Gå til hovedinnhold

Panel-based Assessment of Ecosystem Condition of Norwegian Barents Sea Shelf Ecosystems - Appendices

Author(s): Anna Siwertsson , Berengere Husson , Per Arneberg , Karen Assmann (IMR), Philipp Assmy (NPI), Magnus Aune (APN), Bjarte Bogstad , Knut Yngve Børsheim , Melissa Chierici (IMR), Sabine Cochrane (APN), Malin Daase (UiT), Per Fauchald (NINA), André Frainer (NINA), Agneta Fransson (NPI), Haakon Hop (NPI), Hannes Höffle (IMR), Sebastian Gerland (NPI), Randi Ingvaldsen (IMR), Sissel Jentoft (UiO), Kit M. Kovacs (NPI), Deanna Marie Leonard (IMR), Sigrid Lind (IMR), Christian Lydersen (NPI), Olga Pavlova (NPI), Laurene Peuchet (UiT), Raul Primicerio (IMR), Paul E. Renaud (APN), Hiroko Kato Solvang , Georg Skaret , Gro van der Meeren (IMR), Paul Wassmann (UiT) and Nils Øien (IMR)

Summary

During original publication of this report, Melissa Chierici from the Institute of Marine Research, was erroneously omitted from the author list. Her name was added as an update of the report on 30.10.2024.

Appendix 8.1 - Scientific basis for indicators — Arctic Barents Sea

 
 

General methods

General methods for fish community data

Datasets from 2004-2020 on fish communities from the benthic trawl survey in BESS was gridded to ensure even spatial distribution of samples, as described in “General description of methods using BESS data”. Regarding taxonomic resolution, we followed recommendations in Johannesen et al. (2021). The present dataset on fish from benthic trawl survey catches consisted of 76 taxa present in the Norwegian sector of the Barents Sea (Figure A.0.1). 

 

Figure A.0.1 Map showing the assessed area, including the sub-division into polygons in the Arctic part of the Norwegian EEZ in the Barents Sea.
Figure A.0.1 Map showing the assessed area, including the sub-division into polygons in the Arctic part of the Norwegian EEZ in the Barents Sea.

 For community-level trait indicators, we strived to include the majority of the species in the catches, to reflect the present fish demersal community. A few typically schooling pelagic fish species were removed from the analyses as they were typically caught in very large numbers in some of the trawls and thus introduced large variability. These were: Polar cod (Boreogadus saida), Herring (Clupea harengus), capelin (Mallotus villosus), and Atlantic mackerel (Scomber scombrus). The resulting dataset included 72 taxa. The average biomass density in the Arctic part of the Barents Sea for each species is shown in Fig. A.0.2.

Average biomass (log10 kg/km2) of included fish species from bottom trawls in the Arctic part of the Barents Sea.
Figure A.0.2 Average biomass (log10 kg/km2) of included fish species from bottom trawls in the Arctic part of the Barents Sea.

All community-level trait indicators are weighted by biomass to reflect the ecosystem functioning perspective in the assessment. However, since these values are influenced by species with high biomass we also provide indicator values where we remove cod (Gadus morhua), the most influential species in this system, and weight by log transformed biomasses of each species as supplementary plots.


Relevant traits for fish have been published for the Barents Sea and were compiled from a number of sources (Table A.0.1).  

Trait Number of taxa % biomass % abundance References
Diet, Habitat Length at maturation 56   99.8 %    98.3 %    (Wiedmann et al., 2014; Frainer et al., 2017)
Fast-slow life history rank 53    99.6 %     97.3 %     (Wiedmann et al., 2014) 
Life history strategies 69   99.8 %    99.4 %     (Beukhof et al., 2019) 
Biogeography 64   99.7 %    95.4 %    (Andriyashev and Chernova, 1995; Wiedmann et al., 2014; Fossheim et al., 2015; Mecklenburg et al., 2018)
Table A.0.1 Information on sources for fish trait information, and percent of total biomass and abundance from the BESS survey included in analyses of different traits.  

1. Indicator: Annual primary productivity [AI01]

Ecosystem characteristic: Primary productivity

Phenomenon: Increasing annual primary productivity [AP01]

Main driver: Climate change

1.1 Supplementary metadata

1.2 Supplementary methods

1.3 Plots of indicator values

Figure A.1.1 The time series of estimated annual primary production in the Arctic part of the Barents Sea. Blue line and shaded areas indicate fitted linear trend and 95% confidence bands, with equation and R² indicated in black. Red line indicates smoother.
Figure A.1.1 The time series of estimated annual primary production in the Arctic part of the Barents Sea. Blue line and shaded areas indicate fitted linear trend and 95% confidence bands, with equation and R² indicated in black. Red line indicates smoother.

 

Figure A.1.2 Annual Primary production in each polygon in the Arctic part of the Barents Sea. Green line and shaded areas indicate fitted trend and 95% prediction bands from TREC analyses.
Figure A.1.2 Annual Primary production in each polygon in the Arctic part of the Barents Sea. Green line and shaded areas indicate fitted trend and 95% prediction bands from TREC analyses.

 

Figure A.1.3 Annual Primary production in each polygon in the Arctic part of the Barents Sea. Blue line and shaded areas indicate fitted linear trend and 95% confidence bands, with equation and R² indicated in black and smoother in red.
Figure A.1.3 Annual Primary production in each polygon in the Arctic part of the Barents Sea. Blue line and shaded areas indicate fitted linear trend and 95% confidence bands, with equation and R² indicated in black and smoother in red.

There are indications of an increase in NPP in polygons 21, 23 and 24 (i.e., in the south and west) from standard linear analyses and Bayesian-based trend analyses. Although the p-values from the standard linear analyses indicate significant relationships, this should be treated with caution for short (i.e., 50 < observations) time series. Also, the Bayesian-based analyses, which are more robust for short time series, come with wide prediction bands, suggesting the trends are not strong. In addition, there are considerations about the robustness of the estimates themselves, as satellite based NPP estimates are severely limited by sea ice and cloud cover (opaque to optical ocean color sensors) at high latitudes. Generally, for >90% of the year all grid cells in the Barents Sea area are covered by ice or clouds in the time period 1998-2022. This introduces a considerable bias when interpolating data over large temporal and spatial gaps. Thus, the evidence for the phenomenon is assessed as low for polygons 21, 23 and 24, while it is assessed that there is no evidence for the phenomenon for the other polygons.

1.4 Background data and supplementary analysis

1.5 Recommendations for future development of the indicator


2. Indicator: Timing of spring bloom [AI02]

Ecosystem characteristic: Primary productivity

Phenomenon: Earlier start of the spring bloom [AP2]

Main driver: Climate change

2.1 Supplementary metadata

Dalpadado et al. 2020 used 0.5 mg Chl a m-3 as a threshold value for the start of the spring bloom in the Barents Sea

2.2 Supplementary methods

2.3 Plots of indicator values

Figure A.2.1 The time series of estimated start date of the spring bloom shown with shaded areas indicating ± 1 SE.
Figure A.2.1 The time series of estimated start date of the spring bloom shown with shaded areas indicating ± 1 SE.

 

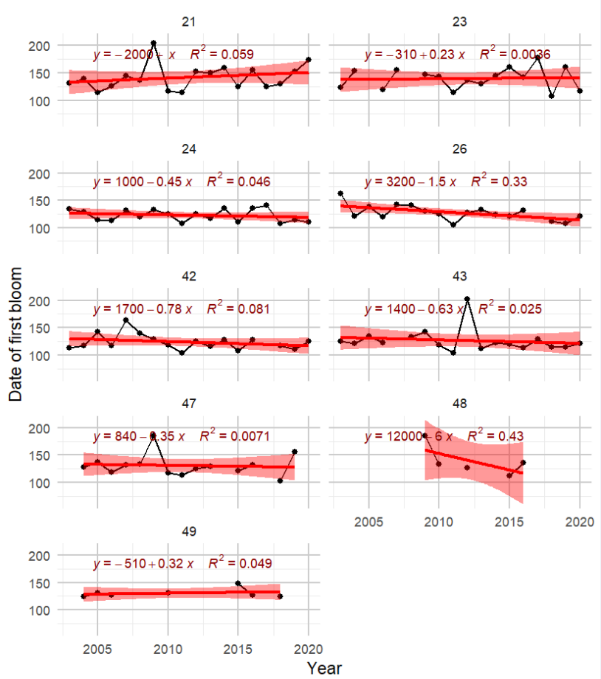
Figure A.2.2 Estimated start date of the spring bloom and fitted trend using the best fitted trend approach represented by the red line. The fitted trend is of degree 1 (linear) with R²=0.02. After fitting, residuals variance was 110.94.
Figure A.2.2 Estimated start date of the spring bloom and fitted trend using the best fitted trend approach represented by the red line. The fitted trend is of degree 1 (linear) with R²=0.02. After fitting, residuals variance was 110.94.

 

Figure A.2.3 Estimated start date of the spring bloom in the Arctic part of the Barents Sea with grey shaded area indicating ± 1 SE. Red line and red shaded areas indicate fitted linear trend and 95% confidence bands, with equation and R² indicated in red.
Figure A.2.3 Estimated start date of the spring bloom in the Arctic part of the Barents Sea with grey shaded area indicating ± 1 SE. Red line and red shaded areas indicate fitted linear trend and 95% confidence bands, with equation and R² indicated in red.

 

Figure A.2.4 Estimated start date of the spring bloom in each polygon in the Arctic part of the Barents Sea with red line indicating estimated trend using the best fitted trend approach.
Figure A.2.4 Estimated start date of the spring bloom in each polygon in the Arctic part of the Barents Sea with red line indicating estimated trend using the best fitted trend approach.

 

Figure A.2.5 Estimated start date of the spring bloom in each polygon in the Arctic part of the Barents Sea. Red line and red shaded areas indicate fitted linear trend and 95% confidence bands, with equation and R² indicated in red.
Figure A.2.5 Estimated start date of the spring bloom in each polygon in the Arctic part of the Barents Sea. Red line and red shaded areas indicate fitted linear trend and 95% confidence bands, with equation and R² indicated in red.

For the western, most Atlantic-influenced part of the Arctic region (polygons 21, 23 and 24) there is no clear trend in the data and thus no evidence for an earlier start of the spring bloom. Despite large interannual variability there is a weak linear trend towards an earlier timing of the spring bloom for the eastern part of the Arctic region (particularly polygon 26) and hence low evidence for this phenomenon to have occurred. There is insufficient data for the two northernmost polygons 48 and 49 to provide an any reliable assessment of the phenomenon. Thus, over the last two decades, there is low to no evidence, depending on the subregion, that spring bloom timing has occurred earlier as a result of warming of the climate in this period. It needs to be noted that other studies have reported an advancement of the spring bloom by over one month for the ice-covered part of the Barents Sea (Dalpadado et al., 2020; Ingvaldsen et al., 2021). This apparent discrepancy can be explained by the longer satellite timeseries used in those studies and likely also by differences in subdividing the Barents Sea region as the easternmost, more ice-covered polygons also showed low evidence for an earlier bloom timing.

2.4 Background data and supplementary analysis

2.5 Recommendations for future development of the indicator


3 Indicator: Zooplankton TL < 2.5 [AI03]

Ecosystem characteristic: Biomass distribution among trophic levels  

Phenomenon: Increasing biomass of zooplankton that is predominantly herbivorous [AP03]

Main driver: Climate change

3.1 Supplementary metadata

Krill taxa
Euphausiacea
Euphausiidae
Nematoscelis spp.
Nematoscelis megalops
Nyctiphanes couchii
Thysanoessa inermis
Thysanoessa longicaudata
Thysanoessa raschii
Thysanoessa spp.
Thysanopoda spp.
Table A.3.1: list of krill (Euphausiids) taxa used to calculate low trophic level krill biomass (Meganyctiphanes norvegica and Meganyctiphanes sp. have been removed)

3.2 Supplementary methods

The indicator is represented by two time series, one on biomass of mesozooplankton (g per m2 wet wt.) and one on biomass of krill (kg/km² wet wt.).

Mesozooplankton is sampled with WP2 as described in in (Melle et al., 2004) and (Skjoldal et al., 2013). Briefly, samples are divided in two halves with a Motoda plankton splitter, one part for determining the biomass (g dw per m2 dry wt. or m3 dry wt.), and the other half for species identification and abundance estimation. The biomass subsample is separated into three size fractions using mesh gauzes size of 2000, 1000, and 180 µm (for details, see (Skjoldal et al., 2013)). For this indicator, the sum of the two smaller size fractions of mesozooplankton were used (1000-2000 µm and 180-1000 µm). Average values for the whole ecosystem area were calculated and used for trend analysis (Figures A.3.1).

Krill is sampled with pelagic trawl and biomass estimated as described by (Eriksen and Dalpadado, 2011). Total biomass of krill taxa (Table A.3.1 9) was calculated and averaged per polygon (Figures A.3.3 and A.3.4) and for the total ecosystem area (Figure A.3.2).


3.3 Plots of indicator values

Figure A.3.1. The time series of estimated mean biomass of lower trophic level krill (Kg km-2 wet wt) (A) and mesozooplankton (g m-2 dry wt ) (C) shown with light shaded areas indicating ± 1 SD only for krill. Red line and dark shaded areas indicate fitted linear trend and 95% confidence bands, with equation and R² indicated in red. Number of stations are indicated for krill (B) and small and medium mesozooplankton (D)
Figure A.3.1. The time series of estimated mean biomass of lower trophic level krill (Kg km-2 wet wt) (A) and mesozooplankton (g m-2 dry wt) (C) shown with light shaded areas indicating ± 1 SD only for krill. Red line and dark shaded areas indicate fitted linear trend and 95% confidence bands, with equation and R² indicated in red. Number of stations are indicated for krill (B) and small and medium mesozooplankton (D)

 

Figure A.3.2 . Estimated low trophic level krill biomass (Kg km -2 wet wt) and fitted trend using the best fitted trend approach represented by the red line. The fitted trend is of degree 1 (linear) with R²=0.01. Residual variance after fitting was 403.42.
Figure A.3.2. Estimated low trophic level krill biomass (Kg km2 wet wt) and fitted trend using the best fitted trend approach represented by the red line. The fitted trend is of degree 1 (linear) with R²=0.01. Residual variance after fitting was 403.42.

To assess spatial variability in low trophic level zooplankton biomasses, we calculated the indicator per polygons for krill (Figure A.3.3). This is not available for mesozooplankton.

Figure A.3.3 Mean biomass / km 2 of low trophic level krill (Kg km-2 wet wt) in each polygon in the Arctic part of the Barents Sea (number on top of each panel) with ± 1 SD indicated with light shading. Red line and dark shaded areas indicate fitted linear trend and 95% confidence bands, with equation and R² indicated in red. Stars denote years with low sample size (< 5 trawls).
Figure A.3.3 Mean biomass / km2 of low trophic level krill (Kg km-2 wet wt) in each polygon in the Arctic part of the Barents Sea (number on top of each panel) with ± 1 SD indicated with light shading. Red line and dark shaded areas indicate fitted linear trend and 95% confidence bands, with equation and R² indicated in red. Stars denote years with low sample size (< 5 trawls).

Figure A.3.4 Low trophic level krill biomass (Kg km-2 wet wt) in each polygon in the Arctic part of the Barents Sea (number on top of each panel) and fitted trend using the best fitted trend approach represented by the red line.
Figure A.3.4 Low trophic level krill biomass (Kg km-2 wet wt) in each polygon in the Arctic part of the Barents Sea (number on top of each panel) and fitted trend using the best fitted trend approach represented by the red line.

There is no evidence that the phenomenon has occurred. For mesozooplankton, interannual variation dominates the time series with no indications of temporal trends in the data (figures A.3.1). A similar pattern is seen for krill (figures A.3.1 and A.3.2). At the polygon level, where information is available only for krill, there are no indications of geographic patterns that should warrant consideration of split evidence for the phenomenon.

3.4 Background data and supplementary analysis

3.5 Recommendations for future development of the indicator


4 Indicator: Zooplankton TL > 2.5 [AI04]

Ecosystem characteristic: Biomass distribution among trophic levels  

Phenomenon: Change in biomass of zooplankton that is predominantly carnivorous [AP04]

Main driver: Climate change

4.1 Supplementary metadata

Pelagic amphipod taxa
Ampelisca spp.
Amphipoda
Eriopisa elongata
Gammarelus homari
Gammaridae
Gammaridea
Gammarus locusta
Hyperia
Hyperia galba
Hyperiidae
Maera loveni
Melitidae
Onisimus glacialis
Stegocephalus
Themisto abyssorum
Themisto compressa
Themisto libellula
Themisto spp.
Table A.4.1a. List of taxa included in the calculations for the biomass of pelagic amphipods.
Gelatinous zooplankton taxa
Aglantha digitale
Aurelia aurita
Aurelia spp.
Beroe cucumis
Beroe spp.
Cnidaria
Ctenophora
Cyanea capillata
Cyanea lamarckii
Cyanea spp.
Hydroidolina
Hydrozoa
Leptothecata
Periphylla periphylla
Periphylla sp.
Periphyllidae
Ptychogena sp.
Sarsia sp.
Scyphozoa
Siphonophora
Siphonophorae
Staurostoma mertensii
Staurostoma sp.
Thaliacea

Table A.4.1b. List of taxa included in the calculations for the biomass of gelatinous zooplankton (the trawl catches are mainly Cyanea spp.)

4.2 Supplementary methods

The indicator is built from the biomass (kg/km² wet wt.) of pelagic amphipods (where Themisto libellula is dominating in the catches) and gelatinous zooplankton (kg/km² wet wt.), respectively, from the pelagic trawl in the BESS. The biomasses of the different taxa (Table A.4.1a and b) were added for each trawl, then total biomass was averaged for each group per ecosystem area (figure A.4.1) and per polygon (figure A.4.2). Results from analyses of trends using the best fitted trend approach are not reported here. These analyses were initially done on a time series of the summed biomass of amphipods and gelatinous zooplankton, which was later replaced by analyses of the two time series separately, as it was pointed out that the summed index was largely determined by gelatinous zooplankton biomass. New analyses using the best fitted trend approach could then not be done on these due to capacity constraints.


4.3 Plots of indicator values

Figure A.4.1 . The time series of estimated mean biomass of high trophic level zooplankton (pelagic amphipods and gelatinous zooplankton, (kg/km² wet wt.) shown with green (amphipod) and grey (jellyfish) shaded areas indicating ± 1 SD. Red line and red shaded areas indicate fitted linear trend and 95% confidence bands, with equation and R² indicated in red.
Figure A.4.1. The time series of estimated mean biomass of high trophic level zooplankton (pelagic amphipods and gelatinous zooplankton, (kg/km² wet wt.) shown with green (amphipod) and grey (jellyfish) shaded areas indicating ± 1 SD. Red line and red shaded areas indicate fitted linear trend and 95% confidence bands, with equation and R² indicated in red.

Figure A.4.2 Mean biomass (kg/km² wet wt.) of high trophic level zooplankton (amphipod and gelatinous zooplankton) in each polygon in the Arctic part of the Barents Sea shown with green (amphipod) and grey (jellyfish) shaded areas indicating ± 1 SD . Red line and shaded areas indicate fitted linear trend and 95% confidence bands, with equation and R² indicated in red. Stars denote years with low sample size (< 5 trawls).
Figure A.4.2 Mean biomass (kg/km² wet wt.) of high trophic level zooplankton (amphipod and gelatinous zooplankton) in each polygon in the Arctic part of the Barents Sea shown with green (amphipod) and grey (jellyfish) shaded areas indicating ± 1 SD. Red line and shaded areas indicate fitted linear trend and 95% confidence bands, with equation and R² indicated in red. Stars denote years with low sample size (< 5 trawls).

Based on the patterns of change observed, there is no evidence that the phenomenon has occurred. For amphipods, there are indications of an increase in biomass based on the fitted linear model (figure A.4.1). This cannot be attributed to climate warming, as there has been no overall change in climate through the period covered by the time series and a negative trend in amphipod biomass is predicted from increased warming. For gelatinous zooplankton, interannual variation dominates the time series with no clear trend (figure A.4.1).

For amphipods, it appears that the positive trend is geographically limited to the polygons in the north-eastern part of the area (figure A.4.2). For gelatinous zooplankton, there are no patterns in the variation in change over time among polygons (figure A.4.2).

4.4 Background data and supplementary analysis

4.5 Recommendations for future development of the indicator


5 Indicator: Benthic suspensivores [AI05]  

Ecosystem characteristic: Biomass distribution among trophic levels  

Phenomenon: Change in biomass of suspension feeding species [AP05]

Main driver: Climate change

5.1 Supplementary metadata

Not relevant.

5.2 Supplementary methods

The indicator is calculated as the weighed sum of suspension feeders’ biomass captured by the BESS bottom trawl. Suspension feeding was fuzzy coded to represent the propensity of megabenthic species to feed on suspended material (from 0: never feeds on suspended material, to 3: always feeds on suspended material). Biomass of each species with a fuzzy code for suspensivory >0 was multiplied by the code’s value. Then, biomasses were added for each haul and averaged across the ecosystem area.

5.3 Plots of indicator values

Figure A.5.1. The time series of estimated mean biomass of suspension feeding megabenthos shown with shaded areas indicating ± 1 SD. The red line represents fitted trend of degree 1 (with 95th confidence interval). Stars denote years with low sample size (< 5 trawls).
Figure A.5.1. The time series of estimated mean biomass of suspension feeding megabenthos shown with shaded areas indicating ± 1 SD. The red line represents fitted trend of degree 1 (with 95th confidence interval). Stars denote years with low sample size (< 5 trawls).

 

Figure A.5.2. The time series of estimated mean biomass of suspension feeding megabenthos shown with shaded areas indicating ± 1 SD. The red line represents fitted trend of degree 1 (with 95th confidence interval).
Figure A.5.2. The time series of estimated mean biomass of suspension feeding megabenthos shown with shaded areas indicating ± 1 SD. The red line represents fitted trend of degree 1 (with 95th confidence interval).

 


 

Figure A.5.3 Number of stations used in the data for the whole area

Figure A.5.3 Number of stations used in the data per polygon.
Figure A.5.3 Number of stations used in the data. Top: in the whole area. Bottom: per polygon.

 

There is no evidence for the suggested phenomenon based on these data; trends are weak and inconsistent

5.4 Background data and supplementary analysis

5.5 Recommendations for future development of the indicator


6 Indicator: 0-group fish [AI06]

Ecosystem characteristic: Biomass distribution among trophic levels  

Phenomenon: Increasing biomass of 0-group fish (except for polar cod) [AP06]

Main driver: climate change

6.1 Supplementary metadata

Not relevant.

6.2 Supplementary methods

The indicator is based on the sum of the biomass of zero-group fish species from pelagic trawls from the Barents Sea Ecosystem Survey. For more detailed description of sampling of zero-group fish during the Barents Sea Ecosystem Survey see (Eriksen et al., 2011; Eriksen et al., 2020).

Indicator values are mean biomass / km2 for the total Arctic part of the Barents Sea, and for each of the polygons separately.


6.3 Plots of indicator values

A) 

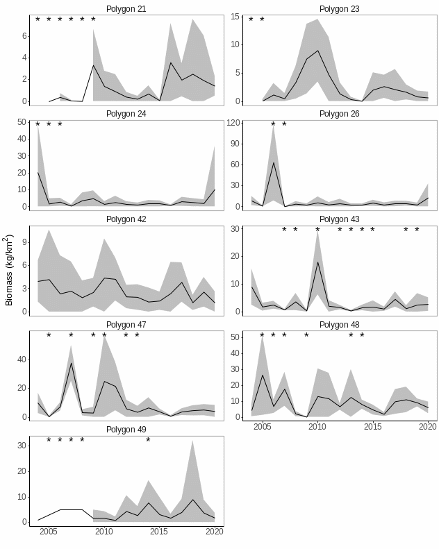
Figure A.6. 1 . Mean (± sd) biomass / km 2 of zero-group fish in the Arctic part of the Barents Sea (Black dots and grey shading). Linear regression fit with 95% CI is shown in blue, and the statistical results are given in the top of each plot. A local smoother is added in red to assist visual interpretation of non-linear changes during the period. Stars denote years with low sample size (< 5 trawls).

B)

Figure A.6. 1 . Mean (± sd) biomass / km 2 of zero-group fish in the Arctic part of the Barents Sea, per polygon (Black dots and grey shading). Linear regression fit with 95% CI is shown in blue, and the statistical results are given in the top of each plot. A local smoother is added in red to assist visual interpretation of non-linear changes during the period. Stars denote years with low sample size (< 5 trawls).
Figure A.6. 1. Mean (± sd) biomass / km​​​​​​2 of zero-group fish in the Arctic part of the Barents Sea (Black dots and grey shading). Linear regression fit with 95% CI is shown in blue, and the statistical results are given in the top of each plot. A local smoother is added in red to assist visual interpretation of non-linear changes during the period. Stars denote years with low sample size (< 5 trawls). A) in the whole area. B) per polygons.

There is no evidence that the phenomenon has occurred.

In warm years (i.e., in years with high inflow of Atlantic water masses), there were peaks in the 0-group biomass in areas particularly affected by fluctuations in inflow of Atlantic water (e.g., polygons 21 and 23). Yet, no clear temporal trends in 0-group biomass can be detected.

6.4 Background data and supplementary analysis

6.4.1. Species composition within the zero-group fish
Mean biomass (kg/km2) of zero-group fish species in the Arctic part of the Barents Sea. Numbers at the bars show the percent of the total biomass for each species, e.g. G. morhua makes up 36% of the total biomass of zero-group fish in the Arctic part.
Figure A.6.2 Mean biomass (kg/km2) of zero-group fish species in the Arctic part of the Barents Sea. Numbers at the bars show the percent of the total biomass for each species, e.g. G. morhua makes up 36% of the total biomass of zero-group fish in the Arctic part.
 
Mean biomass of the 6 dominating zero-group fish species in the Arctic part of the Barents Sea.
Figure A.6.3 Mean biomass of the 6 dominating zero-group fish species in the Arctic part of the Barents Sea.

 


6.4.2. Estimated biomass in entire Barents Sea
Figure A.6.4 Total biomass of 0-group fish species in the Barents Sea, August-October 1993-2020. Different software has been used to estimate total biomass in the periods 1993-2018, and 2019-2020. (Source: ICES, 2021)
Figure A.6.4 Total biomass of 0-group fish species in the Barents Sea, August-October 1993-2020. Different software has been used to estimate total biomass in the periods 1993-2018, and 2019-2020. (Source: ICES, 2021)

 

6.5 Recommendations for future development of the indicator

Datasets should be prepared to get as long time-series as possible. 


7 Indicator: Pelagic planktivorous fish [AI07]

Ecosystem characteristic: Biomass distribution among trophic levels

Phenomenon: Decreasing biomass of pelagic planktivorous fish [AP07]

Main driver: climate change

7.1 Supplementary metadata

Not relevant.

7.2 Supplementary methods

Polar cod and capelin are the dominant planktivorous pelagic species in the Arctic part of the Barents Sea, and the indicator was calculated as the sum of the total stock biomass of these two species. There are no indicator values at the polygon spatial scale.

7.3 Plots of indicator values

Figure A.7.1 The black dots and line are the indicator values of the sum of annual total stock biomass of capelin and polar cod. The red line represents fitted trend of degree 2 (quadratic). After fitting, residuals variance was 3549238.60, R²=0.59.
Figure A.7.1 The black dots and line are the indicator values of the sum of annual total stock biomass of capelin and polar cod. The red line represents fitted trend of degree 2 (quadratic). After fitting, residuals variance was 3549238.60, R²=0.59.

No evidence that the phenomenon has occurred, as there is no evidence of a decrease in the total biomass of pelagic fish stocks in the time-period analyzed (1986-2020).

The time series combines the stock biomasses of capelin and polar cod which are completely dominating the mid-trophic level in Arctic waters. Of the two, capelin dominates the biomass, and we refer to the capelin indicator [AI23] for the rationale behind the evidence for this indicator.

The most recent estimates from 2021 are not included in the analyses, however they show that the capelin stock increased considerably, and polar cod stayed high.


7.4 Background data and supplementary analysis

Figure A.7.1 Total annual stock biomass of capelin (solid line) and polar cod (stippled line).
Figure A.7.1 Total annual stock biomass of capelin (solid line) and polar cod (stippled line).

 

7.5 Recommendations for future development of the indicator

Consider using running average, e.g. using 5 years.


8 Indicator: Low trophic level seabirds [AI08]

Ecosystem characteristic: Biomass distribution among trophic levels  

Phenomenon: Decreasing biomass of low trophic level seabirds [AP08]

Main driver: climate change

8.1 Supplementary metadata

Not relevant.

8.2 Supplementary methods

Only one seabird species is categorized as low trophic level: Little auk (Alle alle), which typically feeds on pelagic copepods, amphipods and euphasiids. Data on counts from the Barents Sea Ecosystem Survey are aggregated to the nearest sampling station and converted to biomass/km2. The distribution of indicator values is zero-inflated and mean values were used as indicator values for both polygons and the total Arctic area. Data on trends in breeding population size is taken from (Descamps and Strøm, 2021).

8.3 Plots of indicator values

Figure A.8.1 Mean (± sd) biomass (kg / km 2) of little auk (Alle alle) in the Arctic Barents Sea.
Figure A.8.1 Mean (± sd) biomass (kg / km2) of little auk (Alle alle) in the Arctic Barents Sea.
Figure A.8.2 The red line represents fitted trend of degree 3 (cubic). After fitting, residuals variance was 0.03, R²=0.66.
Figure A.8.2 The red line represents fitted trend of degree 3 (cubic). After fitting, residuals variance was 0.03, R²=0.66.

 

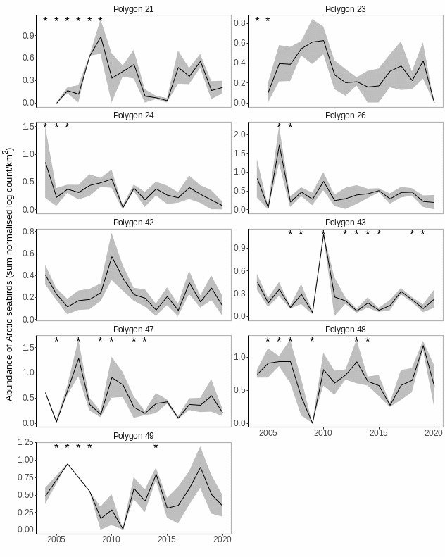
Figure A.8.3 Mean ( ± sd) biomass of little auk (Alle alle) in each polygon in the Arctic Barents Sea. Stars denote years with low sample size (< 5).
Figure A.8.3 Mean (± sd) biomass of little auk (Alle alle) in each polygon in the Arctic Barents Sea. Stars denote years with low sample size (< 5).

 

Figure A.8.4 Low trophic level seabird in each polygon in the Arctic part of the Barents Sea and fitted trend represented by the red line.
Figure A.8.4 Low trophic level seabird in each polygon in the Arctic part of the Barents Sea and fitted trend represented by the red line.

There is low evidence that the phenomenon has occurred.

The trend analysis shows a U-shaped trend in the Arctic biomass of little auks with a decreasing trend from 2004 to 2009 and an increasing trend from 2011 to 2020. The overall trend for the period from 2004-2020 is flat. The year-to-year variation is relatively large, the data is zero-inflated and the polygons have variable coverage among years. However, the observed U-shaped trend, with 60% of the variation explained, suggests that the dataset is sufficient to detect a long-term negative trend in the biomass with ecosystem significance. Note that the southern polygons (# 21,23,24,26,42,43) in general show a negative trend while the northernmost polygons (# 47,48,49) show positive or U-shaped trends. This might suggest a northward displacement of the distribution, possibly related to climate warming. Population monitoring in colonies at Spitsbergen and Bear Island from 2009-2018 shows a positive trend in the Spitsbergen colonies and a negative trend in the population from Bear Island (Descamps and Strøm, 2021). These trends are also in line with a northward displacement of the populations. In sum, there is low evidence of an overall negative trend in the biomass of little auks in the Barents Sea during the last 15 years (2004-2021). This time period might however be too short to address the impact of climate change on the indicator, and stronger evidence for the phenomenon could be expected for data covering a longer time period.

8.4 Background data and supplementary analysis

8.5 Recommendations for future development of the indicator

Develop approach for zero-inflated indicator with variable coverage. Develop indicator for addressing changes in distribution. Explore possibilities to include data on breeding population size.


9 Indicator: High trophic level seabirds [AI09]

Ecosystem characteristic: Biomass distribution among trophic levels  

Phenomenon: Decreasing biomass of high trophic level Arctic seabirds [AP09]

Main driver: climate change, fisheries

9.1 Supplementary metadata

Not relevant.

9.2 Supplementary methods

Four seabird species are classified as high trophic level, typically feeding on small pelagic fish such as capelin and young herring. Kittiwake (Rissa tridactyla) and thick-billed murre (Uria lomvia) are typical Arctic species, while puffin (Fratercula arctica) and common murre (Uria aalge) are boreal species. Only the Arctic species are included in the indicator for the Arctic part of the Barents Sea. Indicator values on species biomasses are estimated from the Barents Sea Ecosystem Survey as the mean of station values within the area. Indicator values on breeding population sizes at relevant colonies are given as number of birds as percentage of the average number of birds in the time-series.


9.3 Plots of indicator values

A)

Figure A.9.1 A) Mean ( ± sd) biomass (kg / km2) of kittiwake (R. tridactyla) in the Arctic Barents Sea from BESS.

B)

Figure A.9.1  B) The red line represents fitted trend of degree 1 (linear). After fitting, residuals variance was 1.72, R²=0.27.
Figure A.9.1 A) Mean (± sd) biomass (kg / km2) of kittiwake (R. tridactyla) in the Arctic Barents Sea from BESS. B) The red line represents fitted trend of degree 1 (linear). After fitting, residuals variance was 1.72, R²=0.27.

A)

Figure A.9.2 A) Mean ( ± sd) biomass (kg / km2) of thick-billed murre (U. lomvia) in the Arctic Barents Sea from BESS.

B)

Figure A.9.2 A) Mean ( ± sd) biomass (kg / km 2 ) of thick-billed murre (U. lomvia) in the Arctic Barents Sea from BESS. B) The red line represents fitted trend of degree 2 (quadratic). After fitting, residuals variance was 1.37, R²=0.34.
Figure A.9.2 A) Mean (± sd) biomass (kg / km2) of thick-billed murre (U. lomvia) in the Arctic Barents Sea from BESS. B) The red line represents fitted trend of degree 2 (quadratic). After fitting, residuals variance was 1.37, R²=0.34.

Figure A.9.3 Breeding population size of kittiwake (R. tridactyla) at a selection of colonies in Svalbard, Bear Island and Finnmark. Linear regression fit with 95% CI is shown in blue, and the statistical results are given in the top of each plot. A local smoother is added in red to assist visual interpretation of non-linear changes during the period.
Figure A.9.3 Breeding population size of kittiwake (R. tridactyla) at a selection of colonies in Svalbard, Bear Island and Finnmark. Linear regression fit with 95% CI is shown in blue, and the statistical results are given in the top of each plot. A local smoother is added in red to assist visual interpretation of non-linear changes during the period.

 

Figure A.9.4 Breeding population size of thick-billed murre (U. lomvia) at a selection of colonies in Svalbard and Bear Island. Linear regression fit with 95% CI is shown in blue, and the statistical results are given in the top of each plot. A local smoother is added in red to assist visual interpretation of non-linear changes during the period.
Figure A.9.4 Breeding population size of thick-billed murre (U. lomvia) at a selection of colonies in Svalbard and Bear Island. Linear regression fit with 95% CI is shown in blue, and the statistical results are given in the top of each plot. A local smoother is added in red to assist visual interpretation of non-linear changes during the period.

 

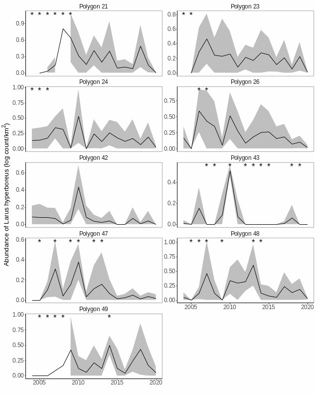
Figure A.9.5 Mean ( ± sd) biomass (kg / km 2 ) of kittiwake (R. tridactyla) in each polygon in the Arctic Barents Sea. Stars indicate years with low sample size (<5).
Figure A.9.5 Mean (± sd) biomass (kg / km2) of kittiwake (R. tridactyla) in each polygon in the Arctic Barents Sea. Stars indicate years with low sample size (<5).

 

Figure A.9.6 Kittiwake (R. tridactyla) in each polygon in the Arctic part of the Barents Sea and fitted trend represented by the red line.
Figure A.9.6 Kittiwake (R. tridactyla) in each polygon in the Arctic part of the Barents Sea and fitted trend represented by the red line.

 

Figure A.9.7 Mean ( ± sd) biomass (kg/km2) of thick-billed murre (U. lomvia) in each polygon in the Arctic Barents Sea. Stars indicate years with low sample size (<5).
Figure A.9.7 Mean (± sd) biomass (kg/km2) of thick-billed murre (U. lomvia) in each polygon in the Arctic Barents Sea. Stars indicate years with low sample size (<5).

 

Figure A.9.8 Thick-billed murre (U. lomvia) biomass in each polygon in the Arctic part of the Barents Sea and fitted trend represented by the red line.
Figure A.9.8 Thick-billed murre (U. lomvia) biomass in each polygon in the Arctic part of the Barents Sea and fitted trend represented by the red line.

There is intermediate evidence that the phenomenon has occurred.

The trend analysis shows a clear decreasing trend for kittiwakes, with a ca. 50% reduction in the estimated biomass from 2004 to 2020. The overall negative trend for thick-billed murres is weaker and the trend analysis might indicate an increase in later years (2016-2020). The year-to-year variation in the data is relatively large and the polygons have a variable coverage among years. The observed negative trends are supported by population data from SEAPOP key site colonies in the Barents Sea. Kittiwake colonies on the Norwegian mainland show a clear negative trend since the 1980s (Fauchald et al., 2015; Anker-Nilssen et al., 2021), while the colonies at Spitsbergen and Bear Island are stable or decreasing (Fauchald et al., 2015; Descamps and Strøm, 2021; MOSJ, 2021a). The large populations of thick-billed murres on Svalbard are decreasing (Fauchald et al., 2015; Descamps and Strøm, 2021). The at-sea trends combined with evidence from breeding colonies at Spitsbergen, Bear Island and the Norwegian mainland, suggest that a significant decrease in the biomass has occurred. The observed change is probably related to climate change, and might at least partly be due to a borealization of the ecosystem (Descamps and Strøm, 2021).

9.4 Background data and supplementary analysis

9.5 Recommendations for future development of the indicator

Explore possibilities for combining all species into a composite metric instead of analyzing each species separately. It should be considered to develop an indicator including both Arctic and boreal high trophic level seabird species, but different expectations with regards to response to climate change for these species will be challenging.


10 Indicator: Low trophic level mammals [AI10]

Ecosystem characteristic: Biomass distribution among trophic levels  

Phenomenon: Decreasing abundance of low trophic level mammals [AP10]

Main driver: overharvesting and climate change

10.1 Supplementary metadata

Not relevant.

10.2 Supplementary methods

10.3 Plots of indicator values

Figure A.10.1: A) recent and pre-harvesting estimates of walrus populations B) recent and pre-whaling estimates of bowhead whale populations
Figure A.10.1: A) recent and pre-harvesting estimates of walrus populations B) recent and pre-whaling estimates of bowhead whale populations

Both of these populations remain significantly depressed from the natural ecosystem state due to past harvests. The Spitsbergen bowhead population is currently classified as Endangered because of its size and the ongoing loss of critical habitat (sea ice). The Svalbard walrus population is classified as Vulnerable, based on the same criteria, despite the current short-term increasing trend. Both populations are expected to decline in the future based on sea ice losses and concomitant changes expected in the ecosystem.

10.4 Background data and supplementary analysis

Not relevant.

10.5 Recommendations for future development of the indicator


11 Indicator: Generalist mammals [AI11]

Ecosystem characteristic: Biomass distribution among trophic levels  

Phenomenon: Decreasing abundance of generalist mammals [AP11]

Main driver: overharvesting, climate change

11.1 Supplementary metadata

Not relevant.

11.2 Supplementary methods

11.3 Plots of indicator values

Figure A.11.1: harp seal on the West and East Ice modelled population. Hooded seal modelled population. The red line represents fitted trend and 95% confidence interval. R ecent estimates of harbour and ringed seals with 95% confidence interval as error bars
Figure A.11.1: harp seal on the West and East Ice modelled population. Hooded seal modelled population. The red line represents fitted trend and 95% confidence interval. R ecent estimates of harbour and ringed seals with 95% confidence interval as error bars

There is intermediate evidence that the phenomenon has occurred.

The certainty of the indicator is mixed due to variable availability of data. The harp seal population model suggests some recovery after overhunting during the 1950s and 1960s, but the population has not recovered to its former state despite very low harvests in recent decades.

The hooded seal population has been drastically reduced and despite protection from commercial harvest is not showing signs of recovery, likely due to climate change impacts on the ecosystem, Greenlandic subsistence harvesting and perhaps also some commercial fisheries interactions (i.e. red fish overfishing). For ringed, harbour and bearded seals, there are no time series data.

11.4 Background data and supplementary analysis

Not relevant.

11.5 Recommendations for future development of the indicator


12 Indicator: High trophic level mammals [AI12]  

Ecosystem characteristic: Biomass distribution among trophic levels  

Phenomenon: Decreasing abundance of high trophic level Arctic mammals [AP12]

Main driver: overharvesting, climate change

12.1 Supplementary metadata

Not relevant.

12.2 Supplementary methods

12.3 Plots of indicator values

 

Figure A.12.1: recent population estimates and catch and harvest statistics for high trophic levels marine mammals
Figure A.12.1: recent population estimates and catch and harvest statistics for high trophic levels marine mammals

Intermediate evidence that the phenomenon has occurred.
Precise estimates of population size pre-harvesting are lacking for all three species considered, although harvest data for polar bears and white whales are reasonably good. For polar bears, recent population estimates are close to the upper range of the past harvested statistics (in five year blocks), which implies that the population is still well below its past levels. Similarly, the current population estimate for white whales is approximately 3% of the recorded harvest. Data for narwhals is too limited to assess the current vs past situation (i.e. we have no trend information).

12.4 Background data and supplementary analysis

Not relevant.

12.5 Recommendations for future development of the indicator


13 Indicator: High TL zooplankton functional groups [AI13]

Ecosystem characteristic: Functional groups within trophic levels  

Phenomenon: Decreasing biomass of pelagic amphipods relative to gelatinous zooplankton [AP13]

Main driver: Climate change

13.1 Supplementary metadata

Not relevant.

13.2 Supplementary methods

The indicator is built from the ratio of the biomass (kg/km² wet wt.) of pelagic amphipods and gelatinous zooplankton from the pelagic trawl in the BESS. The biomasses of the different taxa (Table A.4.1a and A.4.1b) were added for each trawl for jellyfish and amphipod separately. As there were never enough samples with both amphipods and jellyfish, biomass average for the whole ecosystem area were calculated for both groups (figure A.13.1). Then the final indicator (ratio of biomass of pelagic amphipods and gelatinous zooplankton) is calculated as the ratio of amphipods to jellyfish for the ecosystem area (figures A.13.1 and A.13.2). Estimates per polygon has also been done for this indicator (figures A.13.5) and for pelagic amphipod (figure A.13.4) and gelatinous zooplankton (figure A.13.4) biomass.


13.3 Plots of indicator values

Figure A.13.1 The time series of estimated mean biomass (kg/km² wet wt.) of high trophic level zooplankton A) pelagic amphipods and C) gelatinous zooplankton shown with green (amphipod) and grey (jellyfish) shaded areas indicating ± 1 SD. Red line and red shaded areas indicate fitted linear trend and 95% confidence bands, with equation and R² indicated in red.
Figure A.13.1 The time series of estimated mean biomass (kg/km² wet wt.) of high trophic level zooplankton A) pelagic amphipods and C) gelatinous zooplankton shown with green (amphipod) and grey (jellyfish) shaded areas indicating ± 1 SD. Red line and red shaded areas indicate fitted linear trend and 95% confidence bands, with equation and R² indicated in red.

 

Figure A.13.2 Estimated ratio of biomass of pelagic amphipods (kg/km² wet wt.) to biomass of gelatinous zooplankton (kg/km² wet wt.) and fitted trend represented estimated by the best fitted trend approach by the red line. The fitted trend is of degree 3 (cubic) with R²=0.60. Residual variance after fitting was 0.001.
Figure A.13.2 Estimated ratio of biomass of pelagic amphipods (kg/km² wet wt.) to biomass of gelatinous zooplankton (kg/km² wet wt.) and fitted trend represented estimated by the best fitted trend approach by the red line. The fitted trend is of degree 3 (cubic) with R²=0.60. Residual variance after fitting was 0.001.

 

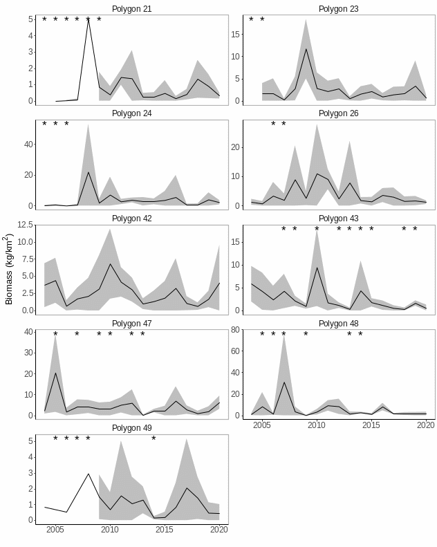
Figure A.13.3 Mean biomass of pelagic amphipods (kg/km² wet wt.) in each polygon in the Arctic part of the Barents Sea with 1± SD with green shaded areas. Red line and red shaded areas indicate fitted linear trend and 95% confidence bands, with equation and R² indicated in red Stars denote years with low sample size (< 5 trawls).
Figure A.13.3 Mean biomass of pelagic amphipods (kg/km² wet wt.) in each polygon in the Arctic part of the Barents Sea with 1± SD with green shaded areas. Red line and red shaded areas indicate fitted linear trend and 95% confidence bands, with equation and R² indicated in red Stars denote years with low sample size (< 5 trawls).

Figure A.13.4 Mean biomass of gelatinous zooplankton (kg/km² wet wt.) in each polygon in the Arctic part of the Barents Sea with 1± SD with green shaded areas. Red line and red shaded areas indicate fitted linear trend and 95% confidence bands, with equation and R² indicated in red Stars denote years with low sample size (< 5 trawls).
Figure A.13.4 Mean biomass of gelatinous zooplankton (kg/km² wet wt.) in each polygon in the Arctic part of the Barents Sea with 1± SD with green shaded areas. Red line and red shaded areas indicate fitted linear trend and 95% confidence bands, with equation and R² indicated in red Stars denote years with low sample size (< 5 trawls).

 

Figure A.13.5 Estimated ratio of biomass of pelagic amphipods (kg/km² wet wt.) to biomass of gelatinous zooplankton (kg/km² wet wt.) and fitted trend represented estimated by the best fitted trend approach by the red line in each polygon in the Arctic part of the Barents Sea.
Figure A.13.5 Estimated ratio of biomass of pelagic amphipods (kg/km² wet wt.) to biomass of gelatinous zooplankton (kg/km² wet wt.) and fitted trend represented estimated by the best fitted trend approach by the red line in each polygon in the Arctic part of the Barents Sea.

 

Figure A.13.6 Mean (± sd) biomass / km2 of pelagic amphipods in each polygon in the Arctic part of the Barents Sea. Stars denote years with low sample size (< 5 trawls).
Figure A.13.6 Mean (± sd) biomass / km2 of pelagic amphipods in each polygon in the Arctic part of the Barents Sea. Stars denote years with low sample size (< 5 trawls).

Figure A.13.7 Mean (± sd) biomass / km2 of pelagic gelatinous zooplankton in each polygon in the Arctic part of the Barents Sea. Stars denote years with low sample size (< 5 trawls).
Figure A.13.7 Mean (± sd) biomass / km2 of pelagic gelatinous zooplankton in each polygon in the Arctic part of the Barents Sea. Stars denote years with low sample size (< 5 trawls).

Based on the patterns of change observed, there is no evidence that the phenomenon has occurred. For amphipods, there are indications of an increase in biomass based on the fitted linear model (figure A.13.1) and the best fitted trend approach (figure A.13.2). An increasing trend cannot be attributed to climate warming, as there has been no overall change in climate through the period covered by the time series and a negative trend in amphipod biomass is predicted from increased warming. For gelatinous zooplankton, interannual variation dominates the time series with no clear trend (figure 13.4.1), and there is no clear trend in the ratio between the two time series (figure 13.4.1)

For amphipods, it appears that the positive trend is geographically limited to the polygons in the eastern part of the area (figure A.4.2, polygons 26, 42, 43, 47 48 and 49). For gelatinous zooplankton, there is no patterns in variation in change over time among polygons (figure A.4.2).

13.4 Background data and supplementary analysis

13.5 Recommendations for future development of the indicator


14 Indicator: Benthic habitat engineers [AI14]

Ecosystem characteristic: Functional groups within trophic levels  

Phenomenon: Decreasing biomass of benthic habitat engineers [AP14]

Main driver: bottom trawling

14.1 Supplementary metadata

Phylum Group Taxa
Cni. Octocorallia Umbellula encrinus
Cni. Octocorallia Paragorgia arborea
Por. Demospongia Stryphnus ponderosus
Ech. Ophiuroidea Gorgonocephalus arcticus
Ech. Crinoidea Heliometra glacialis
Ech. Crinoidea Poliometra prolixa
Cni. Octocorallia Isidella lofotensis
Por. Demospongia Geodia macandrewii
Por. Demospongia Geodia barretti
Tun. Ascidiacea Ciona intestinalis
Por. Demospongia Antho dichotoma
Por. Demospongia Asconema foliatum
Por. Demospongia Stylocordyla borealis
Por. Demospongia Asbestopluma pennatula
Table A.14.1 List of taxa considered as habitat engineers based on expert knowledge. Cni.: Cnidaria; Por.: Porifera; Ech. Echinodermata; Tun. Tunicea

14.2 Supplementary methods

The indicator is calculated as the sum of habitat forming taxa biomass captured by the BESS bottom trawl. Biomasses were added for each haul and averaged across the ecosystem area.


14.3 Plots of indicator values

Figure A.14.1 Mean (±sd) biomass / km2 of megabenthic habitat engineers in each polygon in the Arctic part of the Barents Sea. Stars denote years with low sample size (< 5 trawls). The red line represents fitted trend of degree 1 (confidence interval 95%).
Figure A.14.1 Mean (±sd) biomass / km2 of megabenthic habitat engineers in each polygon in the Arctic part of the Barents Sea. Stars denote years with low sample size (< 5 trawls). The red line represents fitted trend of degree 1 (confidence interval 95%).

 

Figure A.14.2 Mean (±sd) biomass / km2 of megabenthic habitat engineers in the Arctic part of the Barents Sea. The red line represents fitted trend of degree 1 (confidence interval 95%).
Figure A.14.2 Mean (±sd) biomass / km2 of megabenthic habitat engineers in the Arctic part of the Barents Sea. The red line represents fitted trend of degree 1 (confidence interval 95%).

A)

Figure A.14.3 Number of stations used in the data. A) in the whole area.

B)

Figure A.14.3 Number of stations used in the data  per polygons.
Figure A.14.3 Number of stations used in the data. A) in the whole area. B) per polygons.

There is a slight decreasing trend in some of the polygons, but with strong interannual variability that, given that habitat engineers are expected to be relatively long-lived, reflects a patchy distribution and varied seabed habitats. Long timelines, and an analysis of sensitivity of the indicators’ value to the outlier catches of Geodia, are needed before knowing if data are suitable for this indicator. There is thus low evidence that the phenomenon has occurred. Given the polygon-wise slight to strong decrease in most of the polygons, we may be able to suggest that the evidence for the phenomenon is regional.

14.4 Background data and supplementary analysis

14.5 Recommendations for future development of the indicator


15 Indicator: Fish size [AI15]

Ecosystem characteristic: Functional groups within trophic levels  

Phenomenon: Increasing body length at maturity across species in a community [AP15]

Main driver: climate change

15.1 Supplementary metadata

Not relevant.

15.2 Supplementary methods

Values of body length at maturation for each species were collected from the literature (Wiedmann et al., 2014). To get a value of the fish community length at maturation, biomass weighted body length was calculated for each bottom trawl haul in the Barents Sea Ecosystem Survey. Indicator values are the mean of community weighted mean size at maturation, using biomass for weighting, for the Arctic part of the Barents Sea and for each polygon separately.


15.3 Plots of indicator values

A)

Figure A.15.1a Mean (± sd) biomass weighted length at maturation for demersal fish communities in the Arctic part of the Barents Sea (Black dots and grey shading). Linear regression fit with 95% CI is shown in blue, and the statistical results are given in the top of each plot. A local smoother is added in red to assist visual interpretation of non-linear changes during the period. Stars denote years with low sample size (< 5 trawls).
B)

Figure A.15.1b Mean (± sd) biomass weighted length at maturation for demersal fish communities in the Arctic part of the Barents Sea (Black dots and grey shading). Linear regression fit with 95% CI is shown in blue, and the statistical results are given in the top of each plot. A local smoother is added in red to assist visual interpretation of non-linear changes during the period. Stars denote years with low sample size (< 5 trawls).
Figure A.15.1 Mean (± sd) biomass weighted length at maturation for demersal fish communities in the Arctic part of the Barents Sea (Black dots and grey shading). Linear regression fit with 95% CI is shown in blue, and the statistical results are given in the top of each plot. A local smoother is added in red to assist visual interpretation of non-linear changes during the period. Stars denote years with low sample size (< 5 trawls). A) in the whole area. B) per polygons.

 


 

To explore the influence of species with high biomass on the indicator values and trend, we provide the following plot using log biomass of each species for weighting, and not including cod.
A)

Figure A.15.2 Mean (± sd) log biomass weighted length at maturation for demersal fish communities excluding cod in the Arctic part of the Barents Sea (Black dots and grey shading). Linear regression fit with 95% CI is shown in blue, and the statistical results are given in the top of each plot. A local smoother is added in red to assist visual interpretation of non-linear changes during the period. Stars denote years with low sample size (< 5 trawls).

B)

Figure A.15.2 Mean (± sd) log biomass weighted length at maturation for demersal fish communities excluding cod in the Arctic part of the Barents Sea (Black dots and grey shading). Linear regression fit with 95% CI is shown in blue, and the statistical results are given in the top of each plot. A local smoother is added in red to assist visual interpretation of non-linear changes during the period. Stars denote years with low sample size (< 5 trawls).
Figure A.15.2 Mean (± sd) log biomass weighted length at maturation for demersal fish communities excluding cod in the Arctic part of the Barents Sea (Black dots and grey shading). Linear regression fit with 95% CI is shown in blue, and the statistical results are given in the top of each plot. A local smoother is added in red to assist visual interpretation of non-linear changes during the period. Stars denote years with low sample size (< 5 trawls). A) in the whole area. B) per polygons.

There is no evidence that the phenomenon has occurred.

Polygon-specific data indicate a small increase in body length at maturity in polygons 21 and 23. However, when looking at the whole community level, i.e., log transformed biomass and without cod, there is no observed temporal trends in the community body length.

15.4 Background data and supplementary analysis

Mean biomass of demersal fish species in the Arctic part of the Barents sea. Species included in this indicator are in blue.
Figure A.15.3 Mean biomass of demersal fish species in the Arctic part of the Barents sea. Species included in this indicator are in blue.

15.5 Recommendations for future development of the indicator

The trait information used is the best available for the region, but the indicator may be improved by including information directly observed from the survey, taking into account spatial and temporal variation in trait values.


16 Indicator: Fish life history [AI16]

Ecosystem characteristic: Functional groups within trophic levels  

Phenomenon: Increasing slow life, periodic species [AP16]

Main driver: climate change

16.1 Supplementary metadata

Not relevant.

16.2 Supplementary methods

Two complimentary approaches are included for assessing possible changes in the composition of life history strategies in the demersal fish community.

First, is based on the equilibrium-periodic-opportunistic framework (Winemiller and Rose, 1992), which links three strategies characterized by trade-offs between fecundity, juvenile survival and generation time to environmental stability and predictability. We selected a number of biological traits to characterize species life-history strategies: maximum length, lifespan, fecundity, offspring size, growth (K), and parental care. We used an archetypal analysis to define the three life-history strategies based on extremal points (i.e., archetypes), and then assess for each species how much each life-history strategy contributes to its approximation, following the method of (Pecuchet et al., 2017). Indicator values are the biomass proportion of each of the three strategies to identify changes in life history composition.

The second approach is based on the fast- slow life history continuum. A number of traits (offspring size, fecundity, age at maturity, maximum age, and length at maturity) were used, in a Redundancy analysis (RDA) constrained by body size, to rank species along the fast-slow continuum (Wiedmann et al., 2014). High rank values translate to slower life history strategies. Indicator values are calculated as the biomass weighted rank value for the demersal fish community in each station.


16.3 Plots of indicator values

Focusing on plots for periodic life history strategy and fast-slow continuum since these are expected to change according to the phenomenon.

A)

Figure A.16.1 Mean (± sd) biomass proportion of the periodic life history strategy in the Arctic part of the Barents Sea (Black dots and grey shading). Linear regression fit with 95% CI is shown in blue, and the statistical results are given in the top of each plot. A local smoother is added in red to assist visual interpretation of non-linear changes during the period. Stars denote years with low sample size (< 5 trawls).

B)

Figure A.16.1 Mean (± sd) biomass proportion of the periodic life history strategy in the Arctic part of the Barents Sea (Black dots and grey shading). Linear regression fit with 95% CI is shown in blue, and the statistical results are given in the top of each plot. A local smoother is added in red to assist visual interpretation of non-linear changes during the period. Stars denote years with low sample size (< 5 trawls).
Figure A.16.1 Mean (± sd) biomass proportion of the periodic life history strategy in the Arctic part of the Barents Sea (Black dots and grey shading). Linear regression fit with 95% CI is shown in blue, and the statistical results are given in the top of each plot. A local smoother is added in red to assist visual interpretation of non-linear changes during the period. Stars denote years with low sample size (< 5 trawls). A) in the whole area. B) per polygons.

A)

Figure A.16.2 Mean (± sd) biomass weighted fast-slow life history rank value in the Arctic part of the Barents Sea (Black dots and grey shading). High values translate to slow life history strategy. Linear regression fit with 95% CI is shown in blue, and the statistical results are given in the top of each plot. A local smoother is added in red to assist visual interpretation of non-linear changes during the period. Stars denote years with low sample size (< 5 trawls).

B)

Figure A.16.2 Mean (± sd) biomass weighted fast-slow life history rank value in the Arctic part of the Barents Sea (Black dots and grey shading). High values translate to slow life history strategy. Linear regression fit with 95% CI is shown in blue, and the statistical results are given in the top of each plot. A local smoother is added in red to assist visual interpretation of non-linear changes during the period. Stars denote years with low sample size (< 5 trawls).
Figure A.16.2 Mean (± sd) biomass weighted fast-slow life history rank value in the Arctic part of the Barents Sea (Black dots and grey shading). High values translate to slow life history strategy. Linear regression fit with 95% CI is shown in blue, and the statistical results are given in the top of each plot. A local smoother is added in red to assist visual interpretation of non-linear changes during the period. Stars denote years with low sample size (< 5 trawls). A) in the whole area. B) per polygons.

 

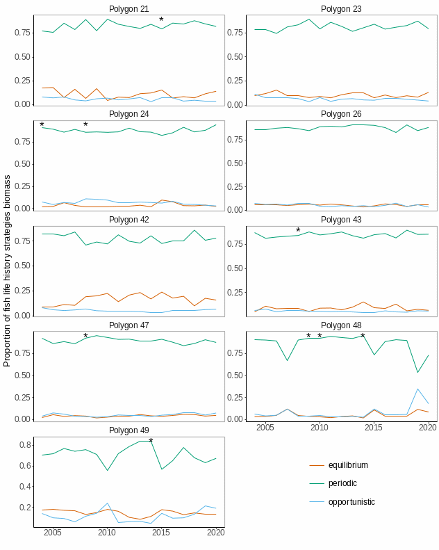
Figure A.16.3 Median biomass proportion of three different life history strategies in each of the polygons in the Arctic part of the Barents Sea. Stars denote years with low sample size (<5 trawls).
Figure A.16.3 Median biomass proportion of three different life history strategies in each of the polygons in the Arctic part of the Barents Sea. Stars denote years with low sample size (<5 trawls).

 

Figure A.16.4 Median biomass of three different life history strategies in each of the polygons in the Arctic part of the Barents Sea. Stars denote years with low sample size (<5 trawls).

Figure A.16.4 Median biomass of three different life history strategies in each of the polygons in the Arctic part of the Barents Sea. Stars denote years with low sample size (<5 trawls).
Figure A.16.4 Median biomass of three different life history strategies in each of the polygons in the Arctic part of the Barents Sea. Stars denote years with low sample size (<5 trawls).

A)

Figure A.16.5 Mean (± sd) log biomass proportion of the periodic life history strategy excluding cod in the Arctic part of the Barents Sea (Black dots and grey shading). Linear regression fit with 95% CI is shown in blue, and the statistical results are given in the top of each plot. A local smoother is added in red to assist visual interpretation of non-linear changes during the period. Stars denote years with low sample size (< 5 trawls).

B)

Figure A.16.5 Mean (± sd) log biomass proportion of the periodic life history strategy excluding cod in the Arctic part of the Barents Sea (Black dots and grey shading). Linear regression fit with 95% CI is shown in blue, and the statistical results are given in the top of each plot. A local smoother is added in red to assist visual interpretation of non-linear changes during the period. Stars denote years with low sample size (< 5 trawls).
Figure A.16.5 Mean (± sd) log biomass proportion of the periodic life history strategy excluding cod in the Arctic part of the Barents Sea (Black dots and grey shading). Linear regression fit with 95% CI is shown in blue, and the statistical results are given in the top of each plot. A local smoother is added in red to assist visual interpretation of non-linear changes during the period. Stars denote years with low sample size (< 5 trawls). A) in the whole area. B) per polygons.

A)

Figure A.16.6 Mean (± sd) log biomass weighted fast-slow life history rank value excluding cod in the Arctic part of the Barents Sea (Black dots and grey shading). Linear regression fit with 95% CI is shown in blue, and the statistical results are given in the top of each plot. A local smoother is added in red to assist visual interpretation of non-linear changes during the period. Stars denote years with low sample size (< 5 trawls). 

B)

Figure A.16.6 Mean (± sd) log biomass weighted fast-slow life history rank value excluding cod in the Arctic part of the Barents Sea (Black dots and grey shading). Linear regression fit with 95% CI is shown in blue, and the statistical results are given in the top of each plot. A local smoother is added in red to assist visual interpretation of non-linear changes during the period. Stars denote years with low sample size (< 5 trawls). 
Figure A.16.6 Mean (± sd) log biomass weighted fast-slow life history rank value excluding cod in the Arctic part of the Barents Sea (Black dots and grey shading). Linear regression fit with 95% CI is shown in blue, and the statistical results are given in the top of each plot. A local smoother is added in red to assist visual interpretation of non-linear changes during the period. Stars denote years with low sample size (< 5 trawls). A) in the whole area. B) per polygons.

No evidence that the phenomenon has occurred.

There is no overall change in the indicator value during the time-period from which we have observations. There was an increase in Periodic relative biomass from the beginning of the times-series (2004) until 2014, but a decrease since 2014. There is a trend of increasing slow-life biomass, but with low evidence (p=0.053). The same conclusion of no overall change in the indicator values for the Periodic and slow-fast is found for the “whole community” metrics, i.e., log-transformed biomass without cod (Figure A.16.5, Figure A.16.6).

To explore the influence of species with high biomass on the indicator values and trend, we provide the following plot using log biomass of each species for weighting, and not including cod. The phenomenon focuses on changes in periodic species and in the fast-slow continuum, and plots for these are included here.

16.4 Background data and supplementary analysis

16.4.1 Biomass proportion of all three life history strategies
Figure A.16. 7 Mean biomass proportion of each of the three life history strategies in the Arctic part of the Barents Sea .
Figure A.16.7 Mean biomass proportion of each of the three life history strategies in the Arctic part of the Barents Sea.

16.4.2 Biomass of each life history strategy and total biomass
Figure A.16. 8 Mean ( ± sd) biomass of three different life history strategies the Arctic part of the Barents Sea.
Figure A.16. 8 Mean (± sd) biomass of three different life history strategies the Arctic part of the Barents Sea

16.4.3 Average biomass of included species

A)

Mean biomass of demersal fish species in the Arctic part of the Barents Sea in the three life history strategies. Blue bars denote species included.

 


B)

Mean biomass of demersal fish species in the Arctic part of the Barents Sea. Blue bars denote species included in  the fast-slow life history continuum.
Figure A.16.9 Mean biomass of demersal fish species in the Arctic part of the Barents Sea. Blue bars denote species included in A) the three life history strategies, B) the fast-slow life history continuum.

16.5 Recommendations for future development of the indicator


17 Indicator: Fish habitat use [AI17]

Ecosystem characteristic: Functional groups within trophic levels  

Phenomenon: Change in proportion of benthic fish [AP17]

Main driver: climate change

17.1 Supplementary metadata

Not relevant.

17.2 Supplementary methods

For habitat classification, fish caught in demersal trawl were classified as either pelagic, benthic or bentho-pelagic. Information on habitat use was taken from the literature (Wiedmann et al., 2014; Frainer et al., 2021). The indicator was calculated as the biomass proportion of benthic species only (i.e. not including bentho-pelagic species). Indicator values are mean values for the total Arctic part of the Barents Sea and for separate polygons.


17.3 Plots of indicator values

A)
Figure A.17. 1 Mean (± sd) biomass proportion of benthic fish species in the Arctic part of the Barents Sea (Black dots and grey shading). Linear regression fit with 95% CI is shown in blue, and the statistical results are given in the top of each plot. A local smoother is added in red to assist visual interpretation of non-linear changes during the period. Stars denote years with low sample size (< 5 trawls).

B)

Figure A.17. 1 Mean (± sd) biomass proportion of benthic fish species in the Arctic part of the Barents Sea (Black dots and grey shading). Linear regression fit with 95% CI is shown in blue, and the statistical results are given in the top of each plot. A local smoother is added in red to assist visual interpretation of non-linear changes during the period. Stars denote years with low sample size (< 5 trawls).
Figure A.17. 1 Mean (± sd) biomass proportion of benthic fish species in the Arctic part of the Barents Sea (Black dots and grey shading). Linear regression fit with 95% CI is shown in blue, and the statistical results are given in the top of each plot. A local smoother is added in red to assist visual interpretation of non-linear changes during the period. Stars denote years with low sample size (< 5 trawls). A) in the whole area. B) per polygons.

Figure A.17.2 Median ( ± mad) of  (A) benthic fish species biomass

 

Figure A.17.2 Median ( ± mad) of  total biomass (B) in polygons in the Arctic Barents Sea. Stars denote years with low sample size (< 5 trawls).
Figure A.17.2 Median (± mad) of benthic fish species biomass (A) and total biomass (B) in polygons in the Arctic Barents Sea. Stars denote years with low sample size (< 5 trawls).

To explore the influence of species with high biomass on the indicator values and trend, we provide the following plot using log biomass of each species for weighting, and not including cod.
A)

Figure A.17.3 Mean (± sd) log biomass proportion of benthic fish species excluding cod in the Arctic part of the Barents Sea (Black dots and grey shading). Linear regression fit with 95% CI is shown in blue, and the statistical results are given in the top of each plot. A local smoother is added in red to assist visual interpretation of non-linear changes during the period. Stars denote years with low sample size (< 5 trawls) .

B)

Figure A.17.3 Mean (± sd) log biomass proportion of benthic fish species excluding cod in the Arctic part of the Barents Sea (Black dots and grey shading). Linear regression fit with 95% CI is shown in blue, and the statistical results are given in the top of each plot. A local smoother is added in red to assist visual interpretation of non-linear changes during the period. Stars denote years with low sample size (< 5 trawls) .
Figure A.17.3 Mean (± sd) log biomass proportion of benthic fish species excluding cod in the Arctic part of the Barents Sea (Black dots and grey shading). Linear regression fit with 95% CI is shown in blue, and the statistical results are given in the top of each plot. A local smoother is added in red to assist visual interpretation of non-linear changes during the period. Stars denote years with low sample size (< 5 trawls). A) in the whole area. B) per polygons.

Low evidence that the phenomenon has occurred.

There is no clear, overall temporal trend in the proportion of benthic fish. Yet, positive trends occurred in some of the polygons most influenced by Arctic climate condition (e.g., polygons 42, 47 and 48).

17.4 Background data and supplementary analysis

17.4.1. Benthic and total fish biomass

 

Figure A.17. 4 Mean ( ± sd) benthic fish species biomass (A) and total biomass (B) in the Arctic Barents Sea.
Figure A.17. 4 Mean (± sd) benthic fish species biomass (A) and total biomass (B) in the Arctic Barents Sea.

 


17.4.2 Average biomass of included species
Mean biomass of demersal fish species in the Arctic part of the Barents sea. Red bars denote species classified as benthic species.
Figure A.17.5 Mean biomass of demersal fish species in the Arctic part of the Barents sea. Red bars denote species classified as benthic species.

 

17.5 Recommendations for future development of the indicator

18 Indicator: Seabird feeding types [AI18]

Ecosystem characteristic: Functional groups within trophic levels  

Phenomenon: Decreasing proportion of diving to surface feeding seabirds [AP18]

Main driver: fisheries

18.1 Supplementary metadata

Not relevant.

18.2 Supplementary methods

The nine most common seabird species were classified as either diving or surface feeding following the classification in (Fauchald et al., 2011). Using abundance information from the Barents Sea Ecosystem Survey, the proportion of diving seabirds was estimated and used for the indicator calculation. Before calculating the proportion, single species abundances were log-transformed and min-max normalized, and then summed within each feeding category. The indicator value is expressed as the percent of diving birds.

Due to non-normal distributions, the medians of sample values were used as indicator values for polygons, while mean values were used for the total Arctic part of the Barents Sea.


18.3 Plots of indicator values

A)

Figure A.18.1 A) Mean ( ± sd) percent diving seabirds based on abundance in the Arctic Barents Sea

B)

Figure A.18.1 B) The red line represents fitted trend of degree 3 (cubic). After fitting, residuals variance was 23.74, R²=0.70.
Figure A.18.1 A) Mean (± sd) percent diving seabirds based on abundance in the Arctic Barents Sea. B) The red line represents fitted trend of degree 3 (cubic). After fitting, residuals variance was 23.74, R²=0.70.

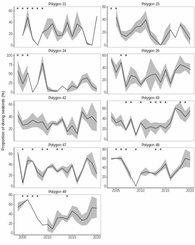
Figure A.18.2 Median ( ± mad) percent diving seabirds based on abundance in each of the polygons in the Arctic Barents Sea. Stars denote years with low sample size (<5) .
Figure A.18.2 Median (± mad) percent diving seabirds based on abundance in each of the polygons in the Arctic Barents Sea. Stars denote years with low sample size (<5).

 

Figure A.18.3 Seabird feeding type in each polygon in the Arctic part of the Barents Sea and fitted trend represented by the red line.
Figure A.18.3 Seabird feeding type in each polygon in the Arctic part of the Barents Sea and fitted trend represented by the red line.

 

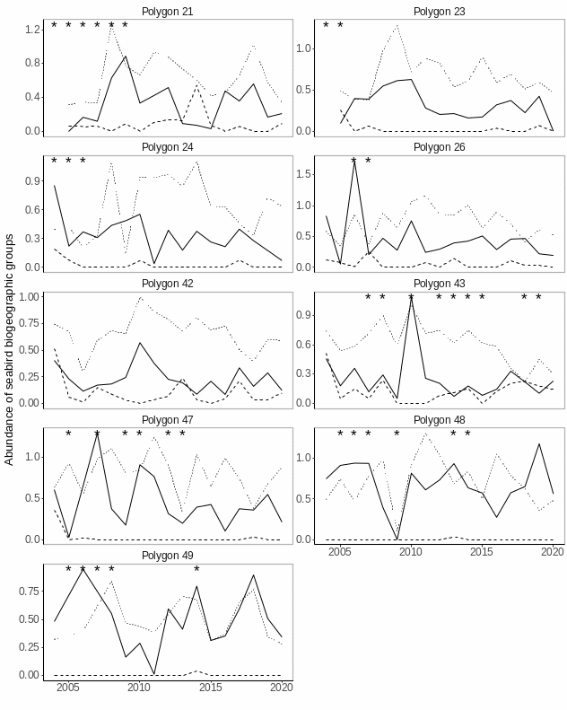
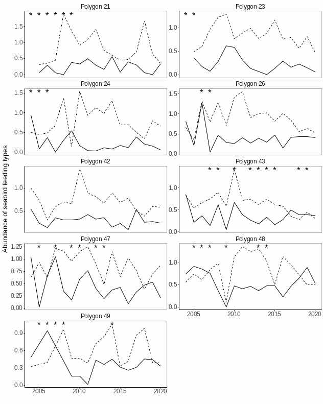
Figure A.18.4 Median sum of normalized logged counts of diving (solid line) and surface feeding (stippled line) seabird species in each of the polygons in the Arctic Barents Sea. Stars denote years with low sample size (<5) .
Figure A.18.4 Median sum of normalized logged counts of diving (solid line) and surface feeding (stippled line) seabird species in each of the polygons in the Arctic Barents Sea. Stars denote years with low sample size (<5).

Insufficient data.

The trend analysis indicates a U-shaped trend in the proportion of diving to surface feeding species with a minimum in 2010-2011. The data show no evidence of a long term decrease in the indicator. The trend is similar to the trend found in the sub-arctic Barents Sea (see Appendix 8.2). The recent implementation of strict regulation of the pelagic fisheries and an effective discard ban in the Barents Sea (Gullestad et al., 2013) would favour an increasing proportion of diving seabirds, i.e., an increasing indicator. The discard ban was gradually implemented during a period from 1987s to 2009 (Gullestad et al., 2015), and could have been important for the increasing trend observed from 2011 onward. The long-term development of the indicator is not known, and it is possible that discards from the fisheries combined with unsustainable pelagic fisheries of capelin and herring during the 1960s to 1980 had impact on the proportion of diving to surface feeding seabirds in the ecosystem (see for example Krasnov and Barrett 1995). The recent development in this indicator could therefore reflect a long-term recovery from fishery induced disturbance 50 years ago. The data series are accordingly too short to allow a proper analysis of the phenomenon and there is accordingly insufficient data to conclude.

18.4 Background data and supplementary analysis

Figure A.18. 5 Mean sum of normalized logged counts of diving (solid line) and surface feeding (stippled line) seabird species in the Arctic Barents Sea.
Figure A.18. 5 Mean sum of normalized logged counts of diving (solid line) and surface feeding (stippled line) seabird species in the Arctic Barents Sea.

 

Figure A.18. 6 . Mean abundance of single seabird species in the Arctic Barents Sea. Diving species in upper panel and surface feeding species in lower panel.
Figure A.18. 6. Mean abundance of single seabird species in the Arctic Barents Sea. Diving species in upper panel and surface feeding species in lower panel.

18.5 Recommendations for future development of the indicator

Include similar analyses using population monitoring data of the same species from SEAPOP monitoring key sites to increase the length of the time series and strengthen the knowledge base.


19 Indicator: Marine mammal bioturbation [AI19]

Ecosystem characteristic: Functional groups within trophic levels  

Phenomenon: Decreasing abundance of mammals involved in bioturbation [AP19]

Main driver: Climate change

19.1 Supplementary metadata

Not relevant.

19.2 Supplementary methods

19.3 Plots of indicator values

Figure A.19.1 Recent and pre-harvesting estimates of walrus, and recent population estimates and catch statistics of white whales, species that are participating in Arctic seafloor bioturbation.
Figure A.19.1 Recent and pre-harvesting estimates of walrus, and recent population estimates and catch statistics of white whales, species that are participating in Arctic seafloor bioturbation.

Intermediate evidence that the phenomenon has occurred.
Recent estimates for both walruses and white whales are extremely low compared to pre-harvesting estimates (or harvest statistics), which would indicate high evidence. However, there is limited knowledge about the ecosystem implications of the low population sizes and thus the evidece is rated as intermediate.

19.4 Background data and supplementary analysis

Not relevant.

19.5 Recommendations for future development of the indicator


20 Indicator: Pelagic amphipods [AI20]

Ecosystem characteristic: Functionally important species and biophysical structures  

Phenomenon: Decreasing biomass of Arctic pelagic amphipod species [AP20]

Main driver: Climate change

20.1 Supplementary metadata

Not relevant.

20.2 Supplementary methods

Indicator, and data analyses are the same as for pelagic amphipods in indicator 13 above.

20.3 Plots of indicator values

 

Figure A.20.1 Mean (± sd) biomass / km 2 of amphipods in each polygon in the Arctic part of the Barents Sea. Stars denote years with low sample size (< 5 trawls).
Figure A.20.1 Mean (± sd) biomass / km2 of amphipods in each polygon in the Arctic part of the Barents Sea. Stars denote years with low sample size (< 5 trawls).

 

Figure A.20.2 Pelagic amphipods in each polygon in the Arctic part of the Barents Sea and fitted trend represented by the red line.
Figure A.20.2 Pelagic amphipods in each polygon in the Arctic part of the Barents Sea and fitted trend represented by the red line.

There is no evidence that the phenomenon has occurred, as there are indications of an increase in biomass based on the fitted linear model (figure A.13.1) and the best fitted trend approach (figure A.13.2). It appears that the positive trend is geographically limited to the polygons in the eastern part of the area (figure A.4.2, polygons 26, 42, 43, 47 and 48 but not 49).

20.4 Background data and supplementary analysis

20.5 Recommendations for future development of the indicator


21 Indicator: Krill [AI21]

Ecosystem characteristic: Functionally important species and biophysical structures  

Phenomenon: Increasing biomass of krill [AP21]

Main driver: Climate change

21.1 Supplementary metadata

Not relevant.

21.2 Supplementary methods

Data is virtually identical to krill time series in indicator AI03. It includes in addition a few observations of Meganyctiphanes species which had virtually no effect on the time series.

21.3 Plots of indicator values

There is no evidence that the phenomenon has occurred, see assessment of the krill time series under indicator AI03, Zooplankton TL < 2.5.

21.4 Background data and supplementary analysis

Not relevant.

21.5 Recommendations for future development of the indicator


22 Indicator: Polar cod [AI22]

Ecosystem characteristic: Functionally important species and biophysical structures

Phenomenon: Decreasing biomass of the polar cod stock [AP22]

Main driver: climate change

22.1 Supplementary metadata 

Not relevant.  

22.2 Supplementary methods 

Indicator values are from estimates of the polar cod stock in the Barents Sea in autumn from the Barents Sea Ecosystem Survey (Meeren and Prozorkevich, 2021).

22.3 Plots of indicator values 

Figure A.22.1 The black dots and line are the indicator values of annual total stock biomass of polar cod (in 1000 tonnes). The red line represents fitted trend of degree 2 (quadratic). After fitting, residuals variance was 206381.95, R²=0.35.  
Figure A.22.1 The black dots and line are the indicator values of annual total stock biomass of polar cod (in 1000 tonnes). The red line represents fitted trend of degree 2 (quadratic). After fitting, residuals variance was 206381.95, R²=0.35.  

No evidence that the phenomenon has occurred.

There has been a decrease in the polar cod stock biomass since c. 2000, but the last two years (2020, 2021) the stock seems to have increased to high levels again, hence the conclusion of no evidence for a decreasing polar cod stock during the studied time-period. There are uncertainties in the time-series related to how large proportion of the total polar cod stock that is actually covered each year, and the estimates from the beginning of the time-series are likely more uncertain than estimates from the more recent period. Thus, the increase in the beginning of the time series is more uncertain than the decline in the 2000-2010´ies and the last years increase.

22.4 Background data and supplementary analysis

Not relevant.

22.5 Recommendations for future development of the indicator

Develop estimates with higher spatial resolution and estimates of the polar cod biomass in the Norwegian part of the Barents Sea.


23 Indicator: Capelin [AI23]

Ecosystem characteristic: Functionally important species and biophysical structures

Phenomenon: Decreasing biomass of the capelin stock [AP23]

Main driver: climate change, fisheries

23.1 Supplementary metadata

Not relevant.

23.2 Supplementary methods

The indicator value is the running average of annual total stock biomass estimates, using a sliding window of three years, based on generation time.

23.3 Plots of indicator values

Figure A.23.1 The black dots and line are the indicator values of three year running average of annual total stock biomass of capelin (in 1000 tonnes). The red line represents fitted trend of degree 3 (cubic). After fitting, residuals variance was 1802414.40, R²=0.49.
Figure A.23.1 The black dots and line are the indicator values of three year running average of annual total stock biomass of capelin (in 1000 tonnes). The red line represents fitted trend of degree 3 (cubic). After fitting, residuals variance was 1802414.40, R²=0.49.

No evidence that the phenomenon has occurred.

There was a decreasing trend in the biomass of capelin since the 1970s and 1980s. After that there is not a clear trend but large fluctuations. The high level of the capelin stock in the early years of the survey (pre-1983) was likely mainly a result of a low NEA cod stock and very low abundance of NSS herring, both at least in part caused by heavy fishing. The early high stock level can therefore not be regarded as a reference state for the capelin stock.

23.4 Background data and supplementary analysis

Figure A.23.2 Comparison of annual total stock estimates (stippled line) and three-year running average (solid line).
Figure A.23.2 Comparison of annual total stock estimates (stippled line) and three-year running average (solid line).

23.5 Recommendations for future development of the indicator

Explore possibilities to develop phenomena related to frequency and/or duration of low biomass periods.


24 Indicator: Cod [AI24]

Ecosystem characteristic: Functionally important species and biophysical structures

Phenomenon: Change in cod total stock size [AP24]

Main driver: climate change (increase), fisheries (decrease)

24.1 Supplementary metadata

Not relevant.

24.2 Supplementary methods

The indicator value is the eight-year running average of annual total stock biomass estimates, based on generation time.

24.3 Plots of indicator value

Figure A.24.1 The black dots and line are the indicator values of eight year running average of annual total stock biomass of NEA cod (in 1000 tonnes). The red line represents fitted trend of degree 3 (cubic). After fitting, residuals variance was 90780.83, R²=0.86.
Figure A.24.1 The black dots and line are the indicator values of eight year running average of annual total stock biomass of NEA cod (in 1000 tonnes). The red line represents fitted trend of degree 3 (cubic). After fitting, residuals variance was 90780.83, R²=0.86.

No evidence for the occurrence of the phenomenon.

The time-series of cod stock size starts in 1946, and the state of the cod stock at that time might be considered a reference state since the fishing pressure during WW2 was low. The cod stock size first showed a decreasing trend from 1946 to the early 1980s, likely caused by heavy fishing pressure. From the late 1980s to 2013 the stock size increased as a result of a combination of less intensive fishery and ocean warming (Kjesbu et al., 2014). In 2013 the cod stock was at its largest, and at levels similar to the situation in the period after WW2. The decrease in stock size the last years is likely related to the recent cooling in the Barents Sea, and cannot be attributed to increasing human pressure. Thus, the present stock size is assessed as being similar to a reference condition (after WW2) (EP=none), taking into account natural variation in population size and “medium-term” climatic fluctuations.

24.4 Background data and supplementary analysis

 

Figure A.24.2 Comparison of annual total stock estimates (stippled line) and eight-year running average (solid line).
Figure A.24.2 Comparison of annual total stock estimates (stippled line) and eight-year running average (solid line).

24.5 Recommendations for future development of the indicator


25 Indicator: Cod size structure [AI25]

Ecosystem characteristic: Functionally important species and biophysical structures  

Phenomenon: Decreasing biomass of large cod [AP25]

Main driver: fisheries

25.1 Supplementary metadata

Not relevant.

25.2 Supplementary methods

Age was used as a proxy for body size, and the indicator is calculated as the biomass proportion of seven year old cod and older. The total annual biomass of each age group is estimated for the whole North East Arctic cod stock in Barents Sea by ICES (ICES, 2020).

25.3 Plots of indicator values

 

Figure A.25.1 The black dots and line are the indicator values of the biomass percentage of large cod (> 6 years). The red line represents fitted trend of degree 3 (cubic). After fitting, residuals variance was 161.41, R²=0.44.  
Figure A.25.1 The black dots and line are the indicator values of the biomass percentage of large cod (> 6 years). The red line represents fitted trend of degree 3 (cubic). After fitting, residuals variance was 161.41, R²=0.44.  

No evidence that the phenomenon has occurred.

There is no evidence for the phenomenon, as the proportion of large cod has increased in the most recent period and is similar to the “after WW2” low fishing pressure conditions. Especially during the most recent period (since 2012), large cod has made up a large proportion (60-75%) of the total biomass. The biomass of large cod shows a similar trend as the change in cod stock size with a decrease followed by an increase. The trends in cod size structure are caused by increased followed by reduced fishing pressure.


25.4 Background data and supplementary analysis

 

Figure A.25.2 Biomass of large cod (> 6 years; solid line) compared to total stock biomass (stippled line).
Figure A.25.2 Biomass of large cod (> 6 years; solid line) compared to total stock biomass (stippled line).

25.5 Recommendations for future development of the indicator


26 Indicator: Cod distribution [AI26]

Ecosystem characteristic: Functionally important species and biophysical structures  

Phenomenon: Increasing biomass in the Arctic Barents Sea [AP26]

Main driver: climate change

26.1 Supplementary metadata

Not relevant.

26.2 Supplementary methods

The indicator is calculated as the average biomass / km2 of cod in bottom trawl catches from the Arctic part of the Barents Sea, using data from the Barents Sea Ecosystem Survey. Standard deviations are relatively high due to large variation in biomass densities between trawls.

26.3 Plots of indicator values

Figure A.26.1 Mean ( ± sd) biomass of cod in the Arctic part of the Barents Sea.
Figure A.26.1 Mean (± sd) biomass of cod in the Arctic part of the Barents Sea.

Figure A.26.2 The red line represents fitted trend of degree 3 (cubic). After fitting, residuals variance was 90780.83, R²=0.86.  
Figure A.26.2 The red line represents fitted trend of degree 3 (cubic). After fitting, residuals variance was 90780.83, R²=0.86.  

 

High level of evidence that the phenomenon has occurred.

There is high evidence that the average density (kg/km2) of cod in the Arctic Barents Sea increased in the beginning of the time series, and then seems to have stabilized at relatively high values. Average cod biomass per km2 increased about 3 times from 2004 to 2010 and has declined somewhat after that. The main driver of the increase is likely warming waters which makes more habitat available for feeding cod. But also larger population size, following reduced fishing pressure, may contribute to more fish utilizing feeding areas in the north (Ellingsen et al., 2020).

The results here are supported by reports mapping the distribution of cod in the Barents Sea (ICES, 2021). In the most recent report from WGIBAR it is concluded that cod expanded its distribution area to the north and northeast during the period from 2004-2013, while the northern limit of the distribution area in the Barents Sea has shifted considerably southwards again since 2013 (Fig. A.26.4). This change is likely both related to decreased stock size (Fig. A.26C) and lower temperature in the area (Fig A.26.1-4). However, the distribution area along the western and northern coast of Svalbard was stable despite temperature decrease also in this area. The reason for the difference in development between the areas is likely that in the northern Barents Sea the temperature has now fallen below 0° C, while it is still above 0° C NW of Svalbard.


26.4 Background data and supplementary analysis

 

Figure A.26.3. Comparison of trend in average biomass density (kg/km 2 ) of cod in the Arctic part of the Barents Sea with densities in the Sub-Arctic part and with total stock biomass estimates (from ICES). A) Ratio of the mean density (kg/km2) of cod in the Arctic vs. the Sub-Arctic part within the Norwegian sector of the Barents Sea, from BESS in August-September. All values are larger than 1, indicating overall higher densities of cod in the Arctic compared to the Sub-Arctic part. B) Mean biomass density (kg/km 2 ) trends in Arctic (solid) and Sub-Arctic areas (stippled), from BESS in August-September. C) Total cod stock biomass estimates for the entire Barents Sea, from ICES.
Figure A.26.3. Comparison of trend in average biomass density (kg/km2) of cod in the Arctic part of the Barents Sea with densities in the Sub-Arctic part and with total stock biomass estimates (from ICES). A) Ratio of the mean density (kg/km2) of cod in the Arctic vs. the Sub-Arctic part within the Norwegian sector of the Barents Sea, from BESS in August-September. All values are larger than 1, indicating overall higher densities of cod in the Arctic compared to the Sub-Arctic part. B) Mean biomass density (kg/km2) trends in Arctic (solid) and Sub-Arctic areas (stippled), from BESS in August-September. C) Total cod stock biomass estimates for the entire Barents Sea, from ICES.

A)

Figure A.26.4. Geographical distribution of cod from the Barents Sea Ecosystem Survey in 2004

B)

Figure A.26.4. Geographical distribution of cod from the Barents Sea Ecosystem Survey in 2013


C) 

Figure A.26.4. Geographical distribution of cod from the Barents Sea Ecosystem Survey in 2020
Figure A.26.4. Geographical distribution of cod from the Barents Sea Ecosystem Survey in 2004, 2013 and 2020 (WGIBAR report 2021).

26.5 Recommendations for future development of the indicator

Other possibilities of relevant indicator values should be explored, such as number of polygons occupied in the Arctic Barents Sea, the northernmost latitude, and the latitude of center of gravity of the distribution.

Also data from the Joint winter survey in January-March can be used to describe fluctuations in distribution at another time of the year.


27 Indicator: Bottom thermal niches [AI27]

Ecosystem characteristic: Landscape-ecological patterns

Phenomenon: Decreasing area of bottom cold-water temperature niches [AP27]

Major driver: Climate change

27.1 Supplementary metadata

Not relevant.

27.2 Supplementary method

Temperature observations for the annual autumn ecosystem surveys and other cruises between August and October were received from the Norwegian Marine Data Centre (NMDC) and cover 1970 to 2019. In addition to the quality control performed by NMDC, the station data was de-spiked and significant instabilities removed. Bottom temperatures are a mean over the 30 m closest to the bottom depth for each individual CTD cast. The bottom depth is either given by the echosounder depth of each CTD cast or the depth of the International Bathymetric Chart of the Arctic Ocean (IBCAO3.0). The bottom temperatures were gridded onto a 25 km polar stereographic grid covering the Barents Sea using objective mapping to remove biases due to clustered sampling in small areas. Years when less than 70% of the area of the Arctic/sub-Arctic region or any individual polygon was covered by gridded observations were disregarded. The mask for this criterium was computed using mean 50 – 200 m temperatures and used for all other variables for consistency. Area of temperature niches at the bottom were computed by identifying grid cells with sub-surface (T<0 o C) temperatures. The indicator has been calculated for the entire arctic part, and no calculations have been conducted on individual sub-regions.

27.3 Plots of indicator values

Figure A.27.1 Estimated area covered with cold-water (T<0 o C) temperature niches at bottom. Means and standard deviations for 1970-1990 and 2004-2019 are shown by red lines and pale red boxes with actual values shown in red. Linear trends 1970-2019 and 2004-2019 are shown in blue when statistically significant at the 95% level (with actual values also in blue). 
Figure A.27.1 Estimated area covered with cold-water (T<0 o C) temperature niches at bottom. Means and standard deviations for 1970-1990 and 2004-2019 are shown by red lines and pale red boxes with actual values shown in red. Linear trends 1970-2019 and 2004-2019 are shown in blue when statistically significant at the 95% level (with actual values also in blue). 

High evidence that the phenomenon has occurred over the period 1970-2019 but low evidence that the phenomenon has occurred over the period 2004-2019.

Data on exists from 1970, meaning that quantitative information for the indicator exists only for part of the reference condition. Despite strong interannual variability during the part of the reference period available, there is a strong (-1.8*1000 km2 yr-1) negative trend in the indicator when evaluating the 1970-2019 period. The mean area of cold-water (T<0o C) temperature niches at bottom reduced to almost 20 % from the reference period available (1970-1990) to the most recent period (2004-2019). Thus, over the last five decades, there is high evidence that area covered by cold-water temperature niches at bottom has decreased considerable concurrent with warming of the climate in this period. In the phenomenon, it is described that changes of this magnitude will likely trigged changes of ecosystem significance.

Evaluating the period 2004-2019 reveal a significant positive trend in area covered by cold-water temperature niches. Concomitant with the most recent decrease in temperature, the indicator strongly increased giving no evidence that the phenomenon occurred when evaluating the 2004-2019 period.

The phenomenon has occurred regionally.

27.4 Background data and supplementary analysis

Not relevant.

27.5 Recommendations for future development of the indicator

Due to substantial short- and long-term variability and changes in the system, the assessment of the phenomenon is critically dependent on the chosen assessment period. Moreover, the defined reference period (1960-1990) does not represent nature not affected by humans, as anthropogenic impacts started before 1960, and accelerated during 1960-1990. Future developments should include a refined definition of assessment period. It is critical to consider how assessment of abiotic phenomena starting at different times are to be combined with each other, and with assessments of biotic phenomena which often are evaluated over shorter time periods due to lack of historic time series.


28 Indicator: Sea ice area [AI28]

Ecosystem characteristic: Landscape-ecological patternsand abiotic factors

Phenomenon: Decreasing sea ice area in winter and summer [AP28]

Main driver: Climate change

28.1 Supplementary metadata

Not relevant.

28.2 Supplementary methods

The used dataset is generated from brightness temperature data derived from the following sensors: the Nimbus-7 Scanning Multichannel Microwave Radiometer (SMMR), the Defense Meteorological Satellite Program (DMSP) -F8, -F11 and -F13 Special Sensor Microwave/Imagers (SSM/I), and the DMSP-F17 Special Sensor Microwave Imager/Sounder (SSMIS). The data is provided in the polar stereographic projection at a grid cell size of 25 km x 25 km. The product is designed to provide a consistent time series of sea ice concentration (the fraction of ocean area covered by sea ice) spanning the coverage of several passive microwave instruments. The data is generated using the NASA Team algorithm developed by the Oceans and Ice Branch, Laboratory for Hydrospheric Processes at NASA Goddard Space Flight Center. The data include gridded daily (every other day for SMMR data) and monthly averaged sea ice concentrations. The present indicator sea ice area only includes monthly averaged data.

Sea ice concentration is the percent areal coverage of ice within the data element (grid cell). Sea ice extent is the integral sum of the areas of all grid cells with at least 15% ice concentration, while sea ice area is the integral sum of the product of ice concentration and area of all grid cells with at least 15% ice concentration, i.e. sum of the area of each cell multiplied by the fractional concentration for that cell (see, e.g. (Comiso, 2006)). A cut-off at 15% ice concentration is commonly used for delineating the ice edge, as it provides the most consistent agreement between satellite and ground observations (e.g. (Comiso, 2012)).

Time-series of inter-annual variability of sea ice area in April (annual sea ice maximum) and September (annual sea ice minimum) are plotted for squared boxes (oriented along latitudes and longitudes) covering all selected Arctic polygons.

For four separate boxes over several selected polygons the average area, covered by sea ice in April and September, is expressed as % of total area for each squared box (oriented along latitudes and longitudes).

Selected Arctic polygons are: #23, #24, #26 (Box #1); #42, #43, #47 (Box #2); #48, #49 (Box #3); #21 (Box #4).


28.3 Plots of indicator values

 

Figure A.28.1 Interannual variability of sea-ice area in a box (81.65-73.64°N; 8.21-38.0°E) covering all selected polygons for the period of 1979-2020 in April. Linear trend (blue line) with 95% confidence intervals (blue shading) with R 2 = 0.34 is shown (with actual value also in blue). Means and standard deviations for the periods of 1979-1990 and 2011-2020 are shown by red lines with actual values in red, in 1000 km2 yr-1.
Figure A.28.1 Interannual variability of sea-ice area in a box (81.65-73.64°N; 8.21-38.0°E) covering all selected polygons for the period of 1979-2020 in April. Linear trend (blue line) with 95% confidence intervals (blue shading) with R 2 = 0.34 is shown (with actual value also in blue). Means and standard deviations for the periods of 1979-1990 and 2011-2020 are shown by red lines with actual values in red, in 1000 km2 yr-1.

 

Figure A.28.2 Interannual variability of sea-ice area in a box (81.65-73.64°N; 8.21-38.0°E) covering all selected polygons for the period of 1979-2020 in September. Linear trend (blue line) with 95% confidence intervals (blue shading) with R 2 = 0.08 is shown (with actual values also inblue). Means and standard deviations for the periods of 1979-1990 and 2011-2020 are shown by red lines with actual values in red, in 1000 km2 yr-1.
Figure A.28.2 Interannual variability of sea-ice area in a box (81.65-73.64°N; 8.21-38.0°E) covering all selected polygons for the period of 1979-2020 in September. Linear trend (blue line) with 95% confidence intervals (blue shading) with R 2 = 0.08 is shown (with actual values also inblue). Means and standard deviations for the periods of 1979-1990 and 2011-2020 are shown by red lines with actual values in red, in 1000 km2 yr-1.

 

Figure A.28.3 Interannual variability of sea ice area (%) in boxes covering selected polygons for 1979-2020 in April (left) and September (right). Linear trends (blue lines) with 95% confidence intervals (blue shading) are shown (with actual values also in blue). Means and standard deviations for the periods of 1979-1990 and 2011-2020 are shown by red lines with actual values also in red. Note that due to generally low levels of sea ice area in the boxes 1, 2 and 4 in September, the vertical axis is scaled here from 0 to 5% in order to visualize changes.
Figure A.28.3 Interannual variability of sea ice area (%) in boxes covering selected polygons for 1979-2020 in April (left) and September (right). Linear trends (blue lines) with 95% confidence intervals (blue shading) are shown (with actual values also in blue). Means and standard deviations for the periods of 1979-1990 and 2011-2020 are shown by red lines with actual values also in red. Note that due to generally low levels of sea ice area in the boxes 1, 2 and 4 in September, the vertical axis is scaled here from 0 to 5% in order to visualize changes.

High evidence that the phenomenon has occurred for April.

Intermediate/low evidence that the phenomenon has occurred in September.

Over the last four decades, there is high evidence that sea ice area in April has decreased considerable concurrent with warming of the climate in this period.

Despite substantial interannual variability in sea ice area, there is a clear decreasing trend (-2.7*1000 km2 yr -1) in the indicator for April in the period of 1979-2020, while for September, when sea ice area levels in general are very low in the region, the decreasing trend is relatively weak (-0.6*1000 km2 yr -1). So, in 1979-2020 there is high evidence that sea ice area in April has decreased considerably, while for September the decrease is weaker, at much lower total levels, close to 0 km2.

The phenomenon appears to have occurred regionally (decreasing trend in all polygons). Concomitant with the recent increase in sea water and air temperatures, and reorganization of atmospheric and water circulation, sea ice area has decreased in the recent years. However, the levels of sea ice area in the Barents Sea are also influenced by advected sea ice drifting into the area (or the other way around).

For the period 2004-2020 there is a weak decreasing trend (-0.8*1000 km2 yr -1) in the indicator for September, whereas for April there is a moderate positive trend (1.6*1000 km2 yr -1). However, interannual variability of sea ice area in the region is relatively high, which limits conclusions from trends calculated over this time interval.


28.4 Background data and supplementary analysis

A)

Figure A.28.4 Left map: The numbering of the four diagrams (boxes) connects to the following colors in the map: 1: pink; 2: green; 3: blue; 4 yellow, see map to the left. Right map: An example of the calculation of the domain for Box #1 is shown here. This was done in the same way for the other boxes.

B)

 

Figure A.28.4 Left map: The numbering of the four diagrams (boxes) connects to the following colors in the map: 1: pink; 2: green; 3: blue; 4 yellow, see map to the left. Right map: An example of the calculation of the domain for Box #1 is shown here. This was done in the same way for the other boxes.
Figure A.28.4 Map A: The numbering of the four diagrams (boxes) connects to the following colors in the map: 1: pink; 2: green; 3: blue; 4 yellow, see map A. Map B: An example of the calculation of the domain for Box #1 is shown here. This was done in the same way for the other boxes.

28.5 Recommendations for future development of the indicator

In the future we plan to use the Ocean and Sea Ice Satellite Application Facilities (OSI SAF) data of sea ice concentration (SIC) (https://osi-saf.eumetsat.int/products/sea-ice-products), which has higher spatial resolution compared with the NSIDC dataset. The OSI SAF SIC dataset is presented on two grids, at 10 km and 12.5 km spatial sampling for the period 1979-present. In addition, it will be considered to use new synthetic aperture radar (SAR) satellite products, with higher resolution compared to passive microwave sensors.


29 Indicator: Arctic amphipod [AI29]

Ecosystem characteristic: Biological diversity  

Name of phenomenon: Decrease in biomass of the Arctic amphipod Themisto libellula [AP29]

Main driver: Climate change

29.1 Supplementary metadata

Not relevant.

29.2 Supplementary methods

Amphipod's biomass is estimated from catches in the pelagic trawl during the BESS. The taxonomy of krill is recorded in the pelagic trawl only since 2014.


29.3 Plots of indicator values

 

Figure A.29.1 . The time series of estimated biomass of Themisto libellula shown with shaded areas indicating ± 1 SD.
Figure A.29.1. The time series of estimated biomass of Themisto libellula shown with shaded areas indicating ± 1 SD.

 

Figure A.29.2 Themisto libellula time series and fitted trend represented by the red line. The fitted trend is of degree 1 (linear) with R²=0.05. Residual variance after fitting was 1.55.
Figure A.29.2 Themisto libellula time series and fitted trend represented by the red line. The fitted trend is of degree 1 (linear) with R²=0.05. Residual variance after fitting was 1.55.

Figure A.29.4 Themisto libellula in each polygon in the Arctic part of the Barents Sea and fitted trend represented by the red line.
Figure A.29.4 Themisto libellula in each polygon in the Arctic part of the Barents Sea and fitted trend represented by the red line.

There is insufficient data, as the data series is too short to detect a trend.

29.4 Background data and supplementary analysis

29.5 Recommendations for future development of the indicator


30 Indicator: Cold-water Benthos [AI30]

Ecosystem characteristic: Biological diversity  

Name of phenomenon: Decreasing proportion of Arctic benthos species [AP30]

Main driver: Climate change

30.1 Supplementary metadata

Table A.30.1 Species with cold and warm affinities

Cold water   Warm water
Acanthonotozoma cristatum   Antho dichotoma
Bathybiaster vexillifer   Bolocera tuediae
Boreomysis arctica   Brisaster fragilis
Buccinum angulosum   Caryophyllia smithii
Buccinum ciliatum   Ceramaster granularis
Byblis gaimardi   Echinus acutus
Chionoecetes opilio   Echinus esculentus
Cirroteuthis muelleri   Geodia barretti
Colossendeis angusta   Geodia macandrewii
Colus turgidulus   Geryon trispinosus
Cuspidaria arctica   Hippasteria phrygiana
Eupyrgus scaber   Karnekampia sulcatum
Eurythenes gryllus   Laetmonice filicornis
Eusirus holmi   Leptychaster arcticus
Gorgonocephalus arcticus   Lithodes maja
Hymenodora glacialis   Macandrevia cranium
Leucothoe spinicarpa   Munida bamffica
Liljeborgia fissicornis   Pandalus montagui
Nuculana pernula   Paralithodes camtschaticus
Ophiopleura borealis   Parastichopus tremulus
Paragorgia arborea   Pedicellaster typicus
Phippsiella similis   Pelonaia corrugata
Poraniomorpha tumida   Pseudarchaster parelii
Psilaster andromeda   Pycnogonum litorale
Saduria sabini   Radiella hemisphaericum
Solaster endeca   Spatangus purpureus
Solaster syrtensis   Stephanasterias albula
Tylaster willei   Stichastrella rosea
Umbellula encrinus   Stryphnus ponderosus
    Tedania suctoria

30.2 Supplementary methods

Not relevant.

30.3 Plots of indicator values

Figure A. 30.1 Proportion of mean (± sd) biomass / km2 of climate sensitive megabenthos in each polygon in the Arctic part of the Barents Sea. Stars denote years with low sample size (< 5 trawls). The dotted lines represent fitted trend of degree 1 (with 95% confidence intervals).
Figure A. 30.1 Proportion of mean (± sd) biomass / km2 of climate sensitive megabenthos in each polygon in the Arctic part of the Barents Sea. Stars denote years with low sample size (< 5 trawls). The dotted lines represent fitted trend of degree 1 (with 95% confidence intervals).

 

Figure A.30.2 Proportion of mean (± sd) biomass / km2 of climate sensitive megabenthos in the Arctic part of the Barents Sea. The dotted lines represents fitted trend of degree 1 (with 95% confidence intervals).
Figure A.30.2 Proportion of mean (± sd) biomass / km2 of climate sensitive megabenthos in the Arctic part of the Barents Sea. The dotted lines represents fitted trend of degree 1 (with 95% confidence intervals).

 

Figure A.30.3 Mean (± sd) biomass / km2 of climate sensitive megabenthos in each polygon in the Arctic part of the Barents Sea. Stars denote years with low sample size (< 5 trawls).
Figure A.30.3 Mean (± sd) biomass / km2 of climate sensitive megabenthos in each polygon in the Arctic part of the Barents Sea. Stars denote years with low sample size (< 5 trawls).

 


A)

Figure A.30.4 Number of stations used in the data in the whole area

B)

Figure A.30.4 Number of stations used in the data per polygon.
Figure A.30.4 Number of stations used in the data. Top: in the whole area. Bottom: per polygon.

Low evidence that the phenomenon has occurred.

This phenomenon is better evaluated using the relative biomass indicator (Arctic to total biomass proportion), but the biomass data itself are also informative. Biomass of Arctic taxa from many polygons, especially those polygons having particularly high biomass. There is low-moderate evidence for this general trend, although interannual and spatial variability is high. Despite increased total biomass of Arctic taxa, the biomass proportion of Arctic taxa exhibits a consistent decline in many polygons, including those with the greatest total biomass. Due to the high spatial and temporal variability present, and the sensitivity of the indicator to which taxa are included as 'sensitive Arctic taxa,' we suggest the evidence for this indicator is low.


30.4 Background data and supplementary analysis

 

Figure A.30.5 Mean (± sd) biomass / km2 of climate sensitive megabenthos in the Arctic part of the Barents Sea
Figure A.30.5 Mean (± sd) biomass / km2 of climate sensitive megabenthos in the Arctic part of the Barents Sea

30.5 Recommendations for future development of the indicator


31 Indicator: Arctic fish species [AI31]

Ecosystem characteristic: Biological diversity  

Phenomenon: Decreasing abundance of Arctic fish species [AP31]

Main driver: climate change

31.1 Supplementary metadata

Not relevant.

31.2 Supplementary methods

Fish species biogeographic classification was collected from the literature (Andriyashev and Chernova, 1995; Wiedmann et al., 2014; Fossheim et al., 2015; Mecklenburg et al., 2018). The indicator is the sum of the min-max normalized log transformed abundances of Arctic and mainly Arctic species in demersal trawls from the Barents Sea Ecosystem Survey. Using normalized log abundances gives all species equal influence on the overall trend. Indicator values are the mean values in the total Arctic part of the Barents Sea and in separate polygons.


31.3 Plots of indicator values

A)

Figure A.31.1 Mean ( ± sd) sum of normalised log transformed abundances of Arctic fish species in demersal trawls the Arctic Barents Sea (Black dots and grey shading). Linear regression fit with 95% CI is shown in blue, and the statistical results are given in the top of each plot. A local smoother is added in red to assist visual interpretation of non-linear changes during the period. Stars denote years with low sample size (< 5 trawls).

B)

Figure A.31.1 Mean ( ± sd) sum of normalised log transformed abundances of Arctic fish species in demersal trawls the Arctic Barents Sea (Black dots and grey shading). Linear regression fit with 95% CI is shown in blue, and the statistical results are given in the top of each plot. A local smoother is added in red to assist visual interpretation of non-linear changes during the period. Stars denote years with low sample size (< 5 trawls).
Figure A.31.1 Mean (± sd) sum of normalised log transformed abundances of Arctic fish species in demersal trawls the Arctic Barents Sea (Black dots and grey shading). Linear regression fit with 95% CI is shown in blue, and the statistical results are given in the top of each plot. A local smoother is added in red to assist visual interpretation of non-linear changes during the period. Stars denote years with low sample size (< 5 trawls). A) in the whole area. B) per polygons.

 


A)

Figure A.31.2 Mean ( ± sd) percentage based on abundances of Arctic fish species in demersal trawls the Arctic Barents Sea (Black dots and grey shading). Linear regression fit with 95% CI is shown in blue, and the statistical results are given in the top of each plot. A local smoother is added in red to assist visual interpretation of non-linear changes during the period. Stars denote years with low sample size (< 5 trawls).

B)

Figure A.31.2 Mean ( ± sd) percentage based on abundances of Arctic fish species in demersal trawls the Arctic Barents Sea (Black dots and grey shading). Linear regression fit with 95% CI is shown in blue, and the statistical results are given in the top of each plot. A local smoother is added in red to assist visual interpretation of non-linear changes during the period. Stars denote years with low sample size (< 5 trawls).
Figure A.31.2 Mean (± sd) percentage based on abundances of Arctic fish species in demersal trawls the Arctic Barents Sea (Black dots and grey shading). Linear regression fit with 95% CI is shown in blue, and the statistical results are given in the top of each plot. A local smoother is added in red to assist visual interpretation of non-linear changes during the period. Stars denote years with low sample size (< 5 trawls). A) in the whole area. B) per polygons.

A)

Figure A.31.3 Mean ( ± sd) total abundance of Arctic fish species in demersal trawls the Arctic Barents Sea (Black dots and grey shading). Linear regression fit with 95% CI is shown in blue, and the statistical results are given in the top of each plot. A local smoother is added in red to assist visual interpretation of non-linear changes during the period. Stars denote years with low sample size (< 5 trawls).

B)

Figure A.31.3 Mean ( ± sd) total abundance of Arctic fish species in demersal trawls the Arctic Barents Sea (Black dots and grey shading). Linear regression fit with 95% CI is shown in blue, and the statistical results are given in the top of each plot. A local smoother is added in red to assist visual interpretation of non-linear changes during the period. Stars denote years with low sample size (< 5 trawls).
Figure A.31.3 Mean (± sd) total abundance of Arctic fish species in demersal trawls the Arctic Barents Sea (Black dots and grey shading). Linear regression fit with 95% CI is shown in blue, and the statistical results are given in the top of each plot. A local smoother is added in red to assist visual interpretation of non-linear changes during the period. Stars denote years with low sample size (< 5 trawls). A) in the whole area. B) per polygons.

There is no evidence that the phenomenon has occurred across the Arctic part of the Barents Sea, and low evidence the phenomenon has occurred in the northern polygons (47, 48).

The abundance of Arctic fish species has fluctuated over time, decreasing in years of high water temperature (particularly in the time period 2010-2014) and returning to higher values in years of lower water temperature. However, polygon-specific analyses indicate that the areas northeast of Svalbard (polygons 47 and 48), which are characterized by being colder and normally harboring a greater amount of Arctic fish, are the ones that have had a larger reduction in the abundance of Arctic fish. In particular, polygon 47 had the proportion of Arctic fish individuals decreased from about 45 to nearly 10% over the data period (Fig. A. 31.2). Polygon 48 has also experienced a decrease in the proportion of Arctic fish individuals from 2004-2014, but that proportion returned to higher levels in the past two years. Overall, for these two polygons, there is low evidence that the phenomenon has happened. Polygon 49, which is located just north of Svalbard, has experienced a small increase in the abundance and proportion of Arctic fish (Fig. A.31.2, Fig. A.31.3), consistent with northward displacement of Arctic species. The other polygons, all located either south or west of Svalbard, do not show a significant amount of Arctic fish individuals throughout the data series.

31.4 Background data and supplementary analysis

Mean abundance of demersal fish species in the Arctic part of the Barents Sea. Blue bars denote species classified as Arctic species.
Figure A.31.4 Mean abundance of demersal fish species in the Arctic part of the Barents Sea. Blue bars denote species classified as Arctic species.

31.5 Recommendations for future development of the indicator


32 Indicator: Fish sensitive to fisheries [AI32]

Ecosystem characteristic: Biological diversity  

Phenomenon: Decreasing abundance of species sensitive to fisheries [AP32]

Main driver: fisheries

32.1 Supplementary metadata

Not relevant.

32.2 Supplementary methods

Based on life history strategy information (see indicator AI16 fish life history), nine fish species (or taxa) were identified as sensitive to increased mortality from fisheries. These are typically equilibrium strategy species, with slow life histories. We included the top 12 equilibrium species but removed the most uncommon ones. The included taxa are: Greenland shark (Somniosus microcephalus), Velvet belly lanternshark (Etmopterus spinax), Rabbit fish (Chimaera monstrosa), Spinytail skate (Bathyraja spinicauda), Thorny skate (Amblyraja radiata), and Redfishes (Sebastes mentella, Sebastes norvegicus, Sebastes viviparus, Sebastes spp.). The indicator value is the sum of min-max normalized log transformed abundances of these species in each bottom trawl from the Barents Sea Ecosystem Survey.


32.3 Plots of indicator values

A)

Figure A.32.1 Mean ( ± sd) of the sum of normalised log transformed abundances of fish species sensitive to fisheries in demersal trawls the Arctic Barents Sea (Black dots and grey shading). Linear regression fit with 95% CI is shown in blue, and the statistical results are given in the top of each plot. A local smoother is added in red to assist visual interpretation of non-linear changes during the period. Stars denote years with low sample size (< 5 trawls).

B)

Figure A.32.1 Mean ( ± sd) of the sum of normalised log transformed abundances of fish species sensitive to fisheries in demersal trawls the Arctic Barents Sea (Black dots and grey shading). Linear regression fit with 95% CI is shown in blue, and the statistical results are given in the top of each plot. A local smoother is added in red to assist visual interpretation of non-linear changes during the period. Stars denote years with low sample size (< 5 trawls).
Figure A.32.1 Mean (± sd) of the sum of normalised log transformed abundances of fish species sensitive to fisheries in demersal trawls the Arctic Barents Sea (Black dots and grey shading). Linear regression fit with 95% CI is shown in blue, and the statistical results are given in the top of each plot. A local smoother is added in red to assist visual interpretation of non-linear changes during the period. Stars denote years with low sample size (< 5 trawls). A) in the whole area. B) per polygons.

A)

Figure A.32.2 Mean ( ± sd) proportion (%) based on abundances of fish species sensitive to fisheries in demersal trawls the Arctic Barents Sea (Black dots and grey shading). Linear regression fit with 95% CI is shown in blue, and the statistical results are given in the top of each plot. A local smoother is added in red to assist visual interpretation of non-linear changes during the period. Stars denote years with low sample size (< 5 trawls). 

B)

Figure A.32.2 Mean ( ± sd) proportion (%) based on abundances of fish species sensitive to fisheries in demersal trawls the Arctic Barents Sea (Black dots and grey shading). Linear regression fit with 95% CI is shown in blue, and the statistical results are given in the top of each plot. A local smoother is added in red to assist visual interpretation of non-linear changes during the period. Stars denote years with low sample size (< 5 trawls). 
Figure A.32.2 Mean (± sd) proportion (%) based on abundances of fish species sensitive to fisheries in demersal trawls the Arctic Barents Sea (Black dots and grey shading). Linear regression fit with 95% CI is shown in blue, and the statistical results are given in the top of each plot. A local smoother is added in red to assist visual interpretation of non-linear changes during the period. Stars denote years with low sample size (< 5 trawls). A) in the whole area. B) per polygons.

Figure A.32.3 Mean abundance of single fish species/taxa sensitive to fisheries in each polygon in the Arctic Barents Sea. Stars denote years with low sample size (< 5 trawls).

Figure A.32.3 Mean abundance of single fish species/taxa sensitive to fisheries in each polygon in the Arctic Barents Sea. Stars denote years with low sample size (< 5 trawls).
Figure A.32.3 Mean abundance of single fish species/taxa sensitive to fisheries in each polygon in the Arctic Barents Sea. Stars denote years with low sample size (< 5 trawls).

No evidence that the phenomenon has occurred (EP = none)

There is an increasing trend in the biomass of fish sensitive to fisheries during the time-period from which we have observations. The phenomenon specified a decrease of the biomass of the fish sensitive to fisheries as a response to increasing fishing pressure, as there is no sign of decrease but rather of an increase, there is no evidence of the phenomenon. The increase in biomass is not spatially homogeneous but was especially evident in the northern and western coast around Svalbard (polygons 21, 49).


32.4 Background data and supplementary analysis

32.4.1 Individual species abundances
Figure A.32. 4 Mean ( ± sd) abundance of the most common fish species/taxa sensitive to fisheries in the Arctic Barents Sea.
Figure A.32. 4 Mean (± sd) abundance of the most common fish species/taxa sensitive to fisheries in the Arctic Barents Sea.

32.5 Recommendations for future development of the indicator

The indicator value is based on nine taxa identified as sensitive to fishing pressure based on the equilibrium life history strategy (Pecuchet et al., 2017). In future assessments this approach to estimate sensitivity to fisheries should be compared to others, such as the “Average-life-history-trait” metric (Greenstreet et al., 2012), “Proportion failing to spawn” metric (ICES, 2016), and “Fishing reducing SSB to 25%” metric (Rindorf et al., 2020). In addition, the effects of the threshold level for including species as being sensitive to fisheries should be explored. The included nine taxa here should be seen as a minimum, and it should also be considered to separate elasmobranchs into a separate indicator. Fish species that are sensitive to fisheries are also often among the most rare, and the actual data availability for each of the included species should be explored and species with too sparse data removed. It is recommended to consider the approach used in OSPAR for the Fish community indicator (FC1) “Recovery in the population abundance of sensitive fish” in the coming Quality Status Report 20231.

1 https://oap.ospar.org/en/ospar-assessments/quality-status-reports/qsr-2023/


33 Indicator: Seabirds sensitive to pollution [AI33]

Ecosystem characteristic: Biological diversity  

Phenomenon: Decreasing abundance of Glaucous gull [AP33]

Main driver: pollution

33.1 Supplementary metadata

Not relevant.

33.2 Supplementary methods

Glaucous gull (Larus hyperboreus) is the seabird species most sensitive to pollution in the Barents Sea and is used as an indicator species of pollution sensitive seabirds. Indicator values on the density of L. hyperboreus from the Barents Sea Ecosystem survey were zero-inflated, and indicator values were estimated as the mean of station values within each area. Indicator values on breeding population sizes in colonies in Kongsfjorden (Svalbard) and Bear Island are given as number of birds as percentage of the average number of birds in the time-series.


33.3 Plots of indicator values

 

A)

Figure A.33.1 A) Mean ( ± sd) abundance (log count/km2) of Larus hyperboreus in the Arctic Barents Sea .

B)

Figure A.33.1 A) Mean ( ± sd) abundance (log count/km2) of Larus hyperboreus in the Arctic Barents Sea . B) The red line represents fitted trend of degree 2 (quadratic). After fitting, residuals variance was 0.004, R²=0.32.
Figure A.33.1 A) Mean (± sd) abundance (log count/km2) of Larus hyperboreus in the Arctic Barents Sea. B) The red line represents fitted trend of degree 2 (quadratic). After fitting, residuals variance was 0.004, R²=0.32.

 


Figure A.33.2 Breeding population size of glaucous gull (L. hyperboreus) in colonies on Svalbard and Bear Island. Linear regression fit with 95% CI is shown as solid lines, and the statistical results are given in the top of the plot. A local smoother is added as stippled lines to assist visual interpretation of non-linear changes during the period.
Figure A.33.2 Breeding population size of glaucous gull (L. hyperboreus) in colonies on Svalbard and Bear Island. Linear regression fit with 95% CI is shown as solid lines, and the statistical results are given in the top of the plot. A local smoother is added as stippled lines to assist visual interpretation of non-linear changes during the period.

 

Figure A.33.3 Mean ( ± sd) abundance (log count/km2) of Larus hyperboreus in each polygon in the Arctic Barents Sea. Stars denote years with low sample size (<5).
Figure A.33.3 Mean (± sd) abundance (log count/km2) of Larus hyperboreus in each polygon in the Arctic Barents Sea. Stars denote years with low sample size (<5).

 

Figure A.33.4 Pollution sensitive seabirds in each polygon in the Arctic part of the Barents Sea and fitted trend represented by the red line .
Figure A.33.4 Pollution sensitive seabirds in each polygon in the Arctic part of the Barents Sea and fitted trend represented by the red line.

Intermediate evidence that the phenomenon has occurred.

The trend analysis suggests an initial increasing and subsequent decreasing trend in the abundance of glaucous gull with a maximum in 2011-2012. The overall trend for the period from 2004-2020 is flat. The year-to-year variation is relatively large, the data is zero-inflated and the polygons have variable coverage among years. Population monitoring at Spitsbergen and Bear Island show diverging trends with a strong long term decrease on Bear Island (1987-2020) and an increase on Spitsbergen from 2005 to 2020 (MOSJ, 2021b). Due to reduced emissions, the level of long-transported persistent organic pollutants POPs in the Arctic have been decreasing since well before the Stockholm convention was implemented in the early 2000s. This apply to legacy POPs such as PCB, HCH and DDT (AMAP, 2015). However, the decrease has levelled off and the concentrations are, in some parts of the Arctic, increasing again, partly due to climate change (AMAP, 2018). As a consequence of reduced levels of POPs, a positive response in the indicator could be expected, at least since the early 2000s. The Glaucous gull population on Bear Island is however still slightly decreasing. This could be due to increased predation from Arctic fox and increased competition with Arctic skuas (Mosj 2021). However, the decrease in the population during the 1980s and 1990s was at least partly due to high levels of PCBs (Erikstad and Strøm, 2012). Apparently, the population has not yet recovered, and the population is therefore still influenced by historic emissions of POPs. It is therefore concluded that there is high evidence that the phenomenon has occurred, but that there are limited ecosystem effects of the observed changes.

33.4 Background data and supplementary analysis

33.5 Recommendations for future development of the indicator


34 Indicator: Arctic seabirds [AI34]

Ecosystem characteristic: Biological diversity  

Phenomenon: Decreasing abundance of Arctic seabird species [AP34]

Main driver: climate change

34.1 Supplementary metadata

Not relevant.

34.2 Supplementary methods

Species were classified to biogeographic groups from the literature (Descamps and Strøm, 2021), and three of the common species in the Barents Sea were classified as Arctic: thick-billed murre (Uria lomvia), little auk (Alle alle), glaucous gull (Larus hyperboreus). Composite indicator values are the sum of min-max normalized log transformed abundances of the three species at each station in the Barents Sea Ecosystem Survey. Due to non-normal distributions, the medians of sample values were used as indicator values for polygons, while mean values were used for the total Arctic part of the Barents Sea.

Indicator values on breeding population sizes of thick-billed murre and glaucous gull in relevant colonies on Svalbard and Bear Island are given as number of birds as percentage of the average number of birds in the time-series. Results on trends in breeding populations of little auk are taken from (Descamps and Strøm, 2021).


34.3 Plots of indicator values

A)

Figure A.34.1 A) Mean ( ± sd) sum of normalised log transformed abundances of three Arctic seabird species in the Arctic Barents Sea

B)

Figure A.34.1  B) The red line represents fitted trend of degree 1 (linear). After fitting, residuals variance was 0.01, R²=0.06.
Figure A.34.1 A) Mean (± sd) sum of normalised log transformed abundances of three Arctic seabird species in the Arctic Barents Sea. B) The red line represents fitted trend of degree 1 (linear). After fitting, residuals variance was 0.01, R²=0.06.

 


Figure A.9.4 Breeding population size of thick-billed murre (U. lomvia) at a selection of colonies in Svalbard and Bear Island. Linear regression fit with 95% CI is shown in blue, and the statistical results are given in the top of each plot. A local smoother is added in red to assist visual interpretation of non-linear changes during the period.
Figure A.34.2 Breeding population size of thick-billed murre (U. lomvia) at a selection of colonies in Svalbard and Bear Island. Linear regression fit with 95% CI is shown in blue, and the statistical results are given in the top of each plot. A local smoother is added in red to assist visual interpretation of non-linear changes during the period.

 

 

 

Figure A.33.2 Breeding population size of glaucous gull (L. hyperboreus) in colonies on Svalbard and Bear Island. Linear regression fit with 95% CI is shown as solid lines, and the statistical results are given in the top of the plot. A local smoother is added as stippled lines to assist visual interpretation of non-linear changes during the period.
Figure A.34.3 Breeding population size of glaucous gull (L. hyperboreus) in colonies on Svalbard and Bear Island. Linear regression fit with 95% CI is shown as solid lines, and the statistical results are given in the top of the plot. A local smoother is added as stippled lines to assist visual interpretation of non-linear changes during the period.

 

Figure A.34.4 Median ( ± mad) sum of normalised log transformed abundances of three Arctic seabird species in each polygon in the Arctic Barents Sea . Stars denote years with low sample size (<5).
Figure A.34.4 Median (± mad) sum of normalised log transformed abundances of three Arctic seabird species in each polygon in the Arctic Barents Sea. Stars denote years with low sample size (<5).

 

Figure A.34.5 Climate sensitive seabirds in each polygon in the Arctic part of the Barents Sea and fitted trend represented by the red line .
Figure A.34.5 Climate sensitive seabirds in each polygon in the Arctic part of the Barents Sea and fitted trend represented by the red line.

 

Figure A.34.6 Median sum of normalized log abundance of Arctic (solid), Arcto-boreal (stippled) and Boreal (dotted) seabirds in each polygon in the Arctic Barents Sea. Stars indicate years with low sample size (<5).
Figure A.34.6 Median sum of normalized log abundance of Arctic (solid), Arcto-boreal (stippled) and Boreal (dotted) seabirds in each polygon in the Arctic Barents Sea. Stars indicate years with low sample size (<5).

Intermediate evidence that the phenomenon has occurred.

In total the trend analysis showed no significant trend in the biomass of the three Arctic seabird species. The trend of thick-billed murre was negative, no trend for little auks or glaucous gull. Due to a borealization of the ecosystem, it was expected a decreasing trend in the indicator. Note that there was generally a decrease in the indicator in southern polygons (# 23, 24, 26, 42, 43, 47), while the trend was flat in the north (#21, 48, 48). This is what we expect from a borealization of the ecosystem. The year-to-year variation in the data is relatively large and the polygons have a variable coverage among years. Data are zero-inflated. Population monitoring of little auks in colonies at Spitsbergen and Bear Island from 2009-2018 show a positive trend in the Spitsbergen colonies and a negative trend in the Bear Island population (Descamps and Strøm, 2021). The large populations of thick-billed murres on Svalbard are decreasing (Fauchald et al., 2015; Descamps and Strøm, 2021). The glaucous gull population on Bear Island has been decreasing since 1987 while there has been an increase in a population on Spitsbergen from 2005 (MOSJ, 2021b). Note that the glaucous gull population is probably also affected by pollution (Indicator AI33). Overall, population trend analyses suggest that there is an ongoing decline in the Arctic seabird populations on Svalbard (Descamps and Strøm, 2021). In conclusion, based on the population studies (Descamps and Strøm, 2021), there is relatively high evidence that the phenomenon has occurred. However, the trends are relatively weak, and the ecosystem effects are interpreted as limited.

34.4 Background data and supplementary analysis

 

Figure A.34.7 Mean sum of normalized log abundance (count/km2) of Arctic (solid), Arcto-boreal (stippled) and Boreal (dotted) seabirds in the Arctic Barents Sea.
Figure A.34.7 Mean sum of normalized log abundance (count/km2) of Arctic (solid), Arcto-boreal (stippled) and Boreal (dotted) seabirds in the Arctic Barents Sea.

 

Figure A.34.8 Mean abundance of single species of a) Arctic, b) Arcto-boreal, c) Boreal seabirds in the Arctic Barents Sea from BESS.
Figure A.34.8 Mean abundance of single species of a) Arctic, b) Arcto-boreal, c) Boreal seabirds in the Arctic Barents Sea from BESS.

34.5 Recommendations for future development of the indicator

The possibility to integrate breeding population estimates and density estimates from BESS should be explored. Polygon-level analyses suffer from low sample sizes, and for spatial analyses larger areas should be considered.


35 Indicator: Marine mammals sensitive to pollution [AI35]

Ecosystem characteristic: Biological diversity  

Phenomenon: Decreasing abundance of mammal species sensitive to pollution [AP35]

Main driver: pollution

35.1 Supplementary metadata

Not relevant.

35.2 Supplementary methods

35.3 Plots of indicator values

Refer to plots of indicators on low, high TL and generalist marine mammals for plots of narwhals, polar bears, ringed seals and white whales.

Intermediate evidence that the phenomenon has occurred. Toxic chemical loads are very high in polar bears and white whales in the Svalbard area, suggesting that they are likely impacting the health of these animals, but the link to survivorship and reproductive parameters is lacking.

35.4 Background data and supplementary analysis

 

Figure A.35.1 Concentration in PCB-153 and oxychlordane of polar bears. Source: MOSJ
Figure A.35.1 Concentration in PCB-153 and oxychlordane of polar bears. Source: MOSJ

 

Figure A.35.2 Concentration in PCB-153, DDE and chlordane of ringed seals. Source: MOSJ
Figure A.35.2 Concentration in PCB-153, DDE and chlordane of ringed seals. Source: MOSJ

35.5 Recommendations for future development of the indicator


36 Indicator: Arctic mammals [AI36]

Ecosystem characteristic: Biological diversity  

Phenomenon: Decreasing abundance of Arctic mammal species [AP36]

Main driver: pollution

36.1 Supplementary metadata

Not relevant.

36.2 Supplementary methods

36.3 Plots of indicator values

Refer to plots of indicators on low, high TL and generalist marine mammals.

Intermediate evidence that the phenomenon has occurred.

From previous plots we can say polar bears, white whales, narwhals; walruses, hooded and harp seals have not recovered from previous over harvesting pressures. Low population levels might represent a threat in some cased to their genetic diversity and thus their population viability (particularly when under threat from climate change and other stressors) in turn affecting Arctic biodiversity.

36.4 Background data and supplementary analysis

Not relevant.

36.5 Recommendations for future development of the indicator


37 Indicator: Temperature [AI37]

Ecosystem characteristic: Abiotic factors  

Phenomenon: Increase in temperature of the water column [AP37]

Main driver: Climate change

37.1 Supplementary metadata

Not relevant.

37.2 Supplementary methods

Temperature and salinity observations for the annual autumn ecosystem surveys and other cruises between August and October were received from the Norwegian Marine Data Centre (NMDC) and cover 1970 to 2019. In addition to the quality control performed by NMDC, the station data was de-spiked and significant instabilities removed. For the mean temperatures, we used data fields that were gridded onto a 25 km polar stereographic grid covering the Barents Sea using objective mapping to remove biases due to clustered sampling in small areas. Years when less than 70% of the area of the Arctic/sub-Arctic region or any individual polygon was covered by gridded observations were disregarded. The mask for this criterium was computed using mean 50 – 200 m temperatures and used for all other variables for consistency.

Bottom temperatures are a mean over the 30 m closest to the bottom depth for each individual CTD cast. The bottom depth is either given by the echosounder depth of each CTD cast or the depth of the International Bathymetric Chart of the Arctic Ocean (IBCAO3.0). The bottom temperatures were then gridded onto the same 25 km polar stereographic grid used for the 3-D temperature fields and subsequently averaged over the Atlantis polygons.

37.3 Plots of indicator values

 

Figure A.37.1 Mean temperature between 0 and 30 meters. Means and standard deviations for 1970-1990 and 2004-2019 are shown by red lines and pale red boxes with actual shown in red. Linear trends 1970-2019 and 2004-2019 are shown in blue when statistically significant at the 95% level (with actual values also in blue).  
Figure A.37.1 Mean temperature between 0 and 30 meters. Means and standard deviations for 1970-1990 and 2004-2019 are shown by red lines and pale red boxes with actual shown in red. Linear trends 1970-2019 and 2004-2019 are shown in blue when statistically significant at the 95% level (with actual values also in blue).  

 

Figure A.37.1 Mean temperature between 0 and 30 meters. Means and standard deviations for 1970-1990 and 2004-2019 are shown by red lines and pale red boxes with actual shown in red. Linear trends 1970-2019 and 2004-2019 are shown in blue when statistically significant at the 95% level (with actual values also in blue).  
Figure A.37.2 Mean temperature between 30 and 100 meters. Means and standard deviations for 1970-1990 and 2004-2019 are shown by red lines and pale red boxes with actual shown in red. Linear trends 1970-2019 and 2004-2019 are shown in blue when statistically significant at the 95% level (with actual values also in blue).  

 

 

Figure A.37.3 Mean temperature between 100 and 200 meters. Means and standard deviations for 1970-1990 and 2004-2019 are shown by red lines and pale red boxes with actual shown in red. Linear trends 1970-2019 and 2004-2019 are shown in blue when statistically significant at the 95% level (with actual values also in blue).  
Figure A.37.3 Mean temperature between 100 and 200 meters. Means and standard deviations for 1970-1990 and 2004-2019 are shown by red lines and pale red boxes with actual shown in red. Linear trends 1970-2019 and 2004-2019 are shown in blue when statistically significant at the 95% level (with actual values also in blue).  

 

 

Figure A.37 .4 Mean bottom temperature. Means and standard deviations for 1970-1990 and 2004-2019 are shown by red lines and pale red boxes with actual shown in red. Linear trends 1970-2019 and 2004-2019 are shown in blue when statistically significant at the 95% level (with actual values also in blue).
Figure A.37.4. Mean bottom temperature. Means and standard deviations for 1970-1990 and 2004-2019 are shown by red lines and pale red boxes with actual shown in red. Linear trends 1970-2019 and 2004-2019 are shown in blue when statistically significant at the 95% level (with actual values also in blue).  

 

Figure A.37.5 Mean temperature between 0 and 30 meters for each polygon in the Arctic part of the Barents Sea. Means and standard deviations for 1970-1990 and 2004-2019 are shown by red lines and pale red boxes with actual shown in red. Linear trends 1970-2019 and 2004-2019 are shown in blue when statistically significant at the 95% level (with actual values also in blue).  
Figure A.37.5 Mean temperature between 0 and 30 meters for each polygon in the Arctic part of the Barents Sea. Means and standard deviations for 1970-1990 and 2004-2019 are shown by red lines and pale red boxes with actual shown in red. Linear trends 1970-2019 and 2004-2019 are shown in blue when statistically significant at the 95% level (with actual values also in blue).  

 

Figure A.37.6 Mean temperature between 30 and 100 meters for each polygon in the Arctic part of the Barents Sea. Means and standard deviations for 1970-1990 and 2004-2019 are shown by red lines and pale red boxes with actual shown in red. Linear trends 1970-2019 and 2004-2019 are shown in blue when statistically significant at the 95% level (with actual values also in blue).  
Figure A.37.6 Mean temperature between 30 and 100 meters for each polygon in the Arctic part of the Barents Sea. Means and standard deviations for 1970-1990 and 2004-2019 are shown by red lines and pale red boxes with actual shown in red. Linear trends 1970-2019 and 2004-2019 are shown in blue when statistically significant at the 95% level (with actual values also in blue).  

 

Figure A.37.7 Mean temperature between 100 and 200 meters for each polygon in the Arctic part of the Barents Sea. Means and standard deviations for 1970-1990 and 2004-2019 are shown by red lines and pale red boxes with actual shown in red. Linear trends 1970-2019 and 2004-2019 are shown in blue when statistically significant at the 95% level (with actual values also in blue).  
Figure A.37.7 Mean temperature between 100 and 200 meters for each polygon in the Arctic part of the Barents Sea. Means and standard deviations for 1970-1990 and 2004-2019 are shown by red lines and pale red boxes with actual shown in red. Linear trends 1970-2019 and 2004-2019 are shown in blue when statistically significant at the 95% level (with actual values also in blue).  

 

Figure A.37.8 Mean bottom temperature for each polygon in the Arctic part of the Barents Sea. Means and standard deviations for 1970-1990 and 2004-2019 are shown by red lines and pale red boxes with actual shown in red. Linear trends 1970-2019 and 2004-2019 are shown in blue when statistically significant at the 95% level (with actual values also in blue).  
Figure A.37.8 Mean bottom temperature for each polygon in the Arctic part of the Barents Sea. Means and standard deviations for 1970-1990 and 2004-2019 are shown by red lines and pale red boxes with actual shown in red. Linear trends 1970-2019 and 2004-2019 are shown in blue when statistically significant at the 95% level (with actual values also in blue).  

High evidence that the phenomenon has occurred for all depth ranges considered over the period 1970-2019, no evidence that the phenomenon has occurred for any of the depth ranges considered over the period 2004-2019.

While there is considerable interannual variability over the observational time period (1970-2019), all depth ranges display significant positive temperature trends over this period that range from 0.028 to 0.032 °C yr-1. While the period 2004-2019 is consistently warmer than 1970-1990, i.e., the part of the nominal reference period 1960-1990 covered by the available temperature observations, there are no significant trends over this time period at the regional level. The warming trend continues past 2004. However, temperatures during this period generally peak between 2013 and 2016 with a cooling towards the end of the observational time series in 2019, concurrent with an expansion of sea ice. Notable exceptions are bottom temperatures in polygons 48 and 49 that show significant cooling trends over the 2004-2019 period. Data coverage in polygon 49 before 2004 is too low to draw any conclusions about the temperature development 1970-2019.

For the depth ranges 0-30 m, 30-100m, and 100-200m the phenomenon has occurred regionally. For bottom temperatures the phenomenon has occurred locally.

37.4 Background data and supplementary analysis

37.5 Recommendations for future development of the indicator

Due to substantial short- and long-term variability and changes in the system, the assessment of the phenomenon is critically dependent on the chosen assessment period. Moreover, the defined reference period (1960-1990) does not represent nature not affected by humans, as anthropogenic impacts started before 1960, and accelerated during 1960-1990. Future developments should include a refined definition of assessment period. It is critical to consider how assessment of abiotic phenomena starting at different times are to be combined with each other, and with assessments of biotic phenomena which often are evaluated over shorter time periods due to lack of historic time series.

The Atlantis polygons used as the basis for this assessment form the basis of a numerical model. In some cases, boundaries overlap bathymetric features like ridges or the shelf slope in the north, leading to the inclusion of observations that represent a different oceanic regime. A division into sub-areas that are tailored to be used with observations like the WGIBAR polygons would improve this.


38 Indicator: Area of water masses [ AI38 ]

Ecosystem characteristic: Abiotic factors  

Phenomenon: Decreasing area covered by Arctic water [ AP38 ]

Main driver: Climate change

38.1 Supplementary metadata

Not relevant.

38.2 Supplementary methods

Temperature observations for the annual autumn ecosystem surveys and other cruises between August and October were received from the Norwegian Marine Data Centre (NMDC) and cover 1970 to 2019. In addition to the quality control performed by NMDC, the station data was de-spiked and significant instabilities removed. The temperature data were gridded onto a 25 km polar stereographic grid covering the Barents Sea using objective mapping to remove biases due to clustered sampling in small areas. Years when less than 70% of the area of the Arctic/sub-Arctic region or any individual polygon was covered by gridded observations were disregarded. The mask for this criterium was computed using mean 50 – 200 m temperatures and used for all other variables for consistency. Area of Arctic Water masses were calculated based on mean 50-200 m temperatures by identifying grid cells with sub-surface (T<0 o C) temperatures. The indicator was calculated for the entire arctic part, and no calculations were conducted on individual sub-regions.

38.3 Plots of indicator values

 

Figure A.38.1 Estimated area covered by Arctic Water in the water column. Means and standard deviations for 1970-1990 and 2004-2019 are shown by red lines and pale red boxes with actual shown in red. Linear trends 1970-2019 and 2004-2019 are shown in blue when statistically significant at the 95% level (with actual values also in blue).  
Figure A.38.1 Estimated area covered by Arctic Water in the water column. Means and standard deviations for 1970-1990 and 2004-2019 are shown by red lines and pale red boxes with actual shown in red. Linear trends 1970-2019 and 2004-2019 are shown in blue when statistically significant at the 95% level (with actual values also in blue).  

High evidence that the phenomenon has occurred over the period 1970-2019 but low evidence that the phenomenon has occurred over the period 2004-2019.

Data exists from 1970, meaning that quantitative information for the indicator exists only for part of the reference condition. However, there is a strong (-0.8*1000 km2 yr-1) decreasing trend in the data, and the mean Arctic Water area reduced with 61 % from the reference period available (1970-1990) to the most recent period (2004-2019). Thus, over the last five decades, there is high evidence that area covered with Arctic Water has decreased considerable concurrent with warming of the climate in this period. In the phenomenon, it is described that changes of this magnitude will likely trigged changes of ecosystem significance.

Evaluating the period 2004-2019 reveal no significant trend in area covered with Arctic Water. Concomitant with the most recent decrease in temperature, the area covered with Arctic Water strongly increased, and there is no evidence that the phenomenon occurred when evaluating the 2004-2019 period.

The phenomenon has occurred regionally.

38.4 Background data and supplementary analysis

Not relevant. Or fill in if needed. This can for example be the “raw” indicator values in case the indicator is a ratio. Data that will help to interpret changes in the indicator can be added here.

38.5 Recommendations for future development of the indicator

Due to substantial short- and long-term variability and changes in the system, the assessment of the phenomenon is critically dependent on the chosen assessment period. Moreover, the defined reference period (1960-1990) does not represent nature not affected by humans, as anthropogenic impacts started before 1960, and accelerated during 1960-1990. Future developments should include a refined definition of assessment period. It is critical to consider how assessment of abiotic phenomena starting at different times are to be combined with each other, and with assessments of biotic phenomena which often are evaluated over shorter time periods due to lack of historic time series.


39 Indicator: Freshwater content [AI39]

Ecosystem characteristic: Abiotic factors  

Phenomenon: Decreasing freshwater content [AP39]

Main driver: Climate change

39.1 Supplementary metadata

Not relevant.

39.2 Supplementary methods

Salinity observations for the annual autumn ecosystem surveys and other cruises between August and October were received from the Norwegian Marine Data Centre (NMDC) and cover 1970 to 2019. In addition to the quality control performed by NMDC, the station data was de-spiked and significant instabilities removed. The salinity data was gridded onto a 25 km polar stereographic grid covering the Barents Sea using objective mapping to remove biases due to clustered sampling in small areas. Years when less than 70% of the area of the Arctic/sub-Arctic region or any individual polygon was covered by gridded observations were disregarded. The mask for this criterium was computed using mean 50–200 m temperatures and used for all other variables for consistency. Freshwater content was calculated per unit area for the top 100m from gridded practical salinity fields with a reference practical salinity of 35. The unit is [m].

39.3 Plots of indicator values

Figure A.39.1 The time series of estimated freshwater content. Means and standard deviations for 1970-1990 and 2004-2019 are shown by red lines and pale red boxes with actual shown in red. Linear trends 1970-2019 and 2004-2019 are shown in blue when statistically significant at the 95% level (with actual values also in blue).  
Figure A.39.1 The time series of estimated freshwater content. Means and standard deviations for 1970-1990 and 2004-2019 are shown by red lines and pale red boxes with actual shown in red. Linear trends 1970-2019 and 2004-2019 are shown in blue when statistically significant at the 95% level (with actual values also in blue).  

 

Figure A.39.2 Freshwater content in each polygon in the Arctic Barents Sea . Means and standard deviations for 1970-1990 and 2004-2019 are shown by red lines and pale red boxes with actual shown in red. Linear trends 1970-2019 and 2004-2019 are shown in blue when statistically significant at the 95% level (with actual values also in blue). 
Figure A.39.2 Freshwater content in each polygon in the Arctic Barents Sea. Means and standard deviations for 1970-1990 and 2004-2019 are shown by red lines and pale red boxes with actual shown in red. Linear trends 1970-2019 and 2004-2019 are shown in blue when statistically significant at the 95% level (with actual values also in blue). 

High evidence that the phenomenon has occurred regionally over the period 1970 – 2019 but no evidence that the phenomenon has occurred regionally over the period 2004 – 2019.

The freshwater content over the upper 100 m has high interannual variability, with a long-term significant decline over the period 1970–2019 of 6.8 cm m−2 decade−1 for the Arctic region overall (Fig. A.47.1). The freshwater content is varying around a lower mean value of 1.0 m m−2 in the period 2004–2019 compared with 1.2 m m−2 in the part of the reference period we have data for (1970–1990). There is no significant trend in the 2004–2019 period for the Arctic region overall, but it does occur regionally. Given the much higher values just prior to 2004, there has likely been a significant decline over a slightly longer period (e.g., 2000–2019).

High evidence that the phenomenon has occurred locally, both over the entire period 1970 – 2019, and over the latter 2004 – 2019 period, but not in all regions.

There are substantial differences between the regions in amount of freshwater content in the upper 100 m (Fig. A.47.2). This has a large impact on the stratification of the water column. Moreover, regions with very low freshwater content are more sensitive to declines in freshwater input, and is more prone to shifting over to an Atlantic warm, mixed and sea-ice free type of water column, with lasting very high impact on the ecosystem. The polygons are not following entirely the true bathymetrical boundaries that separate regions naturally. How the data have currently been split into polygons, there are two polygons with very low freshwater content below 1 m through most of the time series (Polygons 42 and 43). These two polygons have a significant decline over the entire time series and an extremely low freshwater content in 2004–2019, below 0.5 m on average. Further north, Polygons 47 and 48 have much higher freshwater contents that varied around 2–3 m m–2 in the reference period. Polygon 47, covering Storbanken, has a significant long-term decline of 12 cm m–2 decade–1 in freshwater content, and a mean value over 2004–2019 which is about 0.5 m lower than that of the reference period. Polygon 48 has kept a high freshwater content but shows a significant and strong decline of 6.9 cm m−2 decade−1 over the latter time period, 2004–2019 (Fig. A.39.2).

From literature it is known that the 2010–2016-mean freshwater content in the upper 100 m in the Storbanken and Olgabassenget area of the northern Barents Sea was 32 % or nearly 2σ lower than the long-term 1970–1999-mean and declining 0.5 to 1.5 m m−2 in the entire northern Barents Sea from 2000 to 2016 (Lind et al., 2018). However, sea ice inflows in 2018 and 2019 have again given a rise in the freshwater content, seen as about a meter of local freshwater content increase measured in late summer 2019 in the area northeast of Svalbard (Aaboe et al., 2021). There is also evidence of increased freshwater content in several of the polygons and the sea ice inflows were also substantial in the latest years (Ingvaldsen et al., 2021), contributing to increasing the freshwater content where sea ice melts (Lind et al., 2018).

39.4 Background data and supplementary analysis

39.5 Recommendations for future development of the indicator


40 Indicator: Stratification [AI40]

Ecosystem characteristic: Abiotic factors  

Phenomenon: Decreasing stratification of the upper water column [AP40]

Main driver: Climate change

40.1 Supplementary metadata

Not relevant.

40.2 Supplementary methods

Temperature and salinity observations for the annual autumn ecosystem surveys and other cruises between August and October were received from the Norwegian Marine Data Centre (NMDC) and cover 1970 to 2019. In addition to the quality control performed by NMDC, the station data was de-spiked and significant instabilities removed. Maximum of the Brunt–Väisälä frequency (N2), or buoyancy frequency, in the top 100 m of the water column was calculated from stations data to preserve the vertical density structure and then averaged for each polygon. The unit is [s-1].


40.3 Plots of indicator values

Figure A.40.1 The time series of stratification of the upper water column. Means and standard deviations for 1970-1990 and 2004-2019 are shown by red lines and pale red boxes with actual shown in red. Linear trends 1970-2019 and 2004-2019 are shown in blue when statistically significant at the 95% level (with actual values also in blue).
Figure A.40.1 The time series of stratification of the upper water column. Means and standard deviations for 1970-1990 and 2004-2019 are shown by red lines and pale red boxes with actual shown in red. Linear trends 1970-2019 and 2004-2019 are shown in blue when statistically significant at the 95% level (with actual values also in blue).  

 

Figure A.40.2. Stratification in each polygon in the Arctic Barents Sea . Means and standard deviations for 1970-1990 and 2004-2019 are shown by red lines and pale red boxes with actual shown in red. Linear trends 1970-2019 and 2004-2019 are shown in blue when statistically significant at the 95% level (with actual values also in blue). 
Figure A.40.2. Stratification in each polygon in the Arctic Barents Sea. Means and standard deviations for 1970-1990 and 2004-2019 are shown by red lines and pale red boxes with actual shown in red. Linear trends 1970-2019 and 2004-2019 are shown in blue when statistically significant at the 95% level (with actual values also in blue). 

Intermediate evidence that the phenomenon has occurred over the period 1970-2019 but no evidence for the period 2004-2019.

Data exists from 1970, meaning that quantitative information for the indicator exists only for part of the reference condition. The maximum stratification shows large interannual and decadal variability, with clearly stronger stratification in some years during 1995-2003 than before and after. Due to the non-linear changes in the indicator, the assessment of the phenomenon is highly dependent on the time periods chosen for evaluation. There is no significant trend considering the full 1970-2019 period or the 2004-2019 period. However, stratification has decreased from the 1970-1990 period to the 2004-2019 period concurrent with warming of the climate and sea ice loss in this period, implying high evidence that the expected changes have occurred. It is uncertain whether changes of this magnitude will trigger changes of ecosystem significance, and the evidence of the phenomenon is therefore set to intermediate.

40.4 Background data and supplementary analysis

40.5 Recommendations for future development of the indicator

Due to substantial short- and long-term variability and changes in the system, the assessment of the phenomenon is critically dependent on the chosen assessment period. Moreover, the defined reference period (1960-1990) does not represent nature not affected by humans, as anthropogenic impacts started before 1960, and accelerated during 1960-1990. Future developments should include a refined definition of assessment period. It is critical to consider how assessment of abiotic phenomena starting at different times are to be combined with each other, and with assessments of biotic phenomena which often are evaluated over shorter time periods due to lack of historic time series.

The Atlantis polygons used as the basis for this assessment form the basis of a numerical model. In some cases, boundaries overlap bathymetric features like ridges or the shelf slope in the north, leading to the inclusion of observations that represent a different oceanic regime. A division into sub-areas that are tailored to be used with observations like the WGIBAR polygons would improve this.


41 Indicator: pH [AI41]

Ecosystem characteristic: Abiotic factors  

Phenomenon: Decreasing pH [AP41]

Main driver: Climate change

41.1 Supplementary metadata

Data are published in “Vannmiljø” and NMDC on the following doi:

https://doi.org/10.21335/NMDC-1738969988

41.2 Supplementary methods

Mean values for the Arctic water mass (T<0 ° C) were calculated in the area between 76-80 ° N, 20 ° E to 34 ° E, from observations of total alkalinity and total dissolved inorganic carbon between 2013 and 2020 obtained through the observational program “Monitoring ocean acidification in Norwegian waters”, funded by the Norwegian Environment Agency. Details of the analytical methods and calculations for pH on a total scale is found in the annual reports for the above-mentioned program in (Chierici et al., 2016; Chierici et al., 2017; Jones et al., 2018; Jones et al., 2019; Jones et al., 2020; Skjelvan et al., 2021)

41.3 Plots of indicator values

 

Figure A.41.1 The time series of pH in the period 2013 to 2020 in the Arctic core waters (T<0 ° C). The linear fit (red line) is based on annual mean pH values (black squares) from observational data (circles). The blue hashed lines denote the area of 95% confidence.
Figure A.41.1 The time series of pH in the period 2013 to 2020 in the Arctic core waters (T<0 ° C). The linear fit (red line) is based on annual mean pH values (black squares) from observational data (circles). The blue hashed lines denote the area of 95% confidence.

Intermediate evidence that the phenomenon has occurred.

The linear fit in the relatively short time period from 2013 to 2020 shows a significant trend of decreasing pH of 0.0022 yr -1 in the Arctic waters. This is a similar to the rate compared to the global ocean mean pH decrease rate (0.002 yr -1, Copernicus Marine). From this time series it is also obvious that minimum pH values decrease with increased frequency, the trend based on minimum values show a three times faster pH decrease rate of ~0.006 yr -1 (Fig.A.41.1). Consequently, the observed trend is as expected and is caused by the increased atmospheric CO 2 due to human activities.

41.4 Background data and supplementary analysis

Not relevant.

41.5 Recommendations for future development of the indicator

The observations are performed in end of summer (August to September) and may be affected by biotic processes. This contributes to the large interannual variability and spread within one year (shown as whiskers Fig. A. 41.1), resulting in limitation for trend analysis in the period between 2013 and 2020. It is crucial to continue with observations and should cover seasonal variability, to follow the trends and develop regional models for prediction of pH trends in the Arctic region.


42 Indicator: Aragonite saturation [AI42]

Ecosystem characteristic: Abiotic factors  

Phenomenon: Decreasing pH [AP42]

Main driver: Climate change

42.1 Supplementary metadata

Data are published in “Vannmiljø” and NMDC on the following doi:

https://doi.org/10.21335/NMDC-1738969988

42.2 Supplementary methods

Mean values for the Arctic water mass (T<0 ° C) were calculated in the area between 77-80 ° N, 20 ° E to 34 ° E, from observations of total alkalinity and total dissolved inorganic carbon between 2013 and 2020 obtained through the observational program “Monitoring ocean acidification in Norwegian waters”, funded by the Norwegian Environment Agency. Details of the analytical methods and calculations for aragonite saturation (ΩAr) is found in the annual reports for the above-mentioned program in (Chierici et al., 2016; Chierici et al., 2017; Jones et al., 2018; Jones et al., 2019; Jones et al., 2020; Skjelvan et al., 2021)

42.3 Plots of indicator values

 

Figure A.42.1 The time series of aragonite saturation (ΩAr=WAr) in the period 2013 to 2020 in the Arctic core waters (T<0 ° C, >40 m). The linear fit (red line) is based on annual mean values (black squares) from observational data (circles). The blue hashed lines denote the area of 95% confidence.
Figure A.42.1 The time series of aragonite saturation (ΩAr=WAr) in the period 2013 to 2020 in the Arctic core waters (T<0 ° C, >40 m). The linear fit (red line) is based on annual mean values (black squares) from observational data (circles). The blue hashed lines denote the area of 95% confidence.

Intermediate evidence that the phenomenon has occurred.

The linear fit in the relatively short time period from 2013 to 2020 shows a trend of decreasing ΩAr of 0.0037 yr -1 in the Arctic waters which is slower than what has been observed in the interior of the Arctic Ocean of -0.018 yr -1 (Ulfsbo et al., 2018) and in the Nordic seas (-0.012 yr -1, Fransner et al., in review). However, the time series show that minimum ΩAr values decrease with increased frequency, and the trend based on minimum values show a significantly faster ΩAr decrease rate of ~0.020 yr -1. Moreover, the higher frequency of ΩAr< 1.4, result in negative effects on calcification for the Arctic butterfly snail L.helicina, as has been observed in the Canadian Arctic (Bednaršek et al., 2021; Niemi et al., 2021).

Decreased ΩAr is as expected but potentially at a slower rate in this relatively short time span. One explanation can be that the observations are from other regions and different depth intervals. Jones et al. (2020) also reported on increasing total alkalinity which evens out the effect caused by increasing ocean CO 2 concentrations, thus resulting in the slower decrease rate.

42.4 Background data and supplementary analysis

Not relevant.

42.5 Recommendations for future development of the indicator

The observations are performed in end of summer (August to September) and are and have been affected by biotic processes, resulting in higher values relative to fall and winter values. In the end of the year vertical mixing and respiration generally lowers ΩAr substantially (Chierici et al., 2013). Observations show large interannual variability and the area lack historical data thus it is difficult to assess the current trend in a longer perspective and to perform prognoses.

It is crucial to continue with observations and should cover seasonal variability, to follow the trends and develop regional models for prediction of ΩAr trends in the Arctic region. Observational evidence on the biological effects needs to be developed, both on organism level and ecosystem level. Recent report from field studies show evidence for negative effects on calcification in Arctic species such as pteropods ((Bednaršek et al., 2021; Niemi et al., 2021).


References - Appendix 8.1

AMAP. 2015. AMAP Assessment 2015: Temporal Trends in Persistent Organic Pollutants in the Arctic. Arctic Monitoring and Assessment Programme (AMAP), Oslo, Norway. vi+71pp.

AMAP. 2018. AMAP Assessment 2018: Biological Effects of Contaminants on Arctic Wildlife and Fish. Arctic Monitoring and Assessment Programme (AMAP). 84 pp.

Andriyashev, A. P., and Chernova, N. V. 1995. Annotated list of fishlike vertebrates and fish of the Arctic seas and adjacent waters. Journal of Ichtyology, 35: 81-123.

Anker-Nilssen, T., Barrett, R., Christensen-Dalsgaard, S., Dehnhard, N., Descamps, S., Systad, G. H. R., Moe, B., et al. 2021. Key-site monitoring in Norway 2020, including Svalbard and Jan Mayen. SEAPOP Short Report 1-2021.

Bednaršek, N., Calosi, P., Feely, R. A., Ambrose, R., Byrne, M., Chan, K. Y. K., Dupont, S., et al. 2021. Synthesis of Thresholds of Ocean Acidification Impacts on Echinoderms. Frontiers in Marine Science, 8.

Beukhof, E., Frelat, R., Pecuchet, L., Maureaud, A., Dencker, T. S., Sólmundsson, J., Punzón, A., et al. 2019. Marine fish traits follow fast-slow continuum across oceans. Scientific Reports, 9: 17878.

Chierici, M., I. Skjelvan, I., Norli, M., Lødemel, H. H., Lunde, L. F., Børsheim, K. Y., Sørensen, K., et al. 2016. Overvåking av havforsuring i norske farvann i 2015, Rapport, Miljødirektoratet, M-354|2016.

Chierici, M., Skjelvan, I., Norli, M., Jones, E., Børsheim, K. Y., Lauvset, S. K., Lødemel, H. H., et al. 2017. Overvåking av havforsuring i norske farvann i 2016, Rapport, Miljødirektoratet, M-776|2017.

Comiso, J. C. 2006. Abrupt decline in the Arctic winter sea ice cover. Geophysical Research Letters, 33.

Comiso, J. C. 2012. Large Decadal Decline of the Arctic Multiyear Ice Cover. Journal of Climate, 25: 1176-1193.

Dalpadado, P., Arrigo, K. R., van Dijken, G. L., Skjoldal, H. R., Bagøien, E., Dolgov, A., Prokopchuk, I., et al. 2020. Climate effects on temporal and spatial dynamics of phytoplankton and zooplankton in the Barents Sea. Progress in Oceanography, 185: 102320.

Descamps, S., and Strøm, H. 2021. As the Arctic becomes boreal: ongoing shifts in a high-Arctic seabird community. Ecology, 102: e03485.

Ellingsen, K. E., Yoccoz, N. G., Tveraa, T., Frank, K. T., Johannesen, E., Anderson, M. J., Dolgov, A. V., et al. 2020. The rise of a marine generalist predator and the fall of beta diversity. Global Change Biology, 26: 2897-2907.

Eriksen, E., Bagøien, E., Strand, E., Primicerio, R., Prokhorova, T., Trofimov, A., and Prokopchuk, I. 2020. The Record-Warm Barents Sea and 0-Group Fish Response to Abnormal Conditions. Frontiers in Marine Science, 7.

Eriksen, E., Bogstad, B., and Nakken, O. 2011. Ecological significance of 0-group fish in the Barents Sea ecosystem. Polar Biology, 34: 647-657.

Eriksen, E., and Dalpadado, P. 2011. Long-term changes in Krill biomass and distribution in the Barents Sea: are the changes mainly related to capelin stock size and temperature conditions? Polar Biology, 34: 1399-1409.

Erikstad, K. E., and Strøm, H. 2012. Effekter av miljøgifter på bestanden av polarmåke på Bjørnøya. Norsk Polarinstitutt Kortrapport nr. 25, Tromsø, Norway.

Fauchald, P., Anker-Nilssen, T., Barrett, R. T., Bustnes, J. O., Bårdsen, B. J., Christensen-Dalsgaard, S., Descamps, S., et al. 2015. The status and trends of seabirds breeding in Norway and Svalbard. Norwegian Institute for Nature research, NINA Report 1151. 84 pp.

Fauchald, P., Ziryanov, S. V., Strøm, H., and Barrett, R. T. 2011. Seabirds of the Barents Sea. In The Barents Sea. Ecosystem, Resources, Management., pp. 373-394. Ed. by T. Jakobsen, and V. K. Ozhigin. Tapir Academic Press, Trondheim, Norway.

Fossheim, M., Primicerio, R., Johannesen, E., Ingvaldsen, R. B., Aschan, M. M., and Dolgov, A. V. 2015. Recent warming leads to a rapid borealization of fish communities in the Arctic. Nature Clim. Change, 5: 673-677.

Frainer, A., Primicerio, R., Dolgov, A., Fossheim, M., Johannesen, E., Lind, S., and Aschan, M. 2021. Increased functional diversity warns of ecological transition in the Arctic. Proceedings of the Royal Society B-Biological Sciences, 288.

Frainer, A., Primicerio, R., Kortsch, S., Aune, M., Dolgov, A. V., Fossheim, M., and Aschan, M. M. 2017. Climate-driven changes in functional biogeography of Arctic marine fish communities. Proceedings of the National Academy of Sciences, 114: 12202-12207.

Greenstreet, S. P. R., Rossberg, A. G., Fox, C. J., Le Quesne, W. J. F., Blasdale, T., Boulcott, P., Mitchell, I., et al. 2012. Demersal fish biodiversity: species-level indicators and trends-based targets for the Marine Strategy Framework Directive. Ices Journal of Marine Science, 69: 1789-1801.

Gullestad, P., Aglen, A., Bjordal, Å., Blom, G., Johansen, S., Krog, J., Misund, O. A., et al. 2013. Changing attitudes 1970–2012: evolution of the Norwegian management framework to prevent overfishing and to secure long-term sustainability. Ices Journal of Marine Science, 71: 173-182.

Gullestad, P., Blom, G., Bakke, G., and Bogstad, B. 2015. The “Discard Ban Package”: Experiences in efforts to improve the exploitation patterns in Norwegian fisheries. Marine Policy, 54: 1-9.

ICES. 2016. Report of the Working Group on the Ecosystem Effects of Fishing Activities (WGECO), 6–13 April 2016, Copenhagen, Denmark. ICES CM 2016/ACOM:25. 110 pp.

ICES. 2020. Arctic Fisheries Working Group (AFWG). ICES Scientific Reports. 2:52. 577 pp. http://doi.org/10.17895/ices.pub.6050.

ICES. 2021. Working Group on the Integrated Assessments of the Barents Sea (WGIBAR). ICES Scientific Reports. 3:77. 236 pp. https://doi.org/10.17895/ices.pub.8241.

Ingvaldsen, R. B., Assmann, K. A., Primicerio, R., Fossheim, M., Polyakov, I. V., and Dolgov, R. 2021. Physical manifestations and ecological implications of Arctic Atlantification. Nature Reviews Earth and Environment.

Johannesen, E., Wienerroither, R. M., Langøy Mørk, H., Husson, B., Holmin, A. J., Johnsen, E., Dolgov, A., et al. 2021. Fish diversity data from the Barents Sea Ecosystem Survey 2004-2019. Rapport fra havforskningen 2021-15. 45 pp.

Jones, E., Chierici, M., Skjelvan, I., Norli, M., Børsheim, K. Y., Lauvset, S. K., Lødemel, H. H., et al. 2018. Monitoring Ocean Acidification in Norwegian waters/Overvåking av havforsuring i norske farvann i 2017 Report, Norwegian Environment Agency/Miljødirektoratet, M-1072|2018.

Jones, E., Chierici, M., Skjelvan, I., Norli, M., Børsheim, K. Y., Lødemel, H. H., Kutti, T., et al. 2019. Monitoring ocean acidification in Norwegian seas in 2018, Rapport, Miljødirektoratet, M-1417|2019.

Jones, E., Chierici, M., Skjelvan, I., Norli, M., Frigstad, H., Børsheim, K. Y., Lødemel, H. H., et al. 2020. Monitoring ocean acidification in Norwegian seas in 2019, Rapport, Miljødirektoratet, M-1735|2020.

Kjesbu, O. S., Bogstad, B., Devine, J. A., Gjøsæter, H., Howell, D., Ingvaldsen, R. B., Nash, R. D. M., et al. 2014. Synergies between climate and management for Atlantic cod fisheries at high latitudes. Proceedings of the National Academy of Sciences of the United States of America, 111: 3478-3483.

Lind, S., Ingvaldsen, R. B., and Furevik, T. 2018. Arctic warming hotspot in the northern Barents Sea linked to declining sea-ice import. Nature Climate Change.

Mecklenburg, C. W., Lynghammar, A., Johannesen, E., Byrkjedal, I., Christiansen, J. S., Dolgov, A., Karamushko, O. V., et al. 2018. Marine fishes of the Arctic region, Conservation of Arctic Flora and Fauna, Akureyri, Iceland.

Meeren, G. I. v. d., and Prozorkevich, D. 2021. Survey report from the joint Norwegian/Russian ecosystem survey in the Barents Sea and adjacent waters, August-November 2020. IMR/PINRO Joint Report Series 1, 2021. 123 pp.

Melle, W., Ellertsen, B., and Skjoldal, H. R. 2004. Zooplankton: The link to higher trophic levels. In The Norwegian Sea Ecosystem, pp. 137-202. Ed. by H. R. Skjoldal. Tapir Academic Press, Trondheim.

MOSJ 2021a. Black-legged kittiwake (Rissa tridactyla). Norwegian Polar Institute. https://www.mosj.no/en/fauna/marine/black-legged-kittiwake.html.

MOSJ 2021b. Glaucous gull (Larus hyperboreus). Norwegian Polar Institute. https://www.mosj.no/en/fauna/marine/glaucous-gull.html.

Niemi, A., Bednaršek, N., Michel, C., Feely, R. A., Williams, W., Azetsu-Scott, K., Walkusz, W., et al. 2021. Biological Impact of Ocean Acidification in the Canadian Arctic: Widespread Severe Pteropod Shell Dissolution in Amundsen Gulf. Frontiers in Marine Science, 8.

Pecuchet, L., Lindegren, M., Hidalgo, M., Delgado, M., Esteban, A., Fock, H. O., Gil de Sola, L., et al. 2017. From traits to life-history strategies: Deconstructing fish community composition across European seas. Global Ecology and Biogeography, 26: 812-822.

Rindorf, A., Gislason, H., Burns, F., Ellis, J. R., and Reid, D. 2020. Are fish sensitive to trawling recovering in the Northeast Atlantic? Journal of Applied Ecology, 57: 1936-1947.

Skjelvan, I., Jones, E., Chierici, M., Frigstad, H., Børsheim, K. Y., Lødemel, H. H., Kutti, T., et al. 2021. Monitoring ocean acidification in Norwegian seas in 2020, Rapport, Miljødirektoratet, M-2056|2021.

Skjoldal, H. R., Wiebe, P. H., Postel, L., Knutsen, T., Kaartvedt, S., and Sameoto, D. D. 2013. Intercomparison of zooplankton (net) sampling systems: Results from the ICES/GLOBEC sea-going workshop. Progress in Oceanography, 108: 1-42.

Wiedmann, M. A., Aschan, M., Certain, G., Dolgov, A., Greenacre, M., Johannesen, E., Planque, B., et al. 2014. Functional diversity of the Barents Sea fish community. Marine Ecology Progress Series, 495: 205-+.

Winemiller, K. O., and Rose, K. A. 1992. Patterns of Life-History Diversification in North American Fishes: implications for Population Regulation. Canadian Journal of Fisheries and Aquatic Sciences, 49: 2196-2218.

Aaboe, S., Lind, S., Hendricks, S., Down, E., Lavergne, T., and Ricker, R. 2021. Ch. 4.1 Sea-ice and ocean conditions surprisingly normal in the Svalbard-Barents Sea region after large sea-ice inflows in 2019. In von Schuckmann, K., Le Traon, P. Y., Smith, N., Pascual, A., Djavidnia, S., Gattuso, J. P., and Grégoire, M. (Eds.), Copernicus Marine Service Ocean State Report, Issue 5. Journal of Operational Oceanography, 14: 1-185.

 

Appendix 8.2 - Scientific basis for indicators — Sub-Arctic Barents Sea

 

General methods

General methods for fish community data

Datasets from 2004-2020 on fish communities from the benthic trawl survey in BESS was gridded to ensure even spatial distribution of samples, as described in “General description of methods using BESS data”. Regarding taxonomic resolution, we followed recommendations in (Johannesen et al., 2021). The present dataset on fish from benthic trawl survey catches consisted of 76 taxa present in the Norwegian sector of the Barents Sea (Figure S.0.1).  

Figure S.0.1 . Map showing the assessed area, including the sub-division into polygons in the Arctic part of the Norwegian EEZ in the Barents Sea.
Figure S.0.1. Map showing the assessed area, including the sub-division into polygons in the sub-Arctic part of the Norwegian EEZ in the Barents Sea.

For community-level trait indicators, we strived to include the majority of the species in the catches, to reflect the present fish demersal community. A few typically schooling pelagic fish species were removed from the analyses as they were typically caught in very large numbers in some of the trawls and thus introduced large variability. These were: Polar cod (Boreogadus saida), Herring (Clupea harengus), capelin (Mallotus villosus), and Atlantic mackerel (Scomber scombrus). The resulting dataset included 72 taxa. The average biomass density in the Sub-Arctic part of the Barents Sea for each species is shown in Fig. S.0.2.

Average biomass (log10 kg/km2) of included fish species from bottom trawls in the Arctic part of the Barents Sea.
Figure S.0.2. Average biomass (log10 kg/km2) of included fish species from bottom trawls in the Arctic part of the Barents Sea.

 

All community-level trait indicators are weighted by biomass to reflect the ecosystem functioning perspective in the assessment. However, since these values are influenced by species with high biomass we also provide indicator values where we remove cod (Gadus morhua), the most influential species in this system, and weight by log transformed biomasses of each species as supplementary plots.


 

Relevant traits for fish have been published for the Barents Sea, and were compiled from a number of sources (Table S.0.1).  

Trait Number of taxa % biomass % abundance References
Diet, Habitat Length at maturation 56   99.8 %    98.3 %    (Wiedmann et al., 2014; Frainer et al., 2017)
Fast-slow life history rank 53    99.6 %     97.3 %    (Wiedmann et al., 2014) 
Life history strategies 69   99.8 %    99.4 %     (Beukhof et al., 2019) 
Biogeography 64   99.7 %    95.4 %    (Andriyashev and Chernova, 1995; Wiedmann et al., 2014; Fossheim et al., 2015; Mecklenburg et al., 2018)
Table S.0.1 Information on sources for fish trait information, and percent of total biomass and abundance from the BESS survey included in analyses of different traits.  

1 Indicator: Annual primary productivity [SI01]

Ecosystem characteristic: Primary productivity

Phenomenon: Stable and later decreasing annual primary productivity [SP01]

Main driver: Climate change

1.1 Supplementary metadata

Not relevant.

1.2 Supplementary methods

1.3 Plots of indicator values

 

Figure S.1.1 The time series of estimated annual primary production in the sub-Arctic part of the Barents Sea. Blue line and shaded areas indicate fitted linear trend and 95% confidence bands, with equation and R² indicated in black. Red line indicates smoother.
Figure S.1.1 The time series of estimated annual primary production in the sub-Arctic part of the Barents Sea. Blue line and shaded areas indicate fitted linear trend and 95% confidence bands, with equation and R² indicated in black. Red line indicates smoother.

 

 

Figure S.1.2 Annual Primary production in each polygon in the sub-Arctic part of the Barents Sea. Green line and shaded areas indicate fitted trend and 95% prediction bands from TREC analyses.
Figure S.1.2 Annual Primary production in each polygon in the sub-Arctic part of the Barents Sea. Green line and shaded areas indicate fitted trend and 95% prediction bands from TREC analyses.

 

 

Figure S.1.5 Annual Primary production in each polygon in the sub-Arctic part of the Barents Sea. Blue line and shaded areas indicate fitted linear trend and 95% confidence bands, with equation and R² indicated in black and smoother in red.
Figure S.1.3 Annual Primary production in each polygon in the sub-Arctic part of the Barents Sea. Blue line and shaded areas indicate fitted linear trend and 95% confidence bands, with equation and R² indicated in black and smoother in red.

There is a weak tendency for an increase in annual primary production across the region. Thus, there is no evidence that annual net primary production has remained stable and later decreased over the last two decades.

1.4 Background data and supplementary analysis

1.5 Recommendations for future development of the indicator


2 Indicator: Timing of spring bloom [SI02]

Ecosystem characteristic: Primary productivity

Phenomenon: Earlier start of the spring bloom [SP02]

Main driver: Climate change

2.1 Supplementary metadata

Not relevant.

2.2 Supplementary methods

2.3 Plots of indicator values

 

Figure S.2.1 The time series of estimated start date of the spring bloom shown with shaded areas indicating ± 1 SE.
Figure S.2.1 The time series of estimated start date of the spring bloom shown with shaded areas indicating ± 1 SE.

 

 

Figure S.2.2 Estimated date for start of the spring bloom and fitted trend using the best fitted trend approach represented by the red line. The fitted trend is of degree 1 (linear) with R²=0.00001. Residual variance after fitting was 210.10.
Figure S.2.2 Estimated date for start of the spring bloom and fitted trend using the best fitted trend approach represented by the red line. The fitted trend is of degree 1 (linear) with R²=0.00001. Residual variance after fitting was 210.10.

 

 

Figure S.2.3 Estimated start date of the spring bloom in the Arctic part of the Barents Sea with grey shaded area indicating ± 1 SE. Red line and red shaded areas indicate fitted linear trend and 95% confidence bands, with equation and R² indicated in red.
Figure S.2.3 Estimated start date of the spring bloom in the Arctic part of the Barents Sea with grey shaded area indicating ± 1 SE. Red line and red shaded areas indicate fitted linear trend and 95% confidence bands, with equation and R² indicated in red.

 

 

Figure S.2.4 Estimated start date of the spring bloom in each polygon in the Subarctic part of the Barents Sea with the red line indicating the trend estimated using the best fitted trend approach.
Figure S.2.4 Estimated start date of the spring bloom in each polygon in the Subarctic part of the Barents Sea with the red line indicating the trend estimated using the best fitted trend approach.

 

 

Figure S.2.5 Estimated start date of the spring bloom in each polygon in the sub-Arctic part of the Barents Sea. Red line and red shaded areas indicate fitted linear trend and 95% confidence bands, with equation and R² indicated in red.
Figure S.2.5 Estimated start date of the spring bloom in each polygon in the sub-Arctic part of the Barents Sea. Red line and red shaded areas indicate fitted linear trend and 95% confidence bands, with equation and R² indicated in red.

 

There is no clear trend in the data and thus no evidence for an earlier start of the spring bloom.

2.4 Background data and supplementary analysis

2.5 Recommendations for future development of the indicator


3 Indicator: Zooplankton TL < 2.5 [SI03]

Ecosystem characteristic: Biomass distribution among trophic levels

Phenomenon: Decreasing biomass of zooplankton that is predominantly herbivorous [SP3]

Main driver: Climate change

3.1 Supplementary metadata

Krill taxa
Euphausiacea
Euphausiidae
Meganyctiphanes norvegica
Meganyctiphanes spp.
Nematoscelis spp.
Nematoscelis megalops
Nyctiphanes couchii
Thysanoessa inermis
Thysanoessa longicaudata
Thysanoessa raschii
Thysanoessa spp.
Thysanopoda spp.
Table S.3.1 list of krill taxa used to calculate total krill biomass

3.2 Supplementary methods

The indicator is represented by two time series, one on biomass of mesozooplankton (g m-2 dry wt.) and one on biomass of krill (kg/km² wet wt.).

Mesozooplankton is sampled with WP2 as described in in (Melle et al., 2004; Skjoldal et al., 2013). Briefly, samples are divided into two halves with a Motoda plankton splitter, one part for determining the biomass (g m -2 dry wt.), and the other half for species identification and abundance estimation. The biomass subsample is separated into three size fractions using mesh gauzes of 2000, 1000, and 180 µm (for details, see (Skjoldal et al., 2013)). For this indicator, the sum of the two smaller size fractions of mesozooplankton was used (1000-2000 µm and 180-1000 µm). Average values for the whole ecosystem area were calculated (Figure S.3.1) and used for trend analysis.

Krill is sampled with pelagic trawl and biomass estimated as described by (Eriksen and Dalpadado, 2011). Total biomass of krill taxa (Table S.3.1) was calculated by summing individual species biomass per haul. The krill catches were dominated by Thysanoessa spp. (particularly T. inermis), and it was assumed that 70% of the krill fraction in the Subarctic Norwegian Barents Sea was the herbivorous Thysanoessa inermis, while the other 30% was mainly the carnivorous Meganyctiphanes norvegica. Thus, for this indicator, total krill biomass was multiplied by 0.7 then averaged per polygon (Figures S.3.3 and S.3.4) and for the total ecosystem area (Figures S.3.1, S.3.2, note that trends were not estimated for mesozooplankton using the best fitted trend approach as corrections to the data were done late in the process and the analyses could not redone after this due to capacity problems).


3.3 Plots of indicator values

 

Figure S.3.1 The time series of estimated mean biomass of low trophic level krill (kg wet wt. km-2) (A) and mesozooplankton (g dry wt km-2 ) (C) shown with light shaded areas indicating ± 1 SD only for krill. Red line and red shaded areas indicate fitted linear trend and 95% confidence interval, with equation and R² indicated in red. Number of stations are indicated for krill (B) and small and medium mesozooplankton (D)
Figure S.3.1 The time series of estimated mean biomass of low trophic level krill (kg wet wt. km-2) (A) and mesozooplankton (g dry wt km-2) (C) shown with light shaded areas indicating ± 1 SD only for krill. Red line and red shaded areas indicate fitted linear trend and 95% confidence interval, with equation and R² indicated in red. Number of stations are indicated for krill (B) and small and medium mesozooplankton (D)

 

 

Figure S.3.2 Estimated krill biomass (kg wet wt. km-2 ) and fitted trend using best fitted trend approach represented by the red line. The fitted trend is of degree 2 (quadratic) with R²=0.27. Residual variance after fitting was 46.38.
Figure S.3.2 Estimated krill biomass (kg wet wt. km-2) and fitted trend using best fitted trend approach represented by the red line. The fitted trend is of degree 2 (quadratic) with R²=0.27. Residual variance after fitting was 46.38.

 

Figure S.3.3 Mean biomass of low trophic level krill (kg wet wt. km-2 ) in each polygon (number on top of each panel) in the sub-Arctic part of the Barents Sea with ± 1SD shown with light shading. Red line and red shaded areas indicate fitted linear trend and 95% confidence interval, with equation and R² indicated in red . Stars denote years with low sample size (< 5 trawls).
Figure S.3.3 Mean biomass of low trophic level krill (kg wet wt. km-2) in each polygon (number on top of each panel) in the sub-Arctic part of the Barents Sea with ± 1SD shown with light shading. Red line and red shaded areas indicate fitted linear trend and 95% confidence interval, with equation and R² indicated in red. Stars denote years with low sample size (< 5 trawls).

 

Figure S.3.4 Mean biomass of low trophic level krill (kg wet wt. km-2 ) in each polygon in the Subarctic part of the Barents Sea (number on top of each panel) shown with fitted trends estimated using the best fitted trend approach represented by the red line.
Figure S.3.4 Mean biomass of low trophic level krill (kg wet wt. km-2) in each polygon in the Subarctic part of the Barents Sea (number on top of each panel) shown with fitted trends estimated using the best fitted trend approach represented by the red line.

There is no evidence that the phenomenon has occurred as there is no indication of a negative trend in either of the two time-series (figures S.3.1 and S.3.2).

Data on polygon level is given for low trophic level krill. Interannual variation rather than trends over longer periods appears to be dominating in all polygons (figure S.3.3 and S.3.2.4), thus there are no indications that a split category for phenomenon evidence assessment should be further considered.

3.4 Background data and supplementary analysis

3.5 Recommendations for future development of the indicator


4 Indicator: Zooplankton TL > 2.5 [SI04]

Ecosystem characteristic: Biomass distribution among trophic levels  

Phenomenon: Increasing biomass of zooplankton that is predominantly carnivorous [SP04]

Main driver: Climate change

4.1 Supplementary metadata

Gelatinous zooplankton taxa
Aglantha digitale
Aurelia aurita
Aurelia sp.
Beroe cucumis
Beroe sp.
Cnidaria
Ctenophora
Cyanea capillata
Cyanea lamarckii
Cyanea sp.
Hydroidolina
Hydrozoa
Leptothecata
Periphylla periphylla
Periphylla sp.
Periphyllidae
Ptychogena sp.
Sarsia sp.
Scyphozoa
Siphonophora
Siphonophorae
Staurostoma mertensii
Staurostoma sp.
Thaliacea
Table S.4.1 List of taxa included in the calculations for the biomass of gelatinous zooplankton (the trawl catches are mainly Cyanea spp.)

4.2 Supplementary methods

The indicator is built from the biomass (kg/km² wet wt.) of carnivorous krill and gelatinous zooplankton from the pelagic trawl in the BESS. The biomasses of the different taxa (Tables S.3.1 and S.4.1) were added for each trawl, then total biomass was averaged per polygon or per ecosystem area. It was assumed that 70% of the krill fraction in the Subarctic Norwegian Barents Sea was mainly the herbivorous Thysanoessa inermis, while the other 30% was mainly the carnivorous Meganyctiphanes norvegica. Thus, for this indicator, total krill biomass was multiplied by 0.3. The two time-series are presented individually and not as a combined metric. Plots with trend estimated using the best fitted trend approach are not included as they had been done on the combined metric only in an earlier version and could not be recalculated later due to capacity constraints.

4.3 Plots of indicator values

 

Figure S.4.1 . The time series of estimated mean biomass (kg wet wt. km-2 ) of high trophic level zooplankton (carnivorous Meganyctiphanes norvegica and gelatinous zooplankton (mainly dominated by Cyanea spp.) shown with grey (jellyfish) and yellow (krill) shaded areas indicating ± 1 SD. Red line and red shaded areas indicate fitted linear trend and 95% confidence interval, with equation and R² indicated in red.
Figure S.4.1. The time series of estimated mean biomass (kg wet wt. km-2) of high trophic level zooplankton (carnivorous Meganyctiphanes norvegica and gelatinous zooplankton (mainly dominated by Cyanea spp.) shown with grey (jellyfish) and yellow (krill) shaded areas indicating ± 1 SD. Red line and red shaded areas indicate fitted linear trend and 95% confidence interval, with equation and R² indicated in red.

 

Figure S.4.2 Mean biomass (kg wet wt. km-2) of high trophic level zooplankton (high trophic level krill and gelatinous zooplankton) in each polygon (number on top of each panel) in the sub-Arctic part of the Barents Sea with grey (jellyfish) and yellow (krill) shading. Red line and red shaded areas indicate fitted linear trend and 95% confidence band, with equation and R² indicated in red. Stars denote years with low sample size (< 5 trawls).
Figure S.4.2 Mean biomass (kg wet wt. km-2) of high trophic level zooplankton (high trophic level krill and gelatinous zooplankton) in each polygon (number on top of each panel) in the sub-Arctic part of the Barents Sea with grey (jellyfish) and yellow (krill) shading. Red line and red shaded areas indicate fitted linear trend and 95% confidence band, with equation and R² indicated in red. Stars denote years with low sample size (< 5 trawls).

 

Based on the patterns of change observed, there is no evidence that the phenomenon has occurred. For gelatinous zooplankton, there is no evidence of a trend in the time series based on the fitted linear model (figure S.4.1). Similarly, for carnivorous krill, interannual variation dominates the time series with no clear trend based on the fitted linear model (figure S.4.1).

At the polygon level, there is a tendency for increasing gelatinous zooplankton biomass in the northern and eastern polygons (25, 30, 41 and 40) and no change or slight decrease in the southwestern coastal area (polygons 5 and 27). Most of the positive trends are weak, polygon 41 being the only exception. For carnivorous krill, there is no pattern in variation in change over time among polygons (figure S.4.2). Overall, the results from the polygon level analyses do not indicate that a split category should be considered for the assessment of this phenomenon.

4.4 Background data and supplementary analysis

4.5 Recommendations for future development of the indicator


5 Indicator: Benthic suspensivores [SI05]

Ecosystem characteristic: Biomass distribution among trophic levels  

Phenomenon: Change in biomass of suspension feeding species [SP05]

Main driver: Climate change

5.1 Supplementary metadata

Not relevant.

5.2 Supplementary methods

The indicator is calculated as the weighed sum of suspension feeders’ biomass captured by the BESS bottom trawl. Suspension feeding was fuzzy coded to represent the propensity of megabenthic species to feed on suspended material (from 0: never feeds on suspended material, to 3: always feeds on suspended material). Biomass of each species with a fuzzy code for suspensivory >0 was multiplied by the code’s value. Then, biomasses were added for each haul and averaged across the ecosystem area.

5.3 Plots of indicator values

 

Figure S.5.1 . Mean (± sd) biomass / km2 of suspension - feeding megabenthos in each polygon in the sub-Arctic part of the Barents Sea. Stars denote years with low sample size (< 5 trawls). The red line represents fitted trend of degree 1 (with 95% th confidence interval).
Figure S.5.1. Mean (± sd) biomass / km2 of suspension - feeding megabenthos in each polygon in the sub-Arctic part of the Barents Sea. Stars denote years with low sample size (< 5 trawls). The red line represents fitted trend of degree 1 (with 95% th confidence interval).

 

Figure S.5.2 Mean (± sd) biomass / km 2 of suspension-feeding megabenthos in the whole sub-arctic area. The red line represents fitted trend of degree 1 (with 95 th confidence interval).
Figure S.5.2 Mean (± sd) biomass / km2 of suspension-feeding megabenthos in the whole sub-arctic area. The red line represents fitted trend of degree 1 (with 95 th confidence interval).

Figure S.5.3 number of stations used in the data for the whole area

Figure S.5.3 number of stations used in the data  per polygon
Figure S.5.3 number of stations used in the data. Top: in the whole area. Bottom: per polygon.

Low evidence that the phenomenon has occurred.

All polygons show increasing trends but with high interannual variability. However, those samples include outlier catches of Geodia, which are characteristic for those areas, benefit from increasing temperatures, and might drive the strong slope of this indicator. Further work will assess the robustness of the slope to those outliers. This evidence for this phenomenon is thus low.

5.4 Background data and supplementary analysis

5.5 Recommendations for future development of the indicator


6 Indicator: 0-group fish [SI06]

Ecosystem characteristic: Biomass distribution among trophic levels  

Phenomenon: Increasing biomass of 0-group fish [SP06]

Main driver: climate change (Fisheries mentioned but expected to be of minor importance)

6.1 Supplementary metadata

Not relevant.

6.2 Supplementary methods

The indicator is based on the sum of the biomass of zero-group fish species from pelagic trawls from the Barents Sea Ecosystem Survey. For more detailed description of sampling of zero-group fish during the Barents Sea Ecosystem Survey see (Eriksen et al., 2011; Eriksen et al., 2020)

Indicator values are mean biomass / km2 for the total Sub-Arctic part of the Barents Sea, and for each of the polygons separately.


6.3 Plots of indicator values

Figure S.6.1 . Mean (± sd) biomass / km 2 of zero-group fish in the Sub-Arctic part of the Barents Sea for all areas (Black dots and grey shading). Linear regression fit with 95% CI is shown in blue, and the statistical results are given in the top of each plot. A local smoother is added in red to assist visual interpretation of non-linear changes during the period. Stars denote years with low sample size (< 5 trawls).

 

Figure S.6.1 . Mean (± sd) biomass / km 2 of zero-group fish in the Sub-Arctic part of the Barents Sea per polygon (Black dots and grey shading). Linear regression fit with 95% CI is shown in blue, and the statistical results are given in the top of each plot. A local smoother is added in red to assist visual interpretation of non-linear changes during the period. Stars denote years with low sample size (< 5 trawls).
Figure S.6.1. Mean (± sd) biomass / km 2 of zero-group fish in the Sub-Arctic part of the Barents Sea (Black dots and grey shading). Linear regression fit with 95% CI is shown in blue, and the statistical results are given in the top of each plot. A local smoother is added in red to assist visual interpretation of non-linear changes during the period. Stars denote years with low sample size (< 5 trawls). Top: For the area as a whole. Bottom: per polygon.

No evidence that the phenomenon has occurred.

An overall clear decrease occurred, whereas the phenomenon was increasing biomass of 0-group fish biomass. The decrease of 0-group biomass was most pronounced in polygons 25 and 41 (5 and 27 but few data).


6.4 Background data and supplementary analysis

6.4.1. Species composition within the 0-group fish
Mean biomass (kg/km2) of zero-group fish species in the Sub-Arctic part of the Barents Sea. Numbers at the bars show the percent of the total biomass for each species, e.g. G. morhua makes up 35% of the total biomass of zero-group fish in the Sub-Arctic part.
Figure S.6.2 Mean biomass (kg/km2) of zero-group fish species in the Sub-Arctic part of the Barents Sea. Numbers at the bars show the percent of the total biomass for each species, e.g. G. morhua makes up 35% of the total biomass of zero-group fish in the Sub-Arctic part.

 

Mean biomass / km2 of the 6 dominating zero-group fish species in the Sub-Arctic part of the Barents Sea.
Figure S.6.3 Mean biomass / km2 of the 6 dominating zero-group fish species in the Sub-Arctic part of the Barents Sea.

6.4.2. Estimated biomass in entire Barents Sea
Figure S.6.4 Total biomass of 0-group fish species in the Barents Sea, August-October 1993-2020. (Source: (ICES, 2021)). Different software has been used to estimate total biomass in the periods 1993-2018, and 2019-2020.
Figure S.6.4 Total biomass of 0-group fish species in the Barents Sea, August-October 1993-2020. (Source: (ICES, 2021)). Different software has been used to estimate total biomass in the periods 1993-2018, and 2019-2020.

 

6.5 Recommendations for future development of the indicator

Datasets should be prepared to get as long time-series as possible. 


7 Indicator: Pelagic planktivorous fish [SI07] 

Ecosystem characteristic: Biomass distribution among trophic levels  

Phenomenon: Change in biomass of pelagic planktivorous fish [SP07]

Main driver: climate change, fisheries

7.1 Supplementary metadata

Not relevant.

7.2 Supplementary methods

Herring, capelin and blue whiting are the dominant planktivorous pelagic species in the Sub-Arctic part of the Barents Sea, and the indicator was calculated as the sum of the total stock biomass of these three species. There are no indicator values at the polygon spatial scale.

The sum of all three species could only be calculated from 2004 which is the start of the time series for blue whiting. However, we add longer time series of individual species below.

7.3 Plots of indicator values

 

Figure S.7.1 The black dots and line are the indicator values of the sum of annual total stock biomass of herring, capelin and blue whiting. The red line represents fitted trend of degree 1 (linear). After fitting, residuals variance was 1495980.00, R²=0.03.
Figure S.7.1 The black dots and line are the indicator values of the sum of annual total stock biomass of herring, capelin and blue whiting. The red line represents fitted trend of degree 1 (linear). After fitting, residuals variance was 1495980.00, R²=0.03.

 

No evidence for the phenomenon, large variation mainly driven by the capelin stock.

Herring and capelin are the most abundant pelagic species in the Barents Sea sub-Arctic with some contribution from blue whiting. The time series of these species combined showed here only goes back to 2004 and no evidence of decreasing or increasing biomass is evident during this period.


7.4 Background data and supplementary analysis

 

Figure A.7.1 Total annual stock biomass of capelin (solid line), herring (stippled line, missing data from 2002 and 2018) and blue whiting (dotted line).
Figure A.7.1 Total annual stock biomass of capelin (solid line), herring (stippled line, missing data from 2002 and 2018) and blue whiting (dotted line).

 

7.5 Recommendations for future development of the indicator


8 Indicator: High trophic level seabirds [SI08]

Ecosystem characteristic: Biomass distribution among trophic levels  

Phenomenon: Change in biomass of high trophic level seabirds [SP08]

Main driver: climate change, fisheries

8.1 Supplementary metadata

Not relevant.

8.2 Supplementary methods

Four seabird species are classified as high trophic level, typically feeding on small pelagic fish such as capelin and young herring. Kittiwake (Rissa tridactyla) and thick-billed murre (Uria lomvia) are typical Arctic species, while puffin (Fratercula arctica) and common murre (Uria aalge) are Boreal species. Only the Boreal species are included in the indicator for the Sub-Arctic part of the Barents Sea. Indicator values on species biomasses are estimated from the Barents Sea Ecosystem Survey as the mean of station values within the area. Indicator values on breeding population sizes at colonies in Finnmark and on Bjørnøya are given as number of birds in percent of the average number of birds in the time-series.


8.3 Plots of indicator value

A)

Figure S.8.1  Mean ( ± sd) biomass (kg / km2 ) of puffin (Fratercula arctica) in the Sub-Arctic Barents Sea.

B)

 

Figure S.8.1 Mean ( ± sd) biomass (kg / km 2 ) of puffin (Fratercula arctica) in the Sub-Arctic Barents Sea.  The red line represents fitted trend of degree 1 (linear). After fitting, residuals variance was 0.11 R²=0.05.
Figure S.8.1 A) Mean (± sd) biomass (kg / km2) of puffin (Fratercula arctica) in the Sub-Arctic Barents Sea. B) The red line represents fitted trend of degree 1 (linear). After fitting, residuals variance was 0.11 R²=0.05.

A)

 Figure S.8.2 A) Mean ( ± sd) biomass (kg / km2 ) of common murre (Uria aalge) in the Sub-Arctic Barents Sea

 

 

 

 

 

 

 

 

B)

Figure S.8.2   Mean ( ± sd) biomass (kg / km2 ) of common murre (Uria aalge) in the Sub-Arctic Barents Sea. The red line represents fitted trend of degree 1 (linear). After fitting, residuals variance was 0.02, R²=0.02.
Figure S.8.2 A) Mean (± sd) biomass (kg / km2) of common murre (Uria aalge) in the Sub-Arctic Barents Sea. B) The red line represents fitted trend of degree 1 (linear). After fitting, residuals variance was 0.02, R²=0.02.

Figure S.8.3 Breeding population size of puffin (F. arctica) in colonies in Finnmark. Linear regression fit with 95% CI is shown as solid lines, and the statistical results are given at the bottom of the plot. A local smoother is added as stippled lines to assist visual interpretation of non-linear changes during the period.
Figure S.8.3 Breeding population size of puffin (F. arctica) in colonies in Finnmark. Linear regression fit with 95% CI is shown as solid lines, and the statistical results are given at the bottom of the plot. A local smoother is added as stippled lines to assist visual interpretation of non-linear changes during the period.

 

Figure S.8.4 Breeding population size of common murre (U. aalge) at a selection of colonies in Finnmark and on Bjørnøya. Linear regression fit with 95% CI is shown in blue, and the statistical results are given in the top of each plot. A local smoother is added in red to assist visual interpretation of non-linear changes during the period.
Figure S.8.4 Breeding population size of common murre (U. aalge) at a selection of colonies in Finnmark and on Bjørnøya. Linear regression fit with 95% CI is shown in blue, and the statistical results are given in the top of each plot. A local smoother is added in red to assist visual interpretation of non-linear changes during the period.

 

Figure S.8.5 Mean ( ± sd) biomass (kg / km 2 ) of puffin (F. arctica) in each polygon in the Sub-Arctic Barents Sea. Stars indicate years with low sample size (<5).
Figure S.8.5 Mean (± sd) biomass (kg / km2) of puffin (F. arctica) in each polygon in the Sub-Arctic Barents Sea. Stars indicate years with low sample size (<5).

 

 

Figure S.8.6   Puffin (F. arctica) biomass in each polygon in the Sub-Arctic part of the Barents Sea   and fitted trend represented by the red line.
Figure S.8.6 Puffin (F. arctica) biomass in each polygon in the Sub-Arctic part of the Barents Sea and fitted trend represented by the red line.

 

Figure S.8.7 Mean ( ± sd) biomass (kg / km 2 ) of common murre (U. aalge) in each polygon in the Sub-Arctic Barents Sea. Stars indicate years with low sample size (<5).
Figure S.8.7 Mean (± sd) biomass (kg / km 2) of common murre (U. aalge) in each polygon in the Sub-Arctic Barents Sea. Stars indicate years with low sample size (<5).

 

Figure S.8.8   Common murre (U. aalge) biomass in each polygon in the Sub-Arctic part of the Barents Sea   and fitted trend represented by the red line.
Figure S.8.8 Common murre (U. aalge) biomass in each polygon in the Sub-Arctic part of the Barents Sea and fitted trend represented by the red line.

 

Intermediate evidence that the phenomenon has occurred.

The trend analysis showed no significant trend in the biomass of the two high-trophic seabird species. A positive trend in the biomass of these species was expected under climate warming. Competition with pelagic fisheries would suggest a decreasing trend. The year-to-year variation in the data is relatively large and the polygons have a variable coverage among years. Data are zero-inflated. The data series is too short to interpret effects from fisheries and possibly also climate change. The common guillemot population in the Barents Sea was decimated (>80% decrease) by starvation after the collapse in the capelin stock in 1986 (Vader et al., 1990; Krasnov and Barrett, 1995; Erikstad et al., 2013). The collapse in the capelin stock was at least partly related to high fishing pressure and unsustainable pelagic fisheries in the Barents Sea from 1972 to 1985 (Hjermann et al., 2004). Preceding and partly during the mass starvation incident, thousands of guillemots drowned in fishing nets during the spring cod fishery in Finnmark (Strann et al., 1991; Christensen-Dalsgaard et al., 2008) and the driftnet salmon fishery in Finnmark (Barrett and Golovkin, 2000). Since then, the Barents Sea population has recovered with increasing or stable trends in Finnmark and a strong increasing trend on Bear Islandjørnøya (Fauchald et al., 2015; Anker-Nilssen et al., 2021; Descamps and Strøm, 2021). The population is recovering but is still considerably smaller than the historic population (Brun, 1979; Fauchald et al., 2015). The large Atlantic puffin populations along the coast of northern Norway depend on drifting fish larvae during breeding. Herring is especially important. The fishery induced collapse in the NSS herring stock in 1968 (Hamre, 1990), and the subsequent long-term failure in recruitment, was strongly related to breeding failure and population declines in puffin (Durant et al., 2003; Anker-Nilssen and Aarvak, 2006). From 1980 the breeding populations of Atlantic puffin along the Norwegian coast have been stable or decreasing (Fauchald et al., 2015; Anker-Nilssen et al., 2021). The populations of Atlantic puffin and common guillemot were negatively affected by pelagic fisheries and fishery by-catch in the period from 1960-1989. The populations are still recovering from this perturbation and it is concluded that there is high level of evidence that the phenomenon has occurred. However, the improved sustainability in the fisheries and the present recovery of common guillemots, suggest that the phenomenon currently has limited ecosystem significance.

8.4 Background data and supplementary analysis

8.5 Recommendations for future development of the indicator

Explore possibilities for combining all species into a composite metric instead of analyzing each species separately. It should be considered to develop an indicator including both Arctic and boreal high trophic level seabird species, but different expectations with regards to response to climate change for these species will be challenging.


9 Indicator: Low trophic level mammals [SI09]

Ecosystem characteristic: Biomass distribution among trophic levels  

Phenomenon: Change in abundance of low trophic level mammals [SP09]

Main driver: climate change, past over-harvesting

9.1 Supplementary metadata

Not relevant.

9.2 Supplementary methods

These data are a time series, from 2004 to 2020, of the sighting rate of fin whale and blue whale observed during BESS transects. Line-transect surveys were conducted by trained observers onboard BESS vessels. Sighting rates were calculated simply by dividing the number of sighted individuals by the survey effort (km). Blue whales were not observed in the Sub-Arctic Barents Sea during this period, and the indicator is currently based only on sighting rates of fin whales.

9.3 Plots of indicator values

Figure A. 9 .2 Sighting rate of fin whales during BESS surveys from 2004-2020 . The red line represents fitted trend. R 2 is 0.43. The blue bands are 95% confidence intervals
Figure A. 9.2 Sighting rate of fin whales during BESS surveys from 2004-2020. The red line represents fitted trend. R 2 is 0.43. The blue bands are 95% confidence intervals

There is no evidence for occurrence of phenomenon.

There is no clear trend in the sighting rates of low-trophic level marine mammals, as the confidence intervals are wide compared to the estimated trend. Data are only available for fin whales. While the reference population size for fin whales is not known, they are thought to be recovering and may be approaching historical population levels. The timeseries used here is likely to short to fully capture the trend. In addition to recovering from historic hunting, climate change may also contribute to the increasing fin whale population. Blue whales were not observed captured in the Sub-Arctic regions of the BESS survey as sightings are generally rare and they are typically sighting further north on the surveys. The blue whale populations remain significantly depressed from the natural ecosystem state due to past harvests. The blue whale population is currently classified as Endangered.


9.4 Background data and supplementary analysis

Not relevant.

9.5 Recommendations for future development of the indicator

Abundance estimates should be developed based on the sighting rates, to be able to compare with population estimates published elsewhere.


10 Indicator: Generalist mammals [SI10]  

Ecosystem characteristic: Biomass distribution among trophic levels  

Phenomenon: Change in abundance of generalist mammals [SP10]

Main driver: climate change, harvesting

10.1 Supplementary metadata

Not relevant.

10.2 Supplementary methods

These data are a time series, from 2004 to 2020, of the sighting rate of minke whales and humpback whales observed during BESS transects. Line-transect surveys were conducted by trained observers onboard BESS vessels. Sighting rates were calculated simply by dividing the number of sighted individuals by the survey effort (km).

10.3 Plots of indicator values

A)

Figure A. 10 .2 Sighting rate of minke whales during BESS surveys from 2004-2020 . The red lines represent fitted trends with R 2 of. 0.21 and 0.61, respectively. The blue bands are 95% confidence intervals.

B)

Figure A. 10 .2 Sighting rate of humpback whales (bottom) during BESS surveys from 2004-2020 . The red lines represent fitted trends with R 2 of. 0.21 and 0.61, respectively. The blue bands are 95% confidence intervals.
Figure A. 10.2. Sighting rate of minke whales (A) and humpback whales (B) during BESS surveys from 2004-2020. The red lines represent fitted trends with R 2 of. 0.21 and 0.61, respectively. The blue bands are 95% confidence intervals.

No evidence that the phenomenon has occurred.

These data do not show clear trends, as the confidence intervals are wide compared to the estimated trends. This is likely due to the short time series and the variability within the data. The sighting rates are not modelled to account for factors affecting sightability of species, though survey effort was restricted to reasonable conditions (Beaufort Sea State 4 or less and at least 1000 m of visibility). Both species show a slight decreasing trend, however, if earlier data were available, it would likely show an increase, the largest change in these populations is thought to have occurred earlier, prior to 2004.

10.4 Background data and supplementary analysis

Not relevant.

10.5 Recommendations for future development of the indicator

Abundance estimates should be developed based on the sighting rates, to be able to compare with population estimates published elsewhere.


11 Indicator: High trophic level mammals [SI11]  

Ecosystem characteristic: Biomass distribution among trophic levels  

Phenomenon: Change in abundance of high trophic level mammals [SP11]

Main driver: climate change, interaction with fisheries, pollution

11.1 Supplementary metadata

Not relevant.

11.2 Supplementary methods

These data are a time series, from 2004 to 2020, of the sighting rate of species observed during BESS transects. Line-transect surveys were conducted by trained observers onboard BESS vessels. Sighting rates were calculated simply by dividing the number of sighted individuals by the survey effort (km). Currently the indicator includes data on killer whales, white-beaked dolphins, harbour porpoises, and sperm whales. Other marine mammal species can also be classified as feeding on high trophic levels: bottlenose whales, harp seals, harbour seals and grey seals, and can be included when observed.

11.3 Plots of indicator values

(A)

Figure A. 11 .2 Sighting rate of killer whales during BESS surveys from 2004-2020 . The red lines represent fitted trends with R 2 of 0.063, 0.024, 0.13, and 0.067, respectively. The blue bands are 95% confidence intervals.

(B)

Figure A. 11 .2 Sighting rate of  white-beaked dolphins during BESS surveys from 2004-2020 . The red lines represent fitted trends with R 2 of 0.063, 0.024, 0.13, and 0.067, respectively. The blue bands are 95% confidence intervals.

(C)

Figure A. 11 .2 Sighting rate of  harbour porpoises during BESS surveys from 2004-2020 . The red lines represent fitted trends with R 2 of 0.063, 0.024, 0.13, and 0.067, respectively. The blue bands are 95% confidence intervals.

(D)

Figure A. 11 .2 Sighting rate sperm whales during BESS surveys from 2004-2020 . The red lines represent fitted trends with R 2 of 0.063, 0.024, 0.13, and 0.067, respectively. The blue bands are 95% confidence intervals.
Figure A. 11.2. Sighting rate of killer whales (A), white-beaked dolphins (B), harbour porpoises (C), and sperm whales (D) during BESS surveys from 2004-2020. The red lines represent fitted trends with R 2 of 0.063, 0.024, 0.13, and 0.067, respectively. The blue bands are 95% confidence intervals.

No evidence that the phenomenon has occurred.

There are no clear trends in the data, as the confidence intervals are wide compared with the estimated trends. The slight increase in sperm whale sightings is likely due to changes in distribution, not population abundance. This indicator is complicated by the fact that these populations are not fixed, but highly mobile and show high seasonal variation in their distributions. The certainty of the indicator is mixed due to the short time series and the variability within the data. The sighting rates are not modelled to account for factors affecting sightability of species, though survey effort was restricted to reasonable conditions (Beaufort Sea State 4 or less and at least 1000 m of visibility). Harbour seal and grey seal data trends were not fitted due to the infrequency of survey coverage.


11.4 Background data and supplementary analysis

Not relevant.

11.5 Recommendations for future development of the indicator

Counts of coastal sub-arctic seal species (harbour and grey seals) are conducted over multiple years, providing too little data for trend analysis. It may be possible to include them in future assessments.

Abundance estimates should be developed based on the sighting rates, to be able to compare with population estimates published elsewhere.


12 Indicator: High TL zooplankton functional groups [SI12]

Ecosystem characteristic: Functional groups within trophic levels  

Phenomenon: Change in biomass of carnivorous krill relative to gelatinous zooplankton [SP12]

Main driver: Climate change

12.1 Supplementary metadata

Not relevant.

12.2 Supplementary methods

The indicator is built from the biomass (kg/km² wet wt.) of high trophic level krill and gelatinous zooplankton from the pelagic trawl in the BESS. The biomasses of the different taxa (Tables S.3.1 and S.4.1) were added for each trawl for jellyfish and krill separately. As there were not enough samples with both krill and jellyfish, biomass average for the whole ecosystem area or polygon were calculated for both groups. It was assumed that 70% of the krill fraction in the Subarctic Norwegian Barents Sea was the herbivorous Thysanoessa inermis, while the other 30% was mainly the carnivorous Meganyctiphanes norvegica. Thus, for this indicator, total krill biomass was multiplied by 0.3. Analyses have been done for each group separately and for ratio of krill to jellyfish biomass.


12.3 Plots of indicator values

Figure S. 12 .1 The time series of estimated mean biomass (kg wet wt. km-2 ) of high trophic level zooplankton A) pelagic high trophic level krill and C) gelatinous zooplankton shown with yellow (krill) and grey (jellyfish) shaded areas indicating ± 1 SD. Number of stations are indicated for krill (B) and small and medium mesozooplankton (D). E) Estimated ratio of biomass of pelagic carnivorous krill to biomass of gelatinous zooplankton. Red line and red shaded areas indicate fitted linear trend and 95% confidence band, with equation and R² indicated in red.
Figure S. 12.1 The time series of estimated mean biomass (kg wet wt. km-2) of high trophic level zooplankton A) pelagic high trophic level krill and C) gelatinous zooplankton shown with yellow (krill) and grey (jellyfish) shaded areas indicating ± 1 SD. Number of stations are indicated for krill (B) and small and medium mesozooplankton (D). E) Estimated ratio of biomass of pelagic carnivorous krill to biomass of gelatinous zooplankton. Red line and red shaded areas indicate fitted linear trend and 95% confidence band, with equation and R² indicated in red.

 

 

Figure S.12.2 Estimated ratio of the biomass of krill to the biomass gelatinous plankton and fitted trend using best fitted trend approach represented by the red line. The fitted trend is of degree 2 (quadratic) with R²=0.16. Residual variance after fitting was 0.001.
Figure S.12.2 Estimated ratio of the biomass of krill to the biomass gelatinous plankton and fitted trend using best fitted trend approach represented by the red line. The fitted trend is of degree 2 (quadratic) with R²=0.16. Residual variance after fitting was 0.001.

 

 

Figure S.12.3 Mean biomass (kg wet wt. km-2 ) of pelagic high trophic level krill in each polygon in the subarctic part of the Barents Sea (number on top of each panel) with light shading indicating ± 1 SD. Red line and red shaded areas indicate fitted linear trend and 95% confidence band, with equation and R² indicated in red. Stars denote years with low sample size (< 5 trawls).
Figure S.12.3 Mean biomass (kg wet wt. km-2) of pelagic high trophic level krill in each polygon in the subarctic part of the Barents Sea (number on top of each panel) with light shading indicating ± 1 SD. Red line and red shaded areas indicate fitted linear trend and 95% confidence band, with equation and R² indicated in red. Stars denote years with low sample size (< 5 trawls).

 

 

Figure S.12.4 Mean biomass (kg wet wt. km-2 ) of pelagic gelatinous zooplankton in each polygon in the subarctic part of the Barents Sea (number on top of each panel) with light shaded area indicating ± 1 SD. Red line and red shaded areas indicate fitted linear trend and 95% confidence band, with equation and R² indicated in red. Stars denote years with low sample size (< 5 trawls).
Figure S.12.4 Mean biomass (kg wet wt. km-2) of pelagic gelatinous zooplankton in each polygon in the subarctic part of the Barents Sea (number on top of each panel) with light shaded area indicating ± 1 SD. Red line and red shaded areas indicate fitted linear trend and 95% confidence band, with equation and R² indicated in red. Stars denote years with low sample size (< 5 trawls).

 

Figure S.12.5. Estimated ratio of the biomass (kg wet wt. km-2 ) of krill to the biomass gelatinous plankton and fitted trend using the best fitted trend approach represented by the red line in each polygon in the sub-Arctic part of the Barents Sea (number on top of each panel) .
Figure S.12.5. Estimated ratio of the biomass (kg wet wt. km-2) of krill to the biomass gelatinous plankton and fitted trend using the best fitted trend approach represented by the red line in each polygon in the sub-Arctic part of the Barents Sea (number on top of each panel).

There is no evidence that the phenomenon has occurred, as there are no trends in either of the two time-series or in the ratio between them (figure S.12.1 and S.12.2).

When looking at the two time-series or the ratio between them in the different polygons, there are no obvious geographic patterns in the estimated trends (figures S.12.3, S.12.4 and S.12.5). Thus, there are no indications that a split category for phenomenon evidence assessment should be considered here.

12.4 Background data and supplementary analysis

12.5 Recommendations for future development of the indicator


13 Indicator: Benthic habitat engineers [SI13]

Ecosystem characteristic: Functional groups within trophic levels  

Phenomenon: Decreasing biomass of benthic habitat engineers [SP13]

Main driver: climate change, physical impact on seabed, bottom trawling

13.1 Supplementary metadata

Table S. 13.1: List of taxa considered as habitat engineers based on expert knowledge

Phylum Group Taxa
Cni. Octocorallia Umbellula encrinus
Cni. Octocorallia Paragorgia arborea
Por. Demospongia Stryphnus ponderosus
Ech. Ophiuroidea Gorgonocephalus arcticus
Ech. Crinoidea Heliometra glacialis
Ech. Crinoidea Poliometra prolixa
Cni. Octocorallia Isidella lofotensis
Por. Demospongia Geodia macandrewii
Por. Demospongia Geodia barretti
Tun. Ascidiacea Ciona intestinalis
Por. Demospongia Antho dichotoma
Por. Demospongia Asconema foliatum
Por. Demospongia Stylocordyla borealis
Por. Demospongia Asbestopluma pennatula

13.2 Supplementary methods

The indicator is calculated as the sum of habitat forming taxa biomass captured by the BESS bottom trawl. Biomasses were added for each haul and averaged across the ecosystem area.


13.3 Plots of indicator values

Figure S . 13 .1 Mean (± sd) biomass / km2 of megabenthic habitat engineers in each polygon in the subarctic part of the Barents Sea. Stars denote years with low sample size (< 5 trawls). The red line represents fitted trend of degree 1 (with 95 th confidence interval)
Figure S. 13.1 Mean (± sd) biomass / km2 of megabenthic habitat engineers in each polygon in the subarctic part of the Barents Sea. Stars denote years with low sample size (< 5 trawls). The red line represents fitted trend of degree 1 (with 95 th confidence interval)

 

Figure S.13.2 Mean (± sd) biomass / km2 of megabenthic habitat engineers. The red line represents fitted trend of degree 1 (linear). After fitting, residuals variance was 4325575.30, R²=0.11.
Figure S.13.2 Mean (± sd) biomass / km2 of megabenthic habitat engineers. The red line represents fitted trend of degree 1 (linear). After fitting, residuals variance was 4325575.30, R²=0.11.

Figure S.13.3 number of stations used in the data for the whole area

Figure S.13.3 number of stations used in the data per polygon.
Figure S.13.3 number of stations used in the data. Top: in the whole area. Bottom: per polygon.

No evidence that the phenomenon has occurred.

Most polygons show no trend. Polygons 25 and 41, which are offshore polygons with more samples, show an increasing trend. However, those samples include outlier catches of Geodia, which are characteristic for those areas and benefit from climate change and might drive the strong slope of this indicator. Further work will assess the robustness of the slope to those outliers. There is thus no evidence of decrease

13.4 Background data and supplementary analysis

13.5 Recommendations for future development of the indicator


14 Indicator: Fish size [SI14]

Ecosystem characteristic: Functional groups within trophic levels  

Phenomenon: Decreasing body length at maturation across species in a fish community [SP14]

Main driver: climate change, fisheries

14.1 Supplementary metadata

Not relevant.

14.2 Supplementary methods

Values of body length at maturation for each species were collected from the literature (Wiedmann et al., 2014). To get a value of the fish community length at maturation, biomass weighted body length was calculated for each bottom trawl haul in the Barents Sea Ecosystem Survey. Indicator values are the mean of community weighted mean size at maturation, using biomass for weighting, for the Sub-Arctic part of the Barents Sea and for each polygon separately.


14.3 Plots of indicator values

Figure S.14.1 Mean (± sd) biomass weighted length at maturation for demersal fish communities in the Sub-Arctic part of the Barents Sea (Black dots and grey shading). Linear regression fit with 95% CI is shown in blue, and the statistical results are given in the top of each plot. A local smoother is added in red to assist visual interpretation of non-linear changes during the period. Stars denote years with low sample size (< 5 trawls) .

 

Figure S.14.1 Mean (± sd) biomass weighted length at maturation for demersal fish communities in the Sub-Arctic part of the Barents Sea (Black dots and grey shading). Linear regression fit with 95% CI is shown in blue, and the statistical results are given in the top of each plot. A local smoother is added in red to assist visual interpretation of non-linear changes during the period. Stars denote years with low sample size (< 5 trawls) .
Figure S.14.1 Mean (± sd) biomass weighted length at maturation for demersal fish communities in the Sub-Arctic part of the Barents Sea (Black dots and grey shading). Linear regression fit with 95% CI is shown in blue, and the statistical results are given in the top of each plot. A local smoother is added in red to assist visual interpretation of non-linear changes during the period. Stars denote years with low sample size (< 5 trawls). Top: in the whole area. Bottom: per polygon.

Figure S.14.2 Mean (± sd) log biomass weighted length at maturation for demersal fish communities excluding cod in the Sub-Arctic part of the Barents Sea (Black dots and grey shading). Linear regression fit with 95% CI is shown in blue, and the statistical results are given in the top of each plot. A local smoother is added in red to assist visual interpretation of non-linear changes during the period. Stars denote years with low sample size (< 5 trawls).

 

Figure S.14.2 Mean (± sd) log biomass weighted length at maturation for demersal fish communities excluding cod in the Sub-Arctic part of the Barents Sea (Black dots and grey shading). Linear regression fit with 95% CI is shown in blue, and the statistical results are given in the top of each plot. A local smoother is added in red to assist visual interpretation of non-linear changes during the period. Stars denote years with low sample size (< 5 trawls).
Figure S.14.2 Mean (± sd) log biomass weighted length at maturation for demersal fish communities excluding cod in the Sub-Arctic part of the Barents Sea (Black dots and grey shading). Linear regression fit with 95% CI is shown in blue, and the statistical results are given in the top of each plot. A local smoother is added in red to assist visual interpretation of non-linear changes during the period. Stars denote years with low sample size (< 5 trawls). Top: in the whole area. Bottom: per polygon.

No evidence that the phenomenon has occurred.

Opposite to the phenomenon, the data indicate an increase in body length at maturation across the fish communities in the sub-Arctic part of the Barents Sea.


14.4 Background data and supplementary analysis

To explore the influence of species with high biomass on the indicator values and trend, we provide the following plot using log biomass of each species for weighting, and not including cod.

 

Mean biomass of demersal fish species in the Sub-Arctic part of the Barents Sea. Species included in this indicator are in blue.
Figure S.14.3 Mean biomass of demersal fish species in the Sub-Arctic part of the Barents Sea. Species included in this indicator are in blue.

 

14.5 Recommendations for future development of the indicator

The trait information used is the best available for the region, but the indicator may be improved by including information directly observed from the survey, taking into account spatial and temporal variation in trait values.


15 Indicator: Fish life history [SI15]

Ecosystem characteristic: Functional groups within trophic levels  

Phenomenon: Decreasing slow-life, equilibrium species [SP15]

Main driver: fisheries

15.1 Supplementary metadata

Not relevant.

15.2 Supplementary methods

Two complimentary approaches are included for assessing possible changes in the composition of life history strategies in the demersal fish community.

First, is based on the equilibrium-periodic-opportunistic framework (Winemiller and Rose, 1992), which links three strategies characterized by trade-offs between fecundity, juvenile survival and generation time to environmental stability and predictability. We selected a number of biological traits to characterize species life-history strategies: maximum length, lifespan, fecundity, offspring size, growth (K), and parental care. We used an archetypal analysis to define the three life-history strategies based on extremal points (i.e., archetypes), and then assess for each species how much each life-history strategy contributes to its approximation, following the method of (Pecuchet et al., 2017). Indicator values are the biomass proportion of each of the three strategies to identify changes in life history composition.

The second approach is based on the fast- slow life history continuum. A number of traits (offspring size, fecundity, age at maturity, maximum age, and length at maturity) were used, in a Redundancy analysis (RDA) constrained by body size, to rank species along the fast-slow continuum (Wiedmann et al., 2014). High rank values translate to slower life history strategies. Indicator values are calculated as the biomass weighted rank value for the demersal fish community in each station.


15.3 Plots of indicator values

Focusing on plots for equilibrium life history strategy and fast-slow continuum since these are expected to change according to the phenomenon.

Figure S.15.1 Mean (± sd) biomass proportion of the equilibrium life history strategy in the Sub-Arctic part of the Barents Sea (Black dots and grey shading). Linear regression fit with 95% CI is shown in blue, and the statistical results are given in the top of each plot. A local smoother is added in red to assist visual interpretation of non-linear changes during the period. Stars denote years with low sample size (< 5 trawls).

 

Figure S.15.1 Mean (± sd) biomass proportion of the equilibrium life history strategy in the Sub-Arctic part of the Barents Sea (Black dots and grey shading). Linear regression fit with 95% CI is shown in blue, and the statistical results are given in the top of each plot. A local smoother is added in red to assist visual interpretation of non-linear changes during the period. Stars denote years with low sample size (< 5 trawls).
Figure S.15.1 Mean (± sd) biomass proportion of the equilibrium life history strategy in the Sub-Arctic part of the Barents Sea (Black dots and grey shading). Linear regression fit with 95% CI is shown in blue, and the statistical results are given in the top of each plot. A local smoother is added in red to assist visual interpretation of non-linear changes during the period. Stars denote years with low sample size (< 5 trawls). Top: in the whole area. Bottom: per polygon.

Figure S.15.2 Mean (± sd) biomass weighted fast-slow life history rank value in the Sub-Arctic part of the Barents Sea (Black dots and grey shading). High values translate to slow life history strategy. Linear regression fit with 95% CI is shown in blue, and the statistical results are given in the top of each plot. A local smoother is added in red to assist visual interpretation of non-linear changes during the period. Stars denote years with low sample size (< 5 trawls).

 

 

 

 

 

 

 

 

 

 

Figure S.15.2 Mean (± sd) biomass weighted fast-slow life history rank value in the Sub-Arctic part of the Barents Sea (Black dots and grey shading). High values translate to slow life history strategy. Linear regression fit with 95% CI is shown in blue, and the statistical results are given in the top of each plot. A local smoother is added in red to assist visual interpretation of non-linear changes during the period. Stars denote years with low sample size (< 5 trawls).
Figure S.15.2 Mean (± sd) biomass weighted fast-slow life history rank value in the Sub-Arctic part of the Barents Sea (Black dots and grey shading). High values translate to slow life history strategy. Linear regression fit with 95% CI is shown in blue, and the statistical results are given in the top of each plot. A local smoother is added in red to assist visual interpretation of non-linear changes during the period. Stars denote years with low sample size (< 5 trawls).

 

Figure S.15.3 Median biomass proportion of three different life history strategies in each of the polygons in the Arctic part of the Barents Sea. Stars denote years with low sample size (<5 trawls).
Figure S.15.3 Median biomass proportion of three different life history strategies in each of the polygons in the Arctic part of the Barents Sea. Stars denote years with low sample size (<5 trawls).

 

Median biomass of three different life history strategies in each of the polygons in the Sub-Arctic part of the Barents Sea. Stars denote years with low sample size (<5 trawls).

 

Median biomass of three different life history strategies in each of the polygons in the Sub-Arctic part of the Barents Sea. Stars denote years with low sample size (<5 trawls).
Figure S.15.4 Median biomass of three different life history strategies in each of the polygons in the Sub-Arctic part of the Barents Sea. Stars denote years with low sample size (<5 trawls).

To explore the influence of species with high biomass on the indicator values and trend, we provide the following plot using log biomass of each species for weighting, and not including cod. The phenomenon focus on changes in equilibrium species and in the fast-slow continuum, and plots for these are included here.

Figure S.15.5 Mean (± sd) log biomass proportion of the equilibrium life history strategy excluding cod in the Sub-Arctic part of the Barents Sea (Black dots and grey shading). Linear regression fit with 95% CI is shown in blue, and the statistical results are given in the top of each plot. A local smoother is added in red to assist visual interpretation of non-linear changes during the period. Stars denote years with low sample size (< 5 trawls).

 

 

 

 

 

 

 

 

 

Figure S.15.5 Mean (± sd) log biomass proportion of the equilibrium life history strategy excluding cod in the Sub-Arctic part of the Barents Sea (Black dots and grey shading). Linear regression fit with 95% CI is shown in blue, and the statistical results are given in the top of each plot. A local smoother is added in red to assist visual interpretation of non-linear changes during the period. Stars denote years with low sample size (< 5 trawls).
Figure S.15.5 Mean (± sd) log biomass proportion of the equilibrium life history strategy excluding cod in the Sub-Arctic part of the Barents Sea (Black dots and grey shading). Linear regression fit with 95% CI is shown in blue, and the statistical results are given in the top of each plot. A local smoother is added in red to assist visual interpretation of non-linear changes during the period. Stars denote years with low sample size (< 5 trawls).

 

Figure S.15.6 Mean (± sd) log biomass weighted fast-slow life history rank value excluding cod in the Sub-Arctic part of the Barents Sea (Black dots and grey shading). High values translates to slow life history strategy. Linear regression fit with 95% CI is shown in blue, and the statistical results are given in the top of each plot. A local smoother is added in red to assist visual interpretation of non-linear changes during the period. Stars denote years with low sample size (< 5 trawls).

 

 

 

 

 

 

 

 

 

Figure S.15.6 Mean (± sd) log biomass weighted fast-slow life history rank value excluding cod in the Sub-Arctic part of the Barents Sea (Black dots and grey shading). High values translate to slow life history strategy. Linear regression fit with 95% CI is shown in blue, and the statistical results are given in the top of each plot. A local smoother is added in red to assist visual interpretation of non-linear changes during the period. Stars denote years with low sample size (< 5 trawls).
Figure S.15.6 Mean (± sd) log biomass weighted fast-slow life history rank value excluding cod in the Sub-Arctic part of the Barents Sea (Black dots and grey shading). High values translate to slow life history strategy. Linear regression fit with 95% CI is shown in blue, and the statistical results are given in the top of each plot. A local smoother is added in red to assist visual interpretation of non-linear changes during the period. Stars denote years with low sample size (< 5 trawls).

No evidence that the phenomenon has occurred (EP = none)

There is an increasing trend in the relative biomass of equilibrium species and total biomass of slow-species during the time-period from which we have observations. The phenomenon specified a decrease of the biomass of equilibrium- and slow-species as a response to increasing fishing pressure, as there is no sign of decrease but rather of an increase, there is no evidence of the phenomena. The indicators increasing trends are not spatially homogeneous but were especially evident in the sub-Arctic offshore polygons 25 and 41 for both indicators, and also the coastal polygons 5 and 30 for the Equilibrium indicator. When the indicators are calculated to reflect the full community variability, i.e., log-transformed biomass and no cod, there is still an overall clear increasing trend of the relative biomass of Equilibrium species, and especially in polygons 25 and 41, whereas there is no clear trend in the biomass of the slow-species.

15.4 Background data and supplementary analysis

15.4.1 Biomass proportion of all three life history strategies

 

Figure S.15.7 Mean biomass proportion of three different life history strategies the Sub-Arctic part of the Barents Sea.
Figure S.15.7 Mean biomass proportion of three different life history strategies the Sub-Arctic part of the Barents Sea.

15.4.2 Biomass of each life history strategy and total biomass
Figure S.15.8 Mean ( ± sd) biomass of three different life history strategies the Sub-Arctic part of the Barents Sea
Figure S.15.8 Mean (± sd) biomass of three different life history strategies the Sub-Arctic part of the Barents Sea

15.4.3 Average biomass of included species

A)

Mean biomass of demersal fish species in the Sub-Arctic part of the Barents Sea. Blue bars denote species included in the three life history strategies


B)

Mean biomass of demersal fish species in the Sub-Arctic part of the Barents Sea. Blue bars denote species included in the fast-slow life history continuum.
Figure S.15.9 Mean biomass of demersal fish species in the Sub-Arctic part of the Barents Sea. Blue bars denote species included in A) the three life history strategies, B) the fast-slow life history continuum.

 

15.5 Recommendations for future development of the indicator

16 Indicator: Fish habitat use [SI16]

Ecosystem characteristic: Functional groups within trophic levels  

Phenomenon: Change in proportion of benthic fish [SP16]

Main driver: climate change (increase), fisheries (decrease)

16.1 Supplementary metadata

Not relevant.

16.2 Supplementary methods

For habitat classification, fish caught in demersal trawl were classified as either pelagic, benthic or bentho-pelagic. Information on habitat use was taken from the literature (Wiedmann et al., 2014; Frainer et al., 2021). The indicator was calculated as the biomass proportion of benthic species only (i.e. not including bentho-pelagic species). Indicator values are mean values for the total Sub-Arctic part of the Barents Sea and for separate polygons.


16.3 Plots of indicator values

Figure S.16. 1 Mean (± sd) biomass proportion of benthic fish species in the Sub-Arctic part of the Barents Sea (Black dots and grey shading). Linear regression fit with 95% CI is shown in blue, and the statistical results are given in the top of each plot. A local smoother is added in red to assist visual interpretation of non-linear changes during the period. Stars denote years with low sample size (< 5 trawls) .

 

 

 

 

 

 

 

 

Figure S.16. 1 Mean (± sd) biomass proportion of benthic fish species in the Sub-Arctic part of the Barents Sea (Black dots and grey shading). Linear regression fit with 95% CI is shown in blue, and the statistical results are given in the top of each plot. A local smoother is added in red to assist visual interpretation of non-linear changes during the period. Stars denote years with low sample size (< 5 trawls) .
Figure S.16. 1 Mean (± sd) biomass proportion of benthic fish species in the Sub-Arctic part of the Barents Sea (Black dots and grey shading). Linear regression fit with 95% CI is shown in blue, and the statistical results are given in the top of each plot. A local smoother is added in red to assist visual interpretation of non-linear changes during the period. Stars denote years with low sample size (< 5 trawls).

A)

Figure S.16.2 Median ( ± mad) of benthic fish species biomass (A) and total biomass (B) in polygons in the Sub-Arctic Barents Sea. Stars denote years with low sample size (< 5 trawls).

B)

Figure S.16.2 Median ( ± mad) of benthic fish species biomass (A) and total biomass (B) in polygons in the Sub-Arctic Barents Sea. Stars denote years with low sample size (< 5 trawls).
Figure S.16.2 Median (± mad) of benthic fish species biomass (A) and total biomass (B) in polygons in the Sub-Arctic Barents Sea. Stars denote years with low sample size (< 5 trawls).

To explore the influence of species with high biomass on the indicator values and trend, we provide the following plot using log biomass of each species for weighting, and not including cod.

Figure S.16.3 Mean (± sd) log biomass proportion of benthic fish species excluding cod in the Sub-Arctic part of the Barents Sea (Black dots and grey shading). Linear regression fit with 95% CI is shown in blue, and the statistical results are given in the top of each plot. A local smoother is added in red to assist visual interpretation of non-linear changes during the period. Stars denote years with low sample size (< 5 trawls) .

 

 

 

 

 

 

 

Figure S.16.3 Mean (± sd) log biomass proportion of benthic fish species excluding cod in the Sub-Arctic part of the Barents Sea (Black dots and grey shading). Linear regression fit with 95% CI is shown in blue, and the statistical results are given in the top of each plot. A local smoother is added in red to assist visual interpretation of non-linear changes during the period. Stars denote years with low sample size (< 5 trawls) .
Figure S.16.3 Mean (± sd) log biomass proportion of benthic fish species excluding cod in the Sub-Arctic part of the Barents Sea (Black dots and grey shading). Linear regression fit with 95% CI is shown in blue, and the statistical results are given in the top of each plot. A local smoother is added in red to assist visual interpretation of non-linear changes during the period. Stars denote years with low sample size (< 5 trawls).

No evidence that the phenomenon has occurred, except in polygon 5 where there is low evidence for an increase in mean fish size during the time-period.

There is no overall trend in the indicator in the whole sub-arctic area. There have been increasing trends in the southwestern polygons 5 and 27, which may possibly have been climate driven. However, polygon 27 has very low sample size and the trend is thus more uncertain. On the other hand, signs of negative trends occurred in other polygons (e.g., 40, 41), which possibly may be attributed to fishing.

16.4 Background data and supplementary analysis

16.4.1 Benthic and total fish biomass
Figure S.16.4 Mean ( ± sd) benthic fish species biomass (A) and total biomass (B) in the Sub-Arctic Barents Sea.
Figure S.16.4 Mean (± sd) benthic fish species biomass (A) and total biomass (B) in the Sub-Arctic Barents Sea.

16.4.2 Average biomass of included species
Mean biomass of demersal fish species in the Sub-Arctic part of the Barents Sea. Red bars denote species classified as benthic.
Figure S.16.5 Mean biomass of demersal fish species in the Sub-Arctic part of the Barents Sea. Red bars denote species classified as benthic.
16.5 Recommendations for future development of the indicator

17 Indicator: Seabird feeding types [SI17]

Ecosystem characteristic: Functional groups within trophic levels  

Phenomenon: Decreasing proportion of diving to surface feeding seabirds [SP17]

Main driver: fisheries

17.1 Supplementary metadata

Not relevant.

17.2 Supplementary methods

The nine most common seabird species were classified as either diving or surface feeding following the classification in (Fauchald et al., 2011). Using abundance information from the Barents Sea Ecosystem Survey, the proportion of diving seabirds was estimated and used for the indicator calculation. Before calculating the proportion, single species abundances were log-transformed and min-max normalized, and then summed within each feeding category. The indicator value is expressed as the percent of diving birds.

Due to non-normal distributions, the medians of sample values were used as indicator values for polygons, while mean values were used for the total Sub-Arctic part of the Barents Sea.


17.3 Plots of indicator values

A)

 Figure S.17.1 A) Mean ( ± sd) percent diving seabirds based on abundance in the Sub-Arctic Barents Sea

 

 

 

 

 

 

 

 

B)

Figure S.17.1 A) Mean ( ± sd) percent diving seabirds based on abundance in the Sub-Arctic Barents Sea . B) The red line represents fitted trend of degree 2 (quadratic). After fitting, residuals variance was 34.25, R²=0.62.
Figure S.17.1 A) Mean (± sd) percent diving seabirds based on abundance in the Sub-Arctic Barents Sea. B) The red line represents fitted trend of degree 2 (quadratic). After fitting, residuals variance was 34.25, R²=0.62.

 

Figure S.17.2 Median ( ± mad) percent diving seabirds based on abundance in each of the polygons in the Arctic Barents Sea. Stars denote years with low sample size (<5) .
Figure S.17.2 Median (± mad) percent diving seabirds based on abundance in each of the polygons in the Arctic Barents Sea. Stars denote years with low sample size (<5).

 

Figure S.17.3   Seabird feeding type in each polygon in the Sub-Arctic part of the Barents Sea   and fitted trend represented by the red line.  
Figure S.17.3 Seabird feeding type in each polygon in the Sub-Arctic part of the Barents Sea and fitted trend represented by the red line.  

 

Figure S.17.4 Median sum of normalized logged counts of diving (solid line) and surface feeding (stippled line) seabird species in each of the polygons in the Sub-Arctic Barents Sea. Stars denote years with low sample size (<5).
Figure S.17.4 Median sum of normalized logged counts of diving (solid line) and surface feeding (stippled line) seabird species in each of the polygons in the Sub-Arctic Barents Sea. Stars denote years with low sample size (<5) 

There is insufficient data to conclude. 

The trend analysis indicates a U-shaped trend in the proportion of diving to surface feeding species with a minimum in 2010-2011. The data show no evidence of a long term decrease in the indicator. The trend is similar to the trend found in the sub-arctic Barents Sea (see below). The recent implementation of strict regulation of the pelagic fisheries and an effective discard ban in the Barents Sea (Gullestad et al., 2013) would favour an increasing proportion of diving seabirds, i.e., an increasing indicator. The discard ban was gradually implemented during a period from 1987s to 2009 (Gullestad et al., 2015), and could have been important for the increasing trend observed from 2011 onward. The long-term development of the indicator is not known, and it is possible that discards from the fisheries combined with unsustainable pelagic fisheries of capelin and herring during the 1960s to 1980 had impact on the proportion of diving to surface feeding seabirds in the ecosystem (see for example (Krasnov and Barrett, 1995)). The recent development in this indicator could therefore reflect a long-term recovery from fishery induced disturbance 50 years ago. The data series are accordingly too short to allow a proper analysis of the phenomenon and there is accordingly insufficient data to conclude.


17.4 Background data and supplementary analysis

 

Figure S.17.5 Mean sum of normalized logged counts of diving (solid line) and surface feeding (stippled line) seabird species in the Sub-Arctic Barents Sea
Figure S.17.5 Mean sum of normalized logged counts of diving (solid line) and surface feeding (stippled line) seabird species in the Sub-Arctic Barents Sea
 
Figure S.17.6 Mean abundance of single seabird species in the Sub-Arctic Barents Sea. Diving species in upper panel and surface feeding species in lower panel.
Figure S.17.6 Mean abundance of single seabird species in the Sub-Arctic Barents Sea. Diving species in upper panel and surface feeding species in lower panel.

 

17.5 Recommendations for future development of the indicator

18 Indicator: Mammals top-down control [SI18]

Ecosystem characteristic: Functional groups within trophic levels  

Phenomenon: Change in ratio of high vs low trophic level mammals [SP18]

Main driver: climate change

18.1 Supplementary metadata

Not relevant.

18.2 Supplementary methods

These data are a time series, from 2004 to 2020, of the sighting rate of species observed during BESS transects. Line-transect surveys were conducted by trained observers onboard BESS vessels. Sighting rates were calculated simply by dividing the number of sighted individuals by the survey effort (km). Indicator values are calculated as the ratio of high vs low trophic level mammal sighting rates. Low trophic level mammals sighting rates include fin whales and high trophic level mammals is the sum of killer whales, sperm whales, white-beaked dolphins and harbour porpoise (as in the indicator for high trophic level mammals [SI11]).

Figure S. 18.1 The ratio of the sighting rate of high to low trophic level marine mammals sighted during BESS surveys from 2004-2020 . The red line represents a fitted trend (R 2 = 0.68), and the blue bands are 95% confidence intervals .
Figure S. 18.1 The ratio of the sighting rate of high to low trophic level marine mammals sighted during BESS surveys from 2004-2020. The red line represents a fitted trend (R 2 = 0.68), and the blue bands are 95% confidence intervals.

No evidence that the phenomenon has occurred.

There is no clear trend in the data, as the confidence intervals are wide compared to the estimated trend, and the apparent increase at the end of the time series is driven by a single data point. The certainty of the indicator is mixed due to the short time series and the variability within the data. The sighting rates are not modelled to account for factors affecting sightability of species, though survey effort was restricted to reasonable conditions (Beaufort Sea State 4 or less and at least 1000 m of visibility).

18.3 Background data and supplementary analysis

Not relevant.

18.4 Recommendations for future development of the indicator

Abundance estimates should be developed based on the sighting rates, to be able to compare with population estimates published elsewhere.


19 Indicator: Arctic Calanus-species [SI19]

Ecosystem characteristic: Functionally important species and biophysical structures  

Phenomenon: Decreasing abundance of Arctic Calanus species [SP19]

Main driver: Climate change

19.1 Supplementary metadata

Not relevant.

19.2 Supplementary methods

Calanus species were identified every year at the Flugløya-Bear Islandjørnøya section. Calanus hyperboreus and Calanus glacialis ’ abundances were summed to calculate arctic Calanus abundance.

19.3 Plots of indicator values

Figure S. 19 .1 The time series of estimated abundance of Arctic Calanus species (ind. m -2 ). Red line and shaded areas indicate fitted linear trend and 95% confidence band, with equation and R² indicated in red.
Figure S. 19.1. The time series of estimated abundance of Arctic Calanus species (ind. m-2). Red line and shaded areas indicate fitted linear trend and 95% confidence band, with equation and R² indicated in red.

Figure S.19 .2 Estimated abundance of Arctic Calanus species (ind. m -2 ) and fitted trend using the best fitted trend approach represented by the red line. The fitted line is of degree 2 (quadratic) with R²=0.35. Residual variance after fitting was 802706.30.
Figure S.19.2. Estimated abundance of Arctic Calanus species (ind. m -2) and fitted trend using the best fitted trend approach represented by the red line. The fitted line is of degree 2 (quadratic) with R²=0.35. Residual variance after fitting was 802706.30.

It can be argued that there is intermediate evidence that the phenomenon has occurred, as there is a negative trend in the time series (figures S.23.1 and S.23.2) (it should be noted that, using simple linear regression, there is a significant negative trend in the data even without the high value from 1997). It is hard to assess the ecosystem consequences of the changes in the indicator, meaning that although there is high level of evidence for expected change, the evidence for occurrence of the phenomenon should be set to intermediate rather than high.

19.4 Background data and supplementary analysis

Not relevant.

19.5 Recommendations for future development of the indicator


20 Indicator: Atlantic Calanus-species [SI20]

Ecosystem characteristic: Functionally important species and biophysical structures  

Phenomenon: Increasing abundance of Atlantic Calanus species [SP20]

Main driver: Climate change

20.1 Supplementary metadata

Not relevant.

20.2 Supplementary methods

Calanus species were identified every year at the Fugløya-Bear Islandjørnøya section. The Atlantic Calanus species here is Calanus finmarchicus.

20.3 Plots of indicator values

Figure S. 20 .1 The time series of estimated abundance of sub-Arctic Calanus (ind. m-2 ). Red line and shaded areas indicate fitted linear trend and 95% confidence band, with equation and R² indicated in red.
Figure S. 20.1. The time series of estimated abundance of sub-Arctic Calanus (ind. m-2). Red line and shaded areas indicate fitted linear trend and 95% confidence band, with equation and R² indicated in red.
 
Figure S.20.2 Estimated abundance of Atlantic Calanus species (ind. m -2 ) and fitted trend using the best fitted trend approach represented by the red line. The fitted line is of degree 3 (cubic) with R²=0.38. Residual variance after fitting was 234299880.00.
Figure S.20.2 Estimated abundance of Atlantic Calanus species (ind. m-2) and fitted trend using the best fitted trend approach represented by the red line. The fitted line is of degree 3 (cubic) with R²=0.38. Residual variance after fitting was 234299880.00.

There is no evidence that the phenomenon has occurred, as, although the estimated linear trend in the time series is positive, it is not significant (figure S.20.1) and the trend estimated using the best fitted trend approach is cubic, with no indication of overall change through the time period covered (figure S.20.2).

20.4 Background data and supplementary analysis

Not relevant.

20.5 Recommendations for future development of the indicator


21 Indicator: Krill [SI21]

Ecosystem characteristic: Functionally important species and biophysical structures  

Phenomenon: Increasing biomass of krill [SP21]

Main driver: Climate change

21.1 Supplementary metadata

Not relevant.

21.2 Supplementary methods

The biomasses of the different taxa (Table S.3.1) were added for each pelagic trawl, then total biomass was averaged per polygon or per ecosystem area.

21.3 Plots of indicator values

Figure S. 21 .1 . The time series of estimated biomass of krill (kg wet wt. km-2 ) shown with light shaded areas indicating ± 1 SD. Red line and red shaded areas indicate fitted linear trend and 95% confidence band, with equation and R² indicated in red.
Figure S. 21.1. The time series of estimated biomass of krill (kg wet wt. km-2) shown with light shaded areas indicating ± 1 SD. Red line and red shaded areas indicate fitted linear trend and 95% confidence band, with equation and R² indicated in red.
 
Figure S. 21 .2 Estimated biomass of krill (kg wet wt. km-2 ) and fitted trend using the best fitted trend approach represented by the red line the red line. The fitted trend approach trend is of degree 2 (quadratic) with R²=0.27 . Residual variation after fitting was 94.66.
Figure S. 21.2. Estimated biomass of krill (kg wet wt. km-2) and fitted trend using the best fitted trend approach represented by the red line the red line. The fitted trend approach trend is of degree 2 (quadratic) with R²=0.27. Residual variation after fitting was 94.66.

 

Figure S.21.3 Mean biomass of krill (kg wet wt. km-2 ) in each polygon in the subarctic part of the Barents Sea (number on top of each panel) with light shaded area indicating ± 1 SD. Red line and red shaded areas indicate fitted linear trend and 95% confidence band, with equation and R² indicated in red. Stars denote years with low sample size (< 5 trawls).

​​​​​Figure S.21.3 Mean biomass of krill (kg wet wt. km-2) in each polygon in the subarctic part of the Barents Sea (number on top of each panel) with light shaded area indicating ± 1 SD. Red line and red shaded areas indicate fitted linear trend and 95% confidence band, with equation and R² indicated in red. Stars denote years with low sample size (< 5 trawls).
 
Figure S.21.4 Mean biomass of krill (kg wet wt. km-2 ) in each polygon in the subarctic part of the Barents Sea (number on top of each panel) with red line indicating rend fitted using the best fitted trend approach.
Figure S.21.4 Mean biomass of krill (kg wet wt. km-2) in each polygon in the subarctic part of the Barents Sea (number on top of each panel) with red line indicating rend fitted using the best fitted trend approach.

There is no evidence that the phenomenon has occurred, as there is no net change over the time period covered by the time series (figure S.21.1).

Although there is no indication of net change in krill biomass through the time period, there is indication of an increase towards the middle of the time series, followed by a decrease towards the initial levels (figure S.21.2). This appears to follow broadly a similar variation in temperature.

21.4 Background data and supplementary analysis

21.5 Recommendations for future development of the indicator


22 Indicator: Capelin [SI22]

Ecosystem characteristic: Functionally important species and biophysical structures  

Phenomenon: Decreasing biomass of the capelin stock [SP22]

Main driver: climate change, fisheries

22.1 Supplementary metadata

Not relevant.

22.2 Supplementary methods

The indicator value is the running average of annual total stock biomass estimates, using a sliding window of three years, based on generation time.

22.3 Plots of indicator values

Figure S.22.1 The black dots and line are the indicator values of three year running average of annual total stock biomass of capelin (in 1000 tonnes). The red line represents fitted trend of degree 3 (cubic). After fitting, residuals variance was 1802414.40, R²=0.49.
Figure S.22.1 The black dots and line are the indicator values of three year running average of annual total stock biomass of capelin (in 1000 tonnes). The red line represents fitted trend of degree 3 (cubic). After fitting, residuals variance was 1802414.40, R²=0.49.

No evidence that the phenomenon has occurred.

There was a decreasing trend in the biomass of capelin since the 1970s and 1980s. After that there is not a clear trend but large fluctuations. The high level of the capelin stock in the early years of the survey (pre-1983) was likely mainly a result of a low NEA cod stock and very low abundance of NSS herring, both at least in part caused by heavy fishing. The early high stock level can therefore not be regarded as a reference state for the capelin stock.


22.4 Background data and supplementary analysis

 

Figure S.22.2 Comparison of annual total stock estimates (stippled line) and three-year running average (solid line).
Figure S.22.2 Comparison of annual total stock estimates (stippled line) and three-year running average (solid line).

 

22.5 Recommendations for future development of the indicator

Explore possibilities to develop phenomena related to frequency and/or duration of low biomass periods.


23 Indicator: Cod [SI23]

Ecosystem characteristic: Functionally important species and biophysical structures  

Phenomenon: Change in stock size [SP23]

Main driver: climate change (increase), fisheries (decrease)

23.1 Supplementary metadata

Not relevant.

23.2 Supplementary methods

The indicator value is the eight-year running average of annual total stock biomass estimates, based on generation time.

23.3 Plots of indicator values

Figure S.23.1 The black dots and line are the indicator values of eight year running average of annual total stock biomass of NEA cod (in 1000 tonnes). The red line represents fitted trend of degree 3 (cubic). After fitting, residuals variance was 90780.83, R²=0.86.
Figure S.23.1 The black dots and line are the indicator values of eight year running average of annual total stock biomass of NEA cod (in 1000 tonnes). The red line represents fitted trend of degree 3 (cubic). After fitting, residuals variance was 90780.83, R²=0.86.

No evidence for the occurrence of the phenomenon.

The time-series of cod stock size starts in 1946, and the state of the cod stock at that time might be considered a reference state since the fishing pressure during WW2 was low. The cod stock size first showed a decreasing trend from 1946 to the early 1980s, likely caused by heavy fishing pressure. From the late 1980s to 2013 the stock size increased as a result of a combination of less intensive fishery and ocean warming (Kjesbu et al., 2014). In 2013 the cod stock was at its largest, and at levels similar to the situation in the period after WW2. The decrease in stock size the last years is likely related to the recent cooling in the Barents Sea and cannot be attributed to increasing human pressure. Thus, the present stock size is assessed as being similar to a reference condition (after WW2) (EP=none), taking into account natural variation in population size and “medium-term” climatic fluctuations.


23.4 Background data and supplementary analysis

Figure S.23.2 Comparison of annual total stock estimates (stippled line) and eight-year running average (solid line).
Figure S.23.2 Comparison of annual total stock estimates (stippled line) and eight-year running average (solid line).

 

23.5 Recommendations for future development of the indicator


24 Indicator: Cod size structure [SI24]

Ecosystem characteristic: Functionally important species and biophysical structures  

Phenomenon: Decreasing biomass of large cod [SP24]

Main driver: fisheries

24.1 Supplementary metadata

Not relevant.

24.2 Supplementary methods

Age was used as a proxy for body size, and the indicator is calculated as the biomass proportion of seven year old cod and older. The total annual biomass of each age group is estimated for the whole North East Arctic cod stock in Barents Sea by ICES (ICES, 2020).

24.3 Plots of indicator values

Figure S.24.1 The black dots and line are the indicator values of the biomass proportion of large cod (> 6 years). The red line represents fitted trend of degree 3 (cubic). After fitting, residuals variance was 161.41, R²=0.44.
Figure S.24.1 The black dots and line are the indicator values of the biomass proportion of large cod (> 6 years). The red line represents fitted trend of degree 3 (cubic). After fitting, residuals variance was 161.41, R²=0.44.

No evidence that the phenomenon has occurred

There is no evidence for the phenomenon, as the proportion of large cod has increased in the most recent period and is similar to the “after WW2” low fishing pressure conditions. Especially during the most recent period (since 2012), large cod has made up a large proportion (60-75%) of the total biomass. The biomass of large cod shows a similar trend as the change in cod stock size with a decrease followed by an increase. The trends in cod size structure are caused by increased followed by reduced fishing pressure.


24.4 Background data and supplementary analysis
Figure S.24.2 Biomass of large cod (> 6 years; solid line) compared to total stock biomass (stippled line).
Figure S.24.2 Biomass of large cod (> 6 years; solid line) compared to total stock biomass (stippled line).

 

24.5 Recommendations for future development of the indicator


25 Indicator: Haddock [SI25]

Ecosystem characteristic: Functionally important species and biophysical structures  

Phenomenon: Change in haddock stock size [SP25]

Main driver: climate change (increase), fisheries (decrease)

25.1 Supplementary metadata

Not relevant.

25.2 Supplementary methods

The indicator is based on annual total stock biomass estimates of haddock (ICES, 2020). Indicator values are the seven-year running average, based on generation time.

25.3 Plots of indicator values

 

Figure S.25.1 The black dots and line are the indicator values of seven year running average of annual total stock biomass of haddock (in 1000 tonnes). The red line represents fitted trend of degree 2 (quadratic). After fitting, residuals variance was 11631.23, R²=0.78.
Figure S.25.1 The black dots and line are the indicator values of seven year running average of annual total stock biomass of haddock (in 1000 tonnes). The red line represents fitted trend of degree 2 (quadratic). After fitting, residuals variance was 11631.23, R²=0.78.

Low evidence that the phenomenon has occurred.

There was a decrease in the haddock stock size in the beginning of the time series (c. 1950-1980) followed by an increase. The decrease was likely caused by intensive fishing while the increase was likely caused by a combination of reduced fishing pressure and warming ocean. However, attribution to drivers such as fisheries and climate is uncertain due to very variable recruitment in haddock. For a study of climate effect on haddock recruitment using a long time series, see e.g. Bogstad et al. 2013. Despite a decreasing trend the most recent years, the stock size seems to be somewhat higher the last two decades, therefor the conclusion of low evidence.


25.4 Background data and supplementary analysis

Figure S.25.2 Comparison of annual total stock estimates (stippled line) and seven-year running average (solid line).
Figure S.25.2 Comparison of annual total stock estimates (stippled line) and seven-year running average (solid line).

 

25.5 Recommendations for future development of the indicator


26 Indicator: Redfish [SI26]

Ecosystem characteristic: Functionally important  species and biophysical structures

Phenomenon: Decreasing biomass of the beaked redfish stock [SP26]

Main driver: climate change, fisheries, oil extraction

26.1 Supplementary metadata

Not relevant.

26.2 Supplementary methods

Indicator values are the annual total stock biomass estimates of beaked redfish (Sebastes mentella), from the ICES AFWG (ICES, 2020).

26.3 Plots of indicator values

 

Figure S.26.1 The black dots and line are the indicator values of annual total stock biomass of S. mentella (in 1000 tonnes). The red line represents fitted trend of degree 3 (cubic). After fitting, residuals variance was 631.57, R²=0.99.
Figure S.26.1 The black dots and line are the indicator values of annual total stock biomass of S. mentella (in 1000 tonnes). The red line represents fitted trend of degree 3 (cubic). After fitting, residuals variance was 631.57, R²=0.99.

No evidence that the phenomenon has occurred.
The fitted trend show increasing rather than decreasing biomass. This is likely due to recovery of the beaked redfish stock since the reduction of fishing pressure. In the past, fishing was the vastly dominant factor for the stock size of beaked redfish. Any change caused by climate change, whether up or down, cannot be discerned because of its signal being buried under that of the stock rebuilding after the release from fishing pressure.

26.4 Background data and supplementary analysis

Not relevant.

26.5 Recommendations for future development of the indicator

The survey index of younger stages of the Sebastes species complex should be explored as an indicator more relevant for the Barents Sea Ecosystem. The majority of the adult beaked redfish resides in the Norwegian Sea, while the juveniles are a food source for other fish in the Barents Sea, primarily cod and Greenland halibut. Since beaked and golden redfish are intermingled in the Barents Sea, and juveniles also look almost the same, the suggestion would be to include redfish as a species complex, rather than only beaked redfish.


27 Indicator: Bottom thermal niches [SI27]

Ecosystem characteristic: Landscape-ecological patterns  

Phenomenon: Decreasing area of cold-water temperature niches [SP27]

Main driver: climate change

27.1 Supplementary metadata

Not relevant.

27.2 Supplementary methods

Temperature observations for the annual autumn ecosystem surveys and other cruises between August and October were received from the Norwegian Marine Data Centre (NMDC) and cover 1970 to 2019. In addition to the quality control performed by NMDC, the station data was de-spiked and significant instabilities removed. Bottom temperatures are a mean over the 30 m closest to the bottom depth for each individual CTD cast. The bottom depth is either given by the echosounder depth of each CTD cast or the depth of the International Bathymetric Chart of the Arctic Ocean (IBCAO3.0). The bottom temperatures were gridded onto a 25 km polar stereographic grid covering the Barents Sea using objective mapping to remove biases due to clustered sampling in small areas. Years when less than 70% of the area of the Arctic/sub-Arctic region or any individual polygon was covered by gridded observations were disregarded. The mask for this criterium was computed using mean 50 – 200 m temperatures and used for all other variables for consistency. Area of temperature niches at the bottom were computed by identifying grid cells with (0<T<3oC) and (T>3oC). The indicator has been calculated for the entire Barents Sea, not separately for the sub-Arctic part. No calculations have been conducted on individual sub-regions.


27.3 Plots of indicator values

 

Figure S.27.1 Estimated area covered with warm-water (T>3 o C) temperature niches at bottom. Means and standard deviations for 1970-1990 and 2004-2019 are shown by red lines and pale red boxes with actual shown in red. Linear trends 1970-2019 and 2004-2019 are shown in blue when statistically significant at the 95% level (with actual values also in blue).  
Figure S.27.1 Estimated area covered with warm-water (T>3 o C) temperature niches at bottom. Means and standard deviations for 1970-1990 and 2004-2019 are shown by red lines and pale red boxes with actual shown in red. Linear trends 1970-2019 and 2004-2019 are shown in blue when statistically significant at the 95% level (with actual values also in blue).  
 
Figure S.27.2 Estimated area covered with mixed-water (0<T<3 o C) temperature niches at bottom. Means and standard deviations for 1970-1990 and 2004-2019 are shown by red lines and pale red boxes with actual shown in red. Linear trends 1970-2019 and 2004-2019 are shown in blue when statistically significant at the 95% level (with actual values also in blue).  
Figure S.27.2 Estimated area covered with mixed-water (0<T<3 o C) temperature niches at bottom. Means and standard deviations for 1970-1990 and 2004-2019 are shown by red lines and pale red boxes with actual shown in red. Linear trends 1970-2019 and 2004-2019 are shown in blue when statistically significant at the 95% level (with actual values also in blue).  

 

High evidence that the phenomenon has occurred over the period 1970-2019, low evidence that the phenomenon has occurred over the period 2004-2019.

Data on exists from 1970, meaning that quantitative information for the indicator exists only for part of the reference condition. Despite strong interannual variability during, there are increasing trends in the warm-water temperature niches at bottom (3.2*1000 km2 yr-1 for T>3 o C and 1.2 *1000 km2 yr-1 for 0<T<3 o C respectively) when evaluating the 1970-2019 period. Thus, over the last five decades, there is high evidence that area covered by warm-water temperature niches at bottom has increased considerable concurrent with warming of the climate in this period. In the phenomenon, it is described that changes of this magnitude will likely trigged changes of ecosystem significance.

Evaluating the period 2004-2019 reveal no significant trend in area covered by warm-water temperature niches. Thus, there is no evidence that the phenomenon occurred when evaluating the 2004-2019 period.

The phenomenon has occurred regionally.

27.4 Background data and supplementary analysis

Not relevant.

27.5 Recommendations for future development of the indicator

Due to substantial short- and long-term variability and changes in the system, the assessment of the phenomenon is critically dependent on the chosen assessment period. Moreover, the defined reference period (1960-1990) does not represent nature not affected by humans, as anthropogenic impacts started before 1960, and accelerated during 1960-1990. Future developments should include a refined definition of assessment period. It is critical to consider how assessment of abiotic phenomena starting at different times are to be combined with each other, and with assessments of biotic phenomena which often are evaluated over shorter time periods due to lack of historic time series.


28 Indicator: Benthos sensitive to bottom trawling [SI28]

Ecosystem characteristic: Biological diversity  

Phenomenon: Decreasing biomass of benthos species sensitive to trawling [SP28]

Main driver: bottom trawling

28.1 Supplementary metadata

Table S. 28.1: taxa considered as sensitive to trawling, from OSPAR

Trawl sesitive species - OSPAR 

Umbellula encrinus

Paragorgia arborea

Cirroteuthis muelleri

Stryphnus ponderosus

Isidella lofotensis

Geodia macandrewii

Geodia barretti

Chondrocladia gigantea 

 

28.2 Supplementary methods

The indicator is calculated as the sum of taxa biomass sensitive to trawling based on morphological and functional traits. Biomasses were summed for each haul and averaged across the ecosystem area.


28.3 Plots of indicator values

Figure S.28.1 . The time series of estimated mean (± sd) biomass of trawl sensitive megabenthos per polygon. The red l ine represents fitted trend of degree 1 (with 95 th confidence interval)
Figure S.28.1. The time series of estimated mean (± sd) biomass of trawl sensitive megabenthos per polygon. The red l ine represents fitted trend of degree 1 (with 95 th confidence interval)
 
Figure S.28.2 . The time series of estimated mean (± sd) biomass of trawl sensitive megabenthos. The red l ine represents fitted trend of degree 1 (with 95% th confidence interval)
Figure S.28.2. The time series of estimated mean (± sd) biomass of trawl sensitive megabenthos. The red line represents fitted trend of degree 1 (with 95% th confidence interval)

 

Figure S.28.3 The number of stations used in the data in the whole area

Figure S.28.3 The number of stations used in the data  per polygon.
Figure S.28.3 The number of stations used in the data. Top: in the whole area. Bottom: per polygon.

The are no sign of decrease in trawl-sensitive megabenthos biomass.

On the contrary there are some increasing trends that may be due to outlier data (Geodia) and positive effects of climate change. The areas with highest biomass of presumed trawl-sensitive taxa are also areas known for high trawling intensity (Tromsøflakket, Barents Sea opening, polygons 5, 27 and 25). Two of those polygons have very low number of stations every year. Thus, our assessment of sensitivity to trawling may require modification (e.g. expanding the OSPAR list of species sensitive to trawling to also include other species, treating Geodia separately)

28.4 Background data and supplementary analysis

28.5 Recommendations for future development of the indicator


29 Indicator: Fish sensitive to fisheries [SI29]

Ecosystem characteristic: Biological diversity

Phenomenon: Decreasing abundance of species sensitive to fisheries [SP29]

Main driver: fisheries

29.1 Supplementary metadata

Not relevant.

29.2 Supplementary methods

Based on life history strategy information (see indicator SI16 Fish life history), nine fish species (or taxa) were identified as sensitive to increased mortality from fisheries. These are typically equilibrium strategy species, with slow life histories. We included the top 12 equilibrium species, but removed the most uncommon ones. The included taxa are: Greenland shark (Somniosus microcephalus), Velvet belly lanternshark (Etmopterus spinax), Rabbit fish (Chimaera monstrosa), Spinytail skate (Bathyraja spinicauda), Thorny skate (Amblyraja radiata), and Redfishes (Sebastes mentella, Sebastes norvegicus, Sebastes viviparus, Sebastes spp.). The indicator value is the sum of min-max normalized log transformed abundances of these species in each bottom trawl from the Barents Sea Ecosystem Survey.


29.3 Plots of indicator values

Figure S.29.1 Mean ( ± sd) of the sum of normalised log transformed abundances of fish species sensitive to fisheries in demersal trawls the Arctic Barents Sea (Black dots and grey shading). Linear regression fit with 95% CI is shown in blue, and the statistical results are given in the top of each plot. A local smoother is added in red to assist visual interpretation of non-linear changes during the period. Stars denote years with low sample size (< 5 trawls).
 
Figure S.29.1 Mean ( ± sd) of the sum of normalised log transformed abundances of fish species sensitive to fisheries in demersal trawls the Arctic Barents Sea (Black dots and grey shading). Linear regression fit with 95% CI is shown in blue, and the statistical results are given in the top of each plot. A local smoother is added in red to assist visual interpretation of non-linear changes during the period. Stars denote years with low sample size (< 5 trawls).
Figure S.29.1 Mean (± sd) of the sum of normalised log transformed abundances of fish species sensitive to fisheries in demersal trawls the Arctic Barents Sea (Black dots and grey shading). Linear regression fit with 95% CI is shown in blue, and the statistical results are given in the top of each plot. A local smoother is added in red to assist visual interpretation of non-linear changes during the period. Stars denote years with low sample size (< 5 trawls).

Figure A.29.2 Mean ( ± sd) proportion (%) based on abundances of fish species sensitive to fisheries in demersal trawls the Sub-Arctic Barents Sea (Black dots and grey shading). Linear regression fit with 95% CI is shown in blue, and the statistical results are given in the top of each plot. A local smoother is added in red to assist visual interpretation of non-linear changes during the period. Stars denote years with low sample size (< 5 trawls).
 
Figure A.29.2 Mean ( ± sd) proportion (%) based on abundances of fish species sensitive to fisheries in demersal trawls the Sub-Arctic Barents Sea (Black dots and grey shading). Linear regression fit with 95% CI is shown in blue, and the statistical results are given in the top of each plot. A local smoother is added in red to assist visual interpretation of non-linear changes during the period. Stars denote years with low sample size (< 5 trawls).
Figure A.29.2 Mean (± sd) proportion (%) based on abundances of fish species sensitive to fisheries in demersal trawls the Sub-Arctic Barents Sea (Black dots and grey shading). Linear regression fit with 95% CI is shown in blue, and the statistical results are given in the top of each plot. A local smoother is added in red to assist visual interpretation of non-linear changes during the period. Stars denote years with low sample size (< 5 trawls).
 
Figure S.29.3 Mean abundance of single fish species sensitive to fisheries in each polygon in the Sub-Arctic Barents Sea. Stars denote years with low sample size (< 5 trawls). Note the different scales on the y-axes. Figure S.29.3 Mean abundance of single fish species sensitive to fisheries in each polygon in the Sub-Arctic Barents Sea. Stars denote years with low sample size (< 5 trawls). Note the different scales on the y-axes.
Figure S.29.3 Mean abundance of single fish species sensitive to fisheries in each polygon in the Sub-Arctic Barents Sea. Stars denote years with low sample size (< 5 trawls). Note the different scales on the y-axes.
Figure S.29.3 Mean abundance of single fish species sensitive to fisheries in each polygon in the Sub-Arctic Barents Sea. Stars denote years with low sample size (< 5 trawls). Note the different scales on the y-axes.

No evidence that the phenomenon has occurred.

There is no observed trend in the abundance of fish sensitive to fisheries during the time-period from which we have observations, both overall and within each polygon. When looking at the trend in the proportion of fish sensitive to fisheries, there is a clear overall increasing trend. It should be noted that the individual species seem to have different trends, and that there are some long-lived, low-fecundity species that show negative population trends.


29.4 Background data and supplementary analysis

29.4.1 Individual species abundances

Figure S.29.4 Mean ( ± sd) abundance of the most common fish species sensitive to fisheries in the Sub-Arctic Barents Sea. Note the different scales on the y-axes.
Figure S.29.4 Mean (± sd) abundance of the most common fish species sensitive to fisheries in the Sub-Arctic Barents Sea. Note the different scales on the y-axes.

 


29.5 Recommendations for future development of the indicator

The indicator value is based on nine taxa identified as sensitive to fishing pressure based on the equilibrium life history strategy (Pecuchet et al., 2017). In future assessments this approach to estimate sensitivity to fisheries should be compared to others, such as the “Average-life-history-trait” metric (Greenstreet et al., 2012), “Proportion failing to spawn” metric (ICES, 2016), and “Fishing reducing SSB to 25%” metric (Rindorf et al., 2020). In addition, the effects of the threshold level for including species as being sensitive to fisheries should be explored. The included nine taxa here should be seen as a minimum, and it should also be considered to separate elasmobranchs into a separate indicator. Fish species that are sensitive to fisheries are also often among the most rare, and the actual data availability for each of the included species should be explored and species with too sparse data removed. It is recommended to consider the approach used in OSPAR for the Fish community indicator (FC1) “Recovery in the population abundance of sensitive fish” in the coming Quality Status Report 20231.

 

30 Indicator: Mammals sensitive to pollution [SI30]

Ecosystem characteristic: Biological diversity  

Phenomenon: Decreasing abundance of mammal species sensitive to pollution [SP30]

Main driver: pollution, climate change, past over-harvesting

30.1 Supplementary metadata

Not relevant.

30.2 Supplementary methods

These data are a time series, from 2004 to 2020, of the sighting rate of high trophic level marine mammal species observed during BESS transects. Line-transect surveys were conducted by trained observers onboard BESS vessels. Sighting rates were calculated simply by dividing the number of sighted individuals by the survey effort (km). Currently the indicator includes data on killer whales, white-beaked dolphins, harbour porpoises, and sperm whales. Other marine mammal species can also be classified as being sensitive to pollution: bottlenose whales, harp seals, harbour seals and grey seals, and can be included when observed.

30.3 Plots of indicator values

A)

Figure S.30.1 Sighting rate of killer whales during BESS surveys from 2004.2020. The red lines represent fitted trends with R2 of 0.063, 0.024, 0.13, and 0.067, respectively. The blue bands are 95% confidence intervals.

B)

Figure S.30.1 Sighting rate of white-beaked dolphins during BESS surveys from 2004.2020. The red lines represent fitted trends with R2 of 0.063, 0.024, 0.13, and 0.067, respectively. The blue bands are 95% confidence intervals.

C)

Figure S.30.1 Sighting rate of harbour porpoises during BESS surveys from 2004.2020. The red lines represent fitted trends with R2 of 0.063, 0.024, 0.13, and 0.067, respectively. The blue bands are 95% confidence intervals.

D)

Figure S.30.1 Sighting rate of sperm whales during BESS surveys from 2004.2020. The red lines represent fitted trends with R2 of 0.063, 0.024, 0.13, and 0.067, respectively. The blue bands are 95% confidence intervals.
Figure S.30.1 Sighting rate of killer whales (A), white-beaked dolphins (B), harbour porpoises (C), and sperm whales (D) during BESS surveys from 2004.2020. The red lines represent fitted trends with R2 of 0.063, 0.024, 0.13, and 0.067, respectively. The blue bands are 95% confidence intervals.

No evidence that the phenomenon has occurred.

There are no clear trends in the data, as the confidence intervals are wide compared with the estimated trends., The slight increase in sperm whales sightings is likely due to changes in distribution, not population abundance. This indicator is complicated by the fact that these populations are not fixed, but highly mobile and show high seasonal variation in their distributions. To truly capture changed in abundance due to the effects of pollutions, a much longer time series is needed, as these animals are long lived. Harbour seal and grey seal data trends were not fitted due to the infrequency of survey coverage.


30.4 Background data and supplementary analysis

Not relevant.

30.5 Recommendations for future development of the indicator

Counts of coastal sub-arctic seal species (harbour and grey seals) are conducted over multiple years, providing too little data for trend analysis. It may be possible to include them in future assessments.

Abundance estimates should be developed based on the sighting rates, to be able to compare with population estimates published elsewhere.


31 Indicator: Mammals diversity [SI31]

Ecosystem characteristic: Biological diversity  

Phenomenon: Change in mammal species diversity [SP31]

Main driver: climate change, past over-harvesting

31.1 Supplementary metadata

Not relevant.

31.2 Supplementary methods

These data are a time series, from 2004 to 2020, of the number of whale and dolphin species sighted during BESS transects. Line-transect surveys were conducted by trained observers onboard BESS vessels. The number of whale and dolphin species were summed for each survey year.

31.3 Plots of indicator values

Figure S.31.1 The number of species (whales and dolphins) sighted during BESS surveys from 2004-2020 . The red line represents a fitted trend with R2 of 0.47. The blue bands are 95% confidence intervals.
Figure S.31.1. The number of species (whales and dolphins) sighted during BESS surveys from 2004-2020. The red line represents a fitted trend with R2 of 0.47. The blue bands are 95% confidence intervals.

No evidence that the phenomenon has occurred.

There are no clear trends in the data, as the confidence intervals are wide compared with the estimated trends. The lack of trend is likely due to the short time series and the variability within the data. The certainty of the indicator is mixed due to the short time series and the variability within the data. The sighting rates are not modelled to account for factors affecting sightability of species, though survey effort was restricted to reasonable conditions (Beaufort Sea State 4 or less and at least 1000 m of visibility).

31.4 Background data and supplementary analysis

Not relevant.

31.5 Recommendations for future development of the indicator


32 Indicator: Temperature [SI32]

Ecosystem characteristic: Abiotic factors  

Phenomenon: Warming of the water column [SP32]

Main driver: climate change

32.1 Supplementary metadata

Not relevant.

32.2 Supplementary methods

Temperature and salinity observations for the annual autumn ecosystem surveys and other cruises between August and October were received from the Norwegian Marine Data Centre (NMDC) and cover 1970 to 2019. In addition to the quality control performed by NMDC, the station data was de-spiked and significant instabilities removed. For the mean temperatures, we used data fields that were gridded onto a 25 km polar stereographic grid covering the Barents Sea using objective mapping to remove biases due to clustered sampling in small areas. Years when less than 70% of the area of the Arctic/sub-Arctic region or any individual polygon was covered by gridded observations were disregarded. The mask for this criterium was computed using mean 50 – 200 m temperatures and used for all other variables for consistency.

Bottom temperatures are a mean over the 30 m closest to the bottom depth for each individual CTD cast. The bottom depth is either given by the echosounder depth of each CTD cast or the depth of the International Bathymetric Chart of the Arctic Ocean (IBCAO3.0). The bottom temperatures were then gridded onto the same 25 km polar stereographic grid used for the 3-D temperature fields and subsequently averaged over the Atlantis polygons.


32.3 Plots of indicator values

Figure S.32.1 Mean temperature between 0 and 30 meters. Means and standard deviations for 1970-1990 and 2004-2019 are shown by red lines and pale red boxes with actual shown in red. Linear trends 1970-2019 and 2004-2019 are shown in blue when statistically significant at the 95% level (with actual values also in blue).
Figure S.32.1 Mean temperature between 0 and 30 meters. Means and standard deviations for 1970-1990 and 2004-2019 are shown by red lines and pale red boxes with actual shown in red. Linear trends 1970-2019 and 2004-2019 are shown in blue when statistically significant at the 95% level (with actual values also in blue).

 

Figure S.32.2 Mean temperature between 30 and 100 meters. Means and standard deviations for 1970-1990 and 2004-2019 are shown by red lines and pale red boxes with actual shown in red. Linear trends 1970-2019 and 2004-2019 are shown in blue when statistically significant at the 95% level (with actual values also in blue).  
Figure S.32.2 Mean temperature between 30 and 100 meters. Means and standard deviations for 1970-1990 and 2004-2019 are shown by red lines and pale red boxes with actual shown in red. Linear trends 1970-2019 and 2004-2019 are shown in blue when statistically significant at the 95% level (with actual values also in blue).  

 

 

Figure S.32.3 Mean temperature between 100 and 200 meters. Means and standard deviations for 1970-1990 and 2004-2019 are shown by red lines and pale red boxes with actual shown in red. Linear trends 1970-2019 and 2004-2019 are shown in blue when statistically significant at the 95% level (with actual values also in blue).  
Figure S.32.3 Mean temperature between 100 and 200 meters. Means and standard deviations for 1970-1990 and 2004-2019 are shown by red lines and pale red boxes with actual shown in red. Linear trends 1970-2019 and 2004-2019 are shown in blue when statistically significant at the 95% level (with actual values also in blue).  

 

 

Figure S.32.4 Mean bottom temperature. Means and standard deviations for 1970-1990 and 2004-2019 are shown by red lines and pale red boxes with actual shown in red. Linear trends 1970-2019 and 2004-2019 are shown in blue when statistically significant at the 95% level (with actual values also in blue).  
Figure S.32.4 Mean bottom temperature. Means and standard deviations for 1970-1990 and 2004-2019 are shown by red lines and pale red boxes with actual shown in red. Linear trends 1970-2019 and 2004-2019 are shown in blue when statistically significant at the 95% level (with actual values also in blue).  

 

 

Figure S.32.5. Mean temperature between 0 and 30 meters for each polygon in the Sub-Arctic part of the Barents Sea. Means and standard deviations for 1970-1990 and 2004-2019 are shown by red lines and pale red boxes with actual shown in red. Linear trends 1970-2019 and 2004-2019 are shown in blue when statistically significant at the 95% level (with actual values also in blue).  
Figure S.32.5. Mean temperature between 0 and 30 meters for each polygon in the Sub-Arctic part of the Barents Sea. Means and standard deviations for 1970-1990 and 2004-2019 are shown by red lines and pale red boxes with actual shown in red. Linear trends 1970-2019 and 2004-2019 are shown in blue when statistically significant at the 95% level (with actual values also in blue).  

 

Figure S.32.6. Mean temperature between 30 and 100 meters for each polygon in the Sub-Arctic part of the Barents Sea. Means and standard deviations for 1970-1990 and 2004-2019 are shown by red lines and pale red boxes with actual shown in red. Linear trends 1970-2019 and 2004-2019 are shown in blue when statistically significant at the 95% level (with actual values also in blue).  
Figure S.32.6. Mean temperature between 30 and 100 meters for each polygon in the Sub-Arctic part of the Barents Sea. Means and standard deviations for 1970-1990 and 2004-2019 are shown by red lines and pale red boxes with actual shown in red. Linear trends 1970-2019 and 2004-2019 are shown in blue when statistically significant at the 95% level (with actual values also in blue).  

 

Figure S.32.7. Mean temperature between 100 and 200 meters for each polygon in the Sub-Arctic part of the Barents Sea. Means and standard deviations for 1970-1990 and 2004-2019 are shown by red lines and pale red boxes with actual shown in red. Linear trends 1970-2019 and 2004-2019 are shown in blue when statistically significant at the 95% level (with actual values also in blue). 
Figure S.32.7. Mean temperature between 100 and 200 meters for each polygon in the Sub-Arctic part of the Barents Sea. Means and standard deviations for 1970-1990 and 2004-2019 are shown by red lines and pale red boxes with actual shown in red. Linear trends 1970-2019 and 2004-2019 are shown in blue when statistically significant at the 95% level (with actual values also in blue). 

 

Figure S.32.8. Mean bottom temperature for each polygon in the Sub-Arctic part of the Barents Sea. Means and standard deviations for 1970-1990 and 2004-2019 are shown by red lines and pale red boxes with actual shown in red. Linear trends 1970-2019 and 2004-2019 are shown in blue when statistically significant at the 95% level (with actual values also in blue). 
Figure S.32.8. Mean bottom temperature for each polygon in the Sub-Arctic part of the Barents Sea. Means and standard deviations for 1970-1990 and 2004-2019 are shown by red lines and pale red boxes with actual shown in red. Linear trends 1970-2019 and 2004-2019 are shown in blue when statistically significant at the 95% level (with actual values also in blue). 

High evidence that the phenomenon has occurred for all depth ranges considered over the period 1970-2019, no evidence that the phenomenon has occurred for any of the depth ranges considered over the period 2004-2019.

While there is considerable interannual variability over the observational time period (1970-2019), all depth ranges display significant positive temperature trends over this period that range from 0.028 to 0.032°C yr-1. While the period 2004-2019 is consistently warmer than 1970-1990, i.e., the part of the nominal reference period 1960-1990 covered by the available temperature observations, there are no significant trends over this time period at the regional level. The warming trend continues past 2004. However, temperatures during this period generally peak between 2013 and 2016 with a cooling towards the end of the observational time series in 2019, concurrent with an expansion of sea ice.

For all depth ranges the phenomenon has occurred regionally.

32.4 Background data and supplementary analysis

32.5 Recommendations for future development of the indicator

Due to substantial short- and long-term variability and changes in the system, the assessment of the phenomenon is critically dependent on the chosen assessment period. Moreover, the defined reference period (1960-1990) does not represent nature not affected by humans, as anthropogenic impacts started before 1960, and accelerated during 1960-1990. Future developments should include a refined definition of assessment period. It is critical to consider how assessment of abiotic phenomena starting at different times are to be combined with each other, and with assessments of biotic phenomena which often are evaluated over shorter time periods due to lack of historic time series.

The Atlantis polygons used as the basis for this assessment form the basis of a numerical model. In some cases, boundaries overlap bathymetric features like ridges or the shelf slope in the north, leading to the inclusion of observations that represent a different oceanic regime. A division into sub-areas that are tailored to be used with observations like the WGIBAR polygons would improve this.


33 Indicator: Area of water masses [SI33]

Ecosystem characteristic: Abiotic factors

Phenomenon: Increasing area covered by Atlantic water [SP33]

Main driver. Climate change

33.1 Supplementary metadata

Not relevant.

33.2 Supplementary methods

Temperature observations for the annual autumn ecosystem surveys and other cruises between August and October were received from the Norwegian Marine Data Centre (NMDC) and cover 1970 to 2019. In addition to the quality control performed by NMDC, the station data was de-spiked and significant instabilities removed. The temperature data were gridded onto a 25 km polar stereographic grid covering the Barents Sea using objective mapping to remove biases due to clustered sampling in small areas. Years when less than 70% of the area of the Arctic/sub-Arctic region or any individual polygon was covered by gridded observations were disregarded. The mask for this criterium was computed using mean 50 – 200 m temperatures and used for all other variables for consistency. Area of Atlantic Water masses were calculated based on mean 50-200 m temperatures by identifying grid cells with (T>3 o C). The indicator was calculated for the entire Barents Sea, not separately for the sub-Arctic part. No calculations have been conducted on individual sub-regions.


33.3 Plots of indicator values

Figure S.33.1 Estimated area covered by Atlantic Water in the water column . Means and standard deviations for 1970-1990 and 2004-2019 are shown by red lines and pale red boxes with actual shown in red. Linear trends 1970-2019 and 2004-2019 are shown in blue when statistically significant at the 95% level (with actual values also in blue).  
Figure S.33.1. Estimated area covered by Atlantic Water in the water column. Means and standard deviations for 1970-1990 and 2004-2019 are shown by red lines and pale red boxes with actual shown in red. Linear trends 1970-2019 and 2004-2019 are shown in blue when statistically significant at the 95% level (with actual values also in blue).  

High evidence that the phenomenon has occurred over the period 1970-2019, no evidence that the phenomenon has occurred over the period 2004-2019.

Some data on exists from the 1970s, but there is sufficient data coverage only from the late 1970s. Quantitative information for the indicator exists only for part of the reference condition. Despite strong interannual variability, there is an increasing trend (29*1000 km2 yr-1) in the data for the full study period (1970-2019), implying high evidence that the area of Atlantic Water has increased with warming of the climate in this region. In the phenomenon, it is described that changes of this magnitude will likely trigged changes of ecosystem significance.

Evaluating the period 2004-2019 reveal no significant trend in area covered with Atlantic Water. Concomitant with the most recent decrease in temperature, the area covered with Atlantic Water decreased, and there is no evidence that the phenomenon occurred when evaluating the 2004-2019 period.

The phenomenon has occurred regionally.

33.4 Background data and supplementary analysis

Not relevant.

33.5 Recommendations for future development of the indicator

Due to substantial short- and long-term variability and changes in the system, the assessment of the phenomenon is critically dependent on the chosen assessment period. Moreover, the defined reference period (1960-1990) does not represent nature not affected by humans, as anthropogenic impacts started before 1960, and accelerated during 1960-1990. Future developments should include a refined definition of assessment period. It is critical to consider how assessment of abiotic phenomena starting at different times are to be combined with each other, and with assessments of biotic phenomena which often are evaluated over shorter time periods due to lack of historic time series.


34 Indicator: Stratification [SI34]

Ecosystem characteristic: Abiotic factors

Phenomenon: Increasing stratification of the upper water column [SI34]

Main driver: climate change

34.1 Supplementary metadata

Not relevant.

34.2 Supplementary methods

Temperature and salinity observations for the annual autumn ecosystem surveys and other cruises between August and October were received from the Norwegian Marine Data Centre (NMDC) and cover 1970 to 2019. In addition to the quality control performed by NMDC, the station data was de-spiked and significant instabilities removed. Maximum of the Brunt–Väisälä frequency (N2), or buoyancy frequency, in the top 100 m of the water column was calculated from stations data to preserve the vertical density structure and then averaged for each polygon. The unit is [s-1].

34.3 Plots of indicator values

 

Figure S. 34 .1 The time series of stratification of the upper water column. Means and standard deviations for 1970-1990 and 2004-2019 are shown by red lines and pale red boxes with actual shown in red. Linear trends 1970-2019 and 2004-2019 are shown in blue when statistically significant at the 95% level (with actual values also in blue).  
Figure S. 34.1. The time series of stratification of the upper water column. Means and standard deviations for 1970-1990 and 2004-2019 are shown by red lines and pale red boxes with actual shown in red. Linear trends 1970-2019 and 2004-2019 are shown in blue when statistically significant at the 95% level (with actual values also in blue).  

 

 

 

 

 

 

 

 

 

 

 

Figure S.34.2. Stratification in each polygon in the Sub-Arctic Barents Sea . Means and standard deviations for 1970-1990 and 2004-2019 are shown by red lines and pale red boxes with actual shown in red. Linear trends 1970-2019 and 2004-2019 are shown in blue when statistically significant at the 95% level (with actual values also in blue). 
Figure S.34.2. Stratification in each polygon in the Sub-Arctic Barents Sea. Means and standard deviations for 1970-1990 and 2004-2019 are shown by red lines and pale red boxes with actual shown in red. Linear trends 1970-2019 and 2004-2019 are shown in blue when statistically significant at the 95% level (with actual values also in blue). 

Intermediate evidence that the phenomenon has occurred over the period 1970-2019, no evidence that the phenomenon has occurred over the period 2004-2019.

Data exists from 1970, meaning that quantitative information for the indicator exists only for part of the reference condition. The indicator shows high interannual variability, although this is mainly caused by strong variability in the Lofoten region (polygon 6, Fig. S.34.2). This polygon is substantially more variable than the others, and the only polygon showing weaker stratification during 2004-2019 as compared to the available reference period 1970-1999. Thus, the indicator seems to be dominated by one polygon with diverging pattern, and the assessment should be based on the individual polygon time series.

All time-series (except polygon 6) show stronger mean stratification during 2004-2019 as compared to 1970-1990, and a few of them (including the largest polygon covering the central sub-Arctic Barents Sea) show a significant increasing trend during the full period 1970-2019. Thus, stratification has increased concurrent with the general warming of the sea and there is high evidence for occurrence of this phenomenon for 1970-2019. In the phenomenon, it is described that changes of this magnitude might trigged changes of ecosystem significance, but the understanding of the role of the indicator is less good. Based on this the evidence that the phenomenon has occurred is assessed as intermediate.

Evaluating the period 2004-2019 reveal no significant trend in stratification, implying no evidence that the phenomenon occurred in the most recent period.

The phenomenon has occurred locally, as there are substantial differences between the regions.

 

34.4 Background data and supplementary analysis

34.5 Recommendations for future development of the indicator

Due to substantial short- and long-term variability and changes in the system, the assessment of the phenomenon is critically dependent on the chosen assessment period. Moreover, the defined reference period (1960-1990) does not represent nature not affected by humans, as anthropogenic impacts started before 1960, and accelerated during 1960-1990. Future developments should include a refined definition of assessment period. It is critical to consider how assessment of abiotic phenomena starting at different times are to be combined with each other, and with assessments of biotic phenomena which often are evaluated over shorter time periods due to lack of historic time series.

The definition and inclusion of the polygons should be considered. The indicator is strongly affected by one polygon (6) which have substantially higher interannual variability and different trend patterns than the others.

The Atlantis polygons used as the basis for this assessment form the basis of a numerical model. In some cases, boundaries overlap bathymetric features like ridges or the shelf slope in the north, leading to the inclusion of observations that represent a different oceanic regime. A division into sub-areas that are tailored to be used with observations like the WGIBAR polygons would improve this.


35 Indicator: pH [SI35]

Ecosystem characteristic: Abiotic factors

Phenomenon: decreasing pH [SP35]

Main driver: climate change

35.1 Supplementary metadata

Data are published in “Vannmiljø” and NMDC on the following doi:

https://doi.org/10.21335/NMDC-1738969988

https://doi.org/10.21335/NMDC-1384839634

35.2 Supplementary methods

Mean values for the sub-Arctic water mass (T>3 ° C, S>34.98) were calculated in the area between 72.5 to 73.5°N, 20°E to 34°E, as part of observations from the IMR repeat sections on Fugløya-Bjørnøya and Vardø-N and were calculated from measurements on total alkalinity and total dissolved inorganic carbon in 1999 (research cruise) and between 20123 and 2020 obtained through the observational program “Monitoring ocean acidification in Norwegian waters”, funded by the Norwegian Environment Agency. Details of the analytical methods and calculations for pH (total scale is found in the annual reports for the above- mentioned program in Chierici et al. (2016); Chierici et al. (2017); Jones et al. (2018); Jones et al. (2019); Jones et al. (2020); as well as in Skjelvan et al. (2021).

35.3 Plots of indicator values

Figure S.35.1 The time series of pH in the period 1999 to 2020 in the sub-Arctic (T>3°C) waters. The linear fit (red line) is based on annual mean pH values (black squares) from observational data (circles). The blue dashed lines denote the area of 95% confidence.
Figure S.35.1 The time series of pH in the period 1999 to 2020 in the sub-Arctic (T>3°C) waters. The linear fit (red line) is based on annual mean pH values (black squares) from observational data (circles). The blue dashed lines denote the area of 95% confidence.

Intermediate evidence that the phenomenon has occurred for the period 1999-2020.

The linear fit in the relatively short time period from 1999 to 2020 shows a significant trend of decreasing pH of 0.0025 yr -1 in the Sub-Arctic waters. This is similar to the rate reported for the Arctic part and the global ocean mean pH decrease rate (0.002 yr -1, Copernicus Marine). Consequently, the observed trend is as expected for the 1999 to 2020 period and means that most of the trend is caused by ocean uptake of anthropogenic CO2.

 

Figure S.35.2 The time series of pH in the period 2012 to 2020 in the sub-Arctic (T>3°C) waters. The linear fit (red line) is based on annual mean pH values (black squares) from observational data (circles). The blue dashed lines denote the area of 95% confidence
Figure S.35.2 The time series of pH in the period 2012 to 2020 in the sub-Arctic (T>3°C) waters. The linear fit (red line) is based on annual mean pH values (black squares) from observational data (circles). The blue dashed lines denote the area of 95% confidence

Intermediate evidence that the phenomenon has occurred for the period 2012-2020.

The linear fit in the even shorter time period from 2012 to 2020 shows a significant trend of decreasing pH of 0.0017 yr -1 in the Sub-Arctic waters. This is similar to the rate reported for the Arctic part and the global ocean mean pH decrease rate (0.002 yr -1, Copernicus Marine). Consequently, the observed trend is as expected for the 2012 to 2020 period and means that most of the trend is caused by ocean uptake of anthropogenic CO 2.

35.4 Background data and supplementary analysis

Not relevant.

35.5 Recommendations for future development of the indicator

The observations are performed in end of summer (August to September) and may be affected by biotic processes. This contributes to the large interannual variability and spread within one year (shown as whiskers Fig. A. 35.1), resulting in limitation for trend analysis in the period between 2011 and 2020. It is crucial to continue with observations and should cover seasonal variability, to follow the trends and develop regional models for prediction of pH trends in the sub-Arctic region.


36 Indicator: Aragonite saturation [SI36]

Ecosystem characteristic: Abiotic factors

Phenomenon: decreasing aragonite saturation [SP36]

Main driver: climate change

36.1 Supplementary metadata

Data are published in “Vannmiljø” and NMDC on the following doi:

https://doi.org/10.21335/NMDC-1738969988

https://doi.org/10.21335/NMDC-1384839634

36.2 Supplementary methods

Mean values for the sub-Arctic water mass (T>3 ° C, S>34.98) were calculated in the area between 72.5 to 73.5 ° N, 20 ° E to 34 ° E, as part of observations from the IMR repeat sections on Fugløya-Bjørnøya and Vardø-N and were calculated from measurements on total alkalinity and total dissolved inorganic carbon in 1999 (research cruise) and between 20123 and 2020 obtained through the observational program “Monitoring ocean acidification in Norwegian waters”, funded by the Norwegian Environment Agency. Details of the analytical methods and calculations for aragonite saturation (ΩAr) is found in the annual reports for the above mentioned program in Chierici et al. (2016); Chierici et al. (2017); Jones et al. (2018); Jones et al. (2019); Jones et al. (2020); as well as in Skjelvan et al. (2021).

36.3 Plots of indicator values

Figure S.36.1 The time series of aragonite saturation (ΩAr=WAr) in the period 1999 to 2020 in the sub-Arctic (T>3 ° C) waters. The linear fit (red line) is based on annual mean values (black squares) from observational data (circles). The blue hashed lines denote the area of 95% confidence.
Figure S.36.1 The time series of aragonite saturation (ΩAr=WAr) in the period 1999 to 2020 in the sub-Arctic (T>3 ° C) waters. The linear fit (red line) is based on annual mean values (black squares) from observational data (circles). The blue hashed lines denote the area of 95% confidence.

Intermediate evidence that the phenomenon has occurred.

The linear fit in the relatively short time period from 1999 to 2020 shows a significant trend of decreasing ΩAr of 0.0083 yr -1 in the sub-Arctic waters, which is at a slower rate than is reported by (Fransner et al., 2022) (-0.012 yr -1). A trend of decreased ΩAr is as expected but potentially at a slower rate in the study period. One explanation can be that the observations here are from another region than than (Fransner et al., 2022) and different depth intervals. Moreover, the presented observations are performed in end of summer (August to September) and may be affected by biotic processes, resulting in higher values than in winter.

Limiting the observations to the period 2004-2020, in this case giving observations for 2012-2020 still give a significant declining trend of decreasing ΩAr of 0.013 yr -1 in the sub-Arctic waters, thus at a similar rate as (Fransner et al., 2022). The assessment for this period is thus the same as for the full data period, intermediate evidence that the phenomenon has occurred.

 

Figure S.36.2 The time series of aragonite saturation (ΩAr=WAr) in the period 2012 to 2020 in the sub-Arctic (T>3 ° C) waters. The linear fit (red line) is based on annual mean values (black squares) from observational data (circles). The blue hashed lines denote the area of 95% confidence.
Figure S.36.2 The time series of aragonite saturation (ΩAr=WAr) in the period 2012 to 2020 in the sub-Arctic (T>3 ° C) waters. The linear fit (red line) is based on annual mean values (black squares) from observational data (circles). The blue hashed lines denote the area of 95% confidence.

36.4 Background data and supplementary analysis

Not relevant.

36.5 Recommendations for future development of the indicator

The observations are performed in end of summer (August to September) and may be affected by biotic processes. This contributes to the large interannual variability and spread within one year (shown as whiskers Fig. S. 36.1), resulting in limitation for trend analysis in the period between 2011 and 2020. It is crucial to continue with observations and should cover seasonal variability, to follow the trends and develop regional models for prediction of ΩAr trends in the Arctic region. Observational evidence on the biological effects needs to be developed, both on organism level and ecosystem level. Recent report from field studies show evidence for negative effects on calcification in Arctic species such as pteropods (Bednarsek et al., 2021).


References - Appendix 8.2

 

Andriyashev, A. P., and Chernova, N. V. 1995. Annotated list of fishlike vertebrates and fish of the Arctic seas and adjacent waters. Journal of Ichtyology, 35: 81-123.

Anker-Nilssen, T., Barrett, R., Christensen-Dalsgaard, S., Dehnhard, N., Descamps, S., Systad, G. H. R., Moe, B., et al. 2021. Key-site monitoring in Norway 2020, including Svalbard and Jan Mayen. SEAPOP Short Report 1-2021.

Anker-Nilssen, T., and Aarvak, T. 2006. Tidsseriestudier av sjøfugler i Røst kommune, Nordland: resultater med fokus på 2004 og 2005. - NINA Rapport 133. 85 pp.

Barrett, R. T., and Golovkin, A. N. 2000. Common guillemot Uria aalge. In The Status of Marine Birds Breeding in the Barents Sea Region, pp. 114-118. Ed. by T. Anker-Nilssen, V. Bakken, H. Strøm, A. N. Golovkin, V. V. Bianki, and I. P. Tatarinkova. Norsk Polarinstitutt Rapportserie, 113.

Beukhof, E., Frelat, R., Pecuchet, L., Maureaud, A., Dencker, T. S., Sólmundsson, J., Punzón, A., et al. 2019. Marine fish traits follow fast-slow continuum across oceans. Scientific Reports, 9: 17878.

Brun, E. 1979. Present status and trends in populations of seabirds in Norway. In Conservation of Marine Birds of Northern North America. Fisheries and Wildlife Service Research Report, 11., pp. 289-301. Ed. by J. C. Bartonek, and D. N. Nettleship.

Chierici, M., I. Skjelvan, I., Norli, M., Lødemel, H. H., Lunde, L. F., Børsheim, K. Y., Sørensen, K., et al. 2016. Overvåking av havforsuring i norske farvann i 2015, Rapport, Miljødirektoratet, M-354|2016.

Chierici, M., Skjelvan, I., Norli, M., Jones, E., Børsheim, K. Y., Lauvset, S. K., Lødemel, H. H., et al. 2017. Overvåking av havforsuring i norske farvann i 2016, Rapport, Miljødirektoratet, M-776|2017.

Christensen-Dalsgaard, S., Fangel, K., Dervo, B. K., and Anker-Nilssen, T. 2008. Bycatch of seabirds in Norwegian fisheries - existing knowledge and proposal for a mapping project. NINA Rapport 382. 62 pp.

Descamps, S., and Strøm, H. 2021. As the Arctic becomes boreal: ongoing shifts in a high-Arctic seabird community. Ecology, 102: e03485.

Durant, J. M., Anker-Nilssen, T., and Stenseth, N. C. 2003. Trophic interactions under climate fluctuations: the Atlantic puffin as an example. Proc Biol Sci, 270: 1461-1466.

Eriksen, E., Bagøien, E., Strand, E., Primicerio, R., Prokhorova, T., Trofimov, A., and Prokopchuk, I. 2020. The Record-Warm Barents Sea and 0-Group Fish Response to Abnormal Conditions. Frontiers in Marine Science, 7.

Eriksen, E., Bogstad, B., and Nakken, O. 2011. Ecological significance of 0-group fish in the Barents Sea ecosystem. Polar Biology, 34: 647-657.

Eriksen, E., and Dalpadado, P. 2011. Long-term changes in Krill biomass and distribution in the Barents Sea: are the changes mainly related to capelin stock size and temperature conditions? Polar Biology, 34: 1399-1409.

Erikstad, K. E., Reiertsen, T. K., Barrett, R. T., Vikebø, F., and Sandvik, H. 2013. Seabird–fish interactions: the fall and rise of a common guillemot Uria aalge population. MEPS 475: 267-276.

Fauchald, P., Anker-Nilssen, T., Barrett, R. T., Bustnes, J. O., Bårdsen, B. J., Christensen-Dalsgaard, S., Descamps, S., et al. 2015. The status and trends of seabirds breeding in Norway and Svalbard. Norwegian Institute for Nature research, NINA Report 1151. 84 pp.

Fauchald, P., Ziryanov, S. V., Strøm, H., and Barrett, R. T. 2011. Seabirds of the Barents Sea. In The Barents Sea. Ecosystem, Resources, Management., pp. 373-394. Ed. by T. Jakobsen, and V. K. Ozhigin. Tapir Academic Press, Trondheim, Norway.

Fossheim, M., Primicerio, R., Johannesen, E., Ingvaldsen, R. B., Aschan, M. M., and Dolgov, A. V. 2015. Recent warming leads to a rapid borealization of fish communities in the Arctic. Nature Clim. Change, 5: 673-677.

Frainer, A., Primicerio, R., Dolgov, A., Fossheim, M., Johannesen, E., Lind, S., and Aschan, M. 2021. Increased functional diversity warns of ecological transition in the Arctic. Proceedings of the Royal Society B-Biological Sciences, 288.

Frainer, A., Primicerio, R., Kortsch, S., Aune, M., Dolgov, A. V., Fossheim, M., and Aschan, M. M. 2017. Climate-driven changes in functional biogeography of Arctic marine fish communities. Proceedings of the National Academy of Sciences, 114: 12202-12207.

Fransner, F., Fröb, F., Tjiputra, J., Goris, N., Lauvset, S. K., Skjelvan, I., Jeansson, E., et al. 2022. Acidification of the Nordic Seas. Biogeosciences, 19: 979-1012.

Greenstreet, S. P. R., Rossberg, A. G., Fox, C. J., Le Quesne, W. J. F., Blasdale, T., Boulcott, P., Mitchell, I., et al. 2012. Demersal fish biodiversity: species-level indicators and trends-based targets for the Marine Strategy Framework Directive. Ices Journal of Marine Science, 69: 1789-1801.

Gullestad, P., Aglen, A., Bjordal, Å., Blom, G., Johansen, S., Krog, J., Misund, O. A., et al. 2013. Changing attitudes 1970–2012: evolution of the Norwegian management framework to prevent overfishing and to secure long-term sustainability. Ices Journal of Marine Science, 71: 173-182.

Gullestad, P., Blom, G., Bakke, G., and Bogstad, B. 2015. The “Discard Ban Package”: Experiences in efforts to improve the exploitation patterns in Norwegian fisheries. Marine Policy, 54: 1-9.

Hamre, J. 1990. Life history and exploitation of the Norwegian spring spawning herring. In Biology and Fisheries of the Norwegian Spring Spawning Herring and Blue Whiting in the Northeast Atlantic. Proceedings of the fourth Soviet-Norwegian Symposium – Bergen, 12–16 June 1989., pp. 5-39. Ed. by T. Monstad.

Hjermann, D. O., Ottersen, G., and Stenseth, N. C. 2004. Competition among fishermen and fish causes the collapse of Barents Sea capelin. Proceedings of the National Academy of Sciences of the United States of America, 101: 11679-11684.

ICES. 2016. Report of the Working Group on the Ecosystem Effects of Fishing Activities (WGECO), 6–13 April 2016, Copenhagen, Denmark. ICES CM 2016/ACOM:25. 110 pp.

ICES. 2020. Arctic Fisheries Working Group (AFWG). ICES Scientific Reports. 2:52. 577 pp. http://doi.org/10.17895/ices.pub.6050.

ICES. 2021. Working Group on the Integrated Assessments of the Barents Sea (WGIBAR). ICES Scientific Reports. 3:77. 236 pp. https://doi.org/10.17895/ices.pub.8241.

Johannesen, E., Wienerroither, R. M., Langøy Mørk, H., Husson, B., Holmin, A. J., Johnsen, E., Dolgov, A., et al. 2021. Fish diversity data from the Barents Sea Ecosystem Survey 2004-2019. Rapport fra havforskningen 2021-15. 45 pp.

Jones, E., Chierici, M., Skjelvan, I., Norli, M., Børsheim, K. Y., Lauvset, S. K., Lødemel, H. H., et al. 2018. Monitoring Ocean Acidification in Norwegian waters/Overvåking av havforsuring i norske farvann i 2017 Report, Norwegian Environment Agency/Miljødirektoratet, M-1072|2018.

Jones, E., Chierici, M., Skjelvan, I., Norli, M., Børsheim, K. Y., Lødemel, H. H., Kutti, T., et al. 2019. Monitoring ocean acidification in Norwegian seas in 2018, Rapport, Miljødirektoratet, M-1417|2019.

Jones, E., Chierici, M., Skjelvan, I., Norli, M., Frigstad, H., Børsheim, K. Y., Lødemel, H. H., et al. 2020. Monitoring ocean acidification in Norwegian seas in 2019, Rapport, Miljødirektoratet, M-1735|2020.

Kjesbu, O. S., Bogstad, B., Devine, J. A., Gjøsæter, H., Howell, D., Ingvaldsen, R. B., Nash, R. D. M., et al. 2014. Synergies between climate and management for Atlantic cod fisheries at high latitudes. Proceedings of the National Academy of Sciences of the United States of America, 111: 3478-3483.

Krasnov, J. V., and Barrett, R. T. 1995. Large-scale interactions among seabirds, their prey and humans in the southern Barents Sea. In Ecology of Fjords and Coastal Waters, pp. 443-456. Ed. by H. R. Skjoldal, C. Hopkins, E. K.E., and H. P. Leinaas. Elsevier Science.

Mecklenburg, C. W., Lynghammar, A., Johannesen, E., Byrkjedal, I., Christiansen, J. S., Dolgov, A., Karamushko, O. V., et al. 2018. Marine fishes of the Arctic region, Conservation of Arctic Flora and Fauna, Akureyri, Iceland.

Melle, W., Ellertsen, B., and Skjoldal, H. R. 2004. Zooplankton: The link to higher trophic levels. In The Norwegian Sea Ecosystem, pp. 137-202. Ed. by H. R. Skjoldal. Tapir Academic Press, Trondheim.

Pecuchet, L., Lindegren, M., Hidalgo, M., Delgado, M., Esteban, A., Fock, H. O., Gil de Sola, L., et al. 2017. From traits to life-history strategies: Deconstructing fish community composition across European seas. Global Ecology and Biogeography, 26: 812-822.

Rindorf, A., Gislason, H., Burns, F., Ellis, J. R., and Reid, D. 2020. Are fish sensitive to trawling recovering in the Northeast Atlantic? Journal of Applied Ecology, 57: 1936-1947.

Skjelvan, I., Jones, E., Chierici, M., Frigstad, H., Børsheim, K. Y., Lødemel, H. H., Kutti, T., et al. 2021. Monitoring ocean acidification in Norwegian seas in 2020, Rapport, Miljødirektoratet, M-2056|2021.

Skjoldal, H. R., Wiebe, P. H., Postel, L., Knutsen, T., Kaartvedt, S., and Sameoto, D. D. 2013. Intercomparison of zooplankton (net) sampling systems: Results from the ICES/GLOBEC sea-going workshop. Progress in Oceanography, 108: 1-42.

Strann, K. B., Vader, W., and Barrett, R. T. 1991. Auk mortality in fishing nets in Norway. Seabird, 13: 22-29.

Vader, W., Barrett, R. T., and Erikstad, K. E. 1990. Differential response of common and thick-billed murres to a crash in the capelin stock in the southern Barents Sea. Studies in Avian Biology, 14: 175-180.

Wiedmann, M. A., Aschan, M., Certain, G., Dolgov, A., Greenacre, M., Johannesen, E., Planque, B., et al. 2014. Functional diversity of the Barents Sea fish community. Marine Ecology Progress Series, 495: 205-+.

Winemiller, K. O., and Rose, K. A. 1992. Patterns of Life-History Diversification in North American Fishes: implications for Population Regulation. Canadian Journal of Fisheries and Aquatic Sciences, 49: 2196-2218.

 

Appendix 8.3 - Footnotes for assessments of data coverage in tables 7.1a and 7.1b

This appendix  contains footnotes for assessments of data coverage in tables 7.1a (Arctic part) and 7.1.b (sub-Arctic part) 

 

Footnotes for table 7.1.a - Arctic part

Primary production

1. Fulfilled, satellite data coverage of entire population

2. Fulfilled, entire area covered by systematic sampling.

3. Fulfilled, known probability that a given unit (pixel) is collected.

4. Not fulfilled, sampling design is not model based

5. Partially adequate coverage, long time series, but does not overlap with the reference condition.

6. Adequate coverage, seasonal variation is very relevant and taken into account.

7. Indicator coverage for the characteristic Primary productivity is assessed as partially adequate (see table 6.1.a)

Biomass across trophic levels indicators

8. Fulfilled, grid-based mesozooplankton sampling where the entire sampling population has a possibility of being included.

9. Fulfilled, sampling of stations in the grid cover the whole area

10. Not fulfilled, sampling can depend on sea ice (especially in some polygons)

11. Not fulfilled, sampling design is not model based

12. Partially adequate coverage, long time series, but does not overlap with the reference condition.

13. Inadequate, Seasonal variability is relevant but not taken into account in the sampling as the sampling is done after the main grazing period thus lacking information about condition before and during grazing.

-----------------------------------------------------

14. Fulfilled, grid-based sampling with pelagic trawl where the entire sampling population has a possibility of being included.

15. Fulfilled, sampling of stations in the grid cover the whole area

16. Not fulfilled, sampling can depend on sea ice (especially in some polygons)

17. Not fulfilled, sampling design is not model based

18. Partially adequate coverage, long time series, but does not overlap with the period as the sampling is done after the main grazing period thus lacking information about condition before and during grazing.

19. Inadequate, Seasonal variability is relevant but not taken into account in the sampling.

20. Zooplankton with TL < 2.5 [AI03] data coverage: category intermediate, SRtotal is category 1 and TRtotal is category 1 for both datasets

----------------------------------------------------

21. Fulfilled, grid-based sampling of megabenthos where the entire sampling population has a possibility of being included.

22. Fulfilled, sampling of stations in the grid cover the whole area

23. Not fulfilled. Although the design is to sample all stations, sampling can depend on factors such as sea ice.

24. Not fulfilled, sampling design is not model based

25. Inadequate, short time series relative to the dynamics of megabenthos

26. Variability in season is irrelevant for this group

-------------------------------------------------

27. Fulfilled, grid-based sampling of 0-group fish where the entire sampling population has a possibility of being included.

28. Fulfilled, sampling of stations in the grid cover the whole area

29. Not fulfilled. Although the design is to sample all stations, sampling can depend on factors such as sea ice.

30. Not fulfilled, sampling design is not model based

31. Partly adequate. The time coverage (2004 – 2020) is long enough to cover relevant dynamics for 0-group, but does not cover the reference state

32. Seasonality is relevant and taken into account: fish larvae are sampled at the right time so that they are big enough to be caught by the trawl, species like cod are not yet settling on the bottom, and a large area of their habitat is covered. If sampled earlier, larvae would not be caught by the trawl. Later, some species would have started to settle on the seafloor and sea ice would prevent a sufficient sampling of their distribution.

-----------------------------------------------------------

33. Not Fulfilled, the sampling is not designed to cover the entire polar cod population in the Barents Sea.

34. Fulfilled, the estimate based on acoustic recordings along a regular transect grid and trawl sampling, where all stations are expected to be included.

35. Not fulfilled. Although the design is to sample all stations, sampling can depend on factors such as sea ice and survey time constraints where focus is on other species than polar cod.

36. Not fulfilled, sampling design is not model based

37. Partially adequate, a long time series relative to relevant dynamics, but not covering reference condition.

38. Adequate, seasonality is not relevant, since sampling is done at a relevant time of the year to cover a large part of the population, and at the same time every year.

----------------------------------------------------------

39. Fulfilled, the capelin stock assessment is based on acoustic recordings along a regular transect grid and trawl sampling where the entire sampling population has a possibility of being included.

40. Fulfilled, the estimate is based on acoustic recordings along a regular transect grid and trawl sampling, where all stations are expected to be included.

41. Fulfilled, all planned transects relevant for capelin are normally carried out.

42. Not fulfilled, sampling design is not model based

43. Partially adequate, a long time series relative to relevant dynamics, but not covering reference condition.

44. Adequate, seasonality is not relevant, since sampling is done at a relevant time of the year to cover a large part of the population, and at the same time every year.

45. Pelagic planktivorous fish data coverage: category good, due to shortcomings in the spatial coverage in the polar cod data. It should however be noted that the capelin data is assessed as very good data coverage.

--------------------------------------------------------

46. Fulfilled, grid-based demersal fish sampling where the entire sampling population has a possibility of being included.

47. Fulfilled, sampling of stations in the grid cover the whole area

48. Not fulfilled. Although the design is to sample all stations, sampling can depend on factors such as sea ice.

49. Not fulfilled, sampling design is not model based

50. Partially adequate, a long time series relative to relevant dynamics, but not covering a period representative of the reference condition “intact nature”.

51. Adequate, seasonality is not relevant, or taken into account by sampling at the same time each year.

-----------------------------------------------------------

52. Fulfilled, transect-based sampling where the entire sampling population has a possibility of being included.

53. Fulfilled, observations along predefined transects

54. Fulfilled, all daytime transects included

55. Not fulfilled, sampling design is not model based

56. Inadequate, short time series relative to relevant dynamics and not covering time-period representative of the reference condition “intact nature”.

57. Adequate, seasonality is relevant and taken into account in the sampling. Observations are done at a relevant time of the year and same time every year.

-----------------------------------------------------------

58. Not fulfilled, counts performed only at a selection of colonies, expected to be the most influential (highest abundance of breeding abundance).

59. Not fulfilled, see 58.

60. Not fulfilled, see 58.

61. Not fulfilled, sampling design not model-based

62. Partially adequate, long time series relative to relevant dynamics, but not overlapping with a time period representative of the reference condition “intact nature”.

63. Adequate, seasonality is relevant and   taken into account   in the sampling. Observations are done during the breeding season to estimate the size of the breeding population.

64. High trophic level seabird data coverage: category intermediate. Data coverage is intermediate for breeding colony data and good for at-sea counts. We cannot fully integrate these time-series, and we assess the overall data coverage as intermediate.

------------------------------------------------------------

65. Fulfilled. For walruses, the observations are made by aerial observations of the entire population.

66. Fulfilled, the whole area where the walruses are is covered

67. Fulfilled, the probability to sample each sampling unit is known as the survey always covers the whole area

68. Not fulfilled the design is not model based

------------------------------------------------------------

69. Not fulfilled, the pre-harvest estimates of walrus population on Svalbard were extrapolated from that of Franz Joseph land, so the entire sampling population was not included

70. Not fulfilled, the pre-harvest estimates of walrus population on Svalbard were extrapolated from that of Franz Joseph land, so the sampling design was not based on randomization or a grid

71. Not fulfilled, the pre-harvest estimates of walrus population on Svalbard were extrapolated from that of Franz Joseph land, so there were no sampling units

72. Not fulfilled the design is not model based

73. The time series composed of the pre-harvest biomass estimate and the current estimates is adequate as it is long enough relative to walruses’ dynamics and covers the reference period. Although it has many missing years, in the context of this assessment, where we estimate current deviation from reference condition, this is enough.

74. Adequate, the seasonality is important, and the time of the sampling (August to September) for the recent estimates is the moment when walruses are easily observable on the ice, and the observations are corrected by a behavioral model. Pre-harvesting seasonality is not estimated, but rather give a year-round estimate.

---------------------------------------------------------------

75. Fulfilled, bowhead whales recent estimates are based on aerial counting around Svalbard and along the sea ice edge, so the entire sampling population of bowhead whales in the Arctic ecosystem as defined in this assessment has the possibility of being included

76. Fulfilled, the entire potential area of bowhead whale habitat in the Arctic Barents Sea is covered by the ship and aerial survey

77. Not fulfilled, the whales don’t have a known probability of been sampled

78. Not fulfilled the design is not model based

---------------------------------------------------------------

79. Not fulfilled, the bowhead whales pre-whaling estimates are based on model back calculations, there is no sampling-based design. We consider, for this assessment, that this type of data falls under the “model-based sampling” and will assess it as such. For the next assessment we will try to take other types of data sources into consideration.

80. See above

81. See above

82. Fulfilled, the model is relevant for the indicator and the phenomenon

83. Fulfilled, the time series combining pre-whaling and recent estimates of bowhead whales is long enough to cover the relevant dynamics of bowhead whales and covers the reference state

84. Fulfilled, the recent observations are done at an optimal time in the year, when there are highest chances of observing most of the population of bowhead whales.

85. Low trophic level marine mammal data coverage: Category good, as there are some shortcomings in the pre-harvesting estimates of low trophic level marine mammals

---------------------------------------------------------------

86. Fulfilled. Hooded seal population is modelled from estimates of pup production based on aerial counts. Pups remain on the ice, so it is possible to observe entirely the population

87. Fulfilled, the whole area where the pups are is covered

88. Fulfilled, the probability to sample each sampling unit is known as the survey always covers the whole area

89. Not fulfilled, the sampling design is not model based

90. Partially adequate: the modelled time series is long relative to hooded seals dynamics but does not cover an “unperturbed” period and is based on scarce surveys.

91. Adequate. The seasonality is considered, and the sampling is made at a period when it is best to observe the whole pup population.

---------------------------------------------------------------

92. Fulfilled. West ice harp seal population is modelled from estimates of pup production based on counts and tag-recapture operations. Pups remain on the ice, so it is possible to observe entirely the population

93. Fulfilled, the whole area where the pups are is covered

94. Fulfilled, the probability to sample each sampling unit is known as the survey always covers the whole area

95. Not fulfilled, the sampling design is not model based

96. Partially adequate: the modelled time series is long relative to harp seals dynamics, but it does not cover an “unperturbed” period and is based on scarce surveys.

97. Adequate. The seasonality is considered, and the sampling is done at a period when it is best to observe the whole pup population.

---------------------------------------------------------------

98. Not fulfilled, the aerial survey does not account for specimens of ringed seals entering or leaving the area and which might amount to a large number of individuals

99. Fulfilled, the area was covered using aerial transects, which is appropriate for this population

100. Fulfilled, each sampling unit (transect) has a known probability of being sampled.

101. Not fulfilled the design is not model based

102. Not fulfilled, there is only one year of estimate. This is too short and there is no estimate pre-harvesting for ringed seals

103. Fulfilled, the season of observation is optimal to observe most of the ringed seals population

---------------------------------------------------------------

104. Not fulfilled; the survey covers only the western part of Svalbard, other habitats of harbour seals are not sampled, so the entire sampling population (in the Arctic) is not sampled.

105. Fulfilled, the area is covered by aerial transect, which is a proper way to observe this population

106. Fulfilled, every sampling unit (transect) has a known probability of being sampled.

107. Not fulfilled the design is not model based

108. Not fulfilled. There are only two years, 2009 and 2010 of estimates for harbour seals on Svalbard. This is too short for harbour seals dynamic and does not cover the reference conditions

109. Fulfilled, the season of observation is optimal to observe most of the harbour seals population

110. Generalist marine mammal data coverage: Category intermediate, as time series are missing for important stocks.

---------------------------------------------------------------

111. Fulfilled, the survey from Vacquié-Garcia et al 2020 covered a large part of the white whale habitat in the PAEC Arctic ecosystem, so the entire sampling population had the possibility to be sampled

112. The sampling was not grid based or randomized, but through aerial transect and following coastline, corrected by behavior models, which is a proper way to estimate such populations

113. Fulfilled, every sampling unit (transect) has a known probability of being sampled.

114. Not fulfilled the design is not model based

---------------------------------------------------------------

115. Not fulfilled. Catch statistics of white whales come from all whaling activities around Svalbard, so the entire habitat of the white whales, which are ice associated, are not sampled, as the boat could not enter there.

116. Fulfilled, the whling can be assimilated to a randomized sampling pattern

117. Not fulfilled, sampling units (catch event?) did not have a known probability to occur

118. Not fulfilled the design is not model based

119. Partiallly fulfilled, the time series is long relative to white whale dynamics, and reaches, but does not cover, the reference conditions, pre-whaling.

120. Fulfilled. The seasonality is relevant. Recent estimates were done at the optimal time to observe white whales, and whaling covered different seasons. However, this is not considered in the indicator

---------------------------------------------------------------

121. Fulfilled, narwhal recent estimates are based on aerial countings around Svalbard and along the sea ice edge, so the entire sampling population in the Arctic ecosystem as defined in this assessment has the possibility of being included

122. Fulfilled, the entire potential area of narwhal habitat in the Arctic Barents Sea is covered by the ship and aerial survey

123. Not fulfilled, the whales don’t have a known probability of been sampled

124. Not fulfilled the design is not model based

125. Not fulfilled, there is only one year of estimate. This is too short and there is no estimate pre-whaling for narwhals

126. Fulfilled, the season of observation is optimal to observe most of the narwhal population

---------------------------------------------------------------

127. Fulfilled, the polar bear entire sampling population (Arctic ecosystem as defined by PAEC) has the possibility of being sampled

128. Fulfilled, the whole area where polar bears can be found is sampled

129. Fulfilled. Each sampling unit (transect) has a known probability (certain) to be sampled

130. Not fulfilled the design is not model based

---------------------------------------------------------------

131. Fulfilled. Catch statistics of polar bears come from all hunting activities around Svalbard, so the entire habitat of polar bears in the Arctic ecosystem (as defined in this assessment).

132. Fulfilled, the hunting can be assimilated to a randomized sampling pattern

133. Not fulfilled, sampling units (hunt event?) did not have a known probability to occur

134. Not fulfilled the design is not model based

135. Partiallly fulfilled, the time series is long relative to polar bears’ dynamics, and reaches, but does not cover, the reference conditions, pre-harvesting.

136. Fulfilled. The seasonality is relevant. Recent estimates were done at the optimal time to observe polar bears, and hunting covered different seasons. However, this is not considered in the indicator

137. High trophic level marine mammal data coverage: Category good, as time series are not missing reference conditions and include proxies (catch and harvest statistics).

138. Indicator coverage for the characteristic Biomass distribution among trophic levels is assessed as partially adequate (see table 6.1.a). Short time series is the main drawback of datasets used in this characteristic.

Functional groups within trophic levels

139. Arctic marine mammals and bioturbation coverage is intermediate as the biomass of the species is only a proxy of the indicator we really want to measure, which is the amount of bioturbation of the seafloor by marine mammals

140. Indicator coverage for the characteristic Functional groups withing trophic levels is assessed as partially adequate (see table 6.1a). Short time series and variable coverage due to sea ice are the main limits to the datasets used in this characteristic

Functionally important species and biophysical structures

141. Fulfilled, cod assessment is based on several different gridded surveys where the entire sampling population has a possibility of being included.

142. Fulfilled, surveys typically use grid-based or transect-based sampling aiming to cover the total survey area.

143. Not fulfilled, surveys typically use grid-based or transect-based sampling aiming to cover the total survey area. In reality, included grid cells or transects depend on weather and ice conditions. Especially in the northern Barents Sea, sea ice limit the sampling in winter in some years.

144. Not fulfilled, not model-based design.

145. Adequate, >70 year long time-series is covering relevant dynamics. The start of the time series (1946) can be regarded as a reference state for the NEA cod stock, since this was after 5 years of less intensive fishing during WW2.

146. Adequate, seasonal variability is relevant and is covered by the several surveys included in the assessment. Survey series start in 1981, 1985 and 2004, respectively.

------------------------------------------------------------

147. Fulfilled, cod assessment is based on several different gridded surveys where the entire sampling population has a possibility of being included.

148. Fulfilled, surveys typically use grid-based or transect-based sampling aiming to cover the total survey area.

149. Not fulfilled, surveys typically use grid-based or transect-based sampling aiming to cover the total survey area. In reality, included grid cells or transects depend on weather and ice conditions. Especially in the northern Barents Sea, sea ice limit the sampling in winter in some years.

150. Not fulfilled, not model-based design.

151. Adequate, >70 year long time-series is covering relevant dynamics. The start of the time series (1946) can be regarded as a reference state for the NEA cod stock, since this was after 5 years of less intensive fishing during WW2.

152. Adequate, seasonal variability is relevant and is covered by the several surveys included in the assessment. Survey series start in 1981, 1985 and 2004, respectively.

153. Indicator coverage for the characteristic Functionally important species and biophysical structures is assessed as partially adequate (see table 6.1a). Variable sampling coverage because of sea ice is the main issue with the used datasets.

Landscape ecological patterns

154. Fulfilled, grid-based sampling covering the entire population

155. Fulfilled, sampling of stations in the grid cover the whole area

156. Not fulfilled, sampling can depend on sea ice (especially in some polygons)

157. Not fulfilled, sampling design is not model based

158. Fulfilled, sampling overlaps with the reference period

159. Not fulfilled, seasonal variability is relevant but not taken into account in the sampling as the sampling is done in late summer/fall only

----------------------------------------------------

160. Fulfilled, satellite data coverage of entire population

161. Fulfilled, entire area covered by systematic sampling

162. Fulfilled, known probability that a given unit (pixel) is collected

163. Not fulfilled, sampling design is not model based

164. Adequate, long time series that overlaps with the reference period

165. Adequate coverage, seasonal variation is very relevant and taken into account as the monitoring covers the entire year

166. Indicator coverage for the characteristic Landscape ecological patterns is assessed as partially adequate (see table 6.1a).

Biological diversity

167. Fulfilled, grid-based sampling where the entire sampling population of Themisto libellula has a possibility of being included.

168. Fulfilled, sampling of stations in the grid cover the whole area

169. Not fulfilled, sampling can depend on sea ice (especially in some polygons)

170. Not fulfilled, sampling design is not model based

171. Inadequate, time series is short relative to relevant dynamics of the species.

172. Inadequate, Seasonal variability is relevant but not taken into account in the sampling as the sampling is done after the main grazing period thus lacking information about condition before and during grazing.

173. Seabirds sensitive to pollution data coverage: category intermediate. Data coverage is intermediate for breeding colony data and good for at-sea counts. We cannot fully integrate these time-series, and we assess the overall data coverage as intermediate.

174. Arctic seabirds data coverage: category intermediate. Data coverage is intermediate for breeding colony data and good for at-sea counts. We cannot fully integrate these time-series, and we assess the overall data coverage as intermediate.

175. Marine mammals sensitive to pollution: although the data coverage for species sensitive to pollution is good or partially adequate, as the biomass of the species is only partially linked to the impact of pollution, we assess this data coverage to only partially adequate.

176. Arctic marine mammals: Arctic species datasets are estimated to have intermediate coverage. Some data is missing from important stock and reference conditions are most of the time unknown.

177. Indicator coverage for the characteristic Biological diversity is assessed as partially adequate (see table 6.1a).

Abiotic factors

178. Not fulfilled, the sampling is not design based

179. Not fulfilled, the sampling is not design based

180. Not fulfilled, the sampling is not design based

181. Fulfilled, model-based sampling designed to measure the core of Arctic water

182. Inadequate, short time series relative to relevant dynamics as they start only in 2012, thus decades after CO2 concentration in the atmosphere had started to increase significantly due to anthropogenic emissions.

183. Inadequate, seasonal variation is highly relevant as dissolved CO2 varies considerably due to varying rates of photosynthesis and respiration. The preferred time of sampling is during the winter, while these data are taken in late summer/fall.

184. Indicator coverage for the characteristic Abiotic factors is assessed as adequate (see Table 6.1a).

Footnotes for table 7.1.b - Sub-arctic part

Footnotes for table 7.1.b

Primary production

185. Fulfilled, satellite data coverage of entire population

186. Fulfilled, entire area covered by systematic sampling.

187. Fulfilled, known probability that a given unit (pixel) is collected.

188. Not fulfilled, sampling design is not model based

189. Partially adequate coverage, long time series, but does not overlap with the reference condition.

190. Adequate coverage, seasonal variation is very relevant and taken into account.

191. Indicator coverage for the characteristic Primary productivity is assessed as partially adequate (see table 6.1b)

Biomass across trophic levels indicators

192. Fulfilled, grid-based mesozooplankton sampling where the entire sampling population has a possibility of being included.

193. Fulfilled, sampling of stations in the grid cover the whole area

194. Fulfilled, sampling is always done on the same station

195. Not fulfilled, sampling design is not model based

196. Partially adequate coverage, long time series, but does not overlap with the period.

197. Inadequate, Seasonal variability is relevant but not taken into account in the sampling as the sampling is done after the main grazing period thus lacking information about condition before and during grazing.

-----------------------------------------------------

198. Fulfilled, grid-based sampling with pelagic trawl where the entire sampling population has a possibility of being included.

199. Fulfilled, sampling of stations in the grid cover the whole area

200. Fulfilled, sampling is always done on the same station

201. Not fulfilled, sampling design is not model based

202. Partially adequate coverage, long time series, but does not overlap with the period as the sampling is done after the main grazing period thus lacking information about condition before and during grazing.

203. Inadequate, Seasonal variability is relevant but not taken into account in the sampling.

204. Zooplankton with TL < 2.5 [AI03] data coverage: category good, SRtotal is category 3 and TRtotal is category 1 for both datasets

----------------------------------------------------

205. Fulfilled, grid-based sampling of megabenthos where the entire sampling population has a possibility of being included.

206. Fulfilled, sampling of stations in the grid cover the whole area

207. Fulfilled, sampling is always done on the same station.

208. Not fulfilled, sampling design is not model based

209. Inadequate, short time series relative to the dynamics of megabenthos

210. Variability in season is irrelevant for this group

--------------------------------------------------

211. Fulfilled, grid-based sampling of 0-group where the entire sampling population has a possibility of being included.

212. Fulfilled, sampling of stations in the grid cover the whole area

213. Fulfilled, sampling is always done on the same station.

214. Not fulfilled, sampling design is not model based

215. Partly adequate. The time coverage (2004 – 2020) is long enough to cover relevant dynamics for 0-group, but does not cover the reference state

216. Seasonality is relevant and taken into account: fish larvae are sampled at the right time so that they are big enough to be caught by the trawl, species like cod are not yet settling on the bottom, and a large area of their habitat is covered. If sampled earlier, larvae would not be caught by the trawl. Later, some species would have started to settle on the seafloor and sea ice would prevent a sufficient sampling of their distribution.

----------------------------------------------------------

217. Fulfilled, the estimate of the herring population in the Barents Sea is based on acoustic recordings along a regular transect grid and trawl sampling where the entire sampling population has a possibility of being included. Note that parts of the young NSS herring (and the entire adult population) is distributed outside the Barents Sea.

218. Fulfilled, the estimate is based on acoustic recordings along a regular transect grid and trawl sampling, where all stations are expected to be included.

219. Fulfilled, all sampling stations always included. Herring is not distributed in the northern area where sea ice limits the sampling.

220. Not fulfilled, sampling design is not model based

221. Partially adequate, a long time series relative to relevant dynamics, but not covering a time-period representative of the reference condition “intact nature”.

222. Adequate, seasonality is not relevant, since sampling is done at a relevant time of the year to cover the population, and at the same time every year.

----------------------------------------------------------

223. Fulfilled, the estimate of the blue whiting population in the Barents Sea is based on acoustic recordings along a regular transect grid and trawl sampling. Note that it is just a small fraction of the total population of the blue whiting that resides in the Barents Sea.

224. Fulfilled, the estimate is based on acoustic recordings along a regular transect grid and trawl sampling, where all stations are expected to be included.

225. Fulfilled, all sampling stations always included. Blue whiting is not distributed in the northern area where sea ice limits the sampling.

226. Not fulfilled, sampling design is not model based

227. Partially adequate, a long time series relative to relevant dynamics, but not covering a time-period representative of the reference condition "intact nature".

228. Adequate, seasonality is not relevant, since sampling is done at a relevant time of the year to cover the population, and at the same time every year.

----------------------------------------------------------

229. Fulfilled, the capelin stock assessment is based on acoustic recordings along a regular transect grid and trawl sampling where the entire sampling population has a possibility of being included.

230. Fulfilled, the estimate is based on acoustic recordings along a regular transect grid and trawl sampling, where all stations are expected to be included.

231. Fulfilled, all planned transects relevant for capelin are normally carried out.

232. Not fulfilled, sampling design is not model based

233. Partially adequate, a long time series relative to relevant dynamics, but not covering reference condition.

234. Adequate, seasonality is not relevant, since sampling is done at a relevant time of the year to cover a large part of the population, and at the same time every year.

235. Pelagic planktivorous fish data coverage: Category very good. SRtotal is category 3 and TRtotal category 2 for all included datasets.

--------------------------------------------------------

236. Fulfilled, transect-based sampling where the entire sampling population has a possibility of being included.

237. Fulfilled, observations along predefined transects

238. Fulfilled, all daytime transects included

239. Not fulfilled, sampling design is not model based

240. Inadequate, short time series relative to relevant dynamics and not covering time period representative of the reference condition “intact nature”.

241. Adequate, seasonality is relevant and taken into account in the sampling. Observations are done at a relevant time of the year and same time every year.

----------------------------------------------------------

242. Not fulfilled, counts performed only at a selection of colonies, expected to be the most influential (highest abundance of breeding abundance).

243. Not fulfilled, see A.

244. Not fulfilled, see A.

245. Not fulfilled, sampling design not model-based

246. Partially adequate, long time series relative to relevant dynamics, but not overlapping with a time period representative of the reference condition “intact nature”.

247. Adequate, seasonality is relevant and   taken into account   in the sampling. Observations are done during the breeding season to estimate the size of the breeding population.

248. High trophic level seabird data coverage: category intermediate. Data coverage is intermediate for breeding colony data and good for at-sea counts. We cannot fully integrate these time-series, and we assess the overall data coverage as intermediate.

------------------------------------------------------------

249. Not fulfilled. The Sub-Arctic accounts for only a small portion of the distribution of these species, which are migratory species extending over vast ranges.

250. Fulfilled. The whole area of the Sub-Arctic region is covered by this dataset with the exception of polygon 23, which is not covered in BESS.

251. Fulfilled. The probability to sample each sampling unit is known as the survey always covers the whole area (except polygon 23).

252. Not fulfilled, the sampling design is not model based.

253. Partially adequate. The time series is too short (2004-2020) to cover the reference condition. It is also too short to cover generation times for these long-lived species, but long enough to capture distribution shifts.

254. Inadequate. Seasonal variability is relevant, but the sampling period is based on the BESS design and is not flexible, therefore cannot account for variation.

---------------------------------------------------------------

255. Indicator coverage for the characteristic Biomass distribution across trophic levels is assessed as partially adequate (see Table 6.1b). Short time series is the main shortcoming of this ecosystem characteristic

Functional groups withing trophic levels

256. Fulfilled, grid-based demersal fish sampling where the entire sampling population has a possibility of being included.

257. Fulfilled, sampling of stations in the grid cover the whole area

258. Fulfilled, sampling is always done on the same station.

259. Not fulfilled, sampling design is not model based

260. Partially adequate, a long time series relative to relevant dynamics, but not covering a period representative of the reference condition “intact nature”

261. Adequate, seasonality is not relevant

262. Indicator coverage for the characteristic Functional groups within trophic levels is assessed as partially adequate (see Table 6.1b). Short time series is the main shortcoming of this ecosystem characteristic

Functionally important species and biophysical structures

263. Not fulfilled. The sampling along the section aims at estimating the species inflow from Atlantic waters and does not cover the entire subarctic ecosystem.

264. Not fulfilled. Based on transects

265. Fulfilled. The entire transect is sampled.

266. Not fulfilled. The design is not model based.

267. Partially adequate. The time series is long but does not cover reference conditions.

268. Inadequate. Seasonality is important and not taken into account.

----------------------------------------------------------------

269. Fulfilled, cod assessment is based on several different gridded surveys where the entire sampling population has a possibility of being included.

270. Fulfilled, surveys typically use grid-based or transect-based sampling aiming to cover the total survey area.

271. Not fulfilled, surveys typically use grid-based or transect-based sampling aiming to cover the total survey area. In reality, included grid cells or transects depend on weather and ice conditions. Especially in the northern Barents Sea, sea ice limit the sampling in winter in some years

272. Not fulfilled, not model-based design.

273. Adequate, >70 year long time series is covering relevant dynamics. The start of the time series (1946) can be regarded as a reference state for the NEA cod stock, since this was after 5 years of less intensive fishing during WW2.

274. Adequate, seasonal variability is relevant and is covered by the several surveys included in the assessment. Survey series start in 1981, 1985 and 2004, respectively.

------------------------------------------------------------

275. Fulfilled, cod assessment is based on several different gridded surveys where the entire sampling population has a possibility of being included.

276. Fulfilled, surveys typically use grid-based or transect-based sampling aiming to cover the total survey area.

277. Not fulfilled, surveys typically use grid-based or transect-based sampling aiming to cover the total survey area. In reality, included grid cells or transects depend on weather and ice conditions. Especially in the northern Barents Sea, sea ice limit the sampling in winter in some years

278. Not fulfilled, not model-based design.

279. Adequate, >70 year long time series is covering relevant dynamics. The start of the time series (1946) can be regarded as a reference state for the NEA cod stock, since this was after 5 years of less intensive fishing during WW2.

280. Adequate, seasonal variability is relevant and is covered by the several surveys included in the assessment. Survey series start in 1981, 1985 and 2004, respectively.

-----------------------------------------------------------

281. Fulfilled, haddock stock assessment based on grid-based sampling where the entire sampling population has a possibility of being included.

282. Fulfilled, sampling of stations in the grid cover the whole area

283. Fulfilled, all sampling stations always included. Haddock is not distributed in the northern area where sea ice limits the sampling.

284. Not fulfilled, sampling design is not model based

285. Partially adequate, a long time series (70 years) relative to relevant dynamics, but not covering a time-period representative of the reference condition "intact nature".

286. Adequate, seasonality is relevant and taken into account in the sampling. Observations are done at a relevant time of the year, and same time every year. Survey series start in 1981 and 2004, respectively.

-----------------------------------------------------------

287. Not fulfilled, the summer survey is currently (since 2009) not covering the whole area where the adult population of beaked redfish resides. However, the other two surveys used in the stock assessment are covering the majority of the population.

288. Fulfilled, surveys use grid- or transect based design.

289. Not fulfilled, planned sampling stations and transects are sometimes skipped due to sea ice in the winter survey. Access to the Russian economic zone may be restricted in some years or coverage of this zone may be lacking because of technical issues with the Russian vessel.

290. Not fulfilled, sampling design is not model based

291. Partially adequate, a long time series relative to relevant dynamics, but not covering a time-period representative of the reference condition "intact nature" for beaked redfish. It should also be noted that the summer survey on the adult population only takes place every third year, but this is likely good enough since it is a long-lived species.

292. Adequate, seasonality is relevant and taken into account in the sampling. Observations are done at a relevant time of the year, and same time every year, or every third year for the pelagic survey on the adult population.

293. Indicator coverage for the characteristic Functionally important species and biophysical structures is assessed as partially adequate (see Table 6.1b). Lack of large-scale species composition of zooplankton is the main shortcoming of this characteristic

Landscape ecological patterns

294. Fulfilled, vertical CTD profiles sampling from top to bottom

295. Fulfilled, sampling of stations in the grid cover the whole area

296. Fulfilled, sampling all stations are sampled

297. Not fulfilled, sampling design is not model based

298. Fulfilled, sampling overlaps with the reference period

299. Not fulfilled, seasonal variability is relevant but not taken into account in the sampling as the sampling is done in late summer/fall only

----------------------------------------------------

300. The indicator coverage for the characteristic Landscape ecological patterns is assessed as partially adequate (see Table 6.1b).

Biological diversity

301. The indicator coverage for the characteristic Biological diversity is assessed as partially adequate (see Table 6.1b).

Abiotic factors

302. Not fulfilled, the sampling is not design based

303. Not fulfilled, the sampling is not design based

304. Not fulfilled, the sampling is not design based

305. Fulfilled, model-based sampling designed to measure the core of Sub-Arctic water

306. Inadequate, short time series relative to relevant dynamics as they start only in 2012, thus decades after CO2 concentration in the atmosphere had started to increase significantly due to anthropogenic emissions.

307. Inadequate, seasonal variation is highly relevant as dissolved CO2 varies considerably due to varying rates of photosynthesis and respiration. The preferred time of sampling is during the winter, while these data are taken in late summer/fall.

308. The indicator coverage for the characteristic Abiotic factors is assessed as adequate (see Table 6.1b).

Appendix 8.4 - Phenomena for indicators not included in the current assessment  

 

Functional groups within trophic levels 

Indicator: Low trophic level zooplankton body size

Arctic and Sub-Arctic Barents Sea   

Phenomenon: Decreasing mean body size  

 

Many Arctic zooplankton species are generally larger in body size than their congener species of boreal origin. This reflects an adaptation to a cold and seasonally resource-limited environment that requires the storage of larger energy reserves, resulting in a larger body size (Falk-Petersen et al., 2009). Thus, under the reference condition, the mesozooplankton community in the Arctic part of the Barents Sea is likely dominated by relatively large-bodied species. Such species can be important for sustaining populations of Arctic predators, such as polar cod, little auk and bowhead whales (Steen et al., 2007; Rogachev et al., 2008; Planque et al., 2014; Eriksen et al., 2020).  

 

The most important anthropogenic driver of change in the indicator is climate change, which can be expected to cause individual body size and the mean body size of populations to decrease due to direct and indirect effects. As a direct effect, warming increases metabolic rates and developmental rates which generally could lead to smaller body size (Ejsmond et al., 2018). Increased inflow of Atlantic water can also increase the amount of smaller, boreal species reaching higher latitudes (Hop et al., 2019). As an indirect effect, warming can affect phytoplankton phenology, which could lead to earlier and/or prolonged phytoplankton growing season (Leu et al., 2015; Dalpadado et al., 2020), thus potentially driving zooplankton population to faster growth rates (smaller body) and decreasing the need for larger energy reserves (small body). In addition, loss of sea ice due to warming changes light conditions in the water and thus affects predations pressure, causing larger zooplankton to become more visible and more exposed to visual predators, which may drive populations towards smaller individuals (Varpe et al., 2015; Langbehn and Varpe, 2017). Given the extensive knowledge basis on the effects of climate change on herbivorous zooplankton size, the understanding of the link between driver and change in the indicator is rated as certain.  

 

Large, energy-rich zooplankton are the main “currency” in the energy transfer from primary producers to higher level consumers. Especially for size-selective predators, a change towards smaller body size may be detrimental, as they will have to increase the effort to catch enough prey to meet their energy requirements. For example, little auks are size selective in their prey preference. They favor the large, Arctic Calanus species over the smaller Calanus finmarchicus, even if they are more abundant. They will fly longer distances to reach regions with high abundance of larger prey. With a decrease in large prey and/or northwards shift, little auks must invest more time and energy in foraging (fly further or spend more time catching smaller prey to achieve same energy input). This can affect breeding success and survival of chicks (Karnovsky et al., 2010; Kwasniewski et al., 2010; Karnovsky et al., 2011; Kwasniewski et al., 2012; Hovinen et al., 2014). Also within a single prey species, large size is preferred by predators. For example, capelin selects mainly the last stages (CV, CVI (adults)) of C. finmarchicus (Dalpadado and Mowbray, 2013). The understanding of the importance of changes in the indicator for other parts of the ecosystem is rated as good.  

 

Dalpadado, P., Arrigo, K. R., van Dijken, G. L., Skjoldal, H. R., Bagøien, E., Dolgov, A., Prokopchuk, I., et al. 2020. Climate effects on temporal and spatial dynamics of phytoplankton and zooplankton in the Barents Sea. Progress in Oceanography, 185: 102320.  

Dalpadado, P., and Mowbray, F. 2013. Comparative analysis of feeding ecology of capelin from two shelf ecosystems, off Newfoundland and in the Barents Sea. Progress in Oceanography, 114: 97-105.  

Ejsmond, M. J., McNamara, J. M., Søreide, J., and Varpe, Ø. 2018. Gradients of season length and mortality risk cause shifts in body size, reserves and reproductive strategies of determinate growers. Functional Ecology, 32: 2395-2406.  

Eriksen, E., Benzik, A. N., Dolgov, A. V., Skjoldal, H. R., Vihtakari, M., Johannesen, E., Prokhorova, T. A., et al. 2020. Diet and trophic structure of fishes in the Barents Sea: The Norwegian-Russian program “Year of stomachs” 2015 – Establishing a baseline. Progress in Oceanography, 183: 102262.  

Falk-Petersen, S., Mayzaud, P., Kattner, G., and Sargent, J. R. 2009. Lipids and life strategy of Arctic Calanus. Marine Biology Research, 5: 18-39.  

Hop, H., Wold, A., Vihtakari, M., Daase, M., Kwasniewski, S., Gluchowska, M., Lischka, S., et al. 2019. Zooplankton in Kongsfjorden (1996–2016) in relation to climate change. In The Ecosystem of Kongsfjorden, Svalbard, pp. 229-300. Ed. by H. Hop, and C. Wiencke. Springer International Publishing, Cham.  

Hovinen, J. E. H., Wojczulanis-Jakubas, K., Jakubas, D., Hop, H., Berge, J., Kidawa, D., Karnovsky, N. J., et al. 2014. Fledging success of little auks in the high Arctic: do provisioning rates and the quality of foraging grounds matter? Polar Biology, 37: 665-674.  

Karnovsky, N., Harding, A., Walkusz, W., Kwasniewski, S., Goszczko, I., Wiktor, J., Routti, H., et al. 2010. Foraging distributions of little auks Alle alle across the Greenland Sea: implications of present and future Arctic climate change. Marine Ecology-Progress Series, 415: 283-293.  

Karnovsky, N. J., Brown, Z. W., Welcker, J., Harding, A. M. A., Walkusz, W., Cavalcanti, A., Hardin, J., et al. 2011. Inter-colony comparison of diving behavior of an Arctic top predator: implications for warming in the Greenland Sea. Marine Ecology Progress Series, 440: 229-240.  

Kwasniewski, S., Gluchowska, M., Jakubas, D., Wojczulanis-Jakubas, K., Walkusz, W., Karnovsky, N., Blachowiak-Samolyk, K., et al. 2010. The impact of different hydrographic conditions and zooplankton communities on provisioning Little Auks along the West coast of Spitsbergen. Progress in Oceanography, 87: 72-82.  

Kwasniewski, S., Gluchowska, M., Walkusz, W., Karnovsky, N. J., Jakubas, D., Wojczulanis-Jakubas, K., Harding, A. M. A., et al. 2012. Interannual changes in zooplankton on the West Spitsbergen Shelf in relation to hydrography and their consequences for the diet of planktivorous seabirds. ICES Journal of Marine Science, 69: 890-901.  

Langbehn, T. J., and Varpe, Ø. 2017. Sea-ice loss boosts visual search: fish foraging and changing pelagic interactions in polar oceans. Global Change Biology, 23: 5318-5330.  

Leu, E., Mundy, C. J., Assmy, P., Campbell, K., Gabrielsen, T. M., Gosselin, M., Juul-Pedersen, T., et al. 2015. Arctic spring awakening - Steering principles behind the phenology of vernal ice algal blooms. Progress in Oceanography, 139: 151-170.  

Planque, B., Primicerio, R., Michalsen, K., Aschan, M., Certain, G., Dalpadado, P., Gjøsæater, H., et al. 2014. Who eats whom in the Barents Sea: a food web topology from plankton to whales. Ecology, 95: 1430-1430.  

Rogachev, K. A., Carmack, E. C., and Foreman, M. G. G. 2008. Bowhead whales feed on plankton concentrated by estuarine and tidal currents in Academy Bay, Sea of Okhotsk. Continental Shelf Research, 28: 1811-1826.  

Steen, H., Vogedes, D., Broms, F., Falk-Petersen, S., and Berge, J. 2007. Little auks (Alle alle) breeding in a High Arctic fjord system: bimodal foraging strategies as a response to poor food quality? Polar Research, 26: 118-125.  

Varpe, Ø., Daase, M., and Kristiansen, T. 2015. A fish-eye view on the new Arctic lightscape. ICES Journal of Marine Science: Journal du Conseil, 72: 2532-2538.  

   

Indicator: Benthos seafloor stabilisation

Arctic Barents Sea   

Phenomenon: Change in biomass/abundance [AP211]   

Anthropogenic drivers: Climate change and snow crab expansion/predation  

  1. The central Arctic part of the Barents Sea represents a transition area between Arctic and Atlantic water and generally has relatively stable conditions in the bottom water layers. The macrofaunal communities generally comprise forms which bury within the substrate, and typically are characterised by a mixture of tube-dwelling and free-living polychaetes. Common tube-builders are Maldane (or other Maldanidae) living in large robust clay tubes and Spiochaetopterus, which inhabits long tubes made of hardened mucus. Both these groups are relatively large-bodied, up to 5 mm or more in width and up to 10 cm long. Maldane has a thick tube, which can be up to 15-20 cm long and 1 cm thick. Spiochaetopterus tubes are narrower, but can be 10s of cm in length (see also indicator AI306). Another common tube-dweller is Galathowenia/ Myriochele (Oweniidae). Some of which are but 1 mm wide, with tubes made of sandgrains, which can be around 10 cm in length. Free-living forms belong to numerous taxa, with a wide variety of behavioural functions. The ratio between these forms varies according to water masses, which again may reflect sedimentation regimes or bottom current velocity. In the northern parts of the Barents Sea (both east and west of Svalbard), influenced by Arctic bottom water, there tends to be less (or even no) large tube-dwellers (Cochrane et al., 2009). On the bank areas (Spitsbergen- and Central banks), which comprise mixed gravelly/stony substrates, the fauna is dominated by sessile filter-feeders and brittle-stars and naturally does not have many submerged organisms (Cochrane et al., 2012). Typical tube-building polychaetes here tend to be sessile and attached to rocks, such as fanworms. 
     
  2. Should the seasonally ice-influenced areas (where there considerable annual sedimentation of ice-rafted material) is retreating, and Atlantic water extends farther north (climate-change) we may expect an increase in the area inhabited by large tube-dwellers. This affects indicator [AI306]. The hypothesis is that also increased populations of snow crabs which graze on benthos will affect this indicator of population structure (diet research is ongoing). If they graze primarily on free-living forms, the ratio between tube-dwellers and free-living forms may increase. If they graze on both types of organisms, there may simply be a general reduction in biomass.   
     
  3. Certain in terms of the knowledge that perturbation of the sediments/ higher sedimentation (most likely) will cause a change in communities towards smaller-bodied and more free-living forms (and inversely for a transition to less turbid states). Less certain in terms of snow-crab predation as research is still on-going.   
     
  4. The concept of intact nature is complex regarding benthic macrofauna (many of which live buried within the sediments). As stated in point 1, the natural state of this indicator depends on the water masses/sedimentation regime involved. Both states a) high tube:free-living and b) high free-living occur both naturally and as a response to pressures. An understanding of reference states is therefore critical (several private and national monitoring and research programmes can provide this, including MAREANO). All benthic fauna contribute to ecosystem functioning, sediment oxygenation and re-mineralisation through their bioturbatory (digging) or filtering activities. Deviation from the natural state will affect the depth of oxygenation in the sediments as a result of more/less bioturbation. This further will affect the degree of re-mineralisation and spring release of nutrients, which in turn will influence the phytoplankton bloom. Depletion of biomass of one or both functional groups also will impact both this function as well as food provision for higher predators of benthos.  
     
  5. Understanding of the role of bioturbation and feeding guilds in polychaetes is high (numerous studies including Pearson (2000), Fauchald and Jumars (1979), Jumars et al., (2015) and Cochrane et al., (2012). Attributing a "good" or "less good" value is more complex. A reduction in the depth of bioturbation/sediment oxygenation is considered "less good" if the natural state is high bioturbation. Whether a transition from a low-bioturbation/high free-living community to a high bioturbation/ low free-living community is good or bad will depend upon a) the driver concerned and b) the desired target state. If the target state is to maintain "natural" conditions, then a reduction in the large bioturbating taxa will be "less good", but in those areas where the fauna is "naturally disturbed", we would expect that condition to be prevalent regardless of impacts, thus "good". An overall reduction in biomass would be considered "less good".  
     
  6. As stated in point 4., changes in the depth of sediment bioturbation (and/or the biomass of the respective organism groups) will impact sediment function in terms of oxygenation, food provision to other areas of the food web and seasonal re-mineralisation of nutrients that fall to the sea-floor from the overlying water masses (uneaten food material as well as fecal pellets and their respective biofilms and/or microbial populations.  
     
  7. Knowledge gaps will always be a challenge – because in situ and/or long-term studies of benthos in the Barents Sea are rare. Macrobenthos react to many variables, and there also is an element of natural variation. Therefore direct cause-effect hypotheses may not be easy to test conclusively – until after major changes have occurred.  

   

Indicator: Benthos seafloor stabilisation 

Sub-Arctic Barents Sea   

Phenomenon: Change in biomass/abundance [SP211]   

Anthropogenic drivers: Bottom trawling, predqation of red king crab (coastal parts of polygons 6, 5 and 30). Petroleum activities (Polygon 25 – very local impacts)  

  1. The sub-Arctic part of the Barents Sea (especially polygon 25) is a highly dynamic area strongly influenced by northward-flowing Atlantic water. In the area around the Bjørnøya Trench, where the bottom water masses split, with one branch flowing northwards towards Svalbard and the other north-eastwards, into the central part of the Barents Sea, the sea-floor currents are strong and there is a high level of natural turbidity in the sediments, being comprised largely of fine silt and clay. The fauna here naturally comprises mostly small-bodied forms, and only few tube-dwelling polychaetes are found, notably the small-bodied Galathowenia oculata, whose narrow sand-tubes can be around 10 cm long.  The more coastal polygons are strongly influenced by the Norwegian Coastal current and tend to have more stable conditions, with a high component of large tube-dwelling polychaetes (as for [AI211]), but mostly Maldane and Galathowenia. Spiochaetopterus occurs only in few locations (Cochrane et al., in prep). Free-living forms belong to numerous taxa, with a wide variety of behavioural functions. In most undisturbed areas, there is a relatively even mix of tube-dwellers relative to free-living forms.   

  2. The most important anthropogenic drivers are bottom trawling (all polygons), petroleum activities (Polygons 25 and 27) – very local impacts) and king crab grazing in coastal parts of Polygons 6, 5 (expanding) and 30 (well-established). This also affects indicator [SI 306]. The hypothesis is that bottom trawling will dislodge large tube-dwellers and change the communities into those dominated by small-bodied, rapidly-reproducing free-living forms. King crab grazing (coastal areas) also has caused a reduction in large tube-dwellers and an increase in small-bodied, free-living forms (Oug et al., 2011). Petroleum activities here have a low footprint as most of the drill cuttings are taken to land, such that mostly only top-hole cuttings are deposited. These have a minimal impact on the benthos, with mostly only a local reduction in the tube-dweller Galathowenia oculata (within 50 m radius of the drilling hole; Cochrane et al., in prep.). Anchor-line corridors cause local reduction in macrofauna, but these generally are rapidly re-colonised by small-bodied free-living forms soon after removal of the structures.   

  3. Certain in terms of the named drivers (published studies mentioned in point 2 and numerous client reports led by Cochrane).   

  4. As for [AP211], the concept of intact nature is complex regarding benthic macrofauna (many of which live buried within the sediments). As stated in point 1, the natural state of this indicator depends on the water masses/sedimentation regime involved. Both states a) high tube:free-living and b) high free-living occur both naturally and as a response to pressures. An understanding of reference states is therefore critical (several private and national monitoring and research programmes can provide this, including MAREANO). All benthic fauna contribute to ecosystem functioning, sediment oxygenation and re-mineralisation through their bioturbatory (digging) or filtering activities. Deviation from the natural state will affect the depth of oxygenation in the sediments as a result of more/less bioturbation. This further will affect the degree of re-mineralisation and spring release of nutrients, which in turn will influence the phytoplankton bloom. Depletion of biomass of one or both functional groups also will impact both this function as well as food provision for higher predators of benthos.  

  5. Current understanding suggests that the "naturally perturbed" fine-grained bottom sediments in Polygons 25 and 27 actually are quite robust to anthropogenic physical disturbance, but other areas which have a high ratio of tube-dwelling polychaetes will show more obvious changes. As for [AP211]. Understanding of the role of bioturbation and feeding guilds in polychaetes is high (numerous studies including Pearson (2000), Fauchald and Jumars (1979), Jumars et al., (2015) and Cochrane et al., (2012). Attributing a "good" or "less good" value is more complex. A reduction in the depth of bioturbation/sediment oxygenation is considered "less good" if the natural state is high bioturbation. Whether a transition from a low-bioturbation/high free-living community to a high bioturbation/ low free-living community is good or bad will depend upon a) the driver concerned and b) the desired target state. If the target state is to maintain "natural" conditions, then a reduction in the large bioturbating taxa will be "less good", but in those areas where the fauna is "naturally disturbed", we would expect that condition to be prevalent regardless of impacts, thus "good". An overall reduction in biomass would be considered "less good".  

  6. As for [AP211]. As stated in point 4., changes in the depth of sediment bioturbation (and/or the biomass of the respective organism groups) will impact sediment function in terms of oxygenation, food provision to other areas of the food web and seasonal re-mineralisation of nutrients that fall to the sea-floor from the overlying water masses (uneaten food material as well as fecal pellets and their respective biofilms and/or microbial populations.  

  7. Knowledge gaps will always be a challenge – but benthos in sub-Arctic part of the Barents Sea is relatively well-studied, at least in areas of petroleum developments and coastal areas. However, the areas at the southern margins of the coastal polygons are surveyed to a far lesser extent, except for MAREANO-regions.  

 

Indicator: Mammal nutrient cycling

Arctic Barents Sea   

Phenomenon: Relative enrichment of surface waters hosting marine mammal concentrations (marine mammals feed below the photic zone and defecate above it -bringing nutrients to the surface; pinnipeds also transport nutrients from the sea to the shore in some cases)   

Some modelling has explored changes in nutrient loads/availability concomitant with changes in populations of marine mammals (Doughty et al. 2016). The removal of the Great Whales in particular is thought to have drastically reduced nutrient availability in polar surface waters. Recovering populations will presumably be important in transporting nutrients to nutrient-poor surface waters, which are typical of Arctic coastal areas (Barber et al. 2012).  

The greatest changes in marine mammal populations have been induced through human harvests (see above). Populations of marine mammals are in many cases now recovering.   

 

The link between the principle driver and change is certain.  

Marine mammals are important in the transport and recycling of nutrients in marine systems. Marine mammals feed at depth and defecate in surface waters, enhancing levels of bioactive metals (e.g. Fe, Co, Mn) and macronutrients (e.g. N) in surface waters, which is particularly important in coastal environments to enhance productivity (Clapham 2016, Wing et al. 2020). The translocation of nutrients by marine mammals can link dynamics of spatially distinct food webs (Kiszka et al. 2015) and stimulate primary productivity in environments that would otherwise have poor production (such as in areas where ice melt and freshwater inputs creates extreme stratification, which is common in coastal Arctic areas (Bluhm et al. 2015). In some cases, pinnipeds are important in the transport of essential nutrients such as N from sea to the land (e.g. Lavery et al. 2015).  

The understanding of this phenomenon is good, though Arctic-specific studies of this phenomenon are relatively few. Most work has been done in the Southern Ocean, where nitrogen and iron are critically low, but Arctic coastal areas are also nutrient poor and tend to be strongly stratified seasonally, so the basic scenarios hold well, though the limiting nutrients might differ regionally.   

Reduced nutrient inputs to the photic zone limits primary production. Primary production drives the energy available to all marine systems.  

Drivers of primary production are complex and little specific research has been paid to the role of marine mammal transport of nutrients in Arctic waters, although general frameworks are available (e.g. Doughty et al. 2016).  

 

Indicator : Mammal nutrient cycling 

Sub-Arctic Barents Sea   

Phenomenon: changes in biomass of marine mammals  

The marine mammal community in the Norwegian Sub-Arctic has been greatly changed by past anthropogenic activities, most significantly by harvesting (see above). All of the Great Whales and other species as well (e.g. seals) have been reduced from their historical state. Some have recovered, and others are currently showing population growth.  

Historically the driver of marine mammal biomass has been harvesting and currently the main driver is climate change and its effect on prey production and species distributions in colder sub-Arctic climates.   

Link to anthropogenic drivers is assessed as certain.  

Whales serve a function analogous to upwelling by transporting nutrients from deep waters and releasing them at the surface, effectively creating an upward pump (Roman and McCarthy 2010) that retains nutrients in the surface waters and enhances primary productivity (Devred et al. 2021; Laverty et al. 2014; Nicol et al. 2010; Smetacek and Nicol 2005; Wing et al. 2014). Whale fecal material is rich in iron, and other trace metals such as cadmium, manganese, and zinc (Ratnarajah et al. 2014; Smetacek 2008) and tends to float and disperse rather than sink (Smetacek and Nicol 2005). Marine mammals are physiologically tied to the surface for respiration and it is generally understood that they do not defecate at depth due to the shutdown of digestive and metabolic functions during dives, a well-known aspect of the marine mammal dive response (Davis et al. 2004). Additionally, the physical movement of whales through the water column may also contribute significantly to the mixing of water and nutrients across the thermocline by generating turbulence (Katija, 2012). Dead whale carcasses also represent large nutrient supplies for scavengers both on the sea floor and when they wash ashore.   

The link to ecosystem impact is thus assessed as less good.   

Changes in the abundance/biomass of marine mammals will have impacts on overall nutrient cycling which impacts primary production. A study looking at particulate organic nitrogen (PON) concentrations from marine mammal fecal plumes estimated that marine mammals release approximately 2.36x104 metric tons of nitrogen over the course of a summer in the Gulf of Maine, which is more than all of the river inputs combined (Roman and McCarthy 2010). Thus, modelling efforts that incorporate the role of marine mammals as ecosystem engineers in the Barents Sea are needed and represent a significant knowledge gap.  

 

Davis, R.W., Polasek, L., Watson, R., Fuson, A., Williams, T.M., and Kanatous, S.B. 2004. The diving paradox: new insights into the role of the dive response in air-breathing vertebrates. Comp Biochem Physiol A 138(3): 263-268.   

Devred, E., Hilborn, A. and den Heyer, C.E. 2021. Enhanced chlorophyll-a concentration in the wake of Sable Island, eastern Canada, revealed by two decades of satellite observations:a response to grey seal population dynamics? Biogeosciences, 18, 6115–6132, https://doi.org/10.5194/bg-18-6115-2021  

Katija, K. 2012. Biogenic inputs to ocean mixing. J Exp Biol 215(6): 1040-1049.  

Laverty, T.J., Roudnew, B., Seymour, J., Mitchell, J.G., Smetacek, V. and Nicol. S. 2014. Whales sustain fisheries: blue whales stimulate primary production in the Southern Ocean. Marine Mammal Science 30: 888-904.   

Nicol, S., Bowie, A., Jarman, S., Lannuzel, D., Meiners, K.M., and Van Der Merwe, P. 2010. Southern Ocean iron fertilization by baleen whales and Antarctic krill. Fish and Fisheries 11(2): 203-209.   

Roman, J,, and McCarthy, J.J. 2010. The Whale Pump: Marine Mammals Enhance Primary Productivity in a Coastal Basin. Plos One 5(10).  

Ratnarajah, L., Bowie, A.R., Lannuzel, D., Meiners, K.M., and Nicol, S. 2014. The Biogeochemical Role of Baleen Whales and Krill in Southern Ocean Nutrient Cycling. Plos One 9(12): e114067.   

Smetacek, V., and Nicol, S. 2005. Polar ocean ecosystems in a changing world. Nature 437(7057): 362-368.  

Wing, S.R., Jack, L., Shatova, O., Leichter, J.J., Barr, D., Frew, R.D., and Gault-Ringold, M. 2014. Seabirds and marine mammals redistribute bioavailable iron in the Southern Ocean. Mar Ecol Prog Ser 510: 1-13.   

   

Indicator: Mammal top-down control

Arctic Barents Sea   

Phenomenon: Changes in biomass relative composition. Sympagic feeding marine mammals and likely also benthic feeding marine mammals are likely to decline (or perhaps even become extripated), while pelagic marine mammals are likely to increase (see above)   

 

The marine mammal community in the Norwegian Arctic has been greatly changed by past anthropogenic activities, first and foremost overhunting (see above). All of the Great Whales and other species as well (e.g. walruses and polar bears) have been reduced. Some few have recovered, and others are currently showing population growth, but the Arctic endemics are likely to be limited in the near future by cumulative effects of climate change. Conservation plans should be constructed to ensure minimization of controllable anthropogenic impacts (e.g. sonar, ship traffic levels etc.). Regional species extirpations are possible if climate change continues to proceed at is current rate (Scheffers et al. 2016, Gilg et al. 2012, Kovacs et al. 2021).  

 

The drivers of changes in this indicator have largely been described above for the various feeding guilds – but human fisheries both for the mammals and for marine mammal prey species (both fish and invertebrates) and climate change associated drivers are the greatest threats to marine mammal community composition and diversity in the Norwegian Arctic. All Arctic endemic marine mammal species are a particular concern at this time as they cannot undergo range shifting, and they tend to have very conservation life histories and not be good competitors when faced with temperate species expansions and food web changes (Kovacs et al. 2011, 2021, Laidre et al. 2015). Polar bears have received the greatest amount of research effort – with respect to the threat posed by climate change. Sea ice losses induced by global warming are a serious concern for polar bears (Stern and Laidre 2016). Optimal sea ice habitat conditions for polar bears have declined dramatically in the eastern in many areas including in the Norwegian Arctic (e.g. Stern and Laidre 2016, Lone et al. 2018a). C hanges in the timing, distribution and thickness of sea ice and snow have caused changes in distribution of denning locations, foraging behaviour and likely also density distribution across the range of the Svalbard/FJL population of polar bears (Andersen et al. 2012, Hamilton et al. 2017, Aars et al. 2017). I n Svalbard polar bears are spending more time on shore in summer, decoupling the traditional, tight, ringed seal-polar bear predator-prey system; bears are targeting land-nesting birds, with devastating consequences for duck and goose colonies (Prop et al. 2015, Hamilton et al. 2017). The top-down control of these ground nesting bird populations when faced with a new predator is quite clear. Less ice is also driving polar bears to travel greater distances and swim more than previously both in offshore and in coastal areas, which can be particularly dangerous for young cubs (Lone et al. 2018a, b). A study, utilizing data linking ice availability to demographic performance of polar bears modelled the projected future status of 13 polar bear subpopulations and found that declining reproduction and adult survival is likely to lead to extirpation of some subpopulations within this century, the actual proportion depending on the level of reduction of greenhouse emissions achieved (Molnár et al. 2020).  

 

The link between drivers and change is certain.  

Changes in the marine mammal community are likely to have cascading impacts on the broader ecosystem. These large animals are significant consumers in the Norwegian Arctic and likely influence the trophic layers beneath them significantly. No ecosystems models have been run for the Norwegian Arctic that include marine mammal community structure and function (as far as we are aware of), although some few modelling efforts attempt to make inferences with little or no actual data from top trophic levels (e.g. Griffith et al. 2019).   

Our understanding of system changes and resilience of the marine mammal community is limited by lack of effort – so must be ranked as less good.  

It is not currently possible to predict which marine mammal species are of greatest importance to ecosystems stability and function. Higher trophic consumers are likely to have greater impact, at least on a per capita basis, because the energy that they draw from the system is greater than lower trophic feeders, but the exact effects of species losses (or major reductions) is difficult to predict.  

Modelling efforts that incorporate marine mammal community structure and function are much needed – that lack of them represents a significant knowledge gap. However, updated knowledge of abundance is essential for many species, before model inputs can produce meaningful results.   

 

Aars, J., Marques, T. A., Lone, K., Andersen, M., Wiig, Ø., Fløystad, I. M. B., Hagen, S. B. and Buckland, S. T. 2017. The number and distribution of polar bears in the western Barents Sea. Polar Res. 36, art. no. 1374125: 1-15.  

Andersen, M., Derocher, A. E., Wiig, Ø. and Aars, J. 2012. Polar bear (Ursus maritimus) maternity den distribution in Svalbard, Norway. Polar Biol. 35: 499-508.  

Gilg, O., Kovacs, K.M., Aars, J., Fort, J., Gauthier, G., Gramillet, D., Ims, R.A., Meltofte, H., Moreau, J., Post, E., Schmidt, N.M., Yannic, G. and Bollache, L. 2012. Climate change and the ecology and evolution of Arctic vertebrates. Ann. N. Y. Acad. Sci. 1249: 166-190.   

Griffith, G. P., Hop, H., Vihtakari, M., Wold, A., Kalhagen, K. and Gabrielsen, G. W. 2019. Ecological resilience of Arctic marine food webs to climate change. Nature Clim. Change 9: 868-872.  

Hamilton, C. D., Kovacs, K. M., Ims, R. A., Aars, J. and Lydersen, C. 2017. An Arctic predator-prey system in flux: climate change impacts on coastal space use by polar bears and ringed seals. J. Anim. Ecol. 86: 1054-1064.  

Kovacs, K.M., S. Belikov, P. Boveng, G. Desportes, S. Ferguson, R.G. Hansen, K. Laidre, G. Stenson, P. Thomas, F. Ugarte, D. Vongraven. 2021. 2021 SAMBR Update and Overview of Circumpolar Arctic Scientific Monitoring – Marine Mammals. Conservation of Arctic Flora and Fauna International Secretariat, Akureyri, Iceland.  

Kovacs, K. M., Lydersen, C., Overland, J. E. and Moore, S. E. 2011. Impacts of changing sea-ice conditions on Arctic marine mammals. Mar. Biodiv. 41: 181-194.  

Laidre, K. L., Angliss, R. P., Born, E. W., Boveng, P., Ferguson, S., Kovacs, K. M., Lowry, L., Lydersen, C., Moore, S., Quakenbush, L., Regehr, E. V., Stern, H., Ugarte, F., Vongraven, D. and Wiig, Ø. 2015. A circumpolar assessment of Arctic marine mammals, sea ice loss, and conservation challenges in the 21st century. Conserv. Biol. 29: 724-737.  

Lone, K., Merkel, B., Lydersen, C., Kovacs, K. M. and Aars, J. 2018a. Sea ice resource selection models for polar bears in the Barents Sea subpopulation. Ecography 41: 567-578.  

Lone, K., Kovacs, K. M., Lydersen, C., Fedak,M., Andersen, M., Lovell, P. and Aars, J. 2018b. Aquatic behaviour of polar bears (Ursus maritimus) in an increasingly ice-free Arctic. Sci. Rep. 8: 9677: 1-12, doi: 10.1038/s41598-018-27947-4.  

Molnar, P. K., Bitz, C. M., Holland, M. M., Kay, J. E., Penk, S. R. and Amstrup, S. C. 2020. Fasting season length sets temporal limits for global polar bear persistence. Nature Climate Change 10: 732-738.  

Prop, J., Aars, J., Bårdsen, B. J., Hanssen, S. A., Bech, C., Bourgeon, S., Fouw, J. de, Gabriensen, G. W., Lang, J., Noreen, E., oudman, T., Sittler, B., Tombre, I., Wolters, E. and Mo, B. 2015. Climate change and the increasing impact of polar bears on bird populations. Front. Ecol. Evol. 3, art. no. 33: 1-12.  

Scheffers, B. R., Meesters, L. de, Bridge, T.C.L., Hoffmann, A. A., Pandolfi, J. M., Corlett, R. T., Butchart, S. H. M., Pearce-Kelly, P., Kovacs, K. M., Dudgeon, D., Pacifici, M., Rondinini, C., Foden, W. B., Martin, T. G., Mora, C., Bickford, D., Watson, J. E. M. 2016. The broad footprint of climate change from genes to biomes to people. Science 354, art. no. aaf7671-1: 1-13.  

Stern, H. L. and Laidre, K. L. 2016. Sea-ice indicators of polar bear habitat. Cryosphere 10: 2027-2041.  

 

Indicator: Mammal carcasses

Arctic Barents Sea   

Phenomenon: Changes in biomass of the Norwegian Arctic marine mammal community is likely to increase overall, since the large migratory whales will occur in higher numbers and stay in the Arctic and thus also die in greater numbers in the region. [AP312]  

 

  1. It is not possible to fully determine the quantitative role of marine mammal carcasses in the ecology of Arctic ecosystems of the past, given the lack of complete information on historical marine mammal population sizes and distributions. However, it is though that stranded carcasses of whales likely facilitated polar bear survival through ice-impoverished Pleistocene interglacial periods (due to polar bear’s ability to rapidly consume and store large amounts of lipids and subsequently fast for extended periods (Laidre et al. 2018).  
     
  2. Remains from marine mammal harvests of the past and present provide local nutrient enrichment for polar bears and other marine fauna (Hadley et al. 2010, Lillie et al. 2019). Natural deaths also recycle nutrients both into surface waters, shorelines and benthic environments as the carcasses sink, float, re-sink and sometimes wash ashore. Changes in mortality rates of marine mammals either through human harvest or other anthropogenic impacts (ship strikes, pollutants, climate change) alter the rate at which marine mammal carcasses become available.   
     
  3. Mortality rates induced by anthropogenic drivers are only partially known so the linkage to carcass/nutrient availability and ecology of Arctic ecosystems in only partially known (modest certainty).   
     
  4. All marine mammals are large animals, with the Great Whales reaching the ultimate body sizes for animals on the planet. Their carcasses thus represent vast amounts of nutrients for scavenging animals when they float at sea, wash ashore or fall to the ocean depths. Floating large whale carcasses are an attractant to a variety of mobile predators, both avian and aquatic; the scent trails from them are known to attract sharks and other predators from vast distances (e.g. Tucker et al. 2021). If they wash ashore in Arctic areas, they become gathering sites for large numbers of polar bears (Laidre et al. 2018). A single bowhead whale carcass is the nutritional equivalent to circa 1300 ringed seals and can provide food for polar bears for months to years (depending on the density of bears in the region). If marine mammal carcasses sink, they become food for enrichment opportunists, including benthic fishes, worms, crustaceans, molluscs etc. Recent exploration of whale falls has resulted in the discovery of many new species (Thomas et al. 2020, Ravara et al. 2021, Sousa et al. 2021) in the diverse community that utilizes this resource (e.g. Thomas et al. 2020, Ravara et al. 2021, Sousa et al. 2021). The final phase of “life” for a carcass – the sulfophilic stage – feeds bacterial communities and a variety of rare species that can utilize materials from the bones (e.g. Sousa et al. 2021). Whale falls that reach great depths provide food to a nutrient-impoverished deep-sea community that is only recently, with the advent of new technologies becoming known to science.   
     
  5. There is little science done with carrion in Arctic marine systems, so the ecological roles and linkages between drivers is not well known (though it is likely ecologically important).  
     
  6. Changes in the availability of marine mammal carcasses is likely to have significant impacts on users of these resources. Scavenging may buffer polar bears from the consequences of on-going climate change, though they are unlikely to replace ice-breeding seals as a nutritional resource for polar bears in an ice-free Arctic (Laidre et al. 2018).   
  7. The importance of marine mammal carrion in Arctic systems has received little research attention. It is likely to be important to species diversity, particularly in deep benthic communities.  
     

Indicator: Pelagic prey aggregation by mammals

Sub-Arctic Barents Sea   

Phenomenon: Change in occurrence of pelagic feeding aggregations   

 

Most marine mammal species have been reduced from their historical state (described in more detail above). Some have recovered, and others are currently showing population growth.  

The past driver for this indicator has been over-harvesting. Currently, the main driver for this indicator is climate change, which (as described above in other sections) influences pelagic production (Dalpadado, 2012) and will likely lead to an increase in pelagic predators (Eirkson et al. 2017)  

Link to anthropogenic drivers is assessed as certain.  

 

Marine mammals, such as killer whales, white-beaked dolphins, and humpback whales aggregate prey through their behaviour, creating feeding opportunities for other marine mammals, birds, and fish, likely playing an important role in ecosystem functioning (Anderwald et al. 2011). Multi-species feeding associations (MSFAs) improve the foraging efficiency of individuals animals (Gostischa et al. 2021), while facilitating feeding opportunities for other species (Bruno et al. 2003). They also lead to competition and may favour more gregarious species such as humpbacks over more solitary species such as minke whales (Friedlaender et al. 2006).  

  Their dynamics are species dependent, often creating competitive interactions, but they can also increase foraging efficiency and ultimately individual fitness. The foraging behaviors of some species can enhance prey capture by others, with different roles depending on the species present.  

 The link to ecosystem impact is thus assessed as less good.   

The occurrence of MSFAs and their importance in the Barents Sea is not monitored or well understood. Documentation of MSFAs is possible during Barents Sea Ecosystem Surveys. Models that incorporate the role marine mammals in structuring ecosystems are much needed – that lack of them represents a significant knowledge gap.  

 

Anderwald, P., Evans, P.G., Gygax, L. and Hoelzel, A.R., 2011. Role of feeding strategies in seabird–minke whale associations. Marine Ecology Progress Series, 424, pp.219-227.  

Bruno, J.F., Stachowicz, J.J. and Bertness, M.D., 2003. Inclusion of facilitation into ecological theory. Trends in ecology & evolution, 18(3), pp.119-125.  

Dalpadado, P., Ingvaldsen, R. B., Stige, L. C., Bogstad, B., Knutsen, T., Ottersen, G., & Ellertsen, B. 2012. Climate effects on Barents Sea ecosystem dynamics. ICES Journal of Marine Science, 69(7), 1303-1316.  

Eriksen, E., Skjoldal, H. R., Gjøsæter, H., & Primicerio, R. (2017). Spatial and temporal changes in the Barents Sea pelagic compartment during the recent warming. Progress in Oceanography, 151, 206-226.  

Friedlaender, A. S., Lawson, G. L., & Halpin, P. N. (2006). Evidence of resource partitioning and niche separation between humpback and minke whales in Antarctica: implications for interspecific competition. International whaling commission scientific committee document SC/58 E, 32, 37.  

Gostischa, J., Massolo, A. and Constantine, R., 2021. Multi-species feeding association dynamics driven by a large generalist predator. Frontiers in Marine Science, p.1558.  

       

Functionally important species and biophysical structures; Biological diversity  

Indicator: Arctic Calanus [AI25]

Arctic Barents Sea   

Phenomenon: Decreasing biomass of Arctic Calanus species [AP25]  

Three Calanus species occur in the Arctic Barents Sea, Calanus finmarchicus, Calanus glacialis and Calanus hyperboreus. While C. finmarchicus mainly is an Atlantic species which can also occur in sub-arctic water masses, C. glacialis is a typical Arctic species with distribution mainly in Arctic water masses in the Barents Sea (Conover, 1988; Tande, 1991; Melle and Skjoldal, 1998; Hirche and Kosobokova, 2007; Aarflot et al., 2018). Calanus hyperboreus is an Arctic deep-water species with low abundance in the Barents Sea (Aarflot et al., 2018). Approximately 80% of the total biomass of mesozooplankton in the Barents Sea consists of the Calanus species (Aarflot et al., 2018). Thus, the species are central for the functioning in the ecosystem. Under the reference condition, the two Arctic Calanus species make up a significant part of the zooplankton community in the sub-Arctic part. They are likely of importance for predators in the Sub-Arctic part of the Barents Sea (Orlova et al., 2009).  

 

The most important anthropogenic driver of change in the indicator is climate change. The Arctic Calanus species are adapted to deal with the high environmental variability in ice-covered seas. They have large lipid reserves, can reproduce independently of the phytoplankton bloom, utilize ice algae blooms, and have flexible multi-year life cycles (Falk-Petersen et al., 2009; Daase et al., 2013; Daase et al., 2021). Arctic species may have declined in the southern margins of their oceanic distribution range while coastal populations of C. glacialis show stable population levels (Hop et al., 2019; Møller and Nielsen, 2020), and a northward shift with retreat sea ice (Weydmann et al., 2014; Aarflot et al., 2018; Møller and Nielsen, 2020) is observed in the Arctic Ocean (Ershova et al., 2021). The understanding of the link between driver and indicator is rated as certain.   

 

The two Arctic Calanus species are larger and with higher lipid content than the Atlantic species. Thus, a decline in biomass of the Arctic species may have large effects on many of the species feeding on zooplankton and Calanus in particular (Karnovsky et al., 2003; Steen et al., 2007; Rogachev et al., 2008; Dalpadado and Mowbray, 2013). A change towards lower biomass of Arctic species will likely alter the overturning and availability of energy in the pelagic ecosystem due to the smaller size, lower lipid content, and faster life cycle of Sub-Arctic species compared to Arctic congeners. For example, in the Bering Sea, an unprecedented warm and ice-free year led to an increase in small, low-lipid zooplankton and concurrent poor catches of pelagic fish, low reproductive success and mass mortality in seabird colonies (Duffy-Anderson et al., 2019). However, a boreal plankton life-history also brings a shorter generation time and faster population turnover, which may compensate or even enhance the transfer of energy to predators (Renaud et al., 2018). Changes in the North Sea are also a relevant parallel which can illustrate possible consequences of changes in the Arctic Barents Sea. There it has been a change towards more southern zooplankton species, including change in relative abundance from Calanus finmarchicus (a northern species there) towards Calanus helgolandicus (southern species) (Beaugrand, 2004; Beaugrand et al., 2014). This has had several effects on the ecosystem. Southern zooplankton reproduce during summer, instead of in spring, like more northern species. This has resulted in less overlap between production of zooplankton and fish spawning periods (McQuatters-Gollop et al., 2007; Defriez et al., 2016; Edwards et al., 2016), which likely have contributed to the low recruitment observed in several fish populations (Beaugrand and Kirby, 2010; Clausen et al., 2018). The shift towards more southern species also contribute to a lower production of zooplankton in general (Edwards et al., 2016), which is expected to impact not only the recruitment of fish but the whole fish population, especially for planktivorous species (Clausen et al., 2018). Thus, changes in the zooplankton community is likely one of the causes for the decreasing production observed in several fish stocks (ICES, 2016; Clausen et al., 2018). Given the evidence from both the Barents Sea and the North Sea, the understanding of the importance of changes in the indicator for other parts of the ecosystem is rated as good.  

 

Declining biomass of Arctic Calanus species can be considered of ecosystem significance if, for example, i) the decrease is large relative to historic variation, ii) the magnitude of the decrease is similar to what has been observed in the North Sea, where it has caused significant ecosystem changes iii) there is a concurrent decrease in recruitment or survival or both of key predators such as pelagic amphipods and little auk.  

 

Knowledge gaps include some uncertainty in species identification between C. finmarchicus and C. glacialis (Gabrielsen et al., 2012). These species are traditionally separated based on size classes (Kwasniewski et al., 2003). Recent studies based on molecular methods have shown that there is a much larger overlap in size than previously assumed (Choquet et al., 2017), especially in sub-Arctic/boreal Calanus populations that can lead to an underestimation of C. glacialis and overestimation of C. finmarchicus. Changes in species distribution patterns (historically and current observations) may thus be to somewhat biased.  

References
 

Aarflot, J. M., Skjoldal, H. R., Dalpadado, P., and Skern-Mauritzen, M. 2018. Contribution of Calanus species to the mesozooplankton biomass in the Barents Sea. ICES Journal of Marine Science, 75: 2342-2354.  

Beaugrand, G. 2004. The North Sea regime shift: evidence, causes, mechanisms and consequences. Progress in Oceanography, 60: 245-262.  

Beaugrand, G., Harlay, X., and Edwards, M. 2014. Detecting plankton shifts in the North Sea: a new abrupt ecosystem shift between 1996 and 2003. Marine Ecology Progress Series, 502: 85-104.  

Beaugrand, G., and Kirby, R. R. 2010. Climate, plankton and cod. Global Change Biology, 16: 1268-1280.  

Choquet, M., Hatlebakk, M., Dhanasiri, A. K. S., Kosobokova, K., Smolina, I., Søreide, J. E., Svensen, C., et al. 2017. Genetics redraws pelagic biogeography of Calanus. Biology Letters, 13.  

Chust, G., Castellani, C., Licandro, P., Ibaibarriaga, L., Sagarminaga, Y., and Irigoien, X. 2014. Are Calanus spp. shifting poleward in the North Atlantic? A habitat modelling approach. ICES Journal of Marine Science, 71: 241-253.  

Clausen, L., Rindorf, A., Deurs, M., Dickey‐Collas, M., Hintzen, N. T., and Arlinghaus, R. 2018. Shifts in North Sea forage fish productivity and potential fisheries yield. Journal of Applied Ecology, 55: 1092-1101.  

Conover, R. J. 1988. Comparative life histories in the genera Calanus and Neocalanus in high latitudes of the Northern Hemisphere. Hydrobiologia, 167: 127-142.  

Daase, M., Berge, J., Søreide, J. E., and Falk-Petersen, S. 2021. Ecology of Arctic Pelagic Communities. In Arctic Ecology, pp. 219-259. Ed. by D. Thomas. John Wiley & Sons Ltd.  

Daase, M., Falk-Petersen, S., Varpe, Ø., Darnis, G., Søreide, J. E., Wold, A., Leu, E., et al. 2013. Timing of reproductive events in the marine copepod Calanus glacialis: a pan-Arctic perspective. Canadian Journal of Fisheries and Aquatic Sciences, 70: 871-884.  

Dalpadado, P., and Mowbray, F. 2013. Comparative analysis of feeding ecology of capelin from two shelf ecosystems, off Newfoundland and in the Barents Sea. Progress in Oceanography, 114: 97-105.  

Defriez, E. J., Sheppard, L. W., Reid, P. C., and Reuman, D. C. 2016. Climate change‐related regime shifts have altered spatial synchrony of plankton dynamics in the North Sea. Global Change Biology, 22: 2069-2080.  

Duffy-Anderson, J. T., Stabeno, P., Andrews III, A. G., Cieciel, K., Deary, A., Farley, E., Fugate, C., et al. 2019. Responses of the northern Bering Sea and southeastern Bering Sea pelagic ecosystems following record-breaking low winter sea ice. Geophysical Research Letters, 46: 9833-9842.  

Edwards, M., Helaouet, P., Alhaija, R. A., Batten, S., Beaugrand, G., Chiba, S., Horaeb, R. R., et al. 2016. Global Marine Ecological Status Report: results from the global CPR Survey 2014/2015. SAHFOS Technical Report, 11: 1-32.  Plymouth, U.K.  ISSN 1744-0750.  

Ershova, E. A., Kosobokova, K. N., Banas, N. S., Ellingsen, I., Niehoff, B., Hildebrandt, N., and Hirche, H.-J. 2021. Sea ice decline drives biogeographical shifts of key Calanus species in the central Arctic Ocean. Global Change Biology, 27: 2128-2143.  

Falk-Petersen, S., Mayzaud, P., Kattner, G., and Sargent, J. R. 2009. Lipids and life strategy of Arctic Calanus. Marine Biology Research, 5: 18-39.  

Gabrielsen, T. M., Merkel, B., Søreide, J. E., Johansson-Karlsson, E., Bailey, A., Vogedes, D., Nygård, H., et al. 2012. Potential misidentifications of two climate indicator species of the marine arctic ecosystem: Calanus glacialis and C. finmarchicus. Polar Biology, 35: 1621-1628.  

Hirche, H.-J., and Kosobokova, K. 2007. Distribution of Calanus finmarchicus in the northern North Atlantic and Arctic Ocean—Expatriation and potential colonization. Deep Sea Research Part II: Topical Studies in Oceanography, 54: 2729-2747.  

Hop, H., Wold, A., Vihtakari, M., Daase, M., Kwasniewski, S., Gluchowska, M., Lischka, S., et al. 2019. Zooplankton in Kongsfjorden (1996–2016) in relation to climate change. In The Ecosystem of Kongsfjorden, Svalbard, pp. 229-300. Ed. by H. Hop, and C. Wiencke. Springer International Publishing, Cham.  

ICES. 2016. Greater North Sea Ecoregion – Ecosystem overview. Version 2. ICES Advice 2016, Book 6.  

Karnovsky, N. J., Kwaśniewski, S., Węsławski, J. M., Walkusz, W., and Beszczyńska-Möller, A. 2003. Foraging behavior of little auks in a heterogeneous environment. Marine Ecology Progress Series, 253: 289-303.  

Kwasniewski, S., Hop, H., Falk-Petersen, S., and Pedersen, G. 2003. Distribution of Calanus species in Kongsfjorden, a glacial fjord in Svalbard. Journal of Plankton Research, 25: 1-20.  

McQuatters-Gollop, A., Raitsos, D. E., Edwards, M., Pradhan, Y., Mee, L. D., Lavender, S. J., and Attrill, M. J. 2007. A long‐term chlorophyll dataset reveals regime shift in North Sea phytoplankton biomass unconnected to nutrient levels. Limnology and Oceanography, 52: 635-648.  

Melle, W., and Skjoldal, H. R. 1998. Reproduction and development of Calanus finmarchicus, C. glacialis and C. hyperboreus in the Barents Sea. Marine Ecology-Progress Series, 169: 211-228.  

Møller, E. F., and Nielsen, T. G. 2020. Borealization of Arctic zooplankton—smaller and less fat zooplankton species in Disko Bay, Western Greenland. Limnology and Oceanography, 65: 1175-1188.  

Orlova, E. L., Dolgov, A. V., Rudneva, G. B., Oganin, I. A., and Konstantinova, L. L. 2009. Trophic relations of capelin Mallotus villosus and polar cod Boreogadus saida in the Barents Sea as a factor of impact on the ecosystem. Deep-Sea Research Part Ii-Topical Studies in Oceanography, 56: 2054-2067.  

Renaud, P. E., Daase, M., Banas, N. S., Gabrielsen, T. M., Soreide, J. E., Varpe, O., Cottier, F., et al. 2018. Pelagic food-webs in a changing Arctic: a trait-based perspective suggests a mode of resilience. ICES Journal of Marine Science, 75: 1871-1881.  

Rogachev, K. A., Carmack, E. C., and Foreman, M. G. G. 2008. Bowhead whales feed on plankton concentrated by estuarine and tidal currents in Academy Bay, Sea of Okhotsk. Continental Shelf Research, 28: 1811-1826.  

Steen, H., Vogedes, D., Broms, F., Falk-Petersen, S., and Berge, J. 2007. Little auks (Alle alle) breeding in a High Arctic fjord system: bimodal foraging strategies as a response to poor food quality? Polar Research, 26: 118-125.  

Tande, K. S. 1991. Calanus in North Norwegian fjords and in the Barents Sea. Polar Research, 10: 389-408.  

Weydmann, A., Carstensen, J., Goszczko, I., Dmoch, K., Olszewska, A., and Kwasniewski, S. 2014. Shift towards the dominance of boreal species in the Arctic: inter-annual and spatial zooplankton variability in the West Spitsbergen Current. Marine Ecology Progress Series, 501: 41-52.  

   

Indicator: Atlantic Calanus species [AI26]

Arctic Barents Sea   

Phenomenon: Increasing biomass of Atlantic Calanus species [AP26]  

 

Three Calanus species occur in the Arctic Barents Sea, Calanus finmarchicus, Calanus glacialis and Calanus hyperboreus. While C. finmarchicus mainly is an Atlantic species which can also occur in sub-Arctic water masses, C. glacialis is a typical Arctic species with distribution mainly in arctic water masses in the Barents Sea (Conover, 1988; Tande, 1991; Melle and Skjoldal, 1998; Hirche and Kosobokova, 2007; Aarflot et al., 2018). Calanus hyperboreus is an Arctic deep-water species with low abundance in the Barents Sea (Aarflot et al., 2018). Approximately 80% of the total biomass of mesozooplankton in the Barents Sea consists of the Calanus species (Aarflot et al., 2018). Thus, the species are central for the functioning in the ecosystem. Under the reference condition, the two Arctic Calanus species make up a dominating part of the mesozooplankton community in the Arctic part of the Barents Sea and a significant part also in the sub-Arctic part, while C. finmarchicus is the dominating species in the sub-Arctic part. Under the reference condition, C. finmarchicus is important for sustaining populations of predators in the sub-Arctic part of the Barents Sea, such as 0 group fish, pelagic zooplankton feeding fish and carnivorous krill (Schmidt, 2010; Dalpadado and Mowbray, 2013; Eriksen et al., 2020; ICES, 2020).   

 

The most important anthropogenic driver of change in the indicator is climate change. The Arctic Calanus species are adapted to deal with the high environmental variability in ice-covered seas. They have large lipid reserves, reproduce in spring so the offspring utilize phytoplankton, ice algae blooms, and have flexible multi-year life cycles (Falk-Petersen et al., 2009; Daase et al., 2013; Daase et al., 2021). Calanus finmarchicus on the other hand, have smaller lipid reserves, rely on the open-water phytoplankton bloom as their main food source and to fuel reproduction, growth and development, and must complete their life cycle in a single year (Jónasdóttir et al., 2002; Melle et al., 2014). While C. finmarchicus is constantly advected to the Arctic/northern Barents Sea with northward flowing Atlantic currents (Wassmann et al., 2015), this species seems to be incapable of Arctic residency over multiple generations (Melle et al., 2014). A late start of the algae bloom and short growing season, as well as slow development rates in low Arctic temperatures, impair the ability of C. finmarchicus to reach late developmental stages that can pack their lipid sacs sufficiently to overwinter successfully and reproduce the following spring (Ji et al., 2012; Melle et al., 2014). With loss of sea ice, bloom phenology is expected to change (earlier, longer blooms) (Song et al., 2021), and increased temperature may accelerate developmental rates, thus C. finmarchicus may become more successful in surviving and establishing itself at higher latitudes. Indeed, C. finmarchicus has recently undergone a poleward distributional shift (Chust et al., 2014), increasing its contribution to the total Calanus community biomass in several Arctic regions (Weydmann et al., 2014; Aarflot et al., 2018; Møller and Nielsen, 2020; Hop et al., 2021). Given the extensive knowledge basis on the influence on climate variation on occurrence of Calanus species, the understanding of the link between driver and indicator is rated as certain.   

 

The two arctic Calanus species are larger and with higher lipid content than the Atlantic C. finmarchicus species. Thus, a change towards a dominance of the Atlantic species may have large effects on many of the species feeding on zooplankton and Calanus in particular (Karnovsky et al., 2003; Steen et al., 2007; Rogachev et al., 2008). A change towards C. finmarchicus will likely alter the overturning and availability of energy in the pelagic ecosystem due to their smaller size, lower lipid content, and faster life cycle compared to Arctic congeners. For example, in the Bering Sea, an unprecedented warm and ice-free year lead to an increase in small, low-lipid zooplankton and concurrent poor catches of pelagic fish, low reproductive success and mass mortality at seabird colonies (Duffy-Anderson et al., 2019). However, a C. finmarchicus -like life-history also brings a shorter generation time and faster population turnover, which may compensate or even enhance the transfer of energy to predators (Renaud et al., 2018). Changes in the North Sea is also a relevant parallel which can illustrate possible consequences of changes in the Arctic Barents Sea. There it has been a change towards more southern zooplankton species, with a change from Calanus finmarchicus (which is a northern species in the North Sea) to Calanus helgolandicus (a southern species) as the dominating species is central (Beaugrand, 2004; Beaugrand et al., 2014). This has had several effects on the ecosystem. Southern zooplankton reproduce during summer, instead of in spring as more northern species do. This has resulted in less overlap between production of zooplankton and fish spawning periods (McQuatters-Gollop et al., 2007; Defriez et al., 2016; Edwards et al., 2016), which have contributed to the low recruitment observed in several fish populations (Beaugrand and Kirby, 2010; Clausen et al., 2018). The shift towards more southern species also contribute to a lower production of zooplankton in general (Edwards et al., 2016), which is expected to impact not only the recruitment but the whole population, especially for planktivorous species (Clausen et al., 2018). Thus, changes in the zooplankton community may be one of the causes for the decreasing production observed in several fish stocks (ICES, 2016; Clausen et al., 2018). Given the evidence from both the Barents Sea and the North Sea, the understanding of importance of changes in the indicator for other parts of the ecosystem is rated as good.  

 

Increasing the proportion of Atlantic Calanus species can be considered of ecosystem significance if, for example, i) the increase is large relative to historic variation, ii) the magnitude of the increase is similar to what has been observed for Calanus helgolandicus in the North Sea, where it caused significant ecosystem changes or iii) reduced pelagic fish production and/or reduced seabird recruitment and survival, as has been seen in the Bering Sea.  

 

Knowledge gaps related to this phenomenon include some uncertainty in species identification between C. finmarchicus and C. glacialis. These species are traditionally separated based on size classes. Recent studies based on molecular methods have shown that there is a much larger overlap in size than previously assumed (Choquet et al., 2017), especially in sub-Arctic/boreal Calanus populations that can lead to an underestimation of C. glacialis and overestimation of C. finmarchicus. Changes in species distribution patterns (historically and current observations) may thus be to somewhat biased.    

 

References  


Aarflot, J. M., Skjoldal, H. R., Dalpadado, P., and Skern-Mauritzen, M. 2018. Contribution of Calanus species to the mesozooplankton biomass in the Barents Sea. Ices Journal of Marine Science, 75: 2342-2354.  

Beaugrand, G. 2004. The North Sea regime shift: evidence, causes, mechanisms and consequences. Progress in Oceanography, 60: 245-262.  

Beaugrand, G., Harlay, X., and Edwards, M. 2014. Detecting plankton shifts in the North Sea: a new abrupt ecosystem shift between 1996 and 2003. Marine Ecology Progress Series, 502: 85-104.  

Beaugrand, G., and Kirby, R. R. 2010. Climate, plankton and cod. Global Change Biology, 16: 1268-1280.  

Choquet, M., Hatlebakk, M., Dhanasiri, A. K. S., Kosobokova, K., Smolina, I., Søreide, J. E., Svensen, C., et al. 2017. Genetics redraws pelagic biogeography of Calanus. Biology Letters, 13.  

Chust, G., Castellani, C., Licandro, P., Ibaibarriaga, L., Sagarminaga, Y., and Irigoien, X. 2014. Are Calanus spp. shifting poleward in the North Atlantic? A habitat modelling approach. ICES Journal of Marine Science, 71: 241-253.  

Clausen, L., Rindorf, A., Deurs, M., Dickey‐Collas, M., Hintzen, N. T., and Arlinghaus, R. 2018. Shifts in North Sea forage fish productivity and potential fisheries yield. Journal of Applied Ecology, 55: 1092-1101.  

Conover, R. J. 1988. Comparative life histories in the genera Calanus and Neocalanus in high latitudes of the Northern Hemisphere. Hydrobiologia, 167: 127-142.  

Daase, M., Berge, J., Søreide, J. E., and Falk-Petersen, S. 2021. Ecology of Arctic Pelagic Communities. In Arctic Ecology, pp. 219-259. Ed. by D. Thomas. John Wiley & Sons Ltd.  

Daase, M., Falk-Petersen, S., Varpe, Ø., Darnis, G., Søreide, J. E., Wold, A., Leu, E., et al. 2013. Timing of reproductive events in the marine copepod Calanus glacialis: a pan-Arctic perspective. Canadian Journal of Fisheries and Aquatic Sciences, 70: 871-884.

Dalpadado, P., and Mowbray, F. 2013. Comparative analysis of feeding ecology of capelin from two shelf ecosystems, off Newfoundland and in the Barents Sea. Progress in Oceanography, 114: 97-105.  

Defriez, E. J., Sheppard, L. W., Reid, P. C., and Reuman, D. C. 2016. Climate change‐related regime shifts have altered spatial synchrony of plankton dynamics in the North Sea. Global Change Biology, 22: 2069-2080.  

Duffy-Anderson, J. T., Stabeno, P., Andrews III, A. G., Cieciel, K., Deary, A., Farley, E., Fugate, C., et al. 2019. Responses of the northern Bering Sea and southeastern Bering Sea pelagic ecosystems following record-breaking low winter sea ice. Geophysical Research Letters, 46: 9833-9842.  

Edwards, M., Helaouet, P., Alhaija, R. A., Batten, S., Beaugrand, G., Chiba, S., Horaeb, R. R., et al. 2016. Global Marine Ecological Status Report: results from the global CPR Survey 2014/2015. SAHFOS Technical Report, 11: 1-32.  Plymouth, U.K.  ISSN 1744-0750.  

Eriksen, E., Benzik, A. N., Dolgov, A. V., Skjoldal, H. R., Vihtakari, M., Johannesen, E., Prokhorova, T. A., et al. 2020. Diet and trophic structure of fishes in the Barents Sea: The Norwegian-Russian program “Year of stomachs” 2015 – Establishing a baseline. Progress in Oceanography, 183: 102262.  

Falk-Petersen, S., Mayzaud, P., Kattner, G., and Sargent, J. R. 2009. Lipids and life strategy of Arctic Calanus. Marine Biology Research, 5: 18-39.  

Hirche, H.-J., and Kosobokova, K. 2007. Distribution of Calanus finmarchicus in the northern North Atlantic and Arctic Ocean—Expatriation and potential colonization. Deep Sea Research Part II: Topical Studies in Oceanography, 54: 2729-2747.  

Hop, H., Wold, A., Meyer, A., Bailey, A., Hatlebakk, M., Kwasniewski, S., Leopold, P., et al. 2021. Winter-Spring Development of the Zooplankton Community Below Sea Ice in the Arctic Ocean. Frontiers in Marine Science, 8.  

ICES. 2016. Greater North Sea Ecoregion – Ecosystem overview. Version 2. ICES Advice 2016, Book 6.  

ICES. 2020. Working Group on the Integrated Assessments of the Barents Sea (WGIBAR). ICES Scientific Reports. 2:30. 206 pp.  

Ji, R. B., Ashjian, C. J., Campbell, R. G., Chen, C. S., Gao, G. P., Davis, C. S., Cowles, G. W., et al. 2012. Life history and biogeography of Calanus copepods in the Arctic Ocean: An individual-based modeling study. Progress in Oceanography, 96: 40-56.  

Jónasdóttir, S., Gudfinnsson, H., Gislason, A., and Astthorsson, O. 2002. Diet composition and quality for Calanus finmarchicus egg production and hatching success off south-west Iceland. Marine Biology, 140: 1195-1206.  

Karnovsky, N. J., Kwaśniewski, S., Węsławski, J. M., Walkusz, W., and Beszczyńska-Möller, A. 2003. Foraging behavior of little auks in a heterogeneous environment. Marine Ecology Progress Series, 253: 289-303.  

McQuatters-Gollop, A., Raitsos, D. E., Edwards, M., Pradhan, Y., Mee, L. D., Lavender, S. J., and Attrill, M. J. 2007. A long‐term chlorophyll dataset reveals regime shift in North Sea phytoplankton biomass unconnected to nutrient levels. Limnology and Oceanography, 52: 635-648.  

Melle, W., Runge, J., Head, E., Plourde, S., Castellani, C., Licandro, P., Pierson, J., et al. 2014. The North Atlantic Ocean as habitat for Calanus finmarchicus: Environmental factors and life history traits. Progress in Oceanography, 129: 244-284.  

Melle, W., and Skjoldal, H. R. 1998. Reproduction and development of Calanus finmarchicus, C. glacialis and C. hyperboreus in the Barents Sea. Marine Ecology-Progress Series, 169: 211-228.  

Møller, E. F., and Nielsen, T. G. 2020. Borealization of Arctic zooplankton—smaller and less fat zooplankton species in Disko Bay, Western Greenland. Limnology and Oceanography, 65: 1175-1188.  

Renaud, P. E., Daase, M., Banas, N. S., Gabrielsen, T. M., Soreide, J. E., Varpe, O., Cottier, F., et al. 2018. Pelagic food-webs in a changing Arctic: a trait-based perspective suggests a mode of resilience. ICES Journal of Marine Science, 75: 1871-1881.  

Rogachev, K. A., Carmack, E. C., and Foreman, M. G. G. 2008. Bowhead whales feed on plankton concentrated by estuarine and tidal currents in Academy Bay, Sea of Okhotsk. Continental Shelf Research, 28: 1811-1826.  

Schmidt, K. 2010. Chapter Five - Food and Feeding in Northern Krill (Meganyctiphanes norvegica Sars). In Advances in Marine Biology, pp. 127-171. Ed. by G. A. Tarling. Academic Press.  

Song, H., Ji, R., Jin, M., Li, Y., Feng, Z., Varpe, Ø., and Davis, C. S. 2021. Strong and regionally distinct links between ice-retreat timing and phytoplankton production in the Arctic Ocean. Limnology and Oceanography, n/a.  

Steen, H., Vogedes, D., Broms, F., Falk-Petersen, S., and Berge, J. 2007. Little auks (Alle alle) breeding in a High Arctic fjord system: bimodal foraging strategies as a response to poor food quality? Polar Research, 26: 118-125.  

Tande, K. S. 1991. Calanus in North Norwegian fjords and in the Barents Sea. Polar Research, 10: 389-408.  

Wassmann, P., Kosobokova, K. N., Slagstad, D., Drinkwater, K. F., Hopcroft, R. R., Moore, S. E., Ellingsen, I., et al. 2015. The contiguous domains of Arctic Ocean advection: Trails of life and death. Progress in Oceanography, 139: 42-65.  

Weydmann, A., Carstensen, J., Goszczko, I., Dmoch, K., Olszewska, A., and Kwasniewski, S. 2014. Shift towards the dominance of boreal species in the Arctic: inter-annual and spatial zooplankton variability in the West Spitsbergen Current. Marine Ecology Progress Series, 501: 41-52.  

   

 

Appendix 8.5 - Data for indicators not included in the current assessment

This appendix contains data analyses for indicators where the phenomena have not been developed.  

 

Arctic Barents Sea

A.1 Indicator: Low trophic level benthic fish 

Ecosystem characteristic: Biomass distribution among trophic levels 

A.1.1 Supplementary metadata

Not relevant.

A.1.2 Supplementary methods

Low trophic level fish were identified from classification of species into planktivorous, benthivorous and ichthyvorous feeding guilds using a fuzzy coding approach (Wiedmann et al., 2014; Frainer et al., 2021). Both the benthivorous and planktivorous categories were included as low trophic level, and the biomass from these guilds were summed in each bottom trawl from the Barents Sea Ecosystem Survey. Indicator values are in biomass/km2.

Due to non-normal distributions, the medians of sample values were used as indicator values for polygons, while mean values were used for the total Arctic part of the Barents Sea.


A.1.3 Plots of indicator values

Figure A.1.1 Mean ( ± 2*SE) biomass of low trophic level feeding guilds of demersal fish in the Arctic Barents Sea (Black dots and grey shading). Linear regression fit with 95% CI is shown in blue, and the statistical results are given in the top of each plot. A local smoother is added in red to assist visual interpretation of non-linear changes during the period.
Figure A.1.1 Mean (± 2*SE) biomass of low trophic level feeding guilds of demersal fish in the Arctic Barents Sea (Black dots and grey shading). Linear regression fit with 95% CI is shown in blue, and the statistical results are given in the top of each plot. A local smoother is added in red to assist visual interpretation of non-linear changes during the period.

 

Figure A.1. 2 The red line represents fitted trend of degree 3 (cubic). After fitting, residuals variance was 126832.50, R²=0.58.
Figure A.1. 2 The red line represents fitted trend of degree 3 (cubic). After fitting, residuals variance was 126832.50, R²=0.58.

A.1.4 Background data and supplementary analysis

A.1.4.1 Polygon level indicator values and trend analyses
Figure A.1.3. Mean ( ± 2*SE) biomass of low trophic level feeding guilds of demersal fish, for polygons in the Arctic Barents Sea (Black dots and grey shading). Linear regression fit with 95% CI is shown in blue, and the statistical results are given in the top of each plot. A local smoother is added in red to assist visual interpretation of non-linear changes during the period. Stars indicate years with low sample size (< 5 trawls).
Figure A.1.3. Mean (± 2*SE) biomass of low trophic level feeding guilds of demersal fish, for polygons in the Arctic Barents Sea (Black dots and grey shading). Linear regression fit with 95% CI is shown in blue, and the statistical results are given in the top of each plot. A local smoother is added in red to assist visual interpretation of non-linear changes during the period. Stars indicate years with low sample size (< 5 trawls).

A.1.4.2 Other supporting data

A)

Figure A. 1 .4. Mean ( ± 2*SE) biomass of planktivorous (A) and benthivorous (B) feeding guilds in bottom trawl catches in the Arctic part of the Barents Sea (Black dots and grey shading). Linear regression fit with 95% CI is shown in blue, and the statistical results are given in the top of each plot. A local smoother is added in red to assist visual interpretation of non-linear changes during the period

B)

Figure A. 1 .4. Mean ( ± 2*SE) biomass of planktivorous (A) and benthivorous (B) feeding guilds in bottom trawl catches in the Arctic part of the Barents Sea (Black dots and grey shading). Linear regression fit with 95% CI is shown in blue, and the statistical results are given in the top of each plot. A local smoother is added in red to assist visual interpretation of non-linear changes during the period
Figure A. 1.4. Mean (± 2*SE) biomass of planktivorous (A) and benthivorous (B) feeding guilds in bottom trawl catches in the Arctic part of the Barents Sea (Black dots and grey shading). Linear regression fit with 95% CI is shown in blue, and the statistical results are given in the top of each plot. A local smoother is added in red to assist visual interpretation of non-linear changes during the period

 


A) Planktivorous feeding guild

Figure A. 1.5 . Mean ( ± 2*SE) biomass of planktivorous (A) and benthivorous (B) feeding guilds in bottom trawl catches in each polygon in the Arctic part of the Barents Sea (Black dots and grey shading). Linear regression fit with 95% CI is shown in blue, and the statistical results are given in the top of each plot. A local smoother is added in red to assist visual interpretation of non-linear changes during the period. Stars indicate years with low sample size (< 5 trawls).


B) Benthivorous feeding guild

Figure A. 1.5 . Mean ( ± 2*SE) biomass of planktivorous (A) and benthivorous (B) feeding guilds in bottom trawl catches in each polygon in the Arctic part of the Barents Sea (Black dots and grey shading). Linear regression fit with 95% CI is shown in blue, and the statistical results are given in the top of each plot. A local smoother is added in red to assist visual interpretation of non-linear changes during the period. Stars indicate years with low sample size (< 5 trawls).
Figure A. 1.5. Mean (± 2*SE) biomass of planktivorous (A) and benthivorous (B) feeding guilds in bottom trawl catches in each polygon in the Arctic part of the Barents Sea (Black dots and grey shading). Linear regression fit with 95% CI is shown in blue, and the statistical results are given in the top of each plot. A local smoother is added in red to assist visual interpretation of non-linear changes during the period. Stars indicate years with low sample size (< 5 trawls).

Table A.1.1. The 10 most influencing species in the group of low trophic level demersal fish, their biogeographic classification and proportion of total biomass in the total Arctic part of the Barents Sea during the entire sampling period.
  Species Biogeo Biomass proportion
1 Gadus morhua boreal 0.5616
2 Melanogrammus aeglefinus boreal 0.1518
3 Hippoglossoides platessoides boreal 0.1478
4 Sebastes mentella boreal 0.0451
5 Micromesistius poutassou boreal 0.0288
6 Reinhardtius hippoglossoides boreal 0.0229
7 Anarhichas denticulatus boreal 0.0150
8 Somniosus microcephalus boreal 0.0132
9 Amblyraja radiata boreal 0.0082
10 Sebastes norvegicus boreal 0.0029

 

A.1.5 Recommendations for future development of the indicator

The trait information used is the best available for the region, but the indicator may be improved by including information from stomach contents or stable isotope samples collected for some of the important species each year. The recent approaches taken in OSPAR indicators should be considered.


A.2 Indicator: High trophic level benthic fish 

Ecosystem characteristic: Biomass distribution among trophic levels 

A.2.1 Supplementary metadata

Not relevant.

A.2.2 Supplementary methods

High trophic level fish were identified from classification of species into planktivorous, benthivorous and ichthyvorous feeding guilds using a fuzzy coding approach (Wiedmann et al., 2014; Frainer et al., 2021). Only the biomass of the ichthyvorous category was included as high trophic level. Indicator values are in biomass/km2.

Due to non-normal distributions, the medians of sample values were used as indicator values for polygons, while mean values were used for the total Arctic part of the Barents Sea.

A.2.3 Plots of indicator values

 

Figure A.2.1 Mean ( ± 2*SE) biomass of high trophic level feeding guild in demersal fish in the Arctic Barents Sea (Black dots and grey shading). Linear regression fit with 95% CI is shown in blue, and the statistical results are given in the top of each plot. A local smoother is added in red to assist visual interpretation of non-linear changes during the period
Figure A.2.1 Mean (± 2*SE) biomass of high trophic level feeding guild in demersal fish in the Arctic Barents Sea (Black dots and grey shading). Linear regression fit with 95% CI is shown in blue, and the statistical results are given in the top of each plot. A local smoother is added in red to assist visual interpretation of non-linear changes during the period

A.2.4 Background data and supplementary analysis

Figure A.2.3. Mean ( ± 2*SE) biomass of high trophic level demersal fish, for polygons in the Arctic Barents Sea (Black dots and grey shading). Linear regression fit with 95% CI is shown in blue, and the statistical results are given in the top of each plot. A local smoother is added in red to assist visual interpretation of non-linear changes during the period. Stars indicate years with low sample size (< 5 trawls).
Figure A.2.3. Mean (± 2*SE) biomass of high trophic level demersal fish, for polygons in the Arctic Barents Sea (Black dots and grey shading). Linear regression fit with 95% CI is shown in blue, and the statistical results are given in the top of each plot. A local smoother is added in red to assist visual interpretation of non-linear changes during the period. Stars indicate years with low sample size (< 5 trawls).

Table A.2.1. The 10 most influencing species in the group of low trophic level demersal fish, their biogeographic classification and proportion of total biomass in the total Arctic part of the Barents Sea during the entire sampling period.

 

Species

Biogeo

Biomass proportion

1

Gadus morhua

boreal

0.5616

2

Melanogrammus aeglefinus

boreal

0.1518

3

Hippoglossoides platessoides

boreal

0.1478

4

Sebastes mentella

boreal

0.0451

5

Micromesistius poutassou

boreal

0.0288

6

Reinhardtius hippoglossoides

boreal

0.0229

7

Anarhichas denticulatus

boreal

0.0150

8

Somniosus microcephalus

boreal

0.0132

9

Amblyraja radiata

boreal

0.0082

10

Sebastes norvegicus

boreal

0.0029

A.2.5 Recommendations for future development of the indicator

The trait information used is the best available for the region, but the indicator may be improved by including information from stomach contents or stable isotope samples collected for some of the important species each year. The recent approaches taken in OSPAR indicators should be considered.


A.3 Indicator: Fish feeding guilds

Ecosystem characteristic: Functional groups within trophic levels 

A.3.1 Supplementary metadata

Not relevant.

A.3.2 Supplementary methods

Species classification of fish into planktivorous, benthivorous and ichthyvorous feeding guilds were taken from the literature using a fuzzy coding approach (Wiedmann et al., 2014; Frainer et al., 2021). The indicator was based on biomass proportion of each of the three feeding guilds.

Due to non-normal distributions, the medians of sample values were used as indicator values for polygons, while mean values were used for the total Arctic part of the Barents Sea.

A.3.3 Plots of indicator values

A) Planktivorous proportion

Figure A.3.1 Mean ( ± 2*SE) biomass proportion of three feeding guilds in the Arctic Barents Sea (Black dots and grey shading). Linear regression fit with 95% CI is shown in blue, and the statistical results are given in the top of each plot. A local smoother is added in red to assist visual interpretation of non-linear changes during the period


B) Benthivorous proportion

Figure A.3.1 Mean ( ± 2*SE) biomass proportion of three feeding guilds in the Arctic Barents Sea (Black dots and grey shading). Linear regression fit with 95% CI is shown in blue, and the statistical results are given in the top of each plot. A local smoother is added in red to assist visual interpretation of non-linear changes during the period

C) Ichthyvorous proportion

Figure A.3.1 Mean ( ± 2*SE) biomass proportion of three feeding guilds in the Arctic Barents Sea (Black dots and grey shading). Linear regression fit with 95% CI is shown in blue, and the statistical results are given in the top of each plot. A local smoother is added in red to assist visual interpretation of non-linear changes during the period


 

Figure A.3.1 Mean ( ± 2*SE) biomass proportion of three feeding guilds in the Arctic Barents Sea (Black dots and grey shading). Linear regression fit with 95% CI is shown in blue, and the statistical results are given in the top of each plot. A local smoother is added in red to assist visual interpretation of non-linear changes during the period
Figure A.3.1 Mean (± 2*SE) biomass proportion of three feeding guilds in the Arctic Barents Sea (Black dots and grey shading). Linear regression fit with 95% CI is shown in blue, and the statistical results are given in the top of each plot. A local smoother is added in red to assist visual interpretation of non-linear changes during the period

 

Figure A.3.2 The red line represents fitted trend of degree 2 (quadratic). After fitting, residuals variance was 0.0005, R²=0.27.  
Figure A.3.2 The red line represents fitted trend of degree 2 (quadratic). After fitting, residuals variance was 0.0005, R²=0.27.  

Figure A.3.3 The red line represents fitted trend of degree 1 (linear). After fitting, residuals variance was 0.0002, R²=0.003.
Figure A.3.3 The red line represents fitted trend of degree 1 (linear). After fitting, residuals variance was 0.0002, R²=0.003.

 

Figure A.3.4 The red line represents fitted trend of degree 2 (quadratic). After fitting, residuals variance was 0.0001, R²=0.60.
Figure A.3.4 The red line represents fitted trend of degree 2 (quadratic). After fitting, residuals variance was 0.0001, R²=0.60.

A.3.4 Background data and supplementary analysis

A.3.4.1 Polygon level indicator values and trend analyses

Figure A.3.6. Mean ( ± 2*SE) biomass proportion of the benthivorous feeding guilds in the Arctic Barents Sea (Black dots and grey shading). Linear regression fit with 95% CI is shown in blue, and the statistical results are given in the top of each plot. A local smoother is added in red to assist visual interpretation of non-linear changes during the period. Stars indicate years with low sample size (< 5 trawls).
Figure A.3.6. Mean (± 2*SE) biomass proportion of the benthivorous feeding guilds in the Arctic Barents Sea (Black dots and grey shading). Linear regression fit with 95% CI is shown in blue, and the statistical results are given in the top of each plot. A local smoother is added in red to assist visual interpretation of non-linear changes during the period. Stars indicate years with low sample size (< 5 trawls).

 

Figure A.3.7. Mean ( ± 2*SE) biomass proportion of the ichthyvorous feeding guilds in the Arctic Barents Sea (Black dots and grey shading). Linear regression fit with 95% CI is shown in blue, and the statistical results are given in the top of each plot. A local smoother is added in red to assist visual interpretation of non-linear changes during the period. Stars indicate years with low sample size (< 5 trawls).
Figure A.3.7. Mean (± 2*SE) biomass proportion of the ichthyvorous feeding guilds in the Arctic Barents Sea (Black dots and grey shading). Linear regression fit with 95% CI is shown in blue, and the statistical results are given in the top of each plot. A local smoother is added in red to assist visual interpretation of non-linear changes during the period. Stars indicate years with low sample size (< 5 trawls).

 

Figure A.3.8 Median biomass proportion of three feeding guilds in each of the polygons. Stars denote years with low sample size (<5 trawls).
Figure A.3.8 Median biomass proportion of three feeding guilds in each of the polygons. Stars denote years with low sample size (<5 trawls).

A.3.4.2 Biomass of feeding guilds in total area and polygons

Figure A.3.9 Mean biomass of three feeding guilds (upper panel) and total biomass of demersal fish (lower panel) in the Arctic Barents Sea.
Figure A.3.9 Mean biomass of three feeding guilds (upper panel) and total biomass of demersal fish (lower panel) in the Arctic Barents Sea.

 

Figure A.3.10 Median biomass of three feeding guilds in each of the polygons. Stars denote years with low sample size (<5 trawls).
Figure A.3.10 Median biomass of three feeding guilds in each of the polygons. Stars denote years with low sample size (<5 trawls).

 


Figure A.3.11 Median ( ± mad) total biomass of demersal fish in each of the polygons. Stars denote years with low sample size (<5 trawls).
Figure A.3.11 Median (± mad) total biomass of demersal fish in each of the polygons. Stars denote years with low sample size (<5 trawls).

A.3.4.3 Indicator values focusing on the whole fish community

To explore the influence of species with high biomass on the indicator values and trend, we provide the following plot using log biomass of each species for weighting, and not including cod. Figures are presented for the total area only.

A) Planktivorous proportion

Figure A.3.12 Mean ( ± 2*SE) proportion based on log biomass, and excluding cod, of three feeding guilds in the Arctic Barents Sea (Black dots and grey shading). Linear regression fit with 95% CI is shown in blue, and the statistical results are given in the top of each plot. A local smoother is added in red to assist visual interpretation of non-linear changes during the period

B) Benthivorous proportion

Figure A.3.12 Mean ( ± 2*SE) proportion based on log biomass, and excluding cod, of three feeding guilds in the Arctic Barents Sea (Black dots and grey shading). Linear regression fit with 95% CI is shown in blue, and the statistical results are given in the top of each plot. A local smoother is added in red to assist visual interpretation of non-linear changes during the period


C) Ichthyvorous proportion

Figure A.3.12 Mean ( ± 2*SE) proportion based on log biomass, and excluding cod, of three feeding guilds in the Arctic Barents Sea (Black dots and grey shading). Linear regression fit with 95% CI is shown in blue, and the statistical results are given in the top of each plot. A local smoother is added in red to assist visual interpretation of non-linear changes during the period
Figure A.3.12 Mean (± 2*SE) proportion based on log biomass, and excluding cod, of three feeding guilds in the Arctic Barents Sea (Black dots and grey shading). Linear regression fit with 95% CI is shown in blue, and the statistical results are given in the top of each plot. A local smoother is added in red to assist visual interpretation of non-linear changes during the period

 


A.3.4.4 Importance of different species for different feeding guilds

Figure A.3.13 Average biomass for demersal fish species in the total Arctic part of the Barents Sea during the entire sampling period. Colors denote different foraging guilds: b=benthivorous, p=planktivorous, i=ichthyvorous, and species can be assigned to more than one feeding strategy.
Figure A.3.13 Average biomass for demersal fish species in the total Arctic part of the Barents Sea during the entire sampling period. Colors denote different foraging guilds: b=benthivorous, p=planktivorous, i=ichthyvorous, and species can be assigned to more than one feeding strategy.

 

A.3.5 Recommendations for future development of the indicator

The trait information used is the best available for the region, but the indicator may be improved by including information from stomach contents or stable isotope samples collected for some of the important species each year. This way spatial and temporal variation in trait values may be included. The recent approaches taken in OSPAR indicators should be considered.


Sub-Arctic Barents Sea

S.1 Indicator: Low trophic level benthic fish

Ecosystem characteristic: Biomass distribution among trophic levels 

S.1.1 Supplementary metadata

Not relevant

S.1.2 Supplementary methods

Low trophic level fish were identified from classification of species into planktivorous, benthivorous and ichthyvorous feeding guilds using a fuzzy coding approach (Wiedmann et al., 2014; Frainer et al., 2021). Both the benthivorous and planktivorous categories were included as low trophic level, and the biomass from these guilds were summed in each bottom trawl from the Barents Sea Ecosystem Survey. Indicator values are in biomass/km2.

Due to non-normal distributions, the medians of sample values were used as indicator values for polygons, while mean values were used for the total Sub-Arctic part of the Barents Sea.

S.1.3 Plots of indicator values

 

Figure S.1.1 Mean ( ± 2*SE) biomass of low trophic level feeding guilds of demersal fish in the Sub-Arctic Barents Sea (Black dots and grey shading). Linear regression fit with 95% CI is shown in blue, and the statistical results are given in the top of each plot. A local smoother is added in red to assist visual interpretation of non-linear changes during the period.
Figure S.1.1 Mean (± 2*SE) biomass of low trophic level feeding guilds of demersal fish in the Sub-Arctic Barents Sea (Black dots and grey shading). Linear regression fit with 95% CI is shown in blue, and the statistical results are given in the top of each plot. A local smoother is added in red to assist visual interpretation of non-linear changes during the period.

Figure S.1.2 The red line represents fitted trend of degree 1 (linear). After fitting, residuals variance was 299747.96, R²=0.08.
Figure S.1.2 The red line represents fitted trend of degree 1 (linear). After fitting, residuals variance was 299747.96, R²=0.08.

S.1.4 Background data and supplementary analysis

S.1.4.1 Polygon level indicator values and trend analyses

Figure S.1.3. Mean ( ± 2*SE) biomass of low trophic level feeding guilds of demersal fish, for polygons in the Sub-Arctic Barents Sea (Black dots and grey shading). Linear regression fit with 95% CI is shown in blue, and the statistical results are given in the top of each plot. A local smoother is added in red to assist visual interpretation of non-linear changes during the period. Stars indicate years with low sample size (< 5 trawls).
Figure S.1.3. Mean (± 2*SE) biomass of low trophic level feeding guilds of demersal fish, for polygons in the Sub-Arctic Barents Sea (Black dots and grey shading). Linear regression fit with 95% CI is shown in blue, and the statistical results are given in the top of each plot. A local smoother is added in red to assist visual interpretation of non-linear changes during the period. Stars indicate years with low sample size (< 5 trawls).

S.1.4.2 Other supporting data 

A)

Figure S. 1 .4. Mean ( ± 2*SE) biomass of planktivorous (A) and benthivorous (B) feeding guilds in bottom trawl catches in the Sub-Arctic part of the Barents Sea (Black dots and grey shading). Linear regression fit with 95% CI is shown in blue, and the statistical results are given in the top of each plot. A local smoother is added in red to assist visual interpretation of non-linear changes during the period

B)

Figure S. 1 .4. Mean ( ± 2*SE) biomass of planktivorous (A) and benthivorous (B) feeding guilds in bottom trawl catches in the Sub-Arctic part of the Barents Sea (Black dots and grey shading). Linear regression fit with 95% CI is shown in blue, and the statistical results are given in the top of each plot. A local smoother is added in red to assist visual interpretation of non-linear changes during the period
Figure S. 1.4. Mean (± 2*SE) biomass of planktivorous (A) and benthivorous (B) feeding guilds in bottom trawl catches in the Sub-Arctic part of the Barents Sea (Black dots and grey shading). Linear regression fit with 95% CI is shown in blue, and the statistical results are given in the top of each plot. A local smoother is added in red to assist visual interpretation of non-linear changes during the period

A) Planktivorous feeding guild

Figure S. 1.5 . Mean ( ± 2*SE) biomass of planktivorous (A) and benthivorous (B) feeding guilds in bottom trawl catches in each polygon in the Sub-Arctic part of the Barents Sea (Black dots and grey shading). Linear regression fit with 95% CI is shown in blue, and the statistical results are given in the top of each plot. A local smoother is added in red to assist visual interpretation of non-linear changes during the period. Stars indicate years with low sample size (< 5 trawls).


B) Benthivorous feeding guild

Figure S. 1.5 . Mean ( ± 2*SE) biomass of planktivorous (A) and benthivorous (B) feeding guilds in bottom trawl catches in each polygon in the Sub-Arctic part of the Barents Sea (Black dots and grey shading). Linear regression fit with 95% CI is shown in blue, and the statistical results are given in the top of each plot. A local smoother is added in red to assist visual interpretation of non-linear changes during the period. Stars indicate years with low sample size (< 5 trawls).
Figure S. 1.5. Mean (± 2*SE) biomass of planktivorous (A) and benthivorous (B) feeding guilds in bottom trawl catches in each polygon in the Sub-Arctic part of the Barents Sea (Black dots and grey shading). Linear regression fit with 95% CI is shown in blue, and the statistical results are given in the top of each plot. A local smoother is added in red to assist visual interpretation of non-linear changes during the period. Stars indicate years with low sample size (< 5 trawls).
 

 

Table S. 1.1. The 10 most influencing species in the group of low trophic level demersal fish, their biogeographic classification and proportion of total biomass in the total Sub-Arctic part of the Barents Sea during the entire sampling period.

 

Species

Biogeo

Biomass proportion

1

Micromesistius poutassou

boreal

0.2133

2

Sebastes mentella

boreal

0.1898

3

Trisopterus esmarkii

boreal

0.1474

4

Gadus morhua

boreal

0.1370

5

Melanogrammus aeglefinus

boreal

0.1062

6

Hippoglossoides platessoides

boreal

0.0327

7

Argentina silus

boreal

0.0306

8

Sebastes viviparus

boreal

0.0259

9

Reinhardtius hippoglossoides

boreal

0.0206

10

Anarhichas denticulatus

boreal

0.0186

 

S.1.5 Recommendations for future development of the indicator

The trait information used is the best available for the region, but the indicator may be improved by including information from stomach contents or stable isotope samples collected for some of the important species each year. The recent approaches taken in OSPAR indicators should be considered.

 


S.2 Indicator: High trophic level benthic fish 

Ecosystem characteristic: Biomass distribution among trophic levels 

S.2.1 Supplementary metadata

Not relevant

 

S.2.2 Supplementary methods

High trophic level fish were identified from classification of species into planktivorous, benthivorous and ichthyvorous feeding guilds using a fuzzy coding approach (Wiedmann et al., 2014; Frainer et al., 2021). Only the biomass of the ichthyvorous category was included as high trophic level. Indicator values are in biomass/km2.

Due to non-normal distributions, the medians of sample values were used as indicator values for polygons, while mean values were used for the total Arctic part of the Barents Sea.


S.2.3 Plots of indicator values

Figure S.2.1 Mean (± 2*SE) biomass of high trophic level feeding guild in demersal fish in the Sub-Arctic Barents Sea (Black dots and grey shading). Linear regression fit with 95% CI is shown in blue, and the statistical results are given in the top of each plot. A local smoother is added in red to assist visual interpretation of non-linear changes during the period .
Figure S.2.1. Mean (± 2*SE) biomass of high trophic level feeding guild in demersal fish in the Sub-Arctic Barents Sea (Black dots and grey shading). Linear regression fit with 95% CI is shown in blue, and the statistical results are given in the top of each plot. A local smoother is added in red to assist visual interpretation of non-linear changes during the period.

 

Figure S.2.2 The red line represents fitted trend of degree 1 (linear). After fitting, residuals variance was 532102.71, R²=0.00007.
Figure S.2.2. The red line represents fitted trend of degree 1 (linear). After fitting, residuals variance was 532102.71, R²=0.00007.

S.2.4 Background data and supplementary analysis

Figure S.2.3. Mean ( ± 2*SE) biomass of high trophic level demersal fish, for polygons in the Sub-Arctic Barents Sea (Black dots and grey shading). Linear regression fit with 95% CI is shown in blue, and the statistical results are given in the top of each plot. A local smoother is added in red to assist visual interpretation of non-linear changes during the period. Stars indicate years with low sample size (< 5 trawls).
Figure S.2.3. Mean (± 2*SE) biomass of high trophic level demersal fish, for polygons in the Sub-Arctic Barents Sea (Black dots and grey shading). Linear regression fit with 95% CI is shown in blue, and the statistical results are given in the top of each plot. A local smoother is added in red to assist visual interpretation of non-linear changes during the period. Stars indicate years with low sample size (< 5 trawls).

 

Table S. 2. 4. The 10 most influencing species in the group of low trophic level demersal fish, their biogeographic classification and proportion of total biomass in the total Sub-Arctic part of the Barents Sea during the entire sampling period.

 

Species

Biogeo

Biomass proportion

1

Micromesistius poutassou

boreal

0.2133

2

Sebastes mentella

boreal

0.1898

3

Trisopterus esmarkii

boreal

0.1474

4

Gadus morhua

boreal

0.1370

5

Melanogrammus aeglefinus

boreal

0.1062

6

Hippoglossoides platessoides

boreal

0.0327

7

Argentina silus

boreal

0.0306

8

Sebastes viviparus

boreal

0.0259

9

Reinhardtius hippoglossoides

boreal

0.0206

10

Anarhichas denticulatus

boreal

0.0186

 

S.2.5 Recommendations for future development of the indicator

The trait information used is the best available for the region, but the indicator may be improved by including information from stomach contents or stable isotope samples collected for some of the important species each year. The recent approaches taken in OSPAR indicators should be considered.


S.3 Indicator: Fish feeding guilds

Ecosystem characteristic: Functional groups within trophic levels 

 

S.3.1 Supplementary metadata

Not relevant.

S.3.2 Supplementary methods

Species classification of fish into planktivorous, benthivorous and ichthyvorous feeding guilds were taken from the literature using a fuzzy coding approach (Wiedmann et al., 2014; Frainer et al., 2021). The indicator was based on biomass proportion of each of the three feeding guilds.

Due to non-normal distributions, the medians of sample values were used as indicator values for polygons, while mean values were used for the total Sub-Arctic part of the Barents Sea.

S.3.3 Plots of indicator values

A) Planktivorous proportion

Figure S.3.1 Mean ( ± 2*SE) biomass proportion of three feeding guilds in the Sub-Arctic Barents Sea (Black dots and grey shading). Linear regression fit with 95% CI is shown in blue, and the statistical results are given in the top of each plot. A local smoother is added in red to assist visual interpretation of non-linear changes during the period


B) Benthivorous proportion

Figure S.3.1 Mean ( ± 2*SE) biomass proportion of three feeding guilds in the Sub-Arctic Barents Sea (Black dots and grey shading). Linear regression fit with 95% CI is shown in blue, and the statistical results are given in the top of each plot. A local smoother is added in red to assist visual interpretation of non-linear changes during the period

C) Ichthyvorous proportion

Figure S.3.1 Mean ( ± 2*SE) biomass proportion of three feeding guilds in the Sub-Arctic Barents Sea (Black dots and grey shading). Linear regression fit with 95% CI is shown in blue, and the statistical results are given in the top of each plot. A local smoother is added in red to assist visual interpretation of non-linear changes during the period


 

Figure S.3.1 Mean ( ± 2*SE) biomass proportion of three feeding guilds in the Sub-Arctic Barents Sea (Black dots and grey shading). Linear regression fit with 95% CI is shown in blue, and the statistical results are given in the top of each plot. A local smoother is added in red to assist visual interpretation of non-linear changes during the period
Figure S.3.1 Mean (± 2*SE) biomass proportion of three feeding guilds in the Sub-Arctic Barents Sea (Black dots and grey shading). Linear regression fit with 95% CI is shown in blue, and the statistical results are given in the top of each plot. A local smoother is added in red to assist visual interpretation of non-linear changes during the period

 

Figure S.3.2 The red line represents fitted trend of degree 3 (cubic). After fitting, residuals variance was 0.0004, R²=0.70.  
Figure S.3.2 The red line represents fitted trend of degree 3 (cubic). After fitting, residuals variance was 0.0004, R²=0.70.  

Figure S.3.3 The red line represents fitted trend of degree 3 (cubic). After fitting, residuals variance was 0.0003, R²=0.63.  
Figure S.3.3 The red line represents fitted trend of degree 3 (cubic). After fitting, residuals variance was 0.0003, R²=0.63.  

 

Figure S.3.4 The red line represents fitted trend of degree 3 (cubic). After fitting, residuals variance was 0.0003, R²=0.58.  
Figure S.3.4 The red line represents fitted trend of degree 3 (cubic). After fitting, residuals variance was 0.0003, R²=0.58.  

S.3.4 Background data and supplementary analysis

S.3.4.1 Polygon level indicator values and trend analyses

Figure S.3.5. Mean ( ± 2*SE) biomass proportion of the planktivorous feeding guilds in the Sub-Arctic Barents Sea (Black dots and grey shading). Linear regression fit with 95% CI is shown in blue, and the statistical results are given in the top of each plot. A local smoother is added in red to assist visual interpretation of non-linear changes during the period. Stars indicate years with low sample size (< 5 trawls).
Figure S.3.5. Mean (± 2*SE) biomass proportion of the planktivorous feeding guilds in the Sub-Arctic Barents Sea (Black dots and grey shading). Linear regression fit with 95% CI is shown in blue, and the statistical results are given in the top of each plot. A local smoother is added in red to assist visual interpretation of non-linear changes during the period. Stars indicate years with low sample size (< 5 trawls).

 


Figure S.3.6. Mean ( ± 2*SE) biomass proportion of the benthivorous feeding guilds in the Sub-Arctic Barents Sea (Black dots and grey shading). Linear regression fit with 95% CI is shown in blue, and the statistical results are given in the top of each plot. A local smoother is added in red to assist visual interpretation of non-linear changes during the period. Stars indicate years with low sample size (< 5 trawls).
Figure S.3.6. Mean (± 2*SE) biomass proportion of the benthivorous feeding guilds in the Sub-Arctic Barents Sea (Black dots and grey shading). Linear regression fit with 95% CI is shown in blue, and the statistical results are given in the top of each plot. A local smoother is added in red to assist visual interpretation of non-linear changes during the period. Stars indicate years with low sample size (< 5 trawls).

Figure S.3.7. Mean ( ± 2*SE) biomass proportion of the ichthyvorous feeding guilds in the Sub-Arctic Barents Sea (Black dots and grey shading). Linear regression fit with 95% CI is shown in blue, and the statistical results are given in the top of each plot. A local smoother is added in red to assist visual interpretation of non-linear changes during the period. Stars indicate years with low sample size (< 5 trawls).
Figure S.3.7. Mean (± 2*SE) biomass proportion of the ichthyvorous feeding guilds in the Sub-Arctic Barents Sea (Black dots and grey shading). Linear regression fit with 95% CI is shown in blue, and the statistical results are given in the top of each plot. A local smoother is added in red to assist visual interpretation of non-linear changes during the period. Stars indicate years with low sample size (< 5 trawls).

Figure S.3.8 Median biomass proportion of three feeding guilds in each of the polygons. Stars denote years with low sample size (<5 trawls).
Figure S.3.8 Median biomass proportion of three feeding guilds in each of the polygons. Stars denote years with low sample size (<5 trawls).

S.3.4.2 Biomass of feeding guilds in total area and polygons

 

Figure S.3.9 Mean biomass of three feeding guilds (upper panel) and total biomass of demersal fish (lower panel) in the Sub-Arctic Barents Sea.
Figure S.3.9 Mean biomass of three feeding guilds (upper panel) and total biomass of demersal fish (lower panel) in the Sub-Arctic Barents Sea.

 

Figure S.3.10 Median biomass of three feeding guilds in each of the polygons. Stars denote years with low sample size (<5 trawls).
Figure S.3.10 Median biomass of three feeding guilds in each of the polygons. Stars denote years with low sample size (<5 trawls).

Figure S.3.11 Median ( ± mad) total biomass of demersal fish in each of the polygons. Stars denote years with low sample size (<5 trawls).
Figure S.3.11 Median (± mad) total biomass of demersal fish in each of the polygons. Stars denote years with low sample size (<5 trawls).

S.3.4.3 Indicator values focusing on the whole fish community

To explore the influence of species with high biomass on the indicator values and trend, we provide the following plot using log biomass of each species for weighting, and not including cod. Figures are presented for the total area only.

A) Planktivorous proportion

Figure S.3.12 Mean ( ± 2*SE) proportion based on log biomass, and excluding cod, of three feeding guilds in the Sub-Arctic Barents Sea (Black dots and grey shading). Linear regression fit with 95% CI is shown in blue, and the statistical results are given in the top of each plot. A local smoother is added in red to assist visual interpretation of non-linear changes during the period

B) Benthivorous proportion

Figure S.3.12 Mean ( ± 2*SE) proportion based on log biomass, and excluding cod, of three feeding guilds in the Sub-Arctic Barents Sea (Black dots and grey shading). Linear regression fit with 95% CI is shown in blue, and the statistical results are given in the top of each plot. A local smoother is added in red to assist visual interpretation of non-linear changes during the period


C) Ichthyvorous proportion

Figure S.3.12 Mean ( ± 2*SE) proportion based on log biomass, and excluding cod, of three feeding guilds in the Sub-Arctic Barents Sea (Black dots and grey shading). Linear regression fit with 95% CI is shown in blue, and the statistical results are given in the top of each plot. A local smoother is added in red to assist visual interpretation of non-linear changes during the period
Figure S.3.12 Mean (± 2*SE) proportion based on log biomass, and excluding cod, of three feeding guilds in the Sub-Arctic Barents Sea (Black dots and grey shading). Linear regression fit with 95% CI is shown in blue, and the statistical results are given in the top of each plot. A local smoother is added in red to assist visual interpretation of non-linear changes during the period

S.3.4.4 Importance of different species for different feeding guilds

Figure S.3.13 Average biomass for demersal fish species in the total Sub-Arctic part of the Barents Sea during the entire sampling period. Colors denote different foraging guilds: b=benthivorous, p=planktivorous, i=ichthyvorous, and species can be assigned to more than one feeding strategy.
Figure S.3.13 Average biomass for demersal fish species in the total Sub-Arctic part of the Barents Sea during the entire sampling period. Colors denote different foraging guilds: b=benthivorous, p=planktivorous, i=ichthyvorous, and species can be assigned to more than one feeding strategy.

 

S.3.5 Recommendations for future development of the indicator

The trait information used is the best available for the region, but the indicator may be improved by including information from stomach contents or stable isotope samples collected for some of the important species each year. This way spatial and temporal variation in trait values may be included. The recent approaches taken in OSPAR indicators should be considered.


References

Frainer, A., Primicerio, R., Dolgov, A., Fossheim, M., Johannesen, E., Lind, S., and Aschan, M. 2021. Increased functional diversity warns of ecological transition in the Arctic. Proceedings of the Royal Society B-Biological Sciences, 288.

Wiedmann, M. A., Aschan, M., Certain, G., Dolgov, A., Greenacre, M., Johannesen, E., Planque, B., et al. 2014. Functional diversity of the Barents Sea fish community. Marine Ecology Progress Series, 495: 205-+.

 

Appendix 8.6 - Assessment of the ecosystem characteristic Abiotic factors for the period 2004-2019/2020

Introduction

This appendix gives the assessment of the ecosystem characteristic Abiotic factors using only data from the period 2004-2019/2020. This separate assessment is included to:

  1. Show the climatic drivers on the same temporal scale as several of the biological indicators, since climate is an important driver in the system. This will help to put the results from biological indicators into context.

  2. Show the importance of time-series length for the conclusions we make. It is a challenge to use time-series of different length in the framework. Assessing short-time series limits the explanatory power.

The assessment follows the PAEC protocol, where the steps are described in the main report text. Below, the assessment of the knowledge base, the assessment of the phenomena and finally the assessment of the ecosystem characteristic are given for respectively the Arctic and the sub-Arctic part of the Barents Sea.


Assessment of the knowledge base

DATA INDICATOR ECOSYSTEM CHARACTERISTIC
Dataset ID Spatial representativity (SR) Temporal representativity (TR) Data coverage Indicator coverage
  SRd1 SRd2 SRd3 SRm SRtotal TRyr TRse TRtotal DC IC
D01 154 155 156 157   * 159   Temperature [AI37] Abiotic factors 184
D01 154 155 156 157   * 159   Area of water masses [AI38]
D01 154 155 156 157   * 159   Freshwater content [AI39]
D01 154 155 156 157   * 159   Stratification [AI40]
D02 160 161 162 163   * 165   Sea ice area [AI28]
D03 178 179 180 181   182 183   pH [AI41]
D03 178 179 180 181   182 183   Aragonite saturation [AI42]
Table A 6.1a. Assessment of the knowledge base for the datasets, indicators, and ecosystem characteristic for the period 2004-2019/2020 for “Abiotic factors” for the Arctic Barents Sea.

 

DATA INDICATOR ECOSYSTEM CHARACTERISTIC
Dataset ID Spatial representativity (SR) Temporal representativity (TR) Data coverage Indicator coverage
  SRd1 SRd2 SRd3 SRm SRtotal TRyr TRse TRtotal DC IC
D01 294 295 296 297   * 299   Temperature [SI32] Abiotic factors 308
D01 294 295 296 297   * 299   Area of water masses [SI33]
D01 294 295 296 297   * 299   Stratification [SI34]
D03 302 303 304 305   306 307   pH [SI35]
D03 302 303 304 305   306 307   Aragonite saturation [SI36]
Table A6.1b. Assessment of the knowledge base for the datasets, indicators and ecosystem characteristic for the period 2004-2019/2020 for “Abiotic factors” for the Sub-Arctic Barents Sea.

 


Assessment of the phenomena

Table A 6.2a Assessment of phenomena in for the ecosystem characteristic “Abiotic factors” for the period 2004-2019/2020 for the Arctic Barents Sea. For definitions of categories and criteria see Fig. 7.2. Details on VP is found under the phenomena description for each indicator in section 5.1.1. Comments to footnotes are given in Appendix 8.3. *Temporal representativity is considered inadequate, as time series are short relative to relevant dynamics of the indicators.
Ecosystem characteristic Indicator Phenomenon Validity of Phenomenon (VP) Evidence for Phenomenon (EP) Comments EP
Abiotic factors Temperature [AI37] Warming of the water column  [AP44] High None - There is no overall trend in the indicator for the years 2004-2019 and thus no evidence that the phenomenon has occurred for this time period.
Abiotic factors Area of water masses [AI38] Decreasing area covered by Arctic water [AP45] High None - There is no overall trend in the indicator for the years 2004-2019 and thus no evidence that the phenomenon has occurred for this time period.
Abiotic factors Freshwater content [AI39] Decreasing freshwater content [AP46] High None - There is no overall trend in the indicator for the years 2004-2019 and thus no evidence that the phenomenon has occurred for this time period.
Abiotic factors Stratification [AI40] Decreasing stratification of the upper water column [AP47] High None - There is no overall trend in the indicator for the years 2004-2019 and thus no evidence that the phenomenon has occurred for this time period.
Abiotic factors Sea ice area [AI28] Decreasing sea ice extent in winter and summer [AP35] High Data insufficient - For the period 2004-2020 there is a weak decreasing trend (-0.8*1000 km2 yr-1) in the indicator for September, whereas for April there is a moderate positive trend (1.6*1000 km2 yr-1). However, interannual variability of sea ice area in the region is relatively high, which limits conclusions from trends calculated over this time interval.
Abiotic factors pH [AI41] Decreasing pH [AP48] Intermediate Intermediate - The linear fit in the relatively short time period from 2013 to 2020 shows a significant trend of decreasing pH of 0.0022 yr -1 in the Arctic waters. Consequences of such changes for the ecosystem are however poorly known, and the evidence for the phenomenon is thus rated as “intermediate” rather than “high”.
Abiotic factors Aragonite saturation [AI42] Decreasing aragonite saturation [AP49] Intermediate Intermediate - The linear fit in the relatively short time period from 2013 to 2020 shows a trend of decreasing Ω Ar of 0.0037 yr -1 in the Arctic waters which is slower than what has been observed in the interior of the Arctic Ocean of -0.018 yr -1. Consequences of such changes for the ecosystem are however poorly known, and the evidence for the phenomenon is thus rated as “intermediate” rather than “high”.

 


Ecosystem characteristic Indicator Phenomenon Validity of Phenomenon (VP) Evidence for Phenomenon (EP) Comments EP
Abiotic factors Temperature [SI32] Warming of the water column  [SP37] High None   There is no overall trend in the indicator for the years 2004-2019 and thus no evidence that the phenomenon has occurred for this time period.
Abiotic factors Area of water masses [SI33] Increasing area covered by Atlantic water [SP32] High None   There is no overall trend in the indicator for the years 2004-2019 and thus no evidence that the phenomenon has occurred for this time period.
Abiotic factors Stratification [SI34] Increasing stratification of the upper water column [SI38] Intermediate None   There is no overall trend in the indicator for the years 2004-2019 and thus no evidence that the phenomenon has occurred for this time period. 
Abiotic factors pH [SI35]  Decreasing pH [SP39]  High Intermediate   The linear fit in the relatively short time period from 2012 to 2020 shows a significant trend of decreasing pH of 0.0017 yr -1 in the sub-Arctic waters. Consequences of such changes for the ecosystem are however poorly known, and the evidence for the phenomenon is thus rated as “intermediate” rather than “high”. 
Abiotic factors Aragonite saturation [SI36]  Decreasing Aragonite saturation [SI41]  High Intermediate   The linear fit in the relatively short time period from 2012 to 2020 shows a significant trend of decreasing Ω Ar of 0.0013 yr -1 in the sub-Arctic waters. Consequences of such changes for the ecosystem are however poorly known, and the evidence for the phenomenon is thus rated as “intermediate” rather than “high”.
Table A 6.2b Assessment of phenomena in for the ecosystem characteristic “Abiotic factors” for the period 2004-2019/2020 for the sub-Arctic Barents Sea. For definitions of categories and criteria see Fig. 7.2. Details on VP is found under the phenomena description for each indicator in section 5.1.1

Assessment of the ecosystem characteristic Abiotic factors

Arctic Barents Sea – Abiotic factors, reduced dataset: 2004-2019/2020

 

Figure Supp. 8.6.1 . The PAEC assessment diagram for the Arctic part of the Barents Sea provides an overview of all phenomena for the ecosystem characteristic “Abiotic factors” limited to data at the temporal scale of biological data (2004-2020). Each dot represents the assessment of a phenomenon with ID (from Table 5.1a). The size of the dot indicates the data coverage (DC; larger symbols = better coverage, from Table 7.1a). The placement of the dot shows the value for the validity (VP) of the phenomenon and the levels of evidence (EP) for the phenomenon (from Table 7.2a). Note that phenomena which are scored as EP=Insufficient, should not be accounted for in the assessment, but are plotted to highlight phenomena for which data coverage and/or quality should be improved for future assessments. Bold lines around the coloured boxes, within the diagrams for each of the ecosystem characteristics, indicate the condition of the respective characteristic .

 

Figure Supp. 8.6.1 . The PAEC assessment diagram for the Arctic part of the Barents Sea provides an overview of all phenomena for the ecosystem characteristic “Abiotic factors” limited to data at the temporal scale of biological data (2004-2020). Each dot represents the assessment of a phenomenon with ID (from Table 5.1a). The size of the dot indicates the data coverage (DC; larger symbols = better coverage, from Table 7.1a). The placement of the dot shows the value for the validity (VP) of the phenomenon and the levels of evidence (EP) for the phenomenon (from Table 7.2a). Note that phenomena which are scored as EP=Insufficient, should not be accounted for in the assessment, but are plotted to highlight phenomena for which data coverage and/or quality should be improved for future assessments. Bold lines around the coloured boxes, within the diagrams for each of the ecosystem characteristics, indicate the condition of the respective characteristic .
Figure Supp. 8.6.1. The PAEC assessment diagram for the Arctic part of the Barents Sea provides an overview of all phenomena for the ecosystem characteristic “Abiotic factors” limited to data at the temporal scale of biological data (2004-2020). Each dot represents the assessment of a phenomenon with ID (from Table 5.1a). The size of the dot indicates the data coverage (DC; larger symbols = better coverage, from Table 7.1a). The placement of the dot shows the value for the validity (VP) of the phenomenon and the levels of evidence (EP) for the phenomenon (from Table 7.2a). Note that phenomena which are scored as EP=Insufficient, should not be accounted for in the assessment, but are plotted to highlight phenomena for which data coverage and/or quality should be improved for future assessments. Bold lines around the coloured boxes, within the diagrams for each of the ecosystem characteristics, indicate the condition of the respective characteristic.

Assessment category : Based on the set of indicators, this ecosystem characteristic for the period 2004 to 2019/2020 is assessed as showing no evidence of deviation from the reference condition.

Justification for choice of assessment category : This assessment is based on seven indicators associated with seven phenomena (AP28 and AP37-42). Five of the phenomena (Ap28 and AP37-40) have high validity and intermediate to good data coverage. For four of these, it is assessed that there is no evidence for the phenomena. Thus, for these, multi-annual variation dominates for the period 2004-2019/2020 over any trends, which are typically seen only on multi-decadal scales. For the last one (AP28, decreasing sea ice area) evidence is considered insufficient for an assessment to be made. The remaining two phenomena, which are related to ocean acidification processes (pH and Aragonite saturation, AP41 and AP42) and have intermediate data coverage, show signs of expected decreases with changes in climate. The main justification of the choice of assessment category rests on the fact that the time series are too short, and the multi-annual variability (5-10 years) is too large.

Uncertainties related to the choice of assessment category :

There is little uncertainty about the choice of assessment category.. Thus, when comparing the assessment given here with the one based on the longer time series given in the main report text, it can be concluded with high confidence that the assessment can depend on the time series lengths.


Sub-Arctic Barents Sea – Abiotic factors, reduced dataset 2004-2019/2020

Figure Supp. 8.6.2. The PAEC assessment diagram for the Arctic part of the Barents Sea provides an overview of all phenomena for the ecosystem characteristic “Abiotic factors” limited to data at the temporal scale of biological data (2004-2020). Each dot represents the assessment of a phenomenon with ID (from Table 5.1a). The size of the dot indicates the data coverage (DC; larger symbols = better coverage, from Table 7.1a). The placement of the dot shows the value for the validity (VP) of the phenomenon and the levels of evidence (EP) for the phenomenon (from Table 7.2a). Note that phenomena which are scored as EP=Insufficient, should not be accounted for in the assessment, but are plotted to highlight phenomena for which data coverage and/or quality should be improved for future assessments. Bold lines around the coloured boxes, within the diagrams for each of the ecosystem characteristics, indicate the condition of the respective characteristic.

 

Figure Supp. 8.6.2. The PAEC assessment diagram for the Arctic part of the Barents Sea provides an overview of all phenomena for the ecosystem characteristic “Abiotic factors” limited to data at the temporal scale of biological data (2004-2020). Each dot represents the assessment of a phenomenon with ID (from Table 5.1a). The size of the dot indicates the data coverage (DC; larger symbols = better coverage, from Table 7.1a). The placement of the dot shows the value for the validity (VP) of the phenomenon and the levels of evidence (EP) for the phenomenon (from Table 7.2a). Note that phenomena which are scored as EP=Insufficient, should not be accounted for in the assessment, but are plotted to highlight phenomena for which data coverage and/or quality should be improved for future assessments. Bold lines around the coloured boxes, within the diagrams for each of the ecosystem characteristics, indicate the condition of the respective characteristic.
Figure Supp. 8.6.2. The PAEC assessment diagram for the Arctic part of the Barents Sea provides an overview of all phenomena for the ecosystem characteristic “Abiotic factors” limited to data at the temporal scale of biological data (2004-2020). Each dot represents the assessment of a phenomenon with ID (from Table 5.1a). The size of the dot indicates the data coverage (DC; larger symbols = better coverage, from Table 7.1a). The placement of the dot shows the value for the validity (VP) of the phenomenon and the levels of evidence (EP) for the phenomenon (from Table 7.2a). Note that phenomena which are scored as EP=Insufficient, should not be accounted for in the assessment, but are plotted to highlight phenomena for which data coverage and/or quality should be improved for future assessments. Bold lines around the coloured boxes, within the diagrams for each of the ecosystem characteristics, indicate the condition of the respective characteristic.

 

Assessment category : Based on the set of indicators, this ecosystem characteristic for the period 2004 to 2019/2020 is assessed as showing no evidence of deviation from the reference condition.

Justification for choice of assessment category : This assessment is based on five indicators with five associated phenomena (SP32-36) that are of intermediate (3) and high (2) validity and all have intermediate data coverage when data use is limited to the 2004 to 2019/2020 period. Temperature (SI32) and area of Atlantic water masses (SI33) are important indicators related to the control of the heat content in the Sub-Arctic part of the Barents Sea but show no linear trends and no evidence of deviation from the reference condition when using only data from 2004 to 2019. There is also no evidence of increasing stratification (SI34) of the upper water column for this period. Thus, for these, multi-annual variation dominates for the period 2004-2019 over any trends, which are typically seen only on multi-decadal scales. The indicators related to the carbonate system, pH (SI35) and aragonite saturation (SI36), and both show signs of anthropogenic impact. The main justification of the choice of assessment category rests on the fact that the phenomena showing no signs of anthropogenic impact since the time series are too short and the multi-annual variability too large.

Uncertainties related to the choice of assessment category :

There is little uncertainty about the choice of assessment category. Thus, when comparing the assessment given here with the one based on the longer time series given in the main report text, it can be concluded with high confidence that the assessment can depend on time series lengths.