Gå til hovedinnhold

Report on evaluation of harvest rules for Barents Sea capelin in subareas 1 and 2 (northeast arctic), excluding division 2.a west of 5°W - full report

Author(s): John Tyler Trochta , Bjarte Bogstad (IMR), Yury Kovalev (VNIRO-PINRO), Dmitry Prozorkevich (VNIRO-PINRO), Georg Skaret , Sindre Vatnehol and Daniel Howell (IMR)

1 - Summary

Following a recent benchmark for capelin (Mallotus villosus) in the Barents Sea (ICES 2023), the Joint Norwegian-Russian Fisheries Commission requested that alternative configurations of the existing capelin harvesting rule be reassessed. The existing rule has been in place since 1991 and states that TAC shall not exceed the value corresponding to a 95% probability of allowing 200,000 tonnes to spawn. The 200,000 tonnes limit was previously interpreted as the biological reference point Blim. During the benchmark however, Blim was differentiated from the limit used in the harvest control rule, now called Bescapement, which is now the biomass that must escape to spawn each spring with 95% probability. Blim was reassigned 68,000 tonnes and 200,000 tonnes was assigned to Bescapement at the benchmark. Three sets of harvest rules were requested to be evaluated: the first is the existing rule, which specifies Bescapement=200,000 tonnes; the second rule encompasses several alternative Bescapement values (100,000, 150,000, and 400,000 tonnes); and the third rule includes several fixed minimum quota values to be paired with the Bescapement values of the first two rules.

Evaluation of these rules is to be done by computing quantities reflecting the long-term consequences to both capelin stock and fishing, and include average SSB and quota, probabilities of SSB falling below Blim and Bescapement, and the number of years in which fishing is not opened. To compute these quantities, a management strategy evaluation (MSE) was conducted by simulating alternative population and fishing trajectories resulting from the feedbacks between and uncertainties in stock monitoring, the current stock assessment (a stochastic forecast), a harvest rule, and capelin productivity (e.g. recruitment and mortality). Results based on historical capelin stock dynamics and assuming that the survey assumptions used in the current assessment model are correct (i.e. unbiased index of total capelin biomass, correct estimation of survey uncertainty) showed all Bescapement values without fixed minimum quotas to have risk less than 5% of falling below Blim (68,000 tonnes). Including any fixed minimum quotas resulted in high risk of falling below Blim and reduced future recruitment to the extent of stock collapse. Evaluations based on biased survey indices (i.e. overestimating true stock biomass by 20% or 10%) showed risk greater than 5% of falling below Blim with Bescapement=100,000 tonnes, while comparatively low risk was seen with the other Bescapement values. Evaluations assuming incorrect estimates of survey precision also resulted in a Bescapement=100,000 tonnes to show risk greater than 5% of falling below Blim. In both cases, the use of Bescapement=100,000 tonnes would not meet the ICES precautionary criterion (maximum risk < 5%) to the examined range of scenarios regarding key survey uncertainties, while 150,000 and 200,000 tonnes only failed this criterion if the survey has an average upward bias of 20%. Additionally, high probabilities of fishery closures resulted from Bescapement=400,000 tonnes. Overall, values of 150,000 and 200,000 tonnes for Bescapement were shown to be both robust against several key uncertainties and viable for the fishery. It should be noted that capelin are a key forage fish in the Barents Sea ecosystem, although this analysis has not attempted to quantify the risk to other species (including cod) of any decline in the capelin stock. When selecting a rule, managers should also consider the risks and tradeoffs with other consequences and potential impacts on the ecosystem.

The approach and results of this evaluation of harvest rules for Barents sea capelin is also summarised in an advice sheet (Trochta et al. 2024).

2 - Request for re-evaluation of the management plan

2.1 - Discussion of harvesting rules and method revision in the period 2021-2023

According to the protocol from a meeting of the Joint Norwegian-Russian Fisheries Commission in autumn 2020, the capelin harvesting rule was to be reassessed in 2021. The existing rule has been in place since 1991 and states that TAC shall not exceed the value corresponding to a 95% probability of allowing 200,000 tonnes (previously interpreted as Blim) to spawn. On the Norwegian side, a meeting was held between representatives from industry, research and management on the harvesting rules for the joint stocks between Norway and Russia (Fiskeridirektoratet 2021), and it was agreed to wait for evaluation of the harvesting rule for capelin until ICES had carried out a method revision (benchmark) for this stock. At that time, the benchmark was expected to be completed in the summer of 2022.

ICES held a benchmark meeting for capelin (both Icelandic and Barents Sea stocks) in Reykjavik in November 2022 (ICES 2023). A key outcome from this benchmark is that Blim was adjusted down from 200,000 tonnes to 68,000 tonnes. The 95% probability of exceeding Blim stipulation in the existing harvesting rule follows the precautionary principle and should be carried forward in the new rule, but must be reworded so that 200,000 tonnes reflects the biomass that will be given the opportunity to spawn (Bescapement) rather than reflecting Blim.

Russian scientists did not participate in this meeting due to ICES’ suspension of Russian scientists from participation in ICES meetings. But in the March 2023 meeting between Norwegian and Russian researchers, information was given about ICES’ method revision and the following is set out in the protocol:

The Norwegian party provided information on the ICES benchmarks on capelin and Greenland halibut, which were held in Reykjavik in November 2022 (capelin) and February 2023 (Greenland halibut), without the participation of Russian experts. The benchmark reports are currently published. The results of the benchmarks should be further reviewed by the Joint Russian-Norwegian Arctic Fisheries Working Group (JRN-AFWG), or at special meetings of Norwegian and Russian scientists. Such reviews should be carried out before assessments and advice for these stocks for 2024 are made. Afterwards recommendations about changes in the current capelin harvest control rule and appropriate other recommendations for both stocks will be given to the JRNFC.

During the spring 2023 meeting of the JRN-AFWG, however, there was no time to discuss ICES’ method revision for capelin, but the Russian researchers have been informed about this afterwards.

This approach was confirmed at the 53rd session of JNRFC, where Appendix 10, section 9, gives a timeline for the work and states that:

The results of the work should be presented to the 54th session of JNRFC. The aim is to provide the necessary background for JNRFC to agree on possible revisions of the HCR for capelin and a new HCR for shrimp as a first priority.

2.2 - Harvest rules that should be evaluated more closely

A request for Norwegian and Russian researchers (JRN-AFWG) to evaluate alternative harvesting rules and their consequences was sent to the Norwegian Ministry of Fisheries from the Fisheries Directorate after a joint meeting in 2023 with the following participants:

Norges Fiskarlag

Sjømat Norge

Pelagisk Forening

Sametinget

Norges Sildesalgslag

Norges Råfisklag

Norges Kystfiskarlag (not participating)

Sjømatbedriftene

Fiskebåt

Bivdu

Nærings og Fiskeridepartementet

Havforskningsinstituttet

Fiskeridirektoratet

The specific harvesting rules recommended in the request were:

Harvest rule A Existing harvesting rule which states that with a 95% probability one must allow at least 200,000 tonnes (Bescapement) to have the opportunity to spawn. The ecosystem survey in autumn is used as a basis.

Harvest rule B As A, but where one with the same probability varies Bescapement (400,000, 150,000 , and 100,000 tonnes).

Harvest rule C Like A and B, but where a minimum quota of 25,000, 50,000 or 75,000 tonnes is given each year anyway.

Consequences that would like to be clarified Consequences of the harvesting rules were requested in a long-term (e.g. 30 years) perspective of the following parameters: - Average spawning biomass - Average quota - Probability of spawning biomass falling below Blim and Bescapement - Number of years in which fishing is not opened

The researchers were to deliver their analyzes ahead of next year’s (2024) quota consultation.

It was also recommended that JRN-AFWG calculate the quota recommendations from 1990 to the present with the old and new (revised) method, i.e. with the method that was used before the benchmark and the one that was used after, to see the effect that a harvesting rule with a lower Blim would have on quota development.

In January 2024, Norwegian and Russian scientists agreed on using the list of harvest control rules given above, in the evaluation.

3 - HCR evaluation framework

3.1 - Overview

To evaluate HCRs A-C, a management strategy evaluation (MSE) was conducted (Punt et al. 2016). MSE is a closed-loop simulation where all feedbacks between management, fishing, and fish biology are captured by and linked through mathematical models (see Fig. 1). These models include an:

  1. operating model (OM), which projects the ‘true’ population biology and fishing on the population;

  2. observation model, which generates survey and catch-based by sampling the true population abundances with simulated error (can also be considered part of the OM; Punt et al. 2016);

  3. management model (or management procedure), which takes as input the generated ‘data’ from the observation model and runs the actual stock assessment with forecast, the HCR, and calculation of advice (e.g. total allowable catch, TAC);

  4. implementation model, which converts the management advice (TAC) to the actual catch taken from the ‘true’ population, with or without error (also be considered part of the OM; Punt et al. 2016).

The catches calculated from the implementation model feed back into the operating model, and this model sequence is repeated again over a number of years.

There is another loop outside the annual loop described above that iterates over different possible conditions to simulate alternative population and fishing pressure trajectories. Possible conditions are defined by various uncertainties including different starting population abundances, population parameter values, random variation in productivity processes (e.g. recruitment), and random error in monitoring processes (e.g. annual acoustic surveys). Each candidate management procedure is then compared using performance metrics, which are summary statistics measuring how well each management procedure meets management objectives, particularly minimizing risk, across the various uncertainties.

In addition to the uncertainties listed above, different OMs (including observation and implementation models) should be used to define scenarios against which HCRs are tested. Alternative OMs may include “worst-case” scenarios that are configured based on expert judgment and additional/ancillary data or information. Testing HCRs with these type scenarios is also known as robustness testing. For each OM, the MSE loop is re-run with a different set of iterations and performance statistics re-calculated. Generally, there is one baseline OM used as the most ‘realistic’ scenario and against which all possible management strategies are tested, while alternative OMs represent other plausible or pessimistic scenarios used to test a subset of the original set Of HCRs (e.g. those that show sufficiently low risk of falling below Blim with the baseline OM).

A MSE using a hindcast (i.e. projecting over historical years and previously observed conditions) is conducted for capelin, instead of using future projections. In other words, this MSE addresses the question of how management would have performed using today’s assessment method and assumptions (bifrost) along with each proposed HCR. Importantly, testing the proposed HCRs against historical capelin dynamics avoids strict model assumptions about future NEA cod management, fishing, and productivity variability. Additionally, the historical period defined for the hindcast (1987-2022) spans a wide range of observed ecological conditions (including cod dynamics), and multiple years of low capelin productivity.

One special feature of the capelin assessment and escapement HCR is that the assessment model directly estimates the probability of the stock falling below Blim each year and tunes the catches to keep this at the 5% level. Any mis-specification of the assessment model will therefore result in the risk level deviating from the desired 5% level. In order to protect against this, a “buffer” is needed in the Bescapement value to ensure that the risk of falling below Blim remains below 5%. Evaluating the appropriate size of this buffer is therefore a key task of the MSE.

3.2 - Baseline operating model (OM1)

3.2.1 - Model summary

OM1 is based on the assumptions and equations of the current capelin assessment model (also referred to as bifrost). The capelin assessment is a stochastic forecast of the autumn acoustic survey index, which is assumed an unbiased estimate of absolute stock size (ICES 2023). The forecast projects the maturing component of the estimated stock size from the time the survey is completed (assumed 1 October) to the end of the spawning period (assumed 1 April) (Fig. 1). Length-based maturation probabilities are used to partition the immature and maturing stock components at the start of the forecast period. Total mortality is split by different values in different months of the forecast period: a constant baseline natural mortality rate acts on the maturing stock from 1 October to 1 January, while predation by immature cod and fishery catches are the only removals from the maturing stock during 1 January to 1 April. No somatic growth is modelled during the forecast and the empirical weights determined from the autumn survey are used to compute maturing biomass in the forecast. Annual stock assessments are conducted independently, meaning the effects of previous years’ catches and cod predation on the current capelin stock are not explicitly modelled, nor do these have a direct impact on the assessment.

 

Figure 1: Schematic figure illustrating the MSE loop (a) and baseline operating model (OM1 - b) used for capelin in the Barents Sea. The structure of OM1 was adapted from the current capelin assessment model.
Figure 1: Schematic figure illustrating the MSE loop (a) and baseline operating model (OM1 - b) used for capelin in the Barents Sea. The structure of OM1 was adapted from the current capelin assessment model.

 

Stochasticity is accounted for in the forecast by resampling inputs from a statistical distribution using estimates of variance (i.e. survey CVs) or directly from a time series of values. The forecast model thus integrates across various sources of uncertainty to produce a distribution of maturing capelin biomass available to spawn in the spring. Which inputs are resampled and how are described further below.

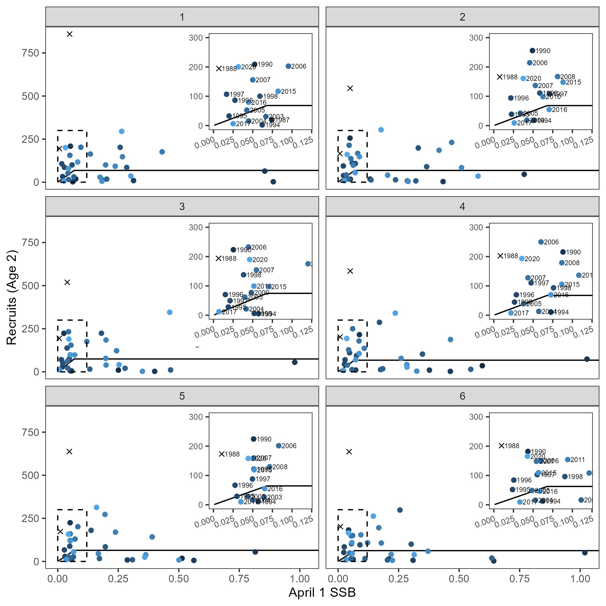
Two key new features of OM1 differentiate it from the current capelin assessment model. The first is the inclusion of additional equations projecting total mortality between 1 April and 1 October to allow a continuous multi-year projection (Fig. 1). The second is the parameterization of a stock-recruitment relationship with error to represent reduced recruitment below Blim, as clearly observed in the historical spawning biomass and recruitment estimates (Fig. 2).

 

Figure 2: Barents Sea capelin recruitment (in billions age 1) as a function of estimated spawning-stock biomass (SSB) on April 1. April 1 SSB and recruitment estimates are taken from the assessment summary for capelin provided in the 2023 IMR-PINRO report series (https://www.hi.no/hi/nettrapporter/imr-pinro-en-2023-8). The inset panel to the upper right is the SSB-R plotted with both axes truncated.
Figure 2: Barents Sea capelin recruitment (in billions age 1) as a function of estimated spawning-stock biomass (SSB) on April 1. April 1 SSB and recruitment estimates are taken from the assessment summary for capelin provided in the 2023 IMR-PINRO report series (https://www.hi.no/hi/nettrapporter/imr-pinro-en-2023-8). The inset panel to the upper right is the SSB-R plotted with both axes truncated.

 

Together, these features allow an interannual feedback of fishing on future capelin productivity. Accounting for this feedback is necessary for understanding the consequences of a fixed minimum quota rule (HCR C); specifically, there are multiple years where capelin SSB has dropped below Blim without fishing in the past, and a fixed minimum quota in these years would imply recruitment would have been reduced further than seen in the historical data.

3.2.2 - OM conditioning

Conditioning refers to the process of determining and specifying OM parameters, usually by finding parameters that reconstruct historical population estimates (e.g. statistically fitting a model to historical data). For OM1, parameter uncertainty is generated in a manner consistent with the stochastic components of bifrost for the years 1987-2022. The general steps for conditioning OM1 are as follows:

  1. Randomly resample or generate biological parameters (annual autumn capelin biomass, annual recruitment, annual proportions of maturing capelin, Type III functional response parameters for cod consumption, etc.) to create many different sets of possible parameter combinations.

  2. For each parameter set, estimate the baseline natural mortality rate by fitting OM1 to the (resampled) total autumn capelin biomass (assuming a normal likelihood).

  3. Filter out implausible parameter sets defined as a parameter set resulting in zero capelin spawning biomass by 1 April in at least one year.

  4. For each plausible parameter set, fit a hockey-stick stock recruitment function to the (resampled) recruitment and spring SSB pairs projected by OM1 with the estimated baseline natural mortality.

Each plausible parameter set with stock-recruitment parameters defined each iteration to be simulated in the MSE.

In step 1, random values of autumn capelin abundance, biomass, and the proportion maturing incorporate age-specific uncertainty in numbers-at-age via survey CVs, which are themselves density-dependent and imprecise. Year-specific CV estimates for 2004-2021 have shown declining relationships with acoustic estimates for each age (ICES 2023). To account for density-dependence in CV in the years prior to 2004, log-linear relationships were fitted to the available CV estimates for each age (Fig. 3).

 

Figure 3: Data of and log-linear model fits to sampling variance expressed as CV of abundance as a function of abundance at age for the survey years 2004-2021. These data are the same as those shown in Figure 8 of BS3 in WKCAPELIN (2023).
Figure 3: Data of and log-linear model fits to sampling variance expressed as CV of abundance as a function of abundance at age for the survey years 2004-2021. These data are the same as those shown in Figure 8 of BS3 in WKCAPELIN (2023).

 

Age-specific CVs for years outside of 2004-2021 are predicted from the age-specific log-linear relationship using the survey estimated abundances (Fig. 3). As these relationships show large residual error, random year- and age-specific CVs are generated from a normal distribution with a mean equal to the CVs predicted from the log-linear relationships and standard deviations of the residual variability displayed in Fig. 3. These CVs are then used to specify the standard deviations along with means equal to survey estimated abundances of the normal distributions from which random autumn numbers-at-age are generated for each iterations. The iteration-specific random numbers-at-age are used along with the historical maturity-at-age and average weights-at-age to calculate the abundance and biomass of maturing and immature capelin.

In step 2, estimating baseline natural mortality is a decision based on several issues encountered during OM development and conditioning. In the capelin assessment, baseline mortality is resampled from a time series of survey-derived mortality rates, specifically calculated as the log-difference between the autumn survey estimates of age 3 and age 2 immatures in the previous year (ICES 2023). The distribution of these survey mortalities is very wide and resampling from them to condition the OM (i.e. as part of step 1 instead, skipping estimation in step 2) resulted in a large number of parameters sets that produced zero spring SSB. Estimating natural mortality made OM conditioning efficient and provided natural mortality rates internally consistent with all other resampled parameters. Additionally, the survey mortalities are confounded with survey catchability effects, as evident by negative values in some years, and are thus biased estimates of a constant baseline natural mortality in OM1 (in contrast to an annual assessment, where negative mortalities produce a more precautionary forecast).

3.2.3 - Biological parameters

3.2.3.1 - Recruitment

Annual recruitment for the years 1987-2022 was randomly generated from a Uniform distribution bounded by the 95% confidence intervals of a normal distribution with mean equal to the age 2 acoustic estimate and standard deviation corresponding to the year-specific survey CV for age 2 (ICES 2023). Age 2 was chosen as the recruitment age despite age 1 survey estimates being available because OM1 poorly reconstructed historical autumn survey estimates with age 1 recruitment (specifically overestimating years with declining capelin abundance). There is also greater consistency between age 2 and age 3 in the subsequent year than between age 1 and age 2, which supports better reliability of age 2 estimates (ICES 2023). Furthermore, capelin start maturing at age 2 while catches of age 2 capelin in winter are negligible, thus capelin enter the fishery at age 3.

As mentioned in step 4 of OM conditioning, a hockey-stick stock-recruitment relationship is fit to the corresponding age 2 recruitment and spring SSB pairs (SR) from OM1 (example fits are shown in Fig. 4).

 

Figure 4: Hockey-stick model fits to SSB-recruitment pairs from six iterations generated with OM conditioning. SSB is in million tonnes and recruitment in billions of age 2 individuals. Breakpoints are fixed at SSB=68,000 tonnes. An inset panel within each subplot displays a closer view of the SSB-recruitment pairs with year labels near the origin. The ‘X’ data points are not fit with the hockey-stick model.
Figure 4: Hockey-stick model fits to SSB-recruitment pairs from six iterations generated with OM conditioning. SSB is in million tonnes and recruitment in billions of age 2 individuals. Breakpoints are fixed at SSB=68,000 tonnes. An inset panel within each subplot displays a closer view of the SSB-recruitment pairs with year labels near the origin. The ‘X’ data points are not fit with the hockey-stick model.

 

Cohorts from 1988 and 1989 are ignored in model fitting as both are outliers; the 1989 cohort is a maximum in the recruitment time series and much larger than the second largest cohort, while the 1988 cohort coincides with the minimum SSB in the historical time series and is very large given the very low SSB. The hockey-stick form was chosen to avoid strong parameter co-dependencies inherent to other forms and allow an explicit breakpoint, which replicates the pattern seen in the historical data. Because each iteration will have a unique corresponding set of SR pairs, a unique breakpoint for each is implied. However, model selection between two models fit to each set of SR pairs (one where the breakpoint and asymptotic recruitment are both estimated, and one where the breakpoint is fixed to the current Blim of 68,000 tonnes while asymptotic recruitment is estimated) showed that approximately 88% of iterations had delta AIC < 2 between the two models. In other words, a simpler model with fixed Blim=68,000 tonnes produced a fit essentially identical to that from the model with an estimated Blim. Thus, Blim is fixed at 68,000 tonnes in all iterations from OM1, which is also consistent with results from the most recent benchmark (ICES 2023).

Recruitment errors are calculated as the log-differences between the historical recruitment and fitted hockey-stick model. The year-specific log-errors are used directly in the hindcast MSE to maintain the historic pattern of recruitment variability. Two large cohorts, 1988 and 1989, occurred with SSB lower than 68,000 tonnes in most iterations, resulting in very large log-error values (>3; these years are denoted with an ‘X’ in Fig. 4). These cohorts have also been noted as outliers previously (ICES 2023). To avoid potential upscaling of these cohorts in the hindcast MSE (e.g. if an HCR results in a larger 1988 or 1989 SSB than historically estimated) leading to unrealistic capelin abundances, an additional check is included in the SR model: hindcast MSE recruitment is fixed to the historical value if the 1 April SSB exceeds the historical value, and otherwise uses the SR model prediction with year-specific log-error if 1 April SSB is below historical SSB. This rule is applied to all years with log-errors greater than three, not just 1988 and 1989, and has a similar motivation and effect to bounding rules for simulating recruitment error in other MSE’s (e.g. North Sea stocks MSEs; ICES (2019b)). In this way the impacts of these large year classes is included in the simulations, but we avoid potential errors arising from upscaling these recruitments to levels not observed in the historical data.

3.2.3.2 - Maturity

Annual proportions of maturing capelin of the total age 2+ abundance are used to compute maturing biomass and SSB on 1 April in OM1. These proportions maturing were calculated using the historical age-specific maturities and capelin acoustic estimates. Age-specific maturities were predicted from annual age-length keys with a length-based threshold for maturity (>14 cm) (ICES 2023). The age-specific autumn acoustic estimates also have survey CVs for each age, which were used to propagate uncertainty to the annual proportions maturing used in OM1 (i.e. annual maturity varies between iterations). Age-specific abundances were randomly generated from a Uniform distribution bounded by the 95% confidence intervals of a normal distribution with mean equal to the age-specific acoustic estimate and standard deviation corresponding to the age-specific survey CV.

3.2.3.3 - Weights

Annual average weights for maturing and immature capelin were computed from historical survey data for use in OM1. Average weights of maturing and immature capelin are computed as the estimated maturing biomass divided by the estimated maturing abundance (of age 2+) and the acoustic immature biomass divided by the immature abundance, respectively. Average weights are fixed across iterations.

3.2.3.4 - Baseline natural mortality

Baseline natural mortality values were estimated in the conditioning procedure and varied by iteration as described above (Step 2). This is a constant natural mortality rate that applies to immature capelin year-round and maturing capelin only between 1 October and 1 January of the next year.

3.2.3.5 - Cod predation

Consumed biomass (tonnes) of capelin by cod is calculated from Holling’s type III functional response model. The type III function computes monthly consumption during January-March using a shorter time step, with each month divided in 6 time steps, in order to account for the high mortality from fishing and predation during this period. The inputs to the type III function are the capelin biomass available for consumption, which is only the maturing stock (i.e. 0% immatures are consumed), and the ‘predation ability’ of cod at the start of each month. Cod predation ability is defined as the portion of the immature NEA cod biomass that overlaps with maturing capelin, assumed equal to the proportion cod not located in the Svalbard area, and is “suitable” to eat capelin based on age. Age-specific ‘suitability’ of cod is a fraction that approximates the proportion of cod that can eat capelin when they are available based on age-dependent factors such as gape limitations and prey preference. Cod biomass is simultaneously projected through the consumption period accounting for both natural and fishing mortality. Historical annual estimates of cod biomass and total mortality are taken from the most recent stock assessment (Howell, Daniel et al. 2023). The specific equations, parameter definitions and values are the same as those used in the stock assessment within this MSE (see subsection Stock assessment: bifrost) and have been previously detailed in the benchmark report (BS7, ICES 2023).

Several components of the cod consumption model are resampled to propagate uncertainty in this source of capelin mortality within OM1. These components include:

  • Annual cod numbers-at-age, which are randomly generated from a Uniform distribution bounded by the 95% confidence intervals of a normal distributions with means equal to the age-specific assessment estimates and standard deviations corresponding to the age-specific assessment standard errors (output by SAM).

  • Type III function parameters (Chalf and Cmax), which were resampled from parameter vectors previously generated from the parameter variance-covariance matrix derived from the originally fitted model (BS7, ICES 2023).

  • Annual age-specific fractions of cod located in the Svalbard area (and assumed to not overlap with maturing capelin during winter), which were resampled from a partial time series of estimates (2014-2022 and 1983-1992; BS5 and BS7, ICES 2023).

3.2.3.6 - Fishing mortality

Catches are directly removed from the maturing capelin biomass (i.e. fishing selectivity is equal to maturation probabilities). Estimates of historical monthly catches by both Norwegian and Russian fleets were used for conditioning the OM so that the resulting parameter sets are conditional on the actual catch taken. For the hindcast MSE, annual quotas are removed from the maturing capelin stock in February and March only, with 30% taken in February and 70% taken in March. This 30/70 split matches the assumption used in the capelin assessment to calculate the quota and corresponds with the current timing of the capelin fishery. All of the results presented here assume that future fishing will occur only in these two months, and with approximately the same monthly split. Should fishing occur in other months of the year then a new MSE analysis would be required.

Annual fishing and predation mortalities are also estimated. Annual instantaneous total mortality rates for maturing capelin between January and March are iteratively estimated during OM conditioning (i.e. rates producing the sum of biomass caught and consumed by cod removed from the maturing stock). Fishing and predation mortality rates are then calculated based on the fractions caught and consumed, respectively, of the total capelin removed from the maturing stock during January-March. These mortality rates are estimated for reporting purposes, and are not, for example, used to compute fishing advice as the capelin assessment directly projects the quota without a target fishing mortality rate.

3.3 - Observation model

The observation model generates several ‘observed’ quantities with error for input into the capelin assessment, bifrost, within the management model. The main observed quantity is the unbiased autumn acoustic index, which is calculated as the sum of the total age 2+ abundance on 1 October from the OM and year-specific errors random generated from a normal distribution with the historical year-specific survey CVs (Fig. 5 ).

 

Figure 5: Annual distributions of observation errors for October 1 maturing biomass. All generated errors are shown (grey points) as well as five sample trajectories of observation error over the projection period (colored lines).
Figure 5: Annual distributions of observation errors for October 1 maturing biomass. All generated errors are shown (grey points) as well as five sample trajectories of observation error over the projection period (colored lines).

 

‘Observed’ survey CVs for the total age 2+ autumn acoustic indices are generated from a density-dependent relationship with uncertainty, thus allowing for imprecise survey CVs input to bifrost. This relationship is parameterized by fitting a log-linear model to the year-specific CVs of the distributions of historical total age 2+ autumn abundance that were randomly generated during OM conditioning (step 1; Fig. 6). The observed survey CV passed on to the management model is the sum of the CV predicted by the total age 2+ abundance from the OM and a residual drawn directly from the set of residuals of the model fit shown in Fig. 6.

 

Figure 6: The CVs (y-axis) and means (x-axis) of distributions of the autumn (October 1) total age 2+ abundance from 1987-2022 as generated during OM conditioning. The curve is a log-linear model fit to the points.
Figure 6: The CVs (y-axis) and means (x-axis) of distributions of the autumn (October 1) total age 2+ abundance from 1987-2022 as generated during OM conditioning. The curve is a log-linear model fit to the points.

 

Additionally, bifrost takes as input maturity-at-age and age-specific average weights of maturing capelin to convert 1 October numbers-at-age to maturing biomass, which is the only capelin-related quantity forecast and subsequently used to calculate escapement and quota. In contrast, the OM model described earlier uses summarized values of maturity and average weights (i.e. proportion of total stock that is maturing, and average weights of maturing and immature individuals) to calculate the maturing biomass. Before the summarized maturing and average weight values of maturing capelin from the OM can be input to the management model within the MSE, observation errors must be added to them because these maturity and weight values implicitly include the age structure estimates from the acoustic survey, which themselves have observation error. For maturity (the proportion maturing of total age 2+), year-specific additive errors are randomly generated from a normal distribution with mean equal to zero and standard deviation corresponding to the year-specific CV of the distribution for historical maturity with propagated errors in the acoustic numbers-at-age (Fig. 7).

 

Figure 7: Uncertainty in annual proportions maturing of total capelin abundance propagated from uncertainty in numbers-at-age (using age-specific survey CVs). Shown for each year are the median (black point), inner 50th quantile (thick black line), 5th and 95th percentiles (thin grey error bars), and values outside the 5th and 95th percentiles (grey points).
Figure 7: Uncertainty in annual proportions maturing of total capelin abundance propagated from uncertainty in numbers-at-age (using age-specific survey CVs). Shown for each year are the median (black point), inner 50th quantile (thick black line), 5th and 95th percentiles (thin grey error bars), and values outside the 5th and 95th percentiles (grey points).

 

For the ‘observed’ average weight of maturing capeline, instead of simulating separate observation errors, a linear model is used to directly predict the observed average maturing weight as a function of the observed maturity (maturity from OM plus random normal error). This relationship reflects the fact that maturity is used to calculate average maturing weight for each year. As each year has different age distributions and age-specific survey CVs, year-specific parameters are estimated for the observed weight-maturity relationships (year-dependent relationships between weight and maturity are demonstrated in Fig. 8).

 

Figure 8: Average weight of maturing individuals (grams) with the corresponding proportion maturing for each iteration and year of a subset of years from the historical period. Individual points were generated during OM conditioning and are the result of propagated uncertainty in numbers-at-age.
Figure 8: Average weight of maturing individuals (grams) with the corresponding proportion maturing for each iteration and year of a subset of years from the historical period. Individual points were generated during OM conditioning and are the result of propagated uncertainty in numbers-at-age.

 

3.4 - Implementation model

No implementation error is accounted for in the MSE. Catches are assumed equal to the quota advice as the discrepancy between quota and catch historically has been very small (Fig. 9).

 

Figure 9: Historical annual quotas and the corresponding catches from 1987-2023.
Figure 9: Historical annual quotas and the corresponding catches from 1987-2023.

 

3.5 - Management model

3.5.1 - Stock assessment: bifrost

As previously mentioned, the current bifrost assessment model is directly incorporated into the management model to run the actual capelin stock assessment. Using the simulated survey quantities with error from the observation model (total age 2+ autumn abundance, proportion maturing of this abundance, average weight of maturing individuals, and CV for total age 2+), the stochastic forecast is run with the target escapement and all other inputs and assumptions matching those used in the real capelin assessment. These include survey natural mortalities, NEA cod numbers-at-age estimates with normally-distributed error, and the assumption of zero mortality acting on cod during the forecast period (see ICES 2023 for a full list of current assumptions and inputs). Thus, these bifrost assumptions and potentially others mismatch the assumptions of these values within the OM (e.g. natural mortality estimated from fits to autumn biomass, NEA cod uncertainty resampled from a Uniform distribution, etc.). Generally, this is expected to increase the true error between the SSB from the bifrost forecast and the OM within MSE simulations, but to a lesser extent than observation error in the autumn maturing biomass.

As in the OM, each month in the period January-March is divided in 6 time steps to project the (high) mortality from fishing and predation.

Using bifrost, a sequence of actions is executed within the management model to emulate the capelin assessment procedure in each year:

  1. Run bifrost with zero catch taken in February and March.

  2. Check the forecasted distribution of 1 April SSB; if >5% of the distribution falls below the target escapement, close the fishery and exit the management model. Otherwise, proceed to step 3.

  3. Use bifrost to iteratively search for the catch (with 30% taken in February, and 70% taken in March) that results in a 1 April SSB distribution with exactly 5% chance of exceeding the target escapement. This catch is the quota output by the management model.

To speed up MSE run-times, 1,000 iterations are used in each annual bifrost forecast.

3.5.2 - Candidate HCRs in the decision model

Three HCRs are defined in the request (see section Request Summary), each containing different target escapements as well as different fixed minimum quotas, which would be taken in years when the fishery would otherwise be closed according to the escapement rule. The actual number of unique management procedures implied by the three HCRs to be tested with MSE is 16: four possible target escapements plus these four escapements each paired with three possible fixed minimum quotas (4 + 4*3 = 16). However, a higher relative risk can be inferred for a target escapement rule with a fixed minimum quota value compared to one without, as these fixed minimum quotas would allow catches below Blim. Thus, after testing all four target escapements without a fixed quota against OM1, simulations are conducted in a strategic manner to avoid unnecessarily testing the remaining 12 escapement/fixed quota combinations by following these steps:

  1. Test the highest (most conservative) target escapement with the three different fixed minimum quota values. Eliminate any fixed minimum quotas from further testing with lower target escapements if they have a high risk of recruitment failure and stock collapse.

  2. Repeat Step 1 for each target escapement in descending order, eliminating fixed minimum quotas with high risk of stock collapse along the way.

  3. Conduct “stress-tests” of the four target escapements and any escapement-fixed minimum quota combinations that did not show high risk of stock collapse with OM1, where these tests are defined by key uncertainties not accounted for by the current assessment method (see Uncertainty and sensitivity analysis below).

If Step 1 above shows that all fixed minimum quotas present a high risk (>5%) of stock collapse, then only the four Bescapement values are considered for further evaluation. All lower target Bescapements would have higher risk of collapse.

3.6 - Uncertainty and sensitivity analysis

The success of any escapement HCR rests on the stock estimate being unbiased, the uncertainty of that estimate being correctly characterized, and the estimated Blim being precise and accurate (ICES 2023). None of these three things can be guaranteed, and thus are major uncertainties the requested escapement HCRs need testing against. This is especially critical in an escapement-based HCR (as here) because the advised quota in each year will be determined directly by the risk level estimated on the assumption that these quantities are correctly estimated, and any mis-specification will therefore directly affect the risk level of the HCR. Given that it is unlikely that all of these quantities are completely accurately specified in the assessment model, it is highly likely that the assessment risk level is also somewhat incorrect. A key task in the MSE is therefore to evaluate which potential HCRs are robust to plausible uncertainties around these quantities.

These uncertainties are defined in the MSE simulations as scenarios using corresponding parameters equal to values approximately near plausible bounds determined by expert judgement. For each scenario, MSE simulations are re-run for each target escapement (with or without fixed minimum quotas, as short-listed with OM1). Even if the exact probabilities of these values are unknown, plausible ranges can be informative about the robustness of HCR performance to a specific source of uncertainty; for example, only HCRs that show risk < 5% of SSB falling below Blim in most, if not all, scenarios should be considered for implementation by management. Additionally, if all HCRs perform well in a specific scenario, better characterizing of this scenario may be less prioritized (compared to other sources of uncertainty) by management and monitoring in the future. Of course, this is all conditional on future circumstances remaining within the uncertainty bounds tested, and if there is evidence of these factors changing (e.g. through changes in the survey methodology), then a new MSE analysis may need to be conducted. The specific parameters and bounding values are described below.

3.6.1 - Scenario 1: Survey overestimates true stock biomass

Positive bias in the autumn stock estimates would result in a higher average of the 1 April SSB distribution compared to the true SSB, leading to an unknown increase in risk of falling below Blim. There are various known, yet unquantified potential sources of positive bias, including erroneous conversion of acoustic target strength to fish abundance, and inclusion of other fish than capelin when allocating acoustic backscatter to target species. It is not currently expected that any one of these sources would produce consistent positive bias in most years, but the actual frequency of positively biased years and extent of bias in particular are unknown. For MSE simulations, a basis for the upper bound on this positive bias is drawn from the upper half of the current distributions of autumn acoustic estimates based on the survey CVs. Specifically, a positive bias approximating the CV, or 20% (0.2), of the total age 2+ autumn abundance estimates is assumed. Setting the amount of bias to the survey CV provides a straightforward interpretation on how likely this value is (e.g. approximately 16% probability of the acoustic estimate exceeding this value). This is implemented as a scalar equal to 1.2 on the observed age 2+ abundance in the observation model. The resulting annual distributions multiplicative observation errors are shown in Figure 10.

 

Figure 10: Annual distributions of observation errors resulting from an average upward bias of 20%. All generated errors are shown (grey points) as well as five sample trajectories of observation error over the projection period (colored lines).
Figure 10: Annual distributions of observation errors resulting from an average upward bias of 20%. All generated errors are shown (grey points) as well as five sample trajectories of observation error over the projection period (colored lines).

 

3.6.2 - Scenario 2: Survey CV is underestimated in stock assessment

If the survey CV of the autumn stock estimate input to bifrost is an underestimate of the ‘true’ CV, the shape of the 1 April SSB distribution is narrower than what it should be. The general result of forecasting a narrower distribution is a higher quota compared to the distribution from the correct survey CVs, as the lower tail (e.g. 5th percentile) of the narrower distribution is higher than the correct distribution, and consequently a higher than estimated risk of falling below Blim. The possible reasons for underestimating survey CV include those for positive bias as well as misrepresentative samples of the population age structure from trawls that are otherwise assumed to match the age structure of the total acoustic estimate. In a MSE, this scenario can be represented by using different survey CVs in the observation model (which generates observed biomass from the ‘true’ biomass) and the management model (which runs bifrost using the survey CVs). Specifically, the observation model CVs predicted by the density-dependent relationship are upscaled by a factor of 1.5 (150%) from the survey CV input to bifrost; for example, a density-dependent CV of 0.25 would be upscaled to 0.25 * 1.5 = 0.375 for use in the observation model and 0.25 is used in bifrost within the management model. For further context, the maximum historical CV is 0.33 (Fig. 6) and a 150% increase gives a CV of 0.5; however, this value corresponds to infrequent very low densities (the next highest historical CV is 0.25, with the upscaled equivalent being 0.38).

3.6.3 - Sensitivity test: Uncertainty in Blim

There is uncertainty in the current Blim = 68,000 tonnes, which is equal to the forecast 1 April SSB in 1990 (CV ~ 0.36; data provided by G. Skaret). The form of the capelin escapement rule (“…TAC is not set higher than that, with 95% probability, at least 200,000 tonnes of capelin are allowed to spawn”) was designed in part to address Blim uncertainty – the Bescapement should provide a sufficient “buffer” over the actual Blim to be robust to the uncertainty. However, this has never been formally tested with different escapement values and thus it is not clear what the “buffer” needs to be. This could be done with full MSE simulations as in scenarios 1 and 2, where Blim varies between iterations according to fitted stock-recruitment relationships. However, Blims could not be reliably estimated in most iterations as previously mentioned (see subsection Recruitment). Furthermore, the distribution of the estimated values was lower than 68,000 tonnes (approximate median of 29,200 tonnes with 90% uncertainty interval of 7,400-47,000) and would result in lower risk for all HCRs if used in the MSE simulations. Instead, sensitivity of the risk incorporating uncertainty in Blim, to the four proposed target escapements is tested with bifrost. A simple analysis is conducted for each year from 1987 to 2022 following these steps:

  1. A bifrost forecast with 2,000 iterations is conducted with each target escapement using the current default parameters and historical data.

  2. 2,000 Blim values are randomly drawn from a truncated normal distribution with mean equal to 68,000 tonnes, standard deviation corresponding to a CV of 0.36, and truncation limits corresponding to the 5th and 95th percentiles of 1990 forecasted SSB from WKCAPELIN 2023 (ICES 2023).

  3. For each target escapement’s forecasted 1 April SSB distribution, one random Blim draw is paired with one draw of the SSB distribution.

  4. Risk associated with each escapement is calculated as the proportion of SSB draws that are less than the paired Blim draw.

The year-specific risks are compared between the different target escapements.

3.7 - Number of replicates and hindcast years

As previously mentioned, hindcast simulations are run over the period 1987-2022 (36 years). Years prior to 1990 are earlier than those used in various analyses in the recent benchmark (ICES 2023), but importantly capture a period of low capelin abundance coinciding with ecosystem conditions different than in years after 1990. The final number of iterations used in MSE simulations is the number of plausible parameter sets determined from OM conditioning. Of 4,000 unique parameter sets randomly generated and conditioned, 2779 plausible sets produced positive SSB in all years. Generally, 2,000 iterations have been adequate in other MSE’s particularly for computing an accurate risk value (ICES 2019b; ICES 2019a).

3.8 - Performance statistics

Performance statistics for each HCR are calculated according to the consequences listed in the request by Norwegian stakeholders (see subsection Harvest rules that should be evaluated more closely in the Introduction). Averages of SSB and quota are computed for each HCR in two steps: 1) taking the median over the entire hindcast period (36 years) for each iteration, then 2) taking the median over iterations (i.e. the median of the historical average). The year-specific probabilities of falling below Blim and Bescapement are computed and shown, as well as the maximum probability from only years when the fishery opened under any HCR. Year-specific probabilities are shown to differentiate probabilities of SSB “naturally” falling below Blim and Bescapement without any fishing from the probabilities corresponding to the effects of different HCRs. The effects of different HCRs on annual risk are further contextualized by showing annual probabilities of the fishery openings. The maximum probability is approximately equivalent to ICES’ definition of risk (“risk3”) to determine whether HCRs meet the ICES precautionary criterion (risk < 5%), but is taken from the subset of years where the fishery opened at least 5% of iterations under any HCR. This ensures the same subset of years is represented in the risk values for each HCR, while the 5% threshold omits potential outlier open-fishery years (e.g. iterations at the upper tail of the simulated SSB distributions). Additionally, the number of years in which fishing is not opened is computed as the average across iterations for each HCR (note that given the natural variation in capelin SSB, there can be years with SSB less than Blim even in the absence of fishing).

3.9 - Codebase

The MSE framework was custom coded in and the analysis conducted with the R programming software. R scripts and data files of the MSE results are available on a public Gitlab repo (https://git.imr.no/MSE/barents_capelin_2024).X

4 - Results

4.1 - Risk of different target escapements without fixed minimum quotas in OM1

The four candidate escapement rules result in similar April 1 SSB trajectories in the hindcast (Figure 11).

 

Figure 11: Hindcast MSE projections of April 1 SSB with uncertainty for each escapement rule without fixed minimum quotas. The same curves are shown in both the top (A) and bottom (B) rows, where row (B) plots display a narrower range of SSB. The solid lines represent the medians across iterations, shaded regions the inner 50th quantile, and dashed lines the inner 90th quantile of the annual SSB distributions (upper is the 95th and lower is the 5th percentile). SSB distributions include 2,779 iterations.
Figure 11: Hindcast MSE projections of April 1 SSB with uncertainty for each escapement rule without fixed minimum quotas. The same curves are shown in both the top (A) and bottom (B) rows, where row (B) plots display a narrower range of SSB. The solid lines represent the medians across iterations, shaded regions the inner 50th quantile, and dashed lines the inner 90th quantile of the annual SSB distributions (upper is the 95th and lower is the 5th percentile). SSB distributions include 2,779 iterations.

 

As expected, HCRs with higher Bescapement show higher median April 1 SSB, but otherwise show similar distributions especially at the lowest percentiles. The median SSB values resulting from the three lowest Bescapement values (100,000, 150,000, and 200,000 tonnes) are generally clustered more closely compared to the median SSB resulting from Bescapement=400,000 tonnes.

In terms of fishery closures and the risk of SSB falling below Blim, the four Bescapement values also show similar patterns (Figure 12).

 

Figure 12: Annual proportions of iterations (probabilities) when the fishery opened (green) or closed (red), and when SSB declined below Blim (68,000 tonnes) by April 1 (black lines and points). The same data are shown in both the top (A) and bottom (B) rows, where row (B) plots display the low end of the range of proportions. Proportions are computed over 2,779 iterations.
Figure 12: Annual proportions of iterations (probabilities) when the fishery opened (green) or closed (red), and when SSB declined below Blim (68,000 tonnes) by April 1 (black lines and points). The same data are shown in both the top (A) and bottom (B) rows, where row (B) plots display the low end of the range of proportions. Proportions are computed over 2,779 iterations.

 

A key observation in Fig. 12 is identical risk values between all Bescapement values across years. This occurred despite obvious differences in the frequencies of fishery openings between rules, implying that under the assumptions of OM1, increasing Bescapement increases the chance of fishery closures without substantially increasing risk to the capelin stock. Furthermore, fishery closures are nearly ensured (with >95% probability) in years when capelin SSB was low across all rules. In years of higher SSB and greater chances (>5%) of an open fishery, the risk of falling below Blim was less than 5% for all rules. Thus, all escapement rules without fixed minimum quotas would meet the ICES precautionary criterion under OM1.

When considering fishery performance in terms of yield and SSB in years when the fishery opened, an assymetric tradeoff is seen (Figure 13).

 

Figure 13: Tradeoff between average catch (y-axis) and SSB (x-axis) of the years the fishery opened for each escapement rule without fixed minimum quotas. The points show the medians and the lines show the inner 90th quantile of the catch and SSB distributions. Averages and quantiles are computed over 2,779 iterations.
Figure 13: Tradeoff between average catch (y-axis) and SSB (x-axis) of the years the fishery opened for each escapement rule without fixed minimum quotas. The points show the medians and the lines show the inner 90th quantile of the catch and SSB distributions. Averages and quantiles are computed over 2,779 iterations.

 

Using Bescapement=400,000 tonnes results in zero median catch because the fishery closed far more often (across iterations) compared to the other escapement rules. For Bescapement at and below 200,000 tonnes, relative gains in median catch are larger than relative decreases in median SSB with lower escapement. Compared to the median catch and SSB resulting from Bescapement=200,000 tonnes, Bescapement=150,000 tonnes had 64.5% larger catch while reducing average SSB by 7.2%, and the Bescapement=100,000 tonnes had 136.7% larger catch (a factor of 2.4) while reducing average SSB by 15.6%.

4.2 - Risk of Bescapement=400,000 tonnes and different fixed minimum quotas in OM1

The alternative fixed minimum quotas with Bescapement=400,000 tonnes showed severe consequences to SSB dynamics (Figure 14).

 

Figure 14: Hindcast MSE projections of April 1 SSB with uncertainty for Bescapement=400,000 tonnes and alternative fixed minimum quotas. The same curves are shown in both the top (A) and bottom (B) rows, where row (B) plots display a narrower range of SSB. The solid lines represent the medians across iterations, shaded regions the inner 50th quantile, and dashed lines the inner 90th quantile of the annual SSB distributions (upper is the 95th and lower is the 5th percentile). SSB distributions include 2,779 iterations.
Figure 14: Hindcast MSE projections of April 1 SSB with uncertainty for Bescapement=400,000 tonnes and alternative fixed minimum quotas. The same curves are shown in both the top (A) and bottom (B) rows, where row (B) plots display a narrower range of SSB. The solid lines represent the medians across iterations, shaded regions the inner 50th quantile, and dashed lines the inner 90th quantile of the annual SSB distributions (upper is the 95th and lower is the 5th percentile). SSB distributions include 2,779 iterations.

 

For fixed minimum quotas of 50,000 and 75,000 tonnes, SSB collapses and remains below Blim. With a fixed minimum quota of 25,000 tonnes, SSB does not completely collapse during the projection period, although the median SSB is lower and frequently below Blim, especially compared to escapement rules without fixed minimum quotas (Figure 11).

Given that the median SSB trajectories decline towards zero for some of the fixed minimum quotas, the probability of stock collapse over time was computed (Figure 15).

 

Figure 15: Annual proportions of iterations when SSB collapsed by April 1 for Bescapement=400,000 tonnes and different fixed minimum quotas. Collapse is defined as SSB dropping below 10 tonnes (i.e. effectively zero) and not recovering in the subsequent period. Proportions are computed over 2,779 iterations.
Figure 15: Annual proportions of iterations when SSB collapsed by April 1 for Bescapement=400,000 tonnes and different fixed minimum quotas. Collapse is defined as SSB dropping below 10 tonnes (i.e. effectively zero) and not recovering in the subsequent period. Proportions are computed over 2,779 iterations.

 

Collapse here occurs when SSB decline below 10 tonnes and does not recover in subsequent years. With the highest fixed minimum quota (75,000 tonnes), all iterations shown stock collapse within 7 years. For a fixed minimum quota of 50,000 tonnes, over 50% of the iterations shown stock collapse within the first 7 years, and eventually all had collapsed by the end of the projection period. A fixed minimum quota of 25,000 tonnes saw a more gradual increase in the risk of stock collapse, but exceeded 5% in the mid-2000s and increased to nearly 50% by 2023, and was on course to continue increasing and eventually reach 100%. This behaviour occurs because there is a clear trend to an approximately linear reduction in recruitment below Blim. Consequently, any fishing which drives the stock further under Blim in poor recruitment years delays recovery and eventually leads to a collapse in the stock.

In general, the proposed fixed minimum quotas pose high risk (much higher than 5%) of impairing future stock productivity, which lead to the observed collapses. Identical or higher risks of collapse can only occur with lower escapement, so none of the other escapement rules with fixed minimum quotas were evaluated. None of the fixed minimum quota variants of the HCR passed the test of having less than a 5% chance of driving the stock below Blim, and all pose a high risk of long lasting stock collapse.

4.3 - Robustness of escapement rules to biased survey

Hindcast trajectories of SSB resulting from the scenario with overestimated survey biomass (taken as 20% higher here) are again similar between each escapement rule (Figure 16). However, some years when an open fishery was likely now show risk greater than 5% while the annual probabilities of an open fishery are generally higher compared to the results from OM1 (Figure 17).

 

Figure 16: Hindcast MSE projections of April 1 SSB when survey biomass that is overestimated by 20% for each escapement rule without fixed minimum quotas. The same curves are shown in both the top (A) and bottom (B) rows, where row (B) plots display a narrower range of SSB. The solid lines represent the medians across iterations, shaded regions the inner 50th quantile, and dashed lines the inner 90th quantile of the annual SSB distributions (upper is the 95th and lower is the 5th percentile). SSB distributions include 2,779 iterations.
Figure 16: Hindcast MSE projections of April 1 SSB when survey biomass that is overestimated by 20% for each escapement rule without fixed minimum quotas. The same curves are shown in both the top (A) and bottom (B) rows, where row (B) plots display a narrower range of SSB. The solid lines represent the medians across iterations, shaded regions the inner 50th quantile, and dashed lines the inner 90th quantile of the annual SSB distributions (upper is the 95th and lower is the 5th percentile). SSB distributions include 2,779 iterations.

 

The most consequential result is that Bescapement=100,000 tonnes often results in SSB distributions with the 5th percentile below Blim when SSB is otherwise relatively high (Fig. 16. This corresponds to a risk of falling below Blim greater than 5% in 11 of 18 years when the fishery was likely to open (i.e. fishery openings occurred in at least 95% of the iterations with any Bescapement; Fig. 17). For the other rules, the number of years with greater than 5% risk is three with Bescapement=150,000 tonnes, two with Bescapement=200,000 tonnes, and zero with Bescapement=400,000 tonnes of the 18 years when the fishery was likely to open.

 

Figure 17: Annual probabilities of fishery openings (green, closed is red) and April 1 SSB (black lines) having declined below Blim (68,000 tonnes) for each escapement rule when survey biomass is overestimated by 20%. The same data are shown in both the top (A) and bottom (B) rows, where row (B) plots display the low end of the range of proportions. Probabilities are computed over 2,779 iterations.
Figure 17: Annual probabilities of fishery openings (green, closed is red) and April 1 SSB (black lines) having declined below Blim (68,000 tonnes) for each escapement rule when survey biomass is overestimated by 20%. The same data are shown in both the top (A) and bottom (B) rows, where row (B) plots display the low end of the range of proportions. Probabilities are computed over 2,779 iterations.

 

As risk was greater than 5% in more than one year for several escapement rules, another biased survey scenario was simulated but with biomass being overestimated by 10% on average (Fig. 18).

 

Figure 18: Annual probabilities of fishery openings (green, closed is red) and April 1 SSB (black lines) having declined below Blim (68,000 tonnes) for each escapement rule when survey biomass is overestimated by 10%. The same data are shown in both the top (A) and bottom (B) rows, where row (B) plots display the low end of the range of proportions. Probabilities are computed over 2,779 iterations.
Figure 18: Annual probabilities of fishery openings (green, closed is red) and April 1 SSB (black lines) having declined below Blim (68,000 tonnes) for each escapement rule when survey biomass is overestimated by 10%. The same data are shown in both the top (A) and bottom (B) rows, where row (B) plots display the low end of the range of proportions. Probabilities are computed over 2,779 iterations.

 

The HCR with Bescapement=100,000 tonnes still resulted in one year with a risk > 5% when the fishery opened (7% in 1992), while all other Bescapement values had risk < 5% across all years of a likely open fishery (18 years).

4.4 - Robustness of escapement rules to incorrect survey CV

If the true survey CV (observation model) is larger than that which is input to bifrost within the management strategy (as described above), risk is generally less than 5% given the fishery opened under most escapement rules (Figure 19).

 

Figure 19: Annual probabilities of fishery openings (green, closed is red) and April 1 SSB (black lines) having declined below Blim (68,000 tonnes) for each escapement rule when true survey CV is larger by a factor of 1.5 than the assumed survey CV in the management strategy. The same data are shown in both the top (A) and bottom (B) rows, where row (B) plots display the low end of the range of proportions. Probabilities are computed over 2,779 iterations.
Figure 19: Annual probabilities of fishery openings (green, closed is red) and April 1 SSB (black lines) having declined below Blim (68,000 tonnes) for each escapement rule when true survey CV is larger by a factor of 1.5 than the assumed survey CV in the management strategy. The same data are shown in both the top (A) and bottom (B) rows, where row (B) plots display the low end of the range of proportions. Probabilities are computed over 2,779 iterations.

 

For Bescapement=150,000-400,000 tonnes, no years when the fishery opened (again defined as greater than 95% probability) showed risk greater than 5%. For Bescapement=100,000 tonnes, one year showed risk greater than 5% (approx. 6% in 1992).

4.5 - Comparison of all performance metrics and scenarios

The maximum risk of falling below Blim given an open fishery is greatest for Bescapement=100,000 tonnes, and above 5% in all scenarios except the base OM (ranging from 3-13% across scenarios; Fig. 20 and summary table in the annex). Maximum risks for Bescapement=150,000 and 200,000 tonnes were greater than 5% only when survey biomass was overestimated by 20% (across scenarios, ranging 2-10% and 1-8% for Bescapement=150,000 and 200,000 tonnes respectively). In general, the larger maximum risk of the survey bias and underestimated CV scenarios compared to the base OM was expected because of how they would increase catch advice and result in lower distributions of April 1 SSB (see subsections Scenario 1: Survey overestimates true stock biomass and Scenario 2: Survey CV is underestimated in stock assessment for rationale).

The number of open-fishery years when risk exceeded 5% were few (e.g. less than or equal to 3), except for Bescapement=100,000 tonnes under survey bias with a 20% overestimate (11 years). Furthermore, only Bescapement=100,000 tonnes shown at least one open-fishery year with risk greater than 5% in the other two scenarios (10% survey bias and underestimated CV).

 

Figure 20: Consequences of the four Bescapement values under each modelled scenario. Rows denote the specific consequence calculated (performance statistics) and columns denote the values under the base OM and the three robustness scenarios (two with overestimated survey biomass, and one with underestimated survey CV). Points represent either a percentage, number of years or a median where indicated. Lines represent the inner 90th quantile of the distributions if the statistic is not a percentage. Statistics are computed from 2,779 iterations.
Figure 20: Consequences of the four Bescapement values under each modelled scenario. Rows denote the specific consequence calculated (performance statistics) and columns denote the values under the base OM and the three robustness scenarios (two with overestimated survey biomass, and one with underestimated survey CV). Points represent either a percentage, number of years or a median where indicated. Lines represent the inner 90th quantile of the distributions if the statistic is not a percentage. Statistics are computed from 2,779 iterations.

 

The median number of years when the fishery closed was generally 20 or more across all HCRs and scenarios (of 36 years total). This number increased with larger Bescapement values and the rule-specific numbers were similar among the scenarios. Historically, zero catches were advised in 18 years of the same period (although a small amount of bycatch occurred in a some of these zero-advice years). The difference in zero-advice years between simulations and the historical record small and can be generally attributed to the various differences between the management model of the MSE (i.e. the current assessment model and harvesting rule) versus that management strategy used in the past. The formulation of the current bifrost assessment model has had minor changes since 2002, but underwent several major changes before 2002 and starting in the 1980’s (Gjøsæter, Bogstad, Bjarte, and Tjelmeland 2002). Additionally, the use of the form of the existing harvesting rule (5% probability of SSB greater than 200,000 tonnes) as the basis for advice started in 2000 (IMR-PINRO 2023).

The highest median catch amongst years that had an open fishery was obtained with Bescapement=100,000 tonnes and descended with increasing Bescapement. Between scenarios, rule-specific catches were highly variable; for example, median catches ranged from 198,000 tonnes under the base OM to 342,000 tonnes under the 20% survey bias scenario for Bescapement=100,000 tonnes, 138,000-288,000 tonnes for Bescapement=150,000 tonnes, and 84,000-236,000 tonnes for Bescapement=200,000 tonnes (Fig. 20).

Median SSB from all years was similar across escapement rules and scenarios, but greater differences are seen between rules if median SSB is only taken from open fishery years. For Bescapement=100,000 tonnes, the median SSB of open fishery years was in the range of 196,000-294,000 tonnes (the minimum occurring under the 20% bias survey scenario, and maximum under the base OM), 230,000-323,000 tonnes for Bescapement=150,000 tonnes, 260,000-348,000 tonnes for Bescapement=200,000 tonnes, and 366,000-419,000 tonnes for Bescapement=400,000 tonnes.

The probability of April 1 SSB falling below each respective Bescapement was also only considered in years when the fishery opened. The maximum probability (across open fishery years) increases substantially with higher Bescapement and rule-specific probabilities were similar across scenarios. The range of these maximums for each rule across scenarios are 5-19% for Bescapement=100,000 tonnes, 23-30% for Bescapement=150,000 tonnes, 53-58% for Bescapement=200,000 tonnes, and 98% for Bescapement=400,000 tonnes.

4.6 - Sensitivity of risks to uncertainty in Blim

The sensitivity of risk to imprecise Blim was explored using stochastic draws from bifrost forecasts with each of three Bescapement values (100,000, 150,000, and 200,000 tonnes) and for each year in the historical period that were randomly paired with random Blim values (Fig. 21). These forecasts were conducted without the full feedback loop of the MSE. In the years with an open fishery, risk was less than 5% for all rules (the implied risk of a Bescapement=400,000 tonnes is also less than 5% as it is more conservative than Bescapement=200,000 tonnes). For the least conservative rule (Bescapement=100,000 tonnes), risk is within 4-5% for 6 of the 18 open fishery years, with a maximum of approximately 4.8% risk in the year 2000.

 

Figure 21: Distribution of random Blim values (A) and annual risks of falling below Blim under three escapement rules and zero catch in bifrost (B and C). The dashed line in panels (B) and (C) denotes the 5% threshold. Individual Blim values are randomly drawn from a truncated normal with mean=68,000 tonnes, st. dev.=24,480 tonnes (CV=0.36), and lower and upper limits of 10,000 and 108,000 tonnes respectively. Panel (C) displays the same values as (B) at the lower limit of risk to better show differences between Bescapement values. Risk for Bescapement=400,000 tonnes is negligible (i.e. less than risk of Bescapement=200,000 tonnes) and thus not shown. Risk in each year is computed from 2,000 iterations.
Figure 21: Distribution of random Blim values (A) and annual risks of falling below Blim under three escapement rules and zero catch in bifrost (B and C). The dashed line in panels (B) and (C) denotes the 5% threshold. Individual Blim values are randomly drawn from a truncated normal with mean=68,000 tonnes, st. dev.=24,480 tonnes (CV=0.36), and lower and upper limits of 10,000 and 108,000 tonnes respectively. Panel (C) displays the same values as (B) at the lower limit of risk to better show differences between Bescapement values. Risk for Bescapement=400,000 tonnes is negligible (i.e. less than risk of Bescapement=200,000 tonnes) and thus not shown. Risk in each year is computed from 2,000 iterations.

 

5 - Conclusions

The four proposed Bescapement values without fixed minimum quotas were all precautionary (maximum risk < 5% given an open fishery) under the base OM with a completely accurately specified bifrost assessment model. However, Bescapement=100,000 tonnes was not precautionary under the full range of examined scenarios where the survey is biased upward or survey precision is underestimated. All fixed minimum quota rules resulted in high risks of stock collapse and recruitment failure. Performance statistics showed an asymmetric trade-off of greater gains in average yield paired with lesser relative reductions in average SSB between high and low escapement rules. The average number of years of a closed fishery was similar for the three lowest Bescapement values (100,000-200,000 tonnes) where medians were within 1-2 years of each other. Setting Bescapement=400,000 tonnes resulted in notably higher chances of fishery closure, to an extent where the median yield is zero across years when the fishery would likely open under the other rules. The probability of SSB falling below each respective escapement increased substantially with larger escapement rules, indicating the management strategy (e.g. including bifrost and the rule) is less effective at meeting the higher escapement targets of these rules.

5.1 - Recommendations

Of the four candidate Bescapement values, 150,000, 200,000, and 400,000 tonnes were robust against the assessed key uncertainties in survey bias and precision. Bescapement=100,000 tonnes was not precautionary against these survey uncertainties despite being precautionary under baseline assumptions. Bescapement=400,000 tonnes exhibited frequent high probabilities of fishery closures and may not be considered viable for the fishery. Overall, the Bescapement=150,000 or 200,000 tonnes may be the most viable to sufficiently minimize risk to the capelin stock while allowing a functioning fishery.

When choosing a rule for implementation, further considerations should be made to the relative tradeoffs in performance (e.g. Bescapement=150,000 tonnes will allow greater yield with increased risk compared to Bescapement=200,000 tonnes, although this increase is small), historical performance of Bescapement=200,000 tonnes that is currently used, and potential consequences to the ecosystem as capelin are a key food source. With regards to the viability of the stock, the fixed minimum quota rules should not be considered for implementation.

The high risks of stock collapse with the proposed fixed minimum quotas also imply high risks to the productivity of capelin predators, the most notable being the NEA cod stock as cod are a major consumer of capelin. Cod consumption was accounted for as a source of capelin mortality in the MSE, but the bottom-up effect of capelin availability on cod productivity was not explicitly tested and not reflected in the performance statistics presented in this report. Management should consider this when selecting a rule for implementation (e.g. being more conservative than what the calculated risks suggest). Capelin is the most important prey for cod (Holt et al. 2019) and they are also an important prey for other fish and marine mammal stocks in the Barents Sea. Strong ecosystem effects (reduced cod growth, seal invasions on the Norwegian coast, low breeding success for seabirds etc.) related to a low capelin stock were observed during the capelin collapse in the late 1980s. However, such effects were much smaller during later collapses (Gjøsæter, Bogstad, and Tjelmeland 2009), both because there was more alternative prey available and because the collapse in the late 1980s was more severe than the later ones in terms of capelin biomass being low. The harvest control rules that showed similarly low risk (the Bescapement alternatives greater than 100,000 tonnes) during this evaluation are not likely to influence capelin stock dynamics in such a way that ecosystem effects of capelin stock size are affected.

Conducting this MSE analysis also highlighted the importance of certain uncertainties, which may serve to direct future research. The following tasks should be considered when planning and conducting future capelin research, assessments, and MSE analyses:

Estimating potential bias in survey estimates. A downward bias (i.e. the survey underestimates to true stock size) may occur, but it does not increase the risk of overfishing and stock collapse. A consistent upward bias as reflected in Scenario 1 resulting from these sources is not known to be likely, but quantifying overestimation, even when it is likely to occur, may improve management performance (e.g. by directly incorporating into bifrost forecasts).

Scrutinizing age 1 estimates and their use for management, in particular for setting or estimating reference points. When using age 1 as recruitment for OM conditioning, the projected Oct 1 biomass trajectories poorly replicated the historical survey estimates (not shown). Furthermore, work conducted during the last workshop indicated poor internal consistency between ages 1 and 2, but not between ages 2 and 3 (ICES 2023).

Continuing investigations of cod consumption effects on capelin, particularly uncertainty in the type of functional response. The MSE analysis relies on the Type III Holling’s functional response which follows the recommendation from the benchmark as it best fit empirical consumption estimates (ICES 2023); however, model uncertainty persists. Importantly, the Type II functional response parameters estimated from fits to empirical consumption estimates predict higher consumption rates at lower capelin biomass, albeit this difference in rates between the two response curves is relatively small (ICES 2023). One path forward would be to separately conduct bifrost forecasts and quota calculations based on the Type II and Type III response parameters and compare. Alternatively, one bifrost forecast could be conducted that integrates over both functional response models simultaneously (i.e. randomly draw functional response type and resample type-specific parameters).

6 - References

Fiskeridirektoratet. 2021. “Møte Om Høstingsregler for Fellesbestandene Mellom Norge Og Russland,” November.

Gjøsæter, Harald, Bogstad, Bjarte, and Sigurd Tjelmeland. 2002. “Assessment Methodology for Barents Sea Capelin, Mallotus Villosus (Müller).” ICES Journal of Marine Science 59 (5): 1086–95. https://doi.org/10.1006/jmsc.2002.1238.X

Gjøsæter, Harald, Bjarte Bogstad, and Sigurd Tjelmeland. 2009. “Ecosystem Effects of the Three Capelin Stock Collapses in the Barents Sea.” Marine Biology Research 5 (1): 40–53. https://doi.org/10.1080/17451000802454866.X

Holt, Rebecca E, Bjarte Bogstad, Joël M Durant, Andrey V Dolgov, and Geir Ottersen. 2019. “Barents Sea Cod (Gadus Morhua) Diet Composition: Long-Term Interannual, Seasonal, and Ontogenetic Patterns.” Edited by Henn Ojaveer. ICES Journal of Marine Science 76 (6): 1641–52. https://doi.org/10.1093/icesjms/fsz082.X

Howell, Daniel, Bogstad, Bjarte (IMR), Chetyrkin, Anatoly (VNIRO), Fall, Johanna (IMR), Filin, Anatoly (VNIRO), Hallfredsson, Elvar (IMR), Höffle, Hannes (IMR), et al. 2023. “Report of the Joint Russian-Norwegian Working Group on Arctic Fisheries (JRN-AFWG) 2023.” https://www.hi.no/hi/nettrapporter/imr-pinro-en-2023-7.X

ICES. 2019a. “Workshop on Guidelines for Management Strategy Evaluations (WKGMSE2).” ICES Scientific Reports. 1:33, 162. https://doi.org/10.17895/ICES.PUB.5331.X

ICES. 2019b. “Workshop on North Sea Stocks Management Strategy Evaluation (WKNSMSE).” ICES. https://doi.org/10.17895/ICES.PUB.5090.X

ICES. 2023. “Benchmark Workshop on Capelin (WKCAPELIN).” ICES Scientific Reports 5 (62): 282. https://ices-library.figshare.com/articles/report/Benchmark_workshop_on_capelin_WKCAPELIN_/23260388.X

IMR-PINRO. 2023. “Advice on Fishing Opportunities for Barents Sea Capelin in 2024.” https://www.hi.no/en/hi/nettrapporter/imr-pinro-en-2023-8.X

Punt, André E, Doug S Butterworth, Carryn L De Moor, José A A De Oliveira, and Malcolm Haddon. 2016. “Management Strategy Evaluation: Best Practices.” Fish and Fisheries 17 (2): 303–34. https://doi.org/10.1111/faf.12104.X

Trochta, John T, Bjarte Bogstad, Yury Kovalev, Dmitry Prozorkevich, Georg Skaret, Sindre Vatnehol, and Daniel Howell. 2024. “Joint Norwegian-Russian Fisheries Commission request to establish a management plan for capelin in the Barents Sea (subareas 1 and 2 excluding Division 2.a west of 5°W)“. IMR-PINRO 2024-12. https://hdl.handle.net/11250/3165433

7 - Annex

7.1 - Summary table of performance metrics

Consequences of the four Bescapement values under each modelled scenario as shown in Figure 20. Values are shown as either percentage, number of years, or tonnes of biomass (SSB and catch) where indicated. Values within parantheses represent the inner 90th quantile of the distributions if the statistic does not involve risk. Statistics are computed from 2,779 iterations.

  B escapement
Scenario Performance statistic 400,000 200,000 150,000 100,000
base  
  # years fishery closed 30 (27-32) 25 (22-28) 23 (21-26) 22 (19-24)
  Median Apr 1 SSB in tonnes, all years 162304 (117083-243275) 154684 (113177-232209) 148316 (109088-219342) 138997 (101068-200200)
  Median Apr 1 SSB in tonnes, open years only 419090 (325021-524477) 348465 (256093-451350) 323381 (231819-423435) 294156 (202937-389294)
  Median catch in tonnes, open years only 0 (0-23463) 83705 (0-221736) 137700 (27115-274179) 198154 (83869-330338)
  Max risk across years, % of iters <= Blim 0.25 1.30 1.91 2.95
  # years > 5%, % of iters <= Blim 0 0 0 0
  Max risk across years, % of iters <= Bescapement 98.88 53.26 23.46 5.11
  # years > 5%, % of iters <= Bescapement 18 8 5 2
20% survey bias  
  # years fishery closed 26 (23-29) 22 (19-25) 21 (19-23) 20 (18-22)
  Median Apr 1 SSB in tonnes, all years 154954 (110649-234429) 130484 (87480-193623) 120942 (78282-175286) 110339 (69298-155407)
  Median Apr 1 SSB in tonnes, open years only 355875 (252592-461294) 260129 (163297-360703) 229554 (137202-327787) 196294 (112274-291914)
  Median catch in tonnes, open years only 37718 (0-196847) 236476 (101925-392160) 288236 (155335-440787) 342380 (210244-489475)
  Max risk across years, % of iters <= Blim 2.16 7.56 9.90 13.49
  # years > 5%, % of iters <= Blim 0 2 3 11
  Max risk across years, % of iters <= Bescapement 99.14 57.90 30.08 19.11
  # years > 5%, % of iters <= Bescapement 18 18 18 18
10% survey bias  
  # years fishery closed 28 (25-31) 23 (20-26) 22 (19-25) 20 (18-23)
  Median Apr 1 SSB in tonnes, all years 160346 (115253-240217) 143808 (103386-214596) 135428 (95235-197631) 125140 (85057-178129)
  Median Apr 1 SSB in tonnes, open years only 390400 (293827-497328) 306204 (208686-405521) 278432 (184472-375215) 244755 (154490-339768)
  Median catch in tonnes, open years only 0 (0-104901) 161268 (38112-307102) 214501 (90164-361781) 272587 (147605-413757)
  Max risk across years, % of iters <= Blim 0.72 3.17 4.82 7.05
  # years > 5%, % of iters <= Blim 0 0 0 1
  Max risk across years, % of iters <= Bescapement 98.92 54.91 25.33 10.51
  # years > 5%, % of iters <= Bescapement 18 16 13 6
Underestimate CV  
  # years fishery closed 29 (26-32) 25 (22-28) 24 (21-27) 22 (19-25)
  Median Apr 1 SSB in tonnes, all years 158223 (114366-238249) 141217 (99842-213043) 133438 (91864-199289) 124809 (81223-182359)
  Median Apr 1 SSB in tonnes, open years only 395372 (292485-506378) 322320 (219853-433022) 296999 (192316-408601) 267063 (161381-376941)
  Median catch in tonnes, open years only 0 (0-40183) 86029 (0-237459) 140563 (21163-289069) 196624 (75240-342175)
  Max risk across years, % of iters <= Blim 0.90 2.73 3.99 6.01
  # years > 5%, % of iters <= Blim 0 0 0 1
  Max risk across years, % of iters <= Bescapement 98.96 55.24 26.41 9.18
  # years > 5%, % of iters <= Bescapement 18 18 16 10

7.2 - Reviewer reports

Reviewed by: H. Björnsson, HAFRO, Iceland.

The assessment methodology of Barents sea capelin was evaluated at WKCAPELIN 2023 (ICES 2023) and generally accepted. Reference points were reevaluated and Blim changed from 200 to 68 kt, which is rather low value taking into account survey biomass of of 1-2 million tonnes of mature capelin.

The management plan has also been reevaluated. Now the plan is based on escapement biomass instead of checking annually that P(SSB < Blim) < 0.05. Why that change was done is not explained. The selection of Bescapement is based on that P(SSB < Blim) = 0.05 in the long run.

The prediction methods are more or less the same as have been used for 3 decades except predation is based on type III Hollings function instead of type II. Type III seems to fit the data better. Historical recruitment (including uncertainty) was used in stochastic simulations, scaled down if SSB < Blim.

Sensitivity of the management plan to factors like bias in the Ecosystem survey and underestimation of the variability in the survey were tested. Rules with fixed minimum catch were tested and rejected.

The methods used seem sound and the results indicate that the management plans with Bescapement 150kt or larger are precautionary. The main change from earlier management plans is the change of Blim from 200 to 68kt that was already accepted by WKCAPELIN 2023 (ICES 2023).