Gå til hovedinnhold

Production, fasting and delousing of triploid and diploid salmon in Northern Norway

— Report for the 2021- and 2022-generations

Author(s): Lars Helge Stien , Thomas Fraser , Per Gunnar Fjelldal (IMR), Per Anton Sæther (Åkerblå AS) and Per Magne Bølgen (SalMar AS)

Summary

This report is an investigation into the 2021- and 2022-generations of triploid Atlantic salmon (Salmo salar L.) in Northern Norway and their diploid counterparts. The trajectory of 22 fish groups comprising around 11 million fish is described throughout their production cycles. The commercially cultivated fish vary in origin and rearing environment, and experience different disease and treatment events. As such, although the dataset provides a unique overview of the salmon production cycle, it cannot be considered experimental in its nature as numerous factors were not controlled for. The data, do however, provide insight into all the complex assessment and trade-offs fish farmers and fish health personnel do to optimise the health and welfare of their fish. The data show that both movement of fish between farms and applying delousing treatments increases mortality in the weeks after the operation compared to before, regardless of ploidy. Mortality especially increased after thermal and mechanical treatments even though these were preferentially applied to fish perceived to be stronger. From the most meaningful comparisons in fish transferred to sea between April and August (e.g. Spring transfer), triploids developed a significant increase in winter ulcers during the first winter at sea, had a significantly higher loss at harvest (median, 12 versus 16%), a non-significant 8% reduction in harvest weight (median, 4.8 versus 4.4kg), and significantly fewer “superior” graded fish (medians, 95 versus 82%) compared to diploids. However, there was no ploidy effect on the feed conversion ratio. Therefore, despite some improvements compared to the 2020-generation, the 2021/22 triploid groups were still inferior to the diploid reference groups based on most of the economic and welfare indicators.

1 - Introduction

The expansion of the Atlantic salmon (Salmo salar L.) industry has slowed due to increased environmental scrutiny. This includes worries about the threats to wild salmon from parasitic sea lice and genetic introgression between wild and farmed fish via farm escapees (Grefsrud et al., 2022). To combat these threats, the Norwegian government issued 45 “green licenses” in 2013, awarded to companies that could demonstrate sufficient mitigation strategies that would minimise the impact of salmon farming on the environment. NRS Farming AS and Wilsgård Fiskeoppdrett AS were awarded 20 of these licenses to farm reproductively sterile fish in northern Norway from 2014. This is considered the most efficient method for preventing genetic introgression between farm escapees and wild salmon. Sterility can be induced in salmonids through a variety of methods, but the only feasible technique for today’s commercial industry is to use triploid Atlantic salmon (Benfey et al., 2016). These are salmon which have an additional third chromosome set, meaning they have 50% more DNA than normal salmon which are diploids as they have only two chromosome sets.

The production of triploid salmon has been achievable since the 1970’s, but it has not been widely adopted by the Norwegian salmon farming industry due to concerns over fish welfare. Initially, these concerns covered ocular cataracts and jaw and vertebral deformities, but these can be mitigated by using triploid specific diets (Taylor et al., 2015; Fjelldal et al., 2016) and low early rearing temperatures (Fraser et al., 2015a). Nevertheless, to ensure the health and welfare of triploid salmon, NRS Farming AS and Wilsgård Fiskeoppdrett AS had to document the performance of their fish. This has been done through a collaboration between the farm companies, the fish health service, and the Institute of Marine Research (IMR). The results so far have been published in a set of reports (Stien et al. 2019, 2021ab, 2023), respectively reporting the results from the 2014-2017-, 2018-, 2019-, and 2020-year classes of triploid and reference diploid fish. These reports have led to new concerns, as the data imply that compared to the reference groups of diploids, triploids i) suffer higher mortalities throughout the sea phase of the production cycle, especially when transferred to sea in the autumn rather than the spring, ii) suffer more from winter ulcers, and iii) are suspected to be more susceptible to infectious salmon anaemia (ISA).

The report for the 2020-year class (Stien et al., 2023) differed from the previous reports with new investigations into the effects of handling and fasting, the influence of farm and fish health personnel’s decisions on the health and welfare of the fish, and the slaughter quality and economic feed factor of the fish. The results showed that handling is a risk to both diploid and triploid salmon. It was, however, clear that both the farmers and the fish health personnel viewed triploids as being inferior and less robust than diploids, and that this influenced how they treated the two ploidies. For instance, they preferred chemical delousing methods for triploids, fasted the triploids for longer (more degree days) prior to delousing operations, and made other adjustments to ease the handling for the triploids. The added caution around delousing may have mitigated some of the fish health and welfare problems of the triploids and was put forward in the report as a possible explanation as to why the triploid groups in the 2020-generation had a smaller peak in mortality after delousing operations compared to the diploid reference groups. The triploid salmon had, however, higher feed conversion ratio, lower weight at slaughter, and a lower percentage of superior graded fish at slaughter. All in all, it was therefore concluded that triploid salmon are more expensive to produce, less profitable, and have inferior health and welfare outcomes compared to diploid.

The current report for the 2021- and 2022-year classes follows the same lines as the report for the 2020-year class, for easy comparison, and to either confirm or contradict its findings. One important difference from the 2020-year class is that NRS Farming AS was bought by SalMar ASA in the spring of 2022. The last part of the production of the 2021-year class and most of the production of the 2022-year class were therefore done under a different management regime. As for the 2020-year class report, the main aims were to use the production data collected from the “green licenses” at NRS Farming AS (now SalMar ASA) and Wilsgård Fiskeoppdrett AS in Finnmark and Troms to investigate:

  1. The effects on fish health and welfare of: a) Sea transfer, b) Moving fish to a new farm and c) Delousing
  2. If fasting modulates the welfare outcome of delousing
  3. Differences in wound healing and ulcer development between diploids and triploids
  4. If the causal relationship between ploidy and ISA remains
  5. How farmers’ decisions affect the results
  6. Differences in production performance between ploidy

2 - Materials and methods

2.1 - Gathering data from commercial sources

This report follows the production of diploid and triploid Atlantic salmon transferred to sea in 2021 and 2022 at commercial farms in Troms and Finnmark. The proprietary data was gathered through a cooperation with two different aquaculture firms and includes information on the origin and production course of the fish, daily production data for each cage, assessment of external injuries of a subsample of 20 fish done as part of the weekly lice counts by the farmers, health status as recorded by veterinarians at their monthly visits, key data for delousing treatments, and harvest data for the production calculated at harvest. Monthly meetings were held between researchers from the Institute of Marine Research, fish health personnel, and representatives of the companies, to discuss, validate, and explain major events and decisions, such as delousing treatments and the movement of fish between farms and cages. The data is extensive but does not contain the strict controls required in experimental studies. This prevents direct comparability between ploidies and groups of fish, even on the same farm, which may differ in their hatchery origin, strain, feed, environment, pathogen exposure, and disease or delousing treatment. The priority of farm managers and fish health personnel throughout the production cycle was to achieve the best possible fish health and welfare and the highest quality and quantity of end-product possible, and thus they adapted their husbandry to any posed threat. Here, that framework of understanding was central to the analysis of the data and to the interpretation of the results.

2.2 - Production data

The production data from the companies consists of daily recordings of key production metrics from each cage at each farm, including the number of dead fish collected, the number of fish euthanised, average sea temperature at three meters depth, and the amount of feed distributed within the cage. Additional production data variables are calculated from those metrics. For example, the number of fish in the cage is calculated by subtracting the number of fish which either died, were euthanised or were transferred out of the cage, from the number of fish originally put into the cage. Inaccuracies in these estimates can result from the error margin of the fish count provided by the delivery boat and the unobserved loss of any fish that is not found in the collector system of dead fish. The average weight of the caged fish is calculated recursively based on the initial average size of the fish at transfer, the amount of feed distributed to the fish each day, and the respective sea temperature. However, during the production, these can sometimes be corrected after a new physical count is undertaken during delousing, and the weights corrected based on sampling of fish from the respective cages.

2.3 - External injury data

Norwegian salmon farmers are obliged by regulation (FOR-2012-12-05-1140) to sample at least 10 to 20 fish (depending on season) and count the number of adult female, mobile and sessile salmon lice (Lepeophtheirus salmonis) on each of them. As part of the project, these fish were also inspected for external injuries. This included scoring of bone health indicators (opercula, spine, upper and lower jaw deformity), skin welfare indicators (fin wound, skin bleeding, snout wound and wound/ulcer on the fish body) and eye welfare indicators (eye clouding and eye bleeding/injury). As far as possible, these data were recorded weekly for each cage at each farm. In short, the farmers inspected each fish, and scored them from 0 to 3, where 0 implies no injury/defect, 1 denotes minor or very mild, 2 is clear, and 3 represents severe injury/defect. To facilitate the recordings, the companies commissioned the development of a software program (Røkter 2.0) that saves and produces graphical reports and enables downloading of these data. The scoring system was developed in collaboration with the LAKSVEL-project and includes images of each indicator and scoring level (Nilsson et al., 2022). In addition to salmon lice, the farmers counted the number of Caligus elongatus (known in Norway as “the Scottish louse”) as these can also pose a welfare threat.

2.4 - Health information

All the farms were visited monthly by the fish health service. A fish health biologist or veterinarian surveyed the sea cages for visible sick or damaged fish at the surface, inspected the dead fish collected that day, and (if deemed necessary) took samples for further testing and detection of pathogens. Based on these observations the fish health service made a monthly report of their general impression of the health situation on the farms and the results of any diagnostic tests of fish from sea cages with suspected problems. These reports are a mixture of qualitative and clinical data, and their exact format and what is included varies. Nonetheless, they provide important insight into the health situation at each farm throughout the productions.

2.5 - Fish groups

The monitoring of the 2021 and 2020 generations includes 10.9 million fish that were divisible into 22 distinct fish groups characterized by 5 cultivated strains of Atlantic salmon originating from 9 different hatcheries and originally transferred to 63 sea cages at 9 different farms (Table 1). Each farm (also referred to as locality or farm site) includes 4 to 10 sea cages that can each legally hold up to 200 000 fish at 25 kg/m3, and as the fish grows it may be necessary to move and divide fish into more cages. Following corporate structures, the farm may be connected to multiple hatcheries and adjacent farms which can be sources of smolts or fish split from a full sea cage. It is therefore common for a farm to have fish from different groups. At 5 of the farms there were both diploid and triploid groups, but these were comprised of fish of different strains from different hatcheries (L2, L5, L6, L8, and L9, Table 1).

Table 1: Fish groups at sea transfer in 2021 and 2022 as recorded in the production data. Group ID, hatchery of origin, fish strain, D/T = Diploid or Triploid, farm number (L#, L#a in case of later move to farm L#b), date of first and last transfer, number of sea cages (#), minimum to maximum mean weights in the cages, minimum and maximum number of fish (N) transferred to each cage. Group IDs are used throughout to denote these particular fish.

Group

Hatc.

Strain

T/D

Farm

Period

 # 

Cages

Weight(g)

Fish(N)  

L1D1

H5

AquaGen

D

L1

18-21 Jan 2021

4

M5, M6, M12, M13

197 - 315

106 - 157

L2D1

H1

AquaGen

D

L2

24 Apr - 9 May

3

M2, M9, M11

87 - 110

200

L2D2

H9

Rauma

D

L2

10 May 2021

1

M1

178

190

L2T1

H7

AquaGen

T

L2

6 May – 25 Jun 2021

4

M6, M10, M3, M14

89 - 124

123 - 140

L3T1

H6

SalmoBreed

T

L3a

14 - 18 May 2021

6

M5, M6, M12, M4, M9, M11

119 - 179

182 - 192

L3T2

H8

Salmobreed

T

L3a

18 Jun 2021

1

M10

102

156

L4D1

H4

Mowi

D

L4

4 - 13 Jul 2021

5

M6, M2, M4, M8, M10

79 - 119

98 - 189

L5D1

H3

Salmobreed

D

L5a

7 Aug 2021

2

M1, M2

85 - 92

196

L5T1

H6

Saga

T

L5a

17 Jul – 1 Aug 2021

3

M6, M7, M8, M9

115 - 118

181 - 199

L5T2

H6

Salmobreed

T

L5a

13 Aug 2021

1

M5

108

194

L5T3

H6

Salmobreed

T

L5a

26 Aug 2021

1

M4

143 - 143

151

L6D1

H9

AquaGen

D

L6

4 Aug 2021

1

M8

112

187 - 188

L6D2

H1

AquaGen

D

L6

26 Sep 2021

2

M7, M3

74 - 87

126

L6D3

H9

Mowi

D

L6

5 Nov 2021

3

M1, M6, M2

111 - 125

196 - 200

L6T1

H7

AquaGen

T

L6

2 Aug 2021  

1

M4

128

156

L7T1

H6

Saga

T

L7

17 Oct - 3 Nov 2021

6

M1, M5, M6, M2, M4, M3

114 - 130

193 - 196

L8D1

H2

Salmobreed

D

L8

26 Nov 2021

2

M7, M3

101 - 117

191 - 193

L8T1

H8

Saga

T

L8

21 Oct – 11 Nov 2021

4

M1, M5, M2, M10

109 - 118

120 - 171

L8T2

H6

Saga

T

L8

17 Nov 2021

2

M4, M9

122 - 153

146 - 151

L9D1

H9

AquaGen

D

L9

17 – 18 May 2022

3

M6, M12, M13

213 - 308

168 - 183

L9D2

H9

AquaGen

D

L9

09 Jun 2022

2

M7, M14

280 - 340

170 - 181

L9T1

H6

SalmoBreed

T

L9

04 May 2022

5

M2, M4, M10, M3, M11

122 - 174

196 - 200

2.6 - Moving fish between farms

Two of the farms moved fish from the original farm to another nearby farm (Table 2). One of the moves was done in connection with a delousing, and in this case, there was also some redistribution of the fish. The other move was done without any delousing, and here there was no mixing or redistribution. This latter event exemplifies the impacts on fish due to handling and transport, without added stress from delousing treatments. (Table 2).

Table 2: Overview of fish moved between farms. Group, from farm, number of cages, weight at move (average min-max), number of fish in original cage (min-max), date of move, number of fasting days before move (FD), sea temperature at 3 m, farm receiving fish and number of cages receiving fish. *=The fish were also deloused
Group From # Weight (kg) Fish (x1000) Date FD °C To #
L3T1* L3a 6 3-3.3 132-177 Aug-2022 3-5 9.7 L3b 7
L5D1 L5a 2 0.6 193-193 Des-2021 2-3 5.6 L5b 2
L5T1 L5a 1 0.6 196 Des-2021 5 6.0 L5b 1
L5T2 L5a 1 0.5 191 Des-2021 5 6.0 L5b 1
L5T3 L5a 1 0.5 146 Des-2021 5 6.4 L5b 1

2.7 - Delousing events

There were 8 separate chemical (including freshwater) delousing events (Table 3). The Alpha Max and Salmosan treatments were done using a tarpaulin to encapsulate the sea cage being treated, while the freshwater treatments were done by first crowding the fish and then pumping them into a well boat. There were no hydrogen peroxide (H2O2) treatments and no treatments by Ectosan Vet (active ingredient imidakloprid) as occurred in previous years. The basic properties of the treatment events are listed in Table 3.

Table 3: Delousing events by chemical bath treatment or fresh water. Delousing event (N.), group, farm, method, number of cages deloused (#), weight of fish (min-max), number of fish in each cage (min-max), delousing dates (min-max), number of fasting days before treatment (FD), sea temperature at 3m (°C), tarpaulin (Yes/No), calculated dose (%) and treatment time.

N.

Groups

Farm

Method

#

Weight (kg)

Fish (x1000)

Date

FD

°C

Tarp

Dose

Time

1

L8T1, L8T2

L8

Alpha Max

5

1.9-2.3

103-153

Oct-2022

5-6

9.46

Yes

150

35min

2

L8T1, L8T2

L8

Freshwater

6

2.6-3.4

102-152

Nov/Dec- 2022

2-6

7.14

No

 

6h

3

L9D1, L9D2

L9

Alpha Max

2

1.5-1.9

140-158

Oct-2022

3-4

8.8

Yes

150

35min

4

L5T1

L5a

Freshwater

2

4-4.7

82-85

Nov-2022

3-5

7.5

No

 

 

5

L5T3, L5T1

L5b

Freshwater

2

3.1-3.7

34-91

Nov-2022

5-10

7.4

No

 

 

6

L6T1

L6

Alpha Max

1

3-3

129-129

Sep-2022

6-6

10.7

Yes

150

30min

7

L6D3, L6D2, L6D1, L6T1

L6

Salmosan

8

2.1-4.6

84-139

Nov-2022

3-6

8

Yes

100

180min

8

L6D3, NA, L6D2

L6

Freshwater

7

3,25,9

83-139

Dec/Jan 2023

5

5

No

 

12h

There were 18 separate delousing events using thermal treatment and 14 separate events using mechanical delousing (Table 4 and 5). The warm water treatments were either with Thermolicer or with Thermolicer and Optiflush. Optiflush is a low-pressure waterjet system that is often used in combination with a thermal treatment. The mechanical events were either with the Hydrolicer or with Skamik, and in three cases the fish first underwent freshwater treatment in a well boat before they were put through the Hydrolicer flushing system.

Table 4: Delousing events by thermal treatment. Delousing event (N.), group, farm, method, number of cages deloused, weight of fish (min-max), number of fish in each cage (min-max), delousing month, number of fasting days (FD) before treatment (min-max), sea temperature at 3 m (°C), treatment temperature (T°C), difference between sea and treatment temperature (DT).

N.

Groups

 Farm 

 Method

 # 

Weight (kg)

Fish (x1000)               

 Date 

 FD 

 °C 

 T°C 

 DT 

1

L1D1

L1

Thermolicer

4

1.1-1.3

64-120

Aug-2021

0-5

10.9

 

 

2

L1D1

L1

Thermolicer

3

2.6-2.9

113-164

Nov-2021

3-4

5.4

29.1-29.5

23.7-24.05

3

L2D1, L2T1, L2D2

L2

Thermolicer

11

1.8-3

85-128

May/Jun-2022

4-7

6.2

27.5-29.4

21.2-24

4

L2D1, L2T1, L2D2

L2

Thermolicer

11

2.5-3.8

83-126

Jul-2022

0-4

12.7

30.0-31.7

17.1- 20.4

5

L2D2, L2D1, L2T1

L2

Thermolicer

8

0.4-0.8

116-196

Sep-2021

2-4

10.5

31.3-33

20.8-22.5

6

L2D2, L2D1, L2T1

L2

Thermolicer

8

0.5-1

114-196

Oct-2021

3-4

9.7

 

 

7

L2D2, L2D1, L2T1

L2

Thermolicer

8

0.7-1.4

112-193

Nov-2021

3-6

7.4

 

 

8

L2D2, L2D1, L2T1

L2

Thermolicer

7

3.2-4.7

41-120

Aug/Sep-2022

0-8

12.1

 

 

9

L3T1

L3a

Thermolicer + Optiflush

6

3-3.3

132-177

Aug-2022

3-5

9.7

30-30

20.0-20.6

10

L5D1, L5T3, L5T2, L5T1

L5b

Thermolicer

5

2-2.4

94-137

Aug-2022

3-3

12.8

33.2

20.4

11

L5T1

L5a

Thermolicer

3

1.8-2.5

83-93

Aug-2022

4-5

12.3

32.5

20.2

12

L6D3, L6D2, L6T1, L6D1

L6

Thermolicer

7

0.7-2.2

124-187

Jul-2022

2-3

13.9

30-31.7

16.1-17.8

13

L6D3, L6D2, L6T1, L6D1

L6

Thermolicer

8

1.1-3.2

89-187

AugSep-2022

5-6

12.2

33-34

20.5-22.7

14

L6D3, L6D2, L6T1, L6D1

L6

Thermolicer

7

1.6-3.9

86-182

Oct-2022

4-6

9.0

 

 

15

L8T1, L8T2

L6

Thermolicer

6

1.4-1.7

104-155

Sep-2022

1-2

11.1

32.2-33.3

21.09-22.26

16

L8T2

L6

Thermolicer

1

2.1-2.1

119-119

Oct-2022

7-7

9.4

32.6-32.6

23.2-23.2

17

L9T1

L9

Thermolicer + Optiflush

5

3.8-4.6

91-175

Aug-2023

2-4

10.2

29-29.9

18.9-20.3

18

L9T1, L9D1, L9D2

L9

Thermolicer

8

0.8-1.8

161-195

Oct-2022

2-3

9.4

32.8-32.8

23.4-23.4

 

Table 5: Delousing events by mechanical treatment. Delousing event (N.), group, farm, method, number of cages deloused, weight of fish (min-max), number of fish in each cage (min-max), delousing month, number of fasting days (FD) before treatment (min-max), sea temperature at 3 m, delousing pressure (Bar). FT=freshwater treatment. The group L5T1&L5T2 represents a cage were fish from L5T1 and L5T2 were mixed.

N.

Groups

Farm

Method

#

Weight (kg)

Fish (x1000)

Date

FD

°C

Bar

1

L2D1, L2T1

L2

SkaMik

6

3.7-5.6

55-101

Sep -2022

6-8

10.5

 

2

L3T1

L3b

SkaMik

7

3.4-3.8

82-165

Sep2022

4-7

7.1

 

3

L5D1

L5b

Hydrolicer

2

3.7-3.8

91-94

Oct-202222

9-9

9.6

 

4

L5D1

L5b

FT+Hydrolicer

4

4.3-4.4

88-98

Nov-2022

2-3

7.4

1

5

L5D1, L5T3, L5T2, L5T1, L5T1&L5T2

L5b

SkaMik

8

2.1-2.6

89-136

Sep-2022

4-5

12.1

 

6

L5T1

L5a

SkaMik

2

2.5-3.4

84-94

Aug-2022

3-3

12.0

2.3-3.8

7

L5T1

L5a

SkaMik

6

2.2-3.5

83-101

Aug/Sep-2022

4-5

12.0

3.2-3.

8

L5T1

L5a

SkaMik

4

3.3-4.2

83-99

Oct-2021

2-3

9.5

4-4

9

L5T1

L5a

FT+Hydrolicer

2

3.8-4.7

90-97

Nov-2022

3-5

7.5

1

10

L5T2, L5D1, L5T1

L5b

SkaMik

4

3.2-3.8

89-124

Oct-2022

5-8

9.8

2.3-4.4

11

L6D3, L6D2, L6D1

L6

SkaMik

7

1.3-3.7

87-183

Sep-2022

4-4

10.7

 

12

L8T2

L8

SkaMik

1

2.1-2.1

120-120

Oct-2022

2-2

8.0

 

13

L9T1

L9

Hydrolicer

5

4.4-4.6

83-93

Sep -2023

3-4

10.2

2.1-2.2

14

L9T1, L9D1, L9D2

L9

FT+Hydrolicer

10

1.3-2.7

129-185

Dec-2022

1-5

6.7

1

2.8 - Harvest and total production data

At the harvest plant, after gutting and bleeding, each fish is weighed and the fillet graded into quality classes (Superior, Ordinary, Production, and Reject). Superior is defined as a premium product without significant defects and a positive overall impression, and Ordinary and Production are progressively lower grades of product while Reject fish are unusable due to mortality, sexual maturation, excessive deformities, wounds, damage, or other defects. The companies could therefore provide cage level data about the exact number and average weight of fish harvested for each quality class. Together with the production data, this was used to calculate biological feed conversion ratio (amount of feed used per kg fish) (FCR), and economic feed factor (amount of feed used per kg fish at harvest) (EFCR).

 

3 - Results

3.1 - Fish mortality after transfer

Mortality after transfer
Figure 1: Timeline for transfer to sea cages between 2021-2022. Y-axis indicates transfer mortality (accumulated loss after 1 month, dead + euthanised). Triploid salmon are above the x-axis, while diploids are below. ‘x’ indicates cages where all the fish were euthanised within 40 days after transfer. All the sea cages at a farm have the same colour.

Irrespective of ploidy, there was high mortality (dead + euthanised) the month after transfer for some groups (Figure 1, Table 6). For diploids, this was mainly related to the transfers of L1D1, L4D1, and L9D1. L1D1 arrived as post-smolts and had experienced challenges with winter ulcers at the hatchery/post-smolt facility, and although they were reported to have good health before transfer, bad weather, cold water and subsequent infection by wound bacteria (Tenacibaculum and Moritella viscosa) led to an accumulated mortality of between 9.7 to 29.6% in all four cages after 1 month in the sea. L4D1 also experienced challenges at the hatchery, but in this case with yersiniosis, which reappeared together with furunculosis after sea transfer. As such, all five cages were terminated within the first 37 days of sea transfer.  Two of the three cages from L9D1 had a very high post-transfer mortality of 10.9-16.6% within the first month, while the third had around 1% mortality. L9D1 had relatively large average weight at transfer (213-308), and necropsy of the dead fish found cataracts indicative of osmotic stress, suggesting that these had passed the smolt window.

The worst performing triploid transfers were L3T2 and L7T1. L3T2 came from a different hatchery to the other triploids (L3T1) at the same locality, and its only cage was swiftly terminated as the fish had wounds and fin rot. It was suspected that this group suffered from Haemorrhagic Smolt Syndrome (HSS) in the hatchery. L7T1 had low mortality in the hatchery in the months before transfer and was believed to be of good quality. However, the mortality in cage M1, M2 and M3 was 14, 34 and 2% respectively after 1 month (Figure 1, Table 6). This was mainly moribund fish that were collected from the surface using a sweep net and then euthanised. The mortality was linked to suspected infectious pancreas necrosis (IPN) and wounds resulting from rough conditions during a storm (25-31 Oct). It was decided to cull the fish in the worst inflicted cage (M2) 34 days after seawater transfer. The three other cages didn’t have any issues and had 0.4 % or less accumulated mortality after 1 month, even though two of them arrived before the storm.

Including all diploid and triploid groups, average accumulated mortality one month after transfer was 9.4±21 % for the diploid and 11.0±30 % for the triploid (p=0.89, t-test).  All the diploid and triploid groups with the most notable post-transfer mortality (>10%) could be linked to challenges and/or infection at the hatchery, and/or smolt status. Disregarding these groups with very high mortality, the average mortality the first month after transfer was 0.7±0.6 % for the diploid and 1.3±0.6 % for the triploid fish (p=0.04, t-test). For these, the mortality was largely blamed on parts of the population not being fully smoltified or mechanical trauma (Table 6).

Table 6. Overview of minimum and maximum accumulated mortality (dead + euthanised) after 1 month in the sea. Destroyed = one or more of the cages culled within 30-40 days of sea transfer. D/T = Diploid or Triploid.

Locality

Group

D/T

Min

mort

Max mort

Destroyed

Explanation for mortality above 2% (in short)

L1

L1D1

D

9.7

29.6

 

Wounds at transfer, cold water, subsequent bacterial infections

L2

L2D1

D

0.4

0.8

 

 

L2

L2D2

D

1.5

1.5

 

Not fully smoltified

L2

L2T1ab

T

1.0

3.9

 

Very small, not fully smoltified

L3

L3T1

T

1.1

2.2

 

Not fully smoltified

L3

L3T2

T

100

100

X

Wounds, Hemorrhagic Smolt Syndrome

L4

L4D1

D

16.2

100

X

Yersinosis, Furunculosis

L5

L5D1

D

0.8

0.9

 

 

L5

L5T1

T

0.2

1.2

 

 

L5

L5T2

T

0.7

0.7

 

 

L5

L5T3

T

2.3

2.3

 

Snout wounds from mechanical trauma

L6

L6D1

D

0.2

0.2

 

 

L6

L6D2

D

0.3

0.3

 

 

L6

L6D3

D

0.9

2.7

 

Snout wounds from mechanical trauma, bacterial infection

L6

L6T1

T

1.3

1.3

 

 

L7

L7T1

T

0.3

34.0

X

Infectious pancreas necrosis (IPN), wounds from rough conditions during a storm, unexplained

L8

L8D1

D

0.1

0.2

 

 

L8

L8T1

T

0.5

1.7

 

Small fish, not fully smoltified

L8

L8T2

T

0.7

1.1

 

 

L9

L9D1

D

1.1

16.6

 

Large fish, possibly de-smoltified

L9

L9D2

D

0.3

0.5

 

 

L9

L9T1

T

0.6

3.0

 

Bad weather on delivery day

3.2 - Mortality and ulcer development during the winter season, and healing towards summer

Mortality (dead + euthanized) development during the first winter in the sea
Figure 2: Mortality (dead + euthanised) development during the first winter in the sea (January to June) for fish transferred to sea in the spring-summer (A) and the autumn (B) for diploid (white) vs. triploid (blue) salmon. The middle line of the boxplots is the median, the upper and lower parts of the boxes are the 75- and 25-percentiles, the whiskers the highest/smallest value within the 1.5*the interquartile range, and the dots the values outside the whiskers. 

 

For the fish groups transferred to sea between April and August (spring/summer transfers), mortalities and prevalence of wounds and ulcers were higher in triploids during the first winter in the sea (Figure 2A and 3A), similar as for the 2020-year class (Stien et al., 2023). The diploid groups that had been put to sea during the spring-summer had relatively low mortality throughout the winter, but with a sudden rise in June (Figure 2A). This rise is caused by the two diploid groups at L2, that together with the triploid group (L2T1) at this farm, underwent thermal delousing at the end of May and beginning of June. Also, for the autumn transfers (September to January), triploids generally had higher mortalities during the first winter at sea than diploids (Figure 2B). There were, however, too few data to do a proper comparison between diploids and triploids on prevalence of wounds/ulcers during the first winter in the sea (Figure 3B).

For both ploidy, but especially for diploid, mortalities were generally higher during the first winter at sea if transferred in the autumn rather than the spring/summer (Figure 2B vs. 2A). For the diploids, this was first driven by high mortalities from L1D1, but by high mortalities in L6D3 from March onwards. L6D3 were noted down for snout wounds from mechanical trauma and wound bacteria after sea transfer in November (see Table 6).

Percentage of sampled fish scored as having level 2 or 3 wounds/ulcers during the first winter in the sea
Figure 3: Percentage of sampled fish scored as having level 2 or 3 wounds/ulcers during the first winter in the sea (January to June) for fish transferred to sea in the spring-summer (A) and the autumn (B) for diploid (white) vs. triploid (blue) salmon. Unfortunately, there was only one farm (L8D1) with diploid fish transferred in the autumn that scored the fish weekly for wounds. These results are therefore only represented by a line in the plot (the median value). The middle line of the boxplots is the median, the upper and lower parts of the boxes are the 75- and 25-percentiles, the whiskers the highest/smallest value within the 1.5×the interquartile range, and the dots the values outside the whiskers. 

3.3 - Mortality before vs. after moving fish to a new farm

Mortality in the 14-day period before vs the 14-day period after moving fish groups between farms
Figure 4: Mortality (dead + euthanised) in the 14-day period before (green), vs the 14-day period after (orange) moving fish groups between farms. *=This move was done in connection with a delousing. The middle line of the boxplots is the median, the upper and lower parts of the boxes are the 75- and 25-percentiles, the whiskers the highest/smallest value within the 1.5×the interquartile range, and the dots the values outside the whiskers. 

 

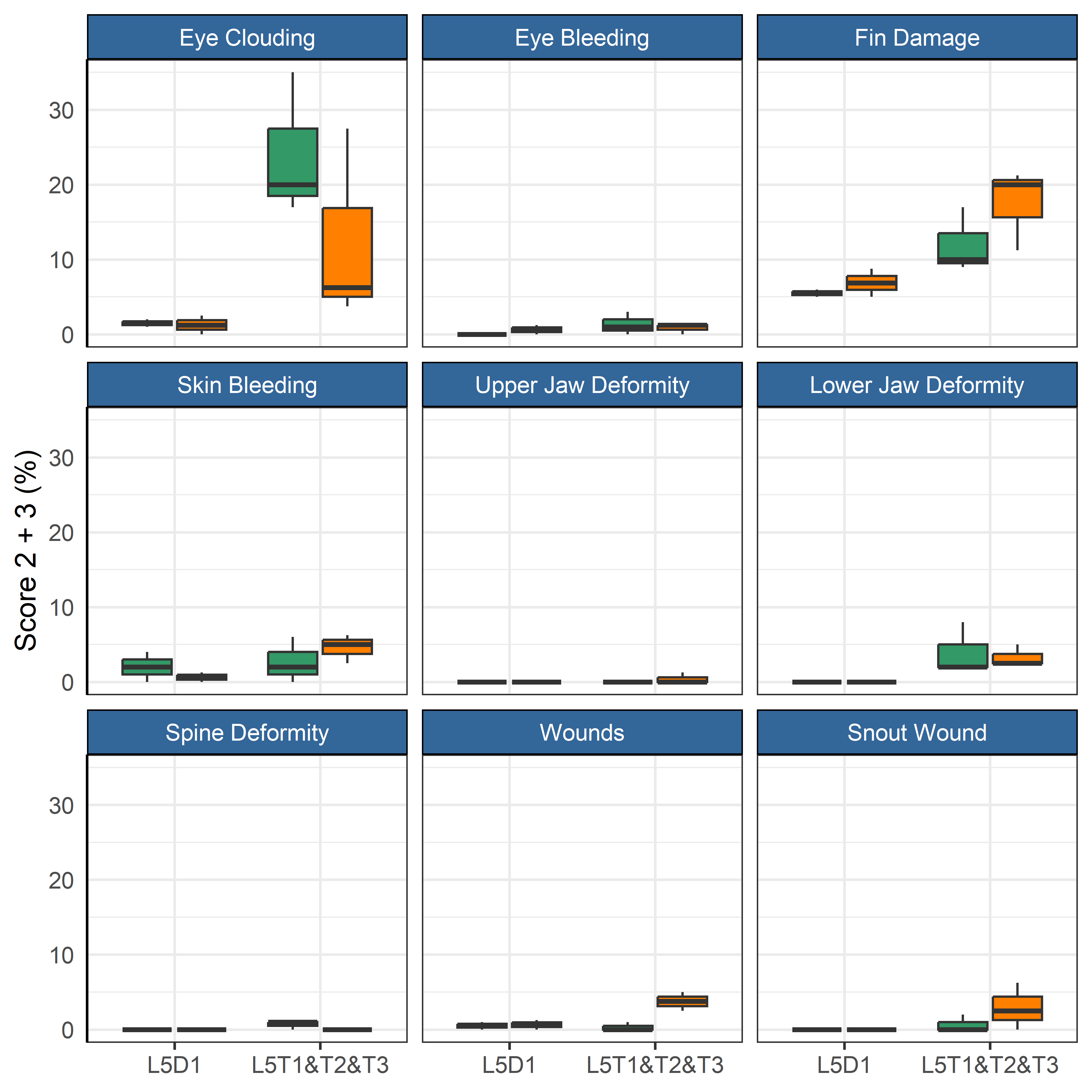
Moving fish was associated with an increase in mortality, for both the diploid group and the triploid groups at farm L5 (Figure 4). A linear regression model for the L5-cages showed a significant increase in mortality for the interaction before vs. after the move and diploid vs. triploid (p=0.041). Or in other words, that the mortality increased after a move for both triploids and diploids, and more so for triploids. For the triploid groups, there was also a general increase in fin damage, wounds and snout wounds after vs. before the move (Figure 5).

Welfare scoring in weeks before and after the moves
Figure 5: Welfare scoring in weeks before (green) and after (orange) the moves. The middle line of the boxplots is the median, the upper and lower parts of the boxes are the 75- and 25-percentiles, the whiskers the highest/smallest value within the 1.5*the interquartile range, and the dots the values outside the whiskers. 

3.4 - Mortality before vs. after delousing

For L1 and L2, delousing began towards the end of the summer and into the autumn of 2021 (Figure 6). These two locations were also the first to transfer fish to sea. For all the other locations, delousing did not begin until July 2022 at the earliest. The majority of delousings were carried out between July and December 2022, and there was no delousing in any year between January and May (Figure 6). The Thermolicer was the most used method for both ploidy, followed by the SkaMik (see Table 5). For those groups that made it to harvest, the number of delousing events per cage ranged from 2 (L1D1, L3T1, L9D1, and L9D2) to 7 (L2D1 and L2T1ab). Numerous locations had multiple delousings (3 or more) within a 4-month period (Figure 6).  

Timeline for delousing events
Figure 6: Timeline for delousing events Aug 2021 to Oct 2023. Y-axis indicates cumulative number of delousing operations (P) for the given fish group. The farm identities are given by the colour of the symbols. Shape of symbol indicates delousing type, ♦ = Freshwater, ▲ = Mechanical, ● = Medicinal, and ■ = thermal. All the sea cages at a farm have the same colour.

All delousing methods led to a significant reduction in mobile lice (Figure 7). The Alpha Max was the least efficient, while the freshwater and Hydrolicer combination was the most. However, strict comparisons between methods are difficult as multiple methods were only used at one or two localities and/or relatively infrequently. For instance, Salmonsan (L6), the Hydrolicer (L5 and L9), and the Optiflush (L9, or in combo with Thermolicer at L3a) were only used at 1-2 locations each.   

Delousing efficiency
Figure 7. Number of mobile lice (including adult females) before (green) and after (orange) delousing, separated by treatment method. Mean delousing efficacy (%) per Method is also given. Number of sessile lice is not included as these data were judged too unreliable. The middle line of the boxplots is the median, the upper and lower parts of the boxes are the 75- and 25-percentiles, the whiskers the highest/smallest value within the 1.5*the interquartile range, and the dots the values outside the whiskers. 

Mortality generally increased in the period after a delousing compared to the period before, irrespective of ploidy (Figure 8). The only method with a reduction in mortality post delousing was the Alpha Max when used in combination with diploids, but this was based on two cages from one location with a relatively high pre-treatment cumulative mortality. In contrast, the use of Alpha Max in triploid delousings came from another locality where pre-delousing the mortality was low. The majority of the highest mortalities, and variability, post delousing came following use of the Thermolicer in both ploidy (Figure 8). Note that the Alpha Max and Salmosan treatments were done in tarpaulin and not in a well boat.

Mortality in the two-week period before vs. after delousing
Figure 8. Mortality in the two-week period before (green) vs. after (orange) delousing by chemical methods (Alpha Max, Salmosan), freshwater, mechanical method (Hydrolicer, SkaMik) and thermal methods (Thermolicer, Thermolicer and Optiflush) for diploid (A) and triploid (B) fish groups. The middle line of the boxplots is the median, the upper and lower parts of the boxes are the 75- and 25-percentiles, the whiskers the highest/smallest value within the 1.5*the interquartile range, and the dots the values outside the whiskers. 

3.5 - Fasting before delousing

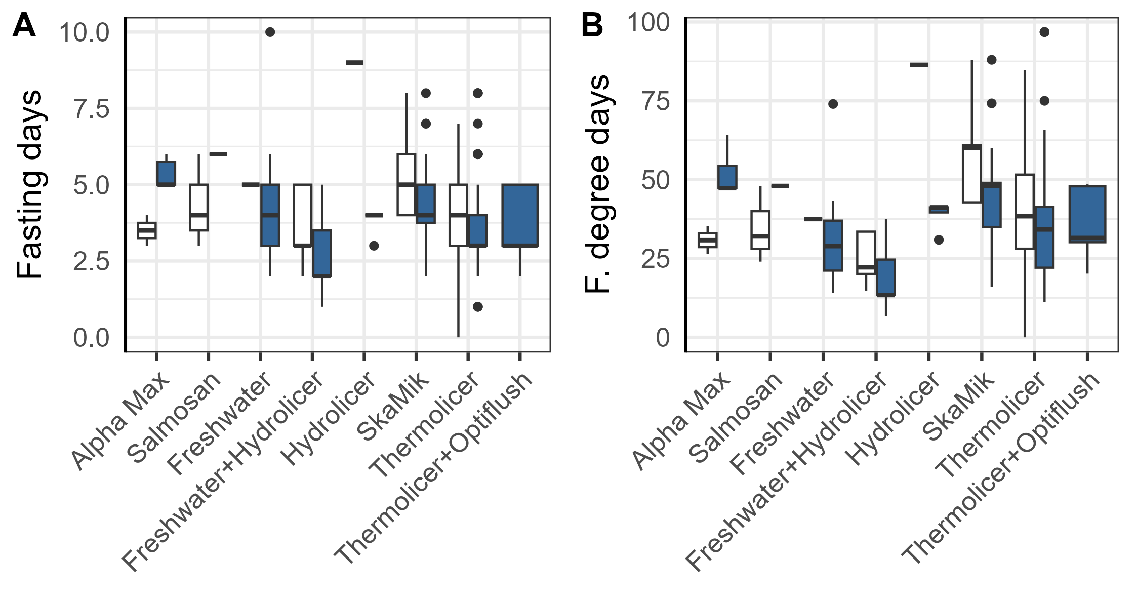
In contrast to the 2020-genreation (Stien et al., 2023) there was no general tendency for triploid fish to be fasted longer than the diploid fish (Figure 9). There was also no clear indication that fish were fasted longer before some methods than others (Figure 9).

Fasting days before delousing
Figure 9.  Fasting before delousing by Alpha Max, Salmosan, Freshwater Freshwater and Hydrolicer, Hydrolicer, SkaMik, Thermolicer, or Thermolicer and Optiflush. A) Number of fasting days, B) Number of degreee days (number of days * sea temperature). The middle line of the boxplots is the median, the upper and lower parts of the boxes are the 75- and 25-percentiles, the whiskers the highest/smallest value within the 1.5*the interquartile range, and the dots the values outside the whiskers. 

There were too few cases of delousing by Alpha Max, Salmosan, Freshwater, Hydrolicer or the Thermolicer with Optiflush to test if there was a relationship between fasting time before treatment and mortality post treatment. There was however enough datapoints for treatment by Thermolicer alone to show a decrease in mortality with increasing fasting for both triploids and diploids (p=0.026 and p=0.009, Spearman’s rank correlation, Figure 10AB). While for the SkaMik, there was only enough data to show this for the triploid groups (p=0.011) and not for the diploid groups (p=0.150) (Figure 10CD).

Mortality vs. Fasting days
Figure 10: Percentage point (pp) difference in mortality (dead + euthanised) the week after vs. before delousing as a function of fasting days or fasting degree days for Thermolicer-treatments delousing (A and B) and SkaMik-treatments (C and D).

3.6 - Decision to harvest

The diploid fish at L1 had a bad start (see section 3.1) and were haunted by high mortality after delousing due to winter sores, Tenacibaculum and Parvicapsula. Sores were still a problem at this site when it was decided to slaughter the fish in July 2022. The remaining fish had then reached a weight of around 5 kg (Figure 11).

One generally does not want to harvest salmon before they reach at least 4 kg, preferably at 5-6 kg or above. L2 had groups of both diploid and triploid fish. Due to many delousings at L2 (Figure 6) it was decided to harvest some of the larger fish (but still at a relative low weight) already in August 2022 (Figure 11). Around this time one of the triploid cages also had elevated mortality where 80% of the dead fish had skin bleedings in the abdominal area and other signs consistent with infectious salmon anaemia (ISA). This group was vaccinated against ISA, but presence of the virus was soon confirmed by PCR and the fish from this cage were harvested at the beginning of September 2022 (Figure 11). In the following month the rest of the cages at the site were harvested without further outbreaks of ISA.

One of the triploid groups (L3T2) that arrived at L3 was culled shortly after transfer due to high mortality and HSS. The other triploid group did much better, but an incident with a blinking light led to panic and mechanical injuries in one of the cages and subsequent bacterial infections during their first winter at sea. However, next January, ISA was suspected and thereafter shortly confirmed. This group had not been vaccinated against ISA. The fish had at that time reached an average weight above 4 kg and all the cages on the site were harvested within a few weeks (Figure 11).

High mortality and symptoms of yersinosis and poor smolt quality led to the farmer deciding to cull all the fish at L4 (group L4D1) shortly after transfer (see section 3.1).

L5 had diploid and triploid fish. The fish were sorted in June 2022, at this time the lice pressure picked up on the site and it was necessary to start with frequent delousings (Figure 6). In connection to this, it was also decided to start harvesting the triploid cages early, below 4 kg (Figure 11). The main part of the triploid production, and all the diploid, was however harvested after new year, when the fish had reached a weight close to or above 5 kg (Figure 11). Also L6 which had diploid and triploid fish, needed to do frequent delousings during the autumn of 2022 (Figure 6). One of the cages with larger diploid fish was slaughtered in October, the cage with triploids in December, and the remaining cages with diploids during the spring of 2022 at an average weight below 4 kg (Figure 11).

L7 had 5 cages with triploid fish in July 2021. At this time the fish farmers and the fish health personnel observed strongly deviating behavior due to an outbreak of parvicapsulosis. They assessed the fish as being particularly weak with a reduced immune system and poor skin health from winter ulcers and it was therefore decided to cull all the fish at this site.

L8 originally had cages with triploid and diploid fish. The two cages with diploid fish (L8D1) were however culled in May 2022 after testing positive for the parasite Spironucleus salmonicida. This is a serious infection that can lead to muscle abscesses and high mortality. The farm also had some problems with sea gooseberry jellyfish in this period. The production had, however, returned to normal by August. The first cage with triploid salmon (L8T1) was slaughtered in April 2023, while the remaining cages were slaughtered during the summer at a weight above 5 kg.

The last site L9 had two groups of diploids and one group of triploids (L9T1). All these groups were harvested at a weight near or above 5 kg (Figure 11).

Time of harvest and size of fish
Figure 11: Time of harvest and size of fish.  All the sea cages at a farm have the same colour. Note that L7 and L8 had groups that were culled before they had reached 1 kg. See Figure 1 for groups that were culled shortly after transfer.

3.7 - Production performance

The median accumulated percentages of registered dead fish at the end of production were 11.1% for the diploid vs. 13.0% for the triploid, the median euthanised was 1.0% for the diploid vs. 2.6% for the triploid and the median total loss 12.4% vs. 16.3%. These differences were, however, not statistically significant (Wilcoxon rank-sum test). There were only 4 diploid and 3 triploid groups transferred to sea during autumn-winter, too few for a meaningful ploidy comparison. There were however 7 diploid and 9 triploid groups transferred to sea during spring- summer (Figure 12). For these, median mortality was 11.1 % for the diploids and 15.3 % for the triploids (p=0.126, Wilcoxon rank-sum test), median euthanised 0.5 vs. 1.1 (p=0.041, Wilcoxon rank-sum test) and median total mortality or loss 11.7 vs. 16.2 (p=0.050, Wilcoxon rank-sum test).

Of the spring-summer transfers, one of the diploid groups (L4D1) and one of the triploid groups (L3T2) were euthanised long before they reached harvest size. These groups are therefore not included in the harvest data (Figure 13).  For the spring-summer groups that survived until harvest, median weight was 4.8 kg for the diploid groups vs. 4.4 kg for the triploids (p=0.091, Wilcoxon rank-sum test) (Figure 13A). The median percentage of fish classified as superior was near 95 % for the diploid groups, while it was only 82% for the triploids (p=0.010, Wilcoxon rank-sum test) (Figure 13B). The biological and economic feed factor were however similar between diploid and triploid groups (p>=0.426, Wilcoxon rank-sum test) (Figure 13CD). This was a clear improvement for the triploids compared to the 2020-generation (Stien et al., 2023).

Production mortality results
Figure 12. Mean total percentage mortality (A), total percentage euthanised (B) and total percentage loss (mortality + euthanised) (C) for diploid (white) and triploid(blue) groups of salmon originally transferred to sea in the spring-summer. The middle line of the boxplots is the median, the upper and lower parts of the boxes are the 75- and 25-percentiles, the whiskers the highest/smallest value within the 1.5*the interquartile range, and the dots the values outside the whiskers.  
Results at slaughter
Figure 13: Mean weight at slaughter (A), mean percentage of the slaughtered fish classified as superior by the slaughterhouse (B), mean biological feed conversion ratio (FCR) (C) and mean economic feed conversion ratio (EFCR) (D) for the diploid (white) and triploid (blue) groups of salmon originally transferred to sea in the spring/summer. Note that the cages that were destroyed are not included in these graphs. The middle line of the boxplots is the median, the upper and lower parts of the boxes are the 75- and 25-percentiles, the whiskers the highest/smallest value within the 1.5*the interquartile range, and the dots the values outside the whiskers. 

 

4 - Discussion

4.1 - Complex network

When evaluating this commercial production data, it is important to remember that unlike in a controlled trial the fish here are from numerous egg batches of differing strains, from several hatcheries, and have various histories. These fish groups are being cultivated within an aquaculture network that follows commercial logic and various regulations which limit the scope of the actions taken (Figure 14). Thus, all production cycles of fish groups, the operations carried out, and the environments experienced varied. 

Complex network of farms and hatcheries
Figure 14. Fish group network, showing the connections between hatcheries (circles), farms (squares), and sea cages with individual fish group (small circles). The fish type present at each node is shown by the filled colour of the circle, where blue=triploid and white=diploid. The sea cages are marked with their respective farms, and clustered into the groups found in Table 1. Dotted lines connecting nodes indicate farm moves, while solid lines connect hatcheries with the original farm localities

4.2 - More wounds and ulcers in triploid groups

Both the current data and the data from the previous reports (Stien et al. 2019, 2021ab, 2023) support that triploids are more susceptible to wounds and ulcers in commercial salmon farms. This is in contradiction to Chalmers et al. (2017) who found that triploid Atlantic salmon responded as well as diploids to treatment and disease challenges. One explanation may be that the sea-cage has a more dynamic environment (fluctuations in temperature, salinity, oxygen, turbidity) which can be outside the optimal recognised ranges for salmon than the tanks used in experimental studies, and that this may be more challenging for triploids to cope with than diploids leading to less energy available to mount an immune response (Sambraus et al., 2018; Madaro et al., 2024). Other areas of interest are i) whether triploids have a heightened behavioural response to stress leading to more wound inducing collisions with equipment, and so are more at risk from secondary infections, ii) whether triploid skin is simply less resilient than that of diploids, or iii) whether the feeds given to triploids (i.e. diploid feed) meet their requirements for optimal skin and/or immune system health.

4.3 - Forced to cull two triploid and two diploid groups

The farmers decided to cull the L3T2 and L4D1 groups soon after sea transfer due to diseases and conditions originating from their respective hatcheries. Similarly, although L8D1 was not culled before they had already stayed more than 5 months in the sea, the reason was that they tested positive for the parasite Spironucleus salmonicida, which also originated from the hatchery. The two first cases illustrate that the state of the fish in the hatchery is vital for their success in the sea, and that culling weak fish already at the hatchery in many cases would be the best option. Although easy in hindsight, in real life this is a difficult decision.

The only group that needed to be culled due to a disease contracted soon after sea transfer was L7T1. These fish were infected with the parasite parvicapsula, and together with the effect from winter ulcers, the fish farmers and the fish health personnel judged the fish too weak for continued production in July 2021. There was also a diploid group haunted by Parvicapsula (L1D1). However, these fish did not get a serious outbreak before the second summer at sea and had therefore reached a size where they could be harvested instead of culled. L7T1 was put into the sea during October-November while L1D1 was transferred in January. This confirms results from previous reports (Stien et al. 2019, 2021ab, 2023) that transferring salmon to the sea during the autumn in Troms and Finnmark increases the risk of infection from Parvicapsula.

4.4 - Disease forcing early harvest

Infection by ISA is particularly serious for the farmer, as this diagnosis typically means that the Norwegian Food Authorities order depopulation of affected farms (Aldrin et al., 2021). Previous reports have indicated a higher risk of ISA in triploids than in diploids (Stien et al., 2019; Stien et al. 2021ab; Aunsmo et al., 2022). For the 2021/22-generation presented here the two cases of ISA were in triploid groups (L2T1 and L3T1), while there were no ISA outbreaks in any of the diploid groups. One of the groups was vaccinated, while the other was not. Here it should again be underlined that these are observational data and not results from controlled trials in which little ploidy effects in response to ISA were found (Aunsmo et al., 2022). All in all, the combined experience from the previous generations would suggest that triploids are more likely to be diagnosed with ISA than diploids, although it is unclear whether this is due to an inherent susceptibility or some unknown factor(s) (i.e. their exposure risk).

As described above, parvicpasula influenced two of the decisions to end production, one case harvest and in the other case culling. For the case of spironucleosis, this disease does not automatically warrant culling by law, but it was still decided that the high mortality and the low prospects for these fish meant they should be culled. The main reason for early harvest was, however, frequent delousings. This is in line with the results from the last report (Stien et al., 2022), and that farmers in general often prefer early slaughtering over risky delousings (Barrett et al., 2022). In general, triploids were harvested earlier than the diploids. This was also seen for the 2020-generation (Stien et al., 2023) and is probably an effect of that both the fish farmers and the fish health personnel view the triploid as less robust and therefore prefer early harvest for these fish. The exception to the rule was the triploid groups at L8 that generally performed well, despite some problems with winter ulcers and jellyfish.

4.5 - Economy of triploids vs. diploids

High mortality means loss of profit. Although there was no overall ploidy trend on mortality, this was largely due to the diploid L1D1-group which had a total loss above 34% and L8D1 where all the fish were culled. L1D1 can be said to be a special case since it was transferred to sea in one of the least favourable months (January) while none of the triploid groups were transferred in comparable months, and L8D1 is a definite outlier with its spironucleosis infection.

Concentrating on the spring-summer transfers where we had relatively comparable groups, the mortality was slightly higher for the triploid than the diploid groups. There were also less fish rated as superior. This is very similar to the results from the year class before (Stien et al., 2022).  All in all, farming triploid salmon appears less profitable than farming diploids. This is further supported by the principle that larger, superior fish, typically give a higher price. Although this is not a genuine experimental trial due to many uncontrolled factors, studies on sibling groups of diploid and triploid salmon reared under identical conditions throughout the production cycle also found they had less favourable economic outcomes than diploids (Fraser et al., 2013; Madaro et al., 2021).

4.6 - Consequences of moving fish

The analysis showed a clear increase in mortality after moving fish, especially for triploids. This corresponds with the previous report in that moving increases the risk of mortalities, and also suggests that triploids are more susceptible to stress than diploids. However, as for all these data, it must be noted that the diploid and triploid groups, although at the same farm, are not of the same origin, and thereby there are no controls in a scientific sense. All the data and results in this report must be viewed with this in mind (see section 4.1). That triploids are more susceptible to stress is in line with studies by Fraser et al. (2015b) and Madaro et al. (2024). However, other controlled trials on stress have found no ploidy effect in Atlantic salmon (Sadler et al., 2000ab; Fraser et al., 2014). It is interesting that injuries typically associated with escape behaviour, such as fin damage, skin bleeding, wounds and snout wounds are the ones that show an increase after the move for the triploids, but to a much less extent for the diploids. Whether it is a behavioural difference, an alteration in the structure of the skin, or other unknown factors that led to more wounds and ulcers in triploid versus diploid groups is unknown. However, previous reports (Stien et al. 2019, 2021ab, 2023) have also found triploids to have more wounds and ulcers than diploids, therefore this topic should be addressed urgently if triploid salmon production is to continue.

4.7 - Fish welfare at delousing

Many of the fish groups underwent several delousings. Delousing involves first crowding the fish and then typically pumping the fish up into some treatment system where the fish are either chemically treated, subjected to mechanical treatments or thermal treatments, or a sequence of these. Chemical treatment by Alpha Max or Salmosan is believed to be relatively gentle for the fish, especially in cases where the treatment can be done by enclosing the cage with a tarpaulin and then treating the fish inside. Thus, only needing to crowd the fish to a relative low level and avoiding having to pump the fish up from the cage with all the risks that entails. These kinds of treatments are therefore preferred for weak fish, as illustrated in the current dataset with mortality for the diploid groups treated with Alpha Max being less after than before delousing. There is also one example of diploids being given riskier mechanical delousing whilst triploids on the same farm are treated chemically. That the farmer and fish health personal do these kinds of considerations makes it difficult to draw certain conclusions on which methods are most or least hazardous for fish welfare. The data do however suggest that thermal treatment is most risky, then mechanical, followed by freshwater treatment, and that as expected the chemical treatments are least risky. But the data also suggest that there are differences between methods. We must, however, also here underline that these are not controlled trials and that there may be other reasons for the registered differences in mortality between the different methods.

4.8 - Fasting before delousing

Unlike for the 2020-year class in the previous report, there was no clear indication that the farmers and fish health personnel modulated the length of the fasting based on the method, or if the fish were diploid or triploid. The explanation for this is probably that there have been changes in key personnel between these two periods. The finding in the last report, that there is a positive correlation between increasing fasting and less risk of mortality was however also found in the current dataset. This is encouraging, but as pointed out in the last report, the length of fasting may also correlate with other factors. 

5 - Conclusions

5.1 - The 2021/22-generation in review

The triploid and diploid groups in the 2021/22-generation are not directly comparable with each other (no control groups with identical background reared at the same farms). This was especially true for the triploid and diploid groups transferred into the sea during autumn-winter (October to January): L1D1, L7T1, L8D1, L8T1, L8T2. Here L1D1 was not comparable to any triploid group, since it was put into the sea in January, while no triploid groups were put to sea in neither January nor the neighbouring months. This group experienced challenges with winter ulcers and high mortality the first months in the sea. The other diploid group (L8D1) tested positive for spironucleus and was terminated and can therefore not be used to compare diploids vs. triploid. Both groups do, however, demonstrate that diploid salmon production can fail.

Infection by Parvicapsula, and subsequent high mortality has been one of the major risk factors for triploid salmon transferred into the sea during autumn. This increased risk was also seen for the 2021/22-generations when L7T1 contracted Parvicapsula and had to be culled after eight months of production in the sea. L8T1 and L8T2 which were transferred in October-November did, however, well with relatively low mortality and satisfactory results at harvest (Table 7). This demonstrated that triploid groups can do relatively well, even when put into the sea during the autumn.

The diploid and triploid groups transferred to sea in the spring-summer were more comparable. Here there was one group of each ploidy that had to be culled shortly after transfer (L4D1 and L3T2) due to issues originating from the hatchery. For the remaining groups average mortality or total loss for the diploids was 12% for the diploids and 16% for the triploid (p=0.062, t.test). The national average for production mortality during the sea phase is 15-16% (Grefsrud et al., 2024). Fish registered with lower jaw damage 2.9% for the triploids vs. 0.2% for the diploids (p=0.002, t.test), snout damage 8.0% vs 16.6% (p=0.199, t.test), skin wounds 5.1% for the triploid vs 2.5% for the diploids (p=0.024, t.test) (Table 7). It is also of great concern that two of the triploid groups (L2T1 and L3T1)  were diagnosed with ISA (Table 7). This together with lower incidence of superior fish support the conclusion from the previous report (Stien et al., 2023) that triploid salmon are currently inferior to diploid salmon both in relation to health and welfare and in terms of economic performance.

Table 7: Overview of the results for the different fish groups. Time of transfer, important diseases during the sea phase (Wu=Winter ulcer / Moritella viscosa , Ten= Tenacibaculum, Su=Summer ulcer, Nep= Nephrocalcinosis, Parv= Parvicapsula, HSMI= Heart and skeletal muscle inflammation, CSM= Cardiomyopathy syndrome, IPN= Infectious pancreatic necrosis, ISA= Infectious salmon anemia, Yer=Yersinosis, HSS=Haemorrhagic Smolt Syndrome ), percentage of sampled fish with severe (score 2+3) Lower jaw deformity (Ljd, %), Snout wound (Snw, %), Skin wound (Skw, %), number of months from transfer until slaughter (min to max over all cages), delousing treatments (C=Alpha Max/Salmosan, F=Fresh water, T=Thermal, M=Mechanical), total loss (dead + euthanised) at harvest (%), mean economic feed conversion ratio (EFCR), weight at slaughter (kg, min to max of cage averages) and slaughtered fish rated as quality class Superior (%, min to max of cage averages).

Gr.

Transfer

Diseases

Ljd

Snw

Skw

Months

Treatments

Loss

EFCR

Weight

Sup

L1D1

January

Wu, Ten, Parv

0.3

7.2

3

18

T,T

34

1.31

4.7 - 4.9

79 - 88

L2D1

April - May

 

 

 

 

16 - 19

T,T,T,T,T,T,M

12

1.22

3.3 - 5.4

94 - 95

L2D2

May

 

 

 

 

15 - 16

T,T,T,T,T,T

12

1.17

3.9 - 4

72 - 88

L2T1

May - June

ISA

 

 

 

14 - 19

T,T,T,T,T,T,M

20

1.29

2.8 - 4.8

71 - 90

L3T1

May

Wu, Ten, ISA

1.1

13.8

2.5

21

T,M

21

1.46

4.4 - 5

71 - 90

L3T2

June

HSS

 

 

 

1

 

100

 

0.1

 

L4D1

July

Yer, Fur

 

 

 

1

 

100

 

0.1 - 0.2

 

L5D1

August

 

0.3

7.2

3.9

18

T,M,M,F

9

1.16

5.1 - 5.3

73 - 93

L5T1

July - August

Wu

2.7

4.4

4.1

15 - 18

T,M,M,F

10

1.13

3.6 - 5.2

88 - 96

L5T1

August

Wu

2.7

4.4

4.1

18

T,M,M,F

16

1.17

4.4

70

L5T2

August

Wu

3.8

7.4

7.1

18

T,M,M,F

14

1.19

4.3

66

L5T3

August

Wu

5.1

6

7.2

15

T,M,M,F

13

1.06

3.3

92

L6D1

August

 

 

 

 

15

T,T,M,T,C

5

1.13

3.8

97

L6D2

September

 

 

 

 

17 - 18

T,T,M,T,C

11

1.27

3.7 - 5.2

79 - 85

L6D3

November

 

 

 

 

17 - 18

T,T,M,T,C

23

1.26

3.3 - 3.7

72 - 75

L6T1

August

 

4

5

6.4

16

T,T,C,T,C

21

1.34

3.6

64

L7T1

October - November

Wu, Parv, IPN

1.8

7.3

20.3

1 - 9

 

100

 

0.2 - 0.7

 

L8D1

November

 

0.4

1.4

9.8

6

 

100

 

0.4

 

L8T1

October - November

Wu

2.6

3.4

3.4

18 - 20

T,C,F

15

1.12

4.2 - 5.3

79 - 85

L8T2

November

Wu

2.7

9.3

5.9

21

T/M,C/T,F

16

1.2

5.4 - 5.5

80 - 85

L9D1

May

 

0.2

21.5

1.3

14 - 15

T/C,F

15

1.23

4.7 - 5.3

82 - 94

L9D2

June

 

0.3

21.1

2.3

15

T/C,F

11

1.21

5.1 - 5.5

95

L9T1

May - June

 

0.8

14.7

4.2

15 – 18

T,F,T,M

13

1.17

4.8 - 5.5

91 - 95

5.2 - Conclusions for the 2021/22-generations

There was not a clear difference between ploidy in mortality after handling for the 2021/22-generations, but this may be due to the fish farmers and fish health personnel taking extra precaution when treating these fish. The data suggest, that independent of ploidy, fasting the fish is beneficial and results in less mortality after delousing. As in previous reports, the data for the 2021/22-generations show that triploid salmon were more likely to get wounds and bacterial skin infection than diploids. In addition, both cases of ISA were found in triploids in the current 2021/22-generations, underlying the trend from previous year classes where more cases were also found in triploids than diploids. Although the FCR and harvest quality improved for the triploids in 2021/22-generations compared to the 2020-generation, triploids were still economically inferior to diploids for most endpoints.  However, as underlined several times, these conclusions must be viewed with caution, as the data do not represent a controlled trial, but observational data where other factors than ploidy may have influenced the results.

6 - References

Aldrin M, Huseby RB, Jensen BB, Jansen, MD, 2021. Evaluating effects of different control strategies for infectious salmon anaemia (ISA) in marine salmonid farming by scenario simulation using a disease transmission model. Preventive Veterinary Medicine, 191, 105360.

Aunsmo A, Martinsen L, Bruheim T, Sekkelsten‐Kindt MM, Sandtrø A, Gaasø S, Braaen S, Rimstad E, 2022. Triploid Atlantic salmon (Salmo salar) may have increased risk of primary field outbreaks of infectious salmon anaemia. Journal of Fish Diseases, 45(11), 1733-1743.

Barrett L, Oldham T, Kristiansen TS, Oppedal F, Stien LH, 2022. Declining size-at-harvest in Norwegian salmon aquaculture: Lice, disease, and the role of stunboats. Aquaculture, 738440.

Benfey TJ, 2016. Effectiveness of triploidy as a management tool for reproductive containment of farmed fish: Atlantic salmon (Salmo salar) as a case study. Reviews in Aquaculture, 8(3), 264-282.

Chalmers L, Taylor JF, Roy W, Preston AC, Migaud H, Adams A,  2017. A comparison of disease susceptibility and innate immune response between diploid and triploid Atlantic salmon (Salmo salar) siblings following experimental infection with Neoparamoeba perurans, causative agent of amoebic gill disease. Parasitology 144(9),1229-1242.

Fjelldal PG, Hansen TJ, Lock, E-J, Wargelius A, Fraser TWK, Sambraus F, El-Mowafi A, Albrektsen S, Waagbø R, Ørnsrud R, 2016. Increased dietary phosphorous prevents vertebral deformities in triploid Atlantic salmon (Salmo salar L.). Aquaculture Nutrition, 22, 72-90.

Fraser TWK, Hansen T, Skjæraasen JE, Mayer I, Sambraus F, Fjelldal PG, 2013. The effect of triploidy on the culture performance, deformity prevalence, and heart morphology in Atlantic salmon. Aquaculture, 416–417, 255-264.

Fraser TWK., Mayer I, Skjæraasen JE, Hansen T, Fjelldal PG, 2014. The effect of triploidy on the efficacy and physiological response to anesthesia with MS 222 and isoeugenol in Atlantic salmon post-smolts. Aquaculture International,22, 1347–1359

Fraser TWK, Hansen T, Fleming MS, Fjelldal PG, 2015a. The prevalence of vertebral deformities is increased with higher egg incubation temperatures and triploidy in Atlantic salmon Salmo salar L.. Journal of Fish Diseases, 38, 75-89. 

Fraser TWK, Vindas MA, Fjelldal PG, Winberg S, Thörnqvist P-O, Øverli Ø, Skjæraasen J-E, Hansen TJ, Mayer I, 2015b. Increased reactivity and monoamine dysregulation following stress in triploid Atlantic salmon (Salmo salar). Comparative Biochemistry and Physiology Part A: Molecular & Integrative Physiology, 185, 125-131.

Grefsrud ES, Bjørn PA, Grøsvik BE, Hansen PK, Husa V, Karlsen Ø, Kvamme BO, Samuelsen O, Sandlund N, Solberg MS, Stien LH, 2022. Risikorapport norsk fiskeoppdrett 2022 – kunnskapsstatus — Effekter på miljø og dyrevelferd i norsk fiskeoppdrett. Rapport fra havforskningen; 2022-13.

Grefsrud ES, Andersen LB, Grøsvik BE, Hansen PK, Husa V, Karlsen Ø, Madhun AS, Samuelsen O, Sandlund N, Solberg MF, Stien LH, Svåsand T, 2024. Risikorapport norsk fiskeoppdrett 2024 — Produksjonsdødelighet hos oppdrettsfisk og miljøeffekter av norsk fiskeoppdrett. Rapport fra havforskningen; 2024-4.

Madaro A, Kjøglum S, Hansen T, Fjelldal PG, Stien LH, 2021. A comparison of triploid and diploid Atlantic salmon (Salmo salar) performance and welfare under commercial farming conditions in Norway. Journal of Applied Aquaculture, 1-15.

Madaro A, Lai F, Fjelldal PG, Hansen T, Gelebart V, Muren B, Rønnestad I, Olsen RE, Stien LH, 2024. Comparing physiological responses of acute and chronically stressed diploid and triploid Atlantic salmon (Salmo salar). Aquaculture Reports, 36, 102041.

Nilsson J, Gismervik K, Nielsen KV, Iversen MH, Noble C, Kolarevic J, Frotjold H, Nilsen K, Wilkinson E, Klakegg B, 2022. Laksvel-Standardisert operasjonell velferdsovervåking for laks i matfiskanlegg. Rapport fra havforskningen; 2022-14.

Taylor JF, Waagbø R, Diez-Padrisa M, Campbell P, Walton J, Hunter D, Matthew C, Migaud H, 2015. Adult triploid Atlantic salmon (Salmo salar) have higher dietary histidine requirements to prevent cataract development in seawater. Aquaculture Nutrition, 21(1), 18-32.

Sadler J, Wells RMG, Pankhurst PM, Pankhurst NW, 2000. Blood oxygen transport, rheology and haematological responses to confinement stress in diploid and triploid Atlantic salmon, Salmo salar. Aquaculture, 184(3-4), 349-361.

Sadler J, Pankhurst NW, Pankhurst PM, King H, 2000. Physiological stress responses to confinement in diploid and triploid Atlantic salmon. Journal of Fish Biology, 56, 506-518.

Sambraus F, Remen M, Olsen RE, Hansen T, Waagbø R, Torgersen T, Lock E, Imsland A, Fraser T, Fjelldal, P, 2018. Changes in water temperature and oxygen: the effect of triploidy on performance and metabolism in large farmed Atlantic salmon. Aquaculture Environment Interactions, 10, 157-172.

Stien LH, Sæther PA, Kristiansen TS, Fjelldal PG, Sambraus F, 2019. Første samlerapport: Velferd for triploid laks i Nord-Norge. Rapport fra havforskningen; 2019 – 47.

Stien LH, Sambraus F, Sæther PA, Lind MB, Kristiansen TS, Nilsson J, Fjelldal PG, 2021a. Andre samlerapport: velferd for triploid laks i Nord-Norge-Sluttrapport, utsett 2018. Rapport fra havforskningen; 2021-13,

Stien LH, Sambraus F, Kristiansen TS, Fjelldal PG, Sæther PA, Martinsen L, 2021b. Tredje samlerapport: Velferd for triploid laks i Nord-Norge-Sluttrapport, utsett 2019. Rapport fra havforskningen; 2021-44.

Stien LH, Thompson C, Fjelldal PG, Oppedal F, Kristiansen T, Sæther PA, Bølgen PM, Martinsen L, 2023. Production, fasting and delousing of triploid and diploid salmon in Northern Norway — Report for the 2020-generation. Rapport fra havforskningen; 2023-20.