Gå til hovedinnhold

Delousing Efficacy and Physiological Impacts on Atlantic Salmon of Freshwater and Hyposaline Bath Treatments

Forfatter(e): Cameron Thompson , Angelico Madaro , Frode Oppedal , Lars Helge Stien og Samantha Bui (HI)

Sammendrag

A pilot study was conducted to investigate the delousing efficacy and physiological effects of freshwater and hyposaline water in Atlantic salmon ( Salmo salar ) for various treatment durations. There were four primary treatment groups: salmon lice ( Lepeophtheirus salmonis) infected fish held in seawater (procedural controls), infected fish treated in freshwater (buffered with 1% seawater), uninfected fish treated in freshwater, and infected fish treated with hyposaline water. The ion-modified, hyposaline water (~5 ppt salinity) was created through nano-filtration technology which desalinated seawater. Salmon were held for a period ranging from 30 minutes to 48 hours in their designated treatment bath, lice counts were made before and after treatment to measure efficacy of delousing, and blood samples were taken to investigate the physiological effects on fish. The freshwater treatment had no apparent delousing effect when compared with the seawater group, but just 5% of lice remained on fish after a 4-hour hyposaline treatment. The osmotic balance of fish in the freshwater and hyposaline treatments shifted towards a lower internal concentration of ions with longer bath durations, but the fish recovered once transferred back to seawater. Indicators of stress reflected a less clear pattern with bath duration which may be due to the additional handling stress associated with moving fish between tanks and an elevated stress response triggered by transition back to a freshwater environment.

1 - Introduction

Parasitism by salmon lice (Lepeophtheirus salmonis) is a challenge for the salmon aquaculture industry both for the harm it does on farms and due to their spread to wild populations of salmonids (Costello, 2009b, 2009a, Vollset et al., 2018) . The copepods which eat the blood, skin and mucous of their hosts, proliferate on farms causing wounds, reduced growth, and poor welfare outcomes (Bowers et al., 2000, Finstad et al., 2000, Fjelldal et al., 2020, Fjelldal et al., 2022). They also have the potential for spreading from farms to infect wild salmonids including newly smoltified juvenile Atlantic salmon on their way from natal rivers to the open ocean (Thorstad et al., 2012, Taranger et al., 2015, Bøhn et al., 2020 ). The infected salmon have a higher risk of mortality,

Several chemotherapeutics have been developed for the effective control of epidemics, but the repeated use of such drugs has led to the gradual build-up of resistance to them in the salmon lice population (Aaen et al., 2015, Myhre Jensen et al., 2020). In an effort to find new treatments that are more effective and better for the environment several non-medicinal methods have been developed and deployed including cleaner fish, mechanical treatments, warm water baths, freshwater and hyposaline baths (Overton et al., 2019). However, their use and in particular the use of mechanical and thermal treatments have been linked to a higher rate of mortality and greater prevalence of injury in the treated fish (Overton et al., 2019, Oliveira et al., 2021, Persson et al ., 2022). Among the novel non-medicinal treatments,

Freshwater is useful as a delousing treatment because the salmon louse is a copepod ectoparasite adapted to saltwater and has demonstrated sensitivity to low salinities (Bricknell et al., 2006). However, the delousing efficacy of freshwater can be variable since it is dependent on the salinity of the water, the duration of the bath, and the tolerance of the particular lice population treated (Stone et al., 2002, Connors et al., 2008, Powell et al., 2015, Wright et al., 2016). Furthermore, its broadscale application has been hampered by the demanding logistics and potential environmental impact of transporting large volumes of freshwater to salmon farms. A solution to the latter problem has been developed in the form of nano-filtration technologies which can provide large volumes of desalinated hyposaline water (~5 ppt) from seawater at the farm site, and hyposaline bath treatments using this new technology have already been successfully conducted (Mc Dermott et al., 2021). Nevertheless, the welfare impact of the treatment and the optimal bath duration for delousing remains understudied. The rapid shift to a freshwater environment is physiologically demanding for the fish and extended treatments may result in osmotic dysregulation (Powell et al., 2015). Here , we conducted a preliminary trial at the IMR facilities in Matre to investigate the delousing efficacy and physiological impacts on fish of freshwater and hyposaline treatments at different bath durations.

2 - Methods

2.1 - Experimental Design

Over two experimental rounds in January and February 2022, 545 Atlantic salmon post-smolts (mean weight of 350 g) were held in tanks (400L, 12 °C) with 35 fish per tank. 390 of the fish were infected with salmon lice while 155 remained uninfected. All parasitized host fish were infected in holding tanks with lice sourced from farms near Matre and Austevoll, Norway. Louse egg strings were incubated and hatched following Hamre et al. (2009), and a quantity of 6-9 day old copepodids equal to an infection pressure of 30 lice per fish was added to each tank. During the infection, the flowing seawater is turned off and the salmon louse copepodids are added. After 40 minutes the water flow is turned back on flushing any remaining unattached copepodids out of the tank. The fish were held for 21 days at a temperature of 15 °C until adult stages of salmon lice had developed in the infected tanks. Thereafter the water temperature was decreased to 12 °C over two days prior to treatment application.

There were four primary treatment groups: infected fish held in seawater (procedural controls), infected fish treated in freshwater (buffered with 1% seawater), uninfected fish treated in freshwater, and infected fish treated with hyposaline water. Freshwater and seawater treatments used flow-through water supply, however hyposaline water was static with oxygen stones provided to each tank to ensure oxygenation and some water movement. Water samples were collected from treatment tanks once prior to treatment, and after all bath durations (hyposaline treatments) or 6–8-hour treatments (freshwater treatments). pH was monitored intermittently in hyposaline baths.

The ion-modified water was created using patent-pending nano-filtration technology (Fiizk Future Technology, Norway) that creates desalinated seawater which differs in its water chemistry from freshwater (Table 1). The mean pre-treatment salinity of the hyposaline water was 5.1 ppt compared to 0.7 ppt for the freshwater which was buffered with seawater. While the Cl and Na concentration was higher in the hyposaline water the concentration of magnesium and calcium was lower. The filtered seawater was pumped from Matrefjorden at a depth of 90 m and had a salinity of 34 ppt.

  pH Sal [ppt] Cl [mg/L] TAN [mgN/L] In [mg/L] Mg [mg/L] K [mg/L] Ca [mg/L]
Hyposaline 6.7 5.1 2640 0.013 1540 1.2 79.2 0.72
Freshwater 5.9 0.7 350 0.050 145 19.0 5.7 6.05
Table 1: Water chemistry of pre-treatment hyposaline and freshwater.

Prior to treatment application, fish were sedated (metomidate hydrochloride, 0.01 g L-1), the number of lice on each fish was enumerated and 15 fish (per treatment group) were euthanized then sampled for blood, while the remaining fish were transferred in groups of 10 to the experimental tanks with their designated treatment water. The fish were then held in their treatment water for a period of time ranging from 30 minutes to 48 hours (Figure 1). Immediately after the end of the exposure duration fish were netted into a separate vessel with sedative (metomidate hydrochloride, 0.01 g L-1), and once the fish went unconscious the number of lice for each fish was enumerated, measurements for weight and length were taken, and blood samples were collected. The salmon, which remained sedated, were then transferred through a live-fish pump to simulate treatment conditions at a farm, and the louse number was counted again to determine the proportion loss associated with the mechanical stimulation. Two different live-fish-pumps were used to explore whether pump type influenced delousing efficacy: a slightly smaller pump with housing and plastic hoses (6” Fish Pump, Vaki Norway) and a commercial-type ejector pump where fish flow straight through the steel pipes (PG-Hydroflow, PG Flow Solutions, Norway). The primary fish pump was used for the majority of transfers while the commercial alternative was used on salmon that had been in a hyposaline bath for 4, 6, and 8 hours. For both pump types, it took <15 s for fish to travel through the system.

To characterize osmotic and stress recovery, a subset of fish from the fresh and hyposaline water treatment groups had their treatment water switched to seawater after the initial 8-hour bath and were held for an additional 30 minutes to 3 hours (Figure 1). As in the main experiment, they were then measured for weight and length, blood samples were taken, lice were enumerated, and they were transferred through the live-fish-pump after which the number of lice were enumerated again. Fish remained sedated throughout all activities after the bath and were euthanized using an overdose of sedative (metomidate hydrochloride, 0.1 g L-1) after the pumping and final louse enumeration.

 

A flow diagram showing the experimental steps.
Holding Tank: Infected, Uninfected -> Lice Counts, Blood Samples -> (Bath Treatment: SW, infected; FW, infected; FW, uninfected; HS, infected) x (Duration (hours): 0.5, 1, 2, 3, 4, 6, 8, 12, 24, 24, 48 -> [Arrows in two directions A & B] A) -> Lice Counts, Blood Samples, Weights -> Live Fish Pump: Primary, Alternative -> Lice Counts B) -> After 8 hour FW bath, switch to SW -> Duration (hours): 0.5, 1, 2, 3 -> Lice Counts, Blood Samples, Weights -> Live Fish Pump: Primary -> Lice Counts
Figure 1. Experimental Design. Various experimental steps, bath durations, and taken measurements (in red boxes) are indicated for the treatment groups: Saltwater (SW), Freshwater (FW), Hyposaline (HS). Note that blood samples were not taken from fish treated in saltwater.

 

2.2 - Freshwater and Hyposaline Bath Treatment Efficacy

The number of lice per fish was enumerated on pre-treatment fish, and on all fish before treatments, after the delousing bath treatments, and after transfer of the salmon through the live-fish-pump. Coinciding with the louse count after bath treatment are measurements of weight, length, and condition factor (K), which was calculated using the formula K = (Weight*Length^(-3))*100 . Delousing efficacy was analyzed with generalized linear modeling (GLM) using a negative binomial distribution (glm, R core team 2019). At the time of measurement following the bath treatment the louse number was fitted to models using the explanatory variables: bath treatment group, the duration of the bath in natural log transformed minutes, weight, length, and condition factor. Since weight, length, and condition factor are collinear variables only one of the variables could be included in the selected model. After exposure to the fish pump, another set of models fit louse number to explanatory variables which included the type of live-pump used and excluded the variables not observed at that time (weight, length, and condition factor). Data exploration, following Zuur et al. (2009), indicated interaction between the bath duration and treatment. Thus, models with and without interactions were examined. Including the null models there were 11 models fitted to the dataset collected after bath treatments, and 7 models fit to the dataset collected after pump transfer. Selection for each set of models was determined through Akaike information criterion (AIC) with the lowest AIC model being selected as the best performing, so long as it had the same number or fewer variables then an alternative model within 2 AIC. In both sets of models the reference treatment group was set to seawater bath treatment, and observations were weighted to treatment and duration-specific mean number of lice per fish measured prior to treatment.

2.3 - Physiological Response: Blood Plasma Parameters

All blood samples were taken using heparinized syringes, whole blood was extracted and placed on ice until it was centrifuged at 5000 g for 5 min, after which the plasma supernatant was transferred to a new vial and stored in a -80 °C freezer. Osmolarity was measured on 20 μl aliquots of the plasma supernatant by freeze point determination using an Osmo Pro-Multi sample Micro Osmometer (Advanced Instruments). Cortisol concentration in the plasma was measured using an ELISA assay kit (Cat.no. DES6611, Demeditec Diagnostics GmbH, Germany) and a Sunrise microplate reader (Tecan). An BL90 FLEX blood gas analyzer (Radiometer Medical ApS, Denmark) was used on 65 μl of the remaining aliquots to determine the concentration of the blood plasma parameters: K+, Na+, Cl-, Ca++ ions, pH, lactate and glucose metabolites.  Each of the blood plasma parameters was analyzed with linear models (lm, R core team 2019) using the explanatory variables of bath treatment and louse infection, and bath duration in minutes which was transformed by the natural log.

3 - Results

3.1 - Fresh and Hyposaline Water Delousing Efficacy

The treatment tanks of 10 fish were sampled before treatment and after their designated bath treatment so that each observation of lice load is an independent measurement. Prior to treatment all lice were in the adult stages and the mean lice load was 9.37±0.29 per host fish, with the mean of individual treatment tanks (n = 28) ranging from 3.6 to 15 lice per fish. At the time of the experiment, the mean and standard error salmon weight was 355.7±4.3 g, length was 32.2±0.5 cm, and condition factor was 1.09±0.01.

Eqn. 1:

〖Lice after bath treatment〗_i= α+β_1 〖Bath Duration 〗_i*β_2 〖Bath Treatment〗_( i) 〖+ β〗_3 〖Weight〗_i+ε_e

The select statistical model predicting the louse load after bath treatment (Eqn. 1) had 251 degrees of freedom and an AIC of 9637 compared to the null model with an AIC of 11817. The seawater treatment group was the reference with an intercept of 1.67 and bath duration did not have a significant effect on predicted lice load, but weight significantly (P-value = 0.32) increased lice load with a coefficient of 0.4 per kg. The freshwater treatment was not significantly different than the seawater (P-value = 0.98) and for this group lice load did not significantly decrease with bath duration (P-value = 0.50). The hyposaline treatment group had significantly (P-value <0.001) more lice prior to treatment with a coefficient of 5.51 and lice in that group decreased (P-value <0.001) with bath duration at a coefficient of -1.28.

Eqn. 2:

〖Lice after bath treatment and live pump〗_( i)= α+β_1 〖Bath Duration 〗_i*β_2 〖Bath Treatment〗_( i) 〖+ β〗_3 〖Pump〗_i+ε_e

The selected model predicting lice load after the bath treatment and transfer of fish through a live pump was similar to the earlier model since only the response variable was changed in the dataset (Eqn. 2). Here the degree of freedom was also 251 and the AIC of the selected model was 8329 compared to the null with 10883. The lice load of the reference seawater group had an intercept of 1.74, which did not significantly change with bath duration (P-value = 0.32). As in the previous model the freshwater treatment was not significantly different (P-value =0.78) and its lice load did not decrease with bath duration (P-value <0.104). The hyposaline water treatment had greater lice per fish (P-value <0.001) with a coefficient of 5.59 and in that treatment the bath duration decreased lice load (P-value <0.001) at a coefficient of -1.37. The selected model did not include weight or its covariates but instead included the pump type, which decreased lice load by 1.7 for those fish that were transferred with the alternate commercial pump (P-value <0.001).

The greatest relative reduction in lice load for the hyposaline treatment happened between 2 and 3 hours in the bath. After 6 hours in the post-bath counts and just 4 hours in the post-pump counts the lice load was less than 5% of the pre-treatment levels (Fig 2). Thus, the lice load was already below 5% for the treatments where the commercial live pump was used (4, 6, 8 hours). Using either pump in the hyposaline treatment, the lice load decreased further between the post bath treatment counts and after the counts made after pump transfer. Although the freshwater treatment was not found to predict a lower lice level in the models, the lice load after pumping is lower in the freshwater treatments in comparison to the seawater treatments (Fig 2). Overall, the lice counted after the freshwater bath were 88% that of the pre-treatment levels, and after pumping the lice counts were 76% that of the pre-treatments.

 

The below table is an alternative presentation of the data in the figure. 

Bath Treatment Type,	Difference in Lice Before and After Treatment,	Bath Duration in Minutes
Saltwater	-0.1	30
Saltwater	0.9	60
Saltwater	1.0	180
Saltwater	-0.1	360
Saltwater	0.5	480
Saltwater	-0.1	720
Freshwater	0.0	30
Freshwater	-0.3	60
Freshwater	-1.2	120
Freshwater	-1.2	180
Freshwater	-2.3	240
Freshwater	-1.4	360
Freshwater	0.2	480
Freshwater	0.1	720
Freshwater	-1.8	1440
Freshwater	-0.6	2880
Hyposaline	-1.4	30
Hyposaline	-1.2	60
Hyposaline	-2.8	120
Hyposaline	-9.0	180
Hyposaline	-9.2	240
Hyposaline	-13.2	240
Hyposaline	-11.5	360
Hyposaline	-11.8	360
Hyposaline	-11.9	480
Hyposaline	-12.5	720
Figure 2. Lice reduction due to bath treatment and live-pump transfer. In a subset of hyposaline treatments an alternative pump was used to transfer fish after the bath, those data points are depicted in orange.

3.1 - Plasma Analyses

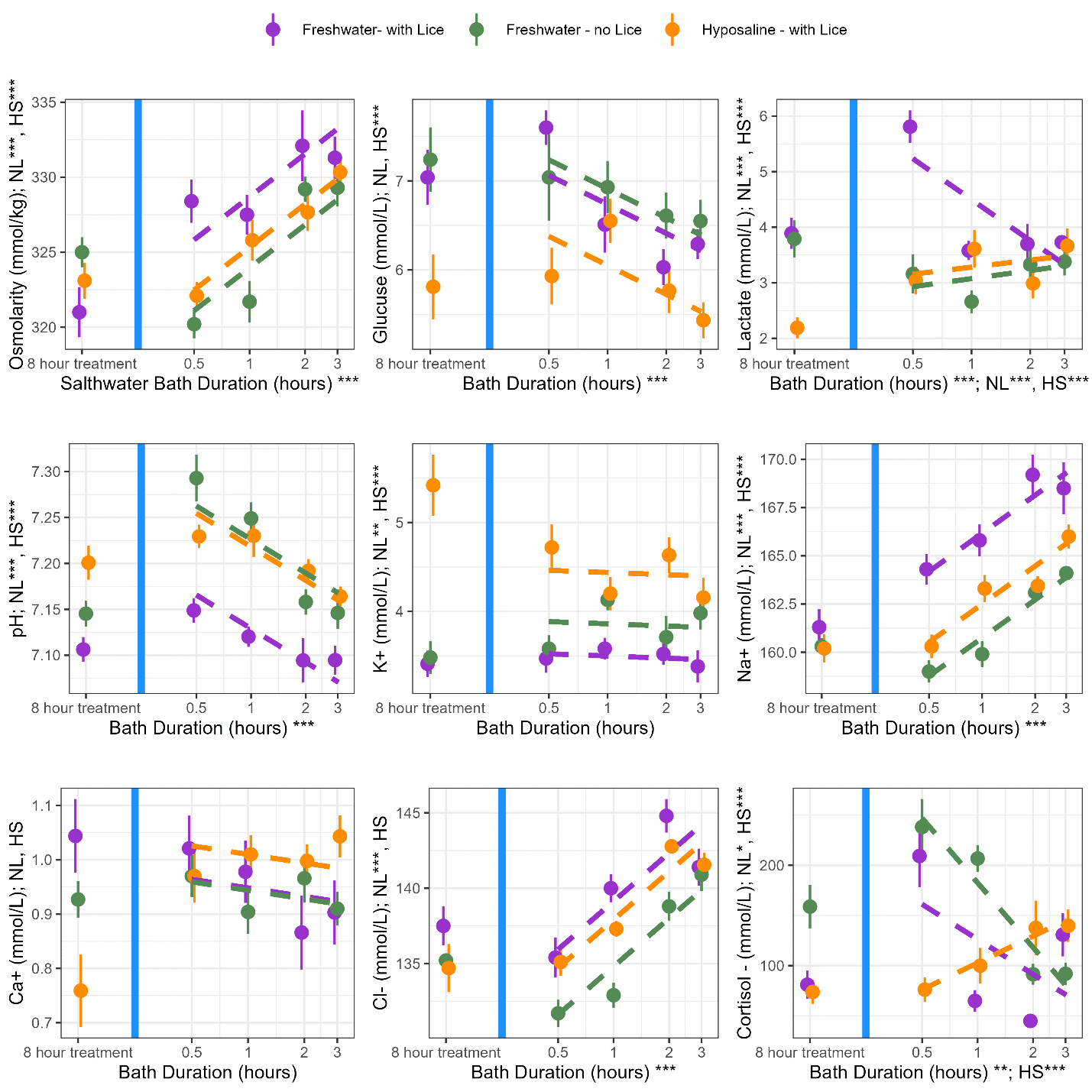
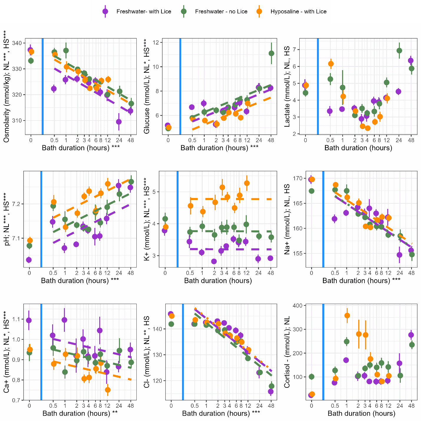
At all bath treatment durations there were 9 blood plasma parameters measured from louse infected and uninfected fish treated with a freshwater bath and from infected fish treated with a hyposaline bath. The linear models fit to these datasets indicated significant differences due to treatment group infection in 7 of the 9 parameters, and a significant effect of bath duration in 6 of the parameters (Fig. 3). Osmolality, Na+, Ca+ and Cl- decreased with bath duration while Glucose and pH increased. Compared to the reference level of infected fish treated with freshwater, the uninfected freshwater treated lice had a higher value in the parameters Osmolarity, Glucose, Lactate, pH, K+, and Cortisol, while having a lower value in Ca++ and Cl-. Meanwhile, the hyposaline treated fish with lice had higher values in Osmolarity, pH, and K+, and lower values in Glucose and Ca++.

Neither the lactate nor cortisol blood parameters could be fit with linear models because examination of the model and its residuals following standard protocols (Zuur et al., 2010, Zuur & Ieno, 2016) indicated heteroscedasticity and non-linear patterns. Nevertheless, the data shows commonalities between the treatments with bath duration. Lactate is initially elevated in all treatments before reaching a low after 3 to 4 hours and then increases with longer bath durations (Fig. 3). Similarly, cortisol reaches its highest measurements in all treatments after an hour bath and then declines before increasing again after 12 hours. Cortisol levels of fish in the freshwater treatments declined faster than those in the hyposaline treatments, reaching their minimum or near minimum by hour 2 while the cortisol levels of fish in the hyposaline treatment did not reach their lows until hour 6.

A figure with 9 separate plots of the blood parameters. The three treatments are present in each plot with a data point for the mean measurement at each bath duration. The following table has those data points for each measurement.


Treatment	Bath Duration	Osmolarity (mmol/kg); NL***, HS***	Glucuse (mmol/L); NL*, HS***"	Lactate (mmol/L); NL, HS	pH; NL***, HS***	K+ (mmol/L); NL***, HS***	Na+ (mmol/L); NL, HS	Cl- (mmol/L); NL**, HS	Ca+ (mmol/L); NL*, HS***	Cortisol_(mmol/L); NL, HS
Freshwater_Lice	0	337	5.2	4.9	7.0	3.8	170	146	1.1	23
Freshwater_Lice	30	322	6.7	3.4	7.1	3.4	162	142	1.0	76
Freshwater_Lice	60	326	7.0	3.5	7.1	3.1	163	143	1.1	170
Freshwater_Lice	120	326	5.3	3.5	7.1	2.8	164	143	0.9	103
Freshwater_Lice	180	327	6.3	2.9	7.1	3.2	163	142	1.0	105
Freshwater_Lice	240	325	6.4	3.1	7.1	3.3	164	140	0.9	81
Freshwater_Lice	360	325	6.7	4.0	7.1	3.5	163	139	0.9	80
Freshwater_Lice	480	321	7.0	3.9	7.1	3.4	161	138	1.0	81
Freshwater_Lice	720	320	6.3	4.1	7.2	3.4	162	131	0.8	85
Freshwater_Lice	1440	310	8.3	4.5	7.3	2.9	155	123	0.9	157
Freshwater_Lice	2880	314	8.3	6.4	7.2	2.9	156	116	1.0	276
Freshwater_No Lice	0	333	4.9	4.4	7.1	4.2	167	142	0.9	101
Freshwater_No Lice	30	337	5.8	5.3	7.2	3.7	168	142	1.0	127
Freshwater_No Lice	60	337	6.3	4.8	7.2	3.9	168	142	0.8	248
Freshwater_No Lice	120	330	6.4	3.1	7.1	3.7	163	139	0.9	105
Freshwater_No Lice	180	328	6.3	3.5	7.1	3.9	162	140	0.9	136
Freshwater_No Lice	240	326	6.7	3.2	7.1	3.9	161	138	0.9	150
Freshwater_No Lice	360	323	6.9	3.3	7.2	3.9	160	135	0.9	140
Freshwater_No Lice	480	325	7.2	3.8	7.1	3.5	160	135	0.9	159
Freshwater_No Lice	720	320	7.3	5.1	7.2	4.0	159	129	0.9	142
Freshwater_No Lice	1440	321	8.2	6.9	7.2	3.6	159	123	0.9	106
Freshwater_No Lice	2880	317	11.1	5.9	7.3	3.6	155	118	0.9	235
Hyposaline_Lice	0	337	5.0	4.9	7.1	3.9	170	145	1.0	28
Hyposaline_Lice	30	336	5.7	6.2	7.2	4.6	169	144	0.9	93
Hyposaline_Lice	60	331	5.6	4.2	7.1	4.4	166	143	0.9	358
Hyposaline_Lice	120	329	5.3	3.4	7.2	4.7	165	142	0.9	280
Hyposaline_Lice	180	326	5.8	2.5	7.2	5.1	160	138	0.8	276
Hyposaline_Lice	240	322	6.2	2.3	7.2	4.8	160	137	0.8	176
Hyposaline_Lice	360	323	6.1	2.7	7.2	4.5	162	136	0.9	110
Hyposaline_Lice	480	325	5.8	3.0	7.2	4.9	162	135	0.9	81
Hyposaline_Lice	720	326	7.0	4.1	7.3	5.3	162	132	0.8	105

Fig. 3. Freshwater and Hyposaline water bath treatment blood plasma parameters. Bath duration was log transformed for model fit. The parameter values of pre-treatment samples are shown at the 0 time point with a solid blue line indicating that they were not included in the model. Model significance of the bath duration, and significant differences from the reference level of freshwater infected lice is indicated in the axis labels by astricts: *p-values < 0.05, **p-values < 0.01, ***p-values < 0.001. NL –freshwater treated fish with no louse infection, HS – hyposaline treated fish with lice infection. Linear Models could not be fit to Lactate and Cortisol data.

The same 9 blood parameters were measured in salmon with and without lice infection in a subset of fish that were treated for 8 hours in freshwater or hyposaline water that was then switched to seawater. The fish were in the seawater bath for 30 min to 3 hours before being sedated and sampled for blood plasma. The linear models fit to these datasets indicate significant difference due to treatment group infection in 8 of the 9 parameters, and a significant effect of bath duration in 7 of the parameters (Figure 3). Osmolality, Na+ and Cl- increased with bath duration while Glucose and pH decreased. Using freshwater infected fish as the reference level, the uninfected freshwater treated fish had a lower value in the parameters Osmolarity, K+, Na+ and Cl-, while having a higher value in Glucose and pH. The hyposaline treated fish with lice had lower values in Osmolarity, Glucose, and Na+, and higher values in pH, K+, and Ca++. The models for lactate and cortisol included interaction terms between the treatments and bath duration. Lactate concentration in the blood plasma of freshwater treated fish with lice started off much higher than the other treatments before decreasing with bath duration. The cortisol levels of hyposaline treated fish started lower than the other treatments after the 30 min seawater bath, but then steadily increased with bath duration.

 

A figure with 9 subplots. Plots show the mean measurement of the blood parameter at that bath duration. The data points are separated by treatment type. Here is a table of all the mean data points in the plot. 

Treatment	Bath Duration (minutes)	Osmolarity (mmol/kg); NL***, HS***	Glucuse (mmol/L); NL*, HS***"	Lactate (mmol/L); NL, HS	pH; NL***, HS***	K+ (mmol/L); NL***, HS***	Na+ (mmol/L); NL, HS	Cl- (mmol/L); NL**, HS	Ca+ (mmol/L); NL*, HS***	Cortisol_(mmol/L); NL, HS
Freshwater_Lice	0	321	7.04	3.89	7.11	3.41	161	138	1.04	81
Freshwater_Lice	30	328	7.60	5.81	7.15	3.47	164	135	1.02	209
Freshwater_Lice	60	328	6.51	3.58	7.12	3.58	166	140	0.98	65
Freshwater_Lice	120	332	6.03	3.70	7.09	3.52	169	145	0.87	45
Freshwater_Lice	180	331	6.29	3.73	7.09	3.38	169	141	0.90	131
Freshwater_No Lice	0	325	7.24	3.79	7.15	3.48	160	135	0.93	159
Freshwater_No Lice	30	320	7.04	3.16	7.29	3.58	159	132	0.97	238
Freshwater_No Lice	60	322	6.93	2.66	7.25	4.13	160	133	0.90	207
Freshwater_No Lice	120	329	6.61	3.33	7.16	3.71	163	139	0.97	91
Freshwater_No Lice	180	329	6.55	3.38	7.15	3.98	164	141	0.91	92
Hyposaline_Lice	0	323	5.81	2.19	7.20	5.42	160	135	0.76	74
Hyposaline_Lice	30	322	5.93	3.04	7.23	4.72	160	135	0.97	76
Hyposaline_Lice	60	326	6.55	3.61	7.23	4.20	163	137	1.01	100
Hyposaline_Lice	120	328	5.77	2.99	7.19	4.63	163	143	1.00	138
Hyposaline_Lice	180	330	5.43	3.67	7.16	4.16	166	142	1.04	140
Figure 4. Blood plasma parameters of fish recovering in seawater after the 8-hour freshwater bath treatment. Bath duration was log transformed for model fit. The parameter values of 8-hour treatment samples are shown at the initial time point with a solid blue line indicating that they were not included in the model. Model significance of the bath duration, and significant differences from the reference level of freshwater infected lice is indicated in the axis labels by astricts: *p-values < 0.05, **p-values < 0.01, ***p-values < 0.001. NL –freshwater treated fish with no louse infection, HS – hyposaline treated fish with lice infection. Linear models for Lactate and Cortisol include an interaction term.

 

4 - Discussion

4.1 - Delousing efficacy

Surprisingly these results indicated that freshwater treatment was no different than the seawater treatment in its delousing efficacy while the hyposaline treatment was highly effective. Likewise, previous studies have demonstrated freshwater baths to be both a less effective (Stone et al., 2002, Connors et al., 2008, Wright et al., 2016) and highly effective at removing lice (Reynolds, 2013, Powell et al., 2015, Mc Dermott et al., 2021). The variability in efficacy of those studies may be related to the bath durations with the low efficacy results from Stone et. Al (2002) and Wright et. Al (2016) having come after a 3 hour or less bath treatment. Elsewhere, a 4 hour or longer bath was shown to have high efficacy (Reynolds, 2013, Powell et al., 2015). This study further showed that efficacy did not increase gradually with bath duration but instead showed a large increase after 3 hours in the bath prior to pumping the fish, which indicates a threshold limit of tolerance for the lice. Efficacy then increased further with longer durations but not past 4 hours when then fish was also handled with the live-fish pump. As demonstrated in earlier studies (Reynolds, 2013, Powell et al., 2015), the increase in efficacy between the bath and the bath plus pump treatments illustrates the importance of incidental mechanical delousing on the overall efficacy with Coates et. al (2021) further suggesting that it is a synergistic effect.

The developmental stage of the salmon louse is also an important factor in delousing efficacy with the early attached stages of salmon lice having less tolerance to freshwater than the later mobile stages (Connors et al., 2008, Powell et al., 2015, Wright et al., 2016, Andrews & Horsberg, 2020). Here the salmon lice were all in the adult stages, but their tolerance to freshwater could nonetheless have varied because they represented different populations. Since, the experiment was held over two rounds the wild lice used had to be gathered from wild sources a month apart and their tolerances may have differed. Phenotypic variability in freshwater tolerance has been previously demonstrated, but the underlying mechanism remains unresolved with Andrews and Horsberg (2020) suggesting a genetic aspect. The possible selection of freshwater tolerance through delousing operations presents a problematic path toward resistance (Coates et al., 2021). Nevertheless, in this case the difference in phenotypic tolerance of the lice would have to be very large to account for the observed outcome. The efficacy was greater in the hyposaline treatments with the higher salinity of ~5 ppt compared to the lower freshwater salinity of ~1ppt. Thus, salinity alone may not be the only component of the water chemistry that influences treatment efficacy, suggesting the need to better understand the role of other factors such as magnesium and calcium concentration on louse survival (Powell et al., 2015, Mc Dermott et al., 2021).

5.2 - Physiological response

The overall finding of this study is that both freshwater and hyposaline bath treatments induce a rapid physiological change and lead to osmotic imbalances. Furthermore, the osmotic disruption increases with bath duration which supports the general recommendation that the bath duration should be no longer than necessary. The decline of osmolality may be caused by a loss of sodium, calcium, and chlorine plasma concentration after transfer in the bath treatment, leading to a loss of osmotic balance. The rapid transfer of saltwater adapted salmon to freshwater leads to the reduction of their blood plasma ions due to diffusional efflux of ions at the gills, urinary excretion of ions, and to a lesser extent water uptake from the environment (Maxime et al., 1990). When fish are moved from an 8-hour bath treatment back to seawater their osmotic balance recovers towards the pre-treatment levels. While there is no difference in the stress response between fish with and without lice, the data does suggest that infected fish have a greater loss in osmotic balance which is primarily shown in the decline of osmolality. Previous studies have demonstrated that salmon louse infection leads to osmoregulatory disruption in saltwater environments (Grimnes & Jakobsen, 1996, Bjorn & Finstad, 1997). Fjelldal et al. (2020) suggest that the osmotic changes may be due to an infection induced stress response and/or the leakage of ions across the cuticle through lesions caused by louse grazing. Likewise, those mechanisms may be responsible for the infected fish in this study having a greater osmotic response when transferred to treatment water and back to saltwater.

Interpreting the stress response of the treated fish is less clear here. The increase in cortisol and blood glucose is a well described stress response in teleost fish to a perceived danger (Wendelaar Bonga, 1997, Madaro et al., 2020, Madaro et al., 2022) and the increase of lactate occurs following acute stress or with prolonged muscle strain (Svendsen et al., 2021, Madaro et al., 2022), due perhaps to an extend behavioral response to the stressor. Initially, these blood parameters did increase in all treatments with bath duration, but cortisol and lactate then decreased before beginning to increase again with prolonged bath durations . The initial decline might indicate that it was the handling event which induced the stress response and with time that response was declining (Madaro et al., 2022). The later increase of cortisol might signal that the prolonged bath triggered the fish to physiologically prepare for a transition to a low salinity environment. While cortisol has largely been known as a seawater-adapting hormone in numerous teleost species, there is an increasing body of evidence supporting that cortisol may also be involved in ion uptake and fresh water adaptation (reviewed in McCormick, 2015, Nemova et al., 2021). For instance, cortisol seems responsible to promote the development of the ‘freshwater’ morphology of chloride cells (Perry et al., 1992). Here, the glucose levels in all treatments began to decrease once the fish were returned to seawater which would indicate a recovery from stress, but there was no overall pattern with the lactate and cortisol parameters. We suggest that the data is too sparse to draw robust conclusions and further studies with higher replication should be conducted to investigate this question in greater detail.

5.3 - Conclusion

Hyposaline bath treatments are potentially a highly effective delousing treatment that warrants greater development and study. The results here further demonstrate the influence of bath duration, incidental mechanical delousing, and water chemistry on treatment effectiveness. We also suggest that phenotypic variability in saltwater tolerance of lice populations is an important factor that could further lead to the selection of tolerance overall (see Coates et al., 2021). Seemingly, the treated fish physiologically coped with and recovered from the treatment though further investigations should be carried out to replicate these preliminary results. Those results withstanding, freshwater baths are a treatment method with relatively little welfare impact on fish and should be preferred over non-medicinal treatments with a higher negative impact, i.e. thermal and mechanical treatments (Overton et al., 2019).

5 - Ethical Statement

The experiment was conducted at the Institute of Marine Research’s facilities in Matre, which is authorized for animal experimentation by the Norwegian Food Safety Authority (Mattilsynet) (facility ID 110). The use of animals in this experiment follows regulations and guidelines set by Mattilsynet and was specifically approved of with the application ID number 28936.

6 - References

Aaen, S. M., Helgesen, K. O., Bakke, M. J., Kaur, K., & Horsberg, T. E. (2015). Drug resistance in sea lice: a threat to salmonid aquaculture. Trends in Parasitology, 31(2), 72-81. https://doi.org/10.1016/j.pt.2014.12.006

Andrews, M., & Horsberg, T. E. (2020). Sensitivity towards low salinity determined by bioassay in the salmon louse, Lepeophtheirus salmonis (Copepoda: Caligidae). Aquaculture, 514, 734511.

Barrett, L., Oldham, T., Kristiansen, T. S., Oppedal, F., & Stien, L. H. (2022). Declining size-at-harvest in Norwegian salmon aquaculture: Lice, disease, and the role of stunboats. Aquaculture, 738440.

Bjorn, P., & Finstad, B. (1997). The physiological effects of salmon lice infection on sea trout post smolts. Nordic Journal of Freshwater Research, 73, 60-72.

Bøhn , T. , Gjelland , K. Ø. , Serra‐Llinares , RM , Finstad , B. , Primicerio , R. , Nilsen , R. , Karlsen , Ø. , Sandvik , AD , Skilbrei , OT , Elvik , KMS , . Scale, Ø., & Bear, PA (2020). Timing is everything: Survival of Atlantic salmon Salmo salar postsmolts during events of high salmon lice densities. Journal of Applied Ecology , 57 (6), 1149-1160. https://doi.org/10.1111/1365-2664.13612

Bowers, J. M., Mustafa, A., Speare, D. J., Conboy, G. A., Brimacombe, M., Sims, D. E., & Burka, J. F. (2000). The physiological response of Atlantic salmon, Salmo salar L., to a single experimental challenge with sea lice, Lepeophtheirus salmonis. Journal of Fish Diseases, 23(3), 165-172. https://doi.org/DOI 10.1046/j.1365-2761.2000.00225.x

Bricknell, I. R., Dalesman, S. J., O'Shea, B., Pert, C. C., & Luntz, A. J. (2006). Effect of environmental salinity on sea lice Lepeophtheirus salmonis settlement success. Diseases of Aquatic Organisms, 71(3), 201-212. https://doi.org/10.3354/dao071201

Coates, A., Phillips, B. L., Bui, S., Oppedal, F., Robinson, N. A., & Dempster, T. (2021). Evolution of salmon lice in response to management strategies: a review. Reviews in Aquaculture, 13(3), 1397-1422. https://doi.org/10.1111/raq.12528

Connors, B. M., Juarez-Colunga, E., & Dill, L. M. (2008). Effects of varying salinities on Lepeophtheirus salmonis survival on juvenile pink and chum salmon. Journal of Fish Biology, 72(7), 1825-1830. https://doi.org/10.1111/j.1095-8649.2008.01839.x

Costello, M. J. (2009a). The global economic cost of sea lice to the salmonid farming industry. Journal of Fish Diseases, 32(1), 115-118. https://doi.org/10.1111/j.1365-2761.2008.01011.x

Costello, M. J. (2009b). How sea lice from salmon farms may cause wild salmonid declines in Europe and North America and be a threat to fishes elsewhere. Proceedings: Biological Sciences, 276(1672), 3385-3394. https://doi.org/10.1098/rspb.2009.0771

Finstad, B., Bjorn, P. A., Grimnes, A., & Hvidsten, N. A. (2000). Laboratory and field investigations of salmon lice [Lepeophtheirus salmonis (Kroyer)] infestation on Atlantic salmon (Salmo salar L.) post-smolts. Aquaculture Research, 31(11), 795-803. https://doi.org/DOI 10.1046/j.1365-2109.2000.00511.x

Fjelldal, P. G., Fraser, T. W., Hansen, T. J., Karlsen, Ø., & Bui, S. (2022). Effects of laboratory salmon louse infection on mortality, growth, and sexual maturation in Atlantic salmon. ICES Journal of Marine Science.

Fjelldal, P. G., Hansen, T. J., & Karlsen, O. (2020). Effects of laboratory salmon louse infection on osmoregulation, growth and survival in Atlantic salmon. Conserv Physiol, 8(1), coaa023. https://doi.org/10.1093/conphys/coaa023

Gismervik, p. (2021). Norwegian Fish Health Report 2021. Norwegian Veterinary Institute Report, series # 2a/2022

Grimnes, A., & Jakobsen, P. J. (1996). The physiological effects of salmon lice infection on post-smolt of Atlantic salmon. Journal of Fish Biology, 48(6), 1179-1194. https://doi.org/DOI 10.1006/jfbi.1996.0119

Hamre, L. A., Glover, K. A., & Nilsen, F. (2009). Establishment and characterisation of salmon louse (Lepeophtheirus salmonis (Krøyer 1837)) laboratory strains. Parasitology International, 58(4), 451-460. https://doi.org/10.1016/j.parint.2009.08.009

Madaro , A. , Christiansen , TS , & Pavlidis , MA (2020). How Do Fish Cope With Stress? In TS Kristiansen, A. Fernö, MA Pavlidis, & H. van de Vis (Eds.), The welfare of fish (pp. 251-281). Springer International Publishing. https://doi.org/10.1007/978-3-030-41675-1_11

Madaro, A., Nilsson, J., Whatmore, P., Roh, H., Grove, S., Stien, L. H., & Olsen, R. E. (2022). Acute stress response on Atlantic salmon: a time-course study of the effects on plasma metabolites, mucus cortisol levels, and head kidney transcriptome profile. Fish Physiology and Biochemistry. https://doi.org/10.1007/s10695-022-01163-4

Maxime, V., Peyraud-Waitzenergger, M., Claireaux, G., & Peyraud, C. (1990). Effects of rapid transfer from sea water to fresh water on respiratory variables, blood acid-base status and O2 affinity of haemoglobin in Atlantic salmon (Salmo salar L.). Journal of Comparative Physiology B, 160(1), 31-39.

Mc Dermott, T., D’Arcy, J., Kelly, S., Downes, J. K., Griffin, B., Kerr, R. F., O’Keeffe, D., O’Ceallachain, M., Lenighan, L., & Scholz, F. (2021). Novel use of nanofiltered hyposaline water to control sea lice (Lepeophtheirus salmonis and Caligus elongatus) and amoebic gill disease, on a commercial Atlantic salmon (Salmo salar) farm. Aquaculture Reports, 20, 100703.

McCormick, S. D. (2015). Endocrine Control of Osmoregulation in Teleost Fish. American Zoologist, 41(4), 781-794. https://doi.org/10.1093/icb/41.4.781

Myhre Jensen, E., Horsberg, T. E., Sevatdal, S., & Helgesen, K. O. (2020). Trends in de-lousing of Norwegian farmed salmon from 2000-2019-Consumption of medicines, salmon louse resistance and non-medicinal control methods. PloS One, 15(10), e0240894. https://doi.org/10.1371/journal.pone.0240894

Nemova , NN , Kaivarainen , EI , Rendakov , NL , Nikerova , KM , & Efremov , DA (2021). Cortisol Content and Na+/K+-ATPase Activity during Adaptation of Juvenile Pink Salmon Oncorhynchus gorbuscha (Salmonidae) to Salinity Changes. Journal of Ichthyology , 61 (5), 771-778. https://doi.org/10.1134/s0032945221050118

Oliveira, V. H. S., Dean, K. R., Qviller, L., Kirkeby, C., & Bang Jensen, B. (2021). Factors associated with baseline mortality in Norwegian Atlantic salmon farming. Scientific Reports, 11(1). https://doi.org/10.1038/s41598-021-93874-6

Overton, K., Dempster, T., Oppedal, F., Kristiansen, T. S., Gismervik, K., & Stien, L. H. (2019). Salmon lice treatments and salmon mortality in Norwegian aquaculture: a review. Reviews in Aquaculture, 11(4), 1398-1417. https://doi.org/https://doi.org/10.1111/raq.12299

Perry, S., Goss, G., & Laurent, P. (1992). The interrelationships between gill chloride cell morphology and ionic uptake in four freshwater teleosts. Canadian Journal of Zoology, 70(9), 1775-1786.

Persson, D., Nødtvedt, A., Aunsmo, A., & Stormoen, M. (2022). Analysing mortality patterns in salmon farming using daily cage registrations. Journal of Fish Diseases, 45(2), 335-347. https://doi.org/10.1111/jfd.13560

Powell, M. D., Reynolds, P., & Kristensen, T. (2015). Freshwater treatment of amoebic gill disease and sea-lice in seawater salmon production: Considerations of water chemistry and fish welfare in Norway. Aquaculture, 448, 18-28. https://doi.org/10.1016/j.aquaculture.2015.05.027

Reynolds, P. (2013). The use of freshwater to control infestations of the sea louse Lepeophtheirus salmonis on Atlantic salmon Salmo salar. Gildeskal Research Station Technical Report). Inndyr: Gildeskal Research Station. url: https://www.researchgate.net/publication/280877381

Stone, J., Boyd, S., Sommerville, C., & Rae, G. H. (2002). An evaluation of freshwater bath treatments for the control of sea lice, Lepeophtheirus salmonis (Kroyer), infections in Atlantic salmon, Salmo salar L. Journal of Fish Diseases, 25(6), 371-373. https://doi.org/10.1046/j.1365-2761.2002.00370.x

Svendsen, E., Føre, M., Økland, F., Gräns, A., Hedger, RD, Alfredsen, JA, Uglem, I., Rosten, C., Frank, K., & Erikson, U. (2021 ). Heart rate and swimming activity as stress indicators for Atlantic salmon (Salmo salar). Aquaculture , 531 , 735804.

Taranger, G. L., Karlsen, O., Bannister, R. J., Glover, K. A., Husa, V., Karlsbakk, E., Kvamme, B. O., Boxaspen, K. K., Bjorn, P. A., Finstad, B., Madhun, A. S., Morton, H. C., & Svasand, T. (2015). Risk assessment of the environmental impact of Norwegian Atlantic salmon farming. ICES Journal of Marine Science, 72(3), 997-1021. https://doi.org/10.1093/icesjms/fsu132

Thorstad, E. B., Whoriskey, F., Uglem, I., Moore, A., Rikardsen, A. H., & Finstad, B. (2012). A critical life stage of the Atlantic salmon Salmo salar: behaviour and survival during the smolt and initial post-smolt migration. Journal of Fish Biology, 81(2), 500-542. https://doi.org/10.1111/j.1095-8649.2012.03370.x

Vollset , KW , Dohoo , I , Karlsen , O , Haltunen , E , Kvamme , BO , Finstad , B , Wennevik , V , Diserud , OH , Bateman , A , Friedland , KD , Mahlum , S . , Jorgensen , C. , Qviller , L. , Krkosek , M. , Atland , A. , & Barlaup , BT ( 2018 ). Disentangling the role of sea lice on the marine survival of Atlantic salmon. ICES Journal of Marine Science , 75 (1), 50-60. https://doi.org/10.1093/icesjms/fsx104

Wendelaar Bonga, S. E. (1997). The stress response in fish. Physiological Reviews, 77(3), 591-625.

Wright, D. W., Oppedal, F., & Dempster, T. (2016). Early-stage sea lice recruits on Atlantic salmon are freshwater sensitive. Journal of Fish Diseases, 39(10), 1179-1186. https://doi.org/10.1111/jfd.12452

Zuur, A. F., & Ieno, E. N. (2016). A protocol for conducting and presenting results of regression-type analyses. Methods in Ecology and Evolution, 7(6), 636-645. https://doi.org/10.1111/2041-210x.12577

Zuur, A. F., Ieno, E. N., & Elphick, C. S. (2010). A protocol for data exploration to avoid common statistical problems. Methods in Ecology and Evolution, 1(1), 3-14. https://doi.org/10.1111/j.2041-210X.2009.00001.x