Go to main content

Fordeling og mengde av tobis i norsk sone av Nordsjøen i mai 2023

— Tobistokt i Nordsjøen 23. april – 13. mai 2023

Author(s): Espen Johnsen , Hector Pena , Ronald Pedersen , Åse Husebø and Lisbet Solbakken (IMR)
Cruise leader(s): Espen Johnsen and Hector Pena (IMR)

Sammendrag

Gytebiomassen i 2023 av havsil (tobis) i sørlige del av norsk sone av Nordsjøen er 105 000 tonn (5%-95% konfidensintervall er 80 000 – 136 000 tonn), og er sterkt redusert siden toppåret 2020. Middels og dårlig rekruttering etter 2019 er hovedårsaken til denne nedgangen, men i tillegg er individvekten per aldersgruppe i 2023 mellom 31% og 43% lavere enn langtidsgjennomsnittet for perioden 2009-2022. De tre siste årene har det vært store forekomster av hvitting og spesielt hyse i tobisområdene, og toktresultatene tyder på at beitetrykket på tobis er vesentlig høyere enn tidligere. Mange eldre individer med alder 4 og høyere av tobis i forvaltningsområdene 1-3 tyder på at fisketrykket har vært moderat. I de to nordligste forvaltningsområdene 4 og 5 er biomassen vurdert til å være kritisk lav, mens den er vesentlig sterkere i de sørlige forvaltningsområdene 1, 2 og 3. Under toktet i 2023 ble biomassen estimert til 64 tonn (5%-95% konfidensintervall er 33 – 100 tonn) i forvaltningsområde 5 (Vikingbanken), og dette er det laveste estimatet i tidsserien 2009-2023.

1 - Formål og gjennomføring av toktet

I perioden 23. april - 13. mai 2023 har Havforskningsinstituttet gjennomført et akustisk tråltokt med FF «Kristine Bonnevie» på tobisfeltene i sørlig del av norske sone i Nordsjøen og på Vikingbanken. Disse undersøkelsene gir oppdatert kunnskap om bestandsstørrelse, aldersfordeling og geografisk utbredelse av tobisbestanden. Spesielt viktig er det å få et godt mål på rekrutteringen (ettåringene), siden disse kan utgjøre hoveddelen av den fiskbare bestanden. Resultatene fra toktet danner datagrunnlaget for et endelig tobisråd for 2023 i norsk økonomisk sone (NØS). Været var relativt bra under toktet, og selv om det var nødvendig å ligge i havn én dag grunnet sterk kuling ble toktet gjennomført etter planen.

2 - Forvaltningsmodell og områdeinndeling

En nasjonal områdebasert forvaltning av tobis i NØS av Nordsjøen (NØS-NS) ble fullt iverksatt i 2011 med hovedmålet om å bygge opp gytebiomassen av tobis på alle historisk viktige tobisfelt i NØS-NS. Økt geografisk spredning og biomasse vil øke rekrutteringspotensialet for denne nøkkelarten i økosystemet, og potensielt øke mattilgangen for arter i Nordsjøen som beiter på tobislarver og eldre tobis, og sikre et langsiktig bærekraftig tobisfiske.

Områdeinndelingene gjeldende fra 2020 er vist i Figur 1. Geografiske posisjoner per område og detaljer knyttet til forvaltningsmodellen er tilgjengelig i Johnsen (2022).

 

Figur 1 Forvaltningsområdene i norsk sone (Områdeinndelingen er gyldig fra 2020). De røde feltene inni forvaltningsområdene viser de viktigste tobisfeltene.
Figur 1 Forvaltningsområdene i norsk sone (Områdeinndelingen er gyldig fra 2020). De røde feltene inni forvaltningsområdene viser de viktigste tobisfeltene.

 

3 - Toktmetodikk

I nært samarbeid med tobisfiskerne er de historisk viktige tobisområdene i norsk sone definert (Figur 1). Disse områdene består i stor grad av sandbunn, med dyp fra 85 m til 120 m på Vikingbanken, og dyp fra 40 m til 95 m i de sørlige områdene. Med ny kunnskap om geografisk fordeling av tobis har noen av toktområdene (strata) blitt litt endret mellom de årlige toktene. Toktområdene som ble dekket i 2023 er tilnærmet like de som ble dekket i 2020-2022. For hvert toktområde (Figur 2) blir det brukt et survey-design som enten baserer seg på parallelle eller sikksakk-kurser (Harbitz 2019) (Figur 3) med tilfeldig startpunkt. Dette designet tillater beregning av samplingsusikkerheten. Den akustiske kartlegging av kurslinjene gjennomføres i dagslys mellom klokka 06:45 og 21:30 norsktid ettersom tobisen gjemmer seg i sanden om natten. Biologisk prøvetaking skjer med bunntrål dersom man ser tobisstimer med ekkoloddet. Enkelte ganger brukes også bunntrålen uten at det er noen tobisregistreringer. Om natten, og av og til om dagen, bruker man en tobisskrape for å fange tobis som er nedgravd i sanden. Antall toktdøgn ble økt med ca. 20% sammenlignet med i 2022, og er på omtrent samme nivå som tidligere år.

 

Figur 2 Toktområder (grå polygoner) dekket under tobistoktet 2023. Et toktområde kan dekke flere mindre tobisfelt.
Figur 2 Toktområder (grå polygoner) dekket under tobistoktet 2023. Et toktområde kan dekke flere mindre tobisfelt.

 

 

Figur 3 Toktområder (grå polygoner), akustiske transekt (svarte linjer) og biologiske stasjoner (T= trålstasjoner, S=skrapestasjoner) utført på tobistoktet 2023.
Figur 3 Toktområder (grå polygoner), akustiske transekt (svarte linjer) og biologiske stasjoner (T= trålstasjoner, S=skrapestasjoner) utført på tobistoktet 2023.

 

Ekkolodd av type SIMRAD EK80 med frekvensene 18, 38, 120 og 200 kHz ble brukt med en pingrate på ca. 3 Hz. Disse ekkolodd-dataene blir lastet ned i programvaren Large Scale Survey System (LSSS 2.14.0, Korneliussen et al. 2016) hvor stimenes utbredelse og akustisk frekvensrespons blir undersøkt (Figur 4). Tobis har en karakteristisk frekvensrespons som brukes til å skille den fra andre arter (Johnsen at al. 2009). De stimene som blir identifisert til å være tobis får akustisk kategori «tobis» (kode 27 i LSSS). Stimer som ble identifisert som ikke-tobis får kategori «andre» (kode 1 i LSSS). I noen få tvilstilfeller får stimen kategori «mulig tobis» (kode 6009 i LSSS). Analyserte ekkolodd-data blir lagret i en database der NASC har en vertikal og horisontal oppløsning på henholdsvis 10 meter og 0,1 nautisk mil per akustiske kategori.

 

Figur 4 Ekkogram av tobisstimer på toktområdet Vestbanken SouthEast.
Figur 4 Ekkogram av tobisstimer på toktområdet Vestbanken SouthEast.

 

Den gjennomsnittlige ekkotettheten (tilbakespredningskoeffisient) (NASC) [m2/nm2] blir beregnet for hvert toktområde i henhold til en standard prosedyre. Basert på stimene kategorisert som «tobis» beregnes antall tobis (N) i hver lengdegruppe (l) i hvert toktområde (stratum) (i) beregnes som:

Antall tobis (N) i hver lengdegruppe (l) i hvert toktområde (stratum) (i) beregnes som

der

Ligning

er det akustiske bidraget av lengdegruppe Ll til den totale energien.  er gjennomsnittlig ekkotetthet (NASC) [m2/n.mi.2], og A er stratum areal [n.mi.2]. σ er gjennomsnittsekkoet (gjennomsnittlig tilbakespredningstverrsnitt) av en enkelt tobis av en tobis med lengde Ll. Denne er tilbakeregnet til lineær enhet, [m2] fra dB, som er den vanlige måten å måle ekkostyrke. Målstyrken (TS) er brukt for konverteringen av σ = 4π 10(TS/10) for å beregne tilbakespredningstverrsnittet. For 38 kHz på tobis brukes TS = 20logL – 93.

Undersøkelser av lengdefordeling og aldersavlesing av otolitter (øresteiner) av individer fanget i trål og skrape gir grunnlag for å beregne aldersstrukturen i bestanden. Konverteringen av antall fisk per lengdegruppe (l) til antall per aldersgruppe beregnes ved å bruke aldersfordelingen fra alle aldersleste individer innen lengdegruppen (l). Tilsvarende beregnes biomassen ved å bruke individuell gjennomsnittsvekt per alders- og lengdegruppe ved hjelp av programvaren StoX (Johnsen et al. 2019). Ved å kombinere de biologiske og akustiske dataene kan man følge utviklingen av årsklassene mellom år. Man kan også beregne årsklassestyrken til rekruttene (ettåringer). Tilsvarende får man ut estimat på individvekt og individlengde per aldersgruppe.

Estimatene fra akustikktoktet er beregnet med StoX (Johnsen et. al 2019), og hele tidsserien ble estimert på nytt høsten 2022 etter en grundig evaluering i forbindelse med metoderevisjonen av tobis-assessmentet i ICES. Alle toktestimatene i denne rapporten er basert på 1000 bootstrap-kjøringer i StoX, og merk at toktestimatene presentert i denne rapporten avviker noe fra tidligere år da hele tidsserien ble produsert på nytt i 2022 og 2023 med en StoX 3.5.0 (2009-2022) og StoX 3.6.0 (2023).

På tilsvarende måte som ved andre tokt vil det knytte seg noe usikkerhet til beregningene, og en av utfordringene når det gjelder akustisk mengdemåling av tobis er at andelen tobisindivider som står i sanden kan variere. For å undersøke denne andelen måles mengde tobis i sanden ved hjelp av en skrape på dagtid. Disse undersøkelsene tyder på at det generelt er svært få tobis som står i sanden på dagtid, og derfor ser man bort i fra denne mulige feilkilden i toktestimatene.

Evalueringer viser at kvaliteten på toktestimatene er god, og at toktresultatene avdekker reelle endringer i mengde og geografisk fordeling av tobis. Det er også en fordel at man har fått utviklet akustisk metodikk som identifiserer og skiller tobisstimer fra andre fiskestimer (Johnsen et al. 2009). Bestandskartlegging og analyser blir gjort per toktområde, og for å redusere usikkerheten i toktestimatet blir områder med høy varians dekket to ganger med noen dagers mellomrom med nye kurslinjer.

4 - Resultat

4.1 - Sørlige område: Forvaltningsområdene 1-4

Den totale biomassen av tobis i 2023 er estimert til 105 000 tonn (5%-95% konfidensintervall er 80 000 – 136 000 tonn). Biomassen er sterkt redusert fra toppåret 2020 og videre fra 2021 og 2022 (Figur 5, Tabell 1). Presisjonen av biomasseestimatet er høy med en relativ standardfeil på 16% (Tabell 1). Tidligere år har denne variert mellom 10% og 25%.

 

Figur 5 Estimert biomasse med konfidensintervall (5-95%) for alle toktområdene i forvaltningsområdene 1-4 i NØS (unntatt Nordgyden) per år.
Figur 5 Estimert biomasse med konfidensintervall (5-95%) for alle toktområdene i forvaltningsområdene 1-4 i NØS (unntatt Nordgyden) per år.

 

År Biomasse 5% Biomasse gjennomsnitt Biomasse 95% RSE
2009 138 706 225 460 316 510 0,24
2010 239 645 353 115 485 511 0,21
2011 102 188 146 119 198 268 0,20
2012 73 275 104 916 139 178 0,19
2013 17 317 30 251 44 969 0,28
2014 274 610 404 807 536 469 0,20
2015 137 311 170 161 204 197 0,12
2016 80 016 117 780 159 490 0,20
2017 278 679 363 980 449 827 0,14
2018 121 654 141 939 162 970 0,09
2019 265 930 327 518 392 703 0,12
2020 478 096 653 184 863 507 0,18
2021 293 489 372 707 462 884 0,14
2022 181 866 275 160 388 847 0,23
2023 80 435 105 480 136 609 0,16
Tabell 1 Estimert biomasse (i tonn) for alle toktområdene i forvaltningsområdene 1-4 i NØS (unntatt Nordgyden) (alder 1+): 5-persentilen, gjennomsnitt og 95-persentilen med relativ standardfeil (RSE).

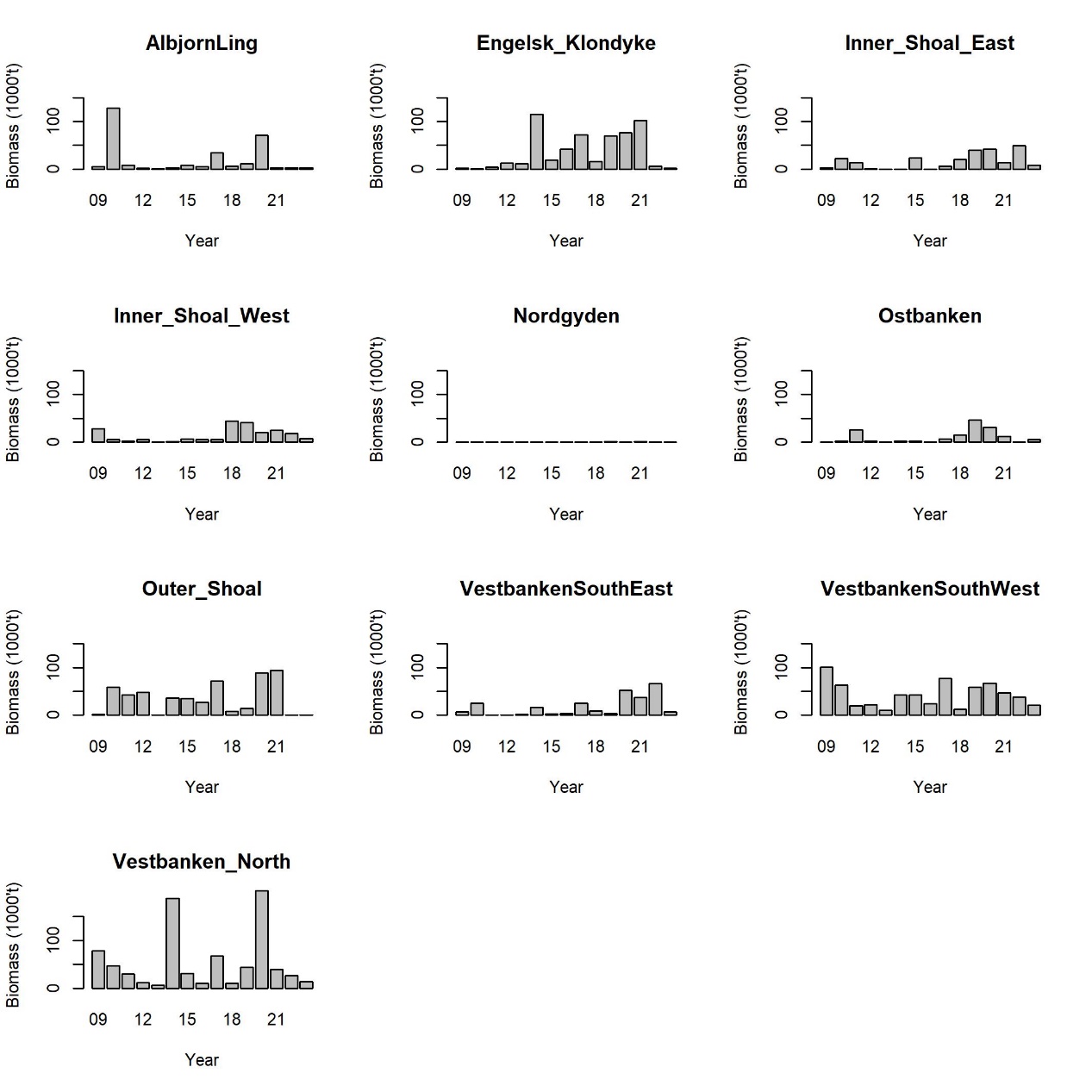
Alle toktområdene hadde en nedgang i biomasse, og biomassen var lav i alle toktområdene (Figur 6). Det ble ikke observert noen store stimer med tobis på Engelsk Klondyke, AlbjornLing, eller Østbanken, og tobisbestanden er kritisk lav i Forvaltningsområde 4. I de mer sørlige områdene er nedgangen også markant, men det ble observert enkelte større tobisstimer i Forvaltningsområde 1-3 (Figur 7). På tross av lav biomasse også i disse områdene var tobisbestanden ganske godt spredt (Figur 7), men det har vært en stor nedgang i spredningen og tetthetene fra 2020 og 2021, og også en reduksjon fra 2022 til 2023 (Figur 8).

 

Figur 6 Biomasseestimat per toktområde i perioden 2009-2023
Figur 6 Biomasseestimat per toktområde i perioden 2009-2023

 

 

Figur 7 Geografisk utbredelse av ekkotetthet av tobis per 0,1 n.mi. for tobistoktet 2023. Størrelsen og fargen på sirklene indikerer ekkotettheten (NASC). Nullverdien er angitt som blå prikker.
Figur 7 Geografisk utbredelse av ekkotetthet av tobis per 0,1 n.mi. for tobistoktet 2023. Størrelsen og fargen på sirklene indikerer ekkotettheten (NASC). Nullverdien er angitt som blå prikker.

 

Figur 8 Geografisk utbredelse av ekkotetthet av tobis per 0,1 n.mi. for perioden 2020. Størrelsen og fargen på sirklene indikerer ekkotettheten (NASC). Nullverdien er angitt som blå prikker.

Figur 8 Geografisk utbredelse av ekkotetthet av tobis per 0,1 n.mi. for perioden 2021. Størrelsen og fargen på sirklene indikerer ekkotettheten (NASC). Nullverdien er angitt som blå prikker.

 

Figur 8 Geografisk utbredelse av ekkotetthet av tobis per 0,1 n.mi. for perioden 2022. Størrelsen og fargen på sirklene indikerer ekkotettheten (NASC). Nullverdien er angitt som blå prikker.
Figur 8 Geografisk utbredelse av ekkotetthet av tobis per 0,1 n.mi. for perioden 2020-2022. Størrelsen og fargen på sirklene indikerer ekkotettheten (NASC). Nullverdien er angitt som blå prikker.

 

Rekrutteringen av 2022-årsklassen er blant de laveste i tidsserien (Figur 9, Tabell 2), og antall ettåringer av denne årsklassen er bare 19% av gjennomsnittet i tidsserien.

 

Figur 9 . Estimert antall ettåringer med konfidensintervall (5-95%) per år for alle toktområdene kombinert i forvaltningsområdene 1-4 i NØS (unntatt Nordgyden).
Figur 9 Estimert antall ettåringer med konfidensintervall (5-95%) per år for alle toktområdene kombinert i forvaltningsområdene 1-4 i NØS (unntatt Nordgyden).

 

En nedgang i rekrutteringen over flere år (Figur 9) medfører at andelene per aldersgruppe av totalantallet er relativt like(Tabell 2). Relativt antall ett-, to-, tre-, fire-, fem – og syvåringer er henholdsvis 25%, 16%, 16%, 22%, 10% og 8%. For biomasse er 27% 4-åringer, og det er også en del 5 år (17%) og 7 år (13%) gammel fisk. Biomassen av ettåringene er under 9% av den totale biomassen. Det er bemerkelsesverdig at det fremdeles finnes forekomster av syv år gammel fisk, på tross av relativt høye kvoter ser det altså ut til at fisketrykket har vært moderat de siste årene siden det er såpass mange gamle individer i bestanden. Totalt sett er reduksjonen i antall individer fra 2022 til 2023 63%.

År/Alder 1 2 3 4 5 6 7
2009 8436 4657 1135 68 13 15 1
2010 16232 6460 1530 810 73 32 33
2011 968 8763 911 217 40 35 33
2012 168 329 3690 386 113 42 13
2013 2405 752 102 571 70 12 0
2014 21958 1892 189 95 2436 297 44
2015 9573 2459 1404 80 106 650 119
2016 75 6011 604 281 26 92 513
2017 35277 123 3617 646 28 45 40
2018 1668 17522 86 330 79 9 0
2019 11351 1124 15506 790 197 40 0
2020 41480 10161 629 9727 248 272 5
2021 15138 12859 2794 464 3738 52 35
2022 4828 5035 5602 976 147 1020 0
2023 2138 1367 1395 1949 878 119 695
Tabell 2 Antall individer (i millioner) per alder per år. (Kombinert for alle toktområdene i forvaltnings-områdene 1-4 i NØS unntatt Nordgyden).

Aldersfordelingen varierer noe mellom de ulike toktområdene, og i de viktige toktområdene InnerShoal og OuterShoal ble det, henholdsvis, ikke fanget individer yngre enn 2 år og 4 år (Figur 10).

 

Figur 10 Relativ aldersfordeling (i antall) per toktområde. Alder er vist som tall. Inner Shoal viser aldersfordelingen for i de to Inner Shoal toktområdene kombinert (se Fig. 1). Alder 6 er summen av alle aldersgrupper seks år og eldre.
Figur 10 Relativ aldersfordeling (i antall) per toktområde. Alder er vist som tall. Inner Shoal viser aldersfordelingen for i de to Inner Shoal toktområdene kombinert (se Fig. 1). Alder 6 er summen av alle aldersgrupper seks år og eldre.

 

Antall individer fordelt per lengde og alder per tokt er vist i Figur 11. Lengde per aldersgruppe kan ha en stor spredning, og ett år gammel fisk er fordelt fra 9 cm til 15 cm i 2023 (Figur 11).

 

Figur 11 Estimert antall individer per lengdegruppe, alder og år. (Kombinert for alle toktområdene i forvaltningsområdene 1-4 i NØS (unntatt Nordgyden).
Figur 11 Estimert antall individer per lengdegruppe, alder og år. (Kombinert for alle toktområdene i forvaltningsområdene 1-4 i NØS (unntatt Nordgyden).

 

Generelt vokser tobis godt de første årene der individvekten øker i snitt med cirka 105% fra ett til to år, 57% fra to til tre år, 34% fra tre til fire år, 19% fra fire til fem år, og 7% fra fem til seks år (Figur 12, Tabell 3). Vekt ved alder kan variere signifikant mellom år for tobis (Figur 12), men individvekten i 2023 er lav og for alder 1-6 er denne, henholdsvis, 39%, 31%, 31%, 43%, 32% og 40%, lavere enn gjennomsnittet for perioden 2009-2022.

 

Figure 12  Individvekt (g) per alder per år for forvaltnings-områdene 1-4 i NØS (unntatt Nordgyden).
Figure 12 Individvekt (g) per alder per år for forvaltnings-områdene 1-4 i NØS (unntatt Nordgyden).

 

År/Alder 1 2 3 4 5 6  
2009 12,6 17,4 30,6 38,8 41,8 42,9  
2010 9,1 20,4 24,9 34,3 38,9 32,4  
2011 5,1 13,3 21,6 24,3 38,9 36,7  
2012 5,5 12,4 22,7 29,7 31,7 34,5  
2013 5,5 7,6 16,2 22,3 27,7 26,7  
2014 10,8 22,2 29,4 35,2 40,8 44,1  
2015 8,5 17,4 30,6 37,8 32,0 35,6  
2016 4,9 14,6 22,4 27,8 29,6 37,9  
2017 7,3 14,8 19,5 24,8 21,4 28,7  
2018 3,3 7,3 10,5 16,7 21,4 33,7  
2019 6,6 8,5 14,8 13,8 22,5 23,2  
2020 6,7 14,6 15,5 21,0 25,0 28,1  
2021 5,1 11,5 17,7 17,7 23,3 22,5  
2022 7,7 13,3 20,2 23,6 22,7 28,7  
2023 4,3 9,6 14,6 15,0 20,4 19,6  
Tabell 3 Individvekt (g) per alder per år for forvaltnings-områdene 1-4 i NØS (unntatt Nordgyden).

4.2 - Vikingbanken: Forvaltningsområde 5

Mengden tobis på Vikingbanken er meget liten og på nivå med de to siste årene, Biomassen ble estimert til kun omtrent 64 tonn, og dette er det laveste estimatet i tidsserien (Figur 13, Tabell 4)

 

Figur 13 Estimert biomasse av tobis (alder 1+) med konfidensintervall (5-95%) forvaltningsområdene 5 (Vikingbanken) per år.
Figur 13 Estimert biomasse av tobis (alder 1+) med konfidensintervall (5-95%) forvaltningsområdene 5 (Vikingbanken) per år.

 

År Biomasse 5% Biomasse gjennomsnitt Biomasse 95% RSE
2009 42 255 502 0,57
2010 137 5 724 16 824 0,92
2011 1 442 3 280 5 436 0,38
2012 141 739 1 567 0,60
2013 2 415 3 910 5 613 0,24
2014 615 1 283 2 204 0,40
2015 2 163 12 751 25 795 0,57
2016 220 667 1 372 0,53
2017 222 465 748 0,34
2018 427 938 1 509 0,35
2019 2 113 3 903 6 023 0,31
2020 1 489 3 221 5 274 0,37
2021 37 121 227 0,48
2022 0 71 210 0,97
2023 33 64 100 0,32
Tabell 4 Estimert biomasse av tobis i tonn (alder 1+) i forvaltningsområde 5 (Vikingbanken) 5-persentilen, gjennomsnitt og 95-persentilen med relativ standard feil (RSE).

5 - Takk

Havforskningsinstituttet brukte i år FF «Kristine Bonnevie» under årets tobistoktet, og vi takker mannskapet for et godt arbeid. Tusen takk også til våre dyktige og engasjerte prøvetakere og instrumentpersonell.

6 - Referanser

Harbitz, A, 2019, A zigzag survey design for continuous transect sampling with guaranteed equal coverage probability, Fisheries Research 213:151-159,

Johnsen, E,, Pedersen, R,, & Ona, E, (2009), Size-dependent frequency response of sandeel schools, ICES Journal of Marine Science, 66(6), 1100-1105,

Johnsen, E,, Totland, A, Skålevik, Å,, Holmin, A, J,, Dingsør, G, E,, Fuglebakk, E,, and Handegard, N, O, 2019, StoX: An open source software for marine survey analyses, Methods in Ecology and Evolution, 10(9), 1523-1528,

Johnsen, E, 2022, Foreløpige råd for tobisfiskeriet i norsk økonomisk sone 2022, Link https://www,hi,no/resources/Forelopig-rad-for-tobisfiskeriet-i-norsk-okonomisk-sone-2022,pdf

Korneliussen, R, J,, Heggelund, Y,, Macaulay, G, J,, Patel, D,, Johnsen, E,, & Eliassen, I, K, (2016), Acoustic identification of marine species using a feature library, Methods in Oceanography, 17, 187-205,