Go to main content

Toktrapport fra reketoktet i Skagerrak og Norskerenna 2021

— Reketoktet i Skagerrak og Norskerenna 2021

Author(s): Guldborg Søvik (IMR), Katrine Wilhelmsen Melaa (UiB), Trude Hauge Thangstad and Fabian Zimmermann (IMR)

Sammendrag

Havforskningsinstituttet (HI) har siden 1984 gjennomført et årlig bunntråltokt med fokus på dypvannsreke (Pandalus borealis) i Skagerrak og Norskerenna, for å overvåke bestanden og samle inn data på geografisk fordeling, biomasse, mengde, størrelsesfordeling og rekruttering. I 2006 ble toktet flyttet fra mai/juni til januar/februar for å oppnå bedre estimater av 1-åringene (rekruttering) og gytebiomasse (SSB) (utrognshunner). Trålredskapet som benyttes, er en Campelen forskningstrål, som brukes på de fleste av HIs bunntråltokt, men med ekstra fløyt mellom giret og fiskelinen («Nordsjørigging») for å unngå leirhal på bløt bunn, særlig i Skagerrak. Bunntemperatur og salinitet blir målt med CTD på hver trålstasjon. Toktet har 111 faste trålstasjoner. I 2021 ble alle de 111 faste stasjonene trålt; alle trålhalene var av god kvalitet. I tillegg ble det trålt på åtte stasjoner på Fladengrunn. Rekebestanden på Fladengrunn har ikke blitt overvåket siden slutten av 1990-tallet.

Dypvannsreke, samt alle andre pandalide reker, fisk (både beinfisk og bruskfisk), sjøkreps (Nephrops norvegicus) og rødpølse (Parastichopus tremulus) i trålfangstene ble sortert til art. Totalvekt og mengde (antall) og individlengde (opptil 30 individer) ble registrert for hver art. Det ble tatt et bilde av all benthos i fangsten på hver stasjon. Prøver av dypvannsreke og sjøkreps ble sortert til kjønn og modningsstadier for hunner, og ryggskjoldlengden ble målt til nærmeste 0,1 mm ved hjelp av et elektronisk skyvelære. Lengde av fisk og rødpølse ble registrert i cm på et elektronisk målebrett. Det ble tatt individprøve (kjønn, individvekt, individlengde) av alle bruskfiskarter og skater. Individprøve inkludert modningsstadium ble tatt av følgende beinfiskarter: breiflabb (Lophius piscatorius), kveite (Hippoglossus hippoglossus), blålange (Molva dypterygia) og skolest (Coryphaenoides rupestris). Pigg og ryggvirvel av pigghå (Squalus acanthias), otolitter av skolest, blålange og kveite, og otolitter og fiskestang fra breiflabb ble tatt for aldersbestemmelse. Vevsprøver for genetiske bestandsanalyser ble samlet inn fra pigghå og havmus (Chimaera monstrosa). Både genetiske og gonadeprøver ble tatt av blålange. Mageprøver ble samlet inn fra følgende arter: sei (Pollachius virens), skolest, svarthå (Etmopterus spinax), vassild (Argentina silus), hyse (Melanogrammus aeglefinus) og kolmule (Micromesistius poutassou).

Biomasseindeksen for dypvannsreke for hele toktområdet var i 2021 på det samme lave nivået som i 2017–2020. Stadiene som dominerer bestanden i første kvartal er hanner, intersex og hunner med utrogn. I antall var fangstene dominert av 1-årige reker. Rekrutteringen av 1-åringer i 2021 var over medianen for tidsserien 2006–2021, og på samme nivå som den relativt gode årsklassen 2018.

1 - Toktplan

Toktplan 2021

2 - Toktbeskrivelse

Havforskningsinstituttet har siden 1984 gjennomført et årlig bunntråltokt etter dypvannsreke (Pandalus borealis) i Skagerrak og Norskerenna for å overvåke rekebestanden og samle inn data på utbredelse, mengde, biomasse, rekruttering og demografi.

Toktdataene består av 1) en tidsserie fra oktober/november 1984–2002 med F/F Michael Sars og Campelen-trål; 2) et punktestimat fra 2003 med F/F Håkon Mosby (F/F Michael Sars var tatt ut) og reketrålen 1420 (siden vinsjene på F/F Håkon Mosby det året ennå ikke var skiftet ut og ikke kunne håndtere Campelen-trålen); 3) starten på en potensiell ny tidsserie siden toktet i 2004 og 2005 ble gjennomført i mai/juni med F/F Håkon Mosby og Campelen-trålen; og 4) en ny tidsserie f.o.m. januar/februar 2006, med F/F Håkon Mosby t.o.m. 2016 og F/F Kristine Bonnevie f.o.m. 2017, og Campelen-trålen. Det mest ideelle tidspunktet å gjennomføre toktet på, er første kvartal da dette gir et godt estimat av 1-gruppen (rekrutteringsindeks) før den går inn i fisket, og gytebiomassen rett før klekking (Spawning Stock Biomass (SSB), dvs. hunner med utrogn). ICES sin rekearbeidsgruppe har anbefalt at toktet blir gjennomført i første kvartal (ICES 2005).

Toktet gir også et viktig datagrunnlag for bestandsovervåking av skolest (Coryphaenoides rupestris) (ICES 2020) og pigghå (Squalus acanthias). Toktet leverer videre data til en årlig oppdatert biomasseindeks på sjøkreps i norsk sone i Nordsjøen, og til overvåking av andre arter bruskfisk, samt blålange, breiflabb, kveite og vassild.

Året 2003 er ikke inkludert i datamaterialet da det ble brukt en annen type trål dette året. Året 2016 er også tatt ut av datamaterialet. Fangstene var svært små dette året. Trålen kan ikke ha fungert slik den skulle, sannsynligvis pga. problemer med forskjellig lengde på trålvaierne, noe som ble oppdaget i etterkant av reketoktet i 2016.

2.1 - Stratasystem, faste trålstasjoner, utstyr og trålgeometri

Opprinnelig hadde stratasystemet for reketoktet 17 strata (Figur 2.1). I forbindelse med utregning av bestandsindekser i StoX ble antallet strata redusert til ni (Figur 2.2). De faste trålstasjonene på toktet (Figur 2.1) er beskrevet i toktrapporten fra 2020 (Søvik og Thangstad 2021). Toktrapporten fra 2020 inneholder også en beskrivelse av trålutstyret og trålsensorene som benyttes. Rigging og bruk av Campelen-trålen er beskrevet i Prosedyre for rigging og bruk av Campelen 1800 på toktet «North Sea NOR shrimp NDSK cruise in Jan. – Nov.” (https://hi.dkhosting.no/Portal/1/?sid=4&mid=2426&nav=0&bs=4-2175-n,4-2180-n#rtcShowDoc-6004-0). Det var tre Campelen-tråler med på reketoktet i 2021 (Tabell 2.1).

På F/F Kristine Bonnevie har årlig gjennomsnittlig trålfart og dørspredning på reketoktet vært høyere enn før 2017, og årlig gjennomsnittlig trålhøyde mindre (Tabell 2.2). Dette kan muligens delvis forklares ved at F/F Kristine Bonnevie har tyngre tråldører (Thyborøn type 7a) enn F/F Håkon Mosby hadde (Waco), og at det på F/F Kristine Bonnevie tråles på fart fra symmetrisensor, mens det på F/F Håkon Mosby ble trålt på GPS-fart.

I 2021 ble riggingen av kuler på headlinen på alle Campelen-tråler på Havforskningsinstituttet forandret. Kulene ble montert direkte på headlinen istedenfor mellom headlinen og en toppline som tidligere år. Forsøk hadde vist at den tidligere riggingen var årsak til at enkelte bunntråler hadde både for lav og veldig varierende trålåpning. Den nye riggingen på Campelen-trålene med Nordsjørigging medførte ingen store forandringer i trålgeometri i 2021 sammenlignet med tidligere år på reketoktet (Tabell 2.2).

 

Svarte nummererte punkter angir de faste trålstasjonene og de grå nummererte punktene angir stasjoner som er kuttet. De 17 strataene er vist som innrammede felter (hvite kanter) og hvite nummer fra 1 til 17.
Figur 2.1: Faste trålstasjoner på reketoktet i Skagerrak og Norskerenna fordelt på det gamle stratasystemet med 17 strata. Stasjoner markert med grått har blitt kuttet fra stasjonslisten. Det innfelte kartet viser trålstasjoner på Fladengrunn som ble trålt i 1987–1994, og i 2021.

 

Faste trålstasjoner er her merket som hvite sirkler med tall inni. Strata er vist som innramede hvite eller gråskraverte felt, som er nummerert H1 til H9.
Figur 2.2: Faste trålstasjoner på reketoktet i Skagerrak og Norskerenna fordelt på det nye stratasystemet med ni strata.

 

Trålnummer Trawl number Bunngir Bottom gear Målt opp Measured Testet Tested Sjøtestingshal Sea testing hauls Ordinære hal Ordinary hauls
1639 KB før sjøtestingen ja 22001–22004 -
1618 KBR før sjøtestingen ja 22005–22012 22022–22141
1629 KB etter sjøtestingen ja 22013–22020 22021
Tabell 2.1: Campelen-tråler brukt under reketoktet i 2021: trålnummer, bunngirnummer, når de ble målt opp, og serienumre for sjøtestingshal og ordinære trålhal.

 

 

År Year Gode stasjoner Valid stations Slettede stasjoner Discarded stations Trålfart Trawl speed SD Dør-spredning Door spread SD Trålhøyde Trawl height SD
2006 43 2 2,5 0,4 53,0 4,5 4,6 0,7
2007 64 2 3,0 0,2 51,4 2,6 4,7 0,3
2008 73 0 3,1 0,4 47,0 1,7 4,4 0,3
2009 91 4 2,8 0,2 45,3 3,4 4,9 0,5
2010 95 3 2,9 0,2 46,9 2,2 4,9 0,3
2011 89 3 2,9 0,2 47,6 2,3 3,6 1,0
2012 63 2 2,9 0,2 47,5 3,0 4,6 0,4
2013 101 0 2,5 0,5 51,0 1,5 4,2 0,3
2014 69 0 2,2 0,5 48,7 1,3 4,1 0,2
2015 89 3 2,4 0,5 51,1 3,4 4,4 0,5
2016 105 1 2,5 0,5 49,7 2,4 5,0 0,6
2017 108 5 3,3 0,3 52,4 1,1 3,4 0,2
2018 108 1 3,3 0,2 55,0 1,9 3,8 0,7
2019 111 0 3,5 0,3 53,4 1,5 3,5 0,2
2020 105 1 3,1 0,3 53,7 3,0 3,6 0,7
2021 111 0 3,4 0,2 53,5 1,4 3,9 0,7

 

Tabell 2.2: Antall trålstasjoner med Campelen-trålen per år i 2006–2021, fordelt på stasjoner av god kvalitet og slettede stasjoner (sjøtestingshal og redskapsforsøk ikke medregnet), samt årlig gjennomsnittlig trålfart (med SD) (GPS-fart), gjennomsnittlig dørspredning (med SD) og gjennomsnittlig trålhøyde (med SD).

3 - Toktgjennomføring med stasjonsoversikt og seilingsrute

Toktet startet 07.01. Før avgang fra Nykirkekaien ble dybde- og dørsensorene kalibrert, tråldørene veid og to av tre Campelen-tråler målt opp (Underwood mfl. 2021). Nytt av året var at Fish2Data (F2D) ble tatt i bruk. Kl. 14:15 gikk vi til Skålevik for bunkring. Båten måtte returnere til Nykirkekaien etter bunkring pga. lekkasje i maskinen (smøreolje). Ny avgang ble satt til kl. 22:00. Corona-reglene om bord ble gjennomgått på møte før avgang, samt rutiner for labarbeid og oppgaver på årets tokt.

Sjøtestingen ble gjennomført på Vikingbanken rett vest av Bergen (Underwood mfl. 2021), med første hal kl. 09:00 den 08.01. For å utnytte et vindu med godt vær, gikk vi rett på ordinær tråling etter at sjøtestingen var unnagjort. Tre stasjoner ble tatt før uværet kom, og vi returnerte til Bergen for å sette av Melanie. Båten ble liggende ved Nykirkekaien 10.–11.01. og i Leirvik 12.01. I Bergen ble den siste trålen målt opp (1629), og det ble rettet noen feil i F2D. Trål 1618 ble montert med gir KBR1 på babord trommel for å brukes under den ordinære trålingen (Tabell 2.1). Vi bunkret på nytt ved Skålevik kl. 20:00 den 11.01.

Ordinær tråling startet igjen på fast stasjon 112, kl. 14:16, den 13.01. Været var rolig og fint i dagene fremover og trålingen gikk unna. Den 16.01 rusket det på, og hele natt til den 17.01. lå vi og bakket på været. De følgende dagene var det 1–2 m sjø. Vi gikk til Hanstholm om morgenen den 19.01 for det obligatoriske anløpet i dansk sone. Pga. corona-pandemien fikk ingen gå i land, og etter to timer gikk vi igjen. Den 20.01. avsluttet vi trålingen og gikk mot Kristiansand pga. dårlig vær. Det var skifte av en del av toktpersonellet den 21.01., og Trude tok over som toktleder. Båten ble liggende i Kristiansand til den 23.01. pga. uværet. Trålingen ble gjenopptatt i vest for å gjøre ferdig stasjonene der. Deretter gikk vi østover langs norskekysten, inn i svensk sone og til slutt inn i dansk sone. Det var 1–2 m bølger frem til den 25.01. og deretter nesten flatt hav. På stasjon 22116 rett nord for Grenen i dansk sone ble noen av ekkoloddene slått av, av hensyn til nise (Natura 2000 område utpekt for nise). Den 28.01. om kvelden var alle de faste stasjonene unnagjort, og F/F Kristine Bonnevie gikk mot Fladengrunn.

På 1990-tallet ble det trålt på Fladengrunn som en del av det årlige reketoktet. Dette opphørte da reketrålfisket der ble avviklet. Bifangst av reke i både det danske og norske øyepålfisket de siste årene tyder imidlertid på at rekebestanden på Fladengrunn har tatt seg opp. Undersøkelser av bestandsstatus av reke på Fladengrunn har stått på arbeidslisten til reketoktet i flere år, men tidsmangel og dårlig vær i Nordsjøen har ikke muliggjort dette. Den 29.–30.01. ble det trålt på åtte av de gamle faste stasjonene på Fladengrunn, under til dels mye sjø. Toktet ble avsluttet i Bergen den 31.01. Seilingsruten med trålte stasjoner er vist i Figur 3.1.

Under sjøtestingen røk streppingtauet opptil flere ganger. Dette skjedde ikke under selve toktet, men på stasjon 22043 ble det oppdaget at streppingtauet var 35 cm for langt (10,35 m), og tauet ble kortet inn til nøyaktig 10 m (f.o.m. stasjon 22044). Streppingtauet ble målt opp underveis for å finne ut om dette kunne være grunnen til stor dørspredning (52–56 m). En kule på giret falt av i sjøen før lunsj den 15.01. (observert i kjølvannet til båten). Kulen ble erstattet f.o.m. stasjon 22044. Ellers fungerte utstyret som det skulle, og det var ingen uhell eller riving. Trål 1618 ble benyttet under hele toktet, med unntak av den første ordinære trålstasjonen der trål 1629 ble benyttet (Tabell 2.1). Se også tråljournal i Vedlegg 1.

Alle de 111 faste trålstasjonene ble trålt. Tabell med alle stasjonsdata finnes i Vedlegg 2. Til sammen ble det tatt 141 trålhal hvorav de første 20 var sjøtesting av trål (serienr. 22001–22020) (Underwood mfl. 2021), 111 var faste trålstasjoner, to var trålposisjoner fra rekefisker (som skal tråles i fem år før de inngår i datagrunnlaget for utregning av indekser) (serienr. 22059 og 22062) og åtte var trålstasjoner på Fladengrunn (serienr. 22134–22141). Alle halene var av tilfredsstillende kvalitet. Dermed inngikk 111 faste stasjoner i datagrunnlaget for utregning av indekser.

Der det i det følgende blir referert til «håndboken» menes Håndbok for prøvetaking av fisk, krepsdyr og andre evertebrater, versjon 8.02 (elektronisk kvalitetshåndbok) (Mjanger mfl. 2021).

 

Stasjonsnett med trålstasjoner (svarte punkt), CTD-stasjoner (røde stjerner) og sjøtesting av trål (røde trekanter). Tynne doble streker viser grense for økonomisk sone og gravert felt viser statistisk område (rekestratum). Uthevede tekstbobler angir toktstart og toktslutt i Bergen, anløp for toktdeltakerskifte i Kristiansand, og bunkersanløp i Hanstholm (Dk).
Figur 3.1: Stasjonsnett (trål- og CTD-stasjoner) og selingsrute på reketoktet 2021.

 

4 - Sjøtesting

Den obligatoriske sjøtestingen ble i 2021 utvidet med en del ekstra hal (totalt 20 sjøtestingshal). Resultatene av disse undersøkelsene er gjort rede for i en egen toktrapport (Underwood mfl. 2021). På metodetoktet i 2020 (toktnummer 2020115) så man at Nordsjørigging på Campelen 1800 trålen muligens trenger mer wire ute sammenlignet med standard rigging for å holde god bunnkontakt og oppnå riktig helning av dørene (0–20° innover). Da kun et begrenset antall hal med Nordsjørigging ble gjennomført på metodetoktet, ble det bestemt at flere hal skulle gjennomføres på reketoktet i 2021 for å teste ut effekten av mer wire. Videre ble det gjennomført for få hal på metodetoktet til å fastsette tillatt intervall for dørspredning og trålhøyde for tråling med Nordsjørigging.

Konklusjonen etter sjøtestingen i 2021 var at det skal tråles med streppingtau 35 m over bunn. I dårlig vær bør det gis ut mer wire, mens det på bløt bunn i Skagerrak kan være nødvendig å ta inn wire for å unngå leirhal. Bunnkontakten skal justeres gjennom mengde wire, ikke fart, som skal holdes konstant på 3 knop (målt på speed sensor). Preliminære tillatte intervaller for hhv. dørspredning og trålhøyde ble bestemt til 47–53 m (± 3) og 4,0–4,6 m (± 0,5). De tidligere tillatte intervallene var 48–52 m og 3,5–4,2 m. Dette er kriterier som gjelder for sjøtesting på sandbunn. Geometrien kan avvike fra dette på bløtere bunn.

I 2021 begynte man med standardisert overvåking av trålgeometri og tauefart for alle hal, også de ordinære trålhalene. Dataene plottes rett etter at halet er avsluttet på broen, og hvis noe ser feil ut, må halet tas om igjen (Vedlegg 3). Data fra alle de ordinære halene viser at på reketoktet i 2021 lå trålhøyden som regel under det nye tillatte intervallet spesifisert for sjøtesting, mens dørspredningen som regel lå over (Figur 4.1).

 

Dørspredning (rød, angitt i meter), høyre akse fra 10 til 60 meter. Trålåpning (blå, angitt i meter), venstre akse fra 1 til 6 meter.
Figur 4.1: Dørspredning (rød) og trålhøyde (blå) for alle trålhal med Campelen-trål 1618 på reketoktet i 2021. Boksplottene viser median (horisontal linje) med 25 og 75 % kvartiler mens de vertikale linjene viser 1,5 × interkvartil range. De skraverte områdene viser de tidligere tillate intervallene (3,5–4,2 m for trålhøyde og 48–52 m for dørspredning).

 

5 - CTD

5.1 - Temperatur og salinitet

CTD-utstyret fungerte tilfredsstillende, og det ble tatt 121 CTD stasjoner på toktet i 2021 (Figurer 5.1, 5.2, 5.3). Totalt dyp dekket av CTD var 15 km.

Fra 2006 til 2021 har den årlige gjennomsnittlige bunntemperaturen i toktområdet variert mellom 7 og 8 °C, med unntak av 2011 som var et eksepsjonelt kaldt år, og 2016 som har vært det varmeste året i denne tidsperioden (Figur 5.4). Bunntemperaturmålinger i Skagerrak og Norskerenna i januar–februar i tidsperioden 2006–2021 har variert mellom 4,0 og 9,0 °C (Figur 5.5). I Norskerenna minket gjennomsnittlig bunntemperatur fra 2016 til 2019, for så å øke igjen til 2021, mens den gjennomsnittlige bunntemperaturen i Skagerrak har ligget på et mer stabilt nivå i den samme tidsperioden. I 2021 var den gjennomsnittlige bunntemperaturen i hhv. Norskerenna og Skagerrak 7,7 og 7,5 °C. Gjennomsnittlig salinitet ved bunn har variert mellom 34,9 og 35,3 ‰ i perioden 2006–2021.

På Fladengrunn i 2021 var gjennomsnittlig bunntemperatur 8,0 °C (SD: 0,1, range: 7,9–8,2 °C) (Figur 5.6), som er varmere enn Norskerenna i de fleste år (Figur 5.4).

 

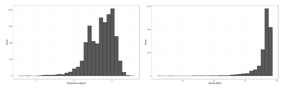
Temperatur (venstre histogram): x-aksen viser temperatur (grader celcius) og går fra 1 til 12 grader. Salinitet (høyre histogram): x-aksen visere salinitet (PSU) og går fra 20 til 36.
Figur 5.1: Histogrammer av temperatur (venstre.) og salinitet (høyre) målt på CTD-stasjonene på reketoktet i 2021.
X-aksene viser lengdegrad (0 til 12) og y-aksen viser breddegrad (57 til 61). Fargede punkter indikerer temperaturen på CTD-stasjonene. Skalaen går fra 9,5 grader (øverst, rødt) til 5 grader (nederst, blått)
Figur 5.2: Temperatur målt på CTD-stasjonene på reketoktet i 2021, på bunnen (venstre) og i overflaten (høyre).

 

X-aksene viser lengdegrad (0 til 12) og y-aksen viser breddegrad (57 til 61). Fargede punkter indikerer salinitet på CTD-stasjonene. Skalaen går fra 35 PSU (øverst, mørk fiolett) til 30 PSU (nederst, lyst blå))
Figur 5.3: Salinitet målt på CTD-stasjonene på reketoktet i 2021, på bunnen (til v.) og i overflaten.

 

 

X-aksen viser år og går fra 2006 til 2021. Y-aksen viser bunntemperatur (grader celcius) og får fra 4 til 9 grader. Norskerenna har i hovedsak noe høyere gjennomsnittstemperatur enn Skagerrak.
Figur 5.4: Gjennomsnittlig bunntemperatur (± SD) (ºC) per område fra CTD på reketoktet i 2006–2021. Norskerenna (lilla) og Skagerrak (grønn).

Kartutsnittene er fra 2006 til 2021. 2006 er øverst til venstre, det er tre kart på hver linje. Fargeskalaen er vist på kartutsnittet fra 2021 (helt nederst til venstre). Fargeskalaen går fra 9 grader (øverst, rødt) til 4 grader (nederst, blått).
Figur 5.5: Bunntemperatur fra CTD på reketoktet i 2006–2021.

Kartutsnittene viser Fladengrunnen og utsnittet med bunntemperatur dekker området rundt CTD stasjonene derfra (røde punkt). Fargeskalaen går fra 8,2 grader (øverst, rødt) til 7,9 grader (nederst, blått).
Figur 5.6: Bunntemperatur (ºC) på Fladengrunn i 2021 fra CTD på reketoktet. Røde punkter viser CTD-stasjoner.

5.2 - Tetthet i vannsøylen

X-aksene viser tetthet (sigma-t, kg/m3) og går fra 16 til 28. Y-aksen viser dybde (meter) og går fra 0 (øverst) til 100 (nederst). For breddegrad (N, øverste diagram) går fargeskalaen fra 60 (øverst, rødt) til 57,5 (nederst, blått). For lengdegrad (E, nederste diagram) går fargeskalaen fra 10,5 (øverst, rødt) til 0 (nederst, blått).
Figur 5.7: Tetthet i vannsøylen fra 0 til 100 m dyp målt på CTD-stasjonene på reketoktet i 2021, per breddegrad (øverst) og lengdegrad (nederst).

5.3 - Lys i vannsøylen

X-aksen viser lys i vannsøylen (PAR irradiance (µE/m2s) og går fra 0 til 250. Y-aksen viser dybde (meter) og går fra 0 (øverst) til 100 (nederst). Fargeskalane går fra 24 (øverst, rødt) til 0 (nederst, blått).
Figur 5.8: Lys i vannsøylen fra 0 til 100 m dyp målt på CTD-stasjonene på reketoktet i 2021, på forskjellige tider av døgnet.

 

6 - Biologiske data

6.1 - Bunndyp og fiskedyp

 

X-aksen viser gjennomsnittlig bunndyp (meter) på trålstasjonene og går fra 100 til 550 meter. Y-aksen viser antall og går fra 0 (nederst) til 14 (øverst)
Figur 6.1: Histogram av gjennomsnittlig bunndyp på 118 av totalt 121 bunntrålstasjoner på reketoktet i 2021 (faste stasjoner, to stasjoner fra rekefisker og stasjoner på Fladengrunn). Det manglet bunndyp for sluttposisjon på tre trålstasjoner.

 

X-aksen viser gjennomsnittlig fiskedyp (meter) på trålstasjonene og går fra 100 til 550 meter. Y-aksen viser antall og går fra 0 (nederst) til 18 (øverst)
Figur 6.2: Histogram av gjennomsnittlig fiskedyp på 116 av totalt 121 bunntrålstasjoner på reketoktet i 2021 (faste stasjoner, to stasjoner fra rekefisker og stasjoner på Fladengrunn). Det manglet fiskedyp for enten start- eller sluttposisjon på fem trålstasjoner.

 

6.2 - Fangstsammensetning

6.2.1 - Artsdiversitet

Totalt ble 95 forskjellige arter identifisert i fangstene (Figur 6.3).

 

X-aksen viser antall stasjoner og går fra 0 til 125. Y-aksen viser antall unike arter og går fra 20 (nederst) til 100 (øverst).
Figur 6.3: Kumulativt antall arter fanget og identifisert per antall stasjoner trålt på reketoktet i 2021 (totalt 121 bunntrålstasjoner: faste stasjoner, to stasjoner fra rekefisker og stasjoner på Fladengrunn).

6.2.2 - Fangstrater

Kolmule hadde høyest fangstrate i biomasse (Figur 6.4), mens dypvannsreke hadde høyest fangstrate i antall (Figur 6.5).

 

X-aksen viser de vanligste artene (høyest fangstrate i biomasse). Y-aksen viser den høyeste fangstraten (kilo per nautisk mil). De tre artene med høyeste fangstrate: kolmule, sild og dypvannsreke.
Figur 6.4: De 20 mest vanlige artene rangert etter den høyeste fangstraten i biomasse (kg/nm) i fangstene på reketoktet i 2021. Se Vedlegg 4 for norske, engelske og latinske navn på alle artene på toktet.

 

X-aksen viser de vanligste artene (høyest fangstrate i antall individ). Y-aksen viser den høyeste fangstraten (antall per nautisk mil). De tre artene med høyeste fangstrate: dypvannsreke, sild og makrell.
Figur 6.5: De 20 mest vanlige artene rangert etter den høyeste fangstraten i antall individer (antall/nm) i fangstene på reketoktet i 2021. Se Vedlegg 4 for norske, engelske og latinske navn på alle artene på toktet.

 


6.3 - Reker og andre evertebrater

6.3.1 - Lengde-vekt forhold og størrelsesfordeling av dypvannsreke og sjøkreps

 

Plottene viser lengde (cm) langs x-aksene og vekt (kg) langs y-aksen. For sjøkreps (venstre) går x-aksen fra 2 til 8 cm og y-aksen fra 0.0 til 0,33 kg. For dypvannsreke (høyre) går x-aksen fra 0,8 til 2,8 cm og y-aksen fra 0 til 0,02 kg.
Figur 6.6: Lengde-vekt forhold til sjøkreps (venstre) og dypvannsreke (høyre) fra reketoktet i 2021.

 

X-aksene viser lengde (cm) og y-aksen viser antall. For sjøkreps (venstre) går x-aksen fra 2 til 8 cm og y-aksen fra 0 til 30. For dypvannsreke (høyre) går x-aksen fra 0 til 3 cm og y-aksen fra 0 til 2000.Fargeskala for spesialstadium går fra 2 (øverst, mørk blå) til 9 (nederst, gul).
Figur 6.7: Lengdefordeling per spesialstadium for sjøkreps (venstre) og dypvannsreke (høyre) fra reketoktet i 2021. Rekestadier: 2 = hann; 3 = intersex; 4 = hoderogn, førstegangsgyter; 5 = utrogn; 6 = nylig klekket rogn; 7 = andregangsgyter, uten rogn; 8 = hoderogn, andregangsgyter; 9 = førstegangsgyter, uten rogn. Sjøkrepsstadier: 2 = hann; 3 = hvitgul gonade; 4–6 økende størrelse av grønn gonade; 7 = utrogn; 8 = øyerogn; 9 = nylig klekket rogn.

 


6.3.2 - Dypvannsreke (Pandalus borealis)

Dypvannsreke er utbredt i hele toktområdet, med unntak av det grunne stratumet 5/H2 i Norskerenna (100–200 m) (Figurer 2.1, 2.2), og ble tatt i trålen på stort sett alle stasjoner i 2021 (Figur 6.8). Tettheten i Norskerenna vest av Lindesnes er lav i forhold til tidligere år (Figur 6.9) (se også kart med utbredelse for årene 1984–2002 og 2004–2005 i Søvik og Thangstad 2021). De største rekeforekomstene i 2021 var helt sør i Norskerenna og øst i Skagerrak. De to største enkelthalene av reke, på 156 og 342 kg, ble imidlertid tatt på Fladengrunn (Figurer 6.8, 6.10).

Inputdata fra toktet til assessmentmodellen (Stock Synthesis) er totalt antall reker og lengdefordeling (antall reker per lengdegruppe) (Figur 6.11). Indeksen av totalt antall lå på same nivå i 2021 som i 2020 (Figur 6.12). Bestanden består stort sett av tre årsklasser (Figur 6.11, Tabell 6.1). I 2021 dominerte 1-åringene fangstene i antall på toktet (Figur 6.13). Stadiene som finnes i bestanden i første kvartal er stort sett hanner, intersex (overgangsstadium mellom hann og hunn) og hunner med utrogn (Figur 6.7). Rekrutteringen av 1-årige reker (2020-årsklassen) lå i 2021 over medianen for perioden 2006–2021 (Figur 6.14).

Det ble tatt to prøver à 5 kg dypvannsreker fra hhv. Norskerenna og Skagerrak til forskningsgruppe Fremmed- og smittestoff. Rekene analyseres for tungmetaller (som kvikksølv, kadmium, bly, arsen, kobber, sink) og miljøgifter: pcb, dioksiner, bromerte flammehemmere, pesticider og perfluorerte stoffer. Forurensning i reker (både i Barentshavet, langs kysten og i Nordsjøen) inngår som en indikator i overvåkingen tilknyttet forvaltningsplanene, og resultatene rapporteres på www.miljostatus.no.

 

Kartutsnitt over stasjoner der gule bobler representerer fangstrate (kilo per nautisk mil) av dypvannsreke. Størrelses-skala for fangstrate går fra 50 (øverst) til 150 (nederst).
Figur 6.8: Romlig fordeling av dypvannsreke (fangstrate (kg/nm) per trålstasjon) på reketoktet i 2021. Boblestørrelsen er proporsjonal med fangstraten.

 

Kartutsnittene er fra 2006 til 2021. 2006 er øverst til venstre, det er tre kart på hver linje. Skala for boblestørrelse (kilo per nautisk mil): Ytterste boble 101-200 og innerste boble < 10 kilo per nautisk mil. Rødt kryss representerer ingen fangst
Figur 6.9: Fordeling av dypvannsreke på reketoktet i 2006–2021 (indeksen fra 2016 måtte forkastes). Boblestørrelsen er proporsjonal med fangstraten.
Kartutsnittene fra Fladengrunnen. Skala for boblestørrelse (kilo per nautisk mil): Ytterste boblen 26 til 190, deretter 11-25, 6-10, 2-5 og den innerste boblen ≤ 1 kilo per nautisk mil. Kartet viser også bunnsubstrat: Lyse blått: mudder, gul-svart skravert: mudret sand og turkis-svart skravert: sandete mudder.
Figur 6.10: Fordeling av dypvannsreke på reketoktet i 2021 på Fladengrunn. Boblestørrelsen er proporsjonal med fangstraten.

Histogrammene er fra 2006 til 2021 (minus 2016), der 2006 er øverst til venstre og det er 4 histogram per rad. x-aksene viser lengde og går fra 0 til 30 mm. Y-aksene viser antall og går fra 0 til 2000. Norskerenna: lilla stolper og Skagerrak: grønne stolper.
Figur 6.11: Lengdefrekvensfordelinger av dypvannsreke per område (Norskerenna = ND, Skagerrak = SK) for alle reketokt, 2006–2021. Fordelingen fra 2016 ble forkastet.

 

X-aksen viser år og går fra 2006 til 2021. Y-aksen viser antall  og går fra 0 til 12500.
Figur 6.12: Bestandsindeks av antall dypvannsreke (med standardavvik), 2006–2021. Indeksen fra 2016 ble forkastet.

 

X-aksen viser år og går fra 1980 til 2021. Y-aksen viser antall (i 1000) og går fra 0 til 7500. Fargeskala for linjene (aldersgruppe) er som følger (fra øverst til nederst): 0-gruppe: fiolett, 1-gruppe: mørk blå, 2-gruppe: turkis, 3-gruppe: lys grønn; 4-gruppe: gul.
Figur 6.13: Årsklassestyrke for dypvannsreke (1000 individer) beregnet fra reketoktet for tidsperiodene 1984–2002, 2004–2005 og 2006–2021. 2016-tallene ble forkastet.

 

X-aksen viser år og går fra 2006 til 2021. Y-aksen viser rekrutteringsindeks (1-gruppe) og går fra 0 til 2250. Lilla linje (horisontal, median): lilla, Norskerenna: mørk blå, Skagerrak: turkis, Totalt: lys grønn.
Figur 6.14: Rekrutteringsindeks for dypvannsreke (antall 1-åringer i millioner) per område (Skagerrak og Norskerenna) og totalt, 2006–2021 (indeksen fra 2016 ble forkastet). Den horisontale linjen viser medianen for tidsperioden.
År Year 0-gruppe 0-group 1-gruppe 1-group 2-gruppe 2-group 3-gruppe 3-group 4-gruppe 4-group
1984 273 2 324 576 599  
1985 197 2 869 1 536 402  
1986 100 849 767 9  
1987 75 1 955 1 435 571  
1988 196 401 530 12  
1989 816 1 613 616    
1990 320 1 882 602 139  
1991 150 2 210 1 049 250  
1992 2 038 2 133 1 127 122  
1993 356 2 681 945 7  
1994 212 1 518 1 347 209  
1995 164 1 322 673 985  
1996 642 2 270 973 918  
1997 187 3 228 2 337 366  
1998 249 1 912 1 205    
1999 254 1 769 370 992  
2000 561 2 152 1 007 181  
2001 483 2 463 1 879    
2002 338 2 349 839 172  
2004   6 256 2 514    
2005   2 542 2 759 1 294  
2006   1 806 2 297 592  
2007   1 795 7 293 1 361  
2008   705 1 750 1 160 629
2009   425 1 485 1 087  
2010   155 1 345 256  
2011   330 779 559  
2012   830 696 103  
2013   663 1 029 309  
2014   2 261 774 360  
2015   346 2 125 491 268
2016          
2017   880 1117 361  
2018   757 1099 338  
2019   1020 629 270  
2020   497 1326 244  
2021   966 822 347  

Tabell 6.1: Årsklassestyrke for dypvannsreke (1000 individer) beregnet fra reketoktet for tidsperiodene 1984–2002, 2004–2005 og 2006–2021. 2016-tallene ble forkastet.

6.3.3 - Sjøkreps (Nephrops norvegicus)

Sjøkreps tas kun i små mengder i Campelen-trålen. I 2021 ble den tatt på 30 % av trålstasjonene i Skagerrak og Norskerenna (34 av 113 hal) (Figur 6.15), men nesten alle fangstene var på under 1 kg per trålt nm. Sjøkreps finnes i hele toktområdet og har gjennom årene blitt tatt på stort sett alle de faste trålstasjonene (Figur 6.16). Fangstene består for det meste av hanner (Figurer 6.7, 6.17). Sjøkreps tatt i trål på reketoktet i 2021 varierte i lengde fra 22 til 80 mm CL. De fleste hunnene var i stadium 5, dvs. hunner med modnende rogn. Noen få individer med utrogn ble også fanget (Figur 6.7).

En biomasseindeks fra toktet inngår i assessmentet av sjøkrepsbestanden i Norskerenna (ICES 2021). Biomasseindeksen viste høye verdier i 2006 og 2007 i både Skagerrak og Norskerenna (Figur 6.18). I Norskerenna falt indeksen til et lavere nivå i 2008 og har siden svingt rundt dette lavere nivået med den laveste verdien i tidsserien i 2021. I Skagerrak har indeksen svingt kraftig og samtidig minket gradvis, til det laveste nivået i tidsserien i 2021.

 

Kartutsnitt over stasjoner der gule bobler representerer fangstrate (kilo per nautisk mil) av sjøkreps. Størrelses-skala for fangstrate går fra 0,4 (øverst) til 1,6 (nederst).
Figur 6.15: Fordeling av sjøkreps på reketoktet i 2021. Størrelsen på boblene er proporsjonal med fangstraten (kg/nm).

 

 

Kartutsnittene er fra 2006 til 2021. 2006 er øverst til venstre, det er tre kart på hver linje. Grønne bobler er fra Campelen trål og røde bobler fra sjøkreps trål. Skala for boblestørrelse (kilo per nautisk mil): Øverste boble < 1, mellomste 1 til 5 og nederste > 5 kilo per nautisk mil. Kryss representerer ingen fangst.
Figur 6.16: Fordeling av sjøkreps for alle reketokt, 2006–2021 (indeksen fra 2016 måtte forkastes). Størrelsen på boblene er proporsjonal med fangstraten.

 

 

X-aksene viser lengde (mm) og går fra 20 til 80 mm. Y-aksene viser antall og går fra 0 til 23. Venstre diagram viser hunner og høyre viser hanner.
Figur 6.17: Lengdefrekvensfordeling av sjøkreps per kjønn i 2021, antall per lengdegruppe i mm (carapacelengde (CL)). Minstemålet i norsk farvann er 40 mm CL.

 

 

X-aksene viser år og går fra 2006 til 2022. Y-aksene viser biomasseindeks (i tonn) og går fra 0 til 1600 på venstre diagram (Norskerenna) og fra 0 til 400 på høyre diagram (Skagerrak).
Figur 6.18: Biomasseindeks (tonn) av sjøkreps (median med 25 og 75 persentiler) per område, Norskerenna (venstre) og Skagerrak (høyre), 2006–2021. Indeksen fra 2016 ble forkastet.

6.3.4 - Rødpølse (Parastichopus tremulus)

Alle sjøpølser (rødpølse) har blitt registrert med individlengde og individvekt siden 2010. Det største antallet rødpølser har hvert år blitt funnet i Norskerenna vest for Lindesnes (Figur 6.19, Tabell 6.2). Gjennomsnittlig individvekt i 2021 var 130,2 g.

 

Skala for boblestørrelse (fangstrate; kilo per nautisk mil): Minste boble til venstre: 0,0, midten: 0,1 og største til høyre: 0,2 kilo per nautiske mil.
Figur 6.19: Fordeling av rødpølse på reketoktet i 2021. Størrelsen på boblene er proporsjonal med fangstraten (kg/nm).
År Year Antall stasjoner med rødpølse No. of stations with sea cucumber Andel stasjoner med rødpølse Proportion of stations with sea cucumber Antall fra Skagerrak Numbers in Skagerrak Antall fra Norskerenna Numbers in the Norwegian Deep
2010 35 0.37 22

93

2011 28 0.31 16 48
2012 16 0.25 23 112
2013 26 0.26 10 40
2014 19 0.28 8 40
2015 22 0.25 30 80
2017 20 0.19 1 66
2018 24 0.22 7 33
2019 34 0.30 7 99
2020 18 0.17 0 38
2021 15 0.13 3 17
Tabell 6.2: Antall og andel stasjoner med registreringer av rødpølse, og antall rødpølser registrert i Skagerrak og Norskerenna, i 2010–2021 (2016-tallene ble forkastet), for stasjoner av god kvalitet.

6.3.5 - Andre rekearter

Andre pandalide rekearter enn dypvannsreken blir også registrert på toktet, og kan forveksles med denne (Søvik og Thangstad 2021). Vanligst er Atlantopandalus propinqvus. Denne ble antageligvis forvekslet med blomsterreke (Pandalus montagui) på tidligere tokt og ble registrert som denne arten. Blomsterreke (P. montagui) har sannsynligvis en grunnere utbredelse enn de dypene som det tråles på under reketoktet og sees sjeldent i trålfangstene. En del eksemplarer av Dichelopandalus bonnieri fås også i fangsten, særlig nord i Norskerenna.

Pontophilus spp, Pasiphea spp og Euphasiacider er også vanlige i trålfangstene, og blir registrert med totalvekt som henholdsvis mudderreker, glassreker og krill. Spirontocaris liljeborgi (kamuflasjereke) blir registrert til art. Disse rekeartene er ikke forvekslingsarter med dypvannsreke.

 

Kartutsnittene er plassert i rekkefølge med Atlantopandalus propinqvus øverst til venstre og Pontophilus spp nederst til høyre. Størrelsesskala på boblene er vist med to ulike bobler: til høyre: 50 og til venstre 100 kilo per nautisk mil.
Figur 6.20: Fordeling av Atlantopandalus propinqvus, Pandalus montagui (blomsterreke), Dichelopandalus bonnieri, Pasiphea spp (glassreker), Euphausiacea (krill) og Pontophilus spp (mudderreker) på reketoktet i 2021. Størrelsen på boblene er proporsjonal med fangstraten (kg/nm).

6.3.6 - Annen benthos

Andre evertebratarter enn de beskrevet over, blir foreløpig ikke opparbeidet og registrert på samme måte som de andre artene under reketoktet. F.o.m. 2017 har det blitt tatt samlebilder av all benthos på hver stasjon etter utsortering av all fisk og reker. Lene Buhl-Mortensen i forskningsgruppe Bunnsamfunn og kystinteraksjoner har i etterkant av toktet ut fra bildene estimert tallrikhet av utvalgte bunndyrsarter. Figur 6.21 viser gjennomsnittlig antall for 2017–2020.

 

Kartutsnittene er sortert alfabetisk (navnene i figurteksten) med Antho (Antho dicotoma, svamp) øverst til venstre og med Porifera (svamp) nederst til høyre. Fargeskalaen for sirklene (antall individer i gjennomsnitt): rosa: < 5, halvt svart og rosa: 5-10 og svarte: > 10 individer. Grå punkt: ingen registreringer.
Figur 6.21: Fordeling av sårbare habitater (VME) i Skagerrak og Norskerenna basert på bifangstdata i Campelen-trålen på reketokt i 2017–2020, gjennomsnittlig antall av individer per trålstasjon over år. Svamper: Antho, Geodia, Phakellia, Porifera; sjøfjær: Funiculina, Halipteris, Kophobelemnon, Pennatula; bambuskorall: Isidella; pigghud: Asteronyx.

6.4 - Fisk

All fisk i trålen ble veid (totalvekt) og lengdemålt (opptil 30 individer). Ved store fangster ble det tatt en delprøve av fangsten. Sjeldnere arter ble plukket ut fra hele fangsten. Dersom det var usikkerhet om artsbestemmelse av noen fiskearter, ble disse frosset ned for verifisering av fisketaksonomer ved Havforskningsinstituttet i Bergen. Videre ble stort sett alle blekksprutindivider frosset ned for senere artsidentifisering av taksonomer. Utbredelse og lengdefordeling av utvalgte fiskearter er vist i Figurene 6.22 og 6.23.

 

Kartutsnittene viser fangstrate for følgende arter (alfabetisk, fra øverst til venstre til nederst til høyre): blålange, breiflabb, firetrådet tangbrosme, gapeflyndre, havmus, hvitting, hågjeld og «NA». Størrelsesskala for boblene er vist med 6 bobler fra minst til størst der 0, 20 og 40 (kilo per nautiske mil) er på øverste rad i forklaringen og 10, 30 og 50 (kilo per nautiske mil) er på nederste rad i forklaringen.
Figur 6.22a: Fordeling av utvalgte fiskearter på reketoktet i 2021. Størrelsen på boblene er proporsjonal med fangstraten (kg/nm).

 

 

Kartutsnittene viser fangstrate for følgende arter (alfabetisk, fra øverst til venstre til nederst til høyre: kloskate, kolmule, kveite, lange, lyr, lysing, pigghå, sei og «NA». Størrelsesskala for boblene er vist med 6 bobler fra minst til størst der 0, 200 og 400 (kilo per nautiske mil) er på øverste rad i forklaringen og 100, 300 og 500 (kilo per nautiske mil) er på nederste rad i forklaringen.
Figur 6.22b: Fordeling av utvalgte fiskearter på reketoktet i 2021. Størrelsen på boblene er proporsjonal med fangstraten (kg/nm).

 

 

Kartutsnittene viser fangstrate for følgende arter (alfabetisk, fra øverst til venstre til nederst til høyre: skater, skolest, smørflyndre, svarthå, torsk, vassild, øyepål og «NA». Størrelsesskala for boblene er vist med 4 bobler fra minst til størst: 0, 30, 60 og 90 kilo per nautiske mil.
Figur 6.22c: Fordeling av utvalgte fiskearter på reketoktet i 2021. Størrelsen på boblene er proporsjonal med fangstraten (kg/nm).

 

 

Diagrammene viser lengdefordeling for følgende arter (alfabetisk fra øverst til venstre til nederst til høyre): blålange, breiflabb, firetrådet tangbrosme, gapeflyndre, havmus, hvitting, hyse, hågjeld, kloskate, kolmule, lyr, pigghå, sei, smørflyndre, torsk, vassild og øyepål).  X-aksene viser lengde (cm) og går fra 0 til 120 cm på alle diagram. Y-aksene varierer fra art til art.
Figur 6.23: Lengdefordelinger av utvalgte fiskearter fanget på reketoktet i 2021 (5 cm lengdegrupper).

 

 

6.4.1 - Beinfisk

I tillegg til den faste prøvetakingen for andre forskere ved Havforskningsinstituttet ble det i 2021 samlet inn en del andre prøver, til forskere både ved Havforskningsinstituttet og andre institutter (Vedlegg 5).

 

6.4.2 - Bruskfisk

Prøvetakingen av bruskfisk ble gjennomført i henhold til prøvetakingsprosedyren i Vedlegg 6. Av bruskfiskene er havmus (Chimaera monstrosa) og svarthå (Etmopterus spinax) de vanligste artene i fangstene på reketoktet. Vanligst av skateartene er kloskate (Amblyraja radiata). På toktet i 2021 ble det også fanget 13 hvitskater (Dipturus linteus), fem rundskater (Rajella fyllae), fire spisskater (D. oxyrinchus) og tre piggskater (Raja clavata). Det ble registrert én tom eggkapsel på toktet.

7 - Søppel

På reketoktet i 2021 inneholdt 57 ut av 121 trålfangster (ikke medregnet sjøtestingsstasjoner) søppel, for det meste plast (biter av tau, line, flak). To av disse stasjonene lå ute på Fladengrunn. Søppelbitene hadde en gjennomsnittsvekt på 36 gram, men de aller fleste veide mindre.

8 - Takk

En stor takk til skipper og mannskap på F/F Kristine Bonnevie for god forpleining og assistanse under prøvetakingen.

9 - Referanser

ICES. 2005. Report of the Pandalus assessment working group, 27 October – 5 November 2004. ICES C.M. 2005/ACFM:05, 74 pp.

ICES. 2020. ICES Advice 2020 – rng.27.3a – https://doi.org/10.17895/ices.advice.5801

ICES. 2021. Working Group on the Assessment of Demersal Stocks in the North Sea and Skagerrak (WGNSSK). ICES Scientific Reports. 3:66. 988 pp. https://doi.org/10.17895/ices.pub.8211

Mjanger, H., Svendsen, B.V., Fuglebakk, E., Gulbrandsen, M.L., Diaz, J., Johansen, G.O., Vollen, T., Bruck, S.A. og Gundersen, S. 2021. Håndbok for prøvetaking av fisk, krepsdyr og andre evertebrater. Versjon 8.02 (elektronisk kvalitetshåndbok). 143 s. Ref.id.: FOU.SPD.HB-01 DOK05957.pdf. https://hi.dkhosting.no/docs/pub/DOK05957.pdf

Søvik, G. og Thangstad, T.H. 2021. Toktrapport. Reketokt i Norskerenna og Skagerrak januar 2020. Toktrapport/Havforskningsinstituttet/ISSN 15036294/Nr. 3–2021. 55 pp. https://www.hi.no/hi/publikasjoner/toktrapporter/2021/reketokt-i-norskerenna-og-skagerrak

Underwood, M., Rosen, S. and Engås, A. 2021. Sea-testing of the Campelen 1800 trawl with North Sea rigging, cruise 2021601 07-09.01.2021. Toktrapport/ Havforskningsinstituttet/ ISSN 15036294/Nr. 7–2021. 8 pp. https://www.hi.no/hi/publikasjoner/toktrapporter/2021/sea-testing-of-the-campelen-1800-trawl-toktrapport-nr-7--2021

10 - Vedlegg

10.1 - Vedlegg 1. Tråljournal og trålspesifikasjoner

Bildet viser tråljournal som ramser opp forskjellig teknisk informasjon for trålen, slik som navn, type, avstand tråldører, lengde strappetau og trålhøyde. Ta gjerne kontakt for detailjer.


10.2 - Vedlegg 2. Stasjonsdata

Dato Date Serienr. Serial no. Type Type Lengde Latitude Bredde Longitude Bunndyp Bottom depth Distance Distance Dørspr. Door spread Trålhøyde Trawl height Temp. Temp. Salthold. Salinity Dypv.reke Northern shrimp
08.01.2021 22001 sjøtest 60.0433 3.1895 172 0.828 53.35 3.06      
08.01.2021 22002 sjøtest 60.0338 3.1930 172 0.924 54.03 3.13      
08.01.2021 22003 sjøtest 60.0398 3.1887 171 0.822 53.75 3.00      
08.01.2021 22004 sjøtest 60.0310 3.1940 174 0.913 55.56 2.88      
08.01.2021 22005 sjøtest 60.0302 3.1943 174 0.823 51.19 4.25      
08.01.2021 22006 sjøtest 60.0263 3.1958 174 0.906 51.88 4.19      
08.01.2021 22007 sjøtest 60.0253 3.1965 176 0.780 49.00 4.41      
08.01.2021 22008 sjøtest 60.0280 3.1967 175 1.058 52.31 4.19      
08.01.2021 22009 sjøtest 60.0232 3.1963 176 0.809 52.19 4.19      
08.01.2021 22010 sjøtest 60.0422 3.1870 171 0.906 50.72 9.38      
08.01.2021 22011 sjøtest 60.0455 3.1870 172 0.957 51.81 3.88      
08.01.2021 22012 sjøtest 60.0010 3.1947 173 1.088 53.50 4.06      
08.01.2021 22013 sjøtest 59.9997 3.1955 174 0.746 52.10 4.38      
08.01.2021 22014 sjøtest 59.9987 3.1942 174 0.983 51.81 4.41      
08.01.2021 22015 sjøtest 59.9975 3.1933 171 0.764 51.85 8.97      
08.01.2021 22016 sjøtest 59.9948 3.1935 168 0.910 52.06 8.82      
09.01.2021 22017 sjøtest 60.0232 3.1970 176 0.904 51.31 4.13      
09.01.2021 22018 sjøtest 60.0008 3.1947 172 0.987 53.31 8.60      
09.01.2021 22019 sjøtest 59.9975 3.1938 170 0.856 52.69 6.16      
09.01.2021 22020 sjøtest 60.0272 3.1960 174 1.107 54.06 8.38      
09.01.2021 22021 trål 59.9210 4.1793 283 1.763 55.56 3.75 7.74 35.16 0.119
09.01.2021 22022 trål 59.7735 4.3255 280 1.828 55.13 3.88 7.78 35.17 0.027
09.01.2021 22023 trål 59.6973 4.1397 268 1.531 52.16 4.25 7.73 35.16 0.114
13.01.2021 22024 trål 59.6572 3.9622 276 1.766 54.28 3.81 7.80 35.15 0.051
13.01.2021 22025 trål 59.4352 3.9047 277 1.565 52.63 4.25 7.67 35.16 0.137
13.01.2021 22026 trål 59.2873 3.7680 264 1.750 54.75 3.72 7.73 35.15 0.025
13.01.2021 22027 trål 59.2657 4.1603 280 1.727 54.81 3.75 7.68 35.16 0.459
14.01.2021 22028 trål 59.2892 4.5405 271 1.662 52.94 3.81 7.79 35.15 0.010
14.01.2021 22029 trål 59.1740 4.9723 208 1.756 54.31 3.75 7.86 35.13 2.702
14.01.2021 22030 trål 58.9688 5.1728 251 1.733 55.31 3.69 7.61 35.15 8.073
14.01.2021 22031 trål 58.9415 4.9155 239 1.818 56.50 3.69 7.72 35.16 1.650
14.01.2021 22032 trål 58.9380 4.5093 253 1.815 54.56 3.81 7.96 35.15 0.188
14.01.2021 22033 trål 58.8058 4.1250 284 1.658 52.75 3.75 7.66 35.16 0.957
14.01.2021 22034 trål 58.7115 3.8812 270 1.769 52.31 4.25 7.83 35.16 0.674
14.01.2021 22035 trål 58.5712 3.9895 277 1.696 52.88 3.88 7.71 35.16 2.613
14.01.2021 22036 trål 58.3512 4.1258 171 1.880 51.75 4.13 8.26 35.11 0.000
15.01.2021 22037 trål 58.4107 4.3132 293 1.282 54.88 3.78 7.37 35.15 0.761
15.01.2021 22038 trål 58.5410 4.6480 270 1.688 51.94 3.88 7.53 35.16 0.448
15.01.2021 22039 trål 58.7097 4.9402 207 1.731 52.25 9.38 7.64 35.15 0.001
15.01.2021 22040 trål 58.6140 5.2333 247 1.730 53.32 4.06 7.64 35.16 17.746
15.01.2021 22041 trål 58.6025 5.4027 256 1.761 55.44 3.81 7.72 35.15 12.808
15.01.2021 22042 trål 58.5755 5.5543 236 1.551 51.63 4.19 7.76 35.16 6.324
15.01.2021 22043 trål 58.3542 5.4390 330 1.690 52.75 4.19 7.31 35.15 0.127
15.01.2021 22044 trål 58.3567 5.2732 321 1.633 53.81 3.81 7.49 35.16 0.547
15.01.2021 22045 trål 58.2987 5.0567 307 1.822 54.75 3.69 7.34 35.15 0.911
15.01.2021 22046 trål 58.2255 4.7368 284 1.764 53.47 3.81 7.33 35.15 0.863
15.01.2021 22047 trål 58.1800 4.6613 226 1.833 52.56 3.88 8.42 35.16 1.759
16.01.2021 22048 trål 58.0913 4.6788 135 1.877 51.35 4.00 8.07 35.10 0.000
16.01.2021 22049 trål 58.3082 5.7512 358 1.639 55.25 3.69 7.46 35.15 0.002
16.01.2021 22050 trål 58.3095 5.9805 216 1.740 51.69 4.00 7.71 35.15 0.026
16.01.2021 22051 trål 58.1865 6.3258 325 1.771 54.91 3.75 7.38 35.15 0.971
16.01.2021 22052 trål 58.1692 6.5257 256 1.746 53.47 4.00 7.58 35.15 4.462
17.01.2021 22053 trål 57.9590 6.3898 337 1.361 52.25 4.03 7.05 35.14 0.564
17.01.2021 22054 trål 58.0568 5.9760 317 1.775 52.69 3.81 7.15 35.14 0.580
17.01.2021 22055 trål 58.0665 5.4925 275 1.667 54.31 3.75 7.44 35.15 4.913
17.01.2021 22056 trål 57.9752 5.3958 184 1.654 51.63 1.00 8.38 35.10 0.000
17.01.2021 22057 trål 57.8680 5.6430 175 1.736 53.50 3.94 8.78 35.17 0.000
17.01.2021 22058 trål 57.9315 5.9307 273 1.670 53.60 3.75 7.43 35.15 15.569
18.01.2021 22059 trål 57.8610 5.8745 231 1.738 53.63 3.75 8.30 35.12 16.703
18.01.2021 22060 trål 57.7797 5.8097 162 1.793 53.19 4.00 8.60 35.12 0.020
18.01.2021 22061 trål 57.6735 5.8802 141 1.681 50.03 4.25 8.14 35.09 0.001
18.01.2021 22062 trål 57.7223 6.1065 225 1.690 51.94 4.06 8.62 35.14 31.587
18.01.2021 22063 trål 57.6527 6.3070 157 1.705 53.38 3.75 8.23 35.08 0.194
18.01.2021 22064 trål 57.6802 6.4277 263 1.820 51.69 4.00 7.56 35.16 16.185
18.01.2021 22065 trål 57.7065 6.6950 304 1.805 54.38 3.75 7.18 35.15 7.158
18.01.2021 22066 trål 57.6423 6.7710 311 1.810 55.44 3.69 6.90 35.13 5.514
18.01.2021 22067 trål 57.5263 7.0063 211 1.798 54.60 3.75 7.80 35.16 13.154
18.01.2021 22068 trål 57.4573 7.1560 131 1.399 50.63 4.25 7.28 34.96 0.052
18.01.2021 22069 trål 57.4400 7.4470 117 1.934 52.38 7.81 7.28 34.92 0.000
19.01.2021 22070 trål 57.5188 7.4787 222 1.754 53.38 3.81 8.32 35.10 14.253
19.01.2021 22071 trål 57.5930 7.5620 295 1.660 55.19 3.69 7.26 35.15 6.023
19.01.2021 22072 trål 57.6050 8.5498 122 1.463 51.25 4.00 7.06 34.89 0.169
19.01.2021 22073 trål 57.4870 8.1678 126 1.604 52.19 4.00 7.19 34.89 0.001
19.01.2021 22074 trål 57.5007 8.0527 154 1.640 51.31 4.00 7.29 34.92 0.003
19.01.2021 22075 trål 57.5903 7.9010 238 1.716 54.50 3.69 8.39 35.14 16.725
19.01.2021 22076 trål 57.6477 7.8757 322 1.653 54.03 3.72 6.83 35.13 0.169
19.01.2021 22077 trål 57.7107 7.9212 425 1.694 53.56 3.63 6.99 35.14 0.013
20.01.2021 22078 trål 57.6845 7.4853 357 1.683 56.06 3.63 7.08 35.15 0.065
20.01.2021 22079 trål 57.8348 7.3953 465 1.485 50.25 4.00 6.93 35.13 0.002
23.01.2021 22080 trål 57.9012 7.3985 381 1.695 55.66 3.75 7.87 35.16 0.412
23.01.2021 22081 trål 57.9457 7.6808 292 1.785 53.78 3.81 8.14 35.15 8.717
23.01.2021 22082 trål 57.8708 7.7007 495 1.768 53.75 3.75 7.86 35.15 0.047
23.01.2021 22083 trål 58.0438 8.2797 272 1.118 51.44 4.06 8.95 34.84 9.535
23.01.2021 22084 trål 58.0277 8.3285 390 1.739 51.94 4.13 8.70 35.05 0.258
24.01.2021 22085 trål 57.9388 8.5387 502 1.798 53.81 3.75 6.80 35.13 0.013
24.01.2021 22086 trål 58.3408 8.9467 300 1.347 54.29 3.75 8.68 34.99 13.215
24.01.2021 22087 trål 58.2988 8.8102 232 1.905 54.13 3.75 8.83 34.89 19.685
24.01.2021 22088 trål 58.4807 9.0910 240 1.369 50.88 4.44 8.61 34.63 1.002
24.01.2021 22089 trål 58.3833 9.4240 524 1.666 53.56 3.75 6.94 35.13 0.016
24.01.2021 22090 trål 58.4597 9.1763 377 1.576 54.28 3.69 8.37 35.15 0.161
24.01.2021 22091 trål 58.5657 9.2745 284 1.369 52.31 4.06 8.23 34.77 6.136
24.01.2021 22092 trål 58.6202 9.3710 263 1.785 56.53 3.75 8.56 34.93 6.672
25.01.2021 22093 trål 58.7043 9.6860 425 1.489 55.38 3.63 7.55 35.16 0.018
25.01.2021 22094 trål 58.7810 9.7642 398 1.816 54.38 3.81 7.45 35.15 0.897
25.01.2021 22095 trål 58.8328 9.7912 380 1.711 53.56 3.88 7.61 35.15 2.572
25.01.2021 22096 trål 58.9120 9.7750 117 1.864 52.97 4.00 9.06 34.59 2.462
25.01.2021 22097 trål 58.9252 9.8187 258 1.553 53.94 3.81 7.91 35.13 10.567
25.01.2021 22098 trål 58.8687 10.0543 200 1.123 54.63 3.91 7.42 34.49 12.502
25.01.2021 22099 trål 58.8603 10.3148 181 1.674 54.06 3.88 7.24 34.59 18.399
25.01.2021 22100 trål 58.9075 10.4563 167 1.771 53.78 4.00 6.95 34.47 20.271
25.01.2021 22101 trål 58.8250 10.3195 156 1.605 54.10 3.75 6.99 34.57 1.535
26.01.2021 22102 trål 58.7352 10.2200 220 1.663 54.38 3.75 8.59 35.14 16.746
26.01.2021 22103 trål 58.6240 10.2867 286 1.554 54.88 3.72 7.68 35.16 6.100
26.01.2021 22104 trål 58.6400 10.4677 158 1.626 53.91 3.69 7.14 34.72 1.071
26.01.2021 22105 trål 58.5267 10.6157 156 1.634 53.31 3.75 7.11 34.72 0.835
26.01.2021 22106 trål 58.4912 10.5158 226 1.726 53.44 3.75 7.86 35.02 32.735
26.01.2021 22107 trål 58.4052 10.5477 267 1.689 53.29 3.63 7.52 35.12 10.071
26.01.2021 22108 trål 58.3913 10.6858 189 1.861 54.10 3.75 7.53 34.91 0.876
26.01.2021 22109 trål 58.3233 10.6173 248 1.553 53.97 3.75 7.60 34.99 20.026
26.01.2021 22110 trål 58.3337 10.3822 365 1.653 54.82 3.63 6.97 35.14 0.364
26.01.2021 22111 trål 58.2385 10.6565 236 1.796 53.82 3.75 7.45 34.96 16.481
26.01.2021 22112 trål 58.1847 10.6303 246 1.729 53.00 3.88 7.52 34.97 7.513
27.01.2021 22113 trål 58.0540 10.8682 189 1.913 54.41 3.81 7.11 34.75 0.915
27.01.2021 22114 trål 58.0593 10.9437 158 1.682 51.63 4.44 7.13 34.73 1.257
27.01.2021 22115 trål 57.9972 10.7120   1.598 53.97 3.75 7.11 34.79 7.447
27.01.2021 22116 trål 58.1130 10.4250   1.649 51.19 4.31 7.09 34.83 3.047
27.01.2021 22117 trål 58.1712 10.3058   1.754 54.25 3.75 7.10 34.87 5.562
27.01.2021 22118 trål 58.3887 9.9203 492 1.722 53.35 3.63 6.86 35.13 0.092
27.01.2021 22119 trål 58.0895 10.0730 155 1.524 53.69 3.81 7.16 34.81 0.496
27.01.2021 22120 trål 58.0890 9.8997 232 1.778 54.69 3.69 7.16 34.89 1.496
27.01.2021 22121 trål 58.1251 9.8772 330 1.997 54.03 3.75 7.30 35.14 12.268
27.01.2021 22122 trål 58.0088 9.6008 266 1.726 54.75 3.69 7.39 35.15 1.234
28.01.2021 22123 trål 57.9024 9.4433 143 1.854 54.25 3.81 7.16 34.74 0.100
28.01.2021 22124 trål 57.9745 9.5493 205 1.635 53.13 3.75 7.52 35.01 0.456
28.01.2021 22125 trål 57.9419 9.3115 258 1.604 54.63 3.69 7.39 35.12 1.197
28.01.2021 22126 trål 57.9480 9.2914 287 1.636 54.91 3.75 7.49 35.15 33.949
28.01.2021 22127 trål 57.9274 9.0013 491 1.640 53.22 3.88 7.33 35.15 0.055
28.01.2021 22128 trål 57.9037 9.0722 365 1.506 53.69 3.69 7.45 35.16 11.514
28.01.2021 22129 trål 57.8670 9.1192 219 1.458 51.06 4.00 7.59 35.13 4.931
28.01.2021 22130 trål 57.8161 9.0318 175 1.464 50.88 3.78 7.02 34.87 0.117
28.01.2021 22131 trål 57.7550 8.9661 133 1.673 51.88 3.88 6.99 34.81 0.044
28.01.2021 22132 trål 57.6502 8.5333 167 1.691 52.19 4.06 7.27 34.99 0.075
28.01.2021 22133 trål 57.7260 8.4417 290 1.463 54.63 3.69 7.39 35.15 20.506
29.01.2021 22134 Fladen 58.1345 1.3077 128 1.742 53.38 3.81 8.15 35.10 0.018
30.01.2021 22135 Fladen 58.0489 0.8007 151 1.678 53.28 3.75 8.18 35.08 18.666
30.01.2021 22136 Fladen 58.2283 0.6086 151 1.786 55.25 3.50 8.04 35.11 191.585
30.01.2021 22137 Fladen 58.2731 0.3841 145 1.111 54.13 3.63 8.04 35.12 141.134
30.01.2021 22138 Fladen 58.6131 0.4835 139 1.327 53.44 3.78 7.95 35.12 0.497
30.01.2021 22139 Fladen 58.6936 0.2075 150 1.741 53.44 4.38 7.98 35.14 0.755
30.01.2021 22140 Fladen 58.8463 0.1347 128 1.746 53.38 3.88 8.03 35.18 0.225
30.01.2021 22141 Fladen 58.8748 0.5250 149 1.886 53.41 3.81 7.89 35.13 26.686
Tabell 10.1: Stasjonsdata for alle trålstasjonene i 2021, med informasjon om dato, serienummer, type stasjon, lengde- og breddegrad og dyp for startposisjon,, distanse trålt (nm), dørspredning (m), trålhøyde (m), bunntemperatur (°C), salinitet ved bunn (‰) og fangstrate av dypvannsreke (kg/nm trålt).

10.3 - Vedlegg 3. Girrapport

Girrapport for bunntrålstasjon 26.

Bildet viser girrapport og lister forskjellig teknisk informasjon. Ta gjerne kontakt for detaljer.

Ulike parametre i girrapporten fra Stasjon 26. Ta gjerne kontakt for detaljer.

 

Ulike parametre i girrapporten fra Stasjon 26. Ta gjerne kontakt for detaljer.
Figur 10.1: Scanmar-data fra trålstasjon 26: dørdyp (m), dørspredning (m), trålåpning (m), tråløye klaring (m), trålfart (m/s) and vingespredning (m) (ikke logget for dette halet). Skraverte felt viser tidligere tillatte intervall for sjøtestingshal for dørspredning (48–52 m), trålåpning (3,5–4,2 m) og trålfart (1,4–1,6 m/s).

10.4 - Vedlegg 4. Oversikt over arter og taxa

Norsk navn Engelsk navn Latinsk navn Vekt Antall Frekvens
Øyepål Norway pout Trisopterus esmarkii 2702.7 200 705 0.99
Dypvannsreke Northern shrimp Pandalus borealis 951.0 289 647 0.96
Svarthå Velvet belly Etmopterus spinax 632.8 3 920 0.92
Glassreker Glass shrimps Pasiphaea spp 122.3   0.88
Gapeflyndre Long rough dab Hippoglossoides platessoides 74.1 2 605 0.87
Laksesild Pearlside Maurolicus muelleri 25.5 12 345 0.83
Mudderreker   Pontophilus spp 258.9 1 0.79
Havmus Rabbit fish Chimarea monstrosa 573.4 1 286 0.75
Kolmule Blue whiting Micromesistius poutassou 6285.0 149 805 0.75
    Atlantopandalus propinqvus 275.6   0.69
Vassild Greater argentine Argentina silus 907.7 6 311 0.69
Hvitting Whiting Merlangius merlangus 794.9 4 644 0.66
Lysing Hake Merluccius merluccius 165.4 297 0.65
Sei Saithe Pollachius virens 676.3 410 0.61
Smørflyndre Witch Glyptocephalus cynoglossus 119.2 1 561 0.60
Makrell Mackerel Scomber scombrus 92.6 1 595 0.58
Sild Herring Clupea harengus 755.8 13 035 0.58
Torsk Cod Gadus morhua 187.4 340 0.57
Hyse Haddock Melanogrammus aeglefinus 918.4 5 911 0.50
Ansjos anchovy Engraulis encrasicolus 7.9 430 0.44
Sølvtorsk Silvery pout Gadiculus argenteus 11.1 628 0.43
Firetrådet tangbrosme Fourbeard rockling Enchelyopus cimbrius 11.8 123 0.39
Sypike Poor-cod Trisopterus minutus 12.0 300 0.37
Hestmakrell Horse mackerel Trachurus trachurus 11.6 250 0.36
Pigghå Spiny dogfish Squalus acanthias 78.4 110 0.34
Glassmaneter Moon jelly Aurelia spp 26.7   0.33
Kloskate Thorny skate Amblyraja radiata 32.4 74 0.33
Sjøkreps Norway lobster Nephrops norvegicus 7.6 135 0.30
    Dichelopandalus bonnieri 3.8   0.29
Blåkjeft Blue-mouth redfish Helicolenus dactylopterus 15.7 134 0.28
Brisling Sprat Sprattus sprattus 5.3 452 0.27
Blomsterreke Pink shrimp Pandalus montagui 10.3   0.27
Rødspette European plaice Pleuronectes platessa 15.2 127 0.23
Slimål Hagfish Myxine glutinosa 1.3 61 0.23
Maneter Medusae Hydroidolina 6.2   0.20
Sørlig ålebrosme Sars' wolf eel Lycenchelys sarsii 0.3 119 0.19
Lange Ling Molva molva 46.8 27 0.19
Sandflyndre Dab Limanda limanda 2.4 43 0.18
Lusuer Norway redfish Sebastes viviparus 44.3 104 0.17
Hågjel Blackmouthed dogfish Galeus melastomus 16.0 51 0.14
Knurr Gurnard Eutrigla gurnardus 1.6 29 0.14
Skjellbrosme Greater forkbeard Phycis blennoides 12.4 22 0.14
Rødpølse Sea cucumber Parastichopus tremulus 2.3 20 0.13
Vanlig ålebrosme Vahl's eelpout Lycodes gracilis 1.0 64 0.13
Breiflabb Anglerfish Lophius piscatorius 73.3 15 0.12
Lomre Lemon sole Microstomus kitt 4.5 48 0.12
Lysprikkfisker   Myctophiformes 0.2 21 0.12
Mulle Red mullet Mullus surmuletus 2.3 17 0.11
    Spirontocaris spp. 0.1   0.10
Krill   Euphausiacea 1.5   0.09
Hvitskate Sailray Dipturus linteus 85.4 13 0.08
Rognkjeks Lumpsucker Cyclopterus lumpus 20.3 9 0.08
Skolest Roundnose grenadier Coryphaenoides rupestris 129.6 364 0.08
Kutlingfamilien Gobies Gobiidae 0.0 19 0.07
Blålange Blue ling Molva dypterygia 15.2 10 0.06
Lyr Pollack Pollachius pollachius 14.2 10 0.06
Flekket fløyfisk Spotted dragonet Callionymus maculatus 0.1 9 0.04
Kveite Atlantic halibut Hippoglossus hippoglossus 77.6 4 0.04
Stor lysprikkfisk Lancet fish Notoscopelus kroyeri 0.2 8 0.04
Mudderkutling Norway goby Pomatoschistus norvegicus 0.0 8 0.03
Rundskate Round ray Rajella fyllae 0.7 5 0.03
Småsil Lesser sand eel Ammodytes tobianus 0.0 9 0.03
Småvar Norwegian topknot Phrynorhombus norvegicus 0.0 5 0.03
Spisskate Longnosed skate Dipturus oxyrinchus 18.0 4 0.03
Gråsteinbit Atlantic catfish Anarhichas lupus 0.6 7 0.02
Havniøye Sea lamprey Petromyzon marinus 0.1 2 0.02
Nordlig lysprikkfisk Glacier lanternfish Benthosema glaciale 2.1 524 0.02
Piggskate Thornback ray Raja clavata 14.3 3 0.02
Sardin Sardine Sardina pilchardus 0.2 2 0.02
Brennmanet Lion's mane Cyanea capillata 0.4   0.01
Brosme Tusk Brosme brosme 3.9 1 0.01
Fjesing Greater weever Trachinus draco 0.1 1 0.01
Glassvar Megrim Lepidorhombus whiffiagonis 0.3 1 0.01
Krokulke Hookhorn sculpin Artediellus atlanticus 0.0 3 0.01
Laksetobisfamilien Barracudinas Paralepididae 0.0 1 0.01
Panserulke Pogge Agonus cataphractus 0.0 1 0.01
Perifylla   Periphylla periphylla 0.4   0.01
Vanlig ulke Shorthorn sculpin Myoxocephalus scorpius 0.1 1 0.01
Tabell 10.2: Oversikt over alle artene og artsgruppene som ble tatt i trålen, med norsk, engelsk og latinsk navn, samt total vekt, totalt antall fanget og andelen trålhal som arten forekom i.

10.5 - Vedlegg 5. Bestillinger fra andre interne og eksterne forskere i 2021

Art Species Data Data Prøver Samples Institutt Institute Formål Purpose
Faste bestillinger      
Breiflabb Lengde, vekt, kjønn, modning Otolitter, fiskestang Havforskningen Bestands-rådgivning
Kveite Lengde, vekt, kjønn, modning Otolitter Havforskningen Bestands-rådgivning
Blålange Lengde, vekt, kjønn, modning Otolitter, gonadeprøve fra store hunner, genetikkprøve Havforskningen Bestands-rådgivning
Vassild Lengde, vekt, kjønn, modning, spesialstadium Otolitter Havforskningen Bestands-rådgivning
Skolest Lengde, vekt, kjønn, modning Otolitter Havforskningen Bestands-rådgivning
Pigghå Lengde, vekt, kjønn, spesialstadium Andre pigg + virvel (aldersprøve), genetikkprøve Havforskningen Bestands-rådgivning
Annen bruskfisk Data per art varierer fra år til år Prøver per art varierer fra år til år Havforskningen Bestands-rådgivning
Dypvannsreke Stasjonsdata 5 kg fra hhv. Skagerrak og Norskerenna Havforskningen Innhold av miljøgifter
Benthos   Et bilde per trålstasjon av all benthos minus reker Havforskningen Utbredelse av sårbare habitater
Bestillinger i 2021      
Pigghå   Bilder av pigghå i trålfangsten WWF  
Pigghå   Begge leverlappene fra 2 individer Havforskningen  
Dypvannsreke Stasjonsdata 25 reker (halvparten store og små) fra utvalgte stasjoner Havforskningen Partikkel-påvirkning
Fisk   30 fisk per art, fordelt ut over surveyområdet Havforskningen Referanse-materiale for bestemmelse av otolitter i selmager
Skolest, svarthå, vassild, sei, hyse, kolmule Stasjonsdata Mageprøver (5 per hal, lengdeintervall 15-50 cm) SLU, Sverige Inputdata til rekepredator-modell
Tabell 10.3: Bestillinger fra andre interne og eksterne forskere i 2021, med oversikt over art, type data og/eller prøver samlet inn, institutt/organisasjon og formål.

10.6 - Vedlegg 6. Instruks for innsamling av bruskfiskprøver i 2021

Bildet viser tabell med instruks for innsamling av bruksfiskprøver. For haier var det egen instruks for pigghå (individprøve (lengde, vekt og kjønn), spesialstadium, aldersprøve og genitikkprøve), svarthå, hågjeld og andre haiarter (individprøve).  For havmus: individprøve, spesialstadium, genetikk og mageprøve (kun 10-20 individer). For skater: individprøve. Eggkapsler: registrere tilstedeværelse.