Suggestion for national monitoring of seabed litter in Norway
Several types of equipment can be used to monitor litter on the seabed, including drop cameras, ROVs (Remotely Operated Vehicles), and AUVs (Autonomous Underwater Vehicles). Drop cameras and video rigs are cost-effective and can cover large areas but have limited flexibility for detailed inspections. ROVs offer greater freedom and can stop for closer examination but are more expensive and dependent on weather and currents. AUVs are efficient for covering large areas quickly and can capture high-resolution images, but they are costly and technically demanding.
Litter is recorded in the field with quality checks of uncertain identifications conducted later after field surveys. Object detection using artificial intelligence (AI) will become efficient once detection algorithms are developed. Given the low densities of litter in Norwegian waters, the most cost-effective method today is direct field recording, requiring trained personnel to perform the work. When relevant AI technology is developed, litter could be automatically detected with quality control by trained personnel.
Seabed litter is generally most prevalent near the coast and at intermediate depths, with plastic, particularly fishing-related plastic (such as ropes and nets), being the dominant category. Other accumulation areas include marine valleys, troughs, and canyons. The Mareano program has mapped litter since 2006, showing that plastic accounts for 64% of all litter, with the highest density at depths between 400–1000 meters. Rivers significantly contribute to plastic pollution, especially plastic from agriculture, such as silage wrap, which often accumulates near river mouths. Through annual ecosystem surveys, the Institute of Marine Research also records litter as bycatch in bottom trawls in the Barents Sea and North Sea. This litter mainly consists of fishing-related waste, such as nets and nylon ropes. The extent of lost fishing gear and "ghost fishing" in coastal areas is uncertain, but data from the Directorate of Fisheries and the Institute of Marine Research indicate it is significant.
Power analyses of data from the Mareano program show that detecting a 30% change in litter quantities with 80% certainty requires 47–132 transects per sea area annually, depending on threshold values and litter density. It is recommended to monitor with video transects every five years at a sufficient number of stations (≥3 litter items) in each area (a total of 55 transects per area). To detect changes in litter quantities, transects from the Mareano program that have already recorded three or more litter items should be revisited. In areas where previous litter mapping is lacking, additional stations should be added in locations with a high likelihood of litter accumulation. A new power analysis should be conducted after the initial data collection to adjust the monitoring approach. For each proposal, slightly higher costs are expected in the first year due to the effort needed to identify transects with ≥3 litter items. For the estimated cost of monitoring program, we have given estimates per round of investigation. We recommend new investigation every 5 years.
Proposals for Monitoring Programs:
Minimum Solution:
Coast:
Combine revisiting transects with ≥3 waste items previously registered and adding new transects in areas with similar or higher expected waste density. Focus on fjords near urban areas, ports, marine valleys, river outlets, and other waste-accumulation zones. Monitor at least 55 transects every 5 years.
Estimated cost: NOK 833 000 + NOK 100 000 for reporting.
Ocean:
Revisit transects in the Mareano database with ≥3 waste items in the same positions as before, across all management areas combined into one. This avoids the need to search for new accumulation areas. Monitor 55 transects every 5 years.
Estimated cost: NOK 5 212 000 + NOK 100 000 for reporting.
Total minimum solution (Coast + ocean) NOK 6 045 000 + NOK 200 000 for reporting
Intermediate Solution:
In addition to the minimum solution (110 transects), monitor 55 locations in vulnerable habitats like coral reefs, seagrass meadows, and sponge areas. These habitats are both habitats for species and "traps" for waste like lost fishing gear. Data from the first monitoring round will determine the number of transects needed to detect a 30% change with 80% confidence.
Estimated cost: NOK 7 447 000 + NOK 200 000 for reporting.
Full-Scale Program:
To detect a 30% change in six areas (Skagerrak/North Sea, Norwegian Sea, Barents Sea, and coastal regions) with 80% confidence, revisit 55 transects in each area every 5 years, plus 55 in vulnerable habitats. Use known locations with ≥3 waste items and expand with targeted searches in high-accumulation areas. Coastal regions should account for local waste sources and rates, divided into regions corresponding to the sea areas.
Total transects: 385 every 5 years (adjustable with improved knowledge).
Estimated cost: NOK 10 820 000 + NOK 250 000 for reporting.
Forord
Denne rapporten er finansiert av Miljødirektoratet og skrevet i samarbeid med Havforskningsinstituttet, Salt og Runde forsking. Kontaktpersom i Miljødirektoratet har vært Inger Lise Nerland Bråte. Vi vil takke Inger Lise Nerland Bråte for gode tilbakemedlinger underveis og Kjell Bakkeplass (HI) for hjelp med kartdata.
Prosjektledere har vært Lene Buhl-Mortensen og Bjørn Einar Grøsvik.
Sammendrag
Flere typer utstyr kan brukes for å overvåke søppel på havbunnen, inkludert droppkameraer, ROV-er (Remotely Operated Vehicles) og AUV-er (Autonomous Underwater Vehicles). Droppkamera og videorigger er kostnadseffektive og kan dekke store områder, men har begrenset fleksibilitet for nærmere undersøkelser. ROV-er gir større frihet og kan stoppe for nærmere inspeksjon, men er dyrere og vær- og strømavhengige. AUV-er er effektive for å dekke store områder raskt og kan ta høyoppløselige bilder, men er kostbare og teknisk krevende.
Søppel registreres i felt med kvalitetssjekk av usikre bestemmelser senere etter tokt. Objektdeteksjon ved hjelp av kunstig intelligens (KI) vil være effektivt når algoritmer for objektdeteksjon er utviklet. Med de lave tetthetene av søppel som forekommer i norske farvann, anses i dag den mest kostnadseffektive metoden å være direkte registrering i felt, noe som krever at trent personell utfører feltarbeidet. Når relevant KI-teknologi er utviklet, vil søppel kunne registreres automatisk med kvalitetskontroll av trent personell.
Søppel på havbunnen er generelt mest utbredt nær kysten på 200–300 meters dyp med plast, og da særlig fiskerirelatert plast (som tau og garn), som dominerende kategori. I tillegg er det på visse steder oppsamling av søppel på dypt vann så som i marine daler, trau og marine gjel. Mareano-programmet har kartlagt søppel siden 2006, og observasjoner viser at plast utgjør 64 % av alt søppel, og at tettheten er høyest mellom 400–1000 meters dyp. Elver bidrar betydelig til plastforurensning, spesielt plast fra jordbruk som plastfolie rundt høyballer, som i stor grad havner nær elvemunningene. Gjennom det årlige økotoktet registrerer Havforskningsinstituttet også søppel som bifangst i bunntrål i Barentshavet og Nordsjøen. Dette søppelet utgjøres hovedsakelig av fiskerirelatert avfall, som garn og nylontau. Det er knyttet usikkerhet til omfanget av tapte fiskeredskaper, "spøkelsesfiske", i kystnære områder, men data fra Fiskeridirektoratet og Havforskningsinstituttet tilsier at omfanget er betydelig.
Styrkeanalyser av data fra Mareano-programmet viser at for å oppdage en 30 % endring i søppelmengde med 80 % sikkerhet, kreves det ved overvåking hvert 5. år av mellom 47 og 132 transekt per havområde, avhengig av terskelverdier og søppeltetthet. Det anbefales å overvåke med videotransekt hvert femte år på et tilstrekkelig antall stasjoner (≥3 søppelbiter) i hvert område (totalt 55 transekt per område). For å kunne påvise endringer i søppelmengde, anbefales det å gjenbesøke transekt fra Mareano-programmet som allerede har registrert tre eller flere søppelenheter. I områder hvor tidligere kartlegging av søppel mangler, anbefales det å supplere med stasjoner i områder med høy sannsynlighet for søppelansamling. En ny styrkeanalyse bør gjennomføres etter første datainnsamling for justering av overvåkingsopplegg. For hvert forslag må det beregnes noe høyere kostnader første år, da man må forvente større innsats for å identifisere transekt med ≥3 søppelbiter. I forslaget til overvåkinsprogram er kostnad estimert for en runde med undersøkelser. Vi anbefaler 5 års mellomrom mellom hver runde.
Forslag til overvåkingsprogram:
Minimumsløsning: Kyst: Det anbefales å kombinere gjenbesøk av transekt der det tidligere har vært registrert tre eller flere søppelenheter per transekt med nye transekt i oppsamlingsområder hvor man kan vente lik eller høyere tetthet per transekt. Oppsamlingsområder inkluderer fjordområder som ligger nært befolkningstette områder som byer eller tettsteder, nært havner, i kystnære marine daler, fjordområder nær kilder, områder nært elveutløp. Vi anbefaler at minst 55 transekt overvåkes hvert 5. år totalt for kyst. Omtrentlig kostnad: Kr 833 000,- + Kr 100 000,- til rapportering.
Hav: For å detektere mulige endringer i oppsamlingsområder til havs foreslår vi at alle tre forvaltningsplanområdene blir slått sammen til ett havområde og at transekt i Mareanos database med tre eller flere søppelenheter gjenbesøkes på samme posisjon som tidligere. Dette vil eliminere behovet for å søke etter nye akkumulasjonsområder til havs som representerer store besparelser. Vi anbefaler at 55 transekt overvåkes hvert 5. år totalt for minimumsløsning hav. Omtrentlig kostnad: Kr 5 212 000,- + Kr 100 000,- til rapportering.
Mellomløsning: Samme som minimumsløsning for kyst og hav (110 transekt), men i tillegg anbefales det at sårbare naturområder overvåkes på 55 lokaliteter. Disse inkluderer områder med høy tetthet av sårbare arter, f.eks. korallrev, korallskog, sjøfjærsamfunn, ålegrasenger og svampområder. Slike sårbare habitater, spesielt korallrev, har en kompleks romlig struktur som i tillegg til å være habitat for en mengde andre arter også fungerer som «feller» for søppel. Det er vanlig å finne tapt fiskeutstyr (line og garn) på korallrevene. Typen søppel vil være avgjørende for skadepotensialet. For eksempel vil spøkelsesfiske på grunn av tilstedeværelse av tapte fiskeredskaper som teiner, garn etc. kunne være skadelig for sårbare arter i et område. Det vil måtte gjøres styrkeberegninger basert på første runde innsamlet data for å avgjøre hvor mange transekt som er nødvendig for å detektere en 30 % endring med 80 % sannsynlighet. Omtrentlig kostnad: Kr 7 447 000,- + Kr 200 000,- til rapportering.
Fullskala oppsett: For å kunne detektere en 30 % endring i hvert av de seks områdene, Skagerrak–Nordsjøen, Norskehavet og Barentshavet og kystregionene innenfor med 80 % sannsynlighet, anbefales det besøk på 55 transekt i hvert område (hav + kyst) og 55 i sårbare områder hvert 5. år. Det anbefales å ta utgangspunkt i de allerede kjente lokasjonene i hvert havområde som tilfredsstiller kravene, og supplere med flere stasjoner gjennom fokuserte søk i områder med høy sannsynlighet for søppelansamling.
I kystnære strøk vil typer kilder og tilførselsrater kunne variere mellom regioner, og det anbefales i en fullskala løsning å ta hensyn til dette ved å dele kysten i regioner der det innhentes et tilstrekkelig antall lokasjoner i hver region. Det anbefales at regionene tilsvarer havområdene Nordsjøen/Skagerrak, Norskehavet og Barentshavet.
Med utgangspunkt i at overvåkingslokalitetene som har høy nok tetthet av søppel (≥3 søppelbiter) vil totalt antall transekt som skal gjenbesøkes hvert 5. år være 385. Dette kan nedjusteres med økt kunnskap om søppelmengder i kyst- og havområder hvor tidligere observasjoner er få. Omtrentlig kostnad: Kr 10 820 000,- + Kr 250 000,- til rapportering.
1 - Innledning
Miljødirektoratet vurderer å øke overvåkingen av makrosøppel, deriblant plast på havbunnen. Internasjonalt har det pågått registrering av søppelenheter fra havbunnen siden 1992 hvor havbunn-søppel over 2,5 cm har blitt samlet, og registrering som en del av ICES Bottom Trawl survey som en tilleggsparameter til vurdering av fiskebestander (Galgani mfl., 2000). Det er flere aspekter ved denne overvåkingen som ikke er optimal, som at toktene ikke er planlagt med hensyn til søppelovervåking som hovedfokus, og datainnsamling skjer via bunntråling som har negativ miljøpåvirkning. Derfor er det en økende bruk av bildebasert overvåking av mengde og sammensetting av bunnsøppel. Selv om det også er begrensinger med ikke-invasiv overvåking, ønsker Miljødirektoratet at eventuell framtidig overvåking av søppelenheter på havbunnen skal baseres på bildebaserte undersøkelser, med for eksempel bruk av fjernstyrte undervannsfarkoster med kamera og bildeanalyser.
Denne rapporten er svar på et oppdrag fra Miljødirektoratet om å utvikle et forslag til oppsett for nasjonal overvåking av søppel på havbunnen. Den inneholder en vurdering av hva som er tilstrekkelig antall overvåkingslokaliteter, innsamlingsfrekvens, metodikk for innsamling av data og analyse, og en tilpasset pipeline for datahåndtering. En vurdering og anbefaling er gitt for konkrete områder som er egnet for overvåking av bunnsøppel (for eksempel havner, fjorder, kystnære områder, eksponert hav m.m.) med tilhørende tilpasning med tanke på metodikk. Rapporten gir en anbefaling om fremgangsmåte og kostnader for valgt overvåkingsdesign som svarer til følgende målsetninger:
Bidra med nasjonal data til OSPAR-rapportering
Identifisere typer og mengde søppel (per areal) på havbunnen, for eksempel sortert under OSPARs søppelkategorier.
Dokumentere utviklingen av mengder og typer av søppelenheter på havbunn på nasjonal skala over tid.
Dokumentere eventuelle forskjeller i mengder og typer av søppelenheter på havbunn mellom geografiske områder.
Vurdere om ansamlingsområdene sammenfaller med sårbare naturområder.
Dokumentere viktige kilder for tilførsel av søppel til det marine miljøet.
Identifisere eventuelle ansamlingsområder, eventuelle egenskaper som påvirker akkumulering av bunnsøppel som topografi, strømningsforhold m.m.
Forslagene bygger på tidligere gjennomført kartlegging av søppel på havbunnen, blant annet Mareano-prosjektet (Buhl-Mortensen mfl., 2024) og anbefalinger gitt gjennom arbeid under AMAP programmet (Grøsvik et al., 2023). For å sikre et sammenlignbart materiale er det viktig å bruke standardiserte kategorier av søppel. Etter 2023 har Mareano brukt protokollen fra ICES WGML (Vedlegg 1).
Hovedkategoriene i ICES- og OSPAR-systemet er (ICES, 2022):
A Plast
B Metall
C Gummi
D Glass og keramikk
E Naturlige produkter, inkludert prosessert tre, papir og papp
F Diverse, inkludert klær/tekstiler
I et overvåkningsprogram anbefales det også å legge til «fiskeredskaper» som eget punkt, slik at man samtidig får en bedre oversikt over tilstedeværelsen av disse.
Tre ulike overvåkingsintensnivåer er utviklet med utgangspunkt i bestillingen fra Miljødirektoratet:
Fullskala løsning: Gir detaljert informasjon om mengder og typer av søppel på havbunnen på regionnivå, for ulike vanntyper eller kystavsnitt (minimum for regionene Skagerrak, Nordsjøen, Norskehavet, Barentshavet).
Nedskalert løsning: bare prioriterte områder med stort ansamlingspotensial inngår, for eksempel havner, fjorder eller sårbare naturområder (eks. gyteområder).
Minimumsløsning: antall stasjoner er redusert til et minimum, men overvåkingen kan brukes til identifisering av kilder og ansamlingsområder, selv om datagrunnlaget vil være heftet med større usikkerhet. Størrelse på den endringen over tid/sted som er mulig å detektere statistisk signifikant med minimumsløsningen skal beskrives.
2 - Overvåkingsteknologi
For å overvåke makrosøppel på havbunnen kan droppkamera, ROV, AUV, og annen teknologi brukes, avhengig av kostnadsrammene som settes for undersøkelsene. Teknologi for overvåking under vann er stadig i endring, med muligheter for mer kostnadseffektiv overvåkning i framtiden. Valg av utstyr bør vurderes ut fra operasjonsdybde, ønsket nøyaktighet, forhold (kyst og hav kan trenge forskjellig utstyr), og tilgjengelig utstyr (tabell 1, tabell 2).
2.1 - Droppkamera og tauet videorigg
Droppkamera og tauet videorigg representerer kostnadseffektive løsninger for å overvåke havbunnen. Imidlertid har disse systemene begrensninger knyttet til muligheten for å undersøke søppel og andre objekter nærmere. Droppkamera/videorigg slepes etter fartøyet, og er velegnet for å gjennomføre transekter med spesifikk lengde og retning. Videosignalet overføres i sanntid til båten, noe som muliggjør kontinuerlig overvåking, og manipulering av utstyret opp og ned i vannsøylen ettersom dybdene endrer seg, eller en møter på hindringer langs bunn. Ved bruk av et enkelt droppkamera har man liten mulighet til å stoppe opp for å undersøke objekter nærmere, mens videorigger kan parkeres for nærmere undersøkelser av spesifikke objekter. Den har allikevel ikke den samme mobiliteten for å gjøre nærmere undersøkelser fra flere vinkler som blant annet en ROV har.
Ved bruk av videorigg og droppkamera må man passe på å ikke slepe riggen langs bunn før en parkerer for undersøkelser grunnet oppvirvling av sedimenter som kan ødelegge sikten. Derfor kan det være hensiktsmessig å holde lav fart. For å unngå at man virvler opp sediment når man parkerer riggen, kan man eventuelt montere ski på videoriggen. Flere kamera kan også monteres på riggen for å utvide synsfeltet og på denne måten dekke et større areal. Det kan for eksempel benyttes ett kamera som peker fremover og to til siden.
På grunt vann kan båtens posisjon brukes til å stadfeste posisjonen på droppkamera og rigg, og en vil ved hjelp av båtens kartplotter med god nøyaktighet kunne kjøre den lengden transekter man skulle ønske. På dypere vann (>100 m) blir forskjellen mellom båtens posisjon og videoriggens eller droppkameraets posisjon større. Da vil utstyr for undervannsposisjonering være hensiktsmessig å bruke.
Ved Havforskningsinstituttet benyttes videoriggen Chimaera som er utstyrt med flere videokamera, laserpunkter for størrelsesmåling, transponder for posisjonering og CTD (conductivity, temperature, depth). Denne kan parkeres på havbunnen for detaljerte undersøkelser. Chimaera er best egnet til havgående båter med god dekksplass. Den brukes av Mareano for visuell kartlegging av utbredelse og mengde av arter, sedimenter, spor etter bunntrål og marint søppel (Figur 1). Riggen er utstyrt med to videokamera (både med høy og standard oppløselighet), transponder (for dybdemåling og geografisk posisjonering), lasere (for skalering av bilder), altimeter (høyde over bunn) og Seaguard sonde (CTD og strømmåler). Videoriggen slepes etter fartøyet med en hastighet på maks 0,7 knop og blir kontrollert av en vinsjoperatør som opprettholder en nær konstant høyde på 1,5 m over havbunnen. Geoposisjonering av videoriggen blir gjort med hydroakustisk posisjoneringssystem (Simrad HIPAP og Eiva Navipac-programvare) med transponder på videriggen. Dette systemet gir en posisjonsnøyaktighet på omtrent 2 % av vanndybde. Videoene blir lagret på harddisker om bord i fartøyet.
Kostnader: De rimeligste droppkameraene til bruk på grunt vann koster 15 000–25000 kroner, mens en kan komme ned på 200 meter med litt dyrere droppkamera (80 000–100 000 kroner inkl. ekstra lys). Leiemarkedet for slike systemer er begrenset.
Fordeler: Kostnadseffektivt, spesielt for grunnere områder (<100 meters dyp).
Ulemper: Begrenset mulighet for detaljert inspeksjon av objekter ved bruk av enkelt droppkamera. Dette vil være noe bedre med tauet videorigg. Mindre egnet for dypere farvann uten avansert posisjoneringsutstyr. Liten mulighet for å undersøke objekter fra flere vinkler.
Figur 1: Videoriggen «Chimaera» som er utstyrt med flere videokamera, laserpunkter for størrelsesmåling, transponder for posisjonering og CTD.
2.2 - ROV
ROV gir mer frihet til å undersøke objekter nærmere for sikker identifisering av søppel. I tillegg kan en ROV utstyres med avansert tilleggsutstyr som sonarer, gripeklo og mer, som utvider bruksområdet betydelig. ROV-er finnes i et bredt prisspekter, fra rimelige modeller i tusenkronersklassen til avanserte arbeids-ROV-er i millionklassen. Dersom man skal undersøke områder grunnere enn 200 meter, spesielt i skjermede fjorder og kystområder, vil en rimelig ROV ofte være tilstrekkelig. Det finnes flere leverandører av undervannsdroner i prisklassen 80 000–250 000 kroner som fungerer godt på dyp ned til 200 meter. Da disse kan ha mindre motorkraft enn de større arbeids-ROV-ene, vil man være mer avhengig av gode strømforhold. Det er viktig å sikre at ROV-en er utstyrt med et godt videokamera (HD eller høyere oppløsning) og god belysning for identifisering av objekter. Alternativt kan et ekstra kamera, som GoPro, monteres hvis det innebygde kameraet ikke oppfyller kravene til bildekvalitet.
Dersom en legger opp til et overvåkingsprogram der nøyaktig posisjonering er viktig, trengs gode posisjonsdata. Posisjonering under vann kan gjøres akustisk eller med interne loggere. Flere leverandører tilbyr DVL (doppler velocity logger) og USBL (ultra-short baseline) for posisjonering, men dette gjør ROV-ene dyrere. Det er også mulig å leie USBL-systemer separat. DVL vil være mindre presis i posisjoneringen grunnet avdrift i systemet. USBL-systemet kombinerer en transponder festet på ROV-en, og en transducer festet enten på siden av båten, integrert i båten, eller i en kabel hengende fra båten dersom ROV-en er på større dyp. Dette systemet er mer presist enn en DVL, men øker kostnaden betydelig. Det er mulig å leie slike system.
Avhengig av overvåkingsmetodikk er ikke nøyaktig posisjon nødvendigvis viktig, men lengden av transektet, og synsvidden er nødvendig for å kunne si noe om mengden søppel per m2. Da vil en DVL være rimeligere og mer nyttig. Eventuelt kan man notere start og sluttpunkt for ROV-en, og beregne avstanden mellom disse punktene. Presisjonen ved start- og sluttpunkt blir dårligere jo dypere man skal undersøke, og ved større dyp enn 50–100 meter bør en minimum ha DVL eller lignende posisjoneringssystem. Ved gjenbesøk av tidligere undersøkte videotransekter, spesielt i utfordrende miljø (hav) eller dypere områder (>100 meters dyp), bør undervannsposisjonering ved USBL alltid benyttes for å oppnå tilstrekkelig presisjon.
I kystnære områder og fjorder og ved bruk av mindre ROV-er kan man gjøre undersøkelsene fra småbåt, hvilket gjør operasjonen mer kostnadseffektiv. Det er en fordel at båten har et posisjoneringssystem slik at den kan ligge på posisjon mens ROV-en dykker ned til startpunktet.
For dypere farvann (>200 meter) eller i mer eksponerte havområder er det mest hensiktsmessig å bruke arbeidsklasse-ROV-er. Disse krever større båter med mer utstyr. Det er mange selskaper som leier ut ROV-tjenester, og som stiller med båt, ROV-pilot og mannskap. Flere av disse selskapene tilbyr også å gjøre undersøkelsene i felt, mens en ansvarlig fagperson følger med på en direktestrøm fra ROV-en via Teams eller tilsvarende tjenester. Disse ROV-ene er mer stabile, og passer til bruk offshore og på større dyp i fjorder og kystområder. Disse er vanligvis utstyrt med sonar, USBL-system for posisjonering, og kan utstyres med gripeklo, med mer.
For dyphavsoperasjoner tilbys ROV-tjenester av flere selskaper som inkluderer båt, ROV-pilot og mannskap. Undersøkelsene kan utføres i felt med fagpersoner som følger direktestrøm fra ROV-en via plattformer som Teams. Slike tjenester koster typisk 40 000–100 000 kroner per dag, avhengig av oppdragets lokasjon og varighet. Mobiliserings- og reisekostnader kommer i tillegg og avhenger av avstanden operatørene må reise.
Kostnader: De rimeligste ROV-er kan koste fra 10 000 til 250 000 kroner, mens de dyreste koster flere millioner kroner. For leie er prisene ofte fra 1000 kroner dagen, til om lag 4500 kroner timen (og dyrere) avhengig av hva man trenger for å gjennomføre overvåkingen (Figur 2).
Fordeler: Stor frihet til bevegelse for undersøkelser, noe som kan gi detaljerte undersøkelser av objekter. Stort prisspenn. Kan gjennomføres billig under visse forhold og ved noen dyp.
Ulemper: Kan være vanskeligere å holde seg til transektet uten posisjoneringssystem. Dyrt på større dyp eller ved krevende forhold når en trenger store ROV-er.
Figur 2: Eksempler på forskjellige prisklasser av ROV-er. ROV-en i bilde a) vil ligge på om lag 4500 kroner timen (ekskludert mobiliseringskostnader etc.; anslag for 2024), mens ROV-en i bilde b) vil koste om lag 500–2000 kroner dagen (anslag for 2024).
2.3 - AUV
En AUV (Autonomous Underwater Vehicle) er (ofte) en torpedolignende farkost med propell som kjører under vann etter et forhåndsprogrammert mønster. Den kan programmeres til å holde en fast avstand til havbunn, noe som gjør AUV-er til en ideell plattform for fotografering av bunnen. Ved behandling av data settes stillbildene sammen til en fotomosaikk som knyttes til AUV-ens posisjon. Det er mulig å kommunisere med AUV-en under vann via akustiske modem, samt å spore posisjon med samme teknologi. En høyde på 4 meter over bunnen er ofte optimalt for å identifisere arter og objekter. AUV-operasjoner skjer vanligvis i en fart på rundt 4 knop.
I tillegg til fotografering kan AUV-er utstyres med sidescan-sonar, som gir ekkobilder av havbunnen. Disse har relativt høy oppløsning og kan brukes til identifisering av gjenstander som tau, teiner og flasker, men ikke mindre søppelobjekter.
AUV-er er mer kostbare, med priser fra noen hundre tusen for veldig enkle modeller, til flere titalls millioner for de mer avanserte variantene.
Fordeler: Dekker store områder effektivt. Man kan ta detaljerte bilder og bruke avanserte sensorer som sidescan-sonar.
Ulemper: Begrenset egnethet i kupert terreng. De fleste AUV-er krever detaljerte dybdedata for å planlegge kjøringen. Avanserte modeller og drift av disse er kostnadskrevende. Operasjon og analyse krever spesialisert teknisk ekspertise, og programvare for fremstilling av fotomosaikk kan være krevende å bruke. Ingen mulighet for å stoppe opp og undersøke eventuelt søppel fra flere vinkler.
2.4 - Metodikk
Ved kjøring med droppkamera, slepekamerarigg og ROV er det avgjørende å holde en moderat hastighet gjennom undersøkelsesområdet. For høy hastighet kan gjøre det vanskelig å identifisere både søppel og søppeltyper, både for personell og kunstig intelligens (KI) grunnet risiko for uklare og forvrengte bilder. Erfaring fra kartleggingsprogrammet Mareano tilsier at ved en fart over 0,7 knop er det vanskelig å identifisere mindre objekter. Bredden på synsfeltet per kamera (styrt av linsens vinkel og høyde over bunn) er også en faktor som kan begrense bildekvalitet. Bredden på synsfeltet bør ikke overstige 4 meter. Høyde over bunn og kameraets innfallsvinkel må tilpasses slik at man får en god oversikt, samtidig som at man ikke får et så stort synsfelt at objektene på havbunnen blir utydelige. Tiltakene for å sikre gode bilder er spesielt viktig i fjorder med stor sedimentasjonsrate, ettersom søppelet her kan være delvis dekket av sediment.
Det anbefales å utstyre undersøkelsesutstyret med lasere for å måle størrelsen på søppel og bildefeltet som analyseres manuelt eller av KI. Lasere kan gi verdifull informasjon om søppeltettheten i et transekt. Optimalt bør det brukes lasere med to eller fire punkter med kjent avstand mellom dem. Alternativt kan stereo- eller mono-bilder benyttes for størrelseberegninger, avhengig av antallet kameraer som er tilgjengelige.
Sesong spiller også en rolle for hvor lett det er å finne søppel på grunne områder (0–40 meter). I disse områdene anbefales det at undersøkelsene gjøres vinterstid når makroalger er på sitt minste, og planktonoppblomstringer ikke har forekommet enda. I områder nord for Stad er oktober til februar ideelt, mens sør for Stad er november til tidlig februar å foretrekke for kartlegging av slike grunne områder. Det anbefales også å unngå områder nær større elveutløp etter regnfall, da avrenning kan forverre sikten.
Dybde
Nødvendig teknologi
Tidsbruk
0–50
Enkel ROV, droppkamera eller slepekamera-rigg.
Kort tid grunnet dyp.
50–100
Enkel ROV, droppkamera eller slepekamera-rigg. Godt lys er nødvendig.
Noe lengre tid grunnet dyp.
100–200
Enkel ROV, droppkamera eller slepekamera-rigg. Godt lys er nødvendig. I strømrike og utfordrende miljøer kan større ROV kreves.
Noe lengre tid grunnet dyp.
200–500
Større ROV, droppkamera, slepekamera-rigg, eller AUV kreves. Godt lys er nødvendig.
Tidkrevende å få observasjoner i dyphavet og posisjonsdata kan være utfordrende.
500–1000
Større ROV, droppkamera, slepekamera-rigg, eller AUV kreves. Godt lys er nødvendig.
Tidkrevende å få observasjoner i dyphavet og posisjonsdata kan være utfordrende.
1000+
Større ROV, droppkamera, slepekamera-rigg, eller AUV kreves. Godt lys er nødvendig.
Tidkrevende å få observasjoner i dyphavet og posisjonsdata kan være utfordrende.
Tabell 1: Skjematisk oversikt over aktuelle metoder og teknologier som kan benyttes til innhenting av bildematerialet.
Instrument
Fordel
Ulempe
Prisklasse
Areal dekket (omtrent, m2)
Droppkamera
Rimelig. Lett å følge transekter. Grei kvalitet på posisjonering. Grei bildekvalitet, kan forbedres med eksterne kamera.
Mangler frihet til å bevege seg og å stoppe opp ved interessante funn.
Rimelig. Kan brukes fra åpen båt ned til 200 meters dyp. Grei bildekvalitet som kan forbedres med eksterne kamera. Frihet til bevegelse.
Ofte vanskeligere og dyrere med posisjoneringsutstyr. Mer utsatt for dårlige værforhold og vanskelige strømforhold.
Kjøpe: 10 000-400 000. Leie (per dag): 1000-2000
5-7
ROV arbeidsklasse
God bildekvalitet. Kan gå dypere enn 200 meter. Mer robust, og mer manøvrerbar under vanskelige forhold. Flere muligheter for påkobling av utstyr. Arbeid kan gjøres fra kontoret. Posisjoneringsutstyr Frihet til bevegelse.
Dyrt Må gjøres fra båt med spesialutstyr.
Leie (per dag): 40 000- 150 000
5-7
Slepekamera-rigg
Bildekvalitet avhenger av valgt kamera. Kan brukes fra mindre båt, men man trenger vinsj og område for å følge med på video-strømmen. Fortrinnsvis ned til 200 meters dyp. Kan stoppes ved funn. Posisjoneringsutstyr kan påmonteres.
Mangler frihet til å bevege seg, men kan stoppe opp ved interessante funn.
Kjøpe: 20 000 og oppover avhengig av hvor dypt den skal brukes, samt tilleggsutstyr. Leie: Begrenset marked for utleie.
AUV
Dekker større områder på kortere tid.
Dyrt. Vanskelig å legge ruter nær bunnen i kupert terreng
Kjøpe: fra noen hundre tusen og oppover i millionklasse. Leie: begrenset marked for utleie.
Mosaikk. Bredde på mosaikk: 2-5 m
Tabell 2: Skjematisk oversikt over aktuelle instrumenter som kan benyttes til innhenting av bildematerialet.
2.5 - Prisestimat
Utstyrskostnader for ROV varierer og er avhengig av blant annet merkevare, dybderating, og kamera (Tabell 3). Leiepris av ROV-er som egner seg til bruk på grunt vann varierer avhengig av hvem man leier av, og det vil for de fleste være mest naturlig å gå til innkjøp av en slik ROV om man ikke allerede har en, ettersom prisen er såpass lav.
Modell
Pris (ekskl. mva.)
Leiepris (estimat per dag)
Dybderating
Kamera
Lys
Chasing (flere modeller)
36 000– 75 000
1000–2000 NOK
150–200 meter
12 mpx, 4K Sony CMOS + EIS anti-vibrasjon
2x2000 eller 2x4000 lumen ledlys.
Fifish
16 000– 75 000
1000–2000 NOK
100–200 meter
12 mpx, 4K
2x4000 lumen/4x3000 lumen
BluEye
55 000– 250 000 NOK
1450 NOK
150–305 meter
2K
3300 lumen
BlueRobotics
120 000–230 000 NOK
1000–2000 NOK
100–300 meter
1080 HD
4x1500 lumen
Deep Trekker DTG3
Ca. 130 000 NOK
1000–2000 NOK
< 200 m
1080 HD
1000–54000 lumen
Tabell 3: Kostnader og spesifikasjoner for ROV-er som egner seg til bruk på grunt vann (<200 meter).
3 - Bildeanalyse
Størsteparten av undersøkelser og kart over marin forsøpling på havbunnen er basert på tråldata. Dette inkluderer også kartene publisert av European Marine Observation and Data Network (EMODnet) (Galgani mfl., 2022) og ICES (ICES, 2022). I områder som er utilgjengelige for tråling har man brukt annen metodikk, som dykkerundersøkelser, USV-er (Unmanned Surface Vehicles), tauede undervannskameraer (TUC), AUV og ROV (MSFD Technical Group on Marine Litter, 2023). Videre beskrivelse omhandler analyse av video- og bildemateriale fra TUC, AUV eller ROV.
3.1 - Manuell bilde- og videoannotering
Videoanalyse: Programvarene CampodLogger og Seabed Field Observer. Begge programmene er utviklet ved HI, er offentlig tilgjengelige og kan brukes for å ta notater om fauna, bunntyper, tegn på fiskepåvirkning, forekomst av søppel og lokale geologiske havbunnsfunksjoner under videoopptak. Sammen med notatene som gjøres mens transektet gjennomføres registrerer disse programmene også navigasjonsdata (dato, UTC-tid, posisjon) og dybde for båt og videorigg.
Observasjonsbredden på videobildet er normalt 2 – 4 m av havbunnen og brukes sammen med distanse (fra posisjonsdata) til å beregne arealet som dekkes av videotransektene og tettheten (n/ km2) av søppel for videotransekter (se Buhl-Mortensen & Buhl-Mortensen, 2017, 2018 for mer informasjon om metodene).
Søppelenheter bør registreres i kategorier brukt av ICES (ICES, 2022) (Vedlegg 1). Denne standarden er utarbeidet av ICES Working Group of Marine Litter (WGML) og er også brukt av OSPAR som standard for rapportering av søppel på havbunnen.
Beregning av mengde søppel: Rådata fra videoobservasjoner vil kunne være antall observasjoner per videotransekt. Tetthet av ulike søppelkategorier vil bli standardisert etter lengde på hvert videotransekt for å gi antall/100 m havbunnsstrekning og antall/km2. Arealet observert for hvert videotransekt beregnes ved å multiplisere lengden på transektet med gjennomsnittlig bredde av synsfelt. Antall observerte enheter per kvadratkilometer (km2) er en enhet som sikrer sammenlikning både med internasjonale publikasjoner og tidligere arbeid (se Buhl-Mortensen & Buhl-Mortensen, 2017 & 2018).
Ettersom det kun skal undersøkes for makrosøppel ved manuelle undersøkelser, vil dette kunne ta relativt kort tid. Mareano-data, rapportert av Buhl-Mortensen mfl. (2024) viser at det er generelt svært lite søppel på havbunnen på kontinentalsokkelen og andre dype havområder. Disse dataene er basert på registreringer i felt med loggeprogrammet Campodlogger. En kostnadseffektiv tilnærming ville være å kun bruke etteranalyse av videoopptak for å studere usikre observasjoner fra felt, hvor man kan pause opptaker og ta ut stillbilder for å zoome inn på detaljer.
Dersom hele videoer skal annoteres i mer detalj etter tokt kan man beregne kostnader for dette med følgende forutsetninger:
Antar en at videoen i hovedsak vil kunne spilles av i normal hastighet ved analyser, og en kjører i 0,7 knop samtidig som det holdes en distanse til bunn som gir en bredde på 3 meter, vil en kunne se omtrent 0,36 meter i sekundet med film, noe som gir 1,08 m2 observert (3m*0,36m = 1,08m2). Hvis en legger til litt tid til eventuell nærmere undersøkelse av plast, og identifisering, kan man regne med 0,25 meter med transekt i sekundet i snitt, og tilsvarende 0,75 m 2 (3m*0,25m = 0,75m 2 ) per sekund i snitt.
0.25 m/s / 100 m = 400 sekund
400 s / 60 ≈7 minutter
Hvis man tar utgangspunkt i et transekt på 100 meter vil det da ta omtrent 7 minutter. Ved en timespris på 1400 kroner, blir det da omtrent 165 kroner per transekt (på 100 meter), og 1,65 kroner per m2 analysert. Avhengig av hvor kompleks bunnen er, kan det også ta lengre tid å kjøre transektet. For å ta høyde for dette, kan en regne med 10 minutter på 100 meter som et snitt. Noen transekt vil filmes fortere, andre (for eksempel i komplekse korallrev) vil ta lengre tid å filme. Ved 10 minutter per transekt blir det 233 kroner per transekt på 100 meter, og 2,33 kroner per meter analysert. Det vil i tillegg være kostnader knyttet til oppstart og generell drift (notere ned metadata, etc). Man kan derfor legge til 10 minutter i drift per transekt (233 NOK).
Kostnadene for 100-meter blir: (2,33 NOK/m*100 m) + 233 NOK = 466 NOK.
Med en avstand til bunn som gir en 3 meters bredde i videotransektet, blir det da observert 300 m2, til en kostnad av 0,77 NOK/ m2. Vi anbefaler ulike transektlengder i nær kyst og sokkel/offshore, og avhengig av dyp og type overvåkingsområde (havn, fjordbunn, åpent hav og elveutløp. Beregningene i styrkeanalysen (Kap. 5) er gjort basert på MAREANO-data, der lengste transektlengde er 750 meter. Denne lengden anbefales brukt for transekt på sokkel/offshore. I nære kystområder kan det i noen tilfeller være vanskelig å plassere 750 meters transekt. På grunne områder (<100 meter) er tiden det tar for å senke og heve overvåkingsverktøy relativt kort, men det kan i noen tilfeller være vanskelig å plassere 750 meter lange transekt og man må ta flere korte.
3.2 - Bildehåndtering med kunstig intelligens (KI)
En rekke KI-modeller har blitt brukt for å detektere bentisk marin søppel fra AUV-data. Vellykket utvikling av modeller inkluderer Faster RCNN, ResNet, SVM og flere YOLO-versjoner, med gjennomsnittlig presisjon fra 55 % til 83 % (Deng mfl., 2023; Politiokos mfl., 2021; Xue mfl., 2021; Jalil mfl., 2023; Chin mfl., 2022; Bajaj mfl., 2021). Hvor gode modellene blir avhenger av flere ting: Størrelsen på datasettet, variasjonen i treningsdataene, bildekvaliteten og hva slags type søppel som skal kunne detekteres. I grunne områder påvirkes også modellene av forskjeller i lysintensitet; dersom modellen er trent på bilder med mye lys kan det være vanskelig å bruke den på data med lite lys (Chen mfl., 2020). På dette tidspunktet er det YOLO-modellene (innen Ultralytics Python-pakken) som typisk gir de beste resultatene.
Alle anvendte modeller faller innenfor gruppen "nevrale nettverk" innenfor den brede termen "KI". Det er i hovedsak snakk om objektdeteksjon, men det finnes også noen få eksempler på instanssegmentering (Hong mfl., 2020; Đuraš mfl., 2024). Begge disse tilnærmingene identifiserer flere forskjellige søppelobjekter innenfor hvert bilde eller videobilde. Forskjellen er at i objektdeteksjon tegner modellen en firkantet avgrensningsboks tett rundt objekter, mens den i segmentering tegner en polygon nøyaktig rundt objektets avgrensninger. Segmentering gir mer nøyaktig informasjon om et objekt, men tiden som kreves for å merke objekter er betydelig lengre. Det er mulig å trekke ut størrelsesestimater fra begge metodene hvis det filmes i stereo.
For en mest effektiv kartlegging av marint søppel kan man begynne med å bruke eksisterende data for å anslå «hot spots», områder med en forventet høy tetthet av søppel. Man kan også kombinere dette med å modellere sannsynlige hot spots basert på for eksempel tilførselspunkter (elver, havner, byer) og strømmodeller. Modelleringsmetoder som kan brukes er for eksempel «random forests» (Cau mfl., 2024) og mer komplekse CNN-er (Franceschini mfl., 2019). Når man har identifisert områder kan man velge egnet metodikk for datainnsamling. Data som samles inn, kan også brukes til å informere og validere de prediktive modellene.
Ulike typer marin forsøpling er som tidligere nevnt kategorisert i et EU-direktiv av Marine Strategy Framework Directive Technical Group on Marine Litter (Fleet mfl., 2024). Denne listen sammenfatter OSPAR, ICES og andre ledende organisasjoners klassifiseringer, der søppel klassifiseres i henhold til materiale, type og størrelse. Uavhengig av observasjonsmetodikk bør klassifiseringen gjøres i tråd med denne listen, for fremtidig sammenlignbarhet. Dette vil også være en stor fordel mtp. å kunne gjenbruke KI-modeller. Videre kan ekstra kategorier legges til, dersom det anses som relevant for formålet ved overvåkningen.
3.2.1 - Pipeline for bildehåndtering
For kartlegging og KI-analyse av marint søppel på havbunnen foreslås følgende pipeline for video- og bildeanalyse, modifisert fra Politikos mfl. (2023):
1. Datainnsamling. Hensiktsmessig metodikk for innsamling av video- og bildedata velges basert på lokasjon (kystnært, åpent hav) og dyp.
2. Identifisere maskinlærings-oppgaven og valg av modellarkitektur. Oppgaven kan f.eks. være objektdeteksjon og/eller klassifisering. Oppløsning, tilgjengelighet og egnethet av innsamlede data spesifiseres, slik at man er sikker på at dataene er gode nok til å gjennomføre oppgaven.
3. Forprosessering av data. Dette kan for eksempel inkludere beskjæring av bilder, som å fjerne synlige deler av kamerariggen, og øke kontrasten eller lysstyrken (Bancud mfl., 2023; Singh mfl., 2023).
4. Annotering av data. Objekter identifiseres og annoteres. Dette er en vesentlig del av prosessen, der modellens kvalitet er direkte avhengig av nøyaktigheten i annoteringen (Paullada mfl., 2021). Kategoriene bør settes i begynnelsen og dataene annoteres deretter. Utviklingen av hjelpemidler for annotering av data går raskt. Ett eksempel er KI-modellen “Segment Anything” (Meta AI, 2023). Det finnes ferdig annoterte datasett på bilder av søppel på havbunnen som er åpent tilgjengelige og kan brukes til å trene nye modeller (Eksempel: TrashCan 1.0, Hong mfl., 2020), men disse kan være av varierende kvalitet og det er sannsynlig at man også må benytte eget materiale for å sikre representativitet av plastobjekter og bakgrunn/miljø.
5. Datasettet deles opp i trening-, test- og valideringssett. Det må sikres at det ikke er overlapp mellom annoteringene som er tilordnet hvert deldatasett, slik at modellen trenes, testes og valideres på ulike data. Valideringssettet brukes til å kontinuerlig evaluere hvor godt modellen yter. Testsettet kan brukes i ettertid for å teste modellen på nye data.
6. Dataforstørrelse. Ved å gjøre små og varierte endringer i allerede innsamlet data kan man øke datamengden og i sin tur redusere overtilpasning i modellen. Dette vil si at samme bilde legges inn flere ganger, men med enkelte endringer, slik at de er litt forskjellige. Eksempler på endringer er å gjøre fordreininger, speilvende eller vri bildet. Man kan også endre bakgrunnen. Det anbefales å evaluere effekten av dette på hver klasse (Bhalla mfl., 2024).
7. Modelltrening og finjustering av hyperparametere. Finjustering av parameterne optimaliserer treningen av modellen ved å blant annet justere hvor sensitiv modellen er til ulike egenskaper i dataene. Det innebærer også å tilpasse hvor mange ganger modellen går over dataene, der den evaluerer og justerer seg selv for hver runde.
8. Evaluering og gjentakelse. Modellen evalueres. Som et minimum vurderer man modellens presisjon og andel «True positives». Dette bør gjøres individuelt for hver klasse, og man bør også vurdere snittet for alle klasser sett under ett.
3.2.2 - Kostnadsestimat
Kostnaden for bildehåndtering med KI er størst i begynnelsen, når modellen skal utvikles og trenes mot akseptabel presisjon. Når modellen er klar til bruk vil driftskostnadene for videoanalyse være lave, og omfatter kun kostnader til servere og CPU-timer (prosessering). Ved oppstart av utvikling av modellen kan det være nyttig å kontakte forfattere av forskningsartikler på gjenkjenning av marint søppel på havbunnen (se eksempler i kapittel 4.2). Man kan spørre om tilgang til bildemateriale med tilhørende annotering av søppel, hvilket kan gi et forsprang i egen modellutvikling. Dette kan for eksempel hjelpe å detektere søppel i eget bildemateriale, som da kan kontrolleres og plasseres i rett kategori. Man kan også spørre om tilgang til modellen, men dersom man skulle få tilgang til denne må man fortsatt i mange tilfeller beregne en del tid til formatering av data. Det vil variere om det lønner seg å jobbe videre på en allerede eksisterende modell trent på annen data eller om det lønner seg å lage en ny fra start. Faktorer som påvirker dette er blant annet hvordan bildene ser ut, for eksempel om bakgrunnen er lik, om bildene er tatt på samme måte (for eksempel ROV vs. dropkamera) og om bildene har like god bildekvalitet.
Hvor lang tid det tar å oppnå en KI-modell med god nok presisjon vil variere med typen data som skal detekteres. I tilfellet søppel vil modellen måte lære seg å gjenkjenne objekter med stor variasjon i form, farge og størrelse. Hastigheten i utvikling av nye modeller og metodikk for raskere trening av modeller (som «Segment Anything» nevnt over) går fort og vil sannsynligvis fortsette med det. Det kan derfor hende at tidsrammen vil bli lavere med tid. Det anslås at det bør settes av rundt 800 timer til utvikling av en KI-modell for bildegjenkjenning av søppel, fra oppstart til ferdig produkt. Kostnadsestimatet havner da på 800 t x 1400 NOK/t = 1.120.000 NOK. Merk at det er usikkerhet knyttet til dette estimatet, da det er vanskelig å anslå nøyaktig tidsbehov.
Estimering av kostnader for feltundersøkelser er et komplisert regnestykke og forbundet med usikkerhet. Det er gjort noen estimater i utregningene, og priser vil variere avhengig av hvor langt det er til stasjonene, hvor langt det er for innleide konsulenter samt ROV-tjenester å reise, med mer. Det er allikevel gjort et forsøk på å gi et innblikk i kostnadene i tabellen under (Tabell 4). Ekstern leiepris for relativt liten båt og ROV i kyst på dyp grunnere enn 300 m er estimert til 50 000,- per døgn. Kostnader for egnet skip for kyst og fjord for områder dypere enn 300 m er estimert til 75.000 per døgn. Pris for havgående skip inkludert ROV el. ligger på rundt 300 000,- per døgn inkludert drivstoff i 2025.
<300 m dyp
>300m dyp
Sum
Kostnader (kr)
Ambisjonsnivå
Transekt
Døgn
Transekt
Døgn
Transit døgn
Transekt
Døgn
Båt-leie
Bemanning
/reise
Total
Minimumsløsning
Kyst
30
3
25
2
3
55
8
525 000
308 000
833 000
Hav
20
2
35
3
6
55
11
4 400 000
812 000
5 212 000
Total
50
5
60
5
9
110
19
4 925 000
1 120 000
6 045 000
Mellomløsning
Kyst
30
3
25
2
3
55
8
525 000
308 000
833 000
Hav
20
2
35
3
6
55
11
4 400 000
812 000
5 212 000
Sårbare naturtyper kyst
10
1
15
1
-
25
2
150 000
92 000
242 000
Sårbare naturtyper hav
15
1
15
2
-
30
3
924 000
236 000
1 160 000
Total
75
7
90
8
165
15
5 999 000
1 448 000
7 447 000
Fullskala løsning
Kyst
110
8
55
3
3
165
14
850 000
524 000
1 374 000
Hav
60
4
105
7
6
165
17
6 800 000
1 244 000
8 044 000
Sårbare naturtyper kyst
10
1
15
1
-
25
2
150 000
92 000
242 000
Sårbare naturtyper hav
15
1
15
2
-
30
3
924 000
236 000
1 160 000
Total
195
14
190
13
36
385
27
8 724 000
2 096 000
10 820 000
Tabell 4. Beregnet tidsbruk og kostnader for feltarbeid for de tre overvåkings-strategiene. Beregningene er gjort separat for grunne (<300 m dyp) og dypere (>300 m) lokaliteter. Det er brukt båtleiesats 50 000 kr per døgn for lokalieter <300 m i kyst, 75 000 kr <300 m i kyst, og 400 000 kr per døgn for hav-lokaliteter. Disse satsene er inklusiv leie av ROV el. Bemanning og reise er spesifisert med normal tokttillegg lagt til.
4 - Kunnskapsoppsummering: Fordeling av søppel påhavbunnen i norske havområder
4.1 - Observasjoner på kysten
Havforskningsinstituttet, Norges geologiske undersøkelse (NGU) og Kartverket samarbeidet i prosjektet «Marine grunnkart» om å lage detaljerte grunnkart i kystsonen. Ved bruk av flere hydrografiske modeller, grabbprøvetaking og multibeam-sonar, samt innsamling av video ved bruk av droppkamera og ROV, har bunnforhold (batymetri og sedimenttyper), biologi og søppel blitt kartlagt i kystsonen. Hittil er deler av Ryfylke, deler av Møre og Romsdal, og deler av Troms blitt kartlagt.
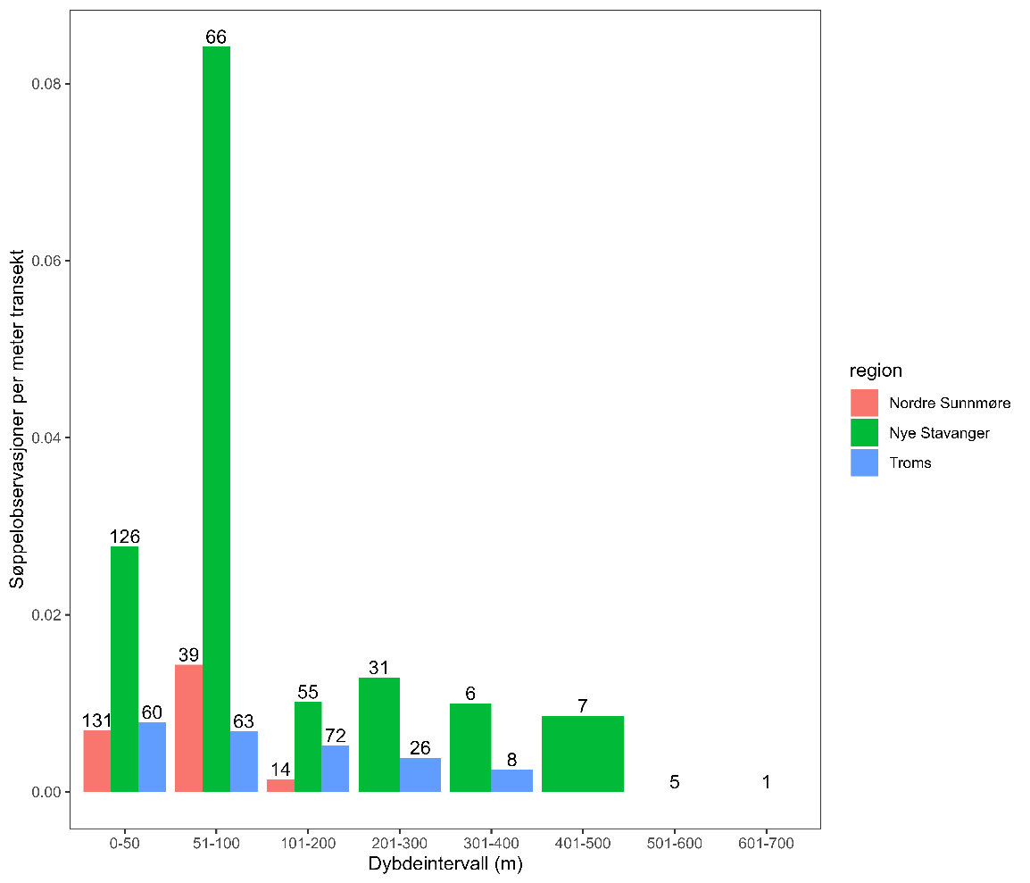
Fra Ålesund og Giske viser kartleggingen at søppelet er mest hyppig forekommende innaskjærs, på innsiden av Nordøyene og de fleste transektene i nordlig del av Breisundet, samt nær Ålesund, inneholdt søppel (Figur 3). I Nord-Troms kan man se at det er mange transekter med observert søppel rundt fiskeritunge Skjervøy – og færre transekt med søppel med økende avstand til Skjervøy og sundene rundt (Figur 4). I Stavanger er det observert de største konsentrasjonene av søppel rundt Stavanger sentrum (Figur 5). Ellers er det også flere transekter med observasjoner av søppel mellom øyene vest for Ombo.
I områdene kartlagt av Marine grunnkart er det flest søppelbiter per meter undersøkt mellom 50 og 100 meter, og generelt mest søppel observert per meter i Stavanger (Figur 6).
Figur 3: Videotransekter med og uten observert søppel i Marine grunnkart-undersøkelser i Ålesund og Giske. Data hentet fra GeoNorge.
Figur 4: Videotransekter med og uten observert søppel i Marine grunnkart-undersøkelser i Nord-Troms. Data hentet fra GeoNorge.
Figur 5: Videotransekter med og uten observert søppel i Marine grunnkart-undersøkelser i Stavanger og deler av Ryfylkefjordene. Data hentet fra GeoNorge.
Figur 6: Mengden søppelobservasjoner per meter inndelt i dybdeintervall for de tre regionene Nordre Sunnmøre, Stavanger og Nord-Troms. Tallene på toppen av stolpene viser til antall transekt kjørt i hvert dybdeintervall i hver region. Data hentet fra GeoNorge.
4.1.1 - Søppel nær elvemunninger
For å få kunnskap om søppeltyper og -mengder som transporteres fra elver ut i havet, ble det i 2022 kartlagt søppel på havbunn utenfor det tre elvene Uskedalselva, Storelva (Omvikdalen) og Rosendalselva i Hardanger (Buhl-Mortensen 2023). Kartleggingen var et samarbeidsprosjekt mellom Havforskningsinstituttet og Bergen og Omland Friluftsråd. De tre elvene går i hovedsak gjennom jordbruksområder. En del registrering av søppeltransport i elvene er blitt foretatt (NORCE 2020), og enkelte steder er det rapportert 10 plastfragmenter per 100 meter elvestrekning.
Fjorten lokaliteter ble lagt ut på tvers av og med ulik avstand til elvemunningene og land, og 11 av disse ble kartlagt. På hver lokalitet ble en ROV-linje på ca. 300 meters lengde gjennomført (totalt 13 transekter). Posisjonene for videolinjene og mengde søppel er angitt i figur 7 og tabell 5.
Observerte søppelmengder
Totalt ble 214 søppelenheter registrert, og mengden og typer av søppel som ble observert og foto som viser eksempel på observert søppel, kan ses i (Tabell 6 og 7, og figur 8). Den største mengde søppel som ble registrert langs et transekt var 77 søppelenheter, dette tilsvarer 230 enheter på 1000 m2 eller 230 000 enheter per km2.
Figur 7: Øverst, et dybderelieff-kart som viser de 14 planlagte ROV-lokalitetene (rød stjerne), elver og bebyggelse. Under vises plassering av de ROV-linjene som ble gjennomført med numrene (1-11) på, røde kryss markerer de som ikke ble besøkt. Detaljer er gitt tabell 5-7. Hentet fra Buhl-Mortensen, 2023.
Nærmest elvemunningen (sone 1) avsettes blader og grener, mens store søppelmengder ble observert lengre fra land på 24–77 meters dyp utenfor elvemunningen i sone 2 og 3 (se tabell 6 – 7 ). Den observerte søppeltettheten fra 30 000 til 230 000 søppelenheter per km2 er både nasjonalt og internasjonale meget høy. I europeisk sammenheng er en tetthet som overskrider 2000 søppelenheter per km2 definert som høy grad av forsøpling (Pham mfl. 2014).
På den bakgrunn er det dokumentert høy grad av forsøpling på alle de gjennomførte videolinjene, og de største forekomstene skyldtes plastbiter (fragmenter på ca. 10–20 cm i lengde) som ser ut å stamme fra plast som benyttes rundt høyballer.
Studiet viser at elvene i betydelig grad tilfører plast til fjorden, men at mye havner på bunnen tett på elvemunningen. De høye tallene er representative for sonen utenfor elvene og kan ikke betraktes som generelle verdier for større områder i fjorden utenfor
Tabell 5: Oversikt over stasjoner utenfor tre elver i Hardangerfjorden som ble besøkt med ROV i 2022. Tabellen inneholder posisjon, dyp, lengde på videolinje og observert søppel angitt som enheter observert og beregnet til antall per km2. Beregningen tar utgangspunkt i 300 m videolinje med 1 m observasjonsbredde i gjennomsnitt.
Tabell 6. Oversikt over stasjoner som ble besøkt med ROV 15. september 2022 sammen med opplysning om dyp, bunnforhold, antall og type søppel observert.
Sone
Lokalitet
Video
Dyp
Søppel
Søppel
linje
(m)
enheter
km2
Rosendal
1-1 & 1-3
14-40
13
39000
1
Uskedal
4
0,4-17
2
6000
Lundsvika
8
15-9
2
6000
2-13
17000
Rosendal
2
53-32
10
30000
2
Uskedal
5
24-56
24
72000
Storelva
9
31-37
30
90000
10-30
64000
Rosendal
3
77-40
14
42000
3
Uskedal
6
57-55
26
78000
Lundsvika
10
50-44
77
230000
14-77
116667
4
Dyp basseng
7
203-205
12
36000
Dyp basseng
11
161-164
4
12000
4-12
24000
Tabell 7: Oversikt over søppeltetthet som antall observert og antall per km2 på ulik avstand fra elvemunning. 1: på grunt vann rett utenfor elven, 2 og 3 lenger ut og parallelt med elveosen og 4 i dypbassenget i fjorden utenfor (se også kart i figur 7). Tall i fet stil angir gjennomsnitts verdi.
Figur 8: Eksempler på observert søppel på ulik avstand fra elveosen i Lundsvika. Innerst mot elven (st. 8) var det lite søppel, på bildet ser man en blomsterkasse. Lenger ut på dypere vann st. 9 var det en hel del hvit landbruksrelatert plastemballasje. Ytterst på st. 10 var plastbiter fra landbruksrelatert plastemballasje veldig vanlig. Hentet fra Buhl-Mortensen, 2023.
4.1.2 - Søppel på havbunn ved strand med mye søppel
I internasjonale publikasjoner om havsøppel estimerer man at 70–80 % av alt søppel i havet ligger på bunnen. For å svare på spørsmålet: Er det mye søppel på bunn i områder med store mengder strand-søppel? kartla Havforskningsinstituttet i 2018, i samarbeid med Bergen og Omland Fritidsråd, forekomst av søppel på havbunn i et område rundt Tysnes med finansiering fra Miljødirektoratet (Buhl-Mortensen & Buhl-Mortensen, 2023).
Området ble valgt siden modellert transport av søppel indikerer store tilførsel av søppel (Figur 9), videre har strandrydding i området dokumentert mye plast og annet søppel som sannsynligvis har hopet seg opp over lang tid (Figur 10).
Søppel på bunnen ble kartlagt med båt og ROV leiet av Njord Aqua, og totalt ble 11 dykk utført på 10 lokaliteter (Figur 11). På hver stasjon ble et 500 m langt transekt filmet som dekket et areal tilsvarende ca. 1000 m2. De besøkte lokalitetene var plassert rett ut forbi områder hvor mye søppel er blitt observert på land, opplysning om posisjon, dyp og observert søppel er presentert i tabell 8 og figur 12 viser kart med posisjon.
Figur 9: Røde punkter er områder med stor sannsynlighet for stranding av søppel, basert på kjøring av Havstrømsmodellen (J. Albretsen Havforskningsinstituttet). Hentet fra Buhl-Mortensen & Buhl-Mortensen, 2023.
Figur 10: Strandrydding har vist at det finnes mye plast og annet søppel på strender i området som sannsynlig har hopet seg opp over lang tid (Foto: B.E. Grøsvik, Havforskningsinstituttet). Hentet fra Buhl-Mortensen & Buhl-Mortensen, 2023.
Studiet viser svært lav forekomst av søppel på havbunn. 11 søppelenheter ble registrert, hvorav 6 på en stasjon nær en kai. Kun på 4 av 11 transekter (36 %) ble søppel observert. I en tidligere studie av bunnsamfunn i Hardangerfjorden (Buhl-Mortensen & Buhl-Mortensen, 2014) fant man søppel på 49 % av 38 undersøkte lokaliteter, men aldri i store konsentrasjoner. Plast utgjorde en liten andel av søppelet.
Resultatene fra dette studiet viser at det ikke er samsvar mellom mengden plast og søppel som føres opp på land i et område, og forsøplingen av havbunnen i nærheten. Med forbehold om at dette er en meget begrenset pilot-studie, vil vi likevel konkludere at: det er en lett type plastikk og søppel som transporteres i øvre vannlag og som havner på land, mens søppel man finner på havbunn, er av en annen og tyngre type og tilføres fra andre kilder og ad andre veier.
Figur 11: Kartene viser de 10 lokalitetene som ble kartlagt, vist med rød trekant, stasjonen med grønn trekant måtte avbrytes grunnet sterk vind. Planlagte stasjoner som ikke ble besøkt er markert med hvit trekant. Blå trekanter er lokaliteter som ble kartlagt av Epigraph-prosjektet (Buhl-Mortensen & Buhl-Mortensen, 2014).
Tabell 8: Oversikt over stasjoner som ble besøkt sammen med opplysning om posisjon, dyp og observert søppel.
Stasjon
Dato
Start kl.
Varighet
Dyp (m)
Bunnforhold
Søppel antall
Søppel-type
Kommentar
1HFa
27.11.
12:22
00:28
102-131
Fjell
1HFb
27.11.
12:57
00:49
105-129
Mudder
2HF
27.11.
14:13
00:21
180-182
Mudder
Kabel kuttet, men ROV berget
3BN
27.11.
15:20
00:30
56-65
Mudder
3
Hanske, Line (nylon), Søppel
4MV
27.11.
16:38
00:10
13-36
Grusig mudder m stein
1
Flaske
5TS
28.11.
10:04
00:17
12-35
Fjell, Grusig mudder m stein
6TM
28.11.
10:57
00:29
75-87
Fjell, Mudder
1
Plast
Ett stk søppel (plastslange kom opp med ROV)
7AA
28.11.
-
-
-
-
Avbrudt pga problemer med dybdemåler og økende vind
7TVH
28.11.
13:30
00:26
27-52
Mudder
8TK
28.11.
14:48
00:23
20-64
Fjell, Grusig mudder m stein
9BV
28.11.
15:43
00:22
11-76
Fjell, Mudder, Stein
10EV
28.11.
16:43
00:24
10-61
Fjell, Mudder
6
jern, kjetting, line, strips, tønnering, wire m jernting
Figur 12: Posisjon for de 11 gjennomførte video-transektene rundt Ånuglo, Vestland.
4.1.3 - Samlet konklusjon om søppelfordeling i kyst
Søppelet er mest hyppig forekommende innaskjærs. Det er mange transekter med observert søppel rundt fiskeritunge Skjervøy. Det er størst konsentrasjonene av søppel rundt byer og i tettbebygd kyst. Det er flest søppelenheter per meter mellom 50 og 100 meters dyp.
Ved elvemunninger er store søppelmengder observert et stykke fra land (50 – 100 meter) på 24–77 meters dyp. Tettheten av søppel er målt til 30 000 – 230 000 søppel enheter per km 2 . I jordbruksområder er jordbruksrelatert plast den vanligste søppeltypen. De høye søppeltetthetene som er observert i sonen utenfor elvene kan ikke betraktes som generelle verdier for større områder i fjorden utenfor, men viser at elvene i betydelig grad tilfører plast til fjorden, men at mye havner på bunnen tett på elvemunningen.
I områder hvor mye søppel er blitt observert på land, finner man ikke tilsvarende store mengder på havbunn. Det er en annen type lett søppel som havner på land enn den man normalt observerer på havbunn som er av en tyngre type som tilføres fra andre kilder og via andre veier.
4.2 - Observasjoner fra åpent hav
I åpne havområder er Mareano-programmet den kartleggingsaktiviteten som har mest data på forekomst av søppel på havbunn og som dekker størst område. Mareano kartlegger havbunnen med fokus på: dybdeforhold, biomangfold, biotoper, sediment sammensetning, miljøgifter og spor etter menneskelig påvirkning. Kartleggingen er ikke-destruktiv, da den skjer ved hjelp av videoanalyse. Sporene etter menneskelig påvirkning inkluderer forekomst av trålspor og søppel på havbunnen, inklusiv tapte fiskeredskaper. Plastfunnene er kategorisert, så langt det har latt seg gjøre, etter relevante protokoller (OSPAR- og ICES-protokoller) slik at observasjonene kan sammenlignes med andre resultater, som for eksempel strandsøppel. Mareano har registrert observert søppel siden kartleggingen startet i 2006 og en oversikt over data frem til høsten 2023 er presentert i rapport (Buhl-Mortensen mfl., 2024). Totalt omfattet dette materialet 3421 videotransekter hvor hvert videotransekt dekker en lengde på 700 m (frem til 2017) eller 200 m (etter 2017).
4.2.1 - Generell fordeling i norske havområder
De fleste lokalitetene som Mareano har undersøkt, har ingen søppelforekomst, og totalt er det observert søppel på 18,9 % av alle de 3421 videotransektene som dette kartleggingsprogrammet har undersøkt (Tabell 8), plast ble observert på 8,9 % av alle lokalitetene. 1,8 % av alle lokaliteter har høy tetthet av søppel sammenliknet med en grenseverdi (>2000 enheter/km2) foreslått av Pham mfl. (2014) som sammenliknet søppelforekomster i EU. Søppelmengden avtar generelt mot nord og med avstand fra kysten (Buhl-Mortensen mfl. 2024). Tettheten av plastavfall øker med dybden ned til rundt 600 m og er høyest i marine daler og gjel (innskjæring med bratte skråninger). Fiskerirelatert plast utgjør en betydelig del av funnene.
4.2.2 - Observasjoner av alle kategorier søppel
Antall og typer søppel varierer med dyp (Figur 13). Det synes en økning tetthet av søppel mot 600 meter. Lokalitetene med størst søppeltetthet forekommer grunnere enn ca. 700 m. Rådata er også tilgjengelig via GeoNorge.
Antall video-transekter
Andel (%)
Totalt
3421
100
Uten søppel
2777
81,2
Med søppel
644
18,8
Lav tetthet (<1000 obs)
409
11,9
Moderat tetthet (1000-2000 obs)
172
5,0
Høy tetthet (>2000 obs)
63
1,8
Med plast-søppel
303
8,9
Med fiskeri-relatert søppel
337
9,9
Tabell 9. Antall og andel (%) av video-transekter med søppel i forhold til type og mengde kategori. Hentet fra Buhl-Mortensen mfl., 2024.
Figur 13: Gjennomsnittlig antall observerte enheter av ulike hovedkategorier av søppel per km2 for 100-m dybdeintervaller. Hentet fra Buhl-Mortensen mfl., 2024.
Andel av videotransekter med søppel minker mot nord (Tabell 9). Mengden søppel der hvor det blir observert er ganske lik for de nordligste områdene (> 75°N) sammenliknet med områder utenfor Midt-Norge (65 – 70°N) (Tabell 10). Mengde søppel avtar sterkt med avstand til kysten, men trenden er ikke like sterk for fiskerirelatert søppel. Også tettheten av plast minker med avstand fra kysten (Buhl-Mortensen mfl., 2024).
Breddegrad (°N)
Tot antall video-transekter
Videotransekter med søppel
%
Snitt/obs
<60
272
20
7.4
1954
60-65
592
75
12.7
1068
65-70
908
106
11.7
968
70-75
920
120
13.0
635
>75
729
16
2.2
837
Tabell 10: Antall og andel (%) av alle video-transekter med fiskerirelatert søppel i forhold til breddegrad og gjennomsnittlig antall søppelenheter for lokaliteter hvor søppel ble observert (Snitt/obs). Hentet fra Buhl-Mortensen mfl., 2024.
4.2.3 - Plastsøppel
“ Plast ble observert på 8,9 % av alle lokalitetene. Syntetisk tau utgjør størstedelen (36 %) av antallet observerte søppelenheter. Fiskerirelatert plast (fiskegarn, syntetisk tau, gummihansker og annet fiskerirelatert plast) utgjør til sammen 64 % av alle observasjoner av plastsøppel” (Buhl-Mortensen mfl., 2024) .
“Gjennomsnittlig tetthet av plastsøppel i 100-m dybdeintervaller øker ned til rundt 600 m dyp. Det er spesielt kategoriene folieplast, plastposer og annen uidentifisert plast som utgjør denne økningen. Størst mengde plast er observert fra 400–1000 meter. Den største andelen av dette søppelet stammer fra fiskeriene (syntetisk tau, fiskegarn, og annen fiskerirelatert plast). Fiskegarn utgjør en stor del av plastsøppel sammen med syntetiske tau” (Buhl-Mortensen mfl., 2024) .
Tettheten av søppel varierer med type marint landskap (Figur 14). Den er lavest på marine flater og kontinentalsokkelen, og høyest i marine daler og gjel i tillegg til andre kystnære landskap.
Se rapporten «Plastsøppel på havbunnen kartlagt av Mareano» (Buhl-Mortensen mfl., 2024) for flere detaljer om transekt og funn.
Figur 14. Gjennomsnittlig mengde søppel i ulike marine landskap (landskapskategorier er hentet fra karttjenesten på Mareano.no). Hentet fra Buhl-Mortensen mfl., 2024.
4.2.4 - Geografisk fordeling av søppel
Tettheten av ulike søppeltyper og plast vises i figur 15. Detaljerte kart for ulike områder vises best i interaktive kartløsninger hvor man kan zoome inn på mindre områder (mareano.no).
Figur 15. Antall søppelenheter per km2. Øverste figur: alle søppelkategorier. Nederste fugur: observasjoner av plast søppel til høyre. Hentet fra Buhl-Mortensen mfl., 2024.
4.2.5 - Nordsjøen og Skagerrak
4.2.5.1 - Mareano-observasjoner
Mareano er i gang med kartlegging i Nordsjøen, og registrering av søppelenheter er tilgjengelige via karttjenesten på Mareano.no. Generelt er det mere søppel i de dype indre deler av Norskerenna hvor plast samles opp enn i de kystnære områdene hvor tyngre søppel som glass og metall utgjør mesteparten (Figur 16). Norskerenna er indentifisert som en SVO, spesielt på grunn av høy tetthet av sjøfjær.
Figur 16. Fordeling av søppel på havbunnen i Nordsjøen registrert i felt av kartleggingsprogrammet Mareano (www.mareano .no). Grønne områder indikerer særlig verdifulle og sårbare områder (SVO) definert av faglig forum (Eriksen m fl. 2021).
4.2.5.2 - Bifangst data fra rekebestandsovervåking i Skagerrak
Havforskningsinstituttet registrerer forekomst av søppel i trålhal fra den årlige bestandsovervåkingen av reker i Skagerrak og Norskerenna i 2024 (Figur 17). På de fleste trålstasjonene finner man ikke søppel og dersom det blir registrert er som oftest er det 1–3 enheter per trål. Garn, nylon tråd og line utgjør mesteparten av bifangsten av søppel som derfor mest sannsynlig er fiskerirelatert. Rapporterte data er publisert i toktrapport fra Havforskningsinstituttet (G Søvik mfl., 2024). Her finnes detaljer om lokasjon, samt antall og type søppelbiter.
Figur 17. Kartet viser forekomst og mengde søppel registrert i trål fra rekebestandsovervåkingen gjennomført i 2024, kilde: Søvik m. fl. 2024).
4.2.6 - Norskehavet
4.2.6.1 - Mareano-observasjoner
I Norskehavet har Mareano så langt hovedsakelig kartlagt områder knyttet til SVO-områder over 12 nautiske mil fra land (figur 18). Registrering av søppelenheter er tilgjengelige via karttjenesten på Mareano.no. Generelt er det mer søppel i de lokale fordypninger (trau, renner og gjel) og til aktive fiskeområder. Mesteparten av søppelet kan knyttes til fiskeriaktivitet.
Figur 18. Fordeling av søppel på havbunnen i Norskehavet registrert i felt av kartleggingsprogrammet Mareano (www.mareano .no). Grønne områder indikerer særlig verdifulle og sårbare områder (SVO) definert av faglig forum (Eriksen m fl. 2021).
4.2.7 - Barentshavet
4.2.7.1 - Mareano-observasjoner
I Barentshavet har Mareano kartlagt områder utenfor 12 nautiske mil fra Fastlands-Norge, mens på Svalbard er også to fjorder kartlagt (Figur 19). Generelt er mengden søppel lavere i de nordlige områdene, og de høyeste mengdene finnes i lokale fordypninger (trau, renner og gjel) og i aktive fiskeområder. Mesteparten av søppelet kan knyttes til fiskeriaktivitet. To områder som peker seg ut med relativ høy tetthet er Bleiksdjupet og Hola. Bleiksdjupet er et marint gjel (canyon på engelsk) utenfor Andøya, mens Hola er et bredt trau som krysser kontinentalsokkelen utenfor Vesterålen.
Figur 19. Fordeling av søppel på havbunnen i Barentshavet registrert i felt av kartleggingsprogrammet Mareano (www.mareano .no). Grønne områder indikerer særlig verdifulle og sårbare områder (SVO) definert av faglig forum (Eriksen m fl. 2021).
4.2.7.2 - Registrering av søppel som bifangst fra økosystemtoktet i Barentshavet
Siden 2010 har søppel blitt registrert som del av det norsk-russiske økosystemtoktet i Barentshavet. Det er blitt registrert søppel som bifangst i bunntrål, i pelagisk trå og søppel som flyter i overflaten (Grøsvik mfl., 2018, Eriksen mfl., 2018).
Nettverket av stasjoner dekket av det norsk-russiske økosystemtoktet i Barentshavet er gjennomført årlig siden 2010, med ca. 35 nm avstand mellom stasjonene. Data er sammenlignbare mellom skip og år, siden alle skip bruker standard tråler og tråleprosedyrer. Kategorier for søppelregistreringer har vært i forhold til materialtyper og om de er fiskerirelatert eller ikke. Fra 2023 er protokoll for ICES arbeidsgruppe for marine forsøpling blitt tatt i bruk fra norsk side (ICES 2022) (Vedlegg 1). Registreringer av plast i perioden 2010 til 2016 er vist i Figur 20.
For økosystemtoktene i Barentshavet blir resultatene publisert i årlig i de norsk-russiske toktrapportene f.eks. Prozorkhevich mfl., 2024. Norske data fra toktene kan rapporteres til OSPAR. Fra 2023 ble protokoll fra ICES WGML benyttet. Tilsvarende data fra Nordsjøen blir rapportert inn til ICES (ICES International bottom trawl surveys). Data gir informasjon om oppsamlingsområder og kilder, for eksempel andel som er fiskerirelatert.
Figur 20. Plast som bifangst fra bunntrål fra økosystemtoktet i Barentshavet fra 2010 til 2016. Data fra Grøsvik m.fl., 2018.
4.3 - Kilder til søppel på havbunn
4.3.1 - Fordeling av fiskerirelatert søppel fra Fiskeridirektoratet
I perioden 1983 – 2022 er det totalt tatt opp ca. 25000 garn samt betydelige mengder andre typer redskap av Fiskeridirektoratet (Tabell 11, se rapport “Opprensking av tapte fiskeredskaper/Retrieval of lost fishing gear”, av Langedal & Skaar, 2023). Fra 2010 ble det også rettet fokus mot teiner, hvor det siste fem år er tatt opp ca. 4400 teiner. Data fra Fiskeridirektoratets opprenskingstokt gir nyttig informasjon om kilder til og opphopingssteder for fiskerirelatert søppel.
Grunnpilaren i informasjonsgrunnlaget er krav om melding av tapte fiskeredskaper til Kystvakten dersom ikke egen gjenfinning lykkes. Dette er nærmere beskrevet i § 69 i høstingsforskriften. Fra 2022 ble mulighet for manuell rapportering tatt bort og overført til en løsning med elektronisk rapporteringsformat gjennom Barentswatch/FiskInfo (BarentsWatch, 2015) . For å sikre at flest mulig blir påminnet rapporteringskravet og samtidig varsling om tidsperiode for gjennomføring av opprenskingstoktet, annonseres dette i relevant fiskeripresse ved oppstart.
Data fra Fiskeridirektoratets opprenskingstokt er hovedsakelig konsentrert nord for 62 grader, hvor det er funnet store mengder tapte fiskeredskaper (Figur 21).
Figur 21. Data fra opprenskingstoktet til Fiskeridirektoratet fra 2017 – 2024. Gule symboler er stasjoner med funn. Orange symboler viser forekomst av korallrev. Figur hentet fra Langedal og Skaar, 2023.
En oversikt hentet fra BarentsWatch hvor yrkesfiskere rapporterer tapte redskap, viser også en lignende fordeling av tapte redskap som ses i opprenskingstoktene, og når en ser på nasjonal fiskeriaktivitet, stemmer dette også godt overens med hvor en finner tapte redskap (Figur 22).
Data fra innmeldte tapte fiskeredskap fra fritidsfiskere langs kysten og i fjorder viser på den andre siden flere tap av fiskeredskaper knyttet til fritidsfiske sør for Trøndelag, enn nord for Trøndelag (Figur 23). Opprenskingsaktivitet fra dykkeklubber og andre aktører er også mer konsentrert sør for Trøndelag.
Figur 22. Oversikt over fiskeriaktivitet nasjonalt (venstre), og oversikt over innrapporterte tapte redskap i Barentswatch (høyre). Data hentet fra Fiskeridirektoratet gjennom Fiskeridirektoratets kartløsninger (Fiskeridirektoratet, 2017), og BarentsWatch (BarentsWatch, 2015).
Figur 23. Fordeling av innmeldte tapte redskaper fra fritidsfiskere fra 2013-2024 (venstre). Fordeling av innmeldte funn av tapte redskaper fra 2013-2024 (høyre). Data hentet fra Fiskeridirektoratets oversikt over tapte og funne redskap (Fiskeridirektoratet, 2017).
År
Garn (stk)
Teiner (stk)
Liner (m)
Wire (m)
Tauverk (m)
Trål/not (kvm)
Anker/dregg (stk)
Bøyer/føagg (stk)
2019
820
1242
23700
800
56700
500
28
19
2020
681
2669
38800
4745
133800
210
66
46
2021
1000
82
78000
4700
15000
136
46
29
2022
1128
204
25200
8540
68100
125
40
39
2023
1339
229
42000
8000
30000
250
41
30
Siste 5 år
4968
4426
207700
26785
303600
1221
221
163
Tabell 11. Resultater fra de siste 5 årene med opprenskingstoktet på fiskerifeltene langs kysten (Hentet fra rapporten “Opprensking av tapte fiskeredskaper/Retrieval of lost fishing gear”, av Fiskeridirektoratet ved Langedal & Skaar, 2023).
4.3.2 - Spøkelsesfiske: Tapte fiskeredskaper i kystnære strøk
Det er per i dag ingen estimater på totalt antall tapt fiskeredskap langs norskekysten, men man har mer kunnskap i enkelte områder. Det er gjort et foreløpig estimat for Raet Nasjonalpark som tilsier 10 292 (95 % konfidensintervall: 4 749 – 18 023) spøkelsesredskaper grunnere enn 90 meter (188 km 2) (Kleiven mfl., 2021). Tettheten av redskap var høyest i intervallet 30-60 m, sammenlignet med 0-30 m og 60 – 90 m. Beregningene baserer seg på gjennomsøking med ROV av tilfeldig valgte polygoner i Raet Nasjonalpark. Tilstedeværelse av spøkelsesredskaper er ellers observert i betydelig omfang langs hele kysten av Sør-Norge. Redskap tatt opp i prosjektene “Tiltak mot spøkelsesfiske i Raet Nasjonalpark” (Kleiven mfl., 2021), Tiltak mot spøkelsesfiske i marine nasjonalparker” (Thorbjørnsen mfl., 2023a) og “Tiltak mot spøkelsesfiske i Sør-Norge” (pågående prosjekt), kan ses i kartløsningen på teinevett.no (Figur 24) (Havforskningsinstituttet, 2022). Man kan også se en oversikt over tapt og funnet redskap i kart hos Fiskeridirektoratet (Fiskeridirektoratet, 2017). Tapte redskap er i hovedsak meldt inn av fritidsfiskere. Alle kan melde inn funnet redskap til Fiskeridirektoratet gjennom appen “Fritidsfiske”, og frivillige dykkere fra landets dykkerklubber utgjør en stor del av dem som melder inn. Analyse av redskapsfunn fra appen mellom 2015 og 2020 viser at redskap ble tatt opp på 0 – 200 meters dyp med et gjennomsnitt på 22,4 m ± 14,5 m standardavvik (Thorbjørnsen mfl., 2023b). Overvekten av funn på grunnere vann skyldes dybdebegrensningene ved dykking.
Figur 24. Kart over tapte redskaper i og rundt Raet Nasjonalpark utenfor Arendal. Kilde: teinevett.no (Havforskningsinstituttet, 2023). Gule prikker angir redskap hentet opp før 2023, oransje prikker er redskap hentet opp i 2023 og røde prikker er redskap hentet opp i 2024.
4.3.3 - Akvakultur
Akvakultur er også en næring som har potensial for å bidra med forsøpling. Under en kartlegging i forbindelse med et oppdrettsanlegg ble det observert søppel i nærheten anlegget (Figur 25). Dette anlegget ligger også i nærheten av et fiskeritungt tettsted, og ettersom søppelet ikke ble klassifisert, kan en ikke si sikkert hva som er kilden til søppelet. Denne undersøkelsen gjorde observasjoner av fauna og søppel hvert 30. sekund, og kan regnes som en bildeanalyse. Data er hentet fra upublisert masteroppgave (Vabø, ikke publisert).
Figur 25. Fordeling av søppel i nærheten av oppdrettsanlegg basert på bildeanalyser. Data hentet fra mastergradsoppgave (Ørjan S. Vabø, 2021).
4.4 - Oppsummering søppel på havbunn
4.4.1 - Opphopingsområder og kilder
Mengde søppel i norske havområder er generelt lav på grunn av horisontal transport langs havbunn til større dyp på grunn av strømmer, bølgeenergi, bunnhelling m.m. Dette fører til opphoping i enkelte landskapstyper som fjordbassenger, marine gjel, trau og renner mens mengde på fiskebanker er lave (Mareano.no). Dette ser man også eksempler på i internasjonal forskning. I det sentrale Middelhavet ble det funnet mest søppel på dypere vann, og aller mest i marine daler og gjel (Franceschini mfl., 2019). En større studie som samlet video- og tråldata fra europeiske havområder viser at tettheten av søppel var høyest i marine daler, og at områder med høye tettheter i hovedsak lå nærmere kysten (Pham mfl., 2014).
I åpent hav utgjør n æringsrelatert søppel en betydelig andel av registrert søppel på havbunn og fiskeredskaper utgjør en stor andel. Trenden er at andel fiskerirelatert søppel øker mot nord i norske havområder (Kilder: Mareano, Økotokt og Fiskeridir.).
På kysten transporteres søppel fra grunt vann med stor bølgeenergi og strømmer til dypere deler av fjorder og mengden i tidevannsonen er generelt lav. Dette fører til at det er liten sammenheng mellom mye søppel på strand og forekomst av søppel på havbunn (Buhl-Mortensen & Buhl-Mortensen, 2023). Søppelet er mest hyppig forekommende innaskjærs, her er det flest søppelenheter per meter mellom 50 og 100 meter (Kilde Marine grunnkart). Det ser ikke ut å være sammenheng mellom forekomst av søppel på strand og mengde søppel på havbunn i nærheten (pilotstudie med ROV). Det må bemerkes at hvordan søppel fordeler seg fra en kilde før det ender opp på havbunnen, vil påvirkes av vind og strøm samt objektets tyngde og form (Madricardo mfl., 2020).
Kystfiske er en næring som tilfører en stor del søppel (Marine grunnkart). Elver er viktige kilder for søppeltilførsel på kysten. De få tilgjengelige studiene viser at avhengig av vekt vil søppel avsettes på havbunn et stykke ut fra elveosen (pilotstudie med ROV i Hardangerfjorden). Lokalt kan plast fra jordbruk utgjør en stor del av søppel som transporteres med elver ut i fjorder.
4.4.2 - Konklusjon
Det vil gi et feilaktig bilde av status på forsøpling hvis overvåkingslokaliteter legges til områder hvor søppel naturlig fjernes grunnet havstrømmer eller bølgeenergi. Videre er det vist i kapittel 5 at for å få godt materiale for sikker påvising av endring i forsøplingen på havbunnen bør man legge overvåkingen til lokaliteter med tre eller flere søppelenheter.
For best mulig overvåking bør endringen i søppelforekomst derfor overvåkes på steder for oppsamling/akkumulering. I åpne havområder vil dette være marine gjel, trau og renner, og på kysten er opphopingen i fjordbassenger, ved elveos, i områder nær byer med et betydelig fiskeri eller ved havbruk. Videre havner søppel lett på korallrev enten på grunn av fiske i nærheten eller at revstrukturen fanger søppel. Det er derfor viktig at noen slike lokaliteter inngår i overvåkingen.
5 - Styrkeanalyser av ulike overvåkingsdesign
5.1 - Hva er statistisk styrke?
Ved analyser av overvåkingsdata stilles hypoteser hvor null-hypotesen (H0) representerer ingen effekt eller ending, og den alternative hypotesen (HA ) en effekt eller endring f.eks. over tid. Det er fire mulige resultater fra en hypotesetest (Morrison, 2007; Serdar m.fl. , 2021):
Man kan konkludere riktig at H0 (ingen endring) er korrekt
Man kan konkludere feilaktig at H0 (ingen endring) er korrekt
Man kan konkludere riktig at HA (endring) er korrekt
Man kan konkludere feilaktig at HA (endring) er korrekt
Konkluderer en feilaktig at HA er korrekt (4.) er dette en falsk positiv ( type I feil). Sannsynligheten for dette representeres av Alpha ( a ) og er vanlig akseptert feilrate er 5 %. Dette er årsaken til at en aksepterer en statistisk test som signifikant dersom p-verdien er mindre enn 0,05.
Sannsynligheten for å feilaktig konkludere at H0 er korrekt (2.) er en falsk negativ ( type II feil). Denne representeres av Beta ( b ). Dette vil si at man ikke oppdager en endring selv om den fins. For eksempel ved å ta for få prøver. Statistisk styrke er sannsynligheten for å korrekt konkludere at en endring er sann (1- b ) .
Mulige resultater ved hypotesetesting. P står for sannsynlighet (“probability”). Sannsynligheten 1 - b tilsvarer statistisk styrke.
Det er relativt vanlig å akseptere en type II feilrate på 20 % (80 % statistisk styrke). Hvis man ønsker lik feilrate for type I og II feil må også feilraten for en type II feil ( b) begrenses til 5 % (95 % statistisk styrke).
Replikasjonsnivået nødvendig for å oppnå ønsket statistisk styrke avhenger av (1) a og b, (2) den minste effektstørrelsen en ønsker å kunne måle, og (3) fordelingen av og variasjon i de underliggende dataene. Lavere toleranse for mulige feil, mindre effektstørrelser (endringer) og mer variasjon fører alle til høyere krav til datainnsamlingen for å oppnå den akseptable statistiske styrken.
Hvor vidt H A er ensidig (f.eks. ønsker kun å kunne oppdage en nedgang over tid) eller tosidig (f.eks. ønsker å kunne oppdage enten en oppgang eller nedgang ) påvirker også replikasjonskravene for å oppnå ønsket statistisk styrke. Ved en tosidig test må trenden være tydeligere for å kunne oppdages ettersom sannsynligheten deles i to mellom positive og negative endringer og nødvendig replikasjonsnivå er derfor høyere for en tosidig enn en ensidig test (Serdar m.fl., 2021).
Sannsynligheten for å oppdage en eksisterende trend, og for å overse en, er viktige betraktninger i all miljøovervåking. Målet med styrkeanalyser er å estimere den nødvendige datamengden for å oppnå pålitelige resultater i et overvåkingsprogram (Morrison 2007).
5.2 - Effektstørrelse
Det er visse valg som må tas på forhånd, som vil påvirke hvordan man designer poweranalysen og hvilke tester som gjennomføres. Sentralt i dette er hva det er man er ute etter å måle. Det kan være en trend over, eller en endring etter en viss tidsperiodeperiode, den kan spesifiseres som en økning eller en reduksjon, og hvor stor den må være for å være interessant. Dette kalles effektstørrelsen, og generelt sett vil en mindre endring kreve mer nøyaktighet og kreve flere innsamlede data, for å oppnå samme sikkerhet, eller statistiske styrke, i forhold til en større endring.
Den minste endringen man er interessert i å måle kalles minste effektstørrelse av interesse. I dette tilfellet vil effektstørrelse tilsvare den minste trenden eller endringen i søppelmengder vi vil undersøke. Vi setter en slik terskelverdi fordi mangelen på en trend (eller forskjell mellom to områder) ikke kan defineres som presist null. Jo mindre den minste effektstørrelsen en ønsker å kunne måle er, jo mer krevende vil det være å oppnå fordi det krever høyere nøyaktighet, i form av for eksempel flere målinger (høyere replikasjonsnivå).
For at styrkeanalysene skal gi et godt estimat av nødvendig menge data som skal samles inn, er det viktig at en realistisk og representativ fordeling på dataene legges til grunn. Jo mer man vet om variasjonsstrukturen i dataene som ligger til grunn, jo bedre blir forståelsen av hva som skal samles inn. Foreligger det ingen data fra tidligere forskning eller pilottester, er det ikke noe grunnlag for en styrkeanalyse, og ikke mulig å beregne statistisk styrke.
Dette betyr at dersom studiedesignet endres, må nye styrkeanalyser gjennomføres. Det er også viktig å notere seg at styrkeanalyser kun er gjeldene for den datafordelingen den er utført på og den statistiske testen de var gjennomført for.
5.3 - Studiedesign
Ved nasjonal overvåking av flytende makrosøppel er det et ønske å kunne måle nedganger på 10 og 30 %, over en periode på fem og ti år.
Det grunnleggende studiedesignet lagt til grunn for styrkeanalysen her er gjentatte registreringer ved faste målestasjoner med videotransekt. Dette tillater en analyse av gjennomsnittlig endring mellom intervaller, som for eksempel hvert 5. eller 10. år. To ulike minste effektstørrelser av interesse er undersøkt: 10 og 30 % endring i gjennomsnittlig søppeltetthet per transekt. Et slikt repetert design gir størst mulighet for å oppdage eventuelle endringer i tilførsel av makrosøppel til havbunnen. Styrken for å kunne si at det ikke har forekommet en større endring enn disse effektstørrelsene testes også. Denne er viktig fordi ingen endring i konsentrasjon av søppel på havbunnen kan indikere en endringi tilførsel, fra noe tilførsel, til ingen tilførsel. Se konseptuell skisse, Figur 26.
Figur 26. Konseptuell skisse av overvåkingsdesign. De samme målestasjonene registreres med faste intervall (f.eks. hvert 5. år), og gjennomsnittlig endring ved alle lokasjonene analyseres for å se om denne er større enn minste effektstørrelse av interesse (10 eller 30 %).
Dataene som er lagt til grunn for styrkeanalysen er data fra Mareano-programmet fra 2006 – 2023 (beskrevet i kapittel 4). Selv om noen videotransekt i dette datasettet kan være relativt lange, så er de smale (ca. 3 meter) og har et begrenset synsfelt. Dette bidrar til lavere sannsynlighet for å komme over en søppelbit selv om et transekt i utgangspunktet går gjennom et forsøplet område, og dermed et høyt antall rene transekt i datasettet (Haarr mfl., 2022). Dette kommer tydelig frem av dataene hvor det i løpet av 18 år og 3 421 transekt var observert kun 1 018 søppelenheter; 81 % av transekt var rene og kun et fåtall transekt inneholdt et betydelig antall søppelenheter ( Figur 27).
Figur 27. Oversikt over antall transekt med ulike antall søppelbiter observert i MAREANO 2006-2023. Merk at y-aksen er log-transformert for visualisering. En øking fra 1 til 2 på y-aksen tilsvarer derfor x10 flere transekt. Antallet transekt er oppgitt over hver stolpe.
Ved gjentatt overvåking av utvalgte lokaliteter må disse nødvendigvis være områder som var forsøplet i utgangspunktet, ellers vil det ikke være mulig å oppdage en eventuell nedgang i mengder eller tilførsel. Vi vil gjerne skille på transekt med mye eller lite søppel, siden dette er nyttig informasjon til bruk til overvåkingsdesignet. Da det ikke er nok forsøplede transekt til å etablere klare statistisk signifikante forskjeller på tetthet i søppel basert på landskapstyper, dybdenivåer eller andre faktorer, velger vi å basere analysene på forskjellige terskelverdier i antall, uavhengig av geografi eller lokasjon. Ulike terskelverdier for å klassifisere et transekt som «mye forsøplet» var derfor undersøkt.
Gitt den høye andelen rene transekt, ga naturlig nok en terskelverdi på minst én søppelbit per transekt det største datasettet (n = 644 transekt) (Tabell 12). En terskelverdi på minimum fire søppelbiter per transekt var den høyeste verdien som ga tilstrekkelig antall datapunkter til å tilpasse en fordeling for analyse (n = 36 transekt). Ved en grense på minst fem søppelbiter gjensto kun 12 transekt, og tilpasning av en fordeling var ikke meningsfylt.
Styrkeanalysene ble så gjennomført basert på negative binomiske fordelinger (egnet for å beskrive skjevfordelte data som representerer antall forekomster) tilpasset et utvalg transekt fra MAREANO med minst 1, 2, 3 eller 4 søppelbiter (Tabell 12). Teoretisk baselinedata (år 0 i et overvåkingsprogram) og data etter endring tilsvarende minste effektstørrelse av interesse (gjennomført for 10 og 30 %
nedgang og oppgang i gjennomsnitt) var deretter simulert basert på fordelingene hentet fra rådataene. Deretter ble det gjennomført tilfeldig prøvetaking av de simulerte dataene ved ulike replikasjonsnivå og endring fra den første til den andre prøvetakingsperioden analysert med parvise t-tester. Det antas at fordelingen av forskjellene er tilnærmet normalfordelt gitt at det er over 30 lokasjonspar og at en parametrisk analyse er akseptabel. Prosedyren var gjentatt 1000 ganger for hvert replikasjonsnivå, der startverdien var på 10 transekt, og gjennomført for hvert nivå frem til ønsket styrke var oppnådd (først 80 % og deretter 95 %). Styrke var beregnet som andelen av de 1000 simuleringene for hvert replikasjonsnivå som var signifikante (p < 0,05). Dette var gjort for tosidige tester, som tester evnen til å måle en nedgang eller en oppgang.
I tillegg var samme prosedyre gjentatt hvor det istedenfor signifikante parvise t-tester var testet hvor vidt 95 % konfidensintervaller rundt gjennomsnittlig endring var innenfor 0 ± minste effektstørrelse av interesse (en såkalt «equivalence test»), eller med andre ord hvor høyt replikasjonsnivået må være for å oppnå ønsket statistisk styrke for å kunne si at forsøplingsmengden ikke har endret seg (altså ingen ny tilførsel, som er å regne som en nedgang). Å kunne si med sikkerhet at det ikke har vært en signifikant ny tilførsel av søppel er noe mer krevende enn å kunne oppdage det om det har vært en oppgang (ny tilførsel) eller en nedgang i konsentrasjon (søppel begravd av sedimentering eller forflyttet ut av transektene). Å øke den statistiske styrken fra 80 til 95 % vil kreve en øking i replikasjonsnivået (antall lokasjoner) med 67 % for å måle en endring og 45 % for å dokumentere at en endring ikke har forekommet i forhold til beregningene i Tabell 11.
Tabellen viser at jo mer forsøplede transektene man undersøker er (jo flere søppelbiter det er per transekt), jo færre transekt kreves for å med sikkerhet detektere en endring. Jo mindre endring man vil kunne detektere (mer nøyaktighet), jo flere transekt trenger man. Basert på dette kan man konkludere at det krever færre transekt å kunne detektere en stor endring i svært forsøplede områder. Det vil si at et overvåkingsprogram som baserer seg på å overvåke akkumulasjonsområder vil kreve færre transekt enn ett som også baserer seg på å overvåke renere områder (med færre søppelbiter per transekt). Det kreves færre transekt for å detektere en endring (på for eksempel mer enn 30 %), enn det kreves for å utelukke at det har vært en tilsvarende stor endring (< 30 %).
Det er flere utfordringer med en lav terskel for å anse en lokalitet som tilstrekkelig forsøplet til å egne seg for overvåking av søppelmengder og -tilførsel. For det første betyr det at den absolutte endringen i gjennomsnittlig søppeltetthet som utgjør en 10 eller 30 % endring er svært lav (Tabell 11). Dette fører igjen til høyere krav til replikasjon for å oppnå en akseptabel statistisk styrke. Det kreves for eksempel minst 132 overvåkingslokaliteter (transekt) for å kunne oppdage en 30 % endring om en tillater en terskelverdi på kun én gjenstand per transekt ved baseline (år 0), men kun 47 dersom terskelverdien er satt til fire gjenstander (Tabell 12).
En annen betydelig utfordring med en lav terskelverdi et at dette er svært sårbart for feilmålinger. Selv med en romlig nøyaktighet på ± 2 m ved plassering av et 3 m bredt transekt hvert år vil det være relativt høy sannsynlighet for å bomme på en gjenstand som var observert ved forrige registrering, samt en viss sannsynlighet for å oppdage en gjenstand som lå utenfor transektet forrige gang. Ved lav tetthet i utgangspunktet utgjør dette en ekstremt høy feilmargin; spesielt for transekt med kun én gjenstand observert hvor det å bomme på en gjenstand utgjør 100 %.
Dette er illustrert i Figur 28 hvor det er simulert en tilfeldig feilregistrering på enten +1 eller -1 gjenstand i ulike andeler av transektene, for deretter å beregne nødvendig replikasjonsnivå for å oppnå 80 % statistisk styrke for å kunne måle en 30 % nedgang. Dette viser tydelig at ved en lav terskelverdi (minst 1 søppelbit) har en slik feilmargin stort utslag. Denne simuleringen anså både negative og positive feilregistreringer (gått glipp av en gjenstand eller funnet ny som tidligere
utenfor). Dersom det i realiteten er høyere sannsynlighet for den ene eller den andre vil dette utgjøre et mulig stort bias i resultatene og kan føre til en type I feil (falsk positiv; konkludere at en endring har funnet sted uten at det faktisk var tilfelle).
Terskel* (n transekt-1)
Antall transekt†
Snitt‡ (n transekt-1)
Snitt§¯10 %
Snitt§¯30 %
# transekt nødvendig for 80 % styrke
>10 %¶ endring
>30 %¶ endring
<10 %# endring
<30 %# endring
1
644
1,58
1,42
1,11
1059
132
1414
161
2
199
2,88
2,59
2,02
577
76
858
104
3
66
4,65
4,19
3,26
410
55
655
78
4
36
6,03
5,42
4,22
353
47
559
64
5
12
9,58
8,63
6,71
-
-
-
-
* Minste søppeltetthet (antall gjenstander) i et transekt for å bli vurdert som en overvåkingslokalitet og for at dataene er inkludert i beregning av baseline fordeling og gjennomsnitt.† Antall transekt med søppeltetthet lik eller høyere enn terskelverdi fra MAREANO 2006-2023.‡ Gjennomsnittlig søppeltetthet i transekt med antall søppelbiter observert var lik eller høyere enn terskelverdi under MAREANO 2006-2023.§ Det nye gjennomsnittet (antall søppelbiter per transekt) for fordelingen av simulerte data for en teoretisk andre sampling ved en oppgitt prosentvis nedgang. ¶ Antallet transekt som er estimert nødvendig å sample i hver tidsperiode for å oppnå 80 % styrke for å kunne oppdage en gjennomsnittlig endring mellom sampling 1 og 2 av oppgitt størrelsesorden.# Antallet transekt som er estimert nødvendig å sample i hver tidsperiode for å kunne si med 80 % sikkerhet at det ikke har forekommet en endring større enn oppgitt størrelsesorden.
Tabell 12 : Resultater av styrkeanalyse for parvis t-test mellom to tidsperioder ved gjentatt sampling av samme transekt. Merk at det for en terskelverdi på minst 5 søppelbiter per transekt var for få datapunkt til å tilpasse en fordeling. Analysene er basert på parvise t-tester for to tidsrom (f.eks. med 5 års mellomrom).
For å minimere effekten av feilregistreringer på grunn av at det ikke er mulig å legge et transekt på nøyaktig samme 3 m brede bane med 100 % sikkerhet hver gang, og for å muliggjøre overvåking av endringer ved et lavere replikasjonsnivå, anbefales det å sette terskelverdien for å inkludere en lokasjon til minimum tre eller fire søppelgjenstander. Ideelt sett hadde minimumsverdien hvert enda høyere, men det foreligger ikke tilstrekkelig antall mer forsøplete transekt i MAREANO-datasettet å legge til grunn. Dersom antallet søppelbiter kan økes ved å øke transektlengden på hver lokasjon er dette å foretrekke, men ettersom sannsynligheten for å oppnå økt antall søppelgjenstander og hva den optimale transektlengden i så fall er kan ikke beregnes fra rådataene grunnet for få funn.
Grunnet ekstremt få funn per transekt er det heller ikke mulig å gjøre beregninger for ulike gjenstandstyper eller sammensetning. Dette kan eventuelt undersøkes for enkelttransekt med uvanlig høy tetthet, men det blir en vurdering som må tas for enkelttilfeller slik dataene ser ut per nå.
Hvis man velger transekt med 3 eller mer søppelbiter (66 stk) (Tabell 12), er det nok transekt i MAREANO-datasettet å besøke igjen til å møte antallet transekt som trengs for å med en 80 % sikkerhet kunne detektere en endring på minst 30 % (55 stk) (Figur 29). Ved en terskelverdi på minimum 5 søppelbiter var det ikke dokumentert et tilstrekkelig antall mulige lokaliteter i MAREANO fra 2006 til 2023 (Tabell 11) til å være sikker på at dette ikke har forekommet). Dersom man filtrerer på transekt med minst 4 søppelbiter for å minske effekten av feilregistreringer, sitter man igjen med 36 stk, som er mindre enn antallet nødvendige transekt for å detektere 30 % endring med samme sikkerhet. Det vil altså ikke være nok til å oppnå en akseptabel statistisk styrke for å kunne måle en 30 % endring eller være sikker på at dette ikke har forekommet, og langt mindre om minste effektstørrelse av interesse er 10 %. Det må da fastsettes ytterligere lokaliteter, for eksempel fra fjorder og områder allerede undersøkt i andre sammenhenger enn MAREANO.
Dette gjelder selv før det er vurdert å dele inn i ulike havområder for å undersøke om baseline og trender er ulike mellom dem. For å muliggjøre denne typen sammenligning trengs det mer data som kan legges til grunn for nye styrkeanalyser.
Figur 28. Nødvendig replikasjonsnivå for å oppnå 80 % styrke for å måle en 30 % endring simulert for ulike terskelverdier for å inkludere en lokasjon (ulike fordelinger lagt til grunn) og ved ulike andeler av transektene med en feilregistrering dersom transektene ikke overlapper nøyaktig mellom år. En simulert feilregistrering var i dette tilfellet tilfeldig valgt som +1 eller -1 gjenstand. Merk at dersom sannsynligheten for den ene er vesentlig høyere enn den andre vil dette kunne føre til systematiske feilkonklusjoner angående trender i søppeltilførsel og -tetthet og ikke bare økt usikkerhet som vist her. For fordelingene lagt til grunn vises parameterne for de negative binomiske fordelingene tilpasset rådataene (alle transekt fra MAREANO 2006-2023 som hadde antall søppelbiter lik eller høyere terskelverdiene 1, 2, 3 eller 4).
Siden andelen rene transekt er høy, vil utforskende kartlegging for å finne nye egnede lokasjoner for overvåking uansett være omfattende og krevende. Slik kartlegging må ta i bruk all mulig tilgjengelig informasjon om hvor sjansene er størst for å finne tilstrekkelig forsøplede transekt til bruk i overvåkingen. Én mulighet er å undersøke spesielle landskapstyper. Selv i marine landskapstyper hvor den generelle forsøplingsgraden var høyere, som i marine gjel, var fortsatt andelen rene transekt over 60 %. De dokumenterte lokasjonene med 3 eller flere gjenstander per transekt var også spredt på flere ulike landskapstyper. En fjerdedel (26 %, n = 17) var i marine daler. En femtedel hver var på kontinentalsokkelslette eller -skråning. Kun 6 % (n = 4) lå i marine gjel. Det er med andre ord ikke umiddelbart mulig å predikere hvor en kommer til å treffe tilstrekkelig forsøplete områder basert på MAREANO data. Det vil derfor være svært kostnadsbesparende å returnere til allerede undersøkte
lokasjoner fra MAREANO som var tilstrekkelig forsøplet. Dette vil primært gjelde overvåking til havs, da det ikke er inkludert områder i fjorder eller havner i MAREANO datasettet. informasjon om hvor sjansene er størst for å finne tilstrekkelig forsøplede transekt til bruk i overvåkingen.
Figur 29. Lokasjon og søppeltetthet per transekt hvor >3 gjenstander var rapportert i MAREANO 2006-2023. Totalt antall transekt var 66.
Derfor vil anbefalinger til overvåkingsprogrammet inkludere å i så stor grad som mulig, basere overvåking til havs på gjentatte besøk av transekt allerede i MAREANO-programmet, der det tidligere er observert minst tre søppelenheter, for å unngå for store feilmarginer.
En overvåking vil kunne med 80 % sikkerhet observere en 30 % endring siden sist besøk basert på gjentatte besøk av 55 MAREANO-transekt med minst tre søppelenheter. Dersom man antar samme fordeling av søppeltetthet i hvert av de forskjellige havområdene, vil man kunne gange opp dette for hvert av dem, men da har man ikke nok eksisterende lokaliteter i hver, og må lete etter disse. Det vil da bli viktig å vurdere om man enklere kan finne flere transekt med så lite som to søppelenheter, akseptere en større effekt av feilregistreringer og heller gå opp i antall transekt, eller fortsette å lete etter mer forsøplede transekt, og begrense antallet transekt. Det samme gjelder kystnære lokaliteter.
6 - Design av overvåkingsprogram
6.1 - Minimumsløsning
Miljødirektoratet har skissert følgende krav til en minimumsløsning (oppstartsfase); antall registreringer er redusert til et minimum, men overvåkingen kan brukes til identifisering av kilder og ansamlingsområder, selv om datagrunnlaget vil være heftet med større usikkerhet. Størrelse på den endringen over tid/sted som er mulig å detektere statistisk signifikant med minimumsløsningen skal beskrives.
For å imøtekomme disse kravene anbefales det å dele overvåkingsområdet i to; hav og kystnært, da både kilder og ansamlingsområder vil kunne være forskjellig for kyst og hav. Antallet registreringer holdes så lavt som mulig i hvert område og samtidig imøtekommer antall registreringer som kreves for å kunne detektere endringer over tid.
Det grunnleggende studiedesignet lagt til grunn for overvåkingen her er gjentatte registreringer ved faste målestasjoner med videotransekt. Et slikt repetert design gir størst mulighet for å oppdage eventuelle endringer i tilførsel av makrosøppel til havbunnen, med færrest mulige målinger.
For minimumsløsningen foreslår vi et oppsett som med 80 % sannsynlighet skal kunne detektere en 30 % endring for ansamlingsområder i norske havområder og norske kystområder. Ved gjentatt overvåking av utvalgte lokaliteter må disse nødvendigvis være områder som var forsøplet i utgangspunktet, ellers vil det ikke være mulig å oppdage en eventuell endring i mengder eller tilførsel. Dette betyr at overvåkingen må basere seg på å overvåke ansamlingsområder eller «hotspots», i begge overvåkingsområdene. For å minimere effekten av feilregistreringer på grunn av at det ikke er mulig å legge et transekt på nøyaktig samme 3 m brede bane med 100 % sikkerhet hver gang, anbefales det å sette terskelverdien for å inkludere en lokasjon til minimum tre søppelgjenstander (Tabell 12).
Det anbefales å repetere transektene med et 5 års intervall dvs. undersøking i år 0 og år 5. For prisestimat per år se tabell 13.
Kystnært:
Det foreligger ikke per i dag data på et tilstrekkelig høyt antall forsøplede kystnære lokasjoner til å tilfredsstille det nødvendige antallet på 55 transekt som er estimert i styrkeanalysene i Kap. 5.
Lokasjoner med tilstrekkelig tetthet søppel må derfor lokaliseres, og vi anbefaler å fokusere søk etter egnede overvåkingslokaliteter basert på tilgjengelig kunnskap om akkumulasjonsområder og nærhet til kilder langs med kysten. Vi foreslår å undersøke oppsamlingsområder som er representative for ulike kilder og landskapstyper.
Basert på undersøkelser med bildeanalyse av søppel fra marine grunnkart (Kap. 4.1) og søppel fra elveutløp (Kap. 4.2) kan vi anta at det vil være en høyere andel transekt med søppel i data fra kystnære strøk enn i datagrunnlaget lagt til grunn for styrkeanalysen (basert på MAREANO data). Fra Marine grunnkart er det hittil registrert 51 transekter med observasjon av tre eller flere søppelenheter, av et totalt antall transekt på 710 (kap. 4.1).
Vi anbefaler basert på dette et ambisjonsnivå som tilsvarer at det innhentes lokasjoner med tre eller flere søppelenheter per transekt (Tabell 13). Et høyere antall søppelbiter per transekt vil redusere kravet til antall transekt. Det vil kreve minst 55 transekt med tetthet på minst tre søppelenheter for med 80 % sikkerhet å kunne detektere en 30 % endring. Man må ta høyde for å besøke flere transekt ved oppstart av prosjektet for å finne nok transekter for gjenbesøk.
Dersom antallet transekt med høyere andel søppel (≥4 søppelbiter per transekt) lokaliseres, vil kravet til antallet transekt reduseres, og nye styrkeanalyser vil avgjøre hvor mange transekt som da behøves. Vi anbefaler at det blir gjort en ny styrkeanalyse etter første runde med datainnhenting for å undersøke om mulig større tetthet av kystnært søppel vil redusere krav til antall transekt, da dette ikke var mulig å estimere på bakgrunn av dataene analysert i kap. 5.
For å få tilstrekkelig antall transekt til statistiske analyser, bør en supplere med transekter i områder med ansamlingspotensiale. Dette inkluderer fjordområder som ligger nært befolkningstette områder som byer eller tettsteder, nært havner, kystnære marine daler, fjordområder nær kilder, områder nært elveutløp. For å maksimere sannsynligheten for å detektere et høyere antall søppelbiter per lokasjon, anbefales det å vurdere å ha lengre transekt.
For prisestimat kyst viser vi til tabell 4. Vi antar at antall transekt som kan undersøkes varierer mellom 10 og 15 per dag (12 timers skift) avhengig av transporttid og avstand mellom stasjonene.
Hav:
For å detektere mulige endringer i oppsamlingsområder til havs foreslår vi at alle tre forvaltningsplan-områdene blir slått sammen til et havområde og at transekt i Mareanos database med tre eller flere søppelenheter per transekt blir gjenbesøkt på samme posisjon som tidligere. Dette vil eliminere behovet for å søke etter nye akkumulasjonsområder til havs som representerer store besparelser.
Dersom en repeterer transektene med 5 års intervall dvs. undersøking i år 0 og år 5 vil en også for registreringer i år 0 kunne gi svar på endring over tid siden transektene allerede er besøkt i MAREANO-programmet.
For prisestimat for hav estimerer vi 10 – 12 transekt per dag avhengig av dyp, transporttid og avstand mellom stasjonene. Vi viser til kostnadsestimat i tabell 4.
Totalt antall transekter som skal gjenbesøkes for minimumsløsningen: Minst 55 både for kystnære områder og åpne havområder der de tre forvaltningsplanområdene blir undersøkt samlet, totalt minst 110 transekt.
6.2 - Mellomløsning
I en mellom løsning foreslår vi at en bygger på minimumsløsningen der bare prioriterte områder med stort ansamlingspotensiale vil inngå. I tillegg foreslår vi at sårbare naturområder blir inkludert. Antallet stasjoner vil fremdeles holdes på et nivå der det er 80 % sannsynlighet for å detektere en 30 % endring i hhv. kystnære områder og i havområder.
Når det gjelder sårbare naturtyper vil type søppel være avgjørende for skadepotensialet. For eksempel vil spøkelsesfiske kunne være svært ødeleggende for sårbare arter i et område, og tilstedeværelse av redskaper (teiner, garn, etc.) som bidrar til dette være viktig å overvåke.
En nedskalert overvåkingsstrategi i slike områder vil derfor med fordel kunne baseres på tilstedeværelse/ikke tilstedeværelse av tapt fiskeutstyr som garn eller teiner i et transekt eller område. Det vil måtte gjøres styrkeberegninger basert på første runde innsamlet data for å avgjøre antall nødvendige transekt. For prisestimat se tabell 13.
Forslag til sårbare områder
Områder med høy tetthet av sårbare arter, f.eks. korallrev, korallskog, sjøfjærsamfunn, ålegrasenger og svampområder (Figur 30). Slike sårbare habitater, spesielt korallrev har en kompleks romlig struktur som i tillegg til å være habitat for en mengde andre arter også fungerer som «feller» for søppel. Det er vanlig å finne tapt fiskeutstyr (line og garn) på korallrevene.
I denne rapporten foreslår vi flere områder med korallrev i kystområder som kunne egne seg for overvåking av havbunnsøppel. Fra nord til sør: Stjernsund, Bleiksdjupet, Hola, Breisunddjupet, Breisundet, Langenuen, Midtsundet, og Hvaler Nasjonalpark. Bleiksdjupet er en dyp marin ravine med forekomster av hardbunnskorallskog. Dette området representerer også «dyphavet» med dyp ned til 1500 m. I Nordsjøen og Skagerrak er de dype delene av Norskerenna et oppsamlingsområde for plastsøppel, og har også store tettheter av sjøfjær av flere arter.
Figur 30. Eksempel på sårbare områder som korallrev i norske havområder. Oransje sirkler: Observerte korallrev. Lilla områder: Områder modellert til å kunne ha korallrev. Kilde: Mareano.no
6.3 - Fullskala oppsett
Et fullskala overvåkingsprogram bør gi detaljert informasjon om mengder og typer av søppel på havbunnen på regionnivå, for ulike vanntyper eller kystavsnitt (minimum for regionene Skagerrak/Nordsjøen, Norskehavet, Barentshavet).
For å med 80 % sannsynlighet kunne detektere en 30 % endring i hver av forvaltningsplanområdene Nordsjøen/Skagerrak, Norskehavet og Barentshavet, for havområder og kystområder hver for seg, anbefales det gjentatte besøk på et tilstrekkelig antall stasjoner med tilstrekkelig mengde søppel (≥ 3 søppelbiter) i hvert område (totalt 55 transekt per område). Transekt med tre søppelobjekter eller mer er valgt for å redusere usikkerhet forbundet ved mulig feilregistrering av søppel i et videotransekt med bredde på 3 m som vist i Figur 28 (Kap. 5). Vi anbefaler undersøkingsintervall på 5 år (år 0 og år 5).
Det foreligger per i dag ikke nok kjente lokasjoner med tilstrekkelig antall søppelbiter i hvert av havområdene (Nordsjøen/Skagerrak, Norskehavet, Barentshavet) i MAREANO-datasettet til å tilfredsstille det nødvendige antallet transekt. Det anbefales å ta utgangspunkt i de allerede kjente lokasjonene i hvert havområde som tilfredsstiller kravene, og supplere med flere stasjoner gjennom fokuserte søk i områder med høy sannsynlighet for søppelansamling. Disse må baseres på tilgjengelig kunnskap om kilder samt marine landskapstyper med høyere andel forsøplede transekt basert på tidligere undersøkelser (som marine gjel og marine daler). I MAREANO-dataene var de dokumenterte lokasjonene med tre eller flere gjenstander per transekt spredt på flere ulike landskapstyper, men en fjerdedel (26 %, n = 17) var i marine daler. En femtedel var på kontinentalsokkelslette eller -skråning. Om lag 6 % (n = 4) lå i marine gjel. For Nordsjøen/Skagerrak er Norskerenna identifisert som et oppsamlingsområde for søppel, mens søppel lettere blir transportert videre på kontinentalsokkelen.
Langs kysten anbefales det i et fullskala oppsett å lokalisere et tilfredsstillende antall lokasjoner For å med 80 % sannsynlighet kunne detektere en 30 % endring. I kystnære strøk vil typer kilder og tilførselsrater kunne variere mellom regioner, og det anbefales i en fullskala løsning å ta hensyn til dette ved å dele kysten i regioner der det planlegges et tilstrekkelig antall transekt eller lokasjoner i hver region. Det anbefales at regionene tilsvarer kysten langs Skagerrak, Nordsjøen, Norskehavet og Barentshavet.
Totalt antall transekt som skal gjenbesøkes ved et fullskala oppsett er 55 x 3 (hav) + 55 x 3 (kyst), der hvert transekt inneholder ≥3 søppelbiter. Antall transekt kan nedjusteres dersom man finner en høy andel transekt med høyere tetthet (47 transekt med ≥4 søppelbiter, osv.) Se kapittel 5, tabell 12 for detaljer. For prisestimat se tabell 13.
6.3.1 - Forslag til områder
Kyst
Færder: Område med mye tapte fiskeredskaper. Områder av spesiell interesse kan være nær småbåthavner og bunnen av undersjøiske skrenter, der tapte fiskeredskaper har en tendens til å samle seg.
Elveutløp: Drammenselva og Glomma er de største elvene som renner ut i Indre Skagerrak på norsk side. En rapport på marin plast i Skagerrak viste blant annet at en målestasjon utenfor utløpet av Drammenselva hadde noen av de høyeste funnene av mikroplast (Albretsen mfl., 2018).
Kystområder som vist i marine grunnkart kap. 4.1.
Breisundet: Område med store tettheter av tapt fiskeredskap. Også et område med mye sårbar natur, som korallrev.
Nordsjøen/Skagerrak
Norskerenna er vist å være en type marint landskap (marin dal) der det er blitt observert høyere tetthet av bunnsøppel, men når det gjelder Skagerrak omfatter Norskerenna også områder der en har dumpet skip og ammunisjon etter 2. verdenskrig. Mareano har funnet at den dypeste delen av Norskerenna fungerer som et oppsamlingssted for plast. Dette kan henge sammen med strømforhold, hvor kort- eller langtransportert folieplast faller til bunns. Nærmere kysten har Mareano funnet mindre plast, og søppelet utgjøres av tyngre materiale (hovedsakelig glass og metall).
Norskehavet
Breisunddjupet ligger like utenfor 12-milsgrensa i forlengelsen av Breisundet.
Området kan karakteriseres som en marin dal og har et område med langstrakte korallrev som er vernet mor bunntråling. Mareano har kartlagt seks lokaliteter i selve dyprenna og flere lokaliteter i området rundt.
Barentshavet
Marine gjel og daler for eksempel:
Bleiksdjupet ( utenfor Andøya) er en marin ravine hvor Mareano har kartlagt havbunnen og funnet ansamling av søppel. Dette området dekker et dybdeområde fra ca. 300 til over 1000 m, og kan være en god kandidat for å representere dyphavet.
Hola (Vesterålen) er et trau som krysser kontinentalsokkelen og har en høy tetthet av langstrakte korallrev.
Ambisjonsnivå
Antall transekt
Tid (døgn)
Totalsum (Tusen Kr)
Kommentar
Minimumsløsning
Hav
55
5 + reisetid
5 212
20 transekt (2 dager) dyp 200-300 m, 15 transekt (1 dag) dyp 300-400 m dyp, 20 transekt (2 dag) dyp 400-600 m.
Kyst
55
5 + reisetid
833
15 transekt dyp 20-100 m (1,5 dager), 15 transekt dyp 100-200 m (1,5 dag), 25 transekt dyp 200-500 m (2 dag).
Totalt
110
10 + reisetid
6 045
Mellomløsning
Sårbare områder: tillegg til minimumsløsning
55
5 + reisetid
1 402
Kyst: 10 transekt dyp 20-200 m (1 dag), 15 transekt dyp 200-500 m (1 dag). Hav: 15 transekt (1 dag) dyp 200-300 m, 15 transekt (2 dag) dyp 300-500 m.
Totalt
165
15 + reisetid
7 447
Fullskala løsning
Hav
165
17 + reisetid
8 044
60 transekt (4 dager) dyp 200-300 m, 45 transekt (3 dager) dyp 300-400 m, 60 transekt (4 dager) dyp 400-600 m.
Kyst
165
14 + reisetid
1 374
55 transekt dyp 20 - 100 m (4 dager), 55 transekt dyp 100-200 m (4 dager), 55 transekt dyp 200-500 m (3 dager).
Sårbare områder
55
5+ reisetid
1 402
Samme som i mellomløsningen
Totalt
385
36 + reisetid
10 820
Tabell 13 : Utregningen tar utgangspunkt i tabell 4, der transektene per dag ligger nær hverandre. For hav er det tatt utgangspunkt i en døgnpris på Kr 400 000,- per døgn for havgående skip. Første året må man forvente større innsats da man må identifisere transekt som har ≥3 søppelbiter. Kostnader til rapportering må legges til totalsummen. Kostnader til reise mellom de fire stedene må legges til.
7 - Referanser
Albretsen J, Huserbråten M, Mathisen HL og Naustvoll L-J, 2018. Marin plast i Skagerrak. Rapport fra Havforskningen. Arendal: Havforskningsinstituttet.
Bajaj R, Garg S, Kulkarni N, Raut R. 2021. Sea Debris Detection Using Deep Learning : Diving Deep into the Sea. In: 2021 IEEE 4 th International Conference on Computing, Power and Communication Technologies, GUCON 2021. Institute of Electrical and Electronics Engineers Inc.
Bancud GE, Labanon AJ, Abreo NA, Kobayashi V. 2023. Combining Image Enhancement Techniques and Deep Learning for Shallow Water Benthic Marine Litter Detection. In: Koprinska I, Mignone P, Guidotti R, Jaroszewicz S, Fröning H, Gullo F, et al., editors. Machine Learning and Principles and Practice of Knowledge Discovery in Databases ECML PKDD 2022 Communications in Computer and Information Science [Internet]. Springer Nature Switzerland. (Communications in Computer and Information Science; vol. 1752). Available from: https://link.springer.com/10.1007/978-3-031-23618-1
Buhl-Mortensen L, Buhl-Mortensen P. 2017. Marine litter in the Nordic Seas: Distribution composition and abundance. Marine Pollution Bulletin, https://doi.org/10.1016/j.marpolbul.2017.08.048
Buhl-Mortensen L, Buhl-Mortensen P. 2023. Søppelforekomster på havbunn i kyst: Et pilot-prosjekt. Rapport fra havforskningen, 2022-49, ISSN:1893-4536
Buhl-Mortensen P, Buhl-Mortensen L. 2014. Diverse and vulnerable deep-water biotopes in the Hardangerfjord. – Marine Biology Research 10: 253-267, http://dx.doi.org/10.1080/17451000.2013.810759
Buhl-Mortensen P, Buhl-Mortensen L, 2018. Impacts of Bottom Trawling and Litter on the Seabed in Norwegian Waters. Front. Mar. Sci. 5 :42. Doi :10.3389/fmars.2018.00042
Cau A, Sbrana A, Franceschini S, Fiorentino F, Follesa MC, Galgani F, et al. 2024. What, where, and when: Spatial-temporal distribution of macro-litter on the seafloor of the western and central Mediterranean sea. Environmental Pollution. 342. https://doi.org/10.1016/j.envpol.2023.123028
Chen X, Lu Y, Wu Z, Yu J, Wen L. 2020. Reveal of Domain Effect: How Visual Restoration Contributes to Object Detection in Aquatic Scenes.: http://arxiv.org/abs/2003.01913
Chin CS, Bo Hui Neo A, See S. 2022. Visual Marine Debris Detection using Yolov5s for Autonomous Underwater Vehicle. In: Proceedings - 2022 IEEE/ACIS 22nd International Conference on Computer and Information Science, ICIS 2022. Institute of Electrical and Electronics Engineers Inc.; 2022. p. 20–4.
Deng H, Ergu D, Liu F, Ma B, Cai Y. An embeddable algorithm for automatic garbage detection based on complex marine environment. Sensors. 2021 Oct 1;21(19).
Đuraš A, Wolf BJ, Ilioudi A, Palunko I, De Schutter B. A Dataset for Detection and Segmentation of Underwater Marine Debris in Shallow Waters. Sci Data. 2024 Dec 1;11(1).
Eriksen et al. 2021. Særlig verdifulle og sårbare områder (SVO) i norske havområder - Miljøverdi En gjennomgang av miljøverdier og grenser i eksisterende SVO og forslag til nye områder. Rapport fra havforskningen 2021-26, 308p.
Fleet D, Vlachogianni T, Hanke G. 2021. Joint list of litter categories for marine macro-litter monitoring [Internet]. Publications Office of the European Union; 2021 [cited 2024 Oct 15]. Available from: doi:10.2760/127473
Franceschini S, Mattei F, D’Andrea L, Di Nardi A, Fiorentino F, Garofalo G, et al., 2019. Rummaging through the bin: Modelling marine litter distribution using Artificial Neural Networks. Mar Pollut Bull. 149:110580. https://doi.org/10.1016/j.marpolbul.2019.110580
Galgani F, Giorgetti A, Le Moigne M, Brosich A, Vinci M, Lipizer M, et al., 2022. EMODnet Thematic Lot n°4-Chemistry Guidelines and forms for gathering marine litter data: beach and seafloor trawlings. Version 7.1 [Cited 2024 Oct 15]. Available from: https://doi.org/10.6092/15c0d34c-a01a-4091-91ac-7c4f561ab508
Grøsvik BE, Prokhorova T, Eriksen E, Krivosheya P, Horneland PA, Prozorkevich D. 2018. Assessment of marine litter in the Barents Sea, a part of the joint Norwegian-Russian ecosystem survey. Front. Mar. Sci., 06 March 2018 | https://doi.org/10.3389/fmars.2018.00072
Haarr, M.L., Falk-Andersson, J., Fabres, J., 2022. Global marine litter research 2015–2020: Geographical and methodological trends. Science of The Total Environment 820, 153162. https://doi.org/10.1016/j.scitotenv.2022.153162
Havforskningsinstituttet, 2022. Tema: Tips for godt teinevett. [Internett] (Oppdatert 03.12.24). Tilgjengelig på: teinevett.no. Besøkt 18.11.24.
Hong J, Fulton M, Sattar J. 2020. TrashCan: A Semantically-Segmented Dataset towards Visual Detection of Marine Debris. 2020 Jul 16; Available from: http://arxiv.org/abs/2007.08097
ICES. 2022. ICES manual for seafloor litter data collection and reporting from demersal trawl samples. ICES Techniques in Marine Environmental Sciences Vol. 67. 16 pp. https://doi.org//10.17895/ices.pub.21435771
Jalil B, Maggiani L, Valcarenghi L. 2023. Comparative analysis of machine learning algorithms for the classification of underwater marine debris. In: 2023 IEEE International Workshop on Metrology for the Sea; Learning to Measure Sea Health Parameters, MetroSea 2023 - Proceedings. Institute of Electrical and Electronics Engineers Inc. Pp. 116–20.
Kleiven AR, Thorbjørnsen SH, Aslaksen T, 2021. Tiltak mot spøkelsesfiske i Raet Nasjonalpark - Arbeidsrapport. Rapport fra Havforskningen. Arendal: Havforskningsinstituttet.
Langedal G og Skaar KL. 2024. Opprensking av tapte fiskeredskaper/Retrieval of lost fishing gear, rapport fra Fiskeridirektoratet.
Madricardo F, Ghezzo M, Nesto N, Mc Kiver WJ, Faussone GC, Fiorin R, Riccato F, Mackelworth PC, Basta J, De Pascalis F, Kruss A, Petrizzo A and Moschino V (2020) How to Deal With Seafloor Marine Litter: An Overview of the State-of-the-Art and Future Perspectives. Front. Mar. Sci. 7:505134. doi: 10.3389/fmars.2020.505134
MSFD Technical Group on Marine Litter. MSFD Technical Group on Marine Litter. Guidance on the Monitoring of Marine Litter in European Seas An update to improve the harmonised monitoring of marine litter under the Marine Strategy Framework Directive. In 2023 [cited 2024 Oct 15]. https://doi.org/10.2760/59137
Morrison, L.W., 2007. Assessing the Reliability of Ecological Monitoring Data: Power Analysis and Alternative Approaches. Natural Areas Journal 27, 83–91. https://doi.org/10.3375/0885-8608(2007)27[83:ATROEM]2.0.CO;2
NORCE. 2020. Velle G, Barlaup B, Espedal EO, Haave M, Landro Y, Normann E, Postler C, Skoglund H, Stranzl S, Stöger E og Wiers T, Plast i elver på Vestland. LFI rapport nr. 390 2020.
Pham CK, Ramirez-Llodra E, Alt CHS, Amaro T, Bergmann M, et al. 2014. Marine litter distribution and density in European seas, from the shelves to deep basins. PLoS One 9 (4), e95839. http://dx.doi.org/10.1371/journal.pone.0095839.
Prozorkevich D, Eriksen E, Karlson S, Trofimov A, Ingvaldsen R, Grøsvik BE, Prokhorova T, Klepikovskiy R,Bagøien E, Johannesen E, Bogstad B, Aune M , Krivosheya P, Prokopchuk I, Windsland K, Russkikh AA, Wienerroither R, Filin A, Zimmermann F, Dolgov A, Hjelseth AM, Danielsen HEH, Bakanev S, Stesko A, Jørgensen LL, Blinova DY, Boehm F, Øien N, Strelkova N, Kudryashova A, Fauchald P, Ollus VMS, Ford J and Elton G. Editors: Prozorkevich D and van der Merren G. 2024. Survey report (Part 2) from the joint Norwegian/Russian Ecosystem Survey in the Barents Sea and the adjacent waters August-October 2023.Report series: IMR-PINRO 2024-9. Survey report (Part 2) from the joint Norwegian/Russian Ecosystem Survey in the Barents Sea and the adjacent waters August-October 2023 | Havforskningsinstituttet
Politikos D V., Adamopoulou A, Petasis G, Galgani F. 2023. Using artificial intelligence to support marine macrolitter research: A content analysis and an online database. Vol. 233, Ocean and Coastal Management. Vol 233 15 February 2023, 106466. https://doi.org/10.1016/j.ocecoaman.2022.106466
Politikos D V., Fakiris E, Davvetas A, Klampanos IA, Papatheodorou G. 2021. Automatic detection of seafloor marine litter using towed camera images and deep learning. Mar Pollut Bull. Vol 164, 111974. https://doi.org/10.1016/j.marpolbul.2021.111974
Singh, N., Bhat, A. A systematic review of the methodologies for the processing and enhancement of the underwater images. Multimed Tools Appl . 82, 38371–38396. https://doi.org/10.1007/s11042-023-15156-9
Serdar CC, Cihan M, Yücel D, Serdar MA. 2021. Sample size, power and effect size revisited: simplified and practical approaches in pre-clinical, clinical and laboratory studies. Biochemia Medica vol. 31, Issue 1. https://doi.org/10.11613/BM.2021.010502
Søvik G, Zimmermann F, Olsen SAa, Thangstad TH. 2024. Toktrapport: Overvåkning av rekebestanden i Sør-Norge. Havforsningsinstituttet: Bergen.
Thorbjørnsen SH, Kleiven AR, Aslaksen T, Jørgensen T, Kerlefsen KV, Loga SR og Numme SS, 2023a. Tiltak mot spøkelsesfiske i marine nasjonalparker - Arbeidsrapport. Rapport fra Havforskningen. Arendal: Havforskningsinstituttet.
Thorbjørnsen SH, Synnes AEW, Løset ID, Kleiven AR, 2023b. Hazard and catch composition of ghost fishing gear revealed by a citizen science clean-up initiative. Marine Policy 148, 105431. https://doi.org/10.1016/j.marpol.2022.105431
Vabø, Ø. S. (2021). Distribution, diversity, and environmental drivers of benthic megafaunal communities in five western Norwegian fjords. Mastergradsoppgave, Universitetet i Bergen, Havforskningsinstituttet.
Xue B, Huang B, Wei W, Chen G, Li H, Zhao N, et al. An Efficient Deep-Sea Debris Detection Method Using Deep Neural Networks. IEEE J Sel Top Appl Earth Obs Remote Sens. 2021;14:12348–60.
8 - Vedlegg 1. Søppelkategorier for registrering av bifangst i trål.
Søppelkategorier (A-F) med respektive underkategorier for søppeltype (ICES, 2022) for registrering av bifangst i trål.
Material-type
Kode
Norsk navn på søppeltyper
Norsk forklaring
Engelsk navn på søppeltyper
Engelsk forklaring
A Plast (Plastic)
A 1
Flaske
Beholder med smal hals.
Bottle
Container with a narrow neck.
A 2
Flak
Myk plastfolie, inkludert innpakningsmateriale.
Plate
Soft plastic foil, including wrapping material.
A 3
Pose
Alle typer poser laget av plast, inkludert nettingposer.
Bag
All types of bags made of plastic, including mesh bags.
A 4
Lokk og skrukork
Alle typer korker/lokk (f.eks. flaskekorker, sportshetter og pennelokk).
Cap and lids
All types of caps/lids (e.g. bottle caps, sports caps, and pen lids).
A 5
Fiskeline (monofilament)
Én enkelt plastline, ikke nødvendigvis fiskerelatert.
Fishing line (monofilament)
One single strain of plastic, not necessarily fishing related.
A 6
Fiskeline (flere sammenbundet)
Flere enkeltliner av plast, viklet sammen.
Fishing line (entangled)
Multiple single strains of plastic, entangled together.
A 7
Tau (av syntetiske fibre)
Tvinnede filamenter laget av syntetiske fibre.
Synthetic rope
Twined filaments made of synthetic fibres.
A 8
Fiskegarn
Laget av syntetiske fibre vevd inn i en gitterlignende struktur.
Fishing net
Made from synthetic fibres woven into a grid-like structure.
A 9
Kabelbindere
En tynn plastremse med riller på den ene kanten for å tillate en stramme- og låsemekanisme. Også kjent som buntebånd, strips eller slangebånd.
Cable ties
A thin strip of plastic with ridges on one edge to allow for a tightening and locking mechanism. Also known as zip ties or hose ties.
A 10
Stroppebånd
Syntetisk vevd stripe som brukes til å sikre emballasje.
Strapping band
Synthetic woven strip used to secure packaging.
A 11 A 11 forts.
Kasser og beholdere
Fra små oppbevarings-bokser, beholdere, kasser, brett og andre lagringsprodukter eller emballasje for mat og andre forbruksvarer, til større produkter som stablekasser, smådeleskuffer og lagertanker, inkludert industrikasser (f.eks. fiskekasser). Også plastkopper.
Crates and containers
From small plastic storage boxes, containers, crates, trays, and other storage products or packaging for food and other consumer goods, to larger products such as stack/nest boxes, small parts bins, and storage tanks, including industrial crates (e.g. fish boxes). Also plastic cups.
A 12
Bleier
En type engangsundertøy, mest brukt til spedbarn, men kan komme i voksenstørrelser.
Diapers
A type of single use underwear, most commonly used for infants, but can come in adult sizes. Also known as nappies.
A 13
Sanitetshåndklær og tamponger
Inkluderer tamponger, applikatorer og truseinnlegg med tilhøende plaststrimler.
Sanitary towels and tampons
Includes tampon applicators, panty liners, and their plastic strips.
A 14
Andre
Ugjenkjennelige gjenstander og gjenstander som ikke passer inn i andre kategorier, inkludert harde plastbiter.
Other
Unrecognisable items and items not fitting in other categories, including hard plastic pieces.
A 15
Medisinsk maske
Medisinske engangsmasker, FFP2, FFP3 og ansiktsskjermer.
Medical mask
Single use medical masks, FFP2, FFP3, and face shields.
A16
Annen fiskerirelatert plast
Plastartikler knyttet til fiske- og akvakulturaktiviteter (f.eks. teiner, ruser og feller). Denne kategorien inkluderer ikke fiskegarn som dekkes av kategori A8.
Other fishing related plastics
Plastic items related to fishing and aquaculture activities (e.g. pots and traps). This category does not include fishing nets which are covered in category A8.
B Metall (Metal)
B 1
Bokser (mat)
Metallbokser, uavhengig av form, brukes til matoppbevaring.
Cans (food)
Metal cans, independent of shape, used for food storage.
B 2
Bokser (drikke)
Metallbokser, uavhengig av form, brukt til drikkevarer. For væsker som ikke er beregnet på konsum, bruk kategori B4.
Cans (beverage)
Metal cans, independent of shape, used for beverages. For liquids not meant for human consumption, use category B4.
B 3
Fiskerirelatert
Metallgjenstander relatert til fiskeaktiviteter, som linefiske og/eller tråling (f.eks. kroker, sjakler, kjetting og søkke).
Fishing related
Metal items related to fishing activities, such as line fishing and/or trawling (e.g. hooks, shackles, ticklers, and sinkers).
B 4
Beholder/spann
Sylindriske eller avlange beholdere og spann (f.eks. for olje eller maling).
Drums
Cylindrical or oblong containers and pots (e.g. for oil or paint).
B 5
Elektrisk eller mekanisk utstyr (hvitevarer)
Elektriske eller mekaniske enheter.
Appliances
Electric or mechanical devices.
B 6
Bildeler
Alle bilrelaterte deler som hovedsakelig består av metall.
Car parts
All car related items which mainly consist of metal.
B 7
Kabler
Metallkabler og elektriske ledninger.
Cables
Metal cables and electrical wires.
B 8
Andre
Ugjenkjennelige gjenstander eller gjenstander som ikke passer i andre kategorier, inkludert metallbiter og skruer.
Other
Unrecognisable items or items that do not fit in other categories, including metal pieces and screws.
C Gummi (Rubber)
C 1
Støvler, fottøy
En støvel laget av gummi.
Boots, footwear
A boot made of rubber.
C 2
Ballonger
Tynn oppblåsbar gjenstand av gummi (f.eks. brukt som leketøy eller dekorasjon).
Ballons
Thin rubber inflatable object (e.g. used as a toy or decoration).
C 3
Trålspoler
En del av trålutstyret (runde eller rørformede gjenstander forbundet med tråd, wire eller garn for å rulle over havbunnen). Også kjent som rockhoppere.
Bobbins (fishing) (rockhoppers)
Part of the fishing net (a round or tube-shaped object connected by thread, wire, or net to roll over the seafloor). Also known as rockhoppers.
C 4
Dekk
Tykk gummiring som monteres rundt ytterkanten av et kjøretøyhjul.
Tyre
Thick rubber ring that is fitted around the outer edge of a vehicle wheel.
C 5
Hanske
Klær som bæres på hender og håndledd laget av kunstig eller naturlig gummi (f.eks. hansker brukt i fiskeri og laboratoriehansker av nitrilgummi).
Glove
Piece of clothing that is worn on the hands and wrists made from artificial or natural rubber (e.g. gloves used in fisheries and nitrile rubber laboratory gloves).
C 6
Andre
Ugjenkjennelige gjenstander og gjenstander som ikke passer i noen andre gummikategorier ovenfor.
Other
Unrecognisable items and items that do not fit in any other rubber categories above.
D Glass og keramikk (Glass and ceramics)
D 1
Krukke
En beholder med bred munn laget av glass eller keramikk.
Jar
A wide-mouthed container made of glass or pottery.
D 2
Flaske
En glassbeholder med smal hals.
Bottle
A glass container with a narrow neck.
D 3
Bruddstykke
Fragment av en større gjenstand laget av glass eller keramikk.
Piece
Fragment of a larger item made of glass or ceramics.
D 4
Andre
Ugjenkjennelige gjenstander og gjenstander som ikke passer inn i andre kategorier (f.eks. drikkeglass, kopper, keramiske fliser eller murstein).
Other
Unrecognisable items and items that do not fit in other categories (e.g. drinking glasses, cups, ceramic tiles, or bricks).
E Naturprodukter (Natural products)
E 1
Prosessert tre
Bearbeidede gjenstander laget av tre (f.eks. kosteskaft, planker eller rigg).
Wood processed
Processed objects made of wood (e.g. broomstick, planks, or rigging).
E 2
Tau
Tau laget av naturlige fibre, som bomull, sisal, hamp eller kokosfibre. For tau laget av syntetiske fibre, se kategori A7.
Rope
Ropes made from natural fibres, such as cotton, sisal, hemp, or coir. For ropes made from synthetic fibres see category A7.
E 3
Papir og papp
For eksempel aviser eller kraftige papirbaserte produkter.
Paper and cardboard
For example, newspapers or heavy-duty paper-based products.
E 4
Palle
Flat transportstruktur i tre.
Pallets
Flat wooden transport structure.
E 5
Andre
Ugjenkjennelige, menneskeskapte, bearbeidede gjenstander og gjenstander som ikke passer inn i andre kategorier, for eksempel skifertakstein, brostein, betong, slaggstein eller kull. Når kildematerialet er et naturprodukt som med hensikt har blitt varmet opp for å produsere et menneskeskapt materiale, tilhører det kategori D (f.eks. murstein eller ting laget av glass).
Other
Unrecognisable, man-made, processed items and items that do not fit in other categories, such as slate roof tiles, cobbles, concrete, cinder stone, or coal. When the source material is a natural product that has been intentionally heated to produce a man-made material, it belongs to category D (e.g. bricks or things made of glass).
F Diverse (Miscallaneous)
F 1
Klær og filler
Alle typer klær, tekstil og vevde produkter, bortsett fra gummihansker som tilhører underkategori C5.
Clothing and rags
All types of clothing, textile and woven products, except for rubber gloves which belong to subcategory C5.
F 2
Sko
Alle typer fottøy, bortsett fra gummistøvler som tilhører underkategori C1.
Shoes
All types of footwear, except for rubber boots which belong to subcategory C1.
F 3
Andre
Ugjenkjennelige gjenstander og gjenstander som ikke passer inn i andre kategorier.
Other
Unrecognisable items and items that do not fit in other categories.