Go to main content

Lakselusinfestasjon på vill laksefisk langs Norskekysten i 2024

— Sluttrapport til Mattilsynet

Author(s): Ørjan Karlsen , Rosa Maria Serra-Llinares , Rune Nilsen , Alison Harvey and Vidar Wennevik (IMR)

Sammendrag

Smittepresset av lakselus på vill laksefisk i fjordene og langs kysten overvåkes ved tråling av utvandrende postsmolt laks, fangst av sjøørret og sjørøye i ruser og garn samt ved bruk av smolt i vaktbur. Postsmolttråling gjennomføres i fem fjordsystemer i Sør-Norge mens undersøkelser med ruser og garn gjennomføres i alle 13 produksjonsområder. Vaktbur benyttes kun i Hardangerfjorden og Sognefjorden.

Tråldata viser lav infestasjon av lakselus på vill utvandrende postsmolt av laks i Boknafjorden (PO2), høy i Hardangerfjorden (PO3), lav i Sognefjorden (PO4), moderat i Romsdalsfjorden (PO5) og i Trondheimsfjorden (PO6) lav, men på grensen til moderat og det høyeste som er observert i tidsrommet 2016-2024. I flere av fjordene var det variasjoner både i tid og mellom regioner fisken vandret fra.

Rusedata indikerer jevnt over mer lus på sjøørret enn postsmolt laks. Grovt sett vurderes det høy lakselusrelatert dødelighet i alle produksjonsområdene fra PO1 (Sørlandet) til og med PO9 (Troms). Med unntak av Altafjorden (PO12) er det mindre lus på sjøørret og sjørøye lenger nord. På Sørlandet (PO 1) var det lite lakselus i kontrollområdet Sandnesfjorden. 

Burdata fra Hardangerfjorden viser et moderat smittepress i relativt store deler av Hardangerfjorden i 2 ukers perioden fra midtpunkt for utvandring I runde 2, dekkende for sent utvandrende laks har antall lakselus på fisken i vaktburene økt, og det er et moderat eller høyt smittepress fra de innerste burene litt innenfor Ålvik til de ytterste ved Bømlo. Høyest smittepress ble observert fra Strandebarm til området rundt Varaldsøy. Vaktburene i Sognefjorden indikerte stort sett lavt smittepress i begge disse periodene, men noe høyere i runde 1 enn runde 2 i de ytre delene.

 

 

1 - Innledning

Lakselus er en ektoparasitt som lever av slim, skinn og blod til laksefisk. Er antall lakselus høyt vil dette påvirke verten negativt. Spredning av lakseluslarver fra oppdrettslaks kultivert i åpne merder i sjøen øker risiko for lusepåslag på vill laksefisk i området. For å estimere smittepresset av lakselus på vill laksefisk undersøkes lusepåslag på ruse- og garnfanget sjøørret og sjørøye i alle produksjonsområdene, samt at det tråles etter utvandrende postsmolt av laks i 5 fjorder. I tillegg undersøkes smittepresset ved hjelp av vaktbur.

Denne overvåkingen utføres av Havforskningsinstituttet sammen med NORCE og NINA i den nasjonale overvåkingen av lakselus på vill laksefisk (NALO). Prosjektet er finansiert av Nærings- og fiskeridepartementet og Mattilsynet (OK program 99956827 lakselusovervåkning). Denne rapporten oppsummerer resultatene av disse undersøkelsene i 2024.

Vurderingene er bygget rundt to usikkerhetskilder, en er den statistiske usikkerheten, den andre er i hvilken grad vi vurderer at tidsperiode og sted for fangsten er representativ for området. Den statistiske usikkerheten er vist ved konfidensintervaller. De konfidensintervallene vi presenterer i denne rapporten angir hvor vi med 95% sannsynlighet ville vært om vi hadde gjentatt prosedyren fra første gang. Denne typen usikkerhet tar med andre ord ikke innover seg usikkerheten skapt ved at en antar at en har fanget fisk representativt i tid og rom. For å vurdere denne usikkerheten, har vi vurdert tidsrom fisket har foregått i forhold til antatt tid for utvandring. Denne siste er basert på Appendiks I b «Utvandringstidspunkt for laksesmolt i Norge ved vurdering av lakselusindusert dødelighet på smolt av villaks» til ekspertgrupperapporten. Datoene er oppgitt som snitt av midtpunkt (dvs. når 50% av elvebestanden har utvandret) for alle elvene i produksjonsområdet, elvene ikke vektet i forhold til deres teoretiske smoltproduksjon.

2 - Gjennomføring av overvåkingen

Årlig gjennomføres en undersøkelse av lakselus på vill laksefisk basert på fangst av sjøørret og sjørøye med garn og ruse i alle 13 produksjonsområdene. I en tidligere periode var prøvefisket delvis basert på en dynamisk tilnærming hvor en brukte Havforskningsinstituttets hydrodynamiske spredningsmodell for å indikere områdene med høyest smitte, og disse områdene ble da undersøkt. Tilsvarende ble det valgt kontrollområder hvor modellen indikerte lavt smittepress. I de senere år er alle stasjonene valgt uavhengig av estimert smittepress, og er stort sett faste stasjoner. I hvilken grad stasjonene er representative for smittepresset i produksjonsområdet er vurdert i forhold til estimert smittepress basert på den hydrodynamiske smittemodellen og estimert utvandringstid for laksen. Ruse og garnfangst er tidligere gjennomført i to perioder hvor den første undersøkelsen tas rett i etterkant av median dato for smoltutvandringen i produksjonsområdet. Dette for å fange opp eventuelt smittepresset den utvandrende laksesmolten utsettes for. Den andre perioden gjennomføres litt senere med mål om å fange opp eventuelle problemer hos beitende sjøørret og sjørøye som følge av lakselus utover sommeren. I 2024 er ruse og garnfangst de aller fleste steder redusert fra to til en undersøkelse per stasjon. Tidspunktet for undersøkelsen er lagt til tidsrommet mellom tidligere periode en og periode to. Dette gir mulighet til både å observere eventuelt smittepress for utvandrende laks ved hjelp av observerte lusestadier på fisken. Samtidig vil undersøkelsen være tilstrekkelig sent til å kunne dokumentere eventuelle problemer hos beitende sjøørret og sjørøye. Endringen gjør overvåkingen mer sårbar da et mindre tidsrom undersøkes. Samtidig er det lagt inn noen flere stasjoner i den nordligste delen av landet som øker den geografiske dekningen noe fra tidligere år. Enkelte stasjoner er i tillegg overvåket sammenhengende over en lengre periode for i større grad kunne bruke dataene for å vurdere når (om) økningen i smittepresset observeres. Dette er viktig da en av responsene til sjøørret som opplever smittepress fra lakselus er å oppsøke ferskvann. Dette vil da medføre at smittepresset observert utover sesongen kan ha blitt påvirket av at luseinfestert fisk ikke lenger befinner seg i de områdene der prøvefisking foregår, og at denne gruppen blir derfor underrepresentert i ruse og garnfangsten.

I år er det i tillegg fanget inn postsmolt ved tråling i 5 fjordsystemer (Boknafjorden, Hardangerfjorden, Sognefjorden, Romsdalsfjorden og Trondheimsfjorden). Trålingen starter noe før og varer til etter forventet periode for median utvandring av postsmolt av laks i området, og foregår i ytre del av fjordsystemene for å fange opp det akkumulerte smittepresset postsmolten har opplevd. Smittepresset helt ytterst ved kysten fanges ikke opp. En andel av den trålfangete fisken er tilordnet til hjemelv ved hjelp av genetiske metoder.

Den siste metoden som benyttes er bruk av vaktbur hvor det settes ut ca. 30 oppdrettssmolt i hvert bur som står ute i fjordsystemene i 2 uker før de blir erstattet med ny fisk for en ny runde. Burene er posisjonert for å fange opp smittepresset laks som vandrer nær overflaten opplever. Burene brukes for å sammenligne smittepress i tid og rom, samt for å verifisere modellene laget for å predikere smittepress av lakselus. I 2024 er det gjennomført to serier á 14 dager i Hardangerfjorden (PO3) og Sognefjorden (PO4).

Denne rapporten summerer dataene fra 2024, og er i stor grad basert på data innsamlet gjennom NALO (Figur 1), samt modellert overvåking av lakselus vha. Havforskningsinstituttets koblede biologisk-hydrodynamiske spredningsmodell for lakselus (www.lakselus.no). Modellert smittepress samt utslipp av lus i de enkelte produksjonsområdene omtalt i denne rapporten er presentert i appendiks “Modellert påvirkning av lakselus på vill laksefisk - Havforskningsinstituttet” til ekspertgrupperapporten.

Posisjonene for tråling, ruser/garn og vaktbur er utført i 2024 er vist som punkter i et kart.
Figur 1. Oversiktskart over stasjonene undersøkt i 2024. Posisjonene er veiledende.

 

2.1 - Metodene benyttet

2.1.1 - Tråling etter postsmolt laks og sjøørret

Til trålingen benyttes en pelagisk overflatetrål, ca. 35 m bred og 5 m dyp. Det tråles primært i de ytre delene av fjordene på dagtid med 2-4 knop, både med og motstrøms. Det er montert en skillerist i trålen for å separere smolten inn i et akvarium for å redusere skjell- og lusetap. Effektiviteten til denne varierer, og analysene inkluderer normalt også fisk som ikke har blitt sortert til akvariet. Fanget fisk avlives individuelt og lus i de ulike stadiene telles umiddelbart. Fiskens lengde og vekt registreres, og det tas skjellprøver samt vevsprøver til genetisk sporing. All lusetelling utføres av kvalifisert personell som har bestått kurs i artsidentifikasjon, bestemmelse av lusens utviklingsstadium og telling av lakselus.

I 2022 ble det testet ut å bruke kortere hal i Sognefjorden, og startposisjon og retning ble forhåndsbestemt ved å velge ut tilfeldige posisjoner i ett gitt område av fjorden. Det ble trålt fra startposisjon i retning av neste startposisjon. Da det er vanskelig å stadfeste nøyaktig når og hvor fisken fanges i løpet av et trålhal, er trålhalene redusert til ca. 30 minutter for å bedre kunne posisjonere fangsten i tid og rom. Annen hver dag ble det trålt på den tradisjonelle metoden, med lengre trålhal. Denne metodikken er gjennomført for alle fjordene i 2023 og 2024.

Selv om trålfangstene tas primært i de ytre delene av fjordene, blir fisken uansett alltid fanget før den har fullført vandringen i fjordene og langs kysten. Antall lakselus på fisken kan derfor være underestimater på den totale lusemengden smolten får på seg i løpet av vandringen fra elvemunning til åpent hav. I tillegg tapes det trolig lus i forbindelse med håndteringen av fisk, særlig de minste lusestadiene som er stort sett de eneste som finnes på postsmolten, noe som kan føre til ytterligere underestimering av antall lakselus.

Selektiviteten til trålredskapet er vurdert med tanke på i hvilken grad det fanger opp et representativt utvalg av fisken, dvs. fisk med representativ størrelse, luseinfestasjon, samt at de ulike elvene i hvert produksjonsområde er representert. Det har vært diskutert at laksesmolt smittet med lus kan ha en avvikende atferd ved at de svekkes, bryter stimstrukturen og dermed fanges lettere i trålen enn fisk som ikke er infestert. Oss bekjent er det ikke gjort undersøkelser av adferd til luseinfisert versus ikke infisert fisk. Svømmeevnen til luseinfisert fisk er derimot undersøkt i flere studier. Effekten av lus på laksens kritiske svømmehastighet (et mål på maksimal svømmehastighet og utholdenhet) har vist at infestert laks har noe lavere verdier (Wagner mfl. 2003), og at det er en økende effekt også for de tidligste stadiene av lus med økende infestasjon (Bui mfl. 2016). Om de relativt små forskjellene har noen praktisk betydning i forhold til trålunnvikelse vites ikke. I ett nyere arbeid er det også vist at metabolsk rate er høyere for luseinfisert fisk, trolig relatert til økte kostnader ved osmoregulering og mobilisering av immunforsvaret (Hvas & Bui 2022). På den andre siden kan de samme forholdene øke risikoen for predasjon. Dette kan bety at laks infestert inne i fjordene kan ha en høyere risiko for predasjon, og derfor bli underrepresentert i trålfangstene.

Havforskningsinstituttet har utviklet en metode for å bestemme hvilken elv den trålfangete laksen kommer fra (Harvey mfl. 2019). Dette gir oss anledning til å vurdere effekten for enkelte elver. Metoden er ikke i stand til å bestemme opprinnelse til all laksen, og andelen som kan bestemmes varierer i de ulike fjordene det tråles.

Bare vill laksesmolt med vekt mindre eller lik 50 g benyttes i analysene. All merket laksesmolt som ikke med sikkerhet kan sies å være villfisk ekskluderes, da dette kan være utsatt kultivert fisk eller fisk som inngår i forsøk. Videre ekskluderes fisk med store skjelltap eller som har dødd i trålen fra analysene. Tidligere har vi satt grensen for inkludering av laksesmolt ved 100 g, men grunnet usikkerhet knyttet til utsett av kultivert fisk har vi satt denne grensen lavere. Dette har ingen reell betydning for de vurderingene som er gjort (jfr. appendiks II til ekspertgrupperapporten fra 2021).

Ved undersøkelsen av lakselus telles også voksne skottelus, men disse brukes ikke i vurderingene, og inngår ikke i tabeller eller figurer. Eksempelvis er andel av trålfanget laks som er smitte med skottelus i 2023 7,6% i Boknafjorden, men 0% i Hardanger, Sogn og Nordfjord. I 2024 hadde 4,7 % av laksen fra Boknafjorden, 0,7% av laksen fra Hardangerfjorden, 2,3 % av laksen fra Sognefjorden, mens ingen laks fra Romsdalsfjorden og Trondheimsfjorden, voksne skottelus. De minste stadiene av lakselus og skottelus er relativt like, og kan vanskelig skilles i feltundersøkelsene. Dette kan gjøres med PCR undersøkelser, og dette ble gjort på trålfanget postsmolt av laks fra Boknafjorden, Hardangerfjorden (fisk fra 2022), Sognefjorden og Nordfjord i 2023. Disse analysene viste 533 lakselus og ingen skottelus. Tilsvarende analyser er gjort for 2024, med disse er ikke ferdige.

2.1.2 - Vaktbur

Vaktbur er ca. 1 m3 store lukkede merder som henger fra 0,5-1,5 m dybde (Bjørn mfl. 2011). Vaktburene er forankret på bunn, og henger fra blåser rett under overflaten. I burene settes ca. 30 oppdrettete laksesmolt som står ute i omtrent 14 dager før fisken tas ut og lus telles. De senere årene er det satt ut i 17-18 vaktbur i hvert fjordsystem på faste stasjoner hvor de er ment å fange opp smittepresset i systemet. Oppdrettsmolten som benyttes er betydelig større enn villsmolt, og smittepresset vurderes derfor ut ifra antall lus per fisk, og ikke antall lus per gram fiskevekt.

Undersøkelser indikerer at det er mest lus i de øverste vannlagene, og siden vill utvandrende postsmolt laks oftest svømmer på 1-3 m dybde fanger burene opp smitte på denne dybden. Hvis området er sterkt influert av ferskvann, noe lakselus vil unngå, vil dette reflekteres i lusepåslagene i vaktburene. Burene dekker normalt ikke de midtre delene av fjorden, burene representerer derfor smittepresset relativt nært land.

Påslag vil variere med transport av vann gjennom buret da fisken her er låst i tid og rom. I naturen vil fisk bevege seg og kontakten mellom fisk og lus er trolig høyere. Det er gjort undersøkelser av variasjon i påslag av lakselus i burene ved å sette to og to bur sammen like ved siden av hverandre (50-100 m avstand) i indre og ytre deler av Hardangerfjorden i 2010, totalt 13 slike par. I 7 av disse parene var infestasjonen nær 0, mens i de burene hvor det var lus på fisken det var en signifikant forskjell i 4 av settene (Bjørn mfl. 2011). Årsaken til denne forskjellen kan skyldes lokale strømmer, begroing av bur som reduserer gjennomstrømmingen, ulik atferd til fisken i burene eller annet. Lus kan også skrapes av på notveggen i burene, og det tapes sannsynligvis lus både i opptak av fisk fra burene og i bedøvelsen. Det er nylig vist at lusepåslaget på fisk i vaktbur ved et gitt smittepress beregnet med Veterinærinstituttets modell, er rundt 90 prosent lavere enn lusepåslaget på trålfanget vill postsmolt av laks ved det samme smittepresset (Stige mfl. 2022).

Resultatene fra vaktburene brukes primært for å synliggjøre smittepresset i tid og rom, og ikke som et direkte estimat av infestasjonen på villfisk.

2.1.3 - Ruse og garnfiske

Det foretas prøvefiske av sjøørret og sjørøye med ruse og garn i alle produksjonsområdene. Ruse er det foretrukne redskap. Rusene er utstyrt med ledegarn som strekker seg fra land og leder fisken ut til ett fangskammer hvor fisken fanges levende. Fangstkammeret står 30-50 m fra land, med toppen nær overflaten. Rusene sjekkes minst en gang i døgnet. Fiskene løftes over i kar med bedøvelse, fiskens lengde og vekt registreres, og lus i de ulike stadiene telles. Etter oppvåkning fra bedøvelse settes fisk tilbake i sjøen ved fangststed. Garnfiske supplerer rusene der rusefiske er utfordrende, slik som områder med sterk strøm eller stor tidevannsforskjell. Garnene som benyttes er 25 m lange, 1,5-2,5 m dype monofilament flytegarn med maskevidder fra 17-26 mm, som settes fra land og utover. Garnene røktes mens fisket pågår for å unngå at fisken dør i garnene da mobile lus kan hoppe av om verten dør. Fisk som fanges klippes skånsom ut av garnet og lus i de ulike stadiene telles umiddelbart. Fiskens lengde og vekt registreres. Alle som utfører lusetellinger har bestått kurs i artsidentifikasjon, stadiumbestemmelse og telling av lakselus.

Representativitet til fangstene er vurdert med tanke på at alle redskaper som benyttes for å fange fisk er selektive, og kan påvirke utfallet av de målingene som foretas. Både garn og ruser er passive redskaper hvor fangsten påvirkes av svømmeaktiviteten til fisken. Lus kan påvirke svømmeaktiviteten til infisert fisk, og infisert fisk holder seg også mer i brakkvann. Infestert fisk har en preferanse for lavere saltholdigheter, og tenderer derfor til enten å returnere til elv, eller forbli i brakkvannsområdet i estuariet. Siden det ikke fiskes i disse områdene, kan luseinfestert fisk bli underestimert i fangstene. I tillegg kan svært lusesmittet fisk dø, og er da ikke lenger er tilgjengelig for fangst, som igjen da kan medføre at fangsten underrepresenterer smittepresset. Til sist, luseinfestert fisk som oppsøker ferskvann for å kvitte seg med lus kan vandre ut igjen i fjorden etterpå hvor de kan bli fanget, og derfor maskere det reelle smittepresset fisken har opplevd. Derfor anser vi at luseinfestasjonene målt på fangstet fisk i ruse og garn vil være minimumsverdier.

Ruse har den fordelen at fisken fanges levende, og at den ikke setter seg fast i garnmasker. Tap av lus er generelt mindre, og sammenligninger indikerer at antall lus på rusefanget sjøørret er høyere enn på garnfanget (Grøn 2016). Vi har valgt å utelukkende benytte tellinger av fisk i felt da sammenligninger indikerer ett betydelig tap av lus, spesielt de minste stadiene, på fisk som er frosset og tas inn til lab for telling av lus. Undersøkelser indikerer at en andel av de minste stadiene av lus på sjøørret og sjørøye er skottelus. Disse kan vanskelig skilles fra lakselus, og selv om en vanligvis får økte tettheter med skottelus (Caligus elongatus) på oppdrettsfisk først utover høsten, kan det medføre at spesielt i nordlige fylkene overestimeres antall lakselus. Foreløpige data kan indikere at innslaget av skottelus i de fastsittende stadiene utgjorde opptil 12 % i de nordlige fylkene (Elvik mfl. 2016).

I tidligere risikovurderinger av oppdrett (Svåsand mfl. 2016), har lakselus på sjøørret mindre enn 150 gram fanget rett etter forventet median smoltutvandring blitt brukt som en indikator på potensielle effekter på utvandrende laksesmolt. I et nylig arbeid ble lakselussmitte på sjøørret og laksesmolt fanget samtidig i trål de siste 10 årene studert for å evaluere hvor god en slik tilnærming er til å forutse mengder lus på laksesmolt, dvs. om det er en korrelasjon mellom lus på sjøørret og laksesmolt. Studiet tilsier at det er en klar sammenheng mellom smittepresset på de to artene, men at det generelt sett er mindre lus på laksesmolt enn på sjøørret (Vollset mfl. 2017). Laks og sjøørret viser liten forskjell i mottakelighet for lus (Dawson mfl. 1997, Bui mfl. 2017). At det er mer lus på sjøørret enn laks kan derfor skyldes at ørret normalt oppholder seg mer litoralt enn laksen, og at en antar at det er mer lus langs land enn midtfjords, eller at sjøørreten har utvandret tidligere fra elven og derfor opplevd en lengre periode med smittepress.

Vi vurderer derfor at lakselus på sjøørret ikke kan brukes til å direkte estimere lakselusindusert dødelighet på laksesmolt, men i tilfeller der det observeres store mengder lus på sjøørret er dette en klar indikasjon på at også utvandrende laksesmolt er mer utsatt for lusesmitte i et gitt område.

2.2 - Estimering av smittepress og dødelighet

I denne rapporten er alle infeksjonsparametere beregnet og beskrevet etter anbefalinger fra Rozsa mfl. (2000) for presentasjon av kvantitative parasittologiske data. Prevalens referer til andelen av fisken som har lus, og er oppgitt med 95 % konfidensintervall basert på binomisk fordeling (Bush mfl. 1997). Intensitet referer til gjennomsnittlig antall lus på infisert fisken, og er oppgitt med 95% konfidensintervall beregnet med BCa (bias-corrected and accelerated) bootstrap som anbefalt av Efron & Tibshirani (1993). Analysene er normalt gjort basert på alle lusestadier.

Sannsynlighet for at et individ dør eller er negativt påvirket av lakselus er avhengig av antall lus fisken har, og hvor stor fisken er. I dag brukes antall lus per gram fiskevekt (relativ intensitet) for å estimere sannsynlighet for at et individ dør på grunn av lakselus, såkalte tålegrenser eller grenseverdier. I denne rapporten benyttes grenseverdiene beskrevet i Taranger mfl. (2012) for å estimere effekten av den observerte lusesmitten. Det er foreslått ulike grenseverdier for henholdsvis liten laksefisk under 150 g (utvandrende laksesmolt og førstegangsutvandrende sjøørret og sjørøye), og et annet sett grenseverdier for laksefisk over 150 g (veteranvandrere av sjøørret og sjørøye). For utvandrende laksesmolt (<50 g) er grensene for forventet dødelighet satt slik at < 0,1 lus/g fiskevekt ikke gir dødelighet, 0,1-0,2 lus/g 20 % dødelighet, 0,2-0,3 lus/g 50% dødelighet og > 0,3 lus/g 100% dødelighet. For ruse og garnfanget sjøørret og sjørøye er analysene normal basert på all fisk fanget, med grenseverdiene tilpasset fiskestørrelse. For sjøørret og sjørøye under 150 g brukes samme grenseverdiene som på utvandrende laksesmolt, mens for større fisk er grenseverdiene satt slik at < 0,01 lus/g fiskevekt ikke gir dødelighet, 0,01-0,05 lus/g gir 20 % dødelighet, 0,05-0,1 lus/g 50% gir dødelighet, 0,1-0,15 lus/g gir 75% dødelighet og > 0,15 lus/g gir 100% dødelighet. Det skilles ikke på sjøørret og sjørøye i analysene.

For å beregne lakselusindusert dødelighet (dvs. den andel av dødeligheten som kan knyttes til parasitten) i populasjonen, deles samplet prosentvis inn i infeksjonsgrupper. Dødelighet for hver infeksjonsgruppe beregnes basert på de antatte toleransegrenser, og summen av alle gruppene gir den totale estimerte lakselusindusert dødelighet, som uttrykkes som en prosentandel av populasjonen med 95 % bootstrap konfidensintervaler.

For tråldata er det presentert to analyser. Den ene inkluderer all fisk fanget, og er beregnet ut fra snitt per uke. Den andre er basert på at en andel av fisken er tilordnet elv med genetiske metoder. Estimert dødelighet er her presentert for elver fra de ulike regionene da antall fisk fanget per elv oftest blir lavt.

For å sensitivitetsteste toleransegrensene har vi beregnet dødelighet med andre grenseverdier (halvert og doblet toleranse), samt effekten av å benytte bare sjøørret og sjørøye mindre enn 150 g for å beregne effekten av lakselus. Figurene er presentert i vedleggene.

Tiden for smoltutvandring er tatt fra appendiks «Utvandringstidspunkt for laksesmolt i Norge ved vurdering av lakselusindusert dødelighet på smolt av villaks», og inneholder to datosett, et modellert basert på en publisert modell for utvandring (her er snittet 2014-2018 benyttet), samt en tabulert slik det er gjort tidligere år (jfr. vedlegg 1 til ekspertgrupperapporten for ytterlige informasjon om disse estimatene). Her er de modellerte datoene benyttet. Smittekartene og utslipp av lakselus det henvises til i denne rapporten er tilgjengelig i vedlegg «Modellert påvirkning av lakselus på vill laksefisk i 2024» til ekspertgrupperapporten for 2024, og gjengis ikke her.

3 - Status i produksjonsområdene

3.1 - PO 1 Svenskegrensen – Jæren

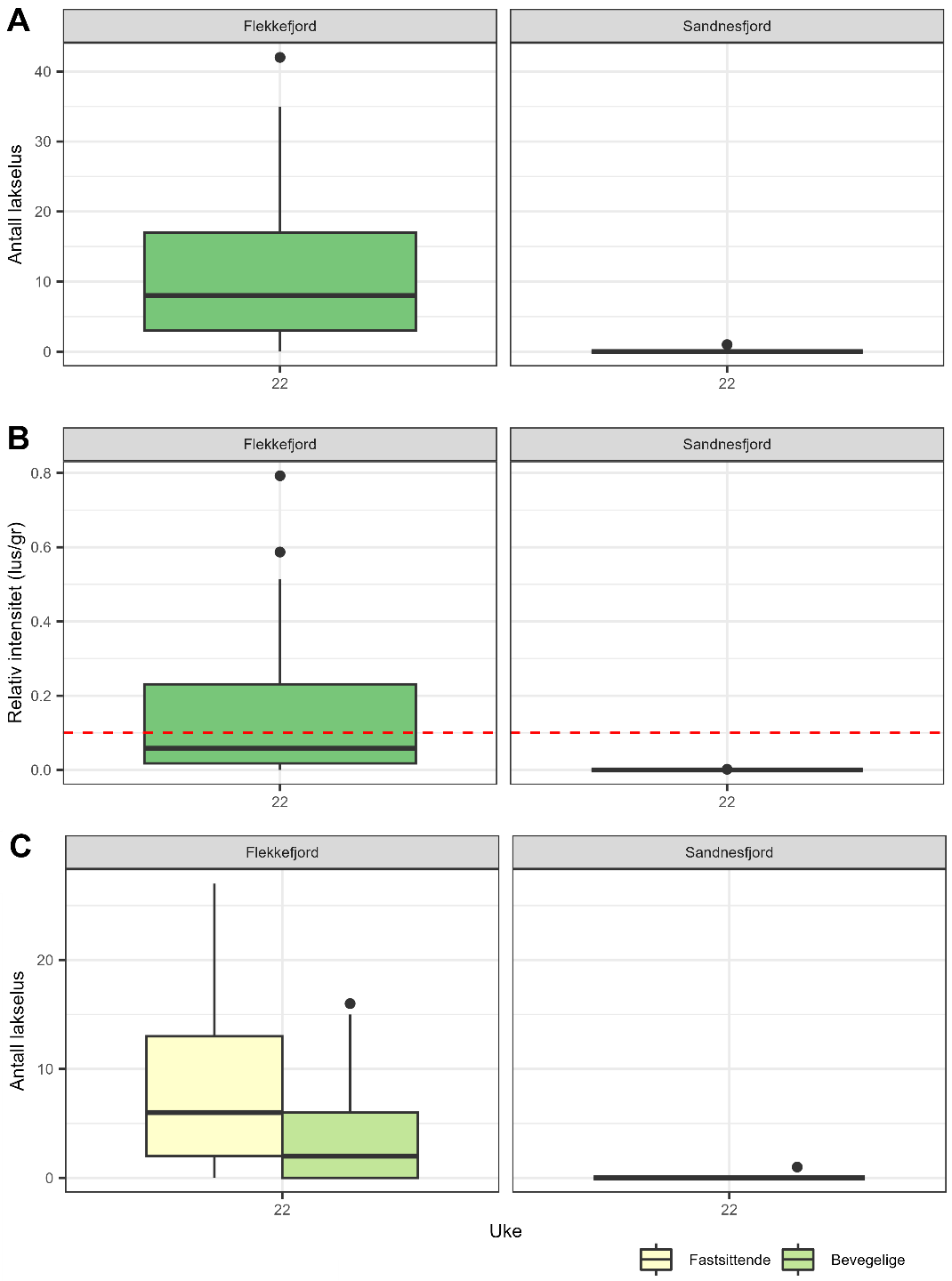
I dette produksjonsområdet er Sandnesfjord og Flekkefjord undersøkt uke 22. I Sandnesfjord var det lite lus på fisken, og det estimeres ingen dødelighet, tilsvarende som tidligere år i samme periode. Flekkefjord dekker det eneste området med oppdrettsaktivitet av betydning i PO1. Her hadde en større andel av fiskene lus, de hadde flere lus, og det estimeres høy dødelighet. Undersøkelsene er tatt 2-3 uker etter midtpunkt for utvandring. Smittekartene som dekker perioden, avdekker ingen større områder med betydelig økte tettheter i forhold til de undersøkte stasjonene noen av årene. D et antas derfor at det ikke er områder med høyere smittepress enn hva som er observert ved Flekkefjord. Smolten har kort vandringsvei gjennom fjordene i dette i området, og derfor kort oppholdstid i områder med forhøyet lusepress. Området som helhet anses derfor å ha lav lakselusindusert dødelighet også i 2024.

Det er ikke trålt etter utvandrende postsmolt av laks, eller satt ut vaktbur i dette området.

Ruse og garnfangst

I produksjonsområde 1 er to stasjoner undersøkt med ruse (Figur 2). I PO1 regner en at midtpunkt for smoltutvandring er 14. mai (uke 20).

Figuren viser ruse eller garnstasjonene som punkter i kart.
Figur 2. Stasjonene undersøkt med ruse eller garn i PO1 i 2024. Grønne felt viser de nasjonale laksefjordene.

 

Stasjonene Sandnesfjord og Flekkefjord er undersøkt med ruse og garn uke 22 (27. mai – 1. juni), 2 uker etter estimert smoltutvandring (14. mai) i området. I Sandnesfjord hadde sjøørreten lite lus, men det var betydelig mer lus på sjøørreten ved Flekkefjord (Tabell 1), med prevalens på hhv. 7 og 94%, intensitet 1 og 13 lus/fisk.

Stasjon Uke n Vekt (range) Prevalens [KI] Intensitet [KI] Maks n lus % >0.1 rel.int.
Sandnesfjord 22 14 265 (45-1080) 7 [0-31] 1 [1-1] 1 0 [0-22]
Flekkefjord 22 33 220 (37-760) 94 [80-98] 13 [9-17] 42 36 [22-53]
Tabell 1. Infestasjon av lakselus på sjøørret i PO 1. n angir antall undersøkte fisk i hver uke, prevalens viser hvor stor andel (%) av disse som hadde en eller flere lakselus, mens Intensitet er antall lakselus på fisken som hadde lus. % > 0,1 rel.int. viser andelen av fisken hvor infestasjonen var høyere enn 0,1 lus per gram kroppsvekt, som anses som en grense for fysiologisk effekt av lakselus. 95 % konfidensintervall (KI) er oppgitt i klammer.

I Flekkefjord var det et høyere antall fastsittende (kopepoditter og begge chalimistadiene) enn bevegelige stadier av lus (preadulte og adulte stadier). Snittemperaturen for området (målt på 3 m dyp, rapportert fra oppdrett) er ca. 12°C. Fra påslag av kopepoditter til lusen blir preadult tar det da ca. 14 dager, dvs. antall fastsittende dekker det akkumulerte påslaget av lus de to foregående ukene. Gitt at fisken har utvandret minst to uker før median utvandring i uke 20 indikerer fordelingen av lus et relativt lavere smittepress på sjøørreten før median smoltutvandring enn etter (Figur 3). Utslippene av lakselus er lave i dette området, og det er liten økning i løpet av mai. Smittepresset sentrert rundt midtpunkt for utvandring viser at Sandnesfjord ligger i ett område med lavt smittepress, mens Flekkefjord ligger i ett område med høyere smittepress. Det vurderes derfor at smittepresset rundt midtpunkt for utvandring er lavt i dette området som helhet.

Boksplott som viser antall lakselus, relativt antall lakselus og fordelingen av fastsittende og bevegelige lakselus for hver stasjon hver fangstuke.
Figur 3. Antall lakselus (A), relativt antall lus (antall lus/gram kroppsvekt) (B) og antall lakselus fordelt på fastsittende og bevegelige stadier (C) fra sjøørret ved Sandnesfjord og Flekkefjord.

 

Det estimeres lav (0 [0-0] %) lakselusrelatert dødelighet på sjøørret i Sandnesfjord 2024, tilsvarende som observert de fleste tidligere år (Figur 4). I Flekkefjord estimeres høy (34 [21-48] %) dødelighet, betydelig høyere enn i 2023, men omtrent tilsvarende som i 2018 og 2022 (Figur 4).

Figur som viser estimert dødelighet for hver fangstuke for hver stasjon for hvert år som punkter i en graf.
Figur 4. Estimert luseindusert dødelighet på rusefanget sjøørret med 95% konfidensintervaller. Alle beregningene er basert på all fisk fanget og alle lusestadier. Antall undersøkt hver uke er angitt i figuren.

 

3.2 - PO 2 Ryfylke

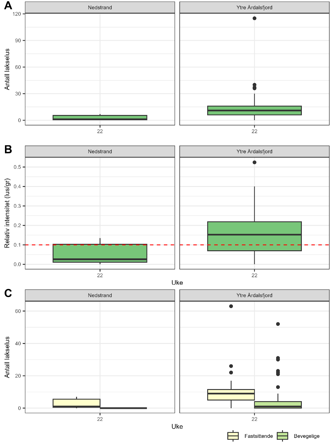
I produksjonsområde 2 er stasjonene Ytre Årdalsfjord på sørsiden og Nedstrand på nordsiden undersøkt i uke 22. Ruseundersøkelsene startet derfor ca. 2 uker etter midtpunkt for utvandring. På begge stasjonene hadde mesteparten av ørreten lus, antall lus på fisken var høyere i Ytre Årdalsfjord. Estimert lakselusrelatert dødelighet er lav i Nedstrand og høy i Ytre Årdalsfjord, men merk lavt antall fisk fanget i Nedstrand. I Nedstrand er dette lavere enn de fire foregående årene, mens det er noe høyere i Ytre Årdalsfjord enn i 2023. Fordelingen av lus indikerer høyere smittepress etter midtpunkt for smoltutvandringen på begge stasjonene. Området med høyt smittepress omfatter midtre delene av Boknafjorden. Dette samsvarer med noe mer lus på fisken i Ytre Årdalsfjord enn i Nedstrand. Ruse og garnfangst indikerer en kategorisering av PO2 i moderat lakselusindusert dødelighet. Usikkerheten anses som middels da stasjonene anses som dekkende i tid og rom, men det er lavt antall i Nedstrand.

Det er i 2024 trålt i Boknafjorden ukene 18-21, 19. april - 26. mai. Tråldata indikerer lav lakselusindusert dødelighet i 2024, den laveste i tidsperioden 2017-2024. Estimert dødelighet er lav for alle ukene, og for hele trålperioden sett under ett. Det estimeres også lav dødelighet for elvene både på nord, øst og sørsiden av Boknafjorden. Det ble bare fanget 1 fisk fra Jæren, ingen fra Figgjo. Av de laksene som genetisk kan tilordnes hjemelv, er fangstene dominert av fisk fra elvene på sørsiden. Fangstene har vært gode med en klar topp i uke 20, hvilket indikerer at trålperioden har vært dekkende for utvandringen, selv om det trolig har utvandret noe fisk både før og etter. Antall fra de nordlige elvene er lavt, og lavere enn tidligere år . Mye av fisken er fanget relativt langt inn i Boknafjorden, og dekker ikke hele utvandringsruten for laksen. Usikkerheten i kategoriseringen vurderes derfor som middels.

Det er ikke satt ut vaktbur i dette området. 

Ruse og garnfangst

I produksjonsområde 2 er stasjonene Ytre Årdalsfjord på sørsiden og Nedstrand på nordsiden undersøkt i 2024 (Figur 5). M idtpunkt for utvandring for elvene i produksjonsområdet er estimert til 13. mai (uke 20).

Figuren viser ruse eller garnstasjonene som punkter i kart.
Figur 5. Stasjonene undersøkt med ruse eller garn i PO2 i 2024. Grønne felt viser nasjonale laksefjorder.

 

Stasjonene Ytre Årdalsfjord og Nedstrand er begge undersøkt i uke 22. Ruseundersøkelsene startet derfor ca. 2 uker etter median utvandring (uke 20). På begge stasjonene hadde mesteparten av ørreten lus, hhv. 97 og 71% (Tabell 2), men antall fanget ved Nedstrand var lavt som medfører stor usikkerhet i vurderingene. I Ytre Årdalsfjord var intensitet 15 lus/fisk, noe lavere enn i 2023. Nedstrand var intensiteten 4 lus/fisk, betydelig lavere enn i 2023 (men merk lav N begge årene).

Stasjon Uke n Vekt (range) Prevalens [KI] Intensitet [KI] Maks n lus % >0.1 rel.int.
Ytre Årdalsfjord 22 59 160 (29-1410) 97 [88-99] 15 [12-22] 115 63 [50-74]
Nedstrand 22 7 74 (39-219) 71 [36-92] 4 [2-6] 7 29 [8-64]
Tabell 2. Infestasjon av lakselus på sjøørret i PO 2. Se Tabell 1 for forklaring av verdiene.

Fordelingen av lus viser at de fastsittende stadiene dominerer i ukene 22, mens antall bevegelige var lavere (Figur 6). Snittemperaturen i området er ca. 13°C (ukene 20-22). Gitt at fisken har utvandret minst to uker før median utvandring i uke 20, indikerer dette et høyere smittepress etter midtpunkt for smoltutvandringen på begge stasjonene. Dette sammenfaller med at utslippene av lakselus var relativt lav siste halvdel av april, men økte deretter jevnt i mai. Smittekartene av lus sentrert rundt midtpunkt for utvandring viser at det er mest lus i midtre deler av Boknafjorden, og mer lus ved Ytre Årdalsfjord enn ved Nedstrand, men også at det er områder med både mer og mindre lus enn ved de undersøkte stasjonene. Dette indikerer at smittepresset i 2024 er lavere enn i 2023.

Boksplott som viser antall lakselus, relativt antall lakselus og fordelingen av fastsittende og bevegelige lakselus for hver stasjon hver fangstuke.
Figur 6. Antall lakselus (A), relativt antall lus (antall lus/gram kroppsvekt) (B) og antall lakselus fordelt på fastsittende og bevegelige stadier (C) fra sjøørret på stasjonene undersøkt i PO2.

 

Estimert dødelighet i 2024 er lav (6 [0-11] %) i Nedstrand (merk lav N) og høy (36 [28-45] %) i Ytre Årdalsfjord uke 22 (Figur 7). I Nedstrand er dette lavere enn de fire foregående årene, mens i Ytre Årdalsfjord er det omtrent som i 2023.

Figur som viser estimert dødelighet for hver fangstuke for hver stasjon for hvert år som punkter i en graf.
Figur 7. Estimert luseindusert dødelighet på rusefanget sjøørret med 95% konfidensintervaller. Alle beregningene er basert på all fisk fanget og alle lusestadier. Antall undersøkt hver uke er angitt i figuren.

 

Tråldata sjøørret

Det ble i 2024 tatt 9 sjøørret i trålen, 67% av disse hadde lus, med en intensitet på 9 lus/fisk (Tabell 3). Det estimeres at 11% av sjøørreten har så mye lus at den er negativt påvirket.

n Vekt (range) Prevalens [KI] Intensitet [KI] Maks n lus % >0.1 rel.int.
9 337 (41-717) 67 [35-88] 9 [4-10] 12 11 [1-43]
Tabell 3. Infestasjon av lakselus på trålfanget sjøørret i PO 2. Se Tabell 1 for forklaring av verdiene.

Tråldata postsmolt laks

Det er i 2024 trålt i Boknafjorden ukene 18-21, 19. april - 26. mai. Fangstene har vært gode, spesielt på sørsiden av fjorden. Høyest fangst var i uke 20. Fangstmønsteret indikerer at trålperioden har fanget opp utvandringen, men det lave antall fanget fisk fra elver på spesielt nordsiden kan skyldes at de har vandret før eller etter perioden det ble trålt, eller at de i liten grad kan bestemmes til hjemelv med nødvendig sikkerhet.

Linje i en graf som viser kumulativt antall fisk fanget.
Figur 8. Kumulativ fangst av utvandrende postsmolt av laks i 2024.

 

Første fangstuke ble det trålt en del fisk på nordsiden, mens senere ble mest fisk fanget relativt langt inne på sørsiden av fjorden (Figur 9), selv om innsatsen var spredt over hele fjordens bredde. Trålhalene dekker derfor ikke hele vandringsruten for postsmolten.

Figur som viser hvor hver av tråltrekkene er tatt som linjer i et kart.
Figur 9. Tråltrekkene etter utvandrende postsmolt laks i Boknafjorden, hvor farge indikerer fangst. Grønne felt viser nasjonale laksefjorder.

 

Andelen av laks med lus (prevalens) var mellom 21 og 24 % alle ukene, mens intensitet var 1 lus/fisk alle 4 ukene (Tabell 4).

Uke n Vekt (range) Prevalens [KI] Intensitet [KI] Maks N lus % >0.1 rel.int. [KI]
18 75 23 (12-43) 11 [6-20] 1 [1-1] 2 1 [0-7]
19 97 21 (7-48) 18 [11-26] 1 [1-2] 4 2 [1-7]
20 324 20 (9-44) 15 [12-19] 1 [1-1] 2 1 [0-2]
21 11 24 (16-36) 9 [0-38] 1 [1-1] 1 0 [0-26]
Tabell 4. Infestasjon av lakselus på utvandrende laksesmolt i Boknafjorden. Se Tabell 1 for forklaring av verdiene. Det ble trålt fra 29. april til 26. mai 2024.

Estimert dødelighet var lav i alle ukene undersøkt (Figur 10), og det er ingen uker som skiller seg ut med forhøyet dødelighet.

Figur som viser estimert dødelighet for hver fangstuke for hver stasjon for hvert år som punkter i en graf.
Figur 10. Estimert luseindusert dødelighet (med konfidensintervaller) som snitt av all trålfanget vill postsmolt av laks fanget hver uke i Boknafjorden. Antall undersøkt hver uke er angitt i figuren.

 

I snitt for året estimeres dødeligheten til under 1% (Figur 11), og en endring av laksens toleransegrense endrer lite på dette. Dette er den laveste estimerte dødeligheten i årene 2017-2024 hvor det er trålt.

Figur som viser estimert dødelighet for hvert år.
Figur 11. Estimert luseindusert dødelighet som snitt av all fisk fanget beregnet med ulike toleransegrenser (med konfidensintervaller) på trålfanget vill postsmolt av laks.

 

I Boknafjorden er 185 av 508 (36 %) postsmolt genetisk bestemt til elv i 2024. Elvene er gruppert i regioner, øst er elvene på sørøstsiden, nord fra Sands- og Vindafjorden, mens sør er fra Høgsfjorden. Det er i 2024 bare fanget én laks som genetisk er tilordnet elv på kysten sør for Boknafjorden (Figur 12). Antall fisk fanget fra elvene fra øst (n=27) og spesielt fra nordsiden (n=12) var lavere enn antall fisk fra de sørlige elvene (n=145).

Stolpediagram som viser andel av fisk fra hver elv fanget de 4 ukene det er trålt.
Figur 12. Fordelingen av trålt postsmolt av laks fra de ulike elvene i produksjonsområdet.

 

Ser en på lus på fisk fra de ulike elvene (delt i regioner da antallet fra elvene oftest er lavt), estimeres det lav dødelighet for alle regionene (Figur 13).

Figur som viser estimert dødelighet for hver fangstuke for hver stasjon for hvert år som punkter i en graf.
Figur 13. Estimert lakselusindusert dødelighet (med konfidensintervaller) på trålfanget vill postsmolt av laks tilordnet hjemelv. Elver som kan tilordnes er vist i kartet til høyre. Antall er angitt i figuren. Elvene er gruppert i regioner. Kyst inkluderer bare Figgjo 2017-2019, men også andre elver nedover Jæren/Dalane i 2020-2024.

 

3.3 - PO 3 Karmøy til Sotra

I dette produksjonsområdet er Ålvik undersøkt uke 22, Rosendal ukene 22 og 24, mens Etne er undersøkt sammenhengende ukene 21-26. Estimert dødelighet for sjøørret fanget ved Ålvik var lav. I Rosendal estimeres høy lakselusrelatert dødelighet begge de undersøkte ukene. I Etne er estimert lakselusrelatert dødelighet rundt 30% de to første ukene, men er høy de fire siste. Dataene indikerer derfor en høy dødelighet på stasjonene i midtre og ytre deler av fjordsystemet i den undersøkte perioden. Ruseundersøkelsene startet ca. 1-2 uker etter median utvandring, og er i tid derfor relativt dekkende fra 1-2 uker før median smoltutvandring i området. Stasjonene anses derfor dekkende i tid og rom for å fange opp smittepresset for utvandrende postsmolt av laks. Overvåkingsperioden dekker ikke tidlig utvandrende fisk, og data fra Bjørnafjorden mangler, men samtidig er det bare to lakseførende elver i dette systemet. Usikkerheten anses derfor som middels.

I 2024 ble det trålt i perioden fra 6. mai til 2. juni. Tråldata indikerer moderat lakselusindusert dødelighet for de to første ukene og høy for de to siste ukene, og høy for hele trålperioden sett under ett. Størst fangst var uke 19, fulgt av uke 20. Estimert dødelighet for fisk tilordnet hjemelv var moderat for de ytre, høy for de midtre og indre regionene. Samlet indikerer derfor tråldata en kategorisering i høy lakselusindusert dødelighet. Usikkerheten vurderes som middels da antall undersøkte fisk er relativ lavt samt at trålingen kan være startet noe sent i forhold til utvandringen. Trålingen dekker heller ikke de to bestandene som vandrer ut i Bjørnafjorden i den nordlige delen av produksjonsområdet, og dekker ikke hele utvandringsruten for laks.

Vaktburene var i 2024 satt ut i Hardangerfjorden i 2 runder. Første runde, med start omtrent samtidig med estimert midtpunkt for utvandring, er det et moderat smittepress i relativt store deler av Hardangerfjorden, fra Strandebarm og ut fjorden. I runde 2, dekkende for sent utvandrende laks har antall lakselus på fisken i vaktburene økt, og det er et moderat eller høyt smittepress fra de innerste burene litt innenfor Ålvik til de ytterste ved Bømlo. Høyest smittepress ble observert fra Strandebarm til området rundt Varaldsøy. Vaktbur indikerer derfor ett moderat smittepress i store deler av Hardangerfjorden i første runde, høyt i andre. Usikkerheten vurderes som middels da burene ikke dekker første del av smoltutvandringen, og ikke dekker Bjørnafjorden.

Ruse og garnfangst

I 2024 er tre stasjoner i Hardangerfjorden undersøkt (Figur 14). I dette produksjonsområdet estimeres gjennomsnittlig midtpunkt for utvandring til 17. mai (uke 20 i 2024).

Figuren viser ruse eller garnstasjonene som punkter i kart.
Figur 14. Stasjonene undersøkt med ruse eller garn i PO3 i 2024. Grønne felt viser de nasjonale laksefjordene.

 

Stasjonen i Ålvik er undersøkt uke 22, Rosendal ukene 22 og 24, mens Etne er undersøkt sammenhengende ukene 21-26. Ruseundersøkelsene startet ca. 1-2 uker etter median utvandring, og er i tid derfor relativt dekkende fra 1-2 uker før median smoltutvandring i området.

I Ålvik har 49% av fisken lus, med intensitet 6 lus/fisk. I Rosendal øker prevalens fra 92 til 98 %, og intensiteten fra 20 til 24 lus/fisk (Tabell 5). Ved Etne er prevalens alle ukene mellom 87 og 100 %, intensiteten de tre første ukene ligger mellom 9 og 26 lus/fisk, de tre siste mellom 36 og 43 lus/fisk (Tabell 5). Ved Etne var størst fangst de to første ukene, deretter fallende til siste fangstuke.

Stasjon Uke n Vekt (range) Prevalens [KI] Intensitet [KI] Maks n lus % >0.1 rel.int.
Ålvik 22 39 56 (22-624) 49 [34-64] 6 [3-10] 23 8 [3-20]
Rosendal 22 37 65 (18-602) 92 [79-97] 20 [13-31] 103 59 [43-74]
  24 43 98 (20-566) 98 [88-100] 24 [18-32] 81 77 [62-87]
Etne 21 236 52 (16-490) 88 [83-91] 9 [8-10] 63 51 [45-57]
  22 222 58 (19-744) 88 [83-92] 11 [9-13] 92 44 [38-51]
  23 127 69 (17-2270) 91 [84-95] 26 [21-33] 194 74 [66-81]
  24 50 189 (30-770) 98 [90-100] 36 [27-52] 214 70 [56-81]
  25 38 459 (28-4220) 100 [91-100] 43 [31-60] 176 76 [61-87]
  26 23 86 (26-310) 87 [68-95] 36 [24-53] 115 70 [49-84]
Tabell 5. Infestasjon av lakselus på sjøørret i PO 3. Se Tabell 1 for forklaring av verdiene.

Gjennomsnittlig temperatur for ukene 20-22 var rundt 13°C. Utviklingen fra påslag til preadulte tar da ca. 12-13 dager. De fastsittende lusene dominerer i Ålvik, og begge ukene i Rosendal. Antall lus, og antall fastsittende lus er høyere i Rosendal, og i Rosendal høyere uke 24 enn i uke 22 (Figur 15). Gitt at fisken har vært i sjøen minst to uker før estimert midtpunkt for utvandringen, indikerer antall og fordelingen av lus et høyere smittepress etter enn før midtpunkt for utvandringen, og med en ytterligere økning i smittepress deretter (ca. uke 23-24). I Etne dominere de fastsittende alle ukene. Antall fastsittende øker fra uke 21 til uke 24-25, men det er også en kraftig økning av fastsittende siste uken (uke 26). Dette indikerer et økende smittepress etter midtpunkt for utvandring (Figur 15). Totalt sett vurderes smittepresset derfor som høyt.

Boksplott som viser antall lakselus, relativt antall lakselus og fordelingen av fastsittende og bevegelige lakselus for hver stasjon hver fangstuke.
Figur 15. Antall lakselus (A), relativt antall lus (antall lus/gram kroppsvekt) (B) og antall lakselus fordelt på fastsittende og bevegelige stadier (C) fra sjøørret på stasjonene i Hardangerfjorden.

 

Estimert dødelighet for sjøørret fanget ved Ålvik var lav (6 [1-17] %) uke 22 (Figur 16). I Rosendal estimeres høy lakselusrelatert dødelighet begge de undersøkte ukene (> 48 [34-63] %) (Figur 16). I Etne er estimert lakselusrelatert dødelighet rundt 30% de to første ukene, men er høy (> 57 [46-68] %) de fire siste.

Figur som viser estimert dødelighet for hver fangstuke for hver stasjon for hvert år som punkter i en graf.
Figur 16. Estimert luseindusert dødelighet på rusefanget sjøørret med 95% konfidensintervaller. Alle beregningene er basert på all fisk fanget og alle lusestadier. Antall undersøkt hver uke er angitt i figuren.

 

Tråldata sjøørret

Det ble i 2024 tatt 82 sjøørret i trålen, nesten alle hadde lus (98%), og intensiteten var svært høy med 62 lus/fisk (Tabell 6), betydelig høyere enn observert i rusestasjonene Det estimeres at 78% av sjøørreten har så mye lus at den er negativt påvirket.

n Vekt (range) Prevalens [KI] Intensitet [KI] Maks n lus % >0.1 rel.int.
82 145 (24-1411) 98 [92-99] 62 [53-74] 180 78 [68-86]
Tabell 6. Infestasjon av lakselus på trålfanget sjøørret i PO 3. Se Tabell 1 for forklaring av verdiene.

Tråldata postsmolt laks

I 2024 ble det trålt i perioden 6. mai. – 2. juni, ukene 19-22. Størst fangst var uke 19 og 20 (Figur 17). Fangstene av utvandrende postsmolt laks var noe bedre enn i 2023, men lavere enn i tidsrommet 2019-2022. Høyest fangst første uken kan indikere at trålingen startet noe for sent til å fange opp fisk som har utvandret spesielt fra de ytre elvene som har kort utvandringsvei.

Linje i en graf som viser kumulativt antall fisk fanget.
Figur 17. Kumulativ fangst av utvandrende postsmolt av laks i Hardangerfjorden i 2024. Fangsten vist for trålsonene ytterst (1) og innerst (3).

 

Mye av fisken ble tatt i den ytre sonen, men det var også fanget fisk lengre inne (Figur 18). I halene tatt lengre inne (ca. utenfor Rosendal) ble det fanget få fisk fra alle regionene, og noen flere som ikke kan tilordnes elv. Selv om trålhalene er tatt relativt langt ute, dekker de ikke hele utvandringsruten til postsmolten.

Figur som viser hvor hver av tråltrekkene er tatt som linjer i et kart.
Figur 18. Tråltrekkene etter utvandrende postsmolt laks i Hardangerfjorden 2024, hvor farge indikerer fangst. Grønne felt viser de nasjonale laksefjordene.

 

Andelen av laks med lus (prevalens) var på 61-76 % de to første ukene, 79 og 100% de to siste (Tabell 7). Gjennomsnittlig intensitet økte fra 4 i begge de to første ukene til 13 og 39 lus/fisk de to siste ukene.

Uke n Vekt (range) Prevalens [KI] Intensitet [KI] Maks N lus % >0.1 rel.int. [KI]
19 42 23 (13-45) 76 [61-87] 4 [3-5] 11 45 [31-60]
20 46 20 (9-40) 61 [46-74] 4 [3-6] 13 35 [23-49]
21 28 21 (13-39) 79 [60-90] 13 [8-21] 60 68 [49-82]
22 24 26 (15-39) 100 [86-100] 39 [28-54] 127 92 [74-98]
Tabell 7. Infestasjon av lakselus på utvandrende laksesmolt i Hardangerfjorden. Se Tabell 1 for forklaring av verdiene.

Estimert dødelighet på utvandrende postsmolt av laks var moderat uke 19 og 20 med hhv. 26 [16-38] og 24 [14-36] %, høy ukene 21 og 22 med hhv. 53 [36-69] og 90 [69-96] % (Figur 19). I Hardangerfjorden er det fra 2016 oftest observert en økning i estimert dødelighet utover perioden det tråles, og oftest er høyest antall fisk fanget observert i eller rundt uke 20.

Figur som viser estimert dødelighet for hver fangstuke for hver stasjon for hvert år som punkter i en graf.
Figur 19. Estimert lakselusindusert dødelighet (med konfidensintervaller) som snitt av all trålfanget vill postsmolt av laks fanget hver uke i Hardangerfjorden. Antall undersøkt hver uke er angitt i figuren.

 

Regnet som snitt av all fisken fanget i Hardangerfjorden estimeres høy lakselusindusert dødelighet i 2024, 42 [34-49] % (Figur 20), noe høyere enn i 2023.

Figur som viser estimert dødelighet for hvert år som punkter i en graf.
Figur 20. Estimert lakselusindusert dødelighet som snitt av all fisk fanget beregnet med ulike toleransegrenser for lakselusrelatert dødelighet (med konfidensintervaller) på trålfanget vill postsmolt av laks.

 

Trålfangst kan inndeles i forhold til hjemelv, og disse blir da kategorisert som enten indre (Steinsdal – Opo), midtre (Uskedal – Ænes) eller ytre (Etne – Ådland) elver. Av de 140 analyserte postsmolt av laks fanget i trålen, kan 62 % (n=88) bestemmes til hjemelv. Av de som kunne bestemmes til hjemelv, domineres fangstene av laks fra Etne (n=47), dernest Ænes (n=13) (Figur 21).

Stolpediagram som viser andel av fisk fra hver elv fanget de 4 ukene det er trålt.
Figur 21. Fordelingen av trålt postsmolt av laks fra de ulike elvene i produksjonsområdet.

 

Estimert dødelighet beregnet for fisk fra de ulike regionene er høy for de indre (n=19, 64 [43-80] %) og midtre (n=19, 51 [29-72] %) regionene, moderat (n=47, 27 [17-40] %) for ytre (Figur 22). Generelt er resultatene omtrent som i 2023.

Figur som viser estimert dødelighet for hvert år for hver region elvene er tilordnet.
Figur 22. Estimert lakselusindusert dødelighet (med konfidensintervaller) på trålfanget vill postsmolt av laks tilordnet hjemelv. Elver som kan tilordnes er vist i kartet til høyre. Antall er angitt i figuren. Elvene er gruppert i regioner. Det er ikke trålt i Bjørnafjorden.

 

Vaktbur

Vaktburene var i 2024 satt ut i Hardangerfjorden i 2 runder, 15. - 30. mai og 29. mai - 13. juni. I første runde, med start omtrent samtidig med estimert snittdato for 50% utvandring, er det et moderat smittepress i relativt store deler av Hardangerfjorden, fra Strandebarm og ut fjorden (Figur 23). I runde 2, dekkende for sent utvandrende laks har antall lakselus på fisken i vaktburene økt, og det er et moderat eller høyt smittepress fra de innerste burene litt innenfor Ålvik til de ytterste ved Bømlo. Høyest smittepress ble observert fra Strandebarm til området rundt Varaldsøy. Vaktbur indikerer derfor ett moderat smittepress i store deler av Hardangerfjorden i første runde, høyt i andre.

Figur som viser posisjonene til vaktburene, hvor fargen på punktene indikerer antall lus.
Figur 23. Snitt antall lakselus normalisert til 14 dager på vaktburene i Hardangerfjorden 2024. Punktene viser burposisjonene, grønt angir < 2, gult 2-6 og rødt > 6 lus/fisk. Tallene angir antall undersøkt fisk i hvert bur.

 

3.4 - PO 4 Nordhordland til Stadt

I ruseundersøkelsen i Nordhordland (Herøyosen) ble det estimert moderat dødelighet uke 22, men svært høy uke 24. På den innerste stasjonen i Sognefjorden (Balestrand) ble det estimert lav dødelighet mens på den ytterste stasjonen (Bjordal) ble det estimert høy dødelighet uke 22. Både i Sunnfjord (Førdefjorden, uke 22-23) og Nordfjord (Måløy, uke 23) ble det estimert moderat dødelighet. Ruse og garnfangst indikerer derfor en kategorisering i moderat lakselusindusert dødelighet rundt midtpunkt for utvandring. Undersøkelsene er gjort ca. 2 uker etter midtpunkt for smoltutvandring, men fordelingen av fastsittende og bevegelige lus kan indikere at smittepresset har vært moderat rundt midtpunkt for utvandring, men med en kraftig økning i smittepresset 2-3 uker etter midtpunkt for utvandring for området. Det er mer lus på sjøørret i Sognefjorden enn smittekartene indikerer. Usikkerheten vurderes derfor som middels. 

Det ble i 2024 trålt etter postsmolt av laks i Sognefjorden over 3 uker fra 14. mai til 4. juni, ukene 20-22 (samt to dager inn i uke 23). Oppstart av trålingen ble forsinket i forhold til plan. Fangsten var nesten utelukkende tatt første fangstuke, lav de to siste ukene. Estimert lakselusrelatert dødelighet regnet som snitt av fisk fanget de respektive ukene var lav alle ukene og lav for hele trålperioden sett under ett, det laveste som er observert i årene 2017-2024. Det ble bare fanget 1 fisk fra de midtre elvene. Det estimeres lav dødelighet på trålfanget postsmolt fra de indre elvene. Selv om trålingen startet før estimert gjennomsnittlig utvandring fra området, tyder fangstdata på at trålingen kan ha startet for sent til å fange opp den tidlige delen av utvandringen fra området. Siden laksen trenger 10-14 dager fra de innerste elvene til trålområdet, ser vi ikke bort ifra at det kan ha utvandret fisk senere som ikke er fanget opp av trålingen. Trålingen dekker ikke elvene i Nordhordland, Sunnfjord eller Nordfjord. Usikkerheten vurderes derfor som stor.

Vaktburene var satt ut i Sognefjorden i 2 perioder, 18. mai - 2. juni og 1. - 14 juni. Vaktburene indikerte lavt smittepress i fra grensen til den nasjonale laksefjorden og utover i begge rundene. Data fra vaktbur indikerer derfor lav lakselusindusert dødelighet. Første runden dekker fra gjennomsnittlig midtpunkt for utvandring og de to neste ukene, samt fisk som har vandret tidligere og har lang vandringsrute. Den andre perioden dekker bare sent utvandrende laks, men også laks som bruker lang tid på vandringen gjennom denne lange fjorden. Usikkerheten vurderes som middels, da vaktburene bare dekker perioden etter median smoltutvandring, og bare Sognefjorden.

Ruse og garnfangst

I produksjonsområde 4 er i 2024 Austefjorden (Herøyosen) undersøkt i Nordhordland, Balestrand og Bjordal i Sognefjorden, Førdefjorden i Sunnfjord og Måløy i Nordfjord (Figur 24). I dette produksjonsområdet estimeres gjennomsnittlig midtpunkt for utvandring 18. mai (uke 20 i 2024).

Figuren viser ruse eller garnstasjonene som punkter i kart.
Figur 24. Stasjonene undersøkt med ruse eller garn i PO4 i 2024. Grønne felt viser de nasjonale laksefjordene.

 

I Nordhordland var prevalens på fisken fanget i Herøyosen høy i begge de undersøkte ukene 22 og 24, med prevalens på 89 og 100%. Antall lakselus på infisert fisk (intensitet) økte fra 11 til 55 lus/fisk (Tabell 8). I Sognefjorden er undersøkelsen foretatt uke 22. Det var mindre lus på fisken i Balestrand enn i Bjordal, med både lavere prevalens (hhv. 54 og 100%) og intensitet med hhv. 5 og 13 lus/fisk). I Sunnfjord er Førdefjorden undersøkt uke 22/23. Prevalens var 88%, intensitet 9 lus/fisk. Denne stasjonen er ikke tidligere undersøkt, men viser at det var en del lus også i dette området. Nordfjord (Måløy) ble i 2024 undersøkt uke 23, prevalens var 90%, intensitet 6 lus/fisk.

Stasjon Uke n Vekt (range) Prevalens [KI] Intensitet [KI] Maks % >0.1 rel.int.
Herøyosen 22 122 139 (26-880) 89 [83-94] 11 [9-13] 56 36 [28-45]
24 87 150 (30-1301) 100 [96-100] 55 [49-61] 141 97 [90-99]
Balestrand 22 56 95 (28-428) 54 [41-66] 5 [3-7] 23 9 [4-19]
Bjordal 22 32 67 (16-218) 100 [89-100] 13 [10-19] 67 72 [55-84]
Førdefjord 22-23 51 145 (28-1048) 88 [77-94] 9 [7-13] 38 31 [20-45]
Måløy 23 49 81 (22-1008) 90 [78-96] 6 [4-10] 49 41 [28-55]
Tabell 8. Infestasjon av lakselus på sjøørret i PO 4. Se Tabell 1 for forklaring av verdiene. Merk lav N enkelte uker.

Undersøkelsene tatt ukene 22-23 er ca. 2-3 uker etter midtpunkt for smoltutvandring. Snittemperaturen for området er ca. 13°C for ukene 20-23. Det tar derfor ca. 13 dager fra påslag av kopepoditter til de er utviklet til preadulte. De fastsittende stadiene dekker derfor det akkumulerte smittepresset fra omtrent midtpunkt for utvandring, de bevegelige dekker perioden før denne. Det var relativt likt antall bevegelige og fastsittende lus på fisken i ukene 22-23 (Figur 25). Gitt at fisken har vært i sjøen minst to uker før median dato for utvandring, indikerer antall og stadiefordeling av lus moderat smittepress i store deler av produksjonsområdet rundt midtpunkt for smoltutvandringen. Fordelingen av lus på fisken i Nordhordland uke 24, med en kraftig økning både i totalt antall lus som domineres av fastsittende lus indikerer ett kraftig økende smittepress 2-3 uker etter midtpunkt for utvandring for området.

Boksplott som viser antall lakselus, relativt antall lakselus og fordelingen av fastsittende og bevegelige lakselus for hver stasjon hver fangstuke.
Figur 25. Antall lakselus (A), relativt antall lus (antall lus/gram kroppsvekt) (B) og antall lakselus fordelt på fastsittende og bevegelige stadier (C) fra sjøørret på stasjonene i PO4.

 

I Nordhordland ble det estimert moderat dødelighet (19 [15-24] %) på sjøørret uke 22, men svært høy (93 [87-96] %) uke 24 (Figur 26). På den innerste stasjonen i Sognefjorden (Balestrand) ble det estimert lav dødelighet (4 [1-8] %) mens på den ytterste stasjonen (Bjordal) ble det estimert høy dødelighet (46 [32-61] %) i uke 22. Både i Sunnfjord (Førdefjorden, uke 22-23) og Nordfjord (Måløy, uke 23) ble det estimert moderat dødelighet med hhv. 19 [12-29] % og 13 [8-21] % lakselusrelatert dødelighet.

Figur som viser estimert dødelighet for hver fangstuke for hver stasjon for hvert år som punkter i en graf.

 

Figur som viser estimert dødelighet for hver fangstuke  for hvert år som punkter i en graf.
Figur 26. Estimert luseindusert dødelighet på rusefanget sjøørret med 95% konfidensintervaller. Alle beregningene er basert på all fisk fanget og alle lusestadier. Antall undersøkt hver uke er angitt i figuren. Øverste figur viser Nordhordland og Sognefjorden, nederste Sunnfjord og Nordfjord.

 

Tråldata sjøørret

Det ble i 2024 tatt 8 sjøørret i trålen, flertallet (88%) av disse hadde lus, med en intensitet på 39 lus/fisk (Tabell 9). Det estimeres at 62% av sjøørreten har så mye lus at den er negativt påvirket.

n Vekt (range) Prevalens [KI] Intensitet [KI] Maks n lus % >0.1 rel.int.
8 76 (39-161) 88 [53-99] 39 [17-72] 102 62 [31-86]
Tabell 9. Infestasjon av lakselus på trålfanget sjøørret i PO 4. Se Tabell 1 for forklaring av verdiene.

Tråldata postsmolt laks

Det ble i 2024 trålt etter postsmolt av laks i Sognefjorden over 3 uker fra 14. mai til 4. juni, ukene 20-22 (samt to dager inn i uke 23). Oppstart av trålingen ble forsinket i forhold til plan.

Fangsten var nesten utelukkende tatt første fangstuke, lav de to siste ukene (Figur 27). Selv om trålingen startet før estimert gjennomsnittlig utvandring fra området, tyder fangstdata på at trålingen kan ha startet for sent til å fange opp den tidlige delen av utvandringen fra området. Siden laksen trenger 10-14 dager fra de innerste elvene til trålområdet, ser vi ikke bort ifra at det kan ha utvandret fisk senere som ikke er fanget opp av trålingen.

Linje i en graf som viser kumulativt antall fisk fanget.
Figur 27. Kumulativ fangst av utvandrende postsmolt av laks i Sognefjorden i 2024.

 

Alle tråltrekkene i Sognefjorden er tatt relativt langt ute i fjorden (Figur 28), men fisken må allikevel vandre ett stykke til i området med lus før den er ved kysten. Dødelighetsestimatene er derfor minimumsestimater.

Figur som viser hvor hver av tråltrekkene er tatt som linjer i et kart.
Figur 28. Tråltrekkene etter utvandrende postsmolt laks i Sognefjorden, hvor farge indikerer fangst.

 

Andelen av laks med lus (prevalens) var 32% første uken, deretter 11 og 67% (men merk lav N de to siste ukene) (Tabell 10). Gjennomsnittlig intensitet lå mellom 1 og 2 lus/fisk alle ukene.

Uke n Vekt (range) Prevalens [KI] Intensitet [KI] Maks N lus % >0.1 rel.int. [KI]
20 155 19 (10-39) 32 [25-39] 2 [1-2] 4 10 [6-16]
21 9 22 (10-43) 11 [1-43] 2 [2-2] 2 11 [1-43]
22 3 15 (15-15) 67 [21-98] 1 [1-2] 2 33 [2-79]
23 0 - - - - -
Tabell 10. Infestasjon av lakselus på utvandrende laksesmolt i Sognefjorden. Se Tabell 1 for forklaring av verdiene.

Det estimeres lav lakselusrelatert dødelighet alle ukene (merk lav N de to siste ukene) (Figur 29).

Figur som viser estimert dødelighet for hver fangstuke for hvert år som punkter i en graf.
Figur 29. Estimert lakselusindusert dødelighet (med konfidensintervaller) som snitt av all trålfanget vill postsmolt av laks fanget hver uke i Sognefjorden. Antall undersøkt hver uke er angitt i figuren.

 

Ser en på snittet for hele trålperioden estimeres det lav (2 [1-4] %) lakselusrelatert dødelighet, som er det laveste som er observert i årene 2017-2024 (Figur 30). Ved lav toleransegrense estimeres 10 [7-13] % dødelighet.

Figur som viser estimert dødelighet for hvert år som punkter i en graf.
Figur 30. Estimert lakselusindusert dødelighet (med konfidensintervaller) som snitt av all fisk fanget beregnet med ulike toleransegrenser på trålfanget vill postsmolt av laks.

 

Det er gjennomført tilhørighet til elv analyser for Sognefjorden også i 2024, hvor 115 av 166 (69%) av laks er bestemt til hjemelv. Elvene er delt inn i regionene indre (fra Vikja og innover) og midtre (Ytredals og Dale).

Størst fangst fås av fisk fra Lærdal (n = 77), etterfulgt av Nærøy (n=16) og Flåmselva (n=8) (Figur 31). Det ble bare fanget 1 fisk fra de midtre elvene.

Stolpediagram som viser andel av fisk fra hver elv fanget de 4 ukene det er trålt.
Figur 31. Fordelingen av trålt postsmolt av laks fra de ulike elvene i produksjonsområdet.

 

Det estimeres lav dødelighet på trålfanget postsmolt fra de indre elvene i 2024 (Figur 32). Det ble bare fanget 1 fisk fra de midtre elvene i 2024.

Figur som viser estimert dødelighet for hvert år for hver region elvene er tilordnet.
Figur 32. Estimert lakselusindusert dødelighet (med konfidensintervaller) på trålfanget vill postsmolt av laks tilordnet hjemelv. Antall er angitt i figuren. Elvene er gruppert i regioner.

 

Vaktbur

Vaktburene var i 2024 satt ut i Sognefjorden i 2 perioder, 17. – 31. mai og 31. mai – 14. juni (Figur 33). Vaktburene indikerte stort sett lavt smittepress i Sognefjorden, men noe høyere i runde 1 enn runde 2 i de ytre delene. Gitt en gjennomsnittlig utvandring av laks 18. mai dekker første runden fra median dato for utvandring og de to neste ukene. Den andre perioden dekker sent utvandrende laks. Merk at laks fra de indre delene av fjorden trolig bruker 10-14 dager fra elvemunning og ut fjorden.

Figur som viser posisjonene til vaktburene, hvor fargen på punktene indikerer antall lus.
Figur 33. Snitt antall lakselus normalisert til 14 dager på vaktburene i Sognefjorden 2024. Punktene viser burposisjonene, grønt angir < 2, gult 2-6 og rødt > 6 lus/fisk. Tallene angir antall laks undersøkt.

 

3.5 - PO 5 Stadt til Hustadvika

Ruse og garnfangst av sjøørret i 2024 indikerte høyt smittepress i ytre deler av Romsdalsfjorden, både på den sørlige delen (Vatnefjorden uke 22) og i den nordlige delen (Frænfjorden uke 23). Det estimeres moderat lakselusrelatert dødelighet ytterst i Storfjorden (Ørsta) uke 23. Data fra ruse og garnfangst indikerer derfor høy lakselusindusert dødelighet. Siden midtpunkt for utvandring i dette området er estimert til uke 20, er tidsrommet for undersøkelsene i Vatnefjorden dekkende for utvandringen, mens Ørsta og Frænfjorden dekker fra omtrent midtpunkt for utvandring. Smittekartene indikerer høyt smittepress i store deler av området, og øker på slutten av utvandringsperioden. Usikkerheten vurderes som middels, basert på begrenset antall stasjoner i Romsdalsfjorden og det bare en stasjon i Storfjordsystemet.

Tråldata fra Romsdalsfjorden indikerer moderat lakselusrelatert dødelighet de to første ukene, høy de den neste. Størst fangst var første uken, svært få siste tråluken. For trålperioden som helhet estimeres moderat (17 [11-24] %) dødelighet, omtrent som i 2023. Når elvene ble inndelt i regioner, er estimert dødelighet for elvene fra nordsiden lav, fra de sørlige høy, og fra de østlige moderat dødelighet. Tråldata støtter derfor en kategorisering i moderat lakselusindusert dødelighet. Usikkerheten vurderes som stor da fangstdata kan indikere at trålperioden har startet noe sent og antall fanget fisk var relativt lav gjennom hele perioden, samt at det i tillegg ikke tråles i Storfjorden.

Det er ikke satt ut vaktbur i dette området. 

Ruse og garnfangst

I produksjonsområde 5 er Ørsta ytterst i Storfjorden og Vatne- og Frænfjorden i Romsdalsfjorden undersøkt med ruse og garn (Figur 34). Gjennomsnittlig midtpunkt for utvandring er 20. mai (uke 21 i 2024).

Figuren viser ruse eller garnstasjonene som punkter i kart.
Figur 34. Stasjonene undersøkt med ruse eller garn i PO5 i 2024. Grønne felt viser de nasjonale laksefjordene.

 

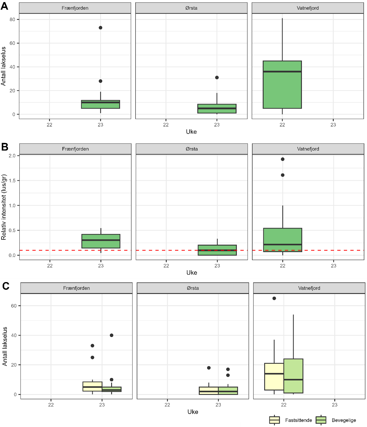
Ørsta ble undersøkt ukene 23, Vatnefjorden ukene 22 og 26, Frænfjorden ukene 23 og 27. Fangsten var lav de siste ukene både i Vatne (N=1) og Frænfjorden (N=5). I Ørsta var prevalens 74%, intensitet 9 lus/fisk (Tabell 11). For stasjonene i utkanten av Romsdalsfjordsystemet, var det mer lus på sørsiden (Vatnefjorden) hvor prevalens var 90%, intensitet 33 lus/fisk enn i Frænfjorden hvor all fisken hadde lus, men intensiteten var noe lavere, 12 lus/fisk, noe tilsvarende ble observert i uke 27, men lav N gjør estimatene usikre. Ruseundersøkelsene i Vatnefjorden startet omtrent 1-2 uker etter dato for gjennomsnittlig midtpunkt for utvandring i området, Frænfjorden og Ørsta 2-3 uker etter, begge vurderes som dekkende for smoltutvandringen.

Stasjon Uke n Vekt (range) Prevalens [KI] Intensitet [KI] Maks n lus % >0.1 rel.int.
Ørsta 23 31 86 (18-850) 74 [57-86] 9 [7-12] 31 48 [32-65]
Vatnefjord 22 21 120 (20-847) 90 [71-97] 33 [22-44] 81 67 [45-83]
  26 1          
Frænfjord 23 22 37 (17-134) 100 [85-100] 12 [8-23] 73 82 [61-93]
  27 5 97 (19-245) 80 [38-99] 15 [6-32] 41 40 [12-77]
Tabell 11. Infestasjon av lakselus på sjøørret i PO 5. Se Tabell 1 for forklaring av verdiene. Merk lav N enkelte uker.

Stadiefordelingen av lus på den rusefangete sjøørreten viser at i Ørsta var det omtrent like mange fastsittende som bevegelige lus, mens i Romsdalsfjordsystemet dominerte de fastsittende stadiene på begge stasjonene (Figur 35). Temperaturen ukene 21-23 i dette området er i overkant av 12°C, og det tar derfor ca. 14 dager fra lusen fester seg til den har utviklet seg til preadult. Gitt at fisken har utvandret minst to uker før median dato for utvandring, indikerer antall fastsittende lus på sjøørreten fanget i Ørsta ett relativ moderat smittepress fra ca. 1 uke før median dato for utvandring (Figur 35), og antall bevegelige lus indikerer også ett relativt moderat smittepress før dette. Både i Vatne- og Frænfjorden dominerer de fastsittende stadiene. Antall og stadiefordeling av lus indikerer ett relativt høy smittepress under og noe etter median dato for utvandring, spesielt i Vatnefjorden. Antall bevegelige var også relativt høyt i Vatnefjorden, som indikerer et relativt høyt smittepress også før midtpunkt for utvandring.

Boksplott som viser antall lakselus, relativt antall lakselus og fordelingen av fastsittende og bevegelige lakselus for hver stasjon hver fangstuke.
Figur 35. Antall lakselus (A), relativt antall lus (antall lus/gram kroppsvekt) (B) og antall lakselus fordelt på fastsittende og bevegelige stadier (C) fra sjøørret på stasjonene i PO5.

 

Det estimeres moderat lakselusindusert dødelighet (26 [15-40] %) på den undersøkte sjøørreten ved Ørsta uke 23 (Figur 36). I Romsdalsfjorden estimeres det høy dødelighet på sjøørreten fanget i Vatnefjorden (59 [39-77] %) og Frænfjorden (61 [41-76] %) hhv. ukene 22 og 23. Årsaken til omtrent lik estimert dødelighet selv om antall lus på fisken variere en del skyldes at fisken i Frænfjorden i snitt var betydelig mindre enn fisken i Vatnefjorden.

Figur som viser estimert dødelighet for hver fangstuke for hver stasjon for hvert år som punkter i en graf.
Figur 36. Estimert luseindusert dødelighet på rusefanget sjøørret med 95% konfidensintervaller. Alle beregningene er basert på all fisk fanget og alle lusestadier. Antall undersøkt hver uke er angitt i figuren.

 

Tråldata sjøørret

Det ble i 2024 tatt 28 sjøørret i trålen, alle hadde lus (prevalens 100%), og med en svært høy intensitet på 63 lus/fisk (Tabell 12). Det estimeres at 93% av sjøørreten har så mye lus at den er negativt påvirket.

n Vekt (range) Prevalens [KI] Intensitet [KI] Maks n lus % >0.1 rel.int.
28 174 (31-466) 100 [88-100] 63 [51-76] 145 93 [77-98]
Tabell 12. Infestasjon av lakselus på trålfanget sjøørret i PO 5. Se Tabell 1 for forklaring av verdiene.

Tråldata postsmolt laks

Det ble trålt i Romsdalsfjorden fra 13. mai til 9. juni, ukene 20-23. Fangsten var høyest første uken (n=57), og svært lav siste uken (n=2) (Figur 37). Dette kan indikere at trålingen kan ha startet noe sent for å fange opp første del av utvandringen.

Linje i en graf som viser kumulativt antall fisk fanget.
Figur 37. Kumulativ fangst av utvandrende postsmolt av laks i Romsdalsfjorden 2024.

 

Trålhalene ble tatt i ytre deler av Romsdalsfjorden (Figur 38), og anses som relativt godt egnet til å vurdere smittepress på laksesmolten, selv om smolten må vandre gjennom område med lus utenfor der det tråles før den er ute ved kysten.

Figur som viser hvor hver av tråltrekkene er tatt som linjer i et kart.
Figur 38. Tråltrekkene etter utvandrende postsmolt laks i Romsdalsfjorden, hvor farge indikerer fangst. Grønt felt viser den nasjonale laksefjorden.

 

Prevalens på den trålfangete fisken var mellom 42 og 85%, høyest uke 22 (Tabell 13). Intensitet varierte fra 1-4 lus/fisk høyest uke 22 (4 lus/fisk). Størst fangst var uke 20 (n=57), svært få siste uken (n=2).

Uke n Vekt (range) Prevalens [KI] Intensitet [KI] Maks N lus % >0.1 rel.int. [KI]
20 57 17 (10-26) 42 [30-55] 2 [2-3] 6 21 [12-33]
21 13 18 (11-25) 62 [36-82] 3 [2-5] 7 31 [13-58]
22 13 19 (8-29) 85 [58-96] 4 [3-5] 7 85 [58-96]
23 2          
Tabell 13. Infestasjon av lakselus på utvandrende laksesmolt i Romsdalsfjorden. Merk lav N enkelte uker. Se Tabell 1 for forklaring av verdiene.

Dødeligheten i ukene 20-23 estimeres til moderat (10 [5-17] %) første uken, og økende til høy (43 [27-61] %) uke 22 (Figur 39).

Figur som viser estimert dødelighet for hver fangstuke for hvert år som punkter i en graf.
Figur 39. Estimert lakselusindusert dødelighet (med konfidensintervaller) som snitt av all trålfanget vill postsmolt av laks fanget hver uke i Romsdalsfjorden. Antall undersøkt hver uke er angitt i figuren.

 

For hele trålperioden uavhengig av uke estimeres moderat (17 [11-24] %) dødelighet (Figur 40), omtrent som i 2023.

Figur som viser estimert dødelighet for hvert år som punkter i en graf.
Figur 40. Estimert lakselusindusert dødelighet (med konfidensintervaller) som snitt av all fisk fanget beregnet med ulike toleransegrenser trålfanget vill postsmolt av laks.

 

Det er gjort genetisk tilhørighetsanalyse også i 2024. Av de totalt 84 laksene fanget er 51 (61 %) genetisk bestemt til hjemelv (Figur 41). Fangstene domineres av Rauma (n=16), Visa (n=11) og Oselva (n=9).

Stolpediagram som viser andel av fisk fra hver elv fanget de 4 ukene det er trålt.
Figur 41. Fordelingen av trålt postsmolt av laks fra de ulike elvene i produksjonsområdet.

 

Basert på tilhørighetsanalysene estimeres det moderat dødelighet for de østlige (Eira, Mittet, Visa), lav for de nordlige elvene (Oppdøls, Os, Røa) og høy lakselusindusert dødelighet for de sørlige (Skorg, Tressa, Rauma) elvene (Figur 42).

Figur som viser estimert dødelighet for hvert år for hver region elvene er tilordnet.
Figur 42. Estimert lakselusindusert dødelighet (med konfidensintervaller) på trålfanget vill postsmolt av laks tilordnet hjemelv. Elver som kan tilordnes er vist i kartet til høyre. Antall er angitt i figuren. Elvene er gruppert i regioner.

 

3.6 - PO 6 Nordmøre og Sør-Trøndelag

Data fra ruse og garnfangst fra like etter smoltutvandringen indikerer høy lakselusrelatert dødelighet for sjøørret fanget ved Agdenes alle ukene 22-27 og høy ved Hitra uke 23. All fisken på begge stasjonen hadde lus alle ukene, og intensiteten var til dels svært høy. Undersøkelsene startet 1-2 uker etter midtpunkt for utvandring, og anses relativt dekkende for utvandringsperioden for laksen fra Trondheimsfjorden. Data fra ruse og garnfangst indikerer derfor høy lakselusindusert dødelighet. Smittepresskartene som viser fordelingen av lus i PO6 sentrert rundt midtpunkt for utvandring viser at det er høyest tetthet av lakselus i Trondheimsfjorden ved Agdenes og rundt Hitra og Frøya. Utslippene av lus i PO6 var relativt jevne i starten av mai, men økte deretter kraftig fra ca. 10 mai og ut juni. Ruse og garndata tilser derfor høy lakselusrelatert dødelighet, men usikkerheten anses som stor da det bare er undersøkt to stasjoner, og disse dekker områder med høyest tetthet av lakselus, og dekker ikke Nordmøre.

Det ble trålt i Trondheimsfjorden fra 10. mai til 4. juni, ukene 19-22. Fangsten var god alle ukene, høyest uke 21. Estimert dødelighet var lav de tre første ukene, men økte til 8% uke 21, og ytterligere til moderat siste uken. For hele trålperioden uavhengig av uke estimeres lav (7 [6-9] %), men dette er den høyeste estimerte dødeligheten observert for årene 2016-2024. Det er gjort genetisk tilhørighetsanalyser, men metoden dekker foreløpig bare elvene i Trondheimsfjorden. Fangsten kan indikere at trålperioden har dekket opp utvandringen relativt godt, men de gode fangstene både første og siste uke kan indikere at en andel av fisken ikke er fanget opp av trålperioden. Trålhalene ble tatt utenfor innløpet av Trondheimsfjorden, hvor mye fisk er tatt relativt nært grensen til den nasjonale laksefjorden. Trålingen dekker heller ikke evt. smitte som måtte tilkomme i Frohavet utenfor Fosenhalvøyen, eller elvene på Nordmøre. Usikkerheten vurderes derfor som stor.

Det er ikke satt ut vaktbur i dette området.

Ruse og garnfangst

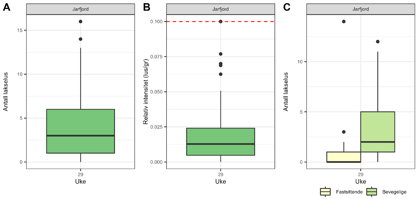
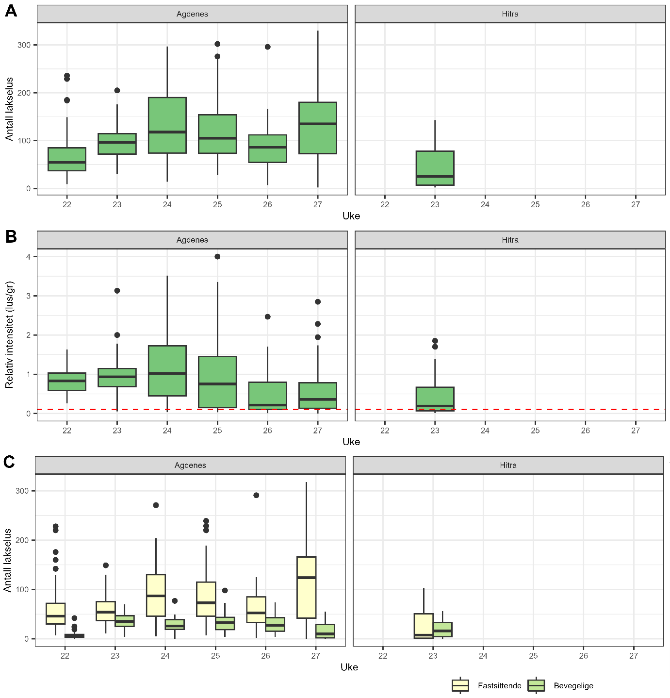
I produksjonsområde 6 har vi undersøkt Agdenes sammenhengende ukene 22 til 27 og Hitra uke 23 (Figur 43). Gjennomsnittlig midtpunkt for utvandring er 24. mai (uke 21 i 2024).

Figuren viser ruse eller garnstasjonene som punkter i kart.
Figur 43. Stasjonene undersøkt med ruse eller garn i PO6 i 2024. Grønne felt viser de nasjonale laksefjordene.

 

Agdenes er undersøkt ukene 22-27, i tillegg er Hitra undersøkt uke 23. Ved Agdenes var prevalens 100% alle ukene (Tabell 14) og intensiteten var til dels svært høy (mellom 72 og 136 lus/fisk). Ved Hitra var prevalens 100%, intensitet 45 lus/fisk. Da midtpunkt for smoltutvandringen i dette området er uke 21, vurderes undersøkelse til å være dekkende for å fange opp smittepresset rundt midtpunkt for utvandring.

Stasjon Uke n Vekt (range) Prevalens [KI] Intensitet [KI] Maks n lus % >0.1 rel.int.
Agdenes 22 46 90 (27-390) 100 [92-100] 72 [59-91] 236 100 [92-100]
  23 50 163 (23-1347) 100 [93-100] 96 [86-107] 205 96 [87-99]
  24 37 220 (30-1337) 100 [91-100] 128 [107-151] 297 92 [79-97]
  25 42 414 (38-1810) 100 [92-100] 125 [106-148] 302 81 [67-90]
  26 34 562 (51-2525) 100 [90-100] 92 [76-114] 296 76 [60-88]
  27 21 433 (43-1605) 100 [85-100] 136 [100-177] 330 86 [65-95]
Hitra 23 34 137 (47-435) 100 [90-100] 45 [32-61] 143 65 [48-79]
Tabell 14. Infestasjon av lakselus på sjøørret i PO 6. Se Tabell 1 for forklaring av verdiene.

Fordelingen av lus på sjøørreten fanget med ruse og garn viser overvekt av de fastsittende stadiene alle ukene undersøkt, men med et høyt antall både fastsittende og bevegelige lus ved Agdenes (Figur 44). Ved Hitra dominerer de fastsittende stadiene i uke 23. Temperaturen i PO6 har vært relativt høy i hele perioden fra uke 21 til uke 27, med snitt ukene 21-23 på ca. 12 °C (langtidssnittet for 2012-2023 er rett over 10°C). Antall og fordeling av lus indikerer et høyt smittepress fra før midtpunkt for utvandring, og økende deretter. Smittepresskartene som viser fordelingen av lus i PO6 sentrert rundt midtpunkt for utvandring viser at det er høyest tetthet av lakselus i Trondheimsfjorden ved Agdenes og rundt Hitra og Frøya. Utslippene av lus i PO6 var relativt jevne i starten av mai, men økte deretter kraftig fra ca. 10 mai og ut juni.

Boksplott som viser antall lakselus, relativt antall lakselus og fordelingen av fastsittende og bevegelige lakselus for hver stasjon hver fangstuke.
Figur 44. Antall lakselus (A), relativt antall lus (antall lus/gram kroppsvekt) (B) og antall lakselus fordelt på fastsittende og bevegelige stadier (C) fra sjøørret på stasjonene i PO6.

 

Estimert lakselusrelatert dødelighet for sjøørreten fanget ved Agdenes er høy alle de undersøkte ukene (Figur 45). For Agdenes har vi i tidsperioden 2016-2024 ikke tidligere observert så mye lus på fisken så tidlig i sesongen. Ved Hitra estimeres det også høy lakselusrelatert dødelighet uke 23.

Figur som viser estimert dødelighet for hver fangstuke for hver stasjon for hvert år som punkter i en graf.
Figur 45. Estimert luseindusert dødelighet på rusefanget sjøørret med 95% konfidensintervaller. Alle beregningene er basert på all fisk fanget og alle lusestadier. Antall undersøkt hver uke er angitt i figuren.

 

Tråldata sjøørret

Det ble i 2024 tatt 21 sjøørret i trålen, 86% av disse hadde lus, med en svært høy intensitet på 72 lus/fisk (Tabell 15). Det estimeres at 62% av sjøørreten har så mye lus at den er negativt påvirket.

n Vekt (range) Prevalens [KI] Intensitet [KI] Maks n lus % >0.1 rel.int.
21 214 (60-586) 86 [65-95] 72 [53-108] 254 62 [41-79]
Tabell 15. Infestasjon av lakselus på trålfanget sjøørret i PO 6. Se Tabell 1 for forklaring av verdiene.

Tråldata postsmolt laks

Det ble trålt i Trondheimsfjorden fra 10. mai til 4. juni, ukene 19-23 (trålingen starten en fredag og ble avsluttet en tirsdag). Fangsten var god alle ukene, høyest uke 23 (n= 385) (Figur 46). De gode fangstene både første og siste uke kan indikere at en andel av fisken ikke er fanget opp av trålperioden.

Linje i en graf som viser kumulativt antall fisk fanget.
Figur 46. Kumulativ fangst av utvandrende postsmolt av laks i Trondheimsfjorden 2024.

 

Trålhalene ble tatt utenfor innløpet av Trondheimsfjorden (Figur 47), hvor mye fisk er tatt relativt nært grensen til den nasjonale laksefjorden. Trålingen dekker ikke evt. smitte som måtte tilkomme i Frohavet utenfor Fosenhalvøyen, og vi vurderer derfor at det observerte smittepresset er underestimater.

Figur som viser hvor hver av tråltrekkene er tatt som linjer i et kart.
Figur 47. Tråltrekkene etter utvandrende postsmolt laks i Trondheimsfjorden, hvor farge indikerer fangst. Grønt felt viser den nasjonale laksefjorden.

 

Prevalens på den trålfangete fisken økte fra 0 til 70 % fra første til siste tråluke, og intensiteten øke og fra 1 til 3 lus/fisk i snitt de tre siste ukene (Tabell 16).

Uke n Vekt (range) Prevalens [KI] Intensitet [KI] Maks N lus % >0.1 rel.int. [KI]
19 101 15 (8-32) 0 [0-4] - - 0 [0-4]
20 205 19 (10-42) 12 [8-17] 1 [1-2] 4 2 [1-5]
21 385 19 (8-38) 51 [46-56] 2 [2-2] 14 21 [17-25]
22 (23) 154 19 (8-36) 70 [62-77] 3 [3-4] 23 39 [32-47]
Tabell 16. Infestasjon av lakselus på utvandrende laksesmolt i Trondheimsfjorden. Se Tabell 1 for forklaring av verdiene.

Estimert dødelighet i ukene 19-22 økte fra 0 [0-0] % de to første ukene, til hhv. 8 [6-10] og 20 [15-25] % de to siste ukene (Figur 48).

Figur som viser estimert dødelighet for hver fangstuke for hvert år som punkter i en graf.
Figur 48. Estimert lakselusindusert dødelighet (med konfidensintervaller) som snitt av all trålfanget vill postsmolt av laks fanget hver uke i Trondheimsfjorden. Antall undersøkt hver uke er angitt i figuren.

 

For hele trålperioden uavhengig av uke estimeres lav (7 [6-9] %) dødelighet (Figur 49). Dette er den høyeste estimerte dødeligheten i årene 2016-2024.

Figur som viser estimert dødelighet for hvert år som punkter i en graf.
Figur 49. Estimert lakselusindusert dødelighet (med konfidensintervaller) som snitt av all fisk fanget beregnet med ulike toleransegrenser trålfanget vill postsmolt av laks.

 

Det er gjort genetisk tilhørighetsanalyse for Trondheimsfjorden i 2024. Av de totalt 845 laksene fanget er 350 (41 %) genetisk bestemt til hjemelv (Figur 50). Fangstene domineres av Gaula (n=121), Orkla (n=108), Stjørdalselva (n=43) og Verdalselva (n=23). Vi kan ikke tilordne elver utenfor Trondheimsfjorden i disse analysene. Alle laksen som genetisk kan genetisk tilordnes hjemelv er derfor fra inne i Trondheimsfjorden.

Stolpediagram som viser andel av fisk fra hver elv fanget de 4 ukene det er trålt.
Figur 50. Fordelingen av trålt postsmolt av laks fra de ulike elvene i produksjonsområdet.

 

3.7 - PO 7 Nord-Trøndelag med Bindal

Ruse og garnundersøkelsene ukene 24-25 ved Sitter og på sør og nordsiden av Vikna indikerer høy lakselusindusert dødelighet. Undersøkelsene er gjort 2-3 uker etter midtpunkt for utvandring, og vurderes som dekkende for smittepresset rundt midtpunkt for utvandring. Påslagene er dominert av fastsittende lus. Smittekartet sentrert rundt midtpunkt for utvandring viste størst utbredelse av smittepress på sørsiden av Vikna. Data fra ruse/garn indikerer derfor en høy lakselusindusert dødelighet. Observasjonene sammenfaller med modellert tetthet av lakselus, men dekker ikke områder med lav tetthet av lakselus. Usikkerheten vurderes derfor som middels.

Det er ikke trålt etter utvandrende postsmolt av laks, eller satt ut vaktbur i dette området. 

Ruse og garnfangst

I dette produksjonsområdet er Sitter rett sør for innløpet til Namsenfjorden, samt nord og sørsiden av Vikna er undersøkt med garn og ruse (Figur 51). Gjennomsnittlig midtpunkt for utvandring er 2. juni (uke 22 i 2024).

Figuren viser ruse eller garnstasjonene som punkter i kart.
Figur 51. Stasjonen undersøkt med ruse eller garn i PO7 i 2024. Grønne felt viser de nasjonale laksefjordene.

 

Stasjonen Sitter sør for innløpet til Namsfjorden ble undersøkt i uke 24. Både prevalens (93%) og intensitet (58 lus/fisk) var høy (Tabell 17). Både på sør og nordsiden av Vikna hadde storparten av fisken lus uke 24-25 (prevalens 97%), og intensiteten var høy på begge stasjonene, men høyere på nordsiden (62 lus/fisk) enn på sørsiden (31 lus/fisk) (Tabell 17).

Stasjon Uke n Vekt (range) Prevalens [KI] Intensitet [KI] Maks n lus % >0.1 rel.int.
Sitter 24 58 201 (22-1488) 93 [84-97] 58 [44-77] 312 71 [58-81]
Vikna sør 24-25 39 182 (48-1040) 97 [87-100] 31 [24-40] 104 72 [56-83]
Vikna nord 24-25 33 328 (24-1660) 97 [85-100] 62 [51-75] 134 79 [62-89]
Tabell 17. Infestasjon av lakselus på sjøørret i PO 7. Se Tabell 1 for forklaring av verdiene.

I uke 24-25 var fordelingen av lus på sjøørreten dominert av de fastsittende stadiene (Figur 52). Temperaturen ukene 22-24 i PO7 var ca. 12 °C. Gitt at fisken har stått i sjøen i denne perioden, representerer antall fastsittende lus derfor akkumulert smittepress omtrent fra midtpunkt for utvandringen fra området. Antall og fordeling av lus indikerer derfor at det har vært ett smittepress før midtpunkt for utvandring, høyere ved Sitter og Vikna Nord, og noe høyere smittepress på alle stasjonene etter midtpunkt for utvandring. Utslippene av lus i PO7 økte fra ca. 10 mai til midtpunkt for utvandring, og viste en ytterligere økning i smittepresset deretter. Smittekartet sentrert rundt midtpunkt for utvandring viste størst utbredelse av smittepress på sørsiden av Vikna. Smittepresset vurderes derfor som høyt i området.

Boksplott som viser antall lakselus, relativt antall lakselus og fordelingen av fastsittende og bevegelige lakselus for hver stasjon hver fangstuke.
Figur 52. Antall lakselus (A), relativt antall lus (antall lus/gram kroppsvekt) (B) og antall lakselus fordelt på fastsittende og bevegelige stadier (C) fra sjøørret på stasjonene i PO7.

 

Estimert dødelighet var høy ved alle stasjonene uke 24 og uke 24-25 i 2024 (Figur 53). Estimatene er omtrent som tidligere års undersøkelser ved disse stasjonene.

Figur som viser estimert dødelighet for hver fangstuke for hver stasjon for hvert år som punkter i en graf.
Figur 53. Estimert luseindusert dødelighet på rusefanget sjøørret med 95% konfidensintervaller. Alle beregningene er basert på all fisk fanget og alle lusestadier. Antall undersøkt hver uke er angitt i figuren.

 

3.8 - PO 8 Helgeland til Bodø

Stasjonene Leirfjord, Meisfjorden og Sørfjorden er undersøkt med garn/ruse. Data fra garn/ruse indikerer moderat, på grensen til lav, lakselusindusert dødelighet for sjøørreten ved Leirfjord uke 25, høy for sjøørret ved Meisfjorden i uke 25, og moderat ved Sørfjorden ukene 25-26. Undersøkelsen er tatt 2-3 uker etter midtpunkt for utvandring og vurderes som dekkende for smoltutvandringen. Utslippene, samt antall og fordeling av lakselus på sjøørreten indikerer høyere smittepress etter enn før midtpunkt for utvandring, og høyere smittepress i Meisfjord og Sørfjord enn i Leirfjord. Smittekartet sentrert rundt midtpunkt for utvandring viser betydelig områder med lus nord for stasjonene undersøkt. Data fra ruse/garn indikerer derfor moderat lakselusindusert dødelighet. På grunn av få observasjoner som dekker ett begrenset geografisk område, selv om fjordene er stort sett relativt korte er det usikkert i hvilken grad fisken følger kysten, anser vi at kategoriseringen har stor usikkerhet.

Det er ikke trålt etter utvandrende postsmolt av laks, eller satt ut vaktbur i dette området.

Ruse og garnfangst

Det er foretatt ruse og garnfiske på stasjonene Leirfjord, Meisfjord og Sørfjord i PO8 ukene 25-26 i 2024 (Figur 54). Gjennomsnittlig midtpunkt for utvandring er 7. juni (uke 23 i 2024).

Figuren viser ruse eller garnstasjonene som punkter i kart.
Figur 54. Stasjonene undersøkt med ruse eller garn i PO8 i 2024. Grønne felt viser de nasjonale laksefjordene.

 

Andel av fisk med lus på alle tre stasjonene var relativt høy (83-90 %), mens intensiteten var moderat til høy (6-18 lus/fisk) (Tabell 18). Stasjonen er undersøkt 2-3 uker etter midtpunkt for utvandring, og gitt at fisken står i sjøen dekker påslag av lus under smoltutvandringen. Smittepresskartet sentrert rundt midtpunkt for utvandring indikerer at smittepresset er høyere nord for de stasjonene som er undersøkt, men også enkelte områder med høyere smittepress sør for disse. Stasjonene dekker derfor ikke områdene med høyest smittepress.

Stasjon Uke n Vekt (range) Prevalens [KI] Intensitet [KI] Maks n lus % >0.1 rel.int.
Leirfjord 25 51 97 (26-974) 86 [74-93] 6 [4-10] 37 20 [11-32]
Meisfjorden 25 31 53 (14-638) 90 [75-97] 9 [6-12] 25 48 [32-65]
Sørfjorden 25-26 23 257 (34-1192) 83 [63-93] 18 [9-50] 157 22 [10-42]
Tabell 18. Infestasjon av lakselus på sjøørret og sjørøye i PO 8. Se Tabell 1 for forklaring av verdiene.

Temperaturen i PO8 ukene 23-25 er nær 13°C (2-3 grader høyere enn snittet for perioden 2012-2023). Gitt at fisken har stått i sjøen i før midtpunkt for utvandring, representerer påslag av fastsittende stadier smittepresset fra omtrent midtpunkt for utvandring, mens de mobile lusene representerer smittepresset før dette. Antall og fordeling av lakselus på sjøørreten (Figur 55) indikerer høyere smittepress etter enn før midtpunkt for utvandring, og at det er høyere smittepress i Meisfjord og Sørfjord enn i Leirfjord.

Boksplott som viser antall lakselus, relativt antall lakselus og fordelingen av fastsittende og bevegelige lakselus for hver stasjon hver fangstuke.
Figur 55. Antall lakselus (A), relativt antall lus (antall lus/gram kroppsvekt) (B) og antall lakselus fordelt på fastsittende og bevegelige stadier (C) fra sjøørret og sjørøye på stasjonene i PO8.

 

I uke 25 estimeres det moderat lakselusrelatert dødelighet for fisken fanget i Leirfjord, på grensen til lav (10 [4-19] %) uke 25 (Figur 56). Estimert dødelighet ukene 25-26 er høy i Meisfjord (41 [25-58] %), og moderat i Sørfjord (14 [5-25] %). Merk at fisken fanget i Sørfjorden var betydelig større enn i Leirfjord og Meisfjord.

Figur som viser estimert dødelighet for hver fangstuke for hver stasjon for hvert år som punkter i en graf.
Figur 56. Estimert luseindusert dødelighet på rusefanget sjøørret/sjørøye med 95% konfidensintervaller. Alle beregningene er basert på all fisk fanget og alle lusestadier. Antall undersøkt hver uke er angitt i figuren.

 

3.9 - PO 9 Vestfjorden og Vesterålen

Stasjonene Steigen og Eidsfjorden er undersøkt hhv. uke 26 og 27 med garn/ruse. Data fra garn/ruse indikerer høy lakselusindusert dødelighet på begge stasjonene hhv. uke 26 og 27. Stasjonen ble overvåket fra 3 til 4 uker etter midtpunkt for utvandring, og vurderes som å være noe sent for å fange opp smittepresset rundt midtpunkt for utvandring. Utslippene av lus i dette området viser en økning av utslipp av lus fra midten av mai og ut juni, og kartene som viser tetthet av lus sentrert rundt midtpunkt for utvandring viser at Steigen har en noe forhøyet tetthet, men høyere tetthet i Eidsfjorden. Kartene viser også et det er enkelte begrensede områder med høy tetthet av lus, og ruseundersøkelsen indikerer derfor moderat lakselusindusert dødelighet for området som helhet. Usikkerheten vurderes som stor da selv om det er undersøkt to stasjoner er disse er tatt noe sent i forhold til midtpunkt for utvandringen.

Det er ikke trålt etter utvandrende postsmolt av laks, eller satt ut vaktbur i dette området. 

Ruse og garnfangst

I dette området har vi undersøkt stasjonene Steigen og Eidsfjord (Figur 57) med ruse og garn hhv. ukene 26 og 27. I dette produksjonsområdet estimeres gjennomsnittlig midtpunkt for utvandring 9. juni (uke 23 i 2024).

Figuren viser ruse eller garnstasjonene som punkter i kart.
Figur 57. Stasjonen undersøkt med ruse eller garn i PO9 i 2024.

 

I uke 26 eller 27 hadde all fisken fanget både i Steigen og Eidsfjord fisken lus (Tabell 19), og intensiteten var høy i Steigen (26 lus/fisk), og svært høy i Eidsfjorden (81 lus/fisk).

Stasjon Uke n Vekt (range) Prevalens [KI] Intensitet [KI] Maks n lus % >0.1 rel.int.
Steigen 26 30 135 (34-521) 100 [89-100] 26 [21-33] 73 70 [52-83]
Eidsfjorden 27 50 162 (30-970) 100 [93-100] 81 [71-92] 177 100 [93-100]
Tabell 19. Infestasjon av lakselus på sjøørret og sjørøye i PO 9. Se Tabell 1 for forklaring av verdiene.

Temperaturen i PO9 ukene 23-26 var ca. 12°C, ca. 2 grader høyere enn snittet for perioden 2012-2023. Dette indikerer gitt at fisken har stått i sjøen at antall fastsittende lus representerer akkumulert smittepress fra ca. 1-2 uker etter midtpunkt for utvandring. Undersøkelsen er derfor tatt noe sent for å dekke opp smittepresset under smoltutvandringen. Fordelingen av lus viser omtrent lik fordeling av fastsittende og bevegelig stadier i Steigen, men noe høyere andel av bevegelige i Eidsfjord. Antall og fordeling av lus viser derfor et vedvarende høyt smittepress i Eidsfjorden, noe lavere i Steigen. Utslippene av lus i dette området viser en økning av utslipp av lus fra midten av mai og ut juni, og kartene som viser tetthet av lus sentrert rundt midtpunkt for utvandring viser at Steigen har en noe forhøyet tetthet, men høyere tetthet i Eidsfjorden.

Boksplott som viser antall lakselus, relativt antall lakselus og fordelingen av fastsittende og bevegelige lakselus for hver stasjon hver fangstuke.
Figur 58. Antall lakselus (A), relativt antall lus (antall lus/gram kroppsvekt) (B) og antall lakselus fordelt på fastsittende og bevegelige stadier (C) fra sjøørret og sjørøye på stasjonene i PO9.

 

Det estimeres høy lakselusindusert dødelighet på sjøørret og sjørøye i både Steigen (63 [50-75] %) uke 26 og Eidsfjorden (99 [93-100] %) uke 27 (Figur 59).

Figur som viser estimert dødelighet for hver fangstuke for hver stasjon for hvert år som punkter i en graf.
Figur 59. Estimert luseindusert dødelighet på rusefanget sjøørret/sjørøye med 95% konfidensintervaller. Alle beregningene er basert på all fisk fanget og alle lusestadier. Antall undersøkt hver uke er angitt i figuren.

 

3.10 - PO 10 Andøya til Senja

Stasjonene Løksebotn, Finnsnes og Malangen er undersøkt med garn/ruse uke 27 og 27/28. Data fra både Løksebotn og Finnsnes indikerer høy (> 60%) dødelighet, Malangen lav. Da undersøkelsene startet 3-4 uker etter midtpunkt for utvandring, anses undersøkelsen å dekke infeksjonstrykket fra midtpunkt for utvandring. Smittekartene som dekker midtpunkt for utvandring indikerer områder med forhøyet smittepress, hovedsakelig på sørsiden av Senja fra Finnsnes og ned mot Løksebotn. Ruse og garnfangst indikerer derfor moderat dødelighet for området som helhet. Det er undersøkt tre stasjoner som dekker smittepresset i området sent i sesongen, og dekker områdene med både lavt og høyt smittepress. Vi anser derfor at kategoriseringen har middels usikkerhet.

Det er ikke trålt etter utvandrende postsmolt av laks, eller satt ut vaktbur i dette området. 

Ruse og garnfangst

I dette området har vi undersøkt stasjoner ved Løksebotn, Finnsnes og i Malangen med ruse og garn (Figur 60). Gjennomsnittlig midtpunkt for utvandring er 13. juni (uke 24 i 2024).

Figuren viser ruse eller garnstasjonene som punkter i kart.
Figur 60. Stasjonene undersøkt med ruse eller garn i PO10 i 2024. Grønt felt viser den nasjonale laksefjorden.

 

Storparten av sjøørret/sjørøye fanget ved både Løksebotn og Finnsnes var høy (95-97%), og intensiteten var relativt høy (hhv. 22 og 30 lus/fisk) (Tabell 20). I Malangen hadde en betydelig lavere andel av fisken lus (38%), og intensiteten var lav (2 lus/fisk).

Stasjon Uke n Vekt (range) Prevalens [KI] Intensitet [KI] Maks n lus % >0.1 rel.int.
Løksebotn 27 35 87 (28-442) 97 [85-100] 22 [17-26] 50 83 [67-92]
Finnsnes 27-28 42 131 (22-1752) 95 [84-99] 30 [22-42] 133 79 [64-88]
Malangen 28 16 129 (33-636) 38 [18-61] 2 [1-3] 4 0 [0-19]
Tabell 20. Infestasjon av lakselus på sjøørret og sjørøye i PO 10. Se Tabell 1 for forklaring av verdiene.

Fordelingen av lus på fisken fanget ved Løksebotn og Finnsnes i uke 27-28 viser at fastsittende lus dominerer (Figur 61). Undersøkelsen er foretatt ca. 3-4 uker etter estimert midtpunkt for utvandring. Temperaturen i dette området (ukene 23-27) er omtrent 11°C, og det tar derfor ca. 16 dager fra lusen setter seg på fisken til den har utviklet seg til preadulte stadier. Det er derfor de bevegelige som er mest representativ for smittepresset frem til omtrent en uke etter midtpunkt for utvandring, mens de fastsittende representerer smittepresset fra ca. 1 uke etter estimert midtpunkt for utvandring. Smittepresset sentrert rundt midtpunkt for utvandring viser at både Løksebotn og Finnsnes ligger i områdene med høyest smittepress (Figur 61), Malangen i ett område med lavt smittepress. Utslippene øker jevnt fra starten av juni til midt i juli, men øker deretter betydelig. Dette indikerer at smittepresset rundt midtpunkt for utvandring er høyt i dette området som helhet.

Boksplott som viser antall lakselus, relativt antall lakselus og fordelingen av fastsittende og bevegelige lakselus for hver stasjon hver fangstuke.
Figur 61. Antall lakselus (A), relativt antall lus (antall lus/gram kroppsvekt) (B) og antall lakselus fordelt på fastsittende og bevegelige stadier (C) fra sjøørret og sjørøye på stasjonene i PO10.

 

Estimert lakselusrelatert dødelighet er høy i Løksebotn (66 [50-79] %) og Finnsnes (61 [48-74] %), og lav i Malangen (0 [0-0] %) (Figur 62).

Figur som viser estimert dødelighet for hver fangstuke for hver stasjon for hvert år som punkter i en graf.
Figur 62. Estimert luseindusert dødelighet på rusefanget sjøørret/sjørøye med 95% konfidensintervaller. Alle beregningene er basert på all fisk fanget og alle lusestadier. Antall undersøkt hver uke er angitt i figuren.

 

3.11 - PO 11 Kvaløya til Loppa

I år ble kun Oksfjord i Nordreisa undersøkt med garn/ruse i PO 11. Prøvefisket gjennomført i uke 28 indikerer moderat lakselusindusert dødelighet. Fisket er gjort ca. 3 uker etter midtpunkt for utvandring, noe sent for å fange opp starten av utvandringen. Antall og fordeling av lus indikerer ett høyere smittepress etter midtpunkt for utvandring. Utslipp av lus øker svakt fra 1. juni til 10. juli, og tettheten av kopepoditter sentrert rundt midtpunkt for utvandring viser et begrenset område med forhøyet tetthet av lakselus. Data fra ruse/garn indikerer derfor en lav lakselusindusert dødelighet for området som helhet. Da bare en stasjon er undersøkt, og denne er undersøkt noe sent, anser vi at vurderingen har stor usikkerhet.

Det er ikke trålt etter utvandrende postsmolt av laks, eller satt ut vaktbur i dette området. 

Ruse og garnfangst

I dette området har vi undersøkt Nordreisa (Figur 63) med ruse og garn uke 28. Gjennomsnittlig midtpunkt for utvandring er estimert til 19. juni (uke 25 i 2024).

Figuren viser ruse eller garnstasjonene som punkter i kart.
Figur 63. Stasjonene undersøkt med ruse eller garn i PO11 i 2024. Grønne felt viser de nasjonale laksefjordene.

 

I Nordreisa uke 28 hadde mye av fisken lus med en prevalens på 90%, og intensiteten var 11 lus/fisk (Tabell 21). Snittvekten på fisken var relativt høy.

Stasjon Uke n Vekt (range) Prevalens [KI] Intensitet [KI] Maks n lus % >0.1 rel.int.
Nordreisa 28 51 240 (32-1700) 90 [79-96] 11 [9-15] 43 37 [25-51]
Tabell 21. Infestasjon av lakselus på sjøørret og sjørøye i PO 11. Se Tabell 1 for forklaring av verdiene.

Fordelingen av lus på sjøørret og røye fanget i Nordreisa viser at de fastsittende stadiene dominerer uke 28, men det har også vært et smittepress før dette (Figur 64). Undersøkelsen er foretatt ca. 3 uker etter estimert midtpunkt for utvandring. Temperaturen i dette området (ukene 25-27) er omtrent 12°C, og det tar derfor ca. 14 dager fra lusen setter seg på fisken til den har utviklet seg til bevegelig. Det er derfor de bevegelige som er mest representativ for smittepresset frem til omtrent en uke etter midtpunkt for utvandring, mens de fastsittende representerer smittepresset fra ca. 1 uke etter estimert midtpunkt for utvandring. Smittepresset sentrert rundt midtpunkt for utvandring viser at Nordreisa ligger rett utenfor området med høyest smittepress. Utslippene øker jevnt fra starten av juni til midt i juli, men øker deretter betydelig. Dette indikerer at smittepresset rundt midtpunkt for utvandring er lavt i dette området som helhet.

Boksplott som viser antall lakselus, relativt antall lakselus og fordelingen av fastsittende og bevegelige lakselus for hver stasjon hver fangstuke.
Figur 64. Antall lakselus (A), relativt antall lus (antall lus/gram kroppsvekt) (B) og antall lakselus fordelt på fastsittende og bevegelige stadier (C) fra sjøørret og sjørøye på stasjonene i PO11. De nærliggende stasjonene Straumfjord og Oksfjord er her slått sammen.

 

Estimert dødelighet på sjøørret/røye i Nordreisa var moderat (24 [12-41] %) uke 28 (Figur 65), dette er høyere enn i 2023 men omtrent tilsvarende som observert i 2021.

Figur som viser estimert dødelighet for hver fangstuke for hver stasjon for hvert år som punkter i en graf.
Figur 65. Estimert luseindusert dødelighet på rusefanget sjøørret/sjørøye med 95% konfidensintervaller. Alle beregningene er basert på all fisk fanget og alle lusestadier. Antall undersøkt hver uke er angitt i figuren.

 

3.12 - PO 12 Vest Finnmark

Ruse og garn undersøkelsene i PO12 uke 28 indikerer høy dødelighet i Talvik og lav i Handelsbukt. Undersøkelsen er foretatt omtrent to uker etter midtpunkt for utvandringen og vurderes å dekke utvandringen relativt godt. Utslippene i området øker relativt jevnt fra starten av juni og til midten av juli. Smittekartene sentrert rundt midten av smoltutvandringen indikere enkelte mindre områder med forhøyet tetthet av lakselus, inkludert Talvik, mens Handelsbukt ligger i ett område med lavt smittepress. Antall og stadiefordelingen av lus indikerer lavt smittepress i starten av smoltutvandringen, men økende fra midtpunkt for gjennomsnittlig tidspunkt for utvandring. Observasjonene indikerer derfor en kategorisering av området i lav lakselusrelatert dødelighet i 2024. Grunnet få stasjoner, samt at undersøkelsen kan indikere lavt smittepress også i Talvik i starten av smoltutvandringen, vurderes usikkerheten som stor.

Det er ikke trålt etter utvandrende postsmolt av laks, eller satt ut vaktbur i dette området. 

Ruse og garnfangst

I dette området er det i 2024 undersøkt Talvik i Altafjorden samt Handelsbukt i Porsangerfjorden med ruse og garn (Figur 66). Begge stasjonene ligger i nasjonale laksefjorder. I dette produksjonsområdet estimeres gjennomsnittlig midtpunkt for utvandring 28. juni (uke 26 i 2024).

Figuren viser ruse eller garnstasjonene som punkter i kart.
Figur 66. Stasjonene undersøkt med ruse eller garn i PO12 i 2024. Grønne felt viser de nasjonale laksefjordene.

 

Sjøørret og røye fanget ved Talvik i Altafjorden uke 28 hadde høy prevalens (95 %), og intensiteten var høy, 37 lus/fisk (Tabell 22). I Handelsbukt i Porsangerfjorden uke 28 var det mindre lus, hvor både prevalens og intensitet var lav, hhv. 23 % og 2 lus/fisk.

Stasjon Uke n Vekt (range) Prevalens [KI] Intensitet [KI] Maks % >0.1 rel.int.
Talvik 28 57 202 (20-808) 95 [86-98] 37 [29-49] 177 67 [54-78]
Handelsbukt 28 35 350 (26-1388) 23 [12-39] 2 [1-2] 3 0 [0-10]
Tabell 22. Infestasjon av lakselus på sjøørret og sjørøye i PO 12. Se Tabell 1 for forklaring av verdiene.

Fordelingen av lus på fisken fanget ved Talvik i uke 28 viser at fastsittende lus dominerer (Figur 67). Undersøkelsen er foretatt ca. 2 uker etter estimert midtpunkt for utvandring. Temperaturen i dette området (ukene 26-28) er omtrent 10°C, og det tar derfor ca. 19 dager fra lusen setter seg på fisken til den har utviklet seg til bevegelige. Gitt at fisken har vært i sjøen i disse periodene, kan antall fastsittende representere smittepresset fra noe før midtpunkt for utvandring, de bevegelige før dette igjen. Dette indikerer en kraftig økning i smittepresset omtrent fra noe før estimert median dato for smoltutvandring. Sammenholdt med smittepresset sentrert rundt midtpunkt for utvandring viser at Talvik ligger i områdene med høyest smittepress. Utbredelsen av området med høyt smittepress er begrenset. Utslippene i området øker jevnt fra starten av juni til midt i juli, men øker deretter betydelig. Dette indikerer at smittepresset rundt midtpunkt for utvandring er lavt i dette området som helhet.

Boksplott som viser antall lakselus, relativt antall lakselus og fordelingen av fastsittende og bevegelige lakselus for hver stasjon hver fangstuke.
Figur 67. Antall lakselus (A), relativt antall lus (antall lus/gram kroppsvekt) (B) og antall lakselus fordelt på fastsittende og bevegelige stadier (C) fra sjøørret og sjørøye på stasjonene i PO12.

 

I Talvik estimeres høy dødelighet (55 [44-66] %) uke 28, i Handelsbukt i Porsangerfjorden lav (0 [0-0] %) dødelighet uke 28 (Figur 68).

Figur som viser estimert dødelighet for hver fangstuke for hver stasjon for hvert år som punkter i en graf.
Figur 68. Estimert luseindusert dødelighet på rusefanget sjøørret/sjørøye med 95% konfidensintervaller. Alle beregningene er basert på all fisk fanget og alle lusestadier. Antall undersøkt hver uke er angitt i figuren.

 

3.13 - PO 13 Øst Finnmark

Undersøkelsen i Jarfjorden med garn indikerer liten luserelatert dødelighet på sjøørret og sjørøye. Undersøkelsen er foretatt uke 29, 3-4 uker etter gjennomsnittlig utvandring for elvene i området, noe sent for å fange opp utvandringen rundt midtpunkt for utvandring. Da det er liten økning i utslipp av klekte nauplier fra anlegg i ukene 20-30, og smittekartene ikke indikerer områder med forhøyet smittepress rundt midtpunkt for smoltutvandring, vurderes det også for området som helhet liten lakselusindusert dødelighet. Da undersøkelsen foretatt sent, og bare er en stasjon i området er undersøkt, vurderes usikkerheten som middels.

Det er ikke trålt etter utvandrende postsmolt av laks, eller satt ut vaktbur i dette området. 

Ruse og garnfangst

I dette området er det i 2024 kun den østligste stasjonen, Jarfjord, som er undersøkt med ruse (Figur 69). Estimert gjennomsnittlig midtpunkt for utvandring er 27. juni (uke 26 i 2024).

Figuren viser ruse eller garnstasjonene som punkter i kart.
Figur 69. Stasjonen undersøkt med ruse i PO13 i 2024. Grønne felt viser de nasjonale laksefjordene.

 

I 2024 ble bare Jarfjord undersøkt, og kun i uke 29. Størstedelen hadde lus (84%), og intensiteten var 5 lus/fisk (Tabell 23). Begge deler er lavere enn i 2023.

Stasjon Uke n Vekt (range) Prevalens [KI] Intensitet [KI] Maks % >0.1 rel.int.
Jarfjord 29 51 278 (50-1130) 84 [72-92] 5 [4-6] 16 0 [0-7]
Tabell 23. Infestasjon av lakselus på sjøørret og sjørøye i PO 13. Se Tabell 1 for forklaring av verdiene.

Det er de bevegelige stadiene som dominerer, hvilket indikerer et jevnt lavt smittepress gjennom hele utvandringsperioden (Figur 70). Temperaturen i området ukene 26-29 var 12-13 °C, og påslag av fastsittende lus representerer derfor smittepresset fra omtrent 1 uker etter midtpunkt for utvandring. Antall og fordeling av lus på fisken indikerer generelt lavt smittepress både før og etter midtpunkt for utvandring, noe høyere etter. Utslippene av lus er generelt lave i dette området, og det er ingen området som peker seg ut med spesielt høy tetthet av lakselus.

Boksplott som viser antall lakselus, relativt antall lakselus og fordelingen av fastsittende og bevegelige lakselus for hver stasjon hver fangstuke.
Figur 70. Antall lakselus (A), relativt antall lus (antall lus/gram kroppsvekt) (B) og antall lakselus fordelt på fastsittende og bevegelige stadier (C) fra sjøørret og sjørøye på stasjonene i PO13.

 

Det estimeres lav lakselusrelatert dødelighet (2 [0-5] %) for sjøørret og sjørøye på stasjonen Jarfjord i 2024 (Figur 71).

Figur som viser estimert dødelighet for hver fangstuke for hver stasjon for hvert år som punkter i en graf.
Figur 71. Estimert luseindusert dødelighet på rusefanget sjøørret/sjørøye med 95% konfidensintervaller. Alle beregningene er basert på all fisk fanget og alle lusestadier. Antall undersøkt hver uke er angitt i figuren.

 

4 - Referanser

Bjørn, P. A., Finstad, B., Asplin, L., Skilbrei, O., Nilsen, R., Serra-Llinares, R. M. & Boxaspen, K. K. (2011). Metodeutvikling for overvåkning og telling av lakselus på viltlevende laksefisk. Rapport fra Havforskningen, nr. 8-2011, 58 s.

Bui, S., Dempster, T., Remen, M. & Oppedal, F. (2016). Effect of ectoparasite infestation density and life‑history stages on the swimming performance of Atlantic salmon Salmo salar . Aquaculture Environment Interactions 8, 387-395.

Dawson, L. H. J., Pike, A. W., Houlihan, D. F. & McVicar, A. H. (1997). Comparison of the susceptibility of sea trout ( Salmo trutta L.) and Atlantic salmon ( Salmo salar L.) to sea lice ( Lepeophtheirus salmonis (Krøyer, 1837)) infections. ICES Journal of Marine Science 54, 1129-1139.

Efron, B. & Tibshirani, R. (1993). An introduction to the bootstrap. Chapman & Hall, London.

Grøn, H. H. (2016). Comparison of gillnet and trap in relation to retention of salmon lice ( Lepeophtheirus salmonis ), size selection of sea trout ( Salmo trutta ) and catch efficiency. - Comparing the two most used fishing gear in National Salmon lice monitoring Program. Master thesis, Universitetet i Tromsø.

Harvey, A. C., Quintela, M., Glover, K. A., Karlsen, Ø., Nilsen, R., Skaala, Ø., Sægrov, H., Kålås, S., Knutar, S. & Wennevik, V. (2019). Inferring Atlantic salmon post-smolt migration patterns using genetic assignment. Royal Society Open Science 6, 190426.

Hvas, M. & Bui, S. (2022). Energetic costs of ectoparasite infection in Atlantic salmon. Journal of Experimental Biology 225:1.

Nilsen, R., Serra-Llinares, R. M., Sandvik, A. D., Johnsen, I.A., Mohn, A.M., Karlsen, Ø., Lehmann, G. B., Birkeland, I.B., Stöger, E., Lennox, R., Uglem, I. & Berg, M. (2020). Lakselusinfestasjon på vill laksefisk langs norskekysten i 2020 - Sluttrapport til Mattilsynet. Rapport fra Havforskningen nr. 46-2020, 81 s.

Nilsen, R., Serra-Llinares, R. M., Sandvik, A. D., Mohn, A.M., Johnsen, I.A., Karlsen, Ø., Uglem, I. & Lehmann, G. B. (2021). Lakselusinfestasjon på vill laksefisk våren 2021 - Fremdriftsrapport til Mattilsynet. Rapport fra Havforskningen nr. 29-2021, 27 s.

Svåsand, T., Karlsen, Ø., Kvamme, B. O., Stien, L. H., Taranger, G. L. & Boxaspen, K. K. (2016). Risikovurdering norsk fiskeoppdrett 2016. Fisken og Havet, særnummer 2-2016, 190 s.

Taranger, G. L., Svåsand, T., Bjørn, P. A., Jansen, P. A., Heuch, P. A., Grøntvedt, R. N., Asplin, L., Skilbrei, O. T., Glover, K. A., Skaala, Ø., Wennevik, V. & Boxaspen, K. K. (2012). Forslag til førstegangs målemetode for miljøeffekt (effektindikatorer) med hensyn til genetisk påvirkning fra oppdrettslaks til villaks, og påvirkning av lakselus fra oppdrett på viltlevende laksefiskbestander Rapport fra Havforskningen nr. 13-2012 / Veterinærinstituttets rapportserie nr. 7-2012, 40 s.

Wagner, G. N., McKinley, R. S., Bjørn, P. A. & Finstad, B. (2003). Physiological impact of sea lice on swimming performance of Atlantic salmon. Journal of Fish Biology 62, 1000-1009.