Go to main content

Råd for tobisfiskeriet i norsk sone for 2022

— Tobistokt i Nordsjøen 27. april-12. mai 2022

Author(s): Espen Johnsen (IMR)
Cruise leader(s): Espen Johnsen (IMR)

Sammendrag

Tobistoktet i 2022 viser at rekrutteringen (ettåringer) av havsil (tobis) i sørlige del av norsk sone av Nordsjøen er lavere enn middels, men individvekten for disse ettåringene er høyere enn gjennomsnittet i tidsserien og ca. 14% høyere enn i 2021. For de eldre individene er vekten omtrent gjennomsnittlig, og en del høyere enn i fjor. Bestanden har en god geografisk spredning sør for 57°30’, mens nord for dette er bestanden kritisk lav. Under toktet har mattilgangen for tobis vært relativt god i de sørlige områdene der tobismagene inneholdt mye hoppekreps og andre dyreplankton. I de mer nordlige områdene var det vesentlig mindre mat i magene.

Bestanden består av mange årsklasser med gode forekomster av eldre individer. Omtrent 43% av biomassen er treåringer, og det er også mye 6 år gammel fisk. Biomassen av tobis i sørlige del av norsk sone av Nordsjøen er beregnet til å være 256 000 tonn (5%-95% konfidensintervallet er 162 000 - 364 000 tonn).

Mengden tobis på Vikingbanken er meget liten og på nivå med fjoråret. Biomassen ble estimert til kun omtrent 70 tonn, og dette er det laveste estimatet i tidsserien.

De store tobisforekomstene trekker til seg fugl, sjøpattedyr og fisk, og ved godt vær med stille sjø ble det observert vågehval og mange springere på flere tobisbanker. Også i år ble det observert store mengder hyse og hvitting på tobisfeltene.  

1 - Prognose og foreløpig råd for 2022

Det foreløpige rådet for 2022 var på 60 000 tonn (Tabell 1). Rådet var basert på en prognose av biomassen av rekruttering av ettåringer, og av to år og eldre individer, der det er inkludert en usikkerhetsbuffer for å unngå et for optimistiske bestandsanslag og for høyt kvoteråd (se Johnsen 2022 for detaljer).

2 - Endelig råd for 2022

For det endelige kvoterådet for forvaltningsområdene 1-4 legger Havforskningsinstituttet til grunn en høstingsgrad på 0,4 av 40-persentilen av biomasseestimatet fra årets tokt. På dette grunnlaget tilrår Havforskningsinstituttet at årets tobiskvote settes til 95 000 tonn. Det anbefales også at område 4 stenges for tobisfiske i 2022 da bestanden her vurderes til å være kritisk lav. Anbefalingen er at underområdene 1a,1c, 2b, 2c, 3b, 3c forblir åpne for tobisfiske i perioden 15. april – 23. juni.

Havforskningsinstituttet tilrår også at område 5 forblir stengt grunnet en kritisk lav biomasse av tobis på Vikingbanken.

3 - Formålet med toktet

I perioden 27. april - 12. mai 2022 har Havforskningsinstituttet gjennomført et akustisk tokt med FF «Johan Hjort» på tobisfeltene i sørlig del av norske sone i Nordsjøen. FF «Kristine Bonnevie» dekket tobisområdet på Vikingbanken 8. mai. Disse undersøkelsene gir oppdatert kunnskap om bestandsstørrelse, aldersfordeling og geografisk utbredelse av tobisbestanden. Spesielt viktig er det å få et godt mål på rekrutteringen (ettåringene) for å kunne beregne den totale bestandsstørrelsen siden ettåringer ofte utgjør hoveddelen av den fiskbare bestanden. Resultatene fra årets tokt sammenlignes med prognosen som ga grunnlag for det foreløpige rådet, og med resultat fra tidligere akustiske tokt. I kombinasjon med kartlegging av mengde- og alderssammensetningen i kommersielle fangster danner dette grunnlaget for et endelig tobisråd for 2022 i norsk økonomisk sone (NØS).

4 - For endelig råd i 2022 er følgende spørsmål vurdert:

  • Er det grunnlag for å øke totalkvoten av tobis utover den foreløpige kvoten på 60 000 tonn i norsk økonomisk sone?
  • Er det grunnlag for å stenge noen av de åpne områdene?  
  • Er det grunnlag for å åpne opp for regulært fiskeri i forvaltningsområde 5 (Vikingbanken)? 

5 - Forvaltningsmodell for tobis

Etter en prøvefase i 2010 innførte Norge i 2011 en områdebasert forvaltning av tobis i NØS av Nordsjøen. Hovedmålet med planen er å bygge opp gytebiomassen av tobis på alle historisk viktige tobisfelt i NØS. Dette vil igjen øke rekrutteringspotensialet for denne nøkkelarten i økosystemet og øke mattilgangen for arter i Nordsjøen som beiter på tobislarver og eldre tobis, og sikre et langsiktig bærekraftig tobisfiske.

Forvaltningsmodellen ble evaluert av Fiskeridirektoratet, HI og fiskerinæringen i 2014, i 2016 og igjen i 2020. Alle evalueringene har konkludert med at modellen fungerer etter hensikten, og med en stadig bedring i bestandsovervåking og i datagrunnlaget for fastsettelse av kvoteråd har det vært mulig å utvide størrelsen på de åpne områdene. Områdeinndelingene gjeldende fra 2020 er vist i Figur 1, og posisjonene per område er presentert i Vedlegg 1. Tidligere områdeinndelinger og detaljer knyttet til forvaltningsmodellen er vist i Vedlegg 2.

 

Forvaltningsområdene i norsk sone (Områdeinndelingen er gyldig fra 2020). De røde feltene inni forvaltningsområdene viser de viktigste tobisfeltene.
Figur 1 Forvaltningsområdene i norsk sone (Områdeinndelingen er gyldig fra 2020). De røde feltene inni forvaltningsområdene viser de viktigste tobisfeltene.

 

6 - Høstingsregel

Gjennomsnittlig årlig høstingsgrad (definert som landet kvantum i vekt dividert med estimert biomasse fra det akustiske toktet) har vært omtrent 0,4 for perioden 2010 til 2021. En slik høstingsrate synes å gi en langsiktig balanse mellom overlevelse av tobis og et stabilt godt fiskeri.

 

kvote = B40est,1+ • hr

 

der hr er høstingsgraden (0,4) og B40est,1+ er 40-persentilen av biomasseestimat av ett år og eldre tobis i forvaltningsområdene 1-4. Ved å bruke 40-persentilen istedenfor gjennomsnittsverdien eller medianen tar man høyde for usikkerheten i biomasse-estimatet (mindre usikkerhet tillater høyere kvoteråd og omvendt).

 

Tabell 1. Kvoteråd og landinger for 2010-2022 i norsk økonomisk sone. Se vedlegg  for å se områdekart for periode 2011-2019, og Figur 1 for områdekart for 2020-2022.

År

Foreløpig råd

Endelig råd i mai

Kvoteråd

(tonn)

Åpne

underområder

Kvoteråd

(tonn)

Åpne

underområder

2010

20 000

1b, 2b, 3b

50 000

1b, 2b, 3b

2011

60 000

1a, 2a, 3a

90 000

1a, 2a, 3a

2012

40 000

1b, 2b, 3b

40 000

1b, 2b, 3b

2013

20 000

3a

20 000

3a

2014

15 000

3b, 3c

90 000

2a, 3b, 3c, 4b

2015

100 000

2b, 3b, 3a

100 000

1b, 2b, 3a, 3b, 4a

2016

40 000

1b, 2a, 3a, 3b

40 000

1b, 2a, 3a, 3b, 4a

2017

50 000

1b, 1c, 2b, 2c, 3c, 3b, 4a

120 000

1b, 1c, 2b, 2c, 3c, 3b, 4a

2018

70 000

1b, 1c, 2a, 2c, 3a, 3b, 4b

70 000

1b, 1c, 2a, 2c, 3a, 3b, 4b

2019

55 000

1b, 1c, 2b, 2c, 3b, 3c, 4a

125 000

1b, 1c, 2b, 2c, 3b, 3c, 4a

2020

70 000

1a, 1c, 2b, 2c,3b,3c, 4a

250 000

1a, 1c, 2b, 2c,3b,3c, 4a

2021

110 000

1b,1c, 2a, 2c, 3a, 3c, 4b

145 000

1b,1c, 2a, 2c, 3a, 3c, 4b

2022

60 000

1a,1c, 2b, 2c, 3b, 3c, 4a

95 000

1a,1c, 2b, 2c, 3b, 3c

7 - Toktmetodikk

I nært samarbeid med tobisfiskerne er de historisk viktige tobisområdene i norsk sone definert. Disse områdene består i stor grad av sandbunn, med dyp fra 85 m til 120 m på Vikingbanken, og dyp fra 40 m til 95 m i de sørlige områdene. Med ny kunnskap om geografisk fordeling av tobis har noen av toktområdene blitt litt endret mellom tokt.  Toktområdene som ble dekket i 2022 er tilnærmet like de som ble dekket i 2020 og 2021, men arealet av Inner Shoal Vest ble økt litt i 2022 ettersom det ble observert en del tobisstimer i ytterkanten av dette området. For hvert toktområde (strata) (Figur 2) blir det brukt et survey-design som enten baserer seg på parallelle eller sikksakk-kurser (Harbitz 2019) med tilfeldig startpunkt (Figur 3). Dette designet tillater beregning av samplingsusikkerheten. Den akustiske kartlegging av kurslinjene gjennomføres mellom klokka 06:45 og 21:30 lokal tid ettersom tobisen gjemmer seg i sanden om natten. Biologisk prøvetaking skjer med bunntrål dersom man ser tobisstimer med ekkoloddet. Enkelte ganger brukes også bunntrålen uten at det er noen tobisregistreringer. Om natten, og av og til om dagen, bruker man en tobisskrape for å fange tobis som er nedgravd i sanden.

I år er antall toktdøgn er redusert med ca. 20% sammenlignet med tidligere år. Dette har medført noe mindre intensiv dekning av tobisfeltene enn tidligere, men været har vært veldig fint under toktet og kvaliteten på årets tokt vurderes som god. Vikingbanken ble dekket av FF «Kristine Bonnevie» 8. mai. Dessverre hadde ikke FF «Kristine Bonnevie» tobistrål tilgjengelig så det ble ikke tatt noen trålhal på Vikingbanken.


Toktområder markert som grå polygon
Figur 2. Strata (grå polygoner) dekket under tobistoktet 2022. Et toktområde kan dekke flere mindre tobisfelt.

Strata (grå polygoner), akustiske transekt (svarte linjer) og biologiske stasjoner (T= trålstasjoner, S=skrapestasjoner) utført på tobistoktet
Figur 3 Strata (grå polygoner), akustiske transekt (svarte linjer) og biologiske stasjoner (T= trålstasjoner, S=skrapestasjoner) utført på tobistoktet 2022.

Ekkolodd av type SIMRAD EK80 med frekvensene 18, 38, 120, 200 og 333 kHz blir kjørt med en pingrate på ca. 3 ping per sekund  på FF «Johan Hjort». På FF «Kristine Bonnevie» har man ikke 333kHz ekkolodd. Disse dataene blir lastet ned i programvaren Large Scale Survey System (LSSS, Korneliussen et al. 2016) hvor stimenes utbredelse og akustisk frekvensrespons blir undersøkt (Figur 4). Tobis har en karakteristisk frekvensrespons som brukes til å skille den fra andre arter (Figur 4) (Johnsen at al. 2009). Analyserte data blir lagret i en database med en vertikal og horisontal oppløsning på henholdsvis 10 meter og 0,1 nautisk mil per akustiske kategori.

Ekkogram av tobisstimer
Figure 4. Ekkogram av tobisstimer på tobisfeltet Vestbanken sørøst. Grafene under viser frekvensenresponsen per stim.

Den gjennomsnittlige ekkotetthet (tilbakespredningskoeffisient) (NASC) [m 2 /nm 2 ] blir beregnet for hvert toktområde i henhold til standard prosedyre. Antall tobis ( N ) i hver lengdegruppe ( l ) i hvert toktområde ( i ) beregnes som:

Antall tobis (N) i hver lengdegruppe (l)

der

f er det akustiske bidraget av lengdegruppe Ll til den total

er det akustiske bidraget av lengdegruppe L l til den total energien. gjennomsnittlig ekkotetthet er gjennomsnittlig ekkotetthet (NASC) [m 2 /nm 2 ], og A er arealet i undersøkt i området [nm 2 ]. σ er gjennomsnittsekkoet (gjennomsnittlig tilbakespredningstverrsnitt) av en enkelt tobis av en tobis med lengde L l . Denne er tilbakeregnet til lineær enhet, [m2] fra dB, som er den vanlige måten å måle ekkostyrke. Målstyrken (TS) er brukt for konverteringen av σ = 4π 10(TS/10) for å beregne tilbakespredningstverrsnittet. For 38 kHz på tobis brukes TS = 20logL – 93.

Undersøkelser av lengdefordeling og aldersavlesing av otolitter (øresteiner) av individer fanget i trål og skrape gir grunnlag for å beregne aldersstrukturen i bestanden. Konverteringen av antall fisk per lengdegruppe ( l ) til antall per aldersgruppe beregnes ved å bruke aldersfordelingen fra alle aldersleste individer innen lengdegruppen ( l ). Tilsvarende beregnes biomassen ved å bruke individuell gjennomsnittsvekt per alders- og lengdegruppe ved hjelp av programvaren StoX (Johnsen et al. 2019). Ved å kombinere de biologiske og akustiske dataene kan man følge utviklingen av årsklassene mellom år.  Man kan også beregne årsklassestyrken til rekruttene (ettåringer). Samplingsusikkerheten for alle disse estimatene beregnes ved hjelp av bootstrapsrutinene i StoX.   

På tilsvarende måte som ved andre tokt vil det knytte seg noe usikkerhet til beregningene, og en av utfordringene når det gjelder akustisk mengdemåling av tobis er at andelen tobisindivider som står i sanden kan variere. For å undersøke denne andelen måles mengde tobis i sanden ved hjelp av en skrape på dagtid. Disse undersøkelsene tyder på at det generelt er svært få tobis som står i sanden på dagtid, og derfor ser man bort i fra denne mulige feilkilden i toktestimatene.

Evalueringer viser at kvaliteten på toktestimatene er god, og at toktresultatene avdekker reelle endringer i mengde og geografisk fordeling av tobis. For kvaliteten er det en fordel at tobisbestanden har en begrenset geografisk fordeling slik at toktinnsatsen kan konsentreres. Det er også en fordel at man har fått utviklet akustisk metodikk som identifiserer og skiller tobisstimer fra andre fiskestimer (Johnsen et al. 2009, se Figur 4). Bestandskartlegging og analyser blir gjort per toktområde (Figur 3). For å redusere usikkerheten i toktestimatet blir områder med høy varians og stor tetthet dekket to ganger med noen dagers mellomrom med nye kurslinjer.  

8 - Resultat

8.1 - Forvaltningsområde 1-4

8.1.1 - Biomasse

Den totale biomassen av tobis i 2022 er estimert til 256 000 tonn (5%-95% konfidensintervall er 235 000 – 364 000 tonn). Biomassen er sterkt redusert fra toppåret 2020 og fra 2021 (Figur 5, Tabell 2). Presisjonen av biomassestimatet er blant de laveste i tidsserien med en relativ standardfeil på 25% (Tabell 2). Tidligere år har denne variert mellom 10% og 25%.

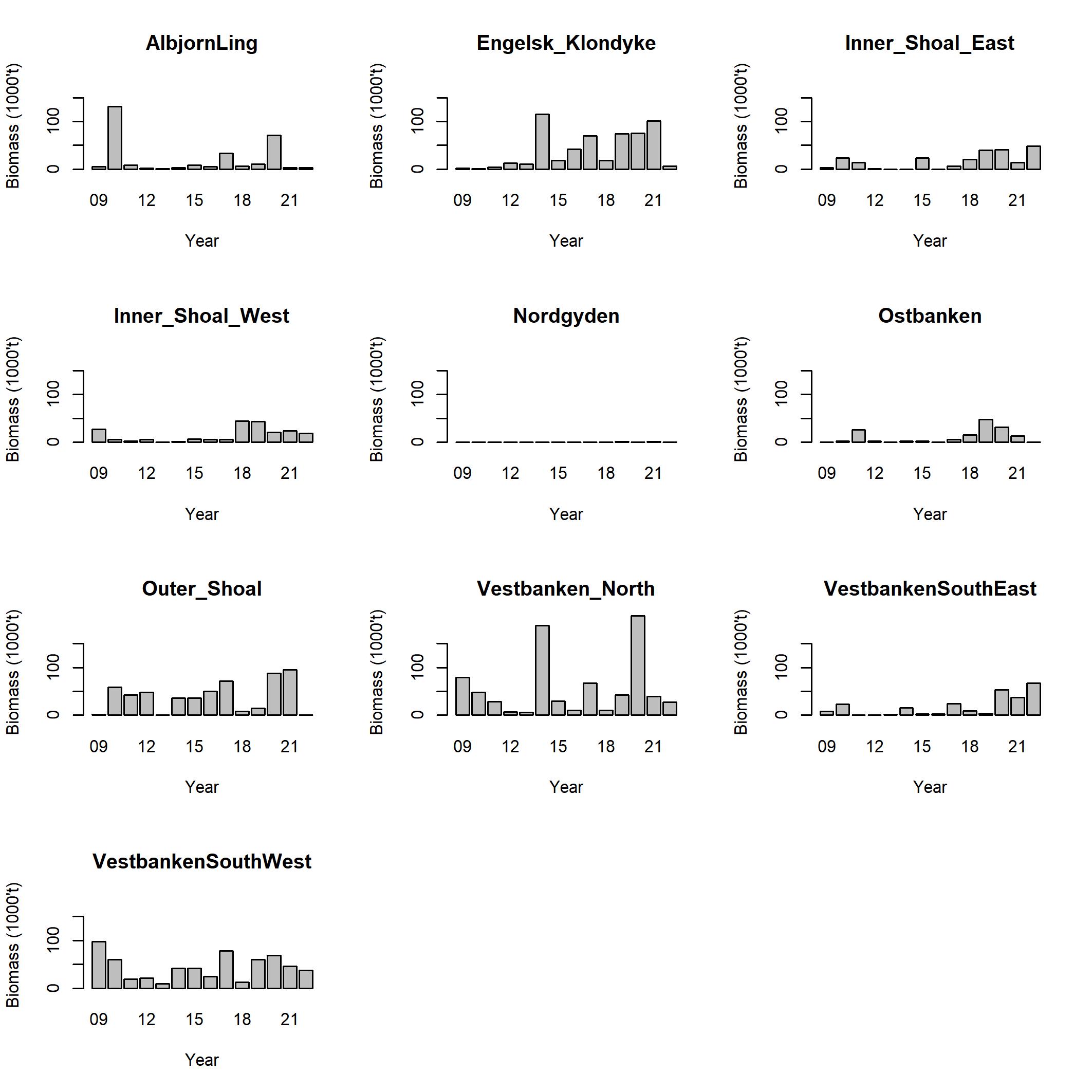
Størst nedgang i biomasse fra 2021 var det på Outer Shoal og Engelsk Klondyke (Figur 6). På Inner Shoal øst East og Vestbanken SouthEast l var biomassen noe høyere i 2022 enn i 2021 (Figur 6).

Sorte prikker viser estimert biomasse.
Figur 5 Estimert biomasse (1000 tonn) vist som sort prikk med konfidensintervall (5-95%) per år for alle strata i forvaltningsområdene 1-4 i NØS (unntatt Nordgyden) per år.

Tabell 2. Biomasse (tonn) av tobis estimert under det akustiske toktet og relativ standardfeil i prosent (RSE). Fordelingen i estimatet er vist som gjennomsnitt og med og 5-, 40-og 95-persentiler. Landing er i tonn, og høstingsgrad er beregnet som “Ton.mean”/”Landing”. For 2022* er Landingstallet hentet fra sildelaget.no 12.05.2022. Biomassene er summert for alle toktområder i forvaltningsområdene 1-4 med unntak av Nordgyden, siden dette feltet ikke alltid har vært undersøkt under toktet.
År Tonn 5% Tonn 40% Tonn 95% Tonn mean RSE Landing Høstingsgrad
2009 150 162 209 492 311 845 223 113 22 0 0,00
2010 222 770 315 009 459 796 337 852 22 50 471 0,15
2011 97 235 132 523 197 421 143 569 22 88 424 0,62
2012 66 957 89 679 126 334 95 132 19 40 889 0,43
2013 18 499 26 871 40 766 28 892 24 9 052 0,31
2014 298 435 387 705 503 276 402 492 16 82 499 0,20
2015 140 046 163 234 199 950 168 577 11 100 858 0,60
2016 96 986 137 549 217 386 150 575 25 40 836 0,27
2017 286 389 346 653 436 194 359 359 12 119 975 0,33
2018 119 587 140 533 168 278 143 786 10 69 531 0,48
2019 254 403 315 252 406 621 329 169 14 123 958 0,38
2020 486 805 622 169 872 605 656 034 18 234 754 0,36
2021 292 914 359 737 459 260 370 960 14 146 442 0,39
2022* 162 020 234 651 364 018 255 788 25 48 420 0,19

 

 

Biomasse per straum per år
Figur 6. Biomasseestimat per stratum i perioden 2009-2022.

8.1.2 - Geografisk fordeling

I 2022 er tobisbestanden relativt godt spredt med middels høye tettheter i mange områder i sør (Figur 7), men tettheten er lav nord på Outer Shoal og alle områdene nord for dette. Generelt er spredningen og tetthetene vesentlig lavere enn i rekordåret 2020 og i 2021, og spesielt er tettheten på Engelsk Klondyke svært lav sammenlignet med disse årene (Figur 8). På Østbanken, AlbjørnLing og Nordgyden var det også svært lite tobis (Figur 7). Det ble ikke fanget en eneste tobis på AlbjørnLing på tross av flere trål-og skrapehal (Figur 3).

 

Geografisk utbredelse av ekkotetthet av tobis per 0,1 n.mi. for tobistoktet 2022
Figur 7 Geografisk utbredelse av ekkotetthet av tobis per 0,1 n.mi. for tobistoktet 2022. Størrelsen og fargen på sirklene indikerer ekkotettheten (NASC). Nullverdien er angitt som blå prikker.

Geografisk utbredelse av ekkotetthet av tobis per 0,1 n.mi. for 2009 Geografisk utbredelse av ekkotetthet av tobis per 0,1 n.mi. for 2010 Geografisk utbredelse av ekkotetthet av tobis per 0,1 n.mi. for 2011 Geografisk utbredelse av ekkotetthet av tobis per 0,1 n.mi. for 2012 Geografisk utbredelse av ekkotetthet av tobis per 0,1 n.mi. for 2013 Geografisk utbredelse av ekkotetthet av tobis per 0,1 n.mi. for 2014 Geografisk utbredelse av ekkotetthet av tobis per 0,1 n.mi. for 2015 Geografisk utbredelse av ekkotetthet av tobis per 0,1 n.mi. for 2016

Geografisk utbredelse av ekkotetthet av tobis per 0,1 n.mi. for 2017

 

Geografisk utbredelse av ekkotetthet av tobis per 0,1 n.mi. for 2019 Geografisk utbredelse av ekkotetthet av tobis per 0,1 n.mi. for 2019 Geografisk utbredelse av ekkotetthet av tobis per 0,1 n.mi. for 2020

Geografisk utbredelse av ekkotetthet av tobis per 0,1 n.mi. for perioden 2009-2021.
Figur 8 Geografisk utbredelse av ekkotetthet av tobis per 0,1 n.mi. for perioden 2009-2021. Størrelsen og fargen på sirklene indikerer ekkotettheten (NASC). Nullverdien er angitt som blå prikker.

 

8.1.3 - Alders- og lengdefordeling

Det var omtrent like mange individer av ett-, to- og treåringer med henholdsvis 29%, 27% og 33% av totale antall individer (Tabell 3). I biomasse var denne aldersfordelingen henholdsvis 14%, 23% og 43%. Det var også mange seksåringer, som bidro med 11% av biomassen. Det er bemerkelsesverdig at det finnes så store forekomster av eldre individer på en del felter. På tross av relativt høye kvoter ser det altså ut til at fisketrykket har vært moderat de siste årene siden det er såpass mange gamle individer i bestanden. Aldersfordelingen varierte mellom de ulike områdene som vist i Figur 9, men totalt sett er reduksjonen i antall individer fra 2021 til 2022 relativ jevn for alle årsklassene (Figur 10 og Tabell 3) med en nedgang fra 2021 til 2022 på 50% til 75%.


Tabell 3. Antall individer (i millioner) per alder per år. (Kombinert for strata i forvaltnings-områdene 1-4 i NØS unntatt Nordgyden). Alder 6+ er summen for alle aldersgrupper seks år og eldre.
År/Alder 1 2 3 4 5 6+
2009 8452 4535 913 64 10 29
2010 16855 6277 1033 636 70 84
2011 977 8588 816 212 20 28
2012 801 217 3268 336 63 38
2013 2241 211 61 539 61 13
2014 22600 1754 124 50 2393 393
2015 9670 2241 692 7 66 673
2016 98 7310 684 269 15 689
2017 35476 124 3390 544 24 463
2018 1545 17050 30 454 98 71
2019 9565 464 15574 215 493 180
2020 42125 10052 452 9933 86 332
2021 14564 12971 2770 285 3710 177
2022 4653 4343 5297 854 141 942

 

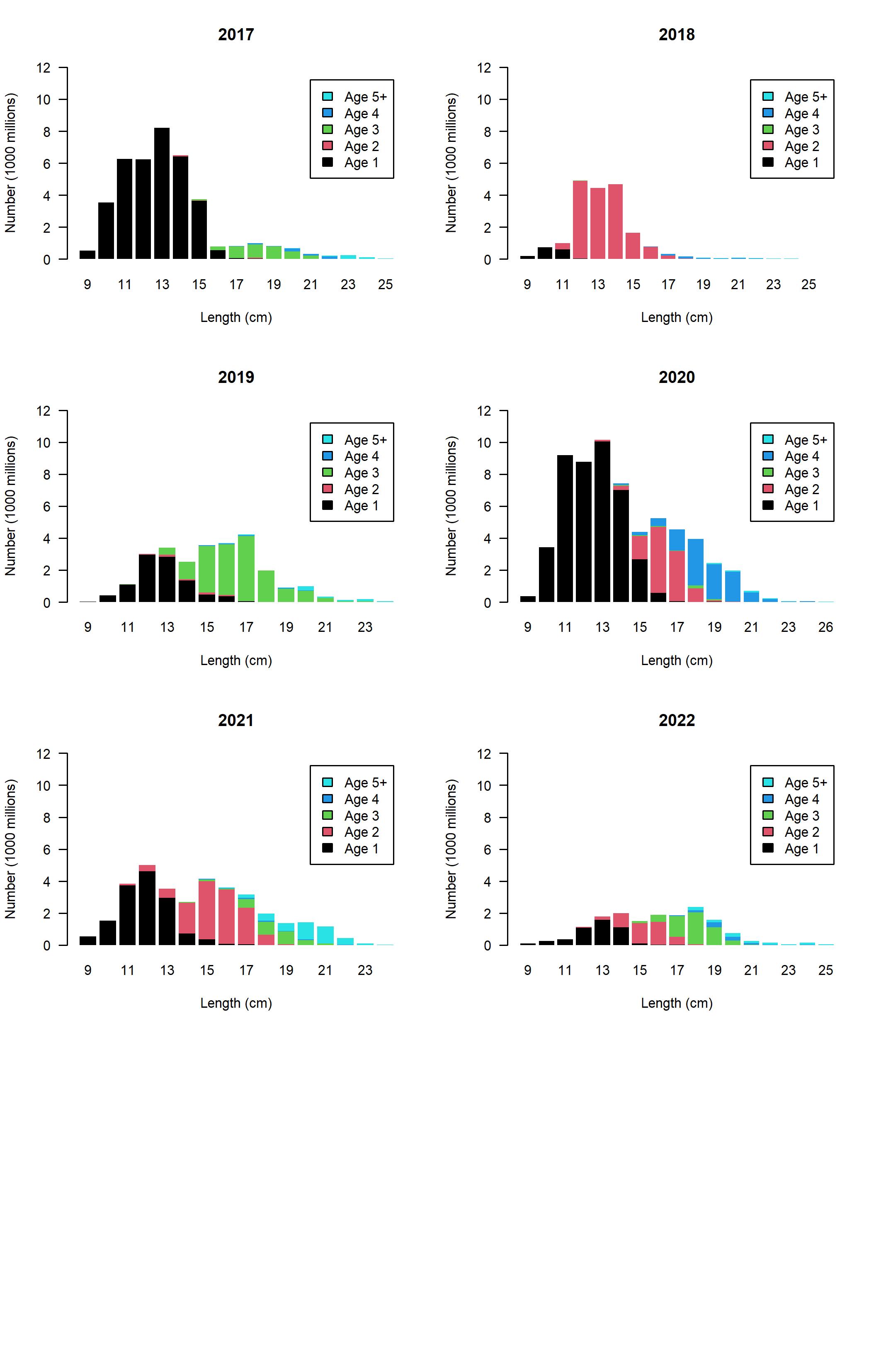
Antall individer fordelt per lengde og alder per tokt er vist i Figur 11. Lengde per aldersgruppe kan ha en stor spredning, og som i fjor er ett år gammel fisk fordelt fra 9 cm til 17 cm (Figur 11).

 

Relativ aldersfordeling (i antall) per stratum
Figur 9 Relativ aldersfordeling (i antall) per stratum. Alder er vist som tall. Inner Shoal viser aldersfordelingen for alle tre Inner Shoal strataene kombinert (se Fig. 3). Alder 6 er summen av alle aldersgrupper seks år og eldre. Merk at på AlbjørnLing så ble det ikke fanget noen tobisindivider, og biologiske prøver er lånt fra Østbanken.

 

Estimert antall individer (millioner) per årsklasse (linjer) fra alder 1 til alder 4.
Figur 10 Estimert antall individer (millioner) per årsklasse (linjer) fra alder 1 til alder 4. Tallene i linjene viser alder på fisken. Tallene gjelder for forvaltningsområdene 1-4 i NØS (unntatt Nordgyden). Antall ettåringer i 2022 er indikert med rød skrift.

Estimert antall individer per lengdegruppe, alder og år

Estimert antall individer per lengdegruppe, alder og år
Figur 11 Estimert antall individer per lengdegruppe, alder og år. (Kombinert for strata i forvaltningsområdene 1-4 i NØS unntatt Nordgyden).

 

8.1.4 - Vekst

Generelt vokser tobis godt de første årene der individvekten øker i snitt med cirka 107% fra ett til to år, 61% fra to til tre år, 34% fra tre til fire år og 13% fra fire til fem år (Tabell 4, Figur 12). Vekt ved alder kan variere signifikant mellom år for tobis (Figur 12). I 2022 er vekt ved alder litt 9% over langtidsgjennomsnittet for ettåringen, mens individvekten er omtrent gjennomsnittlig for de eldre årsklassene (Tabell 4).

År/Alder 1 2 3 4 5 6+
2009 13,1 17,8 30,9 38,9 47,2 42,4
2010 9,0 20,8 24,3 33,6 38,8 34,6
2011 5,3 13,2 21,5 24,0 33,8 32,0
2012 6,0 12,4 22,8 29,9 32,4 36,0
2013 5,2 6,2 11,8 22,3 27,5 27,0
2014 10,7 22,7 29,0 36,9 40,8 44,0
2015 8,5 17,1 20,8 15,4 29,2 35,0
2016 4,8 13,8 21,9 26,9 21,6 37,7
2017 7,4 13,6 19,5 25,2 18,8 28,7
2018 3,4 7,3 7,8 20,3 23,9 36,3
2019 6,5 9,0 15,4 17,0 24,7 27,5
2020 6,7 14,6 16,8 21,1 20,5 28,7
2021 5,1 11,4 18,1 18,0 23,4 22,9
2022 7,8 13,3 20,1 23,7 22,4 28,7
Tabell 4. Individvekt (gram) per alder per år (kombinert for strata i forvatningsområdene 1-4 imed unntak av Nordgyden). Snitt individvekt er vektet med mengde individer per aldersgruppe per strata. Alder 6+ er snittet for alle aldersgrupper seks år og eldre.

 

Indvidvekt per alder
Figur 12 Indvidvekt per alder (1=svart, 2=blå, 3=grønn, 4=rød, 5=turkis, 6=lilla) per år med konfidensintervall (5-95%) målt under tobistoktene. (Kombinert for strata i forvaltningsområdene 1-4 i NØS unntatt Nordgyden).

 

8.1.5 - Rekrutteringen

Rekrutteringen av 2021-årsklassen var i antall (Figur 13) og biomasse kun det niende høyeste estimatet i tidsserien, og omtrent 60% lavere enn gjennomsnittet i tidsserien for både antall og biomasse.

 

Estimert antall ettåringer med konfidensintervall (5-95%) per år
Figur 13. Estimert antall ettåringer med konfidensintervall (5-95%) per år for alle strata kombinert i forvaltningsområdene 1-4 i NØS (unntatt Nordgyden).

8.2 - Forvaltningsområde 5 - Vikingbanken

Mengden tobis i område 5 er kritisk lav. I år ble den akustiske dekningen gjennomført med FF «Kristine Bonnevie» grunnet lite tokttid med FF «Johan Hjort». Disse stimene ble analysert i LSSS på den samme måten som om bord FF «Johan Hjort». Dessverre hadde ikke FF «Kristine Bonnevie» tobistrål eller tobisskrape så ingen biologisk prøvetaking ble gjort. Basert på stimenes utbredelse og akustisk frekvensrespons ble tobisstimer identifisert. Toktresultatet viser at bestanden på Vikingbanken fremdeles er på et kritisk lavt nivå, og biomassen ble estimert til kun 70 tonn. Dette er var det laveste biomasseestimatet på Vikingbanken siden starten av tidsserien i 2009 (Figur 14).

 

Biomasse Vikingbanken
Figur 14 Biomasseestimat på Vikingbanken i perioden 2009-2022.

 

9 - Diskusjon

I antall og biomasse er rekrutteringen av 2021-årsklassen langt under gjennomsnittet for tokttidsserien. Individvekten for disse er omtrent 9% høyere enn gjennomsnitt for perioden 2009-2022, og for de eldre aldersgruppene er individvektene omtrent middels. En middels rekruttering av 2020-årsklassen, en langt under middels rekruttering av 2021-årsklassen har i kombinasjonen med en stor totalfangst av tobis i 2020 og 2021 (ca. 380 000 tonn) og stort beitetrykk fra hyse og hvitting redusert mengden tobis vesentlig sammenlignet med de to foregående årene.

Bestanden er i en god tilstand i forvaltningsområdene 1-3, mens bestanden vurderes til å være kritisk lav i forvaltningsområde 4 og 5 (Engelsk Klondyke, AlbjørnLing, Nordgyden og Vikingbanken). Mageundersøkelser av tobis viser også en geografisk fordeling der individene i sør hadde mer dyreplankton i magen enn de lengre nord. Mageprøver fra hyse, hvitting, torsk og knurr etc. under årets tokt viser at alle disse artene spiser mye tobis. Med store forekomster av hyse og hvitting på tobisfeltene skal man forvente et stort beitetrykk på tobisen, men nedgangen i mengde tobis er ikke større enn forventet fra 2021 til 2022 for totalbestanden. Det er kun på Engelsk Klondyke at mengde tobis er overraskende lav, og det er behov for å studere årsaken til den kraftige nedgangen på dette feltet.   

Et spørsmål som kan belyses nå er hvor god treffsikkerheten var i forbindelse med det foreløpige rådet som ble gitt i februar 2022. Her ble det forsøkt å forutsi eller predikere hvor stor bestanden ville være i mai 2022. Den predikerte biomassen av to år og eldre tobis var på 204 000 tonn (Johnsen 2022) mens det ble estimert 220 000 tonn under toktet (Tabell 2). Dette gir en relativ prediksjonsfeil på -7 % som må betegnes som ganske god treffsikkerhet. Nå det gjelder ettåringer så ble det brukt en konservativ antagelse i prediksjonen (5. persentilen fra skrapetoktet i 2021, se Johnsen 2020) som en slags sikkerhetsbuffer, slik at dette egentlige ikke er et «best guess», men denne gav en predikert biomasse på 27 000 tonn. På toktet ble det observert en biomasse av ettåringer på 36 000 tonn, noe som også må sies å være i bra samsvar med prediksjonen som ble brukt som grunnlag i det foreløpige rådet.

10 - Takk

Havforskningsinstituttet brukte i år FF «Johan Hjort» under årets tobistoktet, og vi takker mannskapet for et godt arbeid. Tusen takk til Ronald Pedersen – han har vært en fabelaktig god tolker av akustiske registreringer på alle våre tobistokt. Tusen takk også til våre dyktige og engasjerte prøvetakere og instrumentpersonell.

11 - Referanser

Harbitz, A. 2019. A zigzag survey design for continuous transect sampling with guaranteed equal coverage probability. Fisheries Research 213:151-159.

Johnsen, E., Pedersen, R., & Ona, E. (2009). Size-dependent frequency response of sandeel schools. ICES Journal of Marine Science, 66(6), 1100-1105.

Johnsen, E., Totland, A., Skålevik, Å., Holmin, A. J., Dingsør, G. E., Fuglebakk, E., and Handegard, N. O. 2019. StoX: An open source software for marine survey analyses. Methods in Ecology and Evolution, 10(9), 1523-1528.

Johnsen, E. 2022. Foreløpige råd for tobisfiskeriet i norsk økonomisk sone 2022. Link https://www.hi.no/resources/Forelopig-rad-for-tobisfiskeriet-i-norsk-okonomisk-sone-2022.pdf

Korneliussen, R. J., Heggelund, Y., Macaulay, G. J., Patel, D., Johnsen, E., & Eliassen, I. K. (2016). Acoustic identification of marine species using a feature library. Methods in Oceanography, 17, 187-205.

12 - Vedlegg 1 - Forvaltningsområder versjon 2020

12.1 - 12.1 - Forvaltningsområde 1

12.1.1 - Underområde 1a. Inner Shoal sør.

Området sør for N56°40’, vest for Ø004°36’ og ellers avgrenset av norsk sektorlinje i sør og vest.

12.1.2 - Underområde 1c. Inner Shoal midt. Vil alltid være åpnet dersom det tillates fiskeri i område 1.

Området nord for N56°40’ og sør for N56°44’, vest for Ø004°36’ og ellers avgrenset av norsk sektorlinje i sør og vest.

12.1.3 - 12.1.3 - Underområde 1b. Inner Shoal nord.

Området mellom N56°40’ og N57°04’, vest for Ø004°36’ til norsk sektorlinje i vest.

 

12.2 - Forvaltningsområde 2

12.2.1 - 12.2.1 - Underområde 2a. Outer Shoal sør, Snurreplassen, Triangel.

Nordlige grense er N57°11’. Vest for Ø004°36’ er sydlige grense N57°04’, og øst for Ø004°36’ er sydlige grense den norske sektorlinjen. Den østlige grensen er Ø005°18’, og den norske sektorlinje er den vestlige grensen mellom N57°04’ og N57°11’. Sør for N57°04’ er den vestlige grensen Ø004°36’.

12.2.2 - 12.2.2 - Underområde 2c. Outer Shoal midt, Snuplassen. Vil alltid være åpent dersom det tillates fiskeri i område 2.

Området nord for N57˚11 ’ og sør for N57˚16 ’ , og mellom Ø005˚18 ’ og norsk sektorlinje i vest.

12.2.3 - Underområde 2b. Outer Shoal nord, Karusellen, Hardangerviden

Området nord for N57˚16 ’ og sør for N57˚27 ’ , og mellom Ø005˚18 ’ og norsk sektorlinje i vest.

 

12.3 - 12.3 - Forvaltningsområde 3

12.3.1 - Underområde 3a. Vestbanken vest, Korridoren, Diana.

Området mellom følgende koordinater;

  1. N56˚40 ’ (Ved sektorlinja); Ø005˚18 ’
  2. N57˚27 ’ ; Ø005˚18 ’
  3. N57˚27 ’ ; Ø005˚50 ’

12.3.2 - Underområde 3c. Vestbanken sentral, Falittene. Vil alltid være åpnet dersom det tillates fiskeri i område 3.

Området mellom følgende koordinater;

  1. N56˚40 ’ (Ved sektorlinja); Ø005˚18 ’
  2. N57˚27 ’ ; Ø005˚50 ’
  3. N57˚27 ’ ; Ø006˚14`
  4. N56˚50,5 ’ (Mot sektorlinje) ; Ø005˚50 ’

12.3.3 - Underområde 3b; Vestbanken øst.

Området mellom følgende koordinater;

  1. N56˚50,5 ’ (Mot sektorlinje); Ø005˚50 ’
  2. N57˚27 ’ ; Ø006˚14 ’
  3. N57°27’; Ø007°49,5’ (Ved sektorlinja)

 

12.4 - 12.4 - Forvaltningsområde 4

12.4.1 - Underområde 4a. Albjørn og Engelsk Klondyke Sør.

Området mellom norsk sektorlinje i vest og Ø005˚18 ’ i øst og mellom N57˚27 ’ og N57˚41 ’ eksklusiv området mellom N57˚38 ’ og N57˚41 ’ , og Ø003˚25 ’ og Ø003˚56 ’ .

12.4.2 - Underområde 4b. Lingbanken, Kadaveret, Minefeltet, Østbanken og Engelsk Klondyke Nord.

Området mellom N57°41’ og N58°15’, og den norsk sektorlinje i vest og Ø005°18’ i øst inklusiv området mellom N57˚38` og N57˚41 ’ , og Ø003˚25 ’ og Ø003˚56 ’ .

 

12.5 - 12.5 - Forvaltningsområde 5

12.5.1 - Underområde 5a. Vikingbanken sør.

Området mellom N60°00 og N60°20’, og mellom norsk sektorlinje i vest og Ø003°10’.

12.5.2 - Underområde 5b. Vikingbanken nord.

Området mellom N60°25’ og N60°40’, og mellom norsk sektorlinje i vest og Ø003°10’.

12.5.3 - Underområde 5c. Vikingbanken sentralt. Vil alltid være åpnet dersom det tillates fiskeri i område 5.

Området mellom N60°20’ og N60°25’, og mellom norsk sektorlinje i vest og Ø003°10’.

13 - Vedlegg 2. Norwegian spatial management plan

The spatial management plan was tested in 2010 and fully implemented from 2011 (ICES 2010). The plan was modified in 2014 and in 2017 after national reviews, however, the main principles of the management plan have been constant since the beginning.

Current management plan and advice process

  • The areas with known sandeel fishing grounds are divided into 5 areas (Figure 1) based on the differences in population developments, differences in recruitment and size at age.

  • An area is closed for fishery unless the abundance of sandeel is relatively high in the area (biomass estimated from the acoustic survey). There is no agreed definition of “high abundance”, but no area has been open with bio-mass estimate has been less than 20000 tonnes.

  • All areas are divided into sub-areas.

  • If an area is open for fishery, one of the associated subareas is closed to prevent a total depletion of sandeel in the area. Typically, the closed subarea will be open the next year if fishing is allowed in the area.

  • A preliminary stock assessment is carried out in January in the TAC year. IMR provides a conservative preliminary TAC advice, and a recommendation of which subareas that should be open. One TAC advice is given for all areas combined. The assessment, prediction and harvest rules are presented below.

  • An in-season acoustic-trawl/dredge survey is carried out around 25 April – 15 May, which is used to estimate the abundance of age 1 and older sandeel. An updated assessment is carried out, and a final advice is presented no later than 15 May in the TAC year. The final TAC advice cannot be lower than the preliminary advice, and no open subareas can be closed. In other word, the TAC can only be adjusted upwards or stay the same, and closed subareas may be opened (see Table 2).

  • To prevent fishing of lean individuals that have not started the growth the fishing season starts 15 April. The individual weight may increase up to 100% in a few weeks.

  • To avoid too high percentage of juveniles (age 0 ) the fishery ends 23 June. Typically, the 5-9 cm small juveniles aggregates on the sandeel grounds in late June for settlement.

  • If the number of sandeel < 10 cm comprise of more than 10% in a catch, the fishing ground is closed for seven days to prevent a fishery on 0-age fish. The fishing ground is re-open automatically after one week.

 

Norwegian management areas in the North Sea for the period 2017-2019
Figure A2.1. Map of the five Norwegian management areas in the North Sea for the period 2017-2019. Historical important fishing grounds are depicted in light grey.

 

Norwegian management areas in the North Sea for the period 2014-2016
Figure A2.2 Map of the five Norwegian management areas in the North Sea for the period 2014-2016. Historical important fishing grounds are depicted in pink, and sandeel grounds in light pink.

 

Norwegian management areas in the North Sea for the period 2011-2013
Figure A2.3 Map of the six Norwegian management areas in the North Sea for the period 2011-2013. Historical important fishing grounds are depicted in pink, and sandeel grounds in light pink.

14