Gå til hovedinnhold

Fiska meir rundt hummarreservatet


HI 001818

Sidan opprettinga av hummarreservatet i 2012 har havforskarane følgt hummaren tett. Her er Alf Ring Kleiven på prøvefiske i 2013. 

Fotograf: Espen Bierud / Havforskingsinstituttet

Reservatet skulle gi fleire og større humrar også til områda rundt. Men så fiska folk tre gonger så mykje rett utanfor grensa.

Reservatet i Tvedestrand har gitt særs gode resultat for rekrutteringa og storleiken til hummaren som lever der. Dette skal også gi overskot til dei kringliggande områda. I teorien.

– Det har vore ein generell auke i hummarfisket, men i tillegg ser vi ein psykologisk effekt. Når områda inntil reservatet etter alt å dømme skal vere ein betre fiskeplass, vil fleire fiske der. Fenomenet er kjent internasjonalt som «fishing the line», forklarer havforskar Portia Nillos Kleiven.

Netto mindre hummar

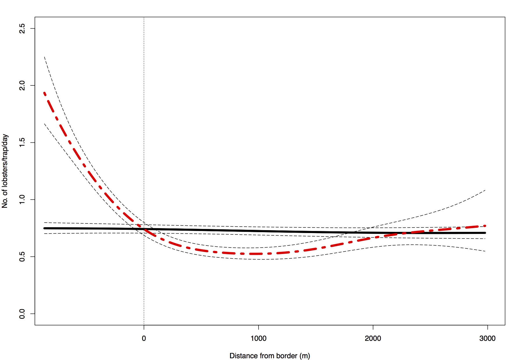
Den nye artikkelen hennar viser at fisketrykket utanfor reservatet var dobla fire år etter innføringa av reservatet. På grensene til reservatet var det samtidig tredobla. Nettoeffekten for hummarbestanden inntil 1,5 kilometer frå grensene blei dermed negativ.

– Sjølve reservatet har god effekt for hummaren som bur inni det. Mengda hummar der har nærmast tredobla seg på dei same fire åra, seier Kleiven.

– Rett utanfor grensa er det eit bratt fall i bestanden, som tar seg noko opp igjen når du kjem lengre vekk frå reservatet.

Ho meiner dei nye resultata viser at ein bør ha ein plan også for områda rundt reservatet dersom det skal ha positiv effekt utover eigne grenser.

Kan også «tappe» frå reservatet

Dersom fisketrykket held fram å auke rundt grensa, finst det også ein moglegheit for at det kan ete av hummar-overskotet inni reservatet.

– Tomme leveområde utanfor grensa kan trekke til seg hummar frå reservatet. Det vil gi meir i teinene på kort sikt, men vil då også fjerne den tenkte effekten av reservatet, forklarer Portia Kleiven.

Enklare å forske på reservat-effektar i framtida

For å måle fisketrykket i perioden, har Kleiven og kollegaane talt alle teinene i området. Å telje opptil 3000 teiner i eit område på 52 kvadratkilometer krev sine arbeidstimar.

I 2017 blei det innført obligatorisk påmelding for dei som ville fiske hummar, blant anna etter råd frå HI.

– Dette gjer det langt enklare å berekne fangst og fisketrykk i framtida. Dermed ligg alt til rette for å finne ut meir om korleis forvaltninga kan utforme reservat for hummar best mogleg.

Den raude linja viser forskingsfangsten av hummar frå sentrum av reservatet, der det er klart mest, og utover. Den svarte linja viser fangstane før oppretting av reservatet.

Referanse

Portia N. Kleiven, Sigurd H. Espeland, Esben M. Olsen, Rene Abesamis, Even Moland og Alf Ring Kleiven . Fishing pressure impacts the abundance gradient of European lobsters across the borders of a newly established marine protected area. 287. Proceedings of the Royal Society B: Biological Sciences
LINK: http://dx.doi.org/10.1098/rspb.2018.2455