Gå til hovedinnhold

Krabbe på flyttefot (2024)

— Toktrapport 2024217003

Sammendrag

Taskekrabbe (Cancer pagurus) har spred seg nordover i Troms, men utbredelse og bestandstetthet har så langt ikke blitt kartlagt. Det er ukjent om taskekrabbe har overlappende nisje med kongekrabbe (Paralithodes camtschaticus), som fortsetter å spre seg vestover og har sannsynligvis etablert lokale bestander i deler av Troms. Toktet hadde derfor til formål å undersøke utbredelse og tetthet av taskekrabbebestanden i forhold til miljøparametere, sammenligne resultatene med tilgjenelig andre undersøkelser fra kystområder på Vestland, Møre og Romsdal (hereter Møre) og Trøndelag og bruke dataene i artsutbredelsesmodellering etter endt prosjektperiode. I tillegg var formålet å kartlegge lokale forekomster av kongekrabbe i sørvestlige deler av Troms, samt bestemme mulig overlapp mellom de to artene. Toktet vil også være viktig for å etablere et datagrunnlag for å lage bestandsindikatorer for taskekrabber i forkant av en eventuell oppskallering av krabbefiske i dette område. Toktet i 2024 var en en videreføring av toktet i 2023 (Marcussen mfl., 2024a), og fokuserte på områdene mellom Sørvest-Senja og Vannøya, inklusive Kvaløya. Total ble 120 stasjoner undersøkt, der 38 stasjoner var med kongekrabbeteiner og 82 med taskekrabbeteiner, i tillegg til 131 CTD-stasjoner. Krabbetetthet varierte veldig mye, med veldig høye taskekrabbetettheter på Sørvest-Senja sammenlignet med nullfangster i de fleste andre områder. Det ble observert taskekrabbe helt nord til Vannøya (ca. 70° N). Kongekrabbe ble observert ved kun en stasjon utenfor Tromsøya i 2023, men ble ikke observert der eller andre steder under toktet i 2024. I tillegg til å kartlegge taskekrabbe og kongekrabbe, har vi systematisk registrert alle skalldyr og andre arter. Vi har gjennom prosjektperioden også fått store mengder kongsnegl (Buccinum sp.), eremittkreps (Pagurus sp.) og strandkrabbe (Carcinus maenas) i teinene, som, uttilsiktet, bidrar til å stykre datagrunnlaget for flere “Lite utnyttete ressurs (LUR)”-arter. Toktene fra 2023 og 2024 gir en oversikt over krabbeutbredelse i Troms og vil sammen med den planlagte kartleggingen i 2026 gi et godt utgangspunkt for å få en full oversikt over habitatspreferanse og utbredlese i den nordligste og sørligste delen av de to krabbenes utbrebedelse.

1 - Bakgrunn

I kjølvannet av klimaendringer forflytter flere arter seg mot polene og forandrer, sammen med fremmede arter, økosystemet langs norskekysten. Slike endringer i artssammensetning kan resultere i både press på lokale arter, men også nye muligheter for fiskenæringen. I likhet med flere andre bestander i Nordøst-Atlanterhavet (Kjesbu mfl., 2022), er taskekrabbe en «klimavinner». Den har spred seg nordover, og har nå en betydelig bestand i deler av Troms og det er flere enkelobservasjoner i Finnmark (Zimmermann mfl., 2020). På samme tid har kongekrabbe etablert seg i Øst-Finnmark, delvis spred seg til Vest-Finnmark og trolig har etablert lokale bestander i Troms. Dette til tross for høyt fiskeinnsats vest for 26° E, der forvaltningsmålet er å redusere spredningen. Taskekrabbe har spred seg nordover i Troms, men utbredelse og bestandstetthet har så langt ikke blitt kartlagt på en systematisk måte. Det er ukjent om taskekrabbe og kongekrabbe vil okkuppere, og dermed konkurrer om, de samme habitatene. En kartlegging utført av Møreforskningen i 2015, fant en taskekrabbebestand på Senja med like fangstrater som i viktige kommersielle områder lenger sør (Bakke mfl., 2016). I dag blir kongekabbespredningen hovedsakelig overvåket i nordøstlige områder i Troms. Dermed er det ukjent hvordan krabbebestandene har utviklet seg i resten Troms og om det finnes relevant romlig overlapp og mulig interaksjon mellom taskekrabbe og kongekrabbe.

En tredje krabbeart, strandkrabbe (Carcinus maenas), er sammen med taskekrabbe en av de viktigiste predatorene på drøbakskråkebollen (Strongylocentrotus droebachiensis), som siden 1970-tallet hatt en voldsom populasjonsvekst og beitet ned tareskogen langs kysten av Nord-Norge. Fraværet av mange tradisjonelt viktige kråkebollepredatorer, som blant annet steinbit, har muligens gitt fritt spillerom for kråkebollen og store områder med tareskog har blitt beitet ned (Norderhaug mfl., 2021) Sannsynligvis har derfor strandkrabbe sammen med taskekrabbe og kongekrabbe overtatt som de vikitgiste predatorene på kråkebolle langs kysten (Norderhaug mfl., 2014).

Prosjektet “Krabbe på flyttefot” skal i løpet av fem år (2023—2027) kartlegge krabbebestandene i Troms med fokus på området mellom Senja og Kvænangen. Hovedformålene er å: 1) undersøke utbredelse og tetthet av taskekrabbebestanden i forhold til fysikalske parametere, sammenligne resultatene med eksisterende data fra kystområder på Vestland, Møre og Trøndelag (Marcussen, 2022) og bruke dataene i artsutbredelsesmodellering; 2) kartlegge lokale forekomster av kongekrabbe i sørvestlige deler av Troms; 3) bestemme mulig overlapp mellom de to artene; 4) etablere et datagrunnlag for å lage bestandsindikatorer for krabber i et viktig område for fiske- og havbruksnæringen. Prosjektet er direkte tilknyttet til overvåking av taskekrabbe (prosjekt 15619-02), kongekrabbe (prosjekt 15594) og LUR-arter (15619-08), og vil bli integrert i et PhD-prosjekt innen forvaltning av kystnære skaldyr som er delt mellom Universitetet i Agder og HI. Det siste hovedformålet bidrar særskilt til formålet til CoastRisk-prosjektet, ved å etablere indikatorer for nøkkelarter i viktige produksjonsområder. Toktet bygger på et etablert samarbeid med Fiskeridirektoratet og ble gjennomført med et fartøy fra Sjøtjenesten på samme måte som taskekrabbetokt i Møre og Trøndelag i 2021 og Troms 2023 (Marcussen mfl., 2022).

1.1 - Kommersielle fangster

Informasjon fra sluttseddelene fra landinger indikerer at det har blitt fisket kongekrabbe helt sør til vesterålen og at det er en betydelig mengde som har blitt fisket i studieområdet mellom 2010—2024. Mengden kongekrabbelandinger avtar sørover, mens for taskekrabbe avtar landingene nordover. For taskekrabbe er de høyeste ladningene funnet i Lofoten og Vesterålen, mens det er mindre fangst nordover til Tromsø. Det er også registrert små kommersielle landinger av trollkrabbe (Lithodes maja) og kongsnegl (Buccinum sp.) i studieområdet mellom 2010—2024. Det kommersielle strandkrabbefisket i Norge er relativt lite og nytt, og 2013 er det første året hvor det er rapportert om strandkrabbe landinger over 1000 kg i løpet av et år, og siden har det blitt landet mellom 2—5 tonn i året (Meeren mfl., 2022). Det kommersielle strandkrabbefiske er sentrert i området rundt Trøndelag og Nordland, og ingen kommersielle landinger registrert i studieområdet i Troms.

 

Fire kartutsnitt over Nord-Norge med rutenett (statistiske områder), med landinger for henholdsvis (fra venstre til høyre) kongekrabbe, kongsnegl, taskekrabbe og trollkrabbe. Koordinater langs nedre kanter (15-30E) og i venstre kant (68-71N). Registrerte landinger i tonn representert fra helt lys lilla til mørk lilla (fra 0 til 1000+).
Figur 1: Landinger registrert i sluttseddelregisteret per art i hovedområder 04 and 05 fra 2010—2024.

 

2 - Metoder

2.1 - Toktdesign og prøvetakning

Vi har brukt samme tilnærming som for toktenene i Møre og Trøndelag (Marcussen mfl., 2022), Vestland (Marcussen mfl., 2024b) og Troms (Marcussen mfl., 2024a), der vi har satt teinene og trukket de etter 24—48 timer, før de har blitt flyttet til et nytt område. Stasjonsposisjoner ble generert i forkant av toktet, der vi hadde som mål å gjennbesøke noen av stasjonene fra 2023, i tillegg til nye stasjoner sør og nord for området som ble dekket i 2023. Stasjonene ble valgt ut basert på at det var antatt sannsynlig taskekrabbe- og kongekrabbehabitat. Antagelsen for passende taskekrabbehabitat var basert på topografien, kriteriene var helning, revstruktur (stein) i nærheten og dybde (mellom 10—40 meter). Kongekrabbeteinene var satt på ulikt dyp mellom 40—200 m på flat mudderbunn. I tillegg, ble stasjonene tilpasset for å unngå andre faste fiskeredskaper (snurpenot, teine, garn og line) og installasjoner. Stasjonene ble tilpasset til vær (særlig pålandsvind) og uventede faste installasjoner.

Taskerabbeteinene ble satt i lenker med seks teiner i hver lenke med 20—25 m i mellom hver teine og var agnet med 0,5—1 kg fersk sei. På grunn av skader på noen av teinene underveis ble to av lenkene redusert til fem teiner per lenke. Kongekrabbeteinene ble satt i lenker på tre og agnet med ca. 1 kg sild. På grunn av plassmangel ombord av leiefatøyet ble det prøvd ut koniske snøkrabbeteiner i stedet for de sammenleggbare havteinene som ble brukt i 2023. I forkant av setting har ny råttnetråd og navnelapp blitt montert der det har vært behov.

For å registrere profiler av fysikalse parametere på alle krabberstasjoner og på faste hydrografiske stasjoner som brukes til overvåking av fjordmiljøet ble det gjennomført profiler med en håndholdt RBR Concerto3 håndthold CTD. CTD-trekket ble gjennomført i umidelbar nærhet til teinelenken før heving, ved å senke CTDen manuelt med en maksium fart på 1 m/s. I tillegg ble det gjennomført trekk på de faste hydrografiske stasjonene i toktområdet. CTDen registerer bla. temperature, konnektivitet (salinitet) og trykk (dyp). Profiler på veien ned (downcast) ble i utgangspunktet brukt til videre analyse hvis ikke annet er spesifisert.

Alle krabber (taskekrabbe, kongekrabbe, trollkrabbe og strandkrabbe) ble registrert på individnivå (størrelse, kjønn, skallalder) for hver teine på hver stasjon i Fish2Data. Lengden på kongekrabbe og trollkrabbe måles som carapaxlengde fra bakside av øyehulen til halen, mens taskekrabbe, strandkrabbe og andre svømmekrabber ble individslengde målt som carapaxbredde over det bredeste punktet på ryggskjoldet. Kriteriene som ble brukt for å definere de ulike skallalderkategoriene var: (1) Rent og mykt skall, (2) Nytt, hardt skall uten påvekst, med spisse tåspisser og ingen svarte flekker, (3) hardt skall med noe påvekst, og noe slitte tåspisser og mørke flekker, (4) Hardt, mørkt skall med mye påvekst og avrundede tåspisser. I år ble det også tatt vevsprøver (ytterste del den bakerste gangfoten) av krabbene til en undersøkelse av populasjonsgenetikken fra Grytøya (n = 50), Silfjorden (n = 50) og Nord-Kvaløya (n = 4). Bifangst ble registrert som totalfangst (art og antall) per stasjon.

For å kartlegge habitattrekk (substrat, tangforekomster ol.) ble det i år også gjennomført et fem minutters videotransekt med en ROV (Deep Trekker DTG3) i umiddelbar nærhet av hver stasjon. Det ble ikke gjennomført videotransket hvis det var for mye vind og strøm. Fem minutter ble målt fra første bunnkontakt, og retningen på transektet var bestemt som en rett linje vinkelrett på loside (styrbord) av båten (dvs. himmelretningen varierte avhengig av båtens posisjon og topografien rundt). Det ble gjort fem ekstra videotransekt i samme område som det har blitt kartlagt haneskjell i 2007. Substrat ble kategorisert i henhold Reamon mfl. (2024), men som et gjennomsnitt for hele videotransektet: mudder, sand, skjellfragment, grus, stein og klipper. I tillegg, ble ruggelbunn lagt til som egen substratskategori. Etter samme protokoll, har dekningsgraden av alger (alle arter) blitt notert. Alle individer større enn ca 5 cm har blitt identifisert til art, slekt eller familie og og talt der det var mulig.

 

Illustrasjon av teineoppsettet der seks grå bokser illustrerer teinene, men en krabbe i. Avstanden mellom teinene: 25-30 m. Rød linje opp til «overflaten» representerer en «Ile» (synketau) som er 55 m. Gul «Blåse/vak: B75 (61 cm diameter)» i overflaten. En liten fiskestim midt i bildet, og en krabbe på bunnen.
Figur 2: Illustrajsjon av teineoppsett, ilen var 55 meter.

 

3 - Resultater

3.1 - Stasjonsoversikt

Fra 22. august til 11. september 2024 gjennomførte vi 82 taskekrabbetrekk og 38 kongekrabbetrekk. I tillegg gjennomførte vi 131 CTD-trekk, inkludert faste hydrografiske stasjoner i Troms og resten av CTD-trekkene ble ved gjennomført hver krabbelenke. Vi fikk dekket over et relativt stort område, og besøkte de fleste stasjonene som var planlagt, med unntak av noen av fjordene (Gryllefjord) på utsiden av Senja og Lyngsfjorden på grunn av dårlig vær.

Kartutsnitt over studieområdet. Stasjonene er vist med følgende symboler: X = CTD, trekant = Koniske teiner og sirkel = taskekrabbeteiner. Symbolhenvisning nederst til høyre i bildet. Ringvassøya, Kvaløya og Senja er markert. Lengde- og breddegrader er angitt på kartet (16-20,5 grader E og 69-70,5 grader N). Norgeskart øverst til venstre med rød ramme viser utsnittet.
Figur 3: Oversikt over stasjoner med biologisk prøvetaking (taskekrabbelenker eller kongekrabbeteine) og fysiskalisk prøvetaking (CTD).

3.2 - Taskekrabbe

Vi fanget totalt 509 taskekrabber i Troms i 2024. Vi fikk i snitt 3 krabber per teine, men helt i sør fikk vi opp mot 22 krabber per teine, som er på høyde med og over fangstratene i Møre, Trøndelag og Vestland. De fleste krabbene ble funnet i sør på Senja. Fangstene avtok gradvis nordover, med kun sporadiske enkeltindivider rundt Kvaløya og Ringvassøya.

Kartutsnitt over studieområdet med rutenett (statistiske områder). Fangstene er vist med følgende symboler: «Taskekrabbe»: gule prikker = tilstede (2023), oransje prikker = tilstede (2024) og blå prikker = fraværende. «Fangstrate (krabber/teine), fra liten til stor prikk i skalaen: 5, 10, 15 og 20 krabber per teine. «Teinetype»: trekant = koniske teiner, sirkler = taskekrabbeteiner. Symbolhenvisning til høyre i bildet. Ringvassøya, Kvaløya og Senja er markert. Lengde- og breddegrader er angitt på kartet (16-20,5 grader E og 69-70,5 grader N). Norgeskart øverst til venstre med rød ramme viser utsnittet.
Figur 4: Kart av taskekrabbefangster fra toktet i 2024.

3.2.1 - Størrelsesammensetning

Totalt ble 503 taskekrabber fanget og lengdemålt på toktet i 2024. Størrelsesfordelingen var tilsvarende som på toktene i Trøndelag og Vestland (Figur 5), til tross for færre krabbeobservasjoner i Troms. Andelen av krabber over minstemålet var lavere i Troms (2023—2024), 47 % over minstemålet, sammenlignet med 77 % i Vestland og 64 % langs Mørekysten og Sør-Trøndelag.

Fire diagram fra venstre (Møre + Trøndelag) til høyre (Vestland). Antallet krabber i fangsten angitt i de øvre venstre hjørnene som følger: n = henholdsvis 3071, 310, 503 og 1658. X-aksene viser skallbredde i mm og går fra 50 til 220. Y-aksen angir andel i fangsten (%) og går fra 0 til 15.
Figur 5: Størrelsesammensetning av taskekrabbe i fangsten på toktene i Troms (2023 og 2024), langs Mørekysten (2021) og på Vestland (2023). Fordelingen viser prosentandel i totalfangsten, ryggskjoldbredde i mm. Vertikale stiplete linjer indikrer minstemålet på 130 mm (rødt) og gjennomsnittlig ryggskjoldbredde (svart).

 

3.2.2 - Kjønn og skallalder

Det ble funnet en høyere andel av hanner i fangsten (Figur 6), 48 % av fangsten var hunnkrabber. Hunnkrabbene var gjennomsnittlig større enn hannkrabbene 137 mm sammenlignet med 120 mm). De fleste krabbene hadde eldre skall, 72 % hadde eldre eller gamle skall. Andelen er dermed mye høyere enn det som ble observert på toktet Møre og Trøndelag i 2021. Det ble observert 5 hunnkrabber med utrogn. Ellers ble det observert lite svartflekksjuke, kun på ett individ.

 

To diagram: Venstre: størrelsessammensetning «Kjønn»: rødt = hann, og blå = hun. Høyre: størrelsessammensetning «Skallalder»: lys grønn = vasskrabber, mørk grønn = nye skall, blå = eldre skall og lilla = gamle skall. X-aksene viser ryggskjoldbredde (mm) og går fra 30 til 200 mm. Y-aksene viser antall og går fra 0 til 80.
Figur 6: Størrelsesammensetning og skallalder taskekrabbe. Ryggskjoldbredde i mm. Den stilpete linjen viser minstemålet på 130 mm skallbrebbe.

 

3.3 - Kongekrabbe i Troms

Vi fikk en kongekrabbe i Håkeboten, Kvaløya i 2023. Til tross for økt innsats (flere stasjoner og flere teiner per lenke) ble det ingen kongekrabbefangst i 2024. Totalt ble det gjort 38 trekk med lenker med tre og tre koniske kongekrabbeteiner. Det er flere usikkerheter knyttet til hvorvidt det er “ekte” fraværsobservasjoner, og ikke fangstselektivitet (dyp, agn, teinetype). Teinene ble satt på dyp mellom 28 og 196 m.

Kartutsnitt over studieområdet med rutenett (statistiske områder), som viser henholdsvis tilstedeværelse (oransj) og fravær (blå) av kongekrabbe. Lengde- og breddegrader er angitt på kartet (16-20,5 grader E og 69-70,5 grader N). Norgeskart øverst til venstre med rød ramme viser utsnittet.
Figur 7: Kongekrabbestasjoner på toktene i 2023 og 2024. Det ble bare registrert en kongekrabbe i 2023 (oransje punkt), resten er stasjoner uten kongekrabbe (blå punkter).

3.4 - Strandkrabbe

Strandkrabbe er en av de vannligste hjemmehørende tifotingene (Decapoda) i grunne kystnære områder i Europa (Klassen og Locke, 2007). Den tåler store variasjoner av temperatur og salinitet, som gjør den svært tilpassingsdyktig. Den har også blitt spredt til de fleste andre kontinenter i nyere tid og er regnet som en av de mest effektive innvasive artene i verden (Young og Elliott, 2019). I Norge har den blitt observert nord til Finnmark, men det er lite kunnskap om habitatspreferanse og tettherer i den nordligste delen av utbredelsen. Vi fant spredte forekomster av strandkrabbe i hele studieområdet, men de høyeste fangstene var sør på Senja (Figur 8).

Strandkrabbe finnes som regel i grunne områder, helt opp til tidevannssonen og er sjeldent funnet dypere enn 10 m (Munch-Petersen mfl., 1982). Toktet var ikke rettet mot strandkrabbe og vi hadde veldig få stasjoner som var grunnere enn ti meter, men vi fikk likevel totalt 106 strandkrabber på 22 stasjoner, 16 på toktet i 2024 og 6 i 2023. De høyeste fangstene var på grunnere vann (<10 m), men det ble også observert strandkrabbe ned til 28,5 m (Figur 9).

Strandkrabbe kan bli ca 7 år gammel. Alder og størrelse når den blir kjønnsmoden avhenger av sjøtemperatur, men de når kjønnsmoden alder når de er mellom 1—3 år. De minste observerte kjønnsmodne strandkrabbene observert i Norge er 44 cm ryggskjoldbredde (Van Der Meeren og Meeren, 1992). De fleste krabbene registrert på toktet var større enn 44 mm (Figur 10), største strandkrabben 80 mm. 5 krabber hadde rotkreps (Sacculina sp.).

Kartutsnitt over studieområdet med rutenett (statistiske områder). «Strandkrabbe»: gule prikker = tilstede og blå prikker = fraværende. «Fangstrate (krabber/teine), fra liten til stor prikk i skalaen: 1, 3 og 5 krabber per teine. Lengde- og breddegrader er angitt på kartet (16-20,5 grader E og 69-70,5 grader N). Norgeskart øverst til venstre med rød ramme viser utsnittet.
Figur 8: Oversikt over hvor strandkrabbe ble fanget under toktet i 2023 og 2024 i Troms.
Plottdiagram med dybde (m) langs x-aksen (7-30 m) og krabber per teine langs y-aksen (0-8).
Figur 9: Fangstrater av strandkrabbe i forhold til bunndyp. Hvert punkt indikerer fangstraten på en stasjon, mens de svarte linjene og polygoner representerer gjennomssnitt og 95 %-konfidensintervaller av den underliggende trenden.

 

Diagram med «kjønn»: rødt = hann, og blå = hun. X-aksen viser ryggskjoldbredde (mm) og går fra 30 til 85 mm. Y-aksene viser antall og går fra 0 til 25.
Figur 10: Lengdefordeling av strandkrabber, hun og han registrert i Troms.

 

3.5 - Bifangst

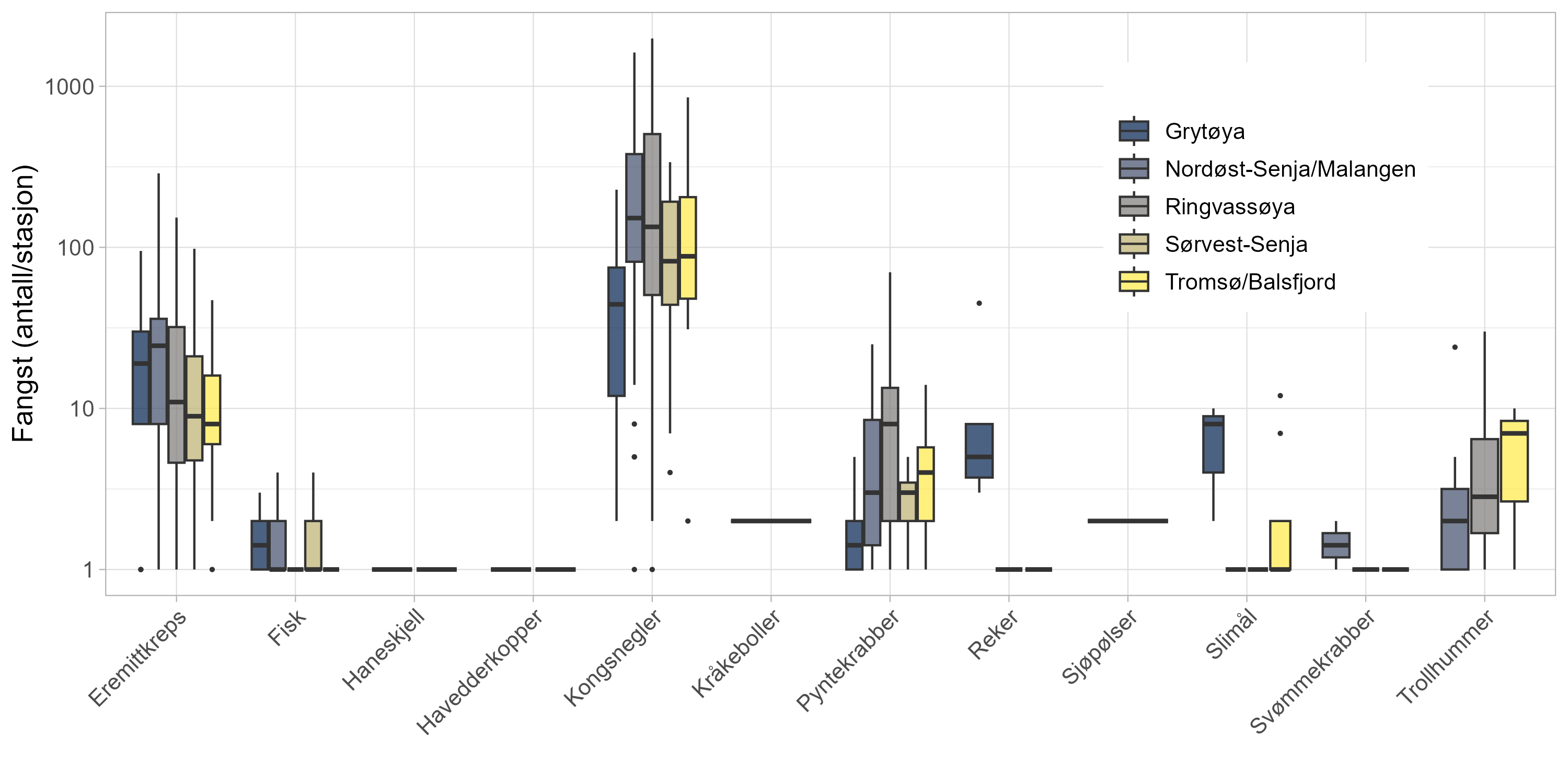
Taskekrabbeteinene er relativt selektive for krabber, men i områder uten store krabbeforeksomster har vi observert en del bifangst (Figur 11). Vanlig bifangst i alle områder var kongsnegl og andre sneglarter, eremittkreps (Paguridae) og pyntekrabber (Hyas sp.). I tillegg ble det registrert blant annet noen forekomster av trollhummer (Galatheidae), slimål (Myxine glutinosa) og forskjellige fiskearter.

Boksplott med artene langs x-aksen fra innerst til ytterst: eremittkreps, fisk, haneskjell, havedderkopper, kongsnegler, kråkeboller, pyntekrabber, reker, sjøpølser, slimål, svømmekrabber og trollhummer. Y-aksen viser fangst (antall/stasjon) og går (eksponentielt) fra 1 til 1000. Boksene har følgende farge og rekkefølge: Grytøya (mørk blå), Nordøst-Senja/Malangen (gråblå), Ringvassøya (grå), Sørvest-Senja (gulgrå) og Tromsø/Balsfjord (gul).
Figur 11: Fangstrater (antall individ per stasjon) av bifangst per artsgruppe og toktområde.

 

3.6 - Miljø

Det ble gjennomført 84 CTD målinger, hvor av 20 av de var faste stasjoner. I tillegg ble det gjennomført CTD trekk ved hver krabbestasjon. Et pilotforsøk til habitatkartlegging på krabbestasjoner ble gjennomfør med en ROV.

3.6.1 - Habitat

I år testet vi videokartlegging av habitat som en pilot. Eksempelbilder fra videoene vises i Figur 12. Vi kjørte en ROV med kamereaer vinklet skrått framover (bevegelig kamerastilling) i fem minutter på de fleste krabbestasjonene. Erfraingen fra dette er at det en svært tidseffektiv måte å hente ut grov habitatsinformasjon i felt, men prosesseringen av daten er mer tidkrevende og krever en god artskunnskap, mange arbeidstimer, og en standarisert protokoll for habitatskartlegging for at sluttdatene skal være av høy nok kvalitet, det vil også avhenge av hva formålet med sluttdataene er. Det er forventet at det vil kunne gå raskere å hente ut informasjonen etterhvert som det gjøres framskritt med maskinlæring internt og internasjonalt. Hovedutfordringen med å bruke dronen uten rig for avstandsmåling, videobredde eller fart er at dekkningsområdet vil variere og at data fra videotransektene ikke er egnet til estimering av tetthet. Dataene vil likevel være svært nyttige i artutbredeslesmodellering og overvåkning av kråkebolle og tareskogforekomster.

I videoene fant vi flere arter som ikke ble observert i teinene, i all hovedsak var det rød kråkebolle (22 stasjoner), drøbbakskråkebolle (11 stasjoner) og ulike gaidodier. Det ble også observert 4 stasjoner med levende haneskjell (Chlamys islandica).

Skjermdump fra videotransekt
Figur 12: Fire skjermdumper fra videotransketene, som viser: A, tareforekomster på stein, B. kråkebolleøkren, store forekomster av kråkeboller på bare steiner, C sand og skjellbunn, med kråkebolleforeksomster, D. ruglebunn.

 

3.6.2 - Temperatur og salinitet

Temperatur og salinitet i vannsøylen ble registrert på alle krabbestasjoner og på faste hydrografiske stasjoner som brukes til miljøovervåking. Et oversiktskart av bunntemperatur og -salinitet per stasjon vises i Figur 13 og fullstendige CTD-profiler i Annex (Figur 17 og 18). Romlig variasjon i bunntemperatur og -salinitet er primært knyttet til bunnstruktur og dyp (Figur 14, med lavere temperatur og høyere salinitet på dypere stasjoner. Det ble registrert en klar forskjell i miljøforholdene mellom 2023 og 2024, med litt høyere temperaturer i 2024, trolig på grunn av forskjell i værforholdene mellom de to årene og en marin hetebølge i 2024.

Ettersom krabber er ektoterme forventes at aktiviteten og dermed fangstbarheten øker ved økte temperaturer (Moland mfl., 2011). Både i 2023 og 2024 observerte vi en tendens til høyere sannsynlighet for å fange taskekrabbe ved høyere temperaturer (Figur 15). Samtidi er det observert et negativt forhold mellom fangstsannsynlighet og salinitet eller bunndyp.

For strandkrabbe ble det observert en ligndende trend som for taskekrabbe (Figur 16), mellom miljøvariablene på stasjonen (temperatur og salinitet) og fangstsannsynligheten. Sammenheng for temperatur og salinitet var derimot ikke like tydelig. Datagrunnlaget for strandkrabbe er mye mer begrenset på grunn av mindre fangster, men en klar forskjell mellom fangstene i 2023 og 2024 kan tyde på at høyere temperaturer bidro til flere observasjoner av strandkrabbe.

To kartutsnitt over studieområdet med rutenett (statistiske områder). Temperatur til venstre og salinitet til høyre. Skalaene går fra lys gul via oransje og lilla ned til helt mørkt/svart. Temperatur (grader celsius): fra 15 (lys gult) til 3 (svart). Salinitet (ppt) fra 35 (lys gult) til 23,5 (svart). Lengde- og breddegrader er angitt på kartet (16-20,5 grader E og 69-70,5 grader N). Norgeskart øverst til venstre med rød ramme viser utsnittet.
Figur 13: Oversiktkart over temperatur og salinitet på bunnen på alle CTD-stasjoner i 2024.

 

To punktdiagram, temperatur til venstre og salinitet til høyre. X-aksene (dyp) går fra 0 til 225 m. Y-aksene viser temperatur (venstre) og salinitet (høyre) og går fra henholdsvis 2 til 16 grader og 31 til 35 ppt. Prikker = 2023, trekanter = 2024.
Figur 14: Forhold mellom dyp og miljøvariablene temperatur og salinitet på bunnen i 2023 og 2024. Hvert punkt indikerer en måling på bunnen, mens de svarte linjene og polygoner representerer gjennomssnitt og 95 %-konfidensintervaller av den underliggende trenden.

 

Tre diagram, temperatur (grader C) til venstre, Salinitet (ppt) i midten og Dyp (m) til høyre. X-aksene går henholdsvis fra 2-14 grader, 31-35 ppt og 0-220 m dyp. Y-aksene (fangstsannsynlighet) er like og går fra 0-100.
Figur 15: Forhold mellom tilstedeværelsen av taskekrabbe og temperatur, salinitet og dyp på bunnen. Hvert punkt indikerer om taskekrabbe ble fanget i kombinasjon med en temperatur- og salinitetmåling på bunnen, mens de svarte linjene og polygoner representerer gjennomssnitt og 95 %-konfidensintervaller av den underliggende trenden basert på en lineær binomialmodell.

 

To diagram, som viser forholdet mellom forekomster av krabbe og temperatur (grader C) til venstre og salinitet (ppt) til høyre. X-aksene går henholdsvis fra 2-14 grader og 31-35 ppt. Y-aksene (fangstsannsynlighet) er like og går fra 0-100.
Figur 16: Forhold mellom tilstedeværelsen av strandkrabbe og temperatur, salinitet og dyp på bunnen. Hvert punkt indikerer om taskekrabbe ble fanget i kombinasjon med en temperatur- og salinitetmåling på bunnen, mens de svarte linjene og polygoner representerer gjennomssnitt og 95%-konfidensintervaller av den underliggende trenden basert på en lineær binomialmodell.

 

4 - Oppsummering

I løpet av nesten tre uker ombord fikk vi dekket et større området fra Grytøya i Andsfjorden og Senja til Ringvassøya og helt nord til Vannøya. Fangstratene av taskekrabbe på Senja er på høyde med fangstratene i Vestland og Møre/Trøndelag. Nord for Senja er det kun lokale forekomster, med et eller to individer. Dataene fra 2023 og 2024 viser generelt en klar gradient med betydelige forekomster i sørvestlige områder av Troms, som gradvis avtar i nordøstlig retning. Taskekrabbe ble likevel observert helt til den nordøstlige grensen av toktområde, noe som tyder på at nulllinjen for taskekrabbeutbredelsen ligger lengre nordøst.

Det er flere utfordringer knyttet til teinetokt, blandt annet tid/logistikk knyttet til rotasjon av redskap. Ordningen som ble brukt på toktet fungerer godt ved kortere distanser, men for å kunne dekke et større område er det behov for et fartøy med mer dekksplass. En større platform kunne dessuten gi anledning til å inkludere flere redskapstyper (f.eks. BRUV) og øke nytteverdien av toktet.

Det ble gjennomført flere oceanografiske målinger for å kompensere for tapt tokttid for det faste oseanograisfke toktet. Dette ble gjennomført med en håndholdt CTD ved faste stasjoner i studieområdet. Som i 2023, utgikk tokttiden til den oceasnografisktoktet i Tromsø i 2024, det var derfor det svært nyttig å kunne kombinere krabbetoktet og enkle oceanografiske målinger.

Pilotforsøket med ROV for å kartlegge habitat fungerte som et effektivt alternativ ombord, men bør modifiseres og standariseres for å forebdre hvordan dataen kan brukes. I tillegg til substratsforekomster, ble tareskog- og kråkebolleforekomster kartlagt.

5 - Takk

Dette toktet hadde ikke vært mulig å gjennomføre i samme skala (tid og rom) uten tilgang på leiefartøy og mannskap fra Fiskeridirektoratet. Vi ønsker å rette en spesiell takk til mannskapet på Rind, Freddy Norvoll, Ståle Hansen og Knut Morten Bauge, for smidig manøvrering i utfordrendre forhold og god hjelp på dekk. Tusen takk til Universitetet i Agder for lånet av ROV

6 - Referanser

Bakke, S., Wiech, M., Pan, M., og Søvik, G. 2016. Taskekrabbe i Troms–Fangstpotensiale, fangstsammensetning og kvalitet. Møreforsking rapport (Vol. MA16-06, pp. 29): Møreforsking Ålesund AS.

Kjesbu, O. Sigurd., Sundby, Svein., Sandø, A. Britt., Alix, Maud., Hjøllo, S. Sætre., Tiedemann, Maik., Skern-Mauritzen, Mette., mfl. 2022. Highly mixed impacts of near-future climate change on stock productivity proxies in the North East Atlantic. Fish and Fisheries, 23: 601–615. https://onlinelibrary.wiley.com/doi/abs/10.1111/faf.12635.X

Klassen, G. J., og Locke, A. 2007. A biological synopsis of the European green crab, Carcinus maenas. Book. Citeseer.

Marcussen, J. B. 2022. Fishing for more data: Exploratory stock assessment of the data-limited brown crab (Cancer pagurus) stock in Norway.

Marcussen, J. B., Jenssen, M., Nedreaas, K. H., Søvik, G., og Zimmermann, F. 2022. Taskekrabbetokt: Molde–Frøya 2021—Havforskningsinstituttets første taskekrabbetokt. Journal Article.

Marcussen, J. B., Bakke, S., Olsen, S. A., Skardhamar, J., og Zimmermann, F. 2024a. Krabbespredning i nord-Toktrapport 2023200030. Toktrapport, 2024-3.

Marcussen, J. B., Søvik, G., Olsen, S. A., Zimmermann, F., og Haugan, O. 2024b. Shellfish survey Vestlandet 2023—Survey 2023005013. Journal Article.

Meeren, G. I. van der, Zimmermann, F., Utne Palm, A. C., Wiech, M., Halvorsen, K. A. T., Kleiven, A. R., Kleiven, P. J. N., mfl. 2022. Shore crabs Carcinus maenas and shore crab fishery. Report, 1893-4536. Institute of Marine Research.X

Moland, E., Olsen, E. M., Knutsen, H., Knutsen, J. A., Enersen, S. E., André, C., og Stenseth, N. C. 2011. Activity patterns of wild European lobster Homarus gammarus in coastal marine reserves: implications for future reserve design. Marine Ecology Progress Series, 429: 197–207.

Munch-Petersen, S., Sparre, P., og Hoffmann, E. 1982. Abundance of the shore crab, Carcinus maenas (L.), estimated from mark-recapture experiments. Dana, 2: 97–121.

Norderhaug, K. M., Christie, H., Pedersen, M. F., og Fredriksen, S. 2014. Predators of the destructive sea urchin Strongylocentrotus droebachiensis on the Norwegian coast. Marine Ecology Progress Series, 502: 207–218.

Norderhaug, K. M., Nedreaas, K., Huserbråten, M., og Moland, E. 2021. Depletion of coastal predatory fish sub-stocks coincided with the largest sea urchin grazing event observed in the NE Atlantic. Ambio, 50: 163–173.

Reamon, M., Marcussen, J. B., Laugen, A. T., og Korslund, L. M. 2024. Efficient and reliable methods for estimating the abundance of keystone coastal macrofauna over large spatial scales. Ecology and Evolution, 14: e70088.

Van Der Meeren, G. I., og Meeren, C. I. van der. 1992. Location of spawning shore crabs, Carcinus maenas (L., 1758)(Decapoda, Brachyura). Crustaceana, 63: 92–94.

Young, A. M., og Elliott, J. A. 2019. Life history and population dynamics of green crabs (Carcinus maenas). Fishes, 5: 4.

Zimmermann, F., Jenssen, M., Nedreaas, K. H., Søvik, G., Hjelset, A. M., og Bakke, S. 2020. Kunnskapsgrunnlaget for taskekrabbe langs norskekysten. Journal Article.

7 - Annex

7.1 - Stasjonsliste

Stasjonsnr Serienummer Lengdegrader Breddegrader Redskap
1 65201 16.61967 68.98017 Taskekrabbeteiner
2 65202 16.56117 69.03567 Taskekrabbeteiner
3 65203 16.46450 69.04167 Taskekrabbeteiner
4 65204 16.38017 69.01883 Taskekrabbeteiner
5 65205 17.14383 69.07700 Taskekrabbeteiner
6 65206 17.08717 69.07300 Koniske teiner
7 65207 17.04517 69.05550 Taskekrabbeteiner
8 65208 16.86850 69.03550 Koniske teiner
9 65209 17.11950 69.18267 Taskekrabbeteiner
10 65210 17.14967 69.18750 Koniske teiner
11 65211 17.04100 69.15050 Koniske teiner
12 65212 17.07083 69.14950 Taskekrabbeteiner
13 65213 16.85383 69.15650 Taskekrabbeteiner
14 65214 16.81450 69.12500 Taskekrabbeteiner
15 65215 16.89183 69.11717 Koniske teiner
16 65216 16.75667 69.11767 CTD
17 65217 16.95517 69.02183 CTD
18 65218 16.95517 68.94133 CTD
1 65219 16.61633 68.98067 CTD
2 65220 16.56117 69.03567 CTD
3 65221 16.46083 69.04167 CTD
15 65222 16.89183 69.11717 CTD
13 65223 16.85383 69.15650 CTD
19 65224 17.18933 69.46817 Taskekrabbeteiner
20 65225 17.13883 69.46450 Taskekrabbeteiner
21 65226 17.18750 69.44983 Taskekrabbeteiner
19 65227 17.28917 69.42850 Taskekrabbeteiner
23 65228 17.39000 69.42517 Koniske teiner
24 65229 17.27667 69.41400 Taskekrabbeteiner
25 65230 17.07800 69.40500 Taskekrabbeteiner
10 65231 17.14533 69.18667 CTD
9 65232 17.04100 69.15050 CTD
11 65233 17.03300 69.15200 CTD
12 65234 17.07083 69.14967 CTD
8 65235 16.86733 69.03383 CTD
6 65236 17.08717 69.07300 CTD
5 65237 17.14383 69.07300 CTD
7 65238 17.04517 69.05550 CTD
26 65239 17.25550 68.98983 CTD
27 65240 17.42617 69.11517 CTD
28 65241 18.02967 69.19267 CTD
29 65242 18.03933 69.32817 CTD
30 65243 18.10067 69.46583 CTD
23 65244 17.90400 69.56233 Taskekrabbeteiner
24 65245 17.90950 69.56550 Koniske teiner
25 65246 17.95017 69.52100 Taskekrabbeteiner
26 65247 17.92833 69.52267 Koniske teiner
27 65248 18.64033 69.56700 Taskekrabbeteiner
28 65249 18.71067 69.54183 Taskekrabbeteiner
29 65250 18.80533 69.67917 Koniske teiner
30 65251 18.77017 69.67300 Koniske teiner
37 65252 18.80667 69.67867 CTD
38 65253 18.76950 69.67267 CTD
36 65254 18.70950 69.54233 CTD
35 65255 18.64300 69.56650 CTD
34 65256 17.92900 69.52367 CTD
33 65257 17.94833 69.52167 CTD
32 65258 17.90667 69.56583 CTD
31 65259 17.90400 69.56233 CTD
39 65260 17.84933 69.58300 Koniske teiner
40 65261 17.83267 69.58950 Taskekrabbeteiner
41 65262 17.83967 69.57700 Koniske teiner
42 65263 17.69133 69.59933 Taskekrabbeteiner
43 65264 17.61983 69.60000 Taskekrabbeteiner
44 65265 17.60467 69.59600 Taskekrabbeteiner
45 65266 17.57033 69.59133 Koniske teiner
46 65267 17.66617 69.61500 Koniske teiner
23 65268 17.39000 69.42517 CTD
22 65269 17.28917 69.42850 CTD
24 65270 17.27667 69.41400 CTD
25 65271 17.07800 69.40500 CTD
21 65272 17.18750 69.43517 CTD
19 65273 17.18933 69.46817 CTD
20 65274 17.13883 69.46450 CTD
46 65275 17.87183 69.62200 Taskekrabbeteiner
47 65276 17.93217 69.63350 Taskekrabbeteiner
48 65277 18.02817 69.59283 Taskekrabbeteiner
49 65278 18.15200 69.67883 Taskekrabbeteiner
50 65279 18.27183 69.62433 Koniske teiner
51 65280 18.21917 69.63117 Taskekrabbeteiner
52 65281 18.17133 69.64100 Taskekrabbeteiner
42 65282 17.69133 69.59933 CTD
43 65283 17.61983 69.60050 CTD
44 65284 17.60467 69.59600 CTD
45 65285 17.57033 69.59133 CTD
46 65286 17.66617 69.61500 CTD
41 65287 17.83967 69.57700 CTD
39 65288 17.84933 69.58300 CTD
40 65289 17.83267 69.58950 CTD
53 65290 18.12267 69.74833 Taskekrabbeteiner
54 65291 18.22683 69.76317 Taskekrabbeteiner
55 65292 18.26367 69.77950 Koniske teiner
56 65293 18.41300 69.80950 Taskekrabbeteiner
57 65294 18.32333 69.83783 Taskekrabbeteiner
58 65295 18.41117 69.82350 Taskekrabbeteiner
59 65296 18.43700 69.78617 Koniske teiner
129 65297 17.87817 69.60800 CTD
46 65298 17.88850 69.61667 CTD
47 65299 17.93317 69.63367 CTD
48 65300 18.02817 69.64283 CTD
52 65301 18.17133 69.64100 CTD
51 65302 18.21917 69.63117 CTD
50 65303 18.27183 69.62433 CTD
49 65304 18.15200 69.67883 CTD
60 65305 18.49083 69.87383 Taskekrabbeteiner
61 65306 18.54283 69.86167 Taskekrabbeteiner
62 65307 18.46433 69.89617 Taskekrabbeteiner
63 65308 18.55117 69.90483 Taskekrabbeteiner
64 65309 18.68583 69.89733 Koniske teiner
65 65310 18.63100 69.84000 Taskekrabbeteiner
66 65311 18.73283 69.78183 Koniske teiner
67 65312 18.71567 69.78133 CTD
130 65313 18.67700 69.75133 CTD
131 65314 18.67300 69.80033 CTD
132 65315 18.63600 69.81617 CTD
53 65316 18.12267 69.74833 CTD
54 65317 18.22683 69.76317 CTD
55 65318 18.26367 69.77950 CTD
59 65319 18.43700 69.78617 CTD
56 65320 18.41300 69.80950 CTD
58 65321 18.41117 69.82350 CTD
57 65322 18.32333 69.83783 CTD
68 65323 18.63450 70.05583 Taskekrabbeteiner
69 65324 18.58000 70.00917 Taskekrabbeteiner
70 65325 18.57583 69.98783 Koniske teiner
71 65326 18.53367 69.97050 Taskekrabbeteiner
72 65327 18.58500 69.95050 Koniske teiner
73 65328 18.70483 69.96633 Koniske teiner
74 65329 18.74517 69.97700 Taskekrabbeteiner
67 65330 18.71567 69.78133 CTD
66 65331 18.73283 69.78283 CTD
65 65332 18.63100 69.84000 CTD
61 65333 18.54283 69.86167 CTD
60 65334 18.49083 69.87383 CTD
62 65335 18.46433 69.89617 CTD
63 65336 18.55117 69.90483 CTD
64 65337 18.68583 69.89733 CTD
75 65338 18.68017 70.12667 Taskekrabbeteiner
76 65339 18.66150 70.16767 Taskekrabbeteiner
77 65340 18.72667 70.15467 Taskekrabbeteiner
78 65341 18.82917 70.14517 Taskekrabbeteiner
79 65342 18.90717 70.15300 Taskekrabbeteiner
80 65343 18.89317 70.13983 Koniske teiner
81 65344 18.77683 70.12300 Taskekrabbeteiner
82 65345 18.75333 70.11483 Koniske teiner
68 65346 18.63450 70.05583 CTD
69 65347 18.58000 70.00920 CTD
70 65348 18.57583 69.98783 CTD
71 65349 18.53367 69.98717 CTD
72 65350 18.58500 69.95050 CTD
73 65351 18.70483 69.96633 CTD
74 65352 18.74517 69.97700 CTD
83 65353 18.97633 70.06900 Taskekrabbeteiner
84 65354 19.01417 70.08200 Koniske teiner
85 65355 19.09733 70.10650 Taskekrabbeteiner
86 65356 19.03133 70.11817 Taskekrabbeteiner
87 65357 19.04433 70.12950 Koniske teiner
88 65358 18.93750 70.11283 Koniske teiner
59 65359 18.95833 70.11150 Taskekrabbeteiner
75 65360 18.68017 70.12667 CTD
76 65361 18.66150 70.16767 CTD
77 65362 18.72667 70.15467 CTD
81 65363 18.77683 70.12300 CTD
82 65364 18.75333 70.11483 CTD
78 65365 18.82917 70.14517 CTD
80 65366 18.89317 70.13983 CTD
79 65367 18.90717 70.15300 CTD
88 65368 18.93750 70.11283 CTD
85 65369 19.09733 70.10650 CTD
90 65370 19.23017 70.08417 Taskekrabbeteiner
91 65371 19.25783 70.09017 Taskekrabbeteiner
92 65372 19.30333 70.08633 Taskekrabbeteiner
93 65373 19.35967 70.08750 Taskekrabbeteiner
94 65374 19.34150 70.06383 Taskekrabbeteiner
95 65375 19.37700 70.09250 Koniske teiner
96 65376 19.57867 70.14667 Koniske teiner
97 65377 19.55733 70.12167 Taskekrabbeteiner
98 65378 19.63900 70.08400 Koniske teiner
99 65379 19.67283 70.07667 Taskekrabbeteiner
83 65380 18.97633 70.06900 CTD
84 65381 19.01417 70.08200 CTD
87 65382 19.04433 70.12950 CTD
86 65383 19.03133 70.11817 CTD
100 65384 19.44733 70.05967 Taskekrabbeteiner
101 65385 19.59733 70.03250 Taskekrabbeteiner
102 65386 19.67450 70.02550 Koniske teiner
103 65387 19.72417 70.03650 Koniske teiner
104 65388 19.72867 70.02617 Taskekrabbeteiner
95 65389 19.37700 70.09250 CTD
91 65390 19.25783 70.09017 CTD
90 65391 19.23017 70.08417 CTD
92 65392 19.30333 70.08633 CTD
94 65393 19.34150 70.06383 CTD
93 65394 19.35967 70.08750 CTD
105 65395 19.89733 70.04433 Taskekrabbeteiner
106 65396 19.81967 70.26617 Taskekrabbeteiner
107 65397 19.94583 70.24133 Koniske teiner
108 65398 19.83067 70.23300 Taskekrabbeteiner
109 65399 19.78000 70.19533 Taskekrabbeteiner
110 65400 19.93300 70.19533 Taskekrabbeteiner
104 65401 19.72867 70.02617 CTD
102 65402 19.67450 70.02550 CTD
103 65403 19.72417 70.03650 CTD
99 65404 19.67283 70.07667 CTD
98 65405 19.63900 70.08400 CTD
96 65406 19.57867 70.14667 CTD
97 65407 19.55733 70.12167 CTD
100 65408 19.44733 70.05967 CTD
101 65409 19.59733 70.03263 CTD
111 65410 19.98583 69.85183 Taskekrabbeteiner
112 65411 20.00050 69.85917 Koniske teiner
113 65412 19.89100 69.78983 Taskekrabbeteiner
114 65413 19.80283 69.74050 Koniske teiner
115 65414 19.75183 69.70233 Taskekrabbeteiner
116 65415 19.75033 69.64217 Koniske teiner
117 65416 19.71867 69.60450 Taskekrabbeteiner
118 65417 19.70950 69.74267 Taskekrabbeteiner
119 65418 19.72867 69.75850 Koniske teiner
107 65419 19.94583 70.24133 CTD
106 65420 19.81967 70.26617 CTD
108 65421 19.83067 70.23303 CTD
109 65422 19.78000 70.20500 CTD
110 65423 19.93300 70.19533 CTD
105 65424 19.89733 70.04433 CTD
120 65425 19.45317 69.89317 Taskekrabbeteiner
121 65426 19.41233 69.82867 Taskekrabbeteiner
122 65427 19.36867 69.82617 Taskekrabbeteiner
123 65428 19.29417 69.80233 Koniske teiner
124 65429 19.10117 69.78300 Taskekrabbeteiner
125 65430 19.08417 69.75200 Taskekrabbeteiner
119 65431 19.72867 69.75850 CTD
118 65432 19.70950 69.74267 CTD
116 65433 19.75033 69.64217 CTD
115 65434 19.75183 69.70233 CTD
114 65435 19.80283 69.74050 CTD
113 65436 19.89100 69.78983 CTD
111 65437 19.98583 69.85183 CTD
112 65438 20.00050 69.85917 CTD
126 65439 19.26450 69.77933 Taskekrabbeteiner
127 65440 19.22700 69.77200 Taskekrabbeteiner
128 65441 19.18667 69.75900 Taskekrabbeteiner
120 65442 19.45317 69.89317 CTD
121 65443 19.41233 69.82867 CTD
122 65444 19.36867 69.82617 CTD
123 65445 19.29417 69.80233 CTD
126 65446 19.26450 69.77933 CTD
127 65447 19.22700 69.77200 CTD
128 65448 19.18667 69.75900 CTD
124 65449 19.10117 69.78300 CTD
125 65450 19.08417 69.75200 CTD
133 65451 19.11717 69.77233 CTD

7.2 - CTD profiler

Dybdeprofiler der de ulike fargene representerer stasjonene.
Figur 17: Dybdeprofiler med tilhørende temperatur på henholdvis krabbestasjonene (venstre) og faste oceanografiskestasjoner (høyre) i 2024.

 

 

Dybdeprofiler der de ulike fargene representerer stasjonene.
Figur 18: Dybdeprofiler med tilhørende salinitet på henholdvis krabbestasjonene (venstre) og faste oceanografiskestasjoner.