt fra kilden. En annen grund kan være at PVC blir i stor grad produsert til byggevarer og andre produkter som i mindre grad havner som mikroplast i havet. PA ligger basert på µ-IR-spektroskopi på tredje plass i overflateprøvene.

Figur som viser prosentuell andel og antall av partikler av forskjellige plasttyper i summen av samtlige overflateprøver, basert på µIR-spektroskopi.
Figur 16: Prosentuell andel og antall av partikler av forskjellige plasttyper i summen av samtlige overflateprøver, basert på µIR-spektroskopi.

3.2 Mikroplastnivåer i sedimentkjerner

For å undersøke tidstrender i konsentrasjoner av mikroplast, har tre sedimentkjerner blitt analysert. Kjernene som har blitt undersøkt er R3200MC07E (Utsira-området), R3310MC11F (Skagerrak) og R3365MC15F (Skagerrak).

3.2.1 Kjerneprøver fra stasjon R3200

Undersøkelsen av sedimentkjernen med µIR-spektroskopi viser at mikroplast finnes gjennom hele sedimentkjernen (316±86 MP/kg tv.), langt tilbake til før-plasttid. Gjennomgående er flertallet av mikroplastpartikler tilordnet lette plasttyper som PE og PP, men nesten alle analyserte plasttyper har blitt detektert i R3200-kjernen (figur 17). Den største mengden av mikroplast er funnet ved 4-6 cm ned i prøven med 476 MP/kg tv., mens minst mikroplast ble påvist dypest ned i kjernen i 24-26 cm av prøven (175 MP/kg tv.). Ifølge 210Pb-dateringen, ble sedimentet ved 4-6 cm avsatt i perioden ca. 1929-1940, og ved 6-7 cm i ca. 1902. Usikkerheten for denne dateringen er imidlertid høy, opptil 41 år ved 6-7 cm, og ifølge dateringsrapporten kan dette stedet ha vært utsatt for perioder med erosjon eller uten sedimentavsetning, og dateringen kan dermed kun tolkes som en antydning. Det er likevel sannsynlig at de dypeste sedimentsnittene i denne kjernen ble avsatt på tiden før plastproduksjon. Funn av mikroplast i sedimentlagene avsatt lenge før plastproduksjon ble også funnet i sedimentkjerner analysert av Mareano tidligere på flere forskjellige laboratorier (se rapporter på mareano.no fra tidligere år) og attribueres transport av mikroplast gjennom kjernen fra øverste lag som et resultat av bioturbasjon eller annen fysisk påvirkning. I hele R3200-kjernen var det bare én partikkel i størrelseskategorien >300 µm som ble identifisert som mikroplast ved hjelp av ATR-FTIR og stammer fra 10-12 cm prøven. Partikkelen var en 1,70x1,60 mm2 stor, svart og grå malingsflak.

Figuren viser antall mikroplastpartikler i kjerneprøver fra stasjon R3200 analysert med µIR-spektroskopi.
Figur 17 : Mikroplastpartikler i kjerneprøver fra stasjon R3200 analysert med µIR-spektroskopi.

I R3200 er det høyere konsentrasjon av plast målt med Py-GC-MS (Σ12py) i overflaten (0-2 cm), ved 6-8 cm og 8-10 cm (figur 18). Det er ellers en antydning til en nedadgående trend i kjernen, med de laveste nivåene funnet nederst i kjernen. Trenden er ellers ikke helt lik den som er funnet med µIR, siden antallet og vekten av mikroplast ikke er direkte korrelert, men via partikkelstørrelsesfordelingen og plasttypefordelingen (tetthet). Som for overflateprøvene, er det ikke alle plasttyper funnet med Py-GC-MS som ble funnet med µIR (f.eks. PET). Som diskutert i 3.1, kan dette gjelde fiberpartikler som kan være vanskelig å analysere mikroskopisk. Resultatene viser spor av SBR i alle kjerner (1,31-4,53 µg/kg).

Figuren viser resultatene av Py-GC-MS målingene for kjerne R3200.
Figur 18 : Py-GC-MS resultater for kjerne R3200.

Partikkelstørrelsesfordelingen, målt med µIR-mikroskopi, følger det kjente mønsteret av sterk (tilnærmet eksponentiell) økende partikkelantall med minkende partikkelstørrelse, som vist i figur 19. Som i overflateprøvene, er også her størrelsesregionen 100-150 µm overrepresentert i forhold til den forventete fordelingskurven.

Figuren viser partikkelstørrelsesfordeling av mikroplast i sedimentkjernen R3310, basert på µIR-spektroskopi.
Figur 19 : Partikkelstørrelsesfordeling av mikroplast i sedimentkjernen R3200, basert på µIR-spektroskopi.

 

3.2.2 Kjerneprøver fra stasjon R3310

Antallet mikroplastpartikler basert på µIR-spektroskopi i kjerneprøver fra stasjon R3310 viser en lett tendens til stigende antall mikroplastpartikler mot overflaten (figur 20). Denne trenden er ikke spesielt tydelig og det finnes høye mikroplast funn i 12-14 cm av prøven, men også 10-12 og 14-16 cm av prøvene viser relativt høye antall partikler. Som i R3200-kjernen, dominerer antallet partikler av lettere plasttyper som PE og PP, men også her ble mange forskjellige plasttyper påvist. Det store antall små PE-partikler i 2-4 cm av prøven kan være forårsaket av fragmentering av et (eller flere) større PE-partikler under analysen. I kjerneprøve R3310 ble gjennomsnittlig 491±175 MP/kg tv. påvist, som er betydelig mer sammenlignet med kjernen fra R3200. Også i denne kjernen ble den laveste mengden MP funnet dypest i kjernen, ved 24-26 cm av prøven (145 MP/kg tv.), mens største mengden ble observert i 4-6 cm av prøven (1126 MP/kg tv.). I motsetning til kjerne R3200, ble kjernen R3310 pålitelig datert til årene 1932±7 ved 17-18 cm og 1902±9 ved 20-21 cm av prøven. Man kan dermed gå ut fra at det dypeste snittet som ble analysert for mikroplast, 22-24 cm, ble avsatt før plastproduksjon startet. Funn av mikroplast i denne prøven har samme forklaring som for andre sedimentkjerner med mikroplast transportert gjennom kjernen fra øvre lag, som f.eks. bioturbasjon.

Figuren viser antall mikroplastpartikler i kjerneprøver fra stasjon R3310 analysert med µIR-spektroskopi.
Figur 20: Mikroplastpartikler i kjerneprøver fra stasjon R3310 analysert med µIR-spektroskopi.

Også ifølge Py-GC-MS, ser R3310 ut til å vise en lett stigende trend av Σ12py mot overflaten, bortsett fra prøven 12-14 cm (se figur 21) som viser betydelig høyere nivåer enn overflateprøven. Dette henger godt sammen med funnene fra µIR-analysen. Det er også kun funnet SBR ved overflaten, 14-16 cm (14,91 µg/kg) og 24-16 cm (2,42 µg/kg) i sedimentkjerne R3310. Gjennom hele kjernen er PE den dominerende polymertypen.

Figuren viser resultatene av Py-GC-MS målingene for sedimentkjerne R3310.
Figur 21: Py-GC-MS resultater for sedimentkjerne R3310.

Partikkelstørrelsesfordeling av mikroplast i kjernen fra stasjon R3310 (figur 22) viser samme trend som diskutert tidligere, med litt mer variasjon for de større partikkelkategoriene (>80 µm).

Figuren viser partikkelstørrelsesfordeling av mikroplast i sedimentkjernen R3200, basert på µIR-spektroskopi.
Figur 22: Partikkelstørrelsesfordeling av mikroplast i sedimentkjernen R3310, basert på µIR-spektroskopi.

 

3.2.3 Kjerneprøver fra stasjon R3365

Analysen med µIR-mikroskopet detekterte enda flere MP partikler i kjerneprøve R3365 med gjennomsnittlig 812±287 MP partikler per kg tørrvekt. Den høyeste mengden MP (1808 MP/kg tv.) ble funnet dypest i kjernen ved 34-36 cm. Derimot ble det funnet minst MP ved 8-10 cm (249 MP/kg tv.). Dessverre oppstod det et teknisk problem under Py-GC-MS-analysen av prøven fra 34-36 cm, og siden denne analysemetoden er destruktiv, kan det ikke leveres komplementær data til µ-IR-analysen. Antallet mikroplastpartikler funnet med µIR-spektroskopi (figur 23) viser – som Py-GC-MS-resultatene (figur 24) – ingen tydelige tidstrender. I dette tilfellet kan forklaringen ligge i høye sedimentasjonsrater funnet på dette stedet, med alle prøver fra denne kjernen datert til 2000-tallet eller senere. Sammenlignet med kjerneprøver fra stasjonene R3200 og R3310, ble det funnet PS i alle prøver unntatt én, og med et større gjennomsnittlig antall.

Figuren viser antall mikroplastpartikler i kjerneprøver fra stasjon R3365 analysert med µIR-spektroskopi.
Figur 23: Mikroplastpartikler i kjerneprøver fra stasjon R3365 analysert med µIR-spektroskopi.

Siden sedimentasjonsraten til R3365 er svært høy, og sedimentet er avsatt i løpet av de siste ca. 25 år, er det heller ikke funnet noen betydelige trender med Py-GC-MS (figur 24). For SBR ser man en synlig økning i konsentrasjon i en 10 års periode der den høyeste målte SBR konsentrasjon er på 38,6 µg/kg.

Figuren viser mikroplast konsentrasjoner basert på Py-GC-MS resultatene for kjerne R3365.
Figur 24: Mikroplast konsentrasjoner basert på Py-GC-MS resultatene for kjerne R3365.

Partikkelstørrelsesfordelingen viser igjen en drastisk økning av antallet partikler i de minste størrelsesområder (figur 25). Her er det interessant at 100-150 µm store partikler ble detektert i et større antall enn forventet (basert på partikkelstørrelsesfordelingskurven), men også at størrelseskategoriene over og under 100-150 µm regionen er «overrepresentert». Med tanken på at denne sedimentkjernen er yngst og plasten dermed hadde mindre tid til å bli fragmentert (mikrobiell eller mekanisk), kunne man spekulere i at mikroplastpartikler av denne størrelseskategorien er en signifikant kilde til den totale mikroplastbelastingen i foreliggende sedimenter. Kjerneprøven R3310 viser et lignende, men mindre utpreget mønster.

Figuren viser partikkelstørrelsesfordeling av mikroplast i sedimentkjernen R3365, basert på µIR-spektroskopi.
Figur 25: Partikkelstørrelsesfordeling av mikroplast i sedimentkjernen R3365, basert på µIR-spektroskopi.

3.2.4 Nivåer av forskjellige plasttyper

Som i overflateprøvene, så dominerer PE også klart i antall og prosentuell andel av mikroplast partikler i kjerneprøvene i denne studien, fulgt av PP på andre plass (figur 26). Likevel forskyver forholdet mellom PE og PP seg mot høyere andel PE. Igjen, som i overflateprøvene, virker PVC underrepresentert i forhold til produksjonsvolumet (Plastics – the Facts 2022). Mulige årsaker er diskutert i kapittel 3.1. Basert på µ-IR-spektroskopi ligger PS på tredje plass i kjerneprøvene, som passer godt inn i totalbildet av produksjonsvolumet. En spekulativ/mulig forklaring for den reduserte andelen av PA kan være at amid-bindingen er mindre resistent mot mikrobiell nedbrytning i kombinasjon med alderen til dypere sedimentlag.

 

Figuren viser prosentuell andel og antall av partikler av forskjellige plasttyper i summen av samtlige kjerneprøver, basert på µIR-spektroskopi.
Figur 26: Prosentuell andel og antall av partikler av forskjellige plasttyper i summen av samtlige kjerneprøver, basert på µIR-spektroskopi.

3.3 Sammenligning med tidligere studier

Mikroplastanalyse er et fortsatt forholdsvis ungt fagfelt. Per i dag finnes det ingen sertifiserte referansematerialer (relevante matriser med kjent antall/vekt av mikroplast) og analytiske standarder som finnes på markedet oppnår ikke alltid de høye kvalitetskravene til «klassiske» kjemiske analytiske standarder. Instrumenteringen som blir brukt i forskjellige studier varierer ofte med hensyn til følsomhet, selektivitet og/eller oppløsing. Videre har databehandling av de enorme datamengdene som samles av µIR-instrumentering vært en utfordring, spesielt med høyt-oppløsende mikroskoper. For å sikre oss best mulig kontroll over parameterne som inngår i databehandling, har HI utviklet sin egen datapipeline og maskinlæringsalgoritme. Absolutte tall fra forskjellige µ-IR-analyser kan være vanskelig å sammenligne direkte på grunn av metodiske forskjeller, som forklart overfor. Men siden prøvene i hver undersøkelse har blitt analysert på identisk måte, gir dette en sammenlignbarhet mellom dem, som tillater å identifisere trender. Derfor bør fokus helst være på å sammenligne trender som har blitt identifisert i forskjellige studier og ikke på direkte sammenligning av tall. I framtiden, med tilgang til sertifiserte referansematerialer, blir sammenligning av partikkelantall fra forskjellige analyseteknikker interessant for å bedømme hvilken metode som gjenspeiler realiteten best.

I foreliggende rapport ble mikroplastkonsentrasjoner i overflatesedimenter (0-2 cm) bestemt til 96-809 (378±130) mikroplast partikler per kg tørrvekt (MP/kg tv.) med en nedre deteksjonsgrense av 45 µm. Stasjonene i Utsira-område (R3188, R3190, R3196, R3200) inneholder gjennomsnittlig 300 MP/kg tv. mindre mikroplast enn stasjonene i Skagerrak (R3328, R3310, R3333, R3345, R3365) med gjennomsnittlig 418 MP/kg tv. Det laveste antallet mikroplast partikler ble detektert i det sørlige Nordsjø-området (SNJ-1; R3224) med 96 MP/kg tv., mens høyest verdi er funnet ved en kystbelte-stasjon i Skagerrak (R3365) med 809 MP/kg tv. Basert på Py-GC-MS ligger plastforurensningsnivåer i sedimentoverflaten mellom 167 og 405 (274±75) µg/kg tv. Foreliggende funn er noe høyere enn det som har blitt detektert tidligere i overflatesedimenter fra Svalbard og Barentshavet, der en fant 0-560 (230 ±130) MP/kg tv. (45 – 1000 µm) uten statistisk signifikante geografiske forskjeller (Jensen og Bellec 2019). I en studie av overflate sedimentprøver fra Norskehavet ble det derimot funnet 51-2187 (679±663) MP/kg tv. (Jensen og Bellec 2021). En annen tidligere Mareano-studie fant relativt lave konsentrasjoner av MP (>50 µm) i overflateprøver (0-435 MP/kg tv.) (Jensen og Bellec 2022). En rekke studier har rapportert betydelig høyere maksimale nivåer mikroplastpartikler i sedimenter fra norske havområder, som forklares av lavere nedre grense for partikkelstørrelse inkludert i analyser. Dette gjelder en studie i «HAUSGARTEN observatory», som ligger i nærheten av Svalbard (Bergmann mfl. 2017), som fant nivåer på 42-6595 MP/kg tv. (10-500 µm), med størstedelen av partiklene <45 µm. Enda høyere nivåer ble rapportert av Mareano i 2023 der det ble funnet mellom 4537 til 14779 MP/kg tv. sediment i overflatesedimentene fra både Nordsjøen og områdene rundt Svalbard (Jensen m.fl. 2023). En ny studie har rapportert tilsvarende høye nivåer mikroplast (11-5000 µm) i forskjellige norske havområder fra Nordsjøen i sør til Bjørnøya i nord, på mellom 412 – 2111 MP/kg i overflateprøver (0 – 3 cm) (Wu m.fl. 2024).

For å undersøke mulige tidstrender i mikroplastforsøplingen, ble tre sedimentkjerner undersøkt i foreliggende rapport. I kjerne R3200, som stammer fra Utsira-området, ble gjennomsnittlig 316±86 MP/kg tv. funnet med µIR-spektroskopi. De fleste MP (476) ble detektert ved 4-6 cm, mens minst MP ble funnet dypest i kjernen, ved 24-26 cm (175). Mikroplastkonsentrasjonene målt ved hjelp av Py-GC-MS ligger mellom 75 og 315 (138±54) µg/kg tv. Kjerne R3310, som er hentet fra Skagerrak-området, inneholder gjennomsnittlig 491±175 MP/kg tv. Høyest nivå av MP (1126) var ved 4-6 cm, og minst MP ble funnet dypest i kjernen, ved 24-26 cm (145). Mikroplastkonsentrasjonene ifølge Py-GC-MS ligger mellom 75 og 315 (138±54) µg/kg tv. Kjernene R3200 og R3310 viser en svak antydning til avtakende mikroplastkonsentrasjoner mot dypere (eldre) sedimentlag. Høyere nivåer av MP-partikler ble funnet i kjerne R3365, som er hentet fra Kystbelte Skagerrak, med gjennomsnittlig 812±287 MP/kg tv. Mest MP (1808) ble funnet dypest i kjernen ved 34-36 cm, derimot ble minst MP funnet ved 8-10 cm (249). Ifølge Py-GC-MS ligger mikroplastkonsentrasjonene mellom 113 og 473 (262±70) µg/kg tv. i denne kjernen. Siden alle de undersøkte prøvene i denne kjernen består av forholdsvis nylig sedimentert materiale, kan det ikke forventes betydelige trender i denne kjernen. Tidligere studier av sedimentkjerner fra norske havområder har alle påvist mikroplast i sedimentkjerner inkludert sedimenter avsatt før historisk produksjon av plast i verden. Dette gjelder for det første tre sedimentkjerner fra Norskehavet fra en tidligere Mareano-studie, som inneholdte 0-1084 (562±472), 41-352 (233±125) og 654-1579 (562±472) MP/kg tv. i øverste 10 cm (Jensen og Bellec 2021). Høyeste MP konsentrasjoner som har blitt funnet var i 2-4 cm av prøvene i to av kjernene, mens den tredje hadde høyest konsentrasjon i 6-8 cm av prøven. Det ble funnet litt avtakende MP konsentrasjoner i dypere lag, med ganske varierende plasttype-sammensetning (Jensen og Bellec 2021). En annen tidligere Mareano-studie fant lave konsentrasjoner av MP (>50 µm) i kjerneprøver (0-126 MP/kg tv.) (Jensen og Bellec 2022). Derimot var mikroplast-konsentrasjonene i sedimentprøvene rapportert av Mareano i 2023, betydelig høyere og varierte fra 4537 til 14779 MP/kg tv. (Jensen mfl. 2023). Den mest sannsynlige forklaringen til de betydelig høyere konsentrasjoner sammenlignede med foreliggende rapporten er den lavere måleterskelen av 15 µm (Jensen m.fl. 2023). Det samme gjelder en nylig studie nevnt ovenfor, hvor høye nivåer av mikroplast ble funnet bl.a. i sedimentkjerner i sedimentlagene avsatt så tidlig som ca. 1817 ifølge radiodateringen (Wu m.fl. 2024). I Mareano-arbeidet i 2023 ble Py-GC-MS brukt til å måle forekomst av kunstig gummi (SBR) fra bildekk. Det ble påvist forekomst av SBR i samtlige overflateprøver, med verdier fra 2,64 – 44,85 µg/kg tv. I foreliggende rapport ble det også funnet SBR i samtlige overflateprøver, men i lavere konsentrasjoner mellom 1,68 – 7,89 µg/kg.

4. Konklusjoner

4.1 Metodiske aspekter

Både prøvetaking, uttak av prøvene og tetthetsseparasjon virker vellykket. Angående prøvetaking bør det vurderes om det finnes en plastfri løsning for forsegling av prøvetakingsrørene. Prøveuttak i et rentrom kunne være ønskelig, men dagens løsning virker å fungere greit. Tetthetsseparasjon med dagens prøvevolumer og metodikk er tidskrevende og fysisk krevende for operatøren. Det kan vurderes videreutvikling og økt automatisering.

På analytisk side, kan det være ønskelig å utvide både µIR- og Py-GC-MS-analyse til flere analytter (plasttyper). Spesielt maling/overflatebeskyttelse ser ut å være veldig relevant i denne sammenheng. I tillegg kunne Py-GC-MS-metoden videreutvikles for forskjellige bildekktyper og tilsetningsstoffer, som finnes i mikroplast og i dekkpartikler.

Analyseresultater av blankprøvene viser at prøveuttaket, vannforsyningen og luften bidro i svært liten grad til kontaminering av prøvene. Det er funnet potensiale for noe kontaminering av prøvene med én mikroplast-type, PE, innen tetthetsseparasjonssteget.

Resultatene på mikroplastpartikkelstørrelsesfordelingen fra foreliggende og tidligere rapporter og publikasjoner viser en bratt stigende kurve mot mindre partikler. Det anbefales å utvide størrelsesområde til mikroplastanalyse fra en nedre grense på 45 µm ned til 20 µm, om mulig ned til 10 µm.

4.2 Resultater

Mikroplastkonsentrasjonene i overflatesedimentene analysert i dette prosjektet inneholder mellom 96 og 809 (378±130) mikroplast partikler per kg tørrvekt (MP/kg tv.), basert på µIR-spektroskopi. Basert på Py-GC-MS ligger plastforurensningsnivåer i overflatesedimentene mellom 167 og 405 (274±75) µg per kilogram tørrvekt (µg/kg tv.). Det laveste antall MP har blitt detektert i prøven med lengst avstand til kysten i det sørlige Nordsjø (NSJ-1). I Utsira-området viser resultatene en synkende trend for antall partikler fra nord til sør, fulgt av en bratt økning i antall MP rett utenfor Stavanger. Resultatene av µIR-analysen fra Skagerrak-prøvene ga ingen tydelig geografisk trend i antall MP, noe som kan henge sammen med de forholdsvis kompliserte havstrømsmønstre i Skagerrak. Resultatene fra overflatesedimentene tyder på en sammenheng mellom sedimentenes kornstørrelsesfordeling og antall MP, der finere sedimenter inneholder flere MP.

Resultatene fra to kjerneprøver (R3200 og R3310) viste en lett stigende antall MP mot overflaten. I kjernen fra stasjon R3200 ble det funnet mellom 476 og 175 (316±86) MP/kg tv. og mellom 1126 og 145 (491±175) MP/kg tv. ble detektert i kjerne R3310 ved hjelp av µIR-spektroskopi. Analysen med Py-GC-MS fant konsentrasjoner mellom 77 og 412 (233±107) µg/kg tv. for R3200 og mellom 75 og 315 (138±54) µg/kg tv. for R3310. Enda flere MP partikler ble detektert i den tredje kjerne R3365 med 1808 til 249 (812±287) MP partikler per kg tørrvekt. I denne kjernen ble det ikke funnet fordelingstrender, antageligvis på grunn av den unge alderen av hele sedimentkjernen. Massekonsentrasjonen i denne kjernen ligger mellom 113 og 473 (262±70) µg/kg tv., ifølge Py-GC-MS. 

Den dominerende plasttypen er polyetylen (PE), i både µIR-analysen og i Py-GC-MS. 

Generelt ble det funnet svært få mikroplast partikler som var større enn 300 µm. Denne observasjonen samsvarer med resultatene i Jensen m.fl. 2023, der «flest mikroplastpartiklene var i størrelsesområdet 15-300 µm».

5. Referanser

Referanser

Andrady A. L., 2011. Microplastics in the marine environment. Marine Pollution Bulletin, vol. 62, pp. 1596 – 1605.

Bergmann, M., Wirzberger, V., Krumpen, T., Lorenz, C., Primpke, S., Tekman, M.B., Gerdts, G. 2017. High Quantities of Microplastic in Arctic Deep-Sea Sediments from the HAUSGARTEN Observatory. Environmental Science and Technology 51, 11000-11010.

Enders, K., Käppler, A., Biniasch, O., Feldens, P., Stollberg, N., Lange, X., Fischer, D., Eichhorn, K.-J., Pollehne, F., Oberbeckmann, S., Labrenz, M. 2019. Tracing microplastics in aquatic environments based on sediment analogies. Scientific Reports 9, 15207.

Harris, P. 2020. The fate of microplastic in marine sedimentary environments: A review and synthesis. Marine Pollution Bulletin 158, 111398.

Hufnagl, B., Steiner, D., Renner, E., Löder, M. G. J., Laforsch, C., Lohninger H. 2019. A methodology for the fast identification and monitoring of microplastics in environmental samples using random decision forest classifiers. Analytical Methods 11, 17, 2277-2285.

Hufnagl, B., Stibi, M., Martirosyan, H., Wilczek, U., Möller, J. U., Löder, M. G. J., Laforsch, C., Lohninger, H. 2022. Computer-Assisted Analysis of Microplastics in Environmental Samples Based on μFTIR Imaging in Combination with Machine Learning. Environmental Science & Technology Letters 9, 1, 90-95.

Jensen, H.K.B., Bellec, V.K. 2019. Miljøgeokjemiske data og dateringsresultater fra indre Kongsfjorden og indre Rijpfjorden samt områdene SK01 og SK02 vest for Svalbard - MAREANO. NGU rapport 2019.027, ss. 50. https://www.ngu.no/upload/Publikasjoner/Rapporter/2019/2019_027.pdf

Jensen, H.K.B., Bellec, V.K. 2021. Miljøgeokjemiske data og dateringsresultater fra Norskehavet - MAREANO. NGU rapport 2021.028, ss. 70. https://www.ngu.no/upload/Publikasjoner/Rapporter/2021/2021_028.pdf

Jensen, H.K.B., Bellec, V.K. 2022. Miljøgeokjemiske data og dateringsresultater fra bunnsedimenter i områdene Garsholbanken, Eggakanten vest for Aktivneset, NH01-BO1, KB Folla, KB Sklinna – Vestfjorden, Vestfjorden Ytre, Spitsbergenbanken, Kirkegården og Kratere N – Mareano. NGU rapport 2022.023, ss. 119. https://www.mareano.no/resources/Rapport_2022_023.pdf

Jensen, H.K.B., Banica, A., Bellec, V.K. 2023. Miljøgeokjemiske data og dateringsresultater fra områdene SK04, SK05, SK06, SK07, SK08, SK09, Kvitøyrenna, Rijpfjorden midtre, Rijpfjorden ytre, Utsira nord og NS04 (Skagerrak) – Mareano. NGU rapport 2023.020, ss. 129. https://www.ngu.no/upload/Publikasjoner/Rapporter/2023/2023_020.pdf

Plastics – the Facts. 2022. Accessed 12.12.2024 at https://plasticseurope.org/wp-content/uploads/2023/03/PE-PLASTICS-THE-FACTS_FINAL_DIGITAL-1.pdf

Radford, F., Horton, A.A., Felgate, S., Lichtschlag, A., Hunt, J., Andrade, V., Sanders, R., Evans, C. 2024. Factors influencing microplastic abundances in the sediments of a seagrass-dominated tropical atoll. Environmental Pollution 357, 124483.

Wu, F., Zonneveld, K.A.F., Wolschke, H., von Elm, R., Primpke, S., Versteegh, G.J.M., Gerdts, G. 2024. Diving into the Depths: Uncovering Microplastics in Norwegian Coastal Sediment Cores. Environmental Science & Technology 58, 17036-17047.

Vedlegg 1. Bilder fra prøveuttak hos NGU

 
Et bilde av en sedimentprøve som blir skyvet ut av stålrøret.
Figur 1 : Prøve R3188MC05_E_0-2_cm
Et bilde av en sedimentprøve som blir skyvet ut av stålrøret.
Figur 2 : Prøve R3188MC05_F_0-2_cm
Et bilde av en sedimentprøve som blir skyvet ut av stålrøret.
Figur 3 : Prøve R3190MC09_E_0-2_cm
Et bilde av en sedimentprøve som blir skyvet ut av stålrøret.
Figur 4 : Prøve R3190MC09_F_0-2_cm
Et bilde av en sedimentprøve som blir skyvet ut av stålrøret.
Figur 5 : Prøve R3196MC06_E_0-2_cm
Et bilde av en sedimentprøve som blir skyvet ut av stålrøret.
Figur 6 : Prøve R3196MC06_F_0-2_cm
Et bilde av en sedimentprøve som blir skyvet ut av stålrøret.
Figur 7 : Prøve R3200MC07_E_0-2_cm
Et bilde av en sedimentprøve som blir skyvet ut av stålrøret.
Figur 8 : Prøve R3200MC07_E_6-8_cm
Et bilde av en sedimentprøve som blir skyvet ut av stålrøret.
Figur 9 : Prøve R3224MC08_E_0-2_cm
Et bilde av en sedimentprøve som blir skyvet ut av stålrøret.
Figur 10 : Prøve R3224MC08_F_0-2_cm
Et bilde av en sedimentprøve som blir skyvet ut av stålrøret.
Figur 11 : Prøve R3303MC10_E_0-2_cm
Et bilde av en sedimentprøve som blir skyvet ut av stålrøret.
Figur 12 : Prøve R3303MC10_F_0-2_cm
Et bilde av en sedimentprøve som blir skyvet ut av stålrøret.
Figur 13 : Prøve R3310MC11_E_0-2_cm
Et bilde av en sedimentprøve som blir skyvet ut av stålrøret.
Figur 14 : Prøve R3310MC11_E_4-6_cm
Et bilde av en sedimentprøve som blir skyvet ut av stålrøret.
Figur 15 : Prøve R3310MC11_E_24-26_cm
Et bilde av en sedimentprøve som blir skyvet ut av stålrøret.
Figur 16 : Prøve R3310MC11_F_0-2_cm
Et bilde av en sedimentprøve som blir skyvet ut av stålrøret.
Figur 17 : Prøve R3328MC12_E_0-2_cm
Et bilde av en sedimentprøve som blir skyvet ut av stålrøret.
Figur 18 : Prøve R3328MC12_F_0-2_cm
Et bilde av en sedimentprøve som blir skyvet ut av stålrøret.
Figur 19 : Prøve R3333MC13_E_0-2_cm
Et bilde av en sedimentprøve som blir skyvet ut av stålrøret.
Figur 20 : Prøve R3333MC13_F_0-2_cm
Et bilde av en sedimentprøve som blir skyvet ut av stålrøret.
Figur 21 : Prøve R3345MC14_E_0-2_cm
Et bilde av en sedimentprøve som blir skyvet ut av stålrøret.
Figur 22 : Prøve R3345MC14_F_0-2_cm
Et bilde av en sedimentprøve som blir skyvet ut av stålrøret.
Figur 23 : Prøve R3365MC15_E_0-2_cm
Et bilde av en sedimentprøve som blir skyvet ut av stålrøret.
Figur 24 : Prøve R3365MC15_F_0-2_cm
 

Vedlegg 2. Bilder fra µIR-spektroskopi

 

Bildene er generert av HI sin databehandlingspipeline og viser mikroplastpartikler «fargelagt» i henhold til legenden, men en terskelverdi av 0,2. For å sikre lavest mulig falsk-positive deteksjoner av mikroplastpartikler har en terskelverdi av 0,4 ble brukt i uttak av data. Bildene viser partikler ned til 8 µm, men på grunnen av prøveopparbeiding, ble kvantifiseringsgrensen satt til 45 µm. Dermed kan det forekomme en forskjell av visuelt inntrykk og tallfestet forekomst av mikroplast i enkelte prøver.

Overflatepøver

Bildet er generert av HI sin databehandlingspipeline basert på µIR-analysen og viser mikroplastpartikler «fargelagt».
Figur 1: 100-1_re (R3188MC05 F 0-2 cm)
Bildet er generert av HI sin databehandlingspipeline basert på µIR-analysen og viser mikroplastpartikler «fargelagt».
Figur 2: 100-2 (R3190MC09 F 0-2 cm)
Bildet er generert av HI sin databehandlingspipeline basert på µIR-analysen og viser mikroplastpartikler «fargelagt».
Figur 3: 100-3 (R3196MC06 F 0-2cm)
Bildet er generert av HI sin databehandlingspipeline basert på µIR-analysen og viser mikroplastpartikler «fargelagt».
Figur 4: 100-4_re (R3224MC08 F 0-2cm)
Bildet er generert av HI sin databehandlingspipeline basert på µIR-analysen og viser mikroplastpartikler «fargelagt».
Figur 5: 100-6_re (R3328MC12 F 0-2 cm)
Bildet er generert av HI sin databehandlingspipeline basert på µIR-analysen og viser mikroplastpartikler «fargelagt».
Figur 6: 100-7_re (R3333MC13 F 0-2 cm)
Bildet er generert av HI sin databehandlingspipeline basert på µIR-analysen og viser mikroplastpartikler «fargelagt».
Figur 7: 100-8_re (R3345MC14 F 0-2 cm)
 

Kjerneprøver Stasjon R3200

Bildet er generert av HI sin databehandlingspipeline basert på µIR-analysen og viser mikroplastpartikler «fargelagt».
Figur 8: 101-1_re (R3200MC07 E 0-2cm)
Bildet er generert av HI sin databehandlingspipeline basert på µIR-analysen og viser mikroplastpartikler «fargelagt».
Figur 9: 101-2_re (R3200MC07 E 2-4cm)
Bildet er generert av HI sin databehandlingspipeline basert på µIR-analysen og viser mikroplastpartikler «fargelagt».
Figur 10: 101-3_re (R3200MC07 E 4-6cm)
Bildet er generert av HI sin databehandlingspipeline basert på µIR-analysen og viser mikroplastpartikler «fargelagt».
Figur 11: 101-4 (R3200MC07 E 6-8cm)
Bildet er generert av HI sin databehandlingspipeline basert på µIR-analysen og viser mikroplastpartikler «fargelagt».
Figur 12: 101-5 (R3200MC07 E 8-10cm)
Bildet er generert av HI sin databehandlingspipeline basert på µIR-analysen og viser mikroplastpartikler «fargelagt».
Figur 13: 101-6 (R3200MC07 E 10-12cm)
Bildet er generert av HI sin databehandlingspipeline basert på µIR-analysen og viser mikroplastpartikler «fargelagt».
Figur 14: 101-7 (R3200MC07 E 12-14cm)
Bildet er generert av HI sin databehandlingspipeline basert på µIR-analysen og viser mikroplastpartikler «fargelagt».
Figur 15: 101-8 (R3200MC07 E 14-16cm)
Bildet er generert av HI sin databehandlingspipeline basert på µIR-analysen og viser mikroplastpartikler «fargelagt».
Figur 16: 101-13 (R3200MC07 E 24-26cm)
 

Kjerneprøver Stasjon R3310

Bildet er generert av HI sin databehandlingspipeline basert på µIR-analysen og viser mikroplastpartikler «fargelagt».
Figur 17: 115-1 (R3310MC11 F 0-2cm)
Bildet er generert av HI sin databehandlingspipeline basert på µIR-analysen og viser mikroplastpartikler «fargelagt».
Figur 18: 115-2 (R3310MC11 F 2-4cm)
Bildet er generert av HI sin databehandlingspipeline basert på µIR-analysen og viser mikroplastpartikler «fargelagt».
Figur 19: 115-3 (R3310MC11 F 4-6cm)
Bildet er generert av HI sin databehandlingspipeline basert på µIR-analysen og viser mikroplastpartikler «fargelagt».
Figur 20: 115-4 (R3310MC11 F 6-8cm)
Bildet er generert av HI sin databehandlingspipeline basert på µIR-analysen og viser mikroplastpartikler «fargelagt».
Figur 21: 115-5 (R3310MC11 F 8-10cm)
Bildet er generert av HI sin databehandlingspipeline basert på µIR-analysen og viser mikroplastpartikler «fargelagt».
Figur 22: 115-6 (R3310MC11 F 10-12cm)
Bildet er generert av HI sin databehandlingspipeline basert på µIR-analysen og viser mikroplastpartikler «fargelagt».
Figur 23: 115-7 (R3310MC11 F 12-14cm)
Bildet er generert av HI sin databehandlingspipeline basert på µIR-analysen og viser mikroplastpartikler «fargelagt».
Figur 24: 115-8 (R3310MC11 F 14-16cm)
Bildet er generert av HI sin databehandlingspipeline basert på µIR-analysen og viser mikroplastpartikler «fargelagt».
Figur 25: 115-13 (R3310MC11 F 24-26cm)
 
   

Kjerneprøver Stasjon R3365

Bildet er generert av HI sin databehandlingspipeline basert på µIR-analysen og viser mikroplastpartikler «fargelagt».
Figur 26: 130-1 (R3365MC15 F 0-2cm)
Bildet er generert av HI sin databehandlingspipeline basert på µIR-analysen og viser mikroplastpartikler «fargelagt».
Figur 27: 130-2 (R3365MC15 F 2-4cm)
Bildet er generert av HI sin databehandlingspipeline basert på µIR-analysen og viser mikroplastpartikler «fargelagt».
Figur 28: 130-3 (R3365MC15 F 4-6cm)
Bildet er generert av HI sin databehandlingspipeline basert på µIR-analysen og viser mikroplastpartikler «fargelagt».
Figur 29: 130-4 (R3365MC15 F 6-8cm)
Bildet er generert av HI sin databehandlingspipeline basert på µIR-analysen og viser mikroplastpartikler «fargelagt».
Figur 30: 130-5 (R3365MC15 F 8-10cm)
Bildet er generert av HI sin databehandlingspipeline basert på µIR-analysen og viser mikroplastpartikler «fargelagt».
Figur 31: 130-6 (R3365MC15 F 10-12cm)
Bildet er generert av HI sin databehandlingspipeline basert på µIR-analysen og viser mikroplastpartikler «fargelagt».
Figur 32: 130-7 (R3365MC15 F 12-14cm)
Bildet er generert av HI sin databehandlingspipeline basert på µIR-analysen og viser mikroplastpartikler «fargelagt».
Figur 33: 130-8 (R3365MC15 F 14-16cm)
Bildet er generert av HI sin databehandlingspipeline basert på µIR-analysen og viser mikroplastpartikler «fargelagt».
Figur 34: 130-9 (R3365MC15 F 16-18cm)
Bildet er generert av HI sin databehandlingspipeline basert på µIR-analysen og viser mikroplastpartikler «fargelagt».
Figur 35: 130-10 (R3365MC15 F 18-20cm)
Bildet er generert av HI sin databehandlingspipeline basert på µIR-analysen og viser mikroplastpartikler «fargelagt».
Figur 36: 130-11 (R3365MC15 F 20-22cm)
Bildet er generert av HI sin databehandlingspipeline basert på µIR-analysen og viser mikroplastpartikler «fargelagt».
Figur 37: 130-12 (R3365MC15 F 22-24cm)
Bildet er generert av HI sin databehandlingspipeline basert på µIR-analysen og viser mikroplastpartikler «fargelagt».
Figur 38: 130-13 (R3365MC15 F 34-36cm)
 
   

Metodeblanker

Bildet er generert av HI sin databehandlingspipeline basert på µIR-analysen og viser mikroplastpartikler «fargelagt».
Figur 39: 240528_metodeblank
Bildet er generert av HI sin databehandlingspipeline basert på µIR-analysen og viser mikroplastpartikler «fargelagt».
Figur 40: 240619_metodeblank
Bildet er generert av HI sin databehandlingspipeline basert på µIR-analysen og viser mikroplastpartikler «fargelagt».
Figur 41: 240910_metodeblank
Bildet er generert av HI sin databehandlingspipeline basert på µIR-analysen og viser mikroplastpartikler «fargelagt».
Figur 42: 240131_metodeblank
Bildet er generert av HI sin databehandlingspipeline basert på µIR-analysen og viser mikroplastpartikler «fargelagt».
Figur 43: 240131_metodeblank_spylt
Bildet er generert av HI sin databehandlingspipeline basert på µIR-analysen og viser mikroplastpartikler «fargelagt».
Figur 44: 240131_metodeblank_nytt_filter
   

Luftblanker

Bildet er generert av HI sin databehandlingspipeline basert på µIR-analysen og viser mikroplastpartikler «fargelagt».
Figur 45: 240506_luftblank1
Bildet er generert av HI sin databehandlingspipeline basert på µIR-analysen og viser mikroplastpartikler «fargelagt».
Figur 46: 240506_luftblank2
Bildet er generert av HI sin databehandlingspipeline basert på µIR-analysen og viser mikroplastpartikler «fargelagt».
Figur 47: 240513_luftblank1
Bildet er generert av HI sin databehandlingspipeline basert på µIR-analysen og viser mikroplastpartikler «fargelagt».
Figur 48: 240513_luftblank2
Bildet er generert av HI sin databehandlingspipeline basert på µIR-analysen og viser mikroplastpartikler «fargelagt».
Figur 49: 240522_luftblank1
Bildet er generert av HI sin databehandlingspipeline basert på µIR-analysen og viser mikroplastpartikler «fargelagt».
Figur 50: 240522_luftblank2
Bildet er generert av HI sin databehandlingspipeline basert på µIR-analysen og viser mikroplastpartikler «fargelagt».
Figur 51: 240214_luftblank1
Bildet er generert av HI sin databehandlingspipeline basert på µIR-analysen og viser mikroplastpartikler «fargelagt».
Figur 52: 240410_luftblank1
Bildet er generert av HI sin databehandlingspipeline basert på µIR-analysen og viser mikroplastpartikler «fargelagt».
Figur 53: 240410_luftblank2
Bildet er generert av HI sin databehandlingspipeline basert på µIR-analysen og viser mikroplastpartikler «fargelagt».
Figur 54: 240415_luftblank1
Bildet er generert av HI sin databehandlingspipeline basert på µIR-analysen og viser mikroplastpartikler «fargelagt».
Figur 55: 240415_luftblank2
Bildet er generert av HI sin databehandlingspipeline basert på µIR-analysen og viser mikroplastpartikler «fargelagt».
Figur 56: 240417_luftblank1
Bildet er generert av HI sin databehandlingspipeline basert på µIR-analysen og viser mikroplastpartikler «fargelagt».
Figur 57: 240417_luftblank2
Bildet er generert av HI sin databehandlingspipeline basert på µIR-analysen og viser mikroplastpartikler «fargelagt».
Figur 58: 240207_luftblank1
Bildet er generert av HI sin databehandlingspipeline basert på µIR-analysen og viser mikroplastpartikler «fargelagt».
Figur 59: 240207_luftblank2
Bildet er generert av HI sin databehandlingspipeline basert på µIR-analysen og viser mikroplastpartikler «fargelagt».
Figur 60: 240207_luftblank1_2
Bildet er generert av HI sin databehandlingspipeline basert på µIR-analysen og viser mikroplastpartikler «fargelagt».
Figur 61 : 240207_luftblank2_2
Bildet er generert av HI sin databehandlingspipeline basert på µIR-analysen og viser mikroplastpartikler «fargelagt».
Figur 62 : 240214_luftblank2
Bildet er generert av HI sin databehandlingspipeline basert på µIR-analysen og viser mikroplastpartikler «fargelagt».
Figur 63: 240221_luftblank1
Bildet er generert av HI sin databehandlingspipeline basert på µIR-analysen og viser mikroplastpartikler «fargelagt».
Figur 64: 240221_luftblank2
Bildet er generert av HI sin databehandlingspipeline basert på µIR-analysen og viser mikroplastpartikler «fargelagt».
Figur 65: 240207_luftblank1_nyttFilter
Bildet er generert av HI sin databehandlingspipeline basert på µIR-analysen og viser mikroplastpartikler «fargelagt».
Figur 66: 240207_luftblank2_nytt filer
   

Flere kvalitetskontrollprøver

Bildet er generert av HI sin databehandlingspipeline basert på µIR-analysen og viser mikroplastpartikler «fargelagt».
Figur 67: 240410_Springvann
Bildet er generert av HI sin databehandlingspipeline basert på µIR-analysen og viser mikroplastpartikler «fargelagt».
Figur 68: 240506_Springvann_kaldt
Bildet er generert av HI sin databehandlingspipeline basert på µIR-analysen og viser mikroplastpartikler «fargelagt».
Figur 69: 240506_Springvann_varmt
Bildet er generert av HI sin databehandlingspipeline basert på µIR-analysen og viser mikroplastpartikler «fargelagt».
Figur 70: Tomt_Glass
Bildet er generert av HI sin databehandlingspipeline basert på µIR-analysen og viser mikroplastpartikler «fargelagt».
Figur 71: 231207_3_min
Bildet er generert av HI sin databehandlingspipeline basert på µIR-analysen og viser mikroplastpartikler «fargelagt».
Figur 72: 231207_2_h
Bildet er generert av HI sin databehandlingspipeline basert på µIR-analysen og viser mikroplastpartikler «fargelagt».
Figur 73: 231207_3_h_20_min
 
 

Vedlegg 3. Tilleggsinformasjon om Py-GC-MS

 

 

Et diagram som illustrerer forberedelsen av GF/F filtre og overføringen av Micro Plastic Standard (MPCs) og prøver til pyrolysekoppen for videre analyse med PY-GC-MS.
Figur 1. Diagram som illustrerer forberedelsen av GF/F filtre og overføringen av Micro Plastic Standard (MPCs) og prøver til pyrolysekoppen for videre analyse med PY-GC-MS.

 

 

Figuren viser et pyrogram for en standardpolymer, PS.
Figur 2. Et pyrogram for en standardpolymer, PS.

 

 

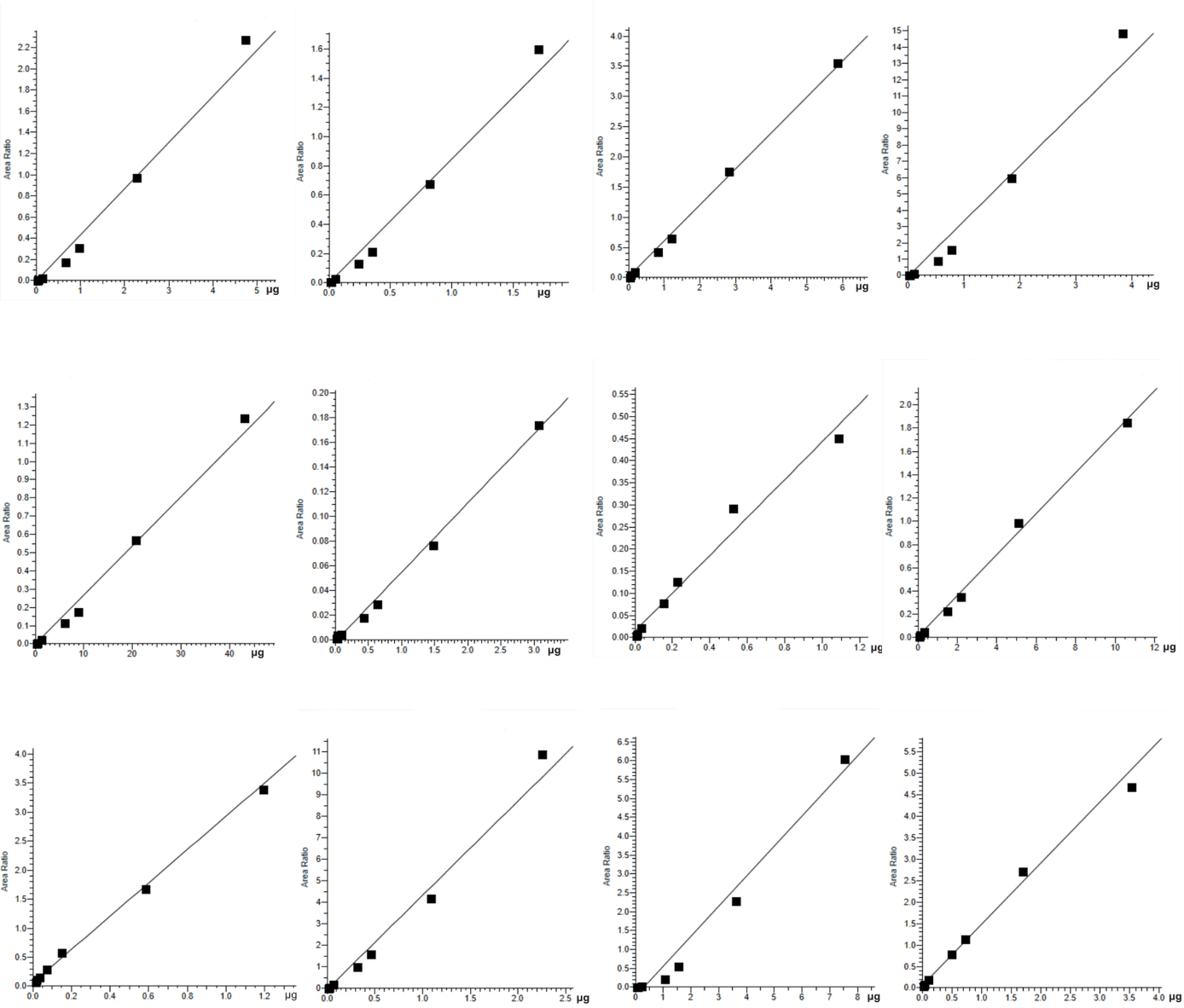
Figuren viser kalibreringskurver for polymerene: PE, PP, PA6, PA6,6, PET, PMMA, ABS, PS, PC, SBR, PU og PVC.
Figur 3. Kalibreringskurver for polymerene: PE, PP, PA6, PA6,6, PET, PMMA, ABS, PS, PC, SBR, PU og PVC.

 

Multi-Shot Pyrolyzer EGA/Py-3030D
Oven Temperature (°C) 600
Interface Temperature (°C) 300
Trace 1310 GC System
Inlet (°C) 300
Carrier Gas He
Split flow (ml/min) 200
Oven Temperature 1 (°C) 40
Hold time (min) 2
Oven Temperature 2 (°C) 320
Rate (°C/min) 15
Hold time 50
Q Exactive Orbitrap Mass Spectrometer  
Transfer Line 300°C
Ion source 320°C
Tabell 1. The Py-GC-MS Parameters.
 

Vedlegg 4. Analyser av blankprøver med µIR

Blankprøver for prøveuttak fra NGU.

  PE PP PVC PS PET PC ABS PUR PLA PEEK PA PMMA Sum MP
NGU tomt glass 1 0 0 0 0 0 0 0 0 0 2 0 3
NGU Luftblank 231206_3h20min 0 0 0 0 0 0 0 0 0 0 0 1 1
NGU Luftblank 231207_3min 0 0 0 0 0 0 0 0 0 0 0 0 0
NGU Luftblank 231207_2h 0 0 1 0 1 0 0 0 0 0 0 0 2

Generelt få partikler detektert som plast. Tyder på at det er god kontroll ved oppdeling av kjernemateriale.

Test av springvann benyttet i laboratoriet ved tetthetsseparasjon.

  PE PP PVC PS PET PC ABS PUR PLA PEEK PA PMMA Sum MP
240419 Springvann 0 0 0 0 0 0 0 0 0 0 0 0 0
240506 Springvann kaldt 0 0 0 5 0 0 0 0 0 0 0 0 5
240506 Springvann varmt 1 0 0 0 0 0 0 0 0 0 0 0 1

Springvann er filtrert på 10 µm stålfilter før bruk. Det er separate filtre for varmt og kaldt vann. Ved tilstandssjekk er to liter springvann filtrert på 45 µm stålfilter. Partiklene gjennomgår ikke kjemisk oppslutning, men overføres direkte til analysefilter.

Metodeblank

  PE PP PVC PS PET PC ABS PUR PLA PEEK PA PMMA Sum MP
240131 Metodeblank 25 0 0 0 0 0 0 0 0 0 0 0 25
240528 Metodeblank 4 2 0 0 1 1 0 0 0 0 2 0 10
240619 Metodeblank 8 3 0 2 1 0 0 1 0 0 1 0 16

Metodeblank gjennomgår hele prosedyren for prøveopparbeidelse. PE utgjør størstedelen av de detekterte plastpartiklene. Reservoar kan mistenkes som kilde da det består av PE. Fylling av reservoar skjer lenge før overføring til bauta. Løse PE-partikler i reservoaret skal ligge øverst i saltløsningen og vil ikke følge med ned på bautaen så lenge reservoaret ikke tømmes. Det er rom for forbedring og oppfølging.

Luftblank

  PE PP PVC PS PET PC ABS PUR PLA PEEK PA PMMA Sum MP
240207-Luftblank1 7 2 0 0 0 0 0 0 0 0 0 0 9
240207-Luftblank2 2 0 0 0 0 0 0 0 0 0 0 0 2
240214-Luftblank1 0 0 0 0 0 0 0 0 0 0 0 0 0
240214-Luftblank2 0 0 0 0 0 0 0 0 0 0 0 0 0
240221-Luftblank1 0 0 0 0 1 0 0 0 0 0 0 0 1
240221-Luftblank2 0 0 0 0 1 0 0 0 0 0 0 0 1
240410-Luftblank1 1 0 0 0 0 1 0 0 0 0 0 0 2
240410-Luftblank2 0 0 0 0 0 0 0 0 0 0 0 1 1
240415-Luftblank1 0 0 0 1 0 0 0 0 0 0 0 0 1
240415-Luftblank2 0 0 0 0 0 0 0 0 0 0 1 0 1
240417-Luftblank1 1 0 0 1 0 0 0 0 0 0 0 0 2
240417-Luftblank2 0 0 0 1 0 0 0 0 0 0 0 0 1
240506-Luftblank1 1 0 0 0 0 0 0 0 0 0 0 0 1
240506-Luftblank2 0 0 0 1 0 0 0 0 0 0 0 0 1
240513-Luftblank1 0 0 0 0 0 0 0 0 0 0 0 0 0
240513-Luftblank2 0 0 1 10 0 0 0 0 0 0 0 0 11
240522-Luftblank1 0 0 0 0 0 0 0 0 0 0 0 0 0
240522-Luftblank2 0 0 0 0 0 0 0 0 0 0 0 0 0

Luftblank er tatt på to steder i laboratoriet. Luftblank 1 var plassert ved bauta og filtreringsstand. Prøveholder inneholdt om lag to desiliter vann. Beholderen har vært åpen til omgivelsene ved åpen håndtering av bauta og filtrering på 45 µm stålfilter. Luftblank 2 var plassert ved avlastningsbord der sedimentprøve ble veid inn, tilsatt saltløsning og rørt til homogen slurry. Ved tillaging og påsetting av mer enn en sedimentprøve ble samme luftblank benyttet og holdt åpen mot omgivelsene ved åpen håndtering av sedimentprøve. Generelt lite partikler i luftblank, med to unntak, der PE og PS dominerer.

Antar en at partikler er likt fordelt i romvolumet og har like stor sannsynlighet for å settle i luftblank som i prøve, kan luftblankene summeres og summen deles på tre (tre sedimentprøver lages til og settes på bauta per luftprøvesum).

Gjennomsnittlig bidrag til kontaminering fra luft under prøvehåndtering ved tetthetsseparasjon.

Dato PE PP PVC PS PET PC ABS PUR PLA PEEK PA PMMA Sum MP
240207 3 0.7 0 0 0 0 0 0 0 0 0 0 3.7
240214 0 0 0 0 0 0 0 0 0 0 0 0 0
240221 0 0 0 0 0.7 0 0 0 0 0 0 0 0.7
240410 0.3 0 0 0 0 0.3 0 0 0 0 0 0.3 1
240415 0 0 0 0.3 0 0 0 0 0 0 0.3 0 0.7
240417 0.3 0 0 0.7 0 0 0 0 0 0 0 0 1
240506 0.3 0 0 0.3 0 0 0 0 0 0 0 0 0.7
240513 0 0 0.3 3.3 0 0 0 0 0 0 0 0 3.7
240522 0 0 0 0 0 0 0 0 0 0 0 0 0

Resultatene tyder på adekvat luftkvalitet.

Figuren viser tidsserier for blankprøver og sedimentprøver gir liten indikasjon på endring over tid.

Figuren viser tidsserier for blankprøver og sedimentprøver gir liten indikasjon på endring over tid.

Tidsserier for blankprøver og sedimentprøver gir liten indikasjon på endring over tid.