Gå til hovedinnhold

Scientific report from the Norwegian and Russian Barents Sea ecosystem surveys in August-October 2024 (BESS)

Author(s): Gro van der Meeren (IMR), Dmitry Prozorkevich (VNIRO-PINRO), Elena Eriksen , Stine Karlson , Sarah Joanne Lerch , Herdis Langøy Mørk (IMR), Tatyana Prokhorova (VNIRO-PINRO), Bjørn Einar Grøsvik (IMR), Roman Klepikovsky (VNIRO-PINRO), Edda Johannesen , Bjarte Bogstad , Magnus Aune (IMR), Alexey Russkikh (VNIRO-PINRO), Anatoly Filin (VNIRO-PINRO), Kristin Windsland , Georg Skaret (IMR), Andrej Dolgov (PINRO-VNIRO), Rupert Wienerroither , Fabian Zimmermann , Ann Merete Hjelset , Hanna Ellerine Helle Danielsen (IMR), Sergey Bakanev (VNIRO-PINRO), Daria Y. Blinova (VNIRO-PINRO), Lis lindal Jørgensen (IMR), Natalia Strelkova (VNIRO-PINRO), Martin Biuw , Frederike Boehm (IMR) and Per Fauchald (NINA)
Editor(s): Gro van der Meeren (IMR) and Dmitry Prozorkevich (VNIRO-PINRO)

Summary

The aim of the national Norwegian/Russian ecosystem surveys in the Barents Sea and adjacent waters, August-October (BESS) is to monitor the status and changes in the Barents Sea ecosystem and provide data to support scientific research and manager advice. The survey has since 2004 been conducted annually in the autumn, as a collaboration between the Institute of Marine Research (IMR) in Norway and the Polar branch of the VNIRO (PINRO) in Russia. The general surveys plan and tasks were agreed upon at the annual IMR-VNIRO/PINRO Meeting 12-14 March 2024. Ship routes and other technical details are agreed on by correspondence between the survey coordinators. BESS aims at covering the entire Barents Sea. Each party carries out research in its own sector of the sea but uses the same methodology.

Ecosystem stations are distributed in a 35×35 nautical mile regular grid, and the ship tracks follow this design. In the area around Svalbard/Spitsbergen, some additional bottom trawl hauls for demersal fish survey indices estimation. Additional pelagic trawls were done in the main capelin distribution areas for identification of acoustic records. The research carried out from 17.08-12.10 by the Russian R/V “Vilnyus” and Norwegian R/Vs Kronprins Haakon” G.O. Sars” and Johan Hjort”.

This report summarising results of the observations that are available at the time of publication. Further data will be published later in the next reports. From 2026, the report series will be named «IMR/Polar Branch of VINRO Joint Report Series».

1 - Background

The aim of the Barents Sea ecosystem survey (BESS) in August-October is to monitor the status and changes of in the Barents Sea ecosystem. The survey has since 2004 been conducted annually, as collaboration between the IMR in Norway and the Polar Branch of VNIRO (PINRO) in Russia. The general survey plan, tasks, and sailings routes are usually agreed at the annual PINRO-IMR Scientist Meeting in March, but in 2024, due to external factors making physical meetings between Norwegian and Russian researchers difficult, they were agreed by correspondence. The 21th BESS was carried out during the period from 17-th August to 12th October 2024. by the Norwegian research vessels (“Kronprins Haakon”, “G.O. Sars” and “Johan Hjort”) and the Russian vessels (“Vilnyus”). The scientists and technicians taking part in the survey onboard the research vessels are listed in Table 1. As always, we would like to express our sincere gratitude to all the crew and scientific personnel onboard research vessels for their dedicated work. We also will express our sincere gratitude to all the people involved in planning and reporting of BESS 2024. This is the first part of the survey report summarising status for the environment and the living Barents Sea based on the survey data. The information obtained in BESS 2024 will be further used for the assessment of fish and invertebrate stocks, the evaluation of changes in environmental conditions and biota, and the implementation of various international and national projects.

Table 1. Vessels and participants (with main expertise) in the Barents Sea Ecosystem Survey 2024.

Research vessel

Participants

”Vilnyus” (17.08–07.10)

Kudryashova Alexandra (Cruise leader, Benthos ), Alexander Pronyuk (Pelagic, Demersal fish), Alexey Rolsky (Pelagic, Demersal fish), Yury Kalashnikov (Pelagic, Demersal fish), Daniil Marshalkovsky (Pelagic, Demersal fish), Kristina Rolskya (Plankton, Benthos), Nina Moiseeva (Plankton, benthos, Pelagic fish), Maksim Gubanishchev (Hydrologist), Alexey Kanischev (Hydrologist), Sergey Harlin (Instrumentation), Denis Okatov (Instrumentation), Marina Kalashnikova (Parasitologist), Roman Klepikovskiy (Sea birds and mammals observer)

“Kronprins Haakon” (22.09-12.10)

Elena Eriksen (Cruise leader), Mette Strand (Benthos), Silje Seim (Demersal fish), Åse Husebø (Demersal fish), Eilert Hermansen (Pelagic fish), Erling Boge (Pelagic fish), Jon Rønning (Plankton), Felicia Keulder-Stenevik (Benthos), Hildegunn Mjanger (Demersal fish), Lisbet Solbakken (Demersal fish), Claudia Erber (Marine mammals observer), Frode Holen (Marine mammals observer), Asgeir Steinsland (Instrument chef ), Leif Johan Ohnstad (Instrumentation), Eli Gustad (Plankton), Jacob Max Christensen (Scientist guest, UiT), Nicolas Straube (Scientist guest, University museum).

”G.O. Sars” (19.08–16.09)

Part 1 (19.08-02.09)

Rupert Wienerroither Cruise leader), Heidi Gabrielsen (Benthos), Else Holm (Demersal fish), Erlend Lindau Langhelle (Demersal fish), Tommy Gorm-Hansen Tøsdal (Pelagic fish), Frøydis Tousgaard Rist (Pelagic fish), Jon Rønning (Plankton), Andrey Voronkov (Benthos), Irene Huse (Demersal fish), Celina Eriksson Bjånes (Demersal fish), Thomas André Sivertsen (Marine mammals observer), Lars Kleivane (Marine mammals observer), Egil Frøyen (Instrumentation), Frank Storebø (Instrumentation), Hege Skaar (Plankton), Edel Erdal (Environmental chemist), Guri Nesje (Environmental chemist), Alex Rosa Casla (student/guest).

Part 2 (02.09-16.9)

Irene Huse (Cruise leader), Heidi Gabrielsen (Benthos), Andrey Voronkov (Benthos), Else Holm (Demersal fish), Anne Sæverud (Demersal fish), Thomas André Sivertsen (Marine mammal observer), Anna Tiu Kristina Simila (Marine mammal observer), Martin Dahl (Instrument chef), William Skjold (Instrumentation), Marianne Petersen (Plankton), Audun Hjertager (Demersal fish), Grethe Beate Thorsheim (Demersal fish), Susanne Tonheim (Pelagic fish), Stine Karlson (Pelagic fish), Jane Strømstad Møgster (Plankton), Tanja Kogel (Environmental chemist), Anders Fuglevik (Environmental chemist), Alex Rosa Casla (student/guest).

”Johan Hjort” (25.08-30.09)

Part 1 (25.08-11.09)

Knut Korsbrekke (Cruise leader), Alexander Plotkin (Benthos), Vidar Fauskanger (Demersal fish), Silje Seim (Demersal fish), Sigmund Grønnevik (Demersal fish), Magne Olsen (Demersal fish), Rune Strømme (Instrumentation), Fredrik Gelin (Instrumentation), Erling Boge (Pelagic fish), Vilde Regine Bjørdal (Pelagic fish), Eli Gustad (Plankton), Hilde Arnesen (Plankton), Penny Lee Liebig (Benthos), George McCallum (Marine Mammal observer), Anthony Mayer (Marine Mammal observer), Hilde Elise Heldal (Environmental chemist), Grethe Tveit (Environmental chemist), Aslak Roaldkvam Skåra (Norwegian Radiation and Nuclear Safety Authority/guest).

Part 2 (11.09-30.09)

Georg Skaret (Cruise leader), Ragni Olssøn (Benthos), Frederike Boehm (Marine Mammal observer), Anne Kari Sveistrup (Benthos), Sofie Gundersen (Demersal fish), Vidar Fauskanger (Demersal fish), Halvard Aas Midtun (Demersal fish), Rune Strømme (Instrumentation), Fredrik Gelin (Instrumentation), Timo Meissner (Pelagic fish), Frøydis Tousgaard Rist (Pelagic fish), Tommy Gorm-Hansen Tøsdal (Pelagic Fish), Monica Martinussen (Plankton), Linda Fonnes Lunde (Plankton), Yasmin Hunt (Marine Mammal observer).

 

2 - Survey Execution

Figures by: S. Karlson and E. Bagøien

BESS aims to cover the entire ice-free area of the Barents Sea and, from   south to north. The ecosystem stations are distributed on a regular 35×35 nautical mile regular grid except for the slope around Svalbard/Spitsbergen, with additional bottom trawl hauls for demersal fish indices estimation and additional acoustic transects east for Svalbard/Spitsbergen for the capelin stock size estimation. The planned vessel tracks for BESS 2024 are given in fig. 2.1.
BESS 2024 was largely implemented according to the plan. The realized tracks of the research vessels with the sampling taken are shown in Figs. 2.2 and 2.3. The execution of BESS 2024 did not reveal any major changes or irregularities. A relatively large part of the Russian EEZ to the west of the Novaya Zemlya was closed for fishing at the request of the Russian Ministry of Defence, so survey area along the archipelago coast was not fully covered (Fig. 2.2). The restricted navigation area along Novaya Zemlya leads to a gap in information on fish and invertebrates, primarily cod, polar cod and snow crab. The Norwegian vessel 'Johan Hjort' suffered technical problems and had to end the cruise a week early. In order to cover the capelin area, “Kronprins Haakon” changed plans and went into the capelin area, working northwards and then covering the north and west of Svalbard/Spitsbergen. Due to fishing restrictions on the Russian shelf, some of the coverage of Loophole has been shared between Russian and Norwegian vessels. Bad weather throughout the survey slowed down the progress of the survey. The Russian vessel was given five extra vessel-days compared to original plan. However, a strong and lasting storm in the end of September prevented the survey and the north and north-eastern parts of the sea was not surveyed as in previous years (Figs. 2.2 and 2.3). Still, BESS 2024 was largely conducted according to the planned coverage, except small area west of Svalbard/Spitsbergen and west of Novaya Zemlya. The planned schedule for BESS 2024 was 149 days (99NOR+55RUS), while the effective vessel days (time be-tween first and last sample in the vessel logs) was 135 days (82NOR+53RUS). The difference between the two is as expected, as vessels need time for sailing to and from the harbor and preparation before sampling and bad weather. The temporal and spatial progression during the survey was good (Fig. 2.4). Note that in reports from earlier years, only the planned schedule is reported.
The ecosystem survey in 2024 was similar to previous years, covering most ecosystem components. In addition, the standard oceanographic sections "Vardø-Nord" and "Hinlopen" with lower effort (due to weather conditions and technical problems) were taken by the Norwegian vessels and the “Kola” (twice) and Kanin sections were taken by the Russian vessel (Fig. 2.3). During the BESS, in total 320 pelagic hauls, 317 demersal hauls, 393 CDT and 393 plankton nets were taken.


 

Figure 2.1. BESS 2024 planned survey map with ecosystem stations and vessel tracks
Figure 2.1. BESS 2024 planned survey map with ecosystem stations and vessel tracks.

Figure 2.2 BESS 2024, realized vessel tracks with pelagic and bottom trawl sampling stations, note that some trawl stations are taken in addition to the regular ecosystem stations
Figure 2.2 BESS 2024, realized vessel tracks with pelagic and bottom trawl sampling stations, note that some trawl stations are taken in addition to the regular ecosystem stations.

Figure 2.3 BESS 2024 realized vessel tracks with hydrography, plankton and other samples at ecosystem stations
Figure 2.3 BESS 2024 realized vessel tracks with hydrography, plankton and other samples at ecosystem stations. 

 


Figure 2.4 Progression of BESS 2024 in space and time. Points represent samples taken at ecosystem sta-tions during the survey. The point’s colour indicates the number of Julian days between the first and last day of the survey. The colours scale from blue (early in the survey) to red (late in the survey).
Figure 2.4 Progression of BESS 2024 in space and time. Points represent samples taken at ecosystem stations during the survey. The point’s colour indicates the number of Julian days between the first and last day of the survey. The colours scale from blue (early in the survey) to red (late in the survey).

 


2.1  Sampling methods

In 2024, compared to 2023, there were no changes in sampling gear. Manta trawl was included as standard equipment for monitoring microplastics at BESS in 2022 and was also used in 2024. Fifty samples were collected on Russian vessel and 34 on board Norwegian vessels. A new length stratified individual sampling of haddock was introduced in 2022, increasing samples from one to two fish taken per 5 cm group. This was continued in 2024. 
Plankton stations were carried out within the entire survey water area with sampling in the bottom-0 m layer. On the Kola hydrological section, plankton sampling collected separate for the layers: bottom-0 m, 100-0 m and 50-0 m.
The survey sampling manuals can be obtained by contacting the survey coordinators.
These manuals include methodological and technical descriptions of equipment, the trawling and capture procedures by the sampling tools, sampling and registration of the catch in the lab, and the methods that are used for calculating the abundance and biomass of the biota.

2.2.1 Special investigations

BESS is a useful platform for conducting additional studies in the Barents Sea. These studies can be testing of new methodology, sampling of data additional to the standard monitoring, or sampling of other types of data. It is imperative that the special investigations do not influence the   standard monitoring activities at the survey. The special investigations vary from year to year, and below is a list of special investigation conducted on Russian and Norwegian vessels at BESS 2024, with contact persons. This chapter also briefly mentions some investigations that are typical during survey but not described in the main text of the BESS Report.

                     2.2.1.1 Annual monitoring of pollution levels

In 2024 PINRO continued the annual monitoring of pollution levels in the Barents Sea in accordance with a national program. Samples of seawater, sediments, fish and invertebrates was collected and analysed for persistent organic pollutants (POPs, e.g. PCBs, DDTs, HCHs, HCB) and heavy metals (e.g. lead, cadmium, mercury) and arsenic. The samples were collected at RV "Vilnyus" during BESS in different parts of the Barents Sea. The results from chemical analyses are available in the annual PINRO report “Status of biological resources…”. 

Contact: Andrey Zhilin, PINRO (zhilin@pinro.vniro.ru)

                     2.2.1.2 Collection of samples for biochemical studies

Frozen samples of commercial and non-commercial fish and invertebrates were collected for biochemical studies (ratio of body parts, chemical composition of nutrients, molecular weight of muscle proteins, amino acids and lipid fractions composition) in accordance with a research program. Samples were frozen at a temperature  -18°C immediately after catching before rigor mortis.

Contact: Kira Rysakova, PINRO (rysakova@pinro.vniro.ru)

                       2.2.1.3 Fish pathology research

PINRO undertakes yearly investigations of fish diseases in the Barents Sea (mainly in REEZ). Seven commercially important fish species (total 10 thousand ind.) were studied. Red king crabs (83 ind.) and snow crabs (total 197 ind.)  were examined also for define  “shell disease of crustaceans”. The main purpose of the pathology research is annual estimation of epizootic state of commercial fish and crabs species. The observations are entered into a database on pathology. This investigation was started by PINRO in 1999. Results are available in the annual PINRO report “Status of biological resources…”

Contact: Irina Mukhina, PINRO (imukhina@pinro.vniro.ru)

                     2.2.1.4 Parasitological study

In 2023, observations of the infestation of commercial fish species with helminths that are hazardous to human health continued on board the RV Vilnyus. Cod, haddock, polar cod, capelin, Atlantic herring place and LRD were examined in order to identify hazardous parasites. The results will be published later in PINRO annual report. Moreover, parasite larvae Pseudoterranova sp. from different areas of the Barents Sea were collected and fixed for further genetic studies.

Contact: Irina Mukhina, PINRO (imukhina@pinro.vniro.ru)

                     2.2.1.5 Plankton and fish calorie content investigation

In August and October, hydrochemical observations were made onboard RV “Vilnyus” in the Kola section. Dissolved oxygen in the surface and bottom layers as well as biochemical oxygen demand during 5 days in the bottom layer were measured.

Contact: Igor Manushyn, PINRO (manushyn@pinro.vniro.ru)

                     2.2.1.6 Hydrochemical observations

In August and October, hydrochemical observations were made onboard RV “Vilnyus” in the Kola section. Dissolved oxygen in the surface and bottom layers as well as biochemical oxygen demand during 5 days in the bottom layer were measured.

Contact: Alexander Trofimov, PINRO (trofimov@pinro.vniro.ru)

                   2.2.1.7  Fish diet study

Since 2004, investigations of diet of most abundant pelagic and demersal fish have been conducted annually during the BESS. In 2024 survey, onboard of  Russian vessels stom-achs of polar cod (225), capelin (125), Atlantic herring (225) cod (269), haddock (152), Greenland halibut (87) and skates (14) were collected and fixed for detail analysis. In addition, 15 kg of small non-commercial fish were frozen whole. Express quantitative analysis onboard RV “Vilnyus” during the cruise include of 3213 stomachs of 16 fish species. Of these, 849 cod stomachs were analyzed. 
Onboard of Norwegian vessels 1020 stomachs of cod were collected and frozen for detailed analysis. In addition, samples were collected and frozen for capelin, polar cod and Atlantic herring.

Contact: Andrey Dolgov, PINRO (dolgov@pinro.vniro.ru), Irina Prokopchuk, PINRO (irene_pr@pinro.vniro.ru), Bjarte Bogstad, IMR (bjarte.bogstad@hi.no)

3 - Data Management

3.1 Data Bases

A wide variety of data are collected during the ecosystem surveys. All data collected during the BESS are quality controlled and verified by experts: oceanography by Randi B. Ingvaldsen (IMR) and Aleksandr Trofimov (PINRO) fish catch data by Herdis Langøy Mørk (IMR) and Tatyana Prokhorova (PINRO) during and after the survey; plankton data by Jon Rønning and Espen Bagøien (IMR) and Irina Prokopchuk (PINRO); benthos data by Anne Kari Sveistrup (IMR) and Nataliya Strelkova (PINRO); and marine mammals data by Frederike Boehm (IMR) and Roman Klepikovskiy (PINRO). The  data are stored in IMR and PINRO national databases, with different formats. However, the data is exchanged so that both sides have access to each other’s data and use equal joint data. 

3.2 Data Application

The BESS aimed to cover the whole Barents Sea ecosystem geographically and provide survey data for commercial fish and shellfish stock estimation. Stock estimation is particularly important for capelin, because capelin TAC is based on the survey result, and the Norwegian-Russian Fishery Commission determines TAC immediately after the survey. In addition, a broad spectrum of physical variables, ecosystem components and pollution are monitored and reported. The survey data will be used by each party for various purposes within the framework of national and international programs.

This survey report is based on joint data and contains the main results of the monitoring. The survey report will be published in the IMR/PINRO Joint Report series. Missing chapters will be published in the 2025 BESS survey report.

From 2026, the BESS report will be published in a report series named  «IMR/Polar Branch of VINRO Joint Report Series».

All reports from BESS from 2004 until the latest are available at this web site: https://imr.brage.unit.no/imr-xmlui/handle/11250/2658167.

 

4- Marine Environment

4.1 Hydrography

The report on marine environment Ch. 4.1  will be included in the survey report for the 2025 BESS.

4.2  Anthropogenic pollution

4.2.1  Marine litter

Figures by: D. Prozorkevich

Surface observations of litter were carried out along the known-length transects of with marine mammal observations from Norwegian and Russian vessels.

Plastic was the most frequent material type of floating litter observations (69.0 % of observations) (Fig. 4.2.1.1). The maximum surface observation of plastic litter was 0.30 m3 per nm (a roll of rope from a crab trap). The average surface observation of plastic was 0.007 m3 per nm. Fishery related litter was recorded in 46.9 % of plastic litter observations at the surface (Fig. 4.2.1.2). Fishery related plastic was represented by ropes, pieces of nets and floats/buoys. Fishery plastic maximum and average volume was 0.30 m3 per nm and 0.014 m3 per nm, respectively, and it is larger than non-fishery plastic (maximum and average observations of 0.001 m3 per nm and 0.0001 m3/ per nm, respectively).

Treated wood (wooden sticks, pallets and logs) was recorded in 23.9 % of the surface litter observations. The maximum observation of wood was 0.08 m3 per nm, with the average of 0.015 m3 per nm. It should be noted that wood is the natural type of litter and biodegrades naturally in the environment.

Metal, paper and rubber were observed singularly (1.4-4.2 % of the observations).

Figure 4.2.1.1 Type of observed anthropogenic litter at the surface in the BESS 2024 (m3/ nm)
Figure 4.2.1.1 Type of observed anthropogenic litter at the surface in the BESS 2024 (m3/ nm).

 

Figure 4.2.1.2 Litter observations of plastic at the surface indicated as fishery related and other litter in the BESS 2024 (m3/ nm)
Figure 4.2.1.2 Litter observations of plastic at the surface indicated as fishery related and other litter in the BESS 2024 (m3/ nm).

Observations of litter in the trawl stations were done during the survey. Onboard the Norwegian vessels litter from trawls were recorded according to the international manual for seafloor litter data collection and reporting from demersal trawl samples. Onboard the Russian vessels a detailed description of the litter was carried out, which then made it possible to classify.

Anthropogenic litter was observed in 11.3 % of pelagic trawl stations (Fig. 4.2.1.3). Plastic usually is the most frequent material type observed in pelagic trawls and constituted 97.2 % of the observations (it was recorded in 11.0 % of all pelagic trawls). Weight of plastic litter from pelagic trawls varied from 0.00004 kg per nm to 0.149 kg per nm, with an average of 0.007 kg per nm. Fishery related litter (such as ropes made from synthetic fibres and pieces of fishing net) constituted 54.3 % of litter registrations from pelagic trawls (Fig. 4.2.1.4).

Other types of litter in pelagic trawls are textile (observed in 1.3 % of pelagic trawl stations and constituted 11.1 % of the litter observations) and unrecognisable items and items that do not fit in other categories («other»), which was registered only in one pelagic station. Weight of textile varied from 0.001 kg per nm to 0.003 kg per nm. It should be noted that textile is a natural product, e.g. ropes made from natural fibres (such as cotton, sisal, hemp, or coir) or all types of clothing (textile and woven products).

From the bottom trawls, 24.2 % of the stations contained litter (Fig. 4.2.1.5). Plastic was the most frequently observed material in the bottom trawls as in the pelagic (89.0 % of stations with observed litter and 21.5 % of the bottom trawls). Weight of plastic litter in bottom trawls varied from 0.0001 kg per nm to 1.248 kg per nm, with an average of 0.04 kg per nm. Fishery related litter constituted 64.6 % of registrations from bottom trawls (Fig. 4.2.1.6).

Wood (processed objects made of wood, e.g. logs, or planks) and textile belong to categories of natural product. Wood was observed in 2.6 % of bottom trawl stations (in 11.0 % bottom trawls with litter registrations). Weight of wood in bottom trawls varied from 0.006 kg per nm to 0.786 kg per nm, with an average of 0.28 kg per nm. Textile was registered in 3.6 % of bottom trawl stations (in 15.1 % bottom trawls with litter). Weight of wood in bottom trawls was 0.001-0.115 kg per nm, with an average of 0.02 kg per nm.

Other material types of litter (metal, glass or unrecognisable items) were observed in bottom trawls singularly (2.7-5.5 % of the bottom trawl stations with observed litter).

Figure 4.2.1.3 Type of anthropogenic litter collected in the pelagic trawls (kg per nm) in the BESS 2024 (crosses – pelagic trawl stations)
Figure 4.2.1.3 Type of anthropogenic litter collected in the pelagic trawls (kg per nm) in the BESS 2024 (crosses – pelagic trawl stations).

 

Figure 4.2.1.4 Fishery related plastic observation versus other plastic litter collected in the pelagic trawls in the BESS 2024 (kg per nm, crosses – trawl stations)
Figure 4.2.1.4 Fishery related plastic observation versus other plastic litter collected in the pelagic trawls in the BESS 2024 (kg per nm, crosses – trawl stations).

 

Figure 4.2.1.5 Type of anthropogenic litter collected in the bottom trawls (kg per nm) in the BESS 2024 (crosses – bottom trawl stations)
Figure 4.2.1.5 Type of anthropogenic litter collected in the bottom trawls (kg per nm) in the BESS 2024 (crosses – bottom trawl stations).

 

Figure 4.2.1.6 Fishery related plastic observation versus other plastic litter collected in the bottom trawls in the BESS 2024 (kg per nm, crosses – trawl stations)
Figure 4.2.1.6 Fishery related plastic observation versus other plastic litter collected in the bottom trawls in the BESS 2024 (kg per nm, crosses – trawl stations).

 

5 - Plankton Communities

5.1 Phytoplankton

Text and figures by: Sarah Lerch

Samples used to characterize phytoplankton community composition and abundance were collected from a total of 88 stations over the course of three separate cruises. Samples were collected from Hinlopen and Vardø-Nord Extended during the BESS between August and October. In this report we also present results that were obtained on other cruises (Fugløya-Bjørnøya section in June and September) but are relevant for research at BESS. Microscopy was used to identify and quantify taxa in 30 preselected stations along the section, covering multiple Barents sea sub-regions (Fig. 5.1.1). Algae-net and metabarcoding samples were also collected which can be used to qualitatively assess community composition. In total, 18 Algae-net and 55 metabarcoding samples were collected.

Samples for algal cell counts (100 ml) were taken from 10 m CTD collected water and fixed in Neutral Lugol. Microscope counts were performed following the Utermöhl (1958) method on CTD samples to quantify abundance and community composition at the IMR Flødevigen Plankton Laboratory. Qualitative Algae-net samples were collected using a vertical net tow (10 μm mesh; 0.1 m2 opening; 30-0 m), fixed with 2 ml 20% formalin in a 100 ml bottle and stored for future use. Metabarcoding samples were collected by filtering approximately 2 l of seawater, pre-filtered with 180 µm mesh, on to 25 mm filters with a pore size of 5 µm. Samples were then stored at -80 °C for future DNA extraction and sequencing.

Microscopy algal counts include heterotrophic and autotrophic groups, these communities will therefore be referred to as microplankton in the summarized results below.

5.1.1  Results 

Based on microscopy counts, the average concentration of Barents Sea microplankton in the late summer/ early fall (August-October) was 3.89×105 ± 5.68×105 cells l-1. The average community was numerically dominated by flagellates (55%, 2.16×105 ± 5.91×105 cells l-1), cryptophytes (14%, 5.48×104 ± 4.27×104 cells l-1), and haptophytes (9%, 3.51×104 ± 9.03×104 cells l-1).

Microplankton abundances and communities varied spatially across the Barents Sea in the late summer/ early fall (Figure 5.1.2). Cell concentrations varied by two orders of magnitude between stations with a minimum concentration of 2.76×104 cells l-1 and maximum of 2.89×106 cells l-1. Higher concentration stations were generally found on the southern section of the Vardø-N Extended transect. The community at the highest concentration station was almost completely comprised of flagellates, other stations showed a more diverse mixture of flagellates with cryptophytes and in some cases haptophytes.

Within these data diatoms are the only purely photosynthetic group described at a high taxonomic level. During the late summer/ early fall diatom abundance was relatively low, with the most abundant stations found in the south (Figure 5.1.3). Pseudo-nitzschia  section. Leptocylindrus danicus, Proboscia alata, and Cylindrotheca were numerically important at some of the higher abundance stations within the Vardø-Nord section.

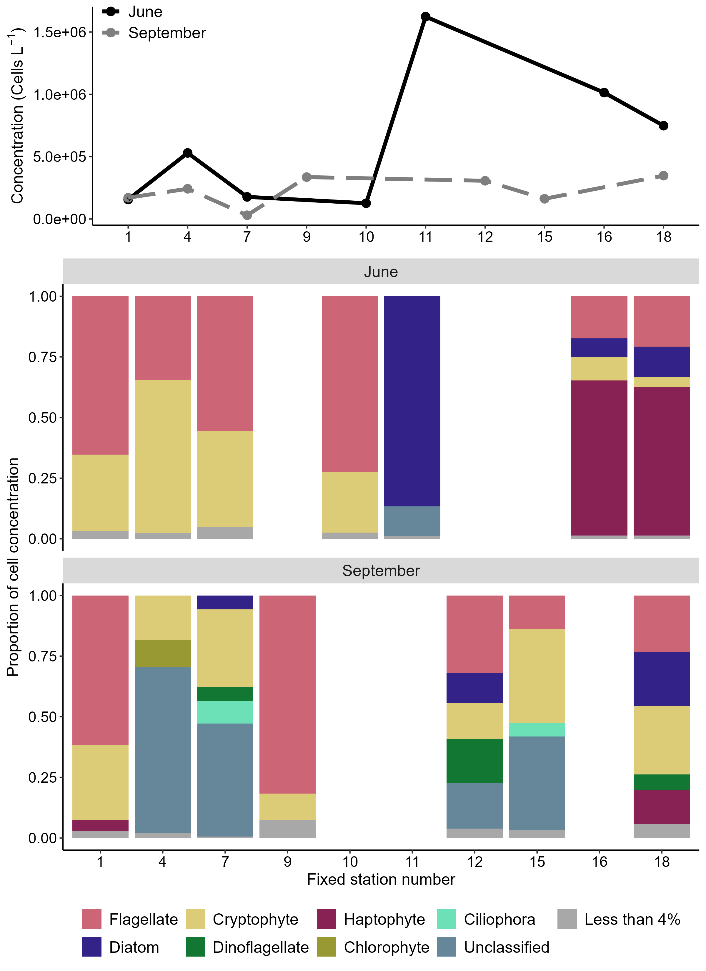
The combination of June and September sampling along the Fugløya-Bjørnøya transect allows us to describe seasonal differences in microplankton cell concentrations and community composition.  Average cell concentrations measured were the same order of magnitude in June (6.25×105 ± 5.54×105 cells l-1) and September (2.28×105 ± 1.15×105 cells l-1), although June samples were characterized by greater intra-station variability with particularly high cell concentrations at fixed stations 11 and 16 in June (Figure 5.1.4). At the broad taxonomic group level, the June Fugløya-Bjørnøya section communities were less diverse than September communities, with three stations numerically dominated by either diatoms or haptophytes (Figure 5.1.4). Diatom communities had no overlapping, abundant (> 15%), taxa between June and September (Figure 5.1.5). Chaetoceros, Corethron hystrix, and Thalassiosira were found exclusively in the June samples. In contrast, Cylindrotheca, Pseudo-nitzschia, Proboscia alata, and Guinardia delicatula were found exclusively in September.  

Figure 5.1.1. Map showing stations where phytoplankton samples were collected
Figure 5.1.1. Map showing stations where phytoplankton samples were collected. Shapes indicate sampling activities at a given station: circle- metabarcoding sample collection, square- microscopy sample collection and analysis, star: algae-net sample collection. Color indicates the cruise when sampling occurred, blue: ecosystem, dark gray: September transect cruise, light gray: June transect cruise. Italicized labels indicate fixed sections. Outlined and labeled areas indicate Barents Sea sub-regions. Station locations along Fugløya-Bjørnøya section are shifted to reduce overlap of samples collected during separate cruises.

Figure 5.1.2. Map showing microplankton community composition and abundance for samples collected August-October 2024.
Figure 5.1.2. Map showing microplankton community composition and abundance for samples collected August-October 2024. Pie chart radii scale to cell concentrations in cells per liter based on key. Divisions within pie charts show the contributions from broad taxonomic groups. Italicized labels indicate fixed sections. All groups which comprised < 4% of the community are summed.

Figure 5.1.3. Map showing diatom community composition and abundance for samples collected August-October 2024.
Figure 5.1.3. Map showing diatom community composition and abundance for samples collected August-October 2024. Divisions within pie charts show taxonomic groups to the highest possible resolution. Pie chart radii scale to cell concentrations in cells per liter based on key. All groups which compromised < 5% of the community are summed.

 

 

                                                                                                                                                                                                     

Figure 5.1.4. Plots showing patterns in microplankton abundance (top) and community composition (bottom) along the Fugløya-Bjørnøya transect during June and September in 2024.
Figure 5.1.4. Plots showing patterns in microplankton abundance (top) and community composition (bottom) along the Fugløya-Bjørnøya section during June and September in 2024. All groups which comprised < 4% of the community at a given station are summed for ease of visualization. Fixed station numbers increase as station locations move north.

Figure 5.1.5. Plots showing patterns in diatom abundance (top) and community composition (bottom) along the Fugløya-Bjørnøya transect in June and September 2024.
Figure 5.1.5. Plots showing patterns in diatom abundance (top) and community composition (bottom) along the Fugløya-Bjørnøya section in June and September 2024. Taxonomy is shown at the highest possible resolution. All groups which compromised to < 15% of the community at a given station are summed for ease of visualization. Fixed station numbers increase as station locations move north.

5.2. Mesozoplankton biomass and geographic distribution

Text by: Espen Bagøien and Irina Prokopchuk

Figures by: Espen Bagøien

5.2.1 Data collection

Mesozooplankton sampling stations during the BESS in 2024 are shown in Fig. 5.2.1. In the Norwegian sector the WP2 net (opening area ~ 0.25 m2) was applied, while in the Russian sector the Juday net (opening area ~ 0.11 m2) was used. Both gears were rigged with nets of mesh-size 180 μm and hauled vertically from near the bottom to the surface. The WP2 and Juday nets provide roughly comparable results with respect to mesozooplankton biomass and species composition (Skjoldal et al., 2019). The Norwegian biomass samples are dried before weighing, while the Russian samples are preserved in 4% formalin and their wet weight determined. Dry-weight is then estimated by dividing the wet-weight with a factor of 5.

The time-periods for sampling in the Russian and Norwegian sectors were similar this year (Fig. 2.4).

The spatial distribution of total mesozooplankton biomass shown in Fig. 5.2.1 is based on a total of 293 stations, of which 161 were located in the Norwegian sector and 132 in the Russian sector. Within the Norwegian sector, the average biomass was 6.2 (± 4.8 SD) g dry-weight m-2. The average zooplankton biomass for the samples within the Russian sector was 7.5 (± 4.5 SD) g dry-weight m-2. All stations shown in Fig. 5.2.1 are included in the 2024 biomass averages here presented. Note that 10 stations in the central Barents Sea were sampled both by IMR and PINRO (not shown). In these specific cases the IMR data were excluded from Fig. 5.2.1 as well as the calculations of biomass given above.

Comparison of average biomasses across years is vulnerable to differing area coverages. Challenges in covering the same area over a series of years are inherent in such large-scale monitoring programs, and interannual variation in ice-cover and logistical issues are two of several reasons for this. To improve the regularity of the sampling grid across the survey area in 2024, stations belonging to the Hinlopen-section north of Svalbard/Spitsbergen as well as the Vardø-North section were omitted when calculating average biomass (excluded from Fig. 5.2.1). Differences in spatial coverage among years, as well as spatial variability in station density within the survey region will impact biomass estimates, and particularly so in an environment characterized by large-scale patterns in biomass distribution. Hence, the average biomasses for the Norwegian and Russian sectors as presented here are not directly comparable with those from other years.


Figure 5.2.1. Distribution of total zooplankton biomass (g dry-weight m-2) from near-bottom to surface in the Barents Sea during BESS 2024 – based on a total of 293 stations. The data visualized were collected by WP2 and Juday nets with mesh-size 180 mm. Interpolation was made in ArcGIS v.10.8, module Spatial Analyst, using inverse distance weighting (IDW).
Figure 5.2.1. Distribution of total zooplankton biomass (g dry-weight m-2) from near-bottom to surface in the Barents Sea during BESS 2024 – based on a total of 293 stations. The data visualized were collected by WP2 and Juday nets with mesh-size 180 μm. Interpolation was made in ArcGIS v.10.8, module Spatial Analyst, using inverse distance weighting (IDW).

Such challenges fall outside the scope of this cruise report, but are addressed in other fora, for instance by analysing time-series within spatially consistent sub-areas.

The overall distribution patterns show similarities across years, although some interannual variability is apparent. In 2024 we observed the familiar pattern of comparatively high biomasses in the southwestern region, and north and north-east of Svalbard/Spitsbergen, as well as the deeper parts of the southeastern region. The biomasses were relatively low in the central regions including the bank areas, and very low in the southeastern corner of the Barents Sea (Fig. 5.1.1).

Several factors may impact the levels of zooplankton biomass in the Barents Sea;

  • Advective supply of zooplankton from the Norwegian Sea
  • Local zooplankton production rates – which are linked to temperature, nutrient conditions and primary production rates
  • Predation from carnivorous zooplankters (jellyfish, krill, hyperiids, chaetognaths, etc.)
  • Predation from planktivorous fish including capelin, young herring, polar cod, juveniles of cod, saithe, haddock, and redfish
  • Predation from marine mammals and seabirds

 

6 - Fish Recruitment

The release of this chapter is postponed to the 2025 BESS report due to the ongoing process of transferring the index estimations to the StoX platform

7 - Commercial Pelagic Fish

Figures by S. Karlson, F. Rist, G. Skaret

This chapter has been pre-released as "Skaret & Prozorkevich 2025 Commercial pelagic fish - Pre-released contribution to the scientific report from the Norwegian and Russian Barents Sea ecosystem surveys in August-October 2024 (BESS). IMR/PINRO Joint Report Series 2025/2, 26 pp."

7.1    Capelin (Mallotus villosus)

The coverage of the capelin distribution was synoptic with very high effort allocated to the important bank areas. The capelin coverage was considered to be close to complete for 2024 (see Figure 7.1.1.1), even though the south-western part of the shelf west of Svalbard/Spitsbergen was not covered. This west shelf is normally not an area with important amounts of capelin. A summary of the capelin stock assessment for 2024 is given in Barents Sea capelin advice sheet 2024 with more details provided in Barents Sea capelin assessment report 2024.

7.1.1   Geographical distribution

The geographical distribution of capelin recorded acoustically is shown in Figure 7.1.1.1. The capelin was distributed quite far north, but not as far north as last year when the population size was much higher. The main distribution area was the Great Bank which is the normal core area at this time of the year. Some recordings were also made north of Svalbard/Spitsbergen which was also observed last year.


Figure. 7.1.1.1 Geographical distribution of capelin in autumn 2024 based on acoustic recordings. Circle sizes correspond to NASC values (m2/nmi2) per nautical mile.
Figure. 7.1.1.1 Geographical distribution of capelin in autumn 2024 based on acoustic recordings. Circle sizes correspond to NASC values (m2/nm2) per nm.

7.1.2   Abundance by size and age

A detailed summary of the acoustic stock estimate is given in tab. 7.1.2.1, and the time series of abundance estimates is summarized in tab. 7.1.2.2. A comparison between the estimates in 2024 and 2023 is given in tab. 7.1.2.3 with the 2023 estimate shown on a shaded background.

The total stock in the covered area was estimated to about 887 thousand t, which is only about a third of the long-term average level (2.79 million t). About 60 % (534 thousand t) of the 2024 stock had length above 14 cm and was therefore considered to be maturing. In terms of biomass, the contribution to the total was quite equal for 1, 2, 3 and 4 year-olds (tab. 7.1.2.1). The abundance of 1 and 3 year-olds was less than a third of the long term average and 2-year-olds less than a sixth of the long term average. Only the abundance of 4 year-olds (2020-yearclass) and 5 year-olds (2019-yearclass) were stronger than the long-term average.

Average weight at age increased compared to last year for the age groups 2-4. For 3 and 4 year-olds it was still well below the long term average, whereas it was above the long term average for 1 and 2-year-olds (fig. 7.1.2.1 and tab. 7.1.2.2).


Length (cm) Age/year class Sum (10^9) Biomass (10^3 t) Mean weight (g)
  1 2 3 4 5 6
  2023 2022 2021 2020 2019 2018
6.5-7.0 0.434           0.434 0.099 1.25
7.0-7.5 2.008           2.008 2.131 1.26
7.5-8.0 4.859           4.859 7.281 1.74
8.0-8.5 5.469           5.469 9.720 2.11
8.5-9.0 8.887           8.887 19.094 2.54
9.0-9.5 7.793           7.793 20.755 3.11
9.5-10.0 8.836           8.837 27.217 3.64
10.0-10.5 7.589 0.052         7.641 32.441 4.33
10.5-11.0 5.493 0.086         5.578 27.135 4.89
11.0-11.5 3.902 0.117         4.019 22.483 5.70
11.5-12.0 2.241 0.793         3.034 20.655 6.87
12.0-12.5 0.390 1.407 0.051       1.848 14.581 7.94
12.5-13.0 0.599 2.671 0.066       3.336 29.409 8.90
13.0-13.5 0.058 4.534 0.346 0.127     5.066 52.743 10.37
13.5-14.0   3.947 1.255 0.527     5.729 67.374 11.74
14.0-14.5   2.136 1.896 0.828 0.211   5.071 66.915 13.24
14.5-15.0   2.067 2.725 2.205 0.091   7.089 105.034 14.85
15.0-15.5   1.218 3.310 2.210 0.342 0.023 7.103 119.925 16.83
15.5-16.0   0.515 1.638 1.575 0.161   3.889 74.262 19.29
16.0-16.5   0.207 1.233 1.179 0.391   3.010 62.802 20.99
16.5-17.0   0.066 0.421 1.041 0.090 0.001 1.618 40.243 24.91
17.0-17.5   0.022 0.281 0.744 0.158   1.205 33.617 27.84
17.5-18.0     0.172 0.396 0.069   0.637 19.946 31.48
18.0-18.5     0.040 0.232     0.272 9.444 35.45
18.5-19.0       0.019     0.019 0.730 39.00
19.0-19.5       0.002     0.002 0.047 31.00
19.5-20.0                  
20.0-20.5         0.019   0.019 0.576 31.00
TSN (109) 58.560 19.837 13.434 11.084 1.534 0.024 104.473    
TSB (103 t) 190.690 233.120 220.203 212.774 29.479 0.395   886.661  
Mean length (cm) 9.55 13.47 14.85 15.37 15.52 15.75      
Mean weight (g) 3.96 11.90 16.19 18.97 18.04 20.33     8.49
SSN (109)   6.230 11.716 10.430 1.534 0.024 29.933    
SSB (103 t)   97.708 201.022 204.937 29.479 0.395   533.541  

Table 7.1.2.1. Barents Sea capelin. Summary of results from the acoustic estimate in August-September 2024. The table is generated from the mean of 1000 bootstrap replicates based on calculations in StoX 4.0. TSN: Total stock number. TSB: Total stock biomass. MSN: Maturing stock number. MSB: Maturing stock biomass. (Footnote attached after table).

Estimates based on Target strength (TS) Length (L) relationship : TS= 19.1 log (L) – 74.0

 

Figure 7.1.2.1. Weight at age for capelin from capelin surveys (prior to 2003) and BESS.
Figure 7.1.2.1. Weight at age for capelin from capelin surveys (prior to 2003) and BESS.

 

Year Age Sum
1 2 3 4 5
BM1 W1 BM2 W2 BM3 W3 BM4 W4 BM5 W5 TSB
1973 1.71 3.2 2.29 6.1 0.73 18.4 0.41 23.9 + 27.3 5.15
1974 1.08 3.6 3.06 5.6 1.52 8.8 0.07 20.7 + 25.1 5.74
1975 0.66 3.4 2.44 7.0 3.24 10.9 1.48 17.1 0.01 28.1 7.82
1976 0.79 3.7 1.95 8.4 2.08 12.8 1.34 17.5 0.26 21.3 6.42
1977 0.72 2.0 1.43 8.2 1.64 16.7 0.84 20.9 0.17 23.3 4.80
1978 0.24 2.9 2.62 6.7 1.19 15.7 0.18 20.6 0.02 25.7 4.25
1979 0.06 4.7 2.48 7.4 1.52 13.3 0.10 21.1 + 24.1 4.16
1980 1.22 4.5 1.84 9.4 2.82 18.2 0.83 25.1 0.01 21.8 6.72
1981 0.92 2.3 1.81 9.2 0.82 17.1 0.33 24.2 0.01 29.1 3.89
1982 1.22 2.3 1.33 9.0 1.18 20.8 0.05 25.0     3.78
1983 1.61 3.1 1.89 9.4 0.73 19.0 0.01 22.2     4.23
1984 0.57 3.7 1.42 7.6 0.89 18.4 0.09 28.3     2.96
1985 0.17 4.4 0.40 8.4 0.27 12.9 0.01 16.3     0.86
1986 0.02 3.8 0.05 10.1 0.05 13.6 + 16.2     0.12
1987 0.08 2.1 0.02 12.2 + 14.1 + 34.0     0.10
1988 0.07 3.4 0.35 12.2 + 16.6         0.43
1989 0.62 3.3 0.20 11.4 0.05 19.5 + 22.4     0.87
1990 2.67 3.8 2.71 15.3 0.45 27.6 + 22.2     5.84
1991 1.53 3.8 5.07 8.7 0.64 19.4 0.04 29.5     7.28
1992 1.25 3.6 1.70 8.6 2.17 16.8 0.04 28.6     5.16
1993 0.01 3.4 0.49 9.1 0.26 14.9 0.04 18.5     0.80
1994 0.09 4.4 0.04 11.1 0.07 16.5 + 18.1     0.20
1995 0.05 6.7 0.11 13.8 0.03 16.7 0.01 23.0     0.19
1996 0.24 2.9 0.21 18.6 0.05 23.8 + 26.7     0.50
1997 0.41 4.2 0.45 11.5 0.04 23.2 + 23.5     0.91
1998 0.81 4.5 0.97 13.3 0.26 24.3 0.02 27.8 + 29.9 2.05
1999 0.65 4.2 1.38 13.6 0.72 27.0 0.03 30.3     2.77
2000 1.71 3.8 1.59 14.3 0.95 27.9 0.03 36.1 + 20.1 4.27
2001 0.38 3.3 2.40 11.0 0.81 26.7 0.04 35.5 + 41.3 3.63
2002 0.23 3.9 0.92 10.1 1.04 20.7 0.02 35.0     2.21
2003 0.20 2.4 0.10 10.2 0.20 18.3 0.03 23.3     0.53
2004 0.20 3.2 0.21 12.2 0.09 20.9 0.01 21.1 + 25.4 0.51
2005 0.08 3.4 0.33 15.7 0.08 22.0 0.01 18.2 + 19.6 0.50
2006 0.24 4.2 0.27 16.4 0.12 23.2 + 28.0 + 25.4 0.64
2007 0.83 4.3 0.81 16.2 0.16 28.3 0.01 29.6     1.82
2008 0.89 3.0 2.46 12.4 0.59 24.6 0.01 27.9     3.95
2009 0.47 2.7 1.63 11.0 1.15 23.9 + 25.9     3.25
2010 0.76 3.1 1.41 10.3 1.60 23.9 0.05 28.3     3.82
2011 0.47 2.4 1.72 9.9 1.19 20.7 0.21 27.5     3.60
2012 0.57 3.2 1.03 8.8 1.77 20.1 0.08 27.5     3.46
2013 0.99 3.1 1.58 8.0 1.11 16.5 0.28 23.7 + 28.7 3.97
2014 0.32 3.1 0.73 9.0 0.60 16.1 0.04 22.0     1.69
2015 0.16 4.3 0.46 11.0 0.23 18.0 0.02 22.4     0.88
2016 0.14 4.3 0.12 14.6 0.06 24.9 + 25.4     0.32
2017 0.47 4.1 1.61 13.5 0.34 24.5 0.01 27.0     2.43
2018 0.28 4.8 0.84 13.8 0.51 22.6 0.01 29.8 + 34.0 1.64
2019 0.09 4.8 0.14 14.3 0.16 23.2 0.03 25.0 + 18.9 0.41
2020 1.27 3.4 0.49 15.8 0.10 25.1 0.02 29.6 + 23.3 1.89
2021 0.75 3.4 3.07 9.4 0.16 22.0 + 26.0     3.99
2022 0.32 4.3 0.96 7.1 0.86 14.9 0.02 19.2 + 24.0 2.17
2023 0.48 4.4 0.72 9.0 1.32 12.3 0.42 17.6 + 20.5 2.95
2024 0.19 4.0 0.23 11.9 0.22 16.2 0.21 19.0 0.03 18.0 0.89
Average 0.61 3.6 1.24 10.9 0.75 19.5 0.14 24.6 0.01 25.2 2.76
Table 7.1.2.2. Barents Sea capelin. Summary of acoustic estimates by age in autumn 1973- 2024. Biomass (B) in million t and average weight (AW) in grams. Note that the numbers for 2004-2022 were updated following the re-estimation in StoX for the capelin benchmark in 2022. The numbers are means from 1000 bootstrap replicates.

Note:«+» <0.005*million t

 

Year class Age Numbers (10^6) Mean weight (g) Biomass (10^3 t)
2023 2022 1 58.6 108.5 3.96 4.43 190.7 480.6
2022 2021 2 19.8 80.3 11.90 9.01 233.1 723.4
2021 2020 3 13.4 107.4 16.19 12.33 220.2 1324.2
2020 2019 4 11.1 23.9 18.97 17.56 212.8 419.4
Total stock in:                
2024 2023 1-4 104.5 320.3 8.49 9.21 886.7 2951.7
Table 7.1.2.3. Summary of acoustic stock size estimates for capelin in 2023-2024. A comparison between the estimates this year and last year (shaded background).

 


7.2     Polar cod (Boreogadus saida)

7.2.1  Geographical distribution

The acoustic recordings of polar cod are shown in fig. 7.2.1.1. There were no areas with really high concentrations of polar cod, but the concentrations adjacent to the Great Bank dominated. Only small concentrations of polar cod were found to the south near the Kara Strait where huge concentrations were found in 2023. There were significant recordings of polar cod along the north-easternmost of transects which indicate that parts of the polar cod stock were distributed east and possibly north of the covered area.

Figure 7.2.1.1 Geographical distribution of polar cod in autumn 2024 based on acoustic data. Circle sizes correspond to NASC values (m2/nmi2) per nautical mile.
Figure 7.2.1.1 Geographical distribution of polar cod in autumn 2024 based on acoustic data. Circle sizes correspond to NASC values (m2/nm2) per nm.

7.2.2. Abundance estimation

The stock abundance estimates of polar cod by age, number and weight in 2024 is given in tab. 7 .2. 2 .1 and the time series of abundance estimates is summarized in tab. 7 .2. 2 .2. The estimated means are from 500 bootstrap replicas made in StoX 4.1.1.

The total estimated abundance of polar cod in 2024 was low, less than 15% of the estimate from 2023. Age group 1 dominated the abundance while age group 2 dominated biomass, but the abundance of all age groups was well below the levels in 2023.

The north-east part of the Barents Sea where polar cod is often distributed has not been covered since 2020. There are also indications of a northwards distribution change in polar cod, so the survey results must be interpreted with caution. However, the estimates indicate that there has been a very strong dynamic in the Barents Sea polar cod stock abundance during the past decade, especially compared to the period 1991-2013.


 

Length (cm) Age/year class Sum (10^9) Biomass (10^3) Mean weight (g)
1 2 3 4 5 6
2023 2022 2021 2020 2019 2018
7.0-8.0 0.001           0.001 0.002 2.12
8.0-9.0 0.093           0.093 0.375 4.17
9.0-10.0 0.089           0.089 0.518 5.83
10.0-11.0 0.307 0.006         0.313 2.489 7.87
11.0-12.0 0.644 0.019         0.663 7.111 10.75
12.0-13.0 0.379 0.038 0.005       0.422 5.780 13.54
13.0-14.0 0.188 0.139 0.013 0.005     0.346 6.194 17.82
14.0-15.0 0.018 0.202 0.050 0.002 0.004   0.276 6.194 22.32
15.0-16.0 0.005 0.283 0.116 0.012 0.005   0.420 11.315 26.82
16.0-17.0   0.230 0.062 0.023 0.002   0.317 10.158 32.03
17.0-18.0   0.070 0.053 0.006 0.002   0.130 4.961 38.54
18.0-19.0   0.030 0.040 0.006     0.076 3.455 46.17
19.0-20.0   0.005 0.037 0.004     0.046 2.381 52.71
20.0-21.0     0.005 0.025     0.029 1.835 62.03
21.0-22.0     0.003 0.007 0.003   0.013 0.904 77.79
22.0-23.0       0.003 0.002   0.006 0.422 76.54
23.0-24.0           0.002 0.002 0.190 93.94
24.0-25.0       0.001     0.001 0.113 79.99
25.0-26.0       0.001     0.001 0.081 96.44
TSN (109) 1.725 1.022 0.383 0.096 0.018 0.002 3.252    
TSB (103 t) 19.243 26.961 12.923 4.392 0.767 0.190   64.668  
Mean length (cm) 11.13 14.88 16.09 17.93 17.59 23.00 13.79    
Mean weight (g) 11.32 26.71 34.67 47.19 46.12 91.80     23.06
Table 7.2.2.1. Barents Sea polar cod. Summary of results from the acoustic estimate in August- October 2024. All values in the table are derived from average number and biomass at length and age from 500 bootstrap runs in StoX 4.1.1.

Estimates based on Target strength (TS) Length (L) relationship : TS= 21.8 log (L) – 72.7

Year Age 1 Age 2 Age 3 Age 4+ Total
TSN TSB TSN TSB TSN TSB TSN TSB TSN TSB
1986 24.038 169.6 6.263 104.3 1.058 31.5 0.082 3.4 31.441 308.8
1987 15.041 125.1 10.142 184.2 3.111 72.2 0.039 1.2 28.333 382.8
1988 4.314 37.1 1.469 27.1 0.727 20.1 0.052 1.7 6.562 86.0
1989 13.540 154.9 1.777 41.7 0.236 8.6 0.060 2.6 15.613 207.8
1990 3.834 39.3 2.221 56.8 0.650 25.3 0.094 6.9 6.799 127.3
1991 23.670 214.2 4.159 93.8 1.922 67.0 0.152 6.4 29.903 381.5
1992 22.902 194.4 13.992 376.5 0.832 20.9 0.064 2.9 37.790 594.9
1993 16.269 131.6 18.919 367.1 2.965 103.3 0.147 7.7 38.300 609.7
1994 27.466 189.7 9.297 161.0 5.044 154.0 0.790 35.8 42.597 540.5
1995 30.697 249.6 6.493 127.8 1.610 41.0 0.175 7.9 38.975 426.2
1996 19.438 144.9 10.056 230.6 3.287 103.1 0.212 8.0 33.012 487.4
1997 15.848 136.7 7.755 124.5 3.139 86.4 0.992 39.3 28.012 400.7
1998 89.947 505.5 7.634 174.5 3.965 119.3 0.598 23.0 102.435 839.5
1999 59.434 399.6 22.760 426.0 8.803 286.8 0.435 25.9 91.463 1141.9
2000 33.825 269.4 19.999 432.4 14.598 597.6 0.840 48.4 69.262 1347.8
2001 77.144 709.0 15.694 434.5 12.499 589.3 2.271 132.1 107.713 1869.6
2002 8.431 56.8 34.824 875.9 6.350 282.2 2.322 143.2 52.218 1377.2
2003* 32.804 242.7 3.255 59.9 15.374 481.2 1.739 87.6 53.172 871.4
2004 99.404 627.1 22.777 404.9 2.627 82.2 0.510 32.7 125.319 1143.8
2005 71.675 626.6 57.053 1028.2 3.703 120.2 0.407 28.3 132.859 1803.0
2006 16.190 180.8 45.063 1277.4 12.083 445.9 0.698 37.2 74.033 1941.2
2007 29.483 321.2 25.778 743.4 3.230 145.8 0.315 19.8 58.807 1230.1
2008 41.693 421.8 18.114 522.0 5.905 247.8 0.415 27.8 66.127 1219.4
2009 13.276 100.2 22.213 492.5 8.265 280.0 0.336 16.6 44.090 889.3
2010 27.285 234.2 18.257 543.1 12.982 594.6 1.253 58.6 59.777 1430.5
2011 34.460 282.3 14.455 304.4 4.728 237.1 0.514 36.7 54.158 860.5
2012 13.521 113.6 4.696 104.3 2.121 93.0 0.119 8.0 20.457 318.9
2013 2.216 18.1 4.317 102.2 5.243 210.3 0.180 9.9 11.956 340.5
2014 0.687 6.5 4.439 110.0 3.196 121.0 0.080 5.3 8.402 243.2
2015 10.866 97.1 1.995 45.1 0.167 5.3 0.008 0.5 13.036 148.0
2016 95.919 792.7 6.380 139.1 0.207 6.9 0.023 0.7 102.529 939.4
2017 13.810 121.8 8.269 200.8 1.112 34.3 0.003 0.1 23.195 357.1
2018** 1.900 16.4 0.980 23.1 0.240 9.4 0.014 0.6 3.124 49.6
2019** 6.109 49.8 1.217 30.3 0.214 6.3 0.014 0.8 7.555 87.2
2020 115.139 988.3 20.133 386.8 8.217 299.3 0.647 42.8 144.171 1720.8
2021** 45.340 375.5 44.020 819.9 2.190 90.4 0.210 13.3 91.760 1299.0
2022** No data                  
2023** 9.640 75.9 3.465 54.9 6.240 221.9 2.983 137.7 22.328 490.4
2024** 1.725 19.2 1.022 27.0 0.383 12.9 0.114 5.2 3.252 64.7
Average 30.760 248.4 13.720 306.8 4.450 167.2 0.520 28.1 49.490 752.0

Table 7.2.2.2. Barents Sea polar cod. Summary of acoustic estimates by age in August-October 2024. TSN and TSB are total stock numbers (hundred million) and total stock biomass (thousand t) respectively.

* numbers partly based on VPA estimates 

** incomplete survey coverage


7.3   Herring (Clupea harengus)

7.3.1  Geographical distribution

Young Norwegian spring spawning herring (NSSH) was distributed over large parts of the southern Barents Sea (Figure 7.3.1.1).

Figure 7.3.1.1 Geographical distribution of herring in autumn 2024 based on acoustic recordings. Circle sizes correspond to NASC values (m2/nmi2) per nautical mile
Figure 7.3.1.1 Geographical distribution of herring in autumn 2024 based on acoustic recordings. Circle sizes correspond to NASC values (m2/nm2) per nm.

 

7.3.2  Abundance estimation

The estimated total number and biomass of NSSH in the Barents Sea in the autumn 2024 is shown in tab. 7.3.2.1, and the time series of abundance estimates is summarized in tab. 7 .3. 2 .2. Total numbers in 2024 were estimated at ca. 72 billion individuals (tab. 7.3.2.1). This is the third highest on record and ca. 2.5 times higher than the long-term average (tab. 7.3.2.2). Abundance of age group 1 was low, while abundance of age group 2 (2022 year class) was >5 times higher than the long-term average and abundance of age group 3 (2021 year class) was >6 times higher. The abundances of both 2 and 3-year-olds were the highest on record. Also abundance of age group 4+ was above the long-term average. The very high abundances of 2 and 3-year-olds were expected given the very high abundances of 1 and 2-year-olds in 2023. The total biomass of NSS-herring in the Barents Sea, which is dominated by biomass of 2 and 3-year-olds is the highest that has been measured since 1999. 


 

Length (cm) Age/year class Sum (10^9) Biomass (10^3 t) Mean weight (g)
1 2 3 4 5 6 7 8 9
2023 2022 2021 2020 2019 2018 2017 2016 2015
10.0-11.0 0.004                 0.004 0.028 6.83
11.0-12.0 0.075                 0.075 0.760 9.54
12.0-13.0 1.194                 1.194 15.353 12.38
13.0-14.0 1.020                 1.020 15.317 15.29
14.0-15.0 0.269 0.146               0.415 7.846 18.90
15.0-16.0 0.080 1.577               1.657 41.317 24.92
16.0-17.0 0.240 9.481               9.721 282.643 29.07
17.0-18.0 0.176 10.613               10.789 374.855 34.99
18.0-19.0 0.039 7.451               7.490 312.536 41.99
19.0-20.0 0.012 5.938 0.240             6.191 302.748 49.52
20.0-21.0   3.604 0.790             4.394 255.483 58.14
21.0-22.0   1.898 3.099             4.997 348.415 68.75
22.0-23.0   0.968 5.163             6.132 496.857 79.97
23.0-24.0   1.288 5.936             7.224 659.783 91.00
24.0-25.0   0.485 3.535             4.020 425.111 106.75
25.0-26.0   0.500 2.128             2.628 324.159 122.22
26.0-27.0   0.045 0.853 0.052           0.950 132.731 138.86
27.0-28.0     0.262 0.047           0.309 49.073 156.65
28.0-29.0     0.043 0.148           0.191 39.034 203.19
29.0-30.0     0.060 0.043           0.103 22.626 217.40
30.0-31.0       0.117           0.117 28.084 237.69
31.0-32.0       0.018       0.077   0.095 26.542 278.02
32.0-33.0         0.021 0.180 0.059 0.414   0.674 205.013 304.32
33.0-34.0           0.143 0.061 1.024   1.229 397.241 323.00
34.0-35.0             0.056 0.465 0.014 0.535 181.439 340.52
35.0-36.0               0.068   0.068 24.542 357.42
TSN (109) 3.109 43.995 22.109 0.424 0.021 0.323 0.176 2.048 0.014 72.321    
TSB (103 t) 53.788 1943.005 2055.332 87.421 6.173 97.890 57.020 663.762 5.144   4984.863  
Mean length (cm) 12.50 18.70 23.12 28.42 32.00 32.46 33.06 33.08 34.00 20.14    
Mean weight (g) 14.93 49.94 95.95 204.02 292.00 303.70 325.34 324.99 364.00     75.27
Table 7.3.2.1. NSSH. Acoustic estimate in the Barents Sea in August-October 2024. All values in the table are derived from average number and biomass at length and age from 1000 bootstrap runs in StoX 4.0.

Estimates based on Target strength (TS) Length (L) relationship: TS= 20.0 log (L) – 71.9

Year Age 1 Age 2 Age 3 Age 4+ Total
TSN TSB TSN TSB TSN TSB TSN TSB TSN TSB
1999 48.759 716.0 0.986 31.0 0.051 2.0     49.795 749.0
2000 14.731 383.0 11.499 560.0         26.230 943.0
2001 0.525 12.0 10.544 604.0 1.714 160.0     12.783 776.0
2002 No data                  
2003 99.786 3090.0 4.336 220.0 2.476 326.0     106.597 3636.0
2004 14.265 406.0 36.495 2725.0 0.901 107.0     51.717 3252.0
2005 46.380 984.0 16.167 1055.0 6.973 795.0     69.520 2833.0
2006 1.618 34.0 5.535 398.0 1.620 211.0     8.773 643.0
2007 3.941 148.0 2.595 218.0 6.378 810.0 0.250 46.0 13.164 1221.0
2008 0.030 1.0 1.626 77.0 3.987* 287* 3.223* 373* 8.866* 738*
2009 1.538 48.0 0.433 52.0 1.807 287.0 1.686 393.0 5.577 815.0
2010 1.047 35.0 0.315 34.0 0.234 37.0 0.428 104.0 2.025 207.0
2011 0.095 3.0 1.504 106.0 0.006 1.0     1.605 109.0
2012 2.031 36.0 1.078 66.0 1.285 195.0     4.394 296.0
2013 7.657 202.0 5.029 322.0 0.092 13.0 0.057 9.0 12.835 546.0
2014 4.188 62.0 1.822 126.0 6.825 842.0 0.162 25.0 13.011 1058.0
2015 1.183 6.0 9.023 530.0 3.214 285.0 0.149 24.0 13.569 845.0
2016 7.760 131.0 1.573 126.0 3.089 389.0 0.029 6.0 12.452 652.0
2017 34.950 820.0 2.138 141.0 3.465 412.0 0.982 210.0 41.537 1583.0
2018** 0.530 22.6 6.035 526.0 1.299 165.5 0.897 171.7 1.165 482.5
2019 13.650 172.0 0.209 15.1 6.000 756.0 1.600 487.0 21.460 1430.0
2020     0.231 13.0 1.816 189.0 11.59* 2796* 13.636* 2998*
2021 1.410 80.8 0.120 10.1 0.360 39.5 0.720 144.7 2.610 275.1
2022** 4.442 155.2 0.882 76.6 0.000 0.0 1.459 412.3 6.783 645.7
2023 64.115 925.2 32.920 1558.1 4.443 546.7 2.458 752.9 103.935 3783.0
2024 3.109 53.8 43.995 1943.0 22.109 2055.3 2.993 912.3 72.321 4984.9
Average 15.740 355.3 7.880 461.3 3.340 371.3 1.790 429.2 27.050 1420.0

Table 7.3.2.2. NSSH. Summary of acoustic estimates by age in autumn 1999-2024. TSN and TSB are total stock numbers (hundred million) and total stock biomass (thousand t) respectively.

*in mix with Kanin herring in the south-eastern part of the coverage area

**survey coverage only on Norwegian (western) side


7.4   Blue whiting (Micromesistius poutassou)

7.4.1  Geographical distribution

Blue whiting contributes to make up the mid-trophic pelagic component in the south-western part of the Barents Sea ecosystem. The Barents Sea is on the border of the distribution area for the blue whiting, but with incoming strong year-classes, increased abundance of young blue whiting in the Barents Sea is normally observed. The distribution of blue whiting from the BESS 2024 is shown in fig. 7.4.1.1. The distribution was similar to last year following the shelf edge north to Svalbard/Spitsbergen and with some recordings stretching north of Svalbard/Spitsbergen.

Figure 7.4.1.1. Geographical distribution of blue whiting in autumn 2024 based on acoustic recordings. Circle sizes correspond to NASC values (m2/nmi2) per nautical mile.
Figure 7.4.1.1. Geographical distribution of blue whiting in autumn 2024 based on acoustic recordings. Circle sizes correspond to NASC values (m2/nm2) per nm.

 

7.4.2  Abundance by size and age

The estimated total number and biomass of blue whiting in the Barents Sea in the autumn 2024 is shown in tab. 7.4.2.1, and the time series of abundance estimates is summarized in tab. 7 .4. 2 .2.

The total abundance and biomass are higher than last year but below the long-term average (tab. 7.4.2.2). The 3 and 4-year-olds (2021 and 2020 year classes) dominate both the abundance and biomass (tab. 7.4.2.1).


 

Length (cm) Age/year class Sum (10^6) Biomass (10^3 t) Mean weight (g)
1 2 3 4 5 6 7 8 9 10 11 12 15
2023 2022 2021 2020 2019 2018 2017 2016 2015 2014 2013 2012 2009
20.0-21.0 0.6                         0.6 0.0 44.33
21.0-22.0 2.5                         2.5 0.1 54.96
22.0-23.0 3.6 5.8                       9.4 0.6 62.12
23.0-24.0 14.2 0.7 0.9                     15.9 1.1 73.05
24.0-25.0 1.1 5.2 3.4 0.7                   10.4 0.9 86.04
25.0-26.0     19.4                     19.4 2.0 101.47
26.0-27.0   2.4 19.0 15.3                   36.7 4.1 112.29
27.0-28.0     36.8 25.1 9.9                 71.7 9.0 126.09
28.0-29.0     32.3 54.9 6.9                 94.0 13.4 142.51
29.0-30.0   1.0 19.2 7.5 27.0                 54.7 8.5 156.99
30.0-31.0     11.2 22.0 8.9 11.0 5.5     3.9       62.3 10.7 170.68
31.0-32.0     2.9 5.9 8.2   1.8 1.7 1.8         22.3 4.2 189.94
32.0-33.0       3.7 6.9   5.8 2.8   3.3 3.9     26.3 5.2 199.15
33.0-34.0       4.1             5.4     9.5 2.1 220.59
34.0-35.0           3.2 4.0 3.6       3.1   13.8 3.5 250.26
35.0-36.0           3.6 1.4 3.4 1.5 1.9       11.9 3.3 270.30
36.0-37.0             0.1 4.0   0.1       4.3 1.3 300.24
37.0-38.0                   0.2       0.2 0.1 243.00
38.0-39.0                                
39.0-40.0                                
40.0-41.0                                
41.0-42.0                                
42.0-43.0                         0.1 0.1 0.0 402.00
43.0-44.0                                
TSN (106) 22.0 15.2 144.9 139.2 67.6 17.8 18.6 15.5 3.3 9.4 9.2 3.1 0.1 499.0    
TSB (103 t) 1.5 1.3 19.1 20.2 10.9 3.9 3.9 3.8 0.8 1.9 2.0 0.8 0.0   70.8  
Mean length (cm) 22.30 24.50 27.10 28.20 29.10 31.10 32.20 33.10 33.00 32.10 32.50 34.00 42.00 28.00    
Mean weight (g) 66.70 92.60 128.90 143.90 159.00 202.20 214.20 224.00 217.80 196.30 216.60 257.20 402.00     143.77
Table 7.4.2.1 Blue whiting. Acoustic estimate in the Barents Sea in August-October 2024. All values in the table are derived from average number and biomass at length and age from 500 bootstrap runs in StoX 4.0.0.

Estimates based on Target strength (TS) Length (L) relationship: TS= 20 log (L) - 65.2


 

Year Age 1 Age 2 Age 3 Age 4+ Total
TSN TSB TSN TSB TSN TSB TSN TSB TSN TSB
2004 669 26 439 33 1056 98 1211 159 3575 327
2005 649 20 523 36 1051 86 809 102 3039 244
2006 47 2 478 34 730 70 922 129 2177 235
2007 + + 116 11 892 92 743 107 1757 210
2008 + + + + 10 1 238 36 247 37
2009 1 + + + 6 1 359 637 366 65
2010     2   5 1 155 31 163 33
2011 2 + 2 + 13 2 93 22 109 25
2012 583 27 64 8 58 9 321 77 1025 121
2013 1   349 28 135 13 175 42 664 84
2014 111 5 19 2 185 20 127 28 443 55
2015 1768 71 340 29 134 15 286 44 2529 159
2016 277 13 1224 82 588 48 216 36 2351 188
2017 43 2 253 22 503 49 269 38 1143 115
2018     18 1 74 8 215 29 332 40
2019 54 2 64 5 66 8 162 27 347 43
2020 110 5 19 2 11 1 56 11 196 18
2021 406 17 58 5 39 5 67 13 584 40
2022 195 8 143 12 41 4 58 10 437 34
2023 29 2 61 5 84 10 100 17 275 34
2024 22 1 15 1 145 19 284 48 499 71
Average 292 14 220 19 277 27 327 78 1060 104

Table 7.4.2.2 Blue whiting. Acoustic estimates by age in autumn 2004-2024. TSN and TSB are total stock numbers (106) and total stock biomass (103 tons).

Estimates based on Target strength (TS) Length (L) relationship : TS = 20 log (L) - 65.2 (Recalculation by Åge Høines, IMR 2017)

Note:«+» <0.5


Year class Age Numbers (10^6) Mean weight (g) Biomass (10^3 t)
2023 2022 1 22.0 29.3 66.73 56.52 1.5 1.7
2022 2021 2 15.2 61.3 92.61 88.57 1.3 5.4
2021 2020 3 144.9 84.0 128.93 118.40 19.1 9.9
2020 2019 4+ 283.8 100.2 166.41 136.44 48.1 17.4
Total stock in:                
2024 2023 Total 499.0 274.8 143.77 125.37 70.8 34.5
Table 7.4.2.3 Summary of stock size estimates for blue whiting in 2023-2024.

8 - Commercial Demersal Fish

Maps by: IMR, Demersal fish section

 

Indices calculated from the ecosystem survey bottom trawl data (not shown here) are used in annual assessments of cod, haddock, beaked redfish and Greenland halibut. Data from the ecosystem survey is currently evaluated as part of the process of establishing an assessment model for the wolffish species. The maps shown are based on bottom trawl catches. For cod and haddock, we provide swept area estimates as numbers per nm2, with length dependent sweep width corrections.  The parameters for the length dependent sweep width correction are given in tab. 8.1.

Table 8.1 The parameters for the length dependent sweep width, with correction.

Species

a

b

lmin

lmax

Cod

5.91

0.43

15 cm

62 cm

Haddock

2.08

0.75

15 cm

48 cm

The maps for cod and haddock are provided for four length groups: > 20 cm, 20-34 cm, 35-49 cm and ≥50cm. 

The maps showing the distribution of the other species are given as total catch in kg per nm.

Note that projections of the maps in chapter 8 in the current report differ from maps previous years.


8.1    Cod (Gadus morhua

At the time of survey cod usually reaches the northern and eastern limits of its feeding area. In general, the cod was distributed over the entire area surveyed except the far northeastern part, with the highest concentrations on the shallower bank areas (figs. 8.1.1-8.1.4) Smaller cod (< 20 cm) was hardly found in the southeastern area, and cod 20-34 cm was not found in the southwestern part.

8.1.1 Distribution of cod <20 cm, August-October 2024
Figure 8.1.1 Distribution of cod <20 cm, August-October 2024.

 

8.1.2 Distribution of cod 20-34 cm, August-October 2024
Figure 8.1.2 Distribution of cod 20-34 cm, August-October 2024.

 

 

8.1.3 Distribution of cod 35-49 cm, August-October 2024
Figure 8.1.3 Distribution of cod 35-49 cm, August-October 2024.

 

8.1.4 Distribution of cod >= 50 cm, August-October 2024
Figure 8.1.4 Distribution of cod >= 50 cm, August-October 2024.

8.2 Haddock (Melanogrammus aeglefinus)

Haddock was found mainly in shallower areas in the western and south-eastern Barents Sea. Smaller haddock (<20cm, Fig. 8.2a), had a wider distribution than the larger individuals. Haddock < 20 cm are mainly 0-group and 1-group haddock.  Some of these smaller individuals were caught north of Svalbard/Spitsbergen. The larger and older haddock (Figs. 8.2.1-8.2.4) were mainly found in the south-eastern Barents Sea, along the coast of Northern Norway and on the shallower bank areas, and along the bank-edges both north and south of Bear Island Trough and Hopen Trench.

8.1.2 Distribution of cod 20-34 cm, August-October 2024
Figure 8.2.1 Distribution of haddock < 20 cm, August-October 2024.

 

Figure 8.2.2 Distribution of haddock 20-34 cm, August-October 2024
Figure 8.2.2 Distribution of haddock 20-34 cm, August-October 2024.

 

Figure 8.2.3 Distribution of haddock 35-49 cm, August-October 2024
Figure 8.2.3 Distribution of haddock 35-49 cm, August-October 2024.

 

Figure 8.2.4 Distribution of haddock >= 50 cm, August-October 2024
Figure 8.2.4 Distribution of haddock >= 50 cm, August-October 2024.

8.3   Greenland halibut (Reinhardtius hippoglossoides)

BESS covers an area where mainly younger Greenland halibut is found, with nursery areas in the northernmost part. In recent years there has been a noticeable increase in the number of fish between 20-40 cm. As in previous years, Greenland halibut was observed in most catches in the deep areas of the Barents Sea (fig. 8.3). The distribution pattern was similar to previous years, with main concentrations observed around Svalbard/Spitsbergen, to the west of Franz Josef Land, and in the Bear Island Trench.

The BESS registrations result in three indices, one for fish up to 17 cm, one for fish between 18 and 27 cm, and one for fish above 28 cm.  Moreover, trawl indices from surveys that cover deeper waters at the continental slope, are also used in the stock assessment.

Figure 8.3 Distribution of Greenland halibut (Reinhardtius hippoglossoides), ,August-October 2024
Figure 8.3 Distribution of Greenland halibut, August-October 2024.

 


8.4  Golden redfish (Sebastes norvegicus)

Data from the ecosystem survey is currently not used in the assessment of golden redfish. In 2024, centers of abundance for golden redfish were observed along the coast of the Troms region in Norway, along the Murman coast, and along the northern and western coast of Svalbard/Spitsbergen (fig. 8.4). As in earlier years observations in the eastern Barents Sea, were few and of low abundance.  

Figure 8.4 Distribution of golden redfish (Sebastes norvegicus), August-October 2024
Figure 8.4 Distribution of golden redfish, August-October 2024.

 


8.5   Beaked redfish (Sebastes mentella)

Data from BESS is used in the assessment of beaked redfish. As in previous years, beaked redfish were absent from an area north of Bear Island and in the south-eastern part of the Barents Sea (Fig. 8.5). Moreover, in contrast to last year, the species was largely absent east of 40 °E and along the west shelf of Svalbard (but note lacking coverage there). The highest catches of beaked redfish were concentrated in the area south and east of Bear Island. and some catches were also recorded along the shelf break north of Bear Island and north and northwest of Svalbard/Spitsbergen. Catch weight decreased from the west towards the eastern Barents Sea.

Figure 8. 5 Distribution of beaked redfish (Sebastes mentella), August-October 2024
Figure 8. 5 Distribution of beaked redfish, August-October 2024.

 


8.6  Long rough dab (Hippoglossoides platessoides)

The long rough dab as usually the most numerous species in the demersal survey in the Barents Sea. Long rough dab was found in almost all trawl catches in the survey area, but the maximum densities and highest catches were in the Central Bank, along the slopes of the Svalbard/Spitsbergen bank and in a small area in the southeast. (fig. 8.6). The numbers and biomass of long rough dab in the Barents Sea have been stable over the past 20 years. Based on the ecosystem survey data, the total stock biomass index of this species is between 400 and 500 thousand tons.

Figure 8.6 Distribution of long rough dab (Hippoglossoides platessoides), August-October 2024
Figure 8.6 Distribution of long rough dab, August-October 2024.

 


 

8.7  Plaice (Pleuronectes platessa)

Plaice is mainly found in the southeastern Barents Sea from the coast of Murman to the Kolguev Island. The highest densities were on the border to the White Sea and in the area closed to trawl fishing, where the Kamchatka crab fishing takes place (Fig. 8.7).

The distance between the trawl stations at the ecosystem survey is too large to correctly assess plaice distribution and abundance. The plaice distribution is very patchy, and partly found in areas that cannot be trawled, this greatly affects the possibility to assess the stock. According to the ecosystem survey data, the total stock biomass index is about 50 thousand tons and its biomass has been stable in recent years.

Figure 8.7 Distribution of plaice (Pleuronectes platessa), August-October 2024.
Figure 8.7 Distribution of plaice, August-October 2024.

 


 

8.8   Atlantic wolffish (Anarhichas lupus)

Atlantic wolffish is the most numerous of the three species of wolffishes inhabiting the Barents Sea, while due to its smaller size has the lowest biomass of the three species. At the survey in 2024 Atlantic wolffish was mainly found in Atlantic waters north-west of Svalbard/Spitsbergen and in shallower waters along the edge of the Hopen Trough and Bear Island Trench and scattered as well as scattered further south (fig. 8.8).

Figure 8.8 Distribution of Atlantic wolffish (Anarhichas lupus), August-October 2024
Figure 8.8 Distribution of Atlantic wolffish, August-October 2024.

 


8.9   Spotted wolffish (Anarhichas minor)

In 2024 the spotted wolffish was found in the central part of the sea with densities along the slopes of the Svalbard/Spitsbergen and Central Banks (fig. 8.9).

Figure 8.9 Distribution of Northern wolffish (Anarhichas minor), August-October 2024
Figure 8.9 Distribution of Northern wolffish, August-October 2024.

 


8.10  Northern wolffish (Anarhichas denticulatus)

In 2024 Northern wolffish was distributed along the slopes of Hopen Trench extending into the slopes of the Central Basin in the eastern Barents Sea (Fig. 8.10).

Figure 8.10 Distribution of spotted wolffish (Anarhichas denticulatus), August-October 2024
Figure 8.10 Distribution of spotted wolffish, August-October 2024.

 

 

9 - Fish Biodiverity

 9.1  Small non-target fish species

This group will no longer be updated due to reduced resources.

9.2  Fish biodiversity in the demersal compartment

Figures by: D. Prozorkevich

 

9.2.1 Norway pout (Trisopterus esmarkii).

Norway pout is usually found in the south-western part of the ecosystem survey area. The distribution of Norway pout in 2024 was approximately the same as in 2023 (fig. 9.2.1).

The maximum catch of Norway pout in 2024 (138.7 kg/nm) was a little lower than in 2023 (153.9 kg/nm), but the average catch in 2024 (1.6 kg/nm) was a little higher (1.4 kg/nm in 2023). Total abundance and biomass of Norway pout in 2024 (1520.2 million individuals and 44.1 thousand tons respectively) were higher than in 2023 (1067.8 million individuals and 36.1 thousand t respectively) (tab. 9.2.1).

Figure 9.2.1 Distribution of Norway pout (Trisopterus esmarkii), August-October 2024 and August-September 2023
Figure 9.2.1 Distribution of Norway pout, August-October 2024 and August-September 2023.

 


9.2.2 Norway redfish (Sebastes viviparus).

Norway redfish occurred in the south-western area of the survey along the Norwegian coast in 2024 (fig. 9.2.2).

The maximum catch of Norway redfish in 2024 (63.0 kg/nm) as well as the average catch (0.7 kg/nm) were much lower than in 2023 (330.7 kg/nm and 1.6 kg/nm respectively). Total abundance and biomass of this species in 2024 (127.4 million individuals and 13.6 thousand t) were less than in 2023 (189.6 million individuals and 28.9 thousand t respectively) (tab. 9.2.1).

Figure 9.2.2 Distribution of Norway redfish (Sebastes viviparus), August-October 2024 and August-September 2023
Figure 9.2.2 Distribution of Norway redfish, August-October 2024 and August-September 2023.

Table 9.2.1 Total abundance (N, million individuals) and biomass (B, thousand t) of Norway pout and Norway redfish in the Barents Sea in August-September 2006-2024 based on demersal trawls (not including 0-group).

  Species
Year Norway pout Norway redfish
  N B N B
2006 1838 32 219 19
2007 2065 61 64 10
2008 3579 97 24 4
2009 3841 131 17 2
2010 3530 103 26 2
2011 5976 68 83 9
2012 3089 105 114 12
2013 2267 40 233 25
2014 1254 37 105 6
2015 943 33 168 20
2016 797 28 125 13
2017 1260.6 21.6 133.7 14.3
2018 1687.2 50.8 202.9  25.3
2019 1949.2  51.1  142.5  15.5
2020 515.2 14.6 155.7 22.6
2021 330.6 11.6 131.6 19.1
2023* 1067.8 36.1 189.6 28.9
2024 1520.2↑ 44.1↑ 127.4↓ 13.6↓

* – 2022 is not included due to the lack of synoptic coverage

 

9.2.3 Thorny skate (Amblyraja radiata) and Arctic skate (Amblyraja hyperborea)

Thorny skate and Arctic skate were selected as indicator species to study how ecologically similar fishes from different zoogeographic groups respond to changes of their environment. Thorny skate belongs to the mainly boreal zoogeographic group and is widely distributed in the Barents Sea except the most north-eastern areas, while Arctic skate belongs to the Arctic zoogeographic group and is found in the cold waters of the northern area.

In 2024 thorny skate was distributed over a wide area from the north-western to the south-western and south-eastern Barents Sea where warm Atlantic and Coastal Waters dominated (fig. 9.2.3). Compared to 2023 this species occurred less abundant in the south-eastern area. 

Thorny skate was observed in 31.1 % of the bottom stations in 2024, approximately the same level as in 2023 (32.7 %). Thorny skate was distributed within a depth of 61-493 m, and the highest biomass occurred at depth of 150-299 m (55.9 % of total biomass). The mean catches in 2024 (0.8 individuals per nm and 0.7 kg per nm) were lower than in 2023 (1.1 individuals per nm and 0.9 kg per nm respectively) (tab. 9.2.2). The estimated total abundance and biomass of thorny skate in 2024 (23.2 million individuals and 20.5 thousand t) were also lower than in 2023 (32.3 million individuals and 28.0 thousand t and have not been ​​in 10 years (tab. 9.2.1).

Figure 9.2.3 Distribution of thorny skate (Amblyraja radiata), August-October 2024 and August-September 2023
Figure 9.2.3 Distribution of thorny skate, August-October 2024 and August-September 2023.

 

 

Table 9.2.2 Mean catches (abundance N, individuals per nm and biomass B, kg per nm) and total abundance (N, million individuals) and biomass (B, thousand t) of thorny skate during BESS 2014-2024.

 

Mean catch

Total abundance

 

N

B

N

B

2014

1.4

1.2

34.4

30.0

2015

1.1

1.0

31.8

30.5

2016

1.0

0.9

30.7

28.2

2017

1.8

1.3

52.0

39.7

2019*

2.0

1.4

57.0

41.3

2020

0.8

0.7

31.7

31.1

2021

0.6

0.4

30.7

27.6

2023**

1.1

0.9

32.3

28.0

2024

0.8

0.7

23.2

20.5

            * – 2018 is not included due to the poor survey coverage

        ** – 2022 is not included due to the lack of synoptic coverage


Arctic skate was only observed in two bottom stations in 2024, at a depth of 336 m in the Central Trough (1 individual: 68 cm and 3.55 kg) and 322 m on the Great Bank (Perseus Bank) (1 individual: 55 cm and 1.85 kg) (Figure 9.2.4). The mean catch (in terms of abundance and biomass) of Arctic skate in 2024 (0.01 individuals per nm and 0.02 kg per nm) was less than in 2023 (0.02 individuals per nm and 0.03 kg per nm) (Table 9.2.3). The total abundance and biomass of Arctic skate in 2024 was not calculated due to lack of sufficient data for analysis.

Figure 9.2.4 Distribution of Arctic skate (Amblyraja hyperborea), August-October 2024 and August-September 2023
Figure 9.2.4 Distribution of Arctic skate, August-October 2024 and August-September 2023.

 

Table 9.2.3 Mean catches (abundance N, individuals per nm and biomass B, kg per nm) and total abundance (N, million individuals) and biomass (B, thousand t) of Arctic skate during BESS 2014-2024.

 

Mean catch

Total abundance

 

N

B

N

B

2014

0.2

0.3

3.7

6.7

2015

0.07

0.1

1.6

1.9

2016

0.2

0.2

8.6

4.0

2017

0.3

0.3

4.9

4.4

2019*

0.07

0.09

2.0

2.3

2020

0.12

0.11

1.8

1.8

2021

0.02

0.01

0.7

0.6

2023**

0.02

0.03

0.3

0.4

2024

0.01

0.02

–***

–***

 * – 2018 was not included due to the poor survey coverage

** – 2022 is not included due to the lack of synoptic coverage

*** – have not been estimated due to lack of sufficient data for analysis


9.3  Uncommon or rare species

Rare or uncommon species are either species that are not caught at the Barents Sea ecosystem survey every year (e.g. megrim Lepidorhombus whiffiagonis – known from the Atlantic coasts off northern Africa to Norway, including the Mediterranean, the British Isles and Iceland, but uncommon in the Arctic region), or caught most years but in low numbers and with limited occurrence (e.g. Arctic rockling Gaidropsarus argentatus, known off southeastern Greenland, off Iceland and the Faroe Islands to the Norwegian coast and northward to the Barents Sea in the survey area found along the continental slope between the Norwegian coast and Svalbard/ Spitsbergen and eastward to Franz Josef Land). Most of these species usually occur in areas adjacent to the Barents Sea and were therefore found mainly along the border of the surveyed area.

Some uncommon species were also observed in the Barents Sea during the ecosystem survey in 2024 (Figure 9.3.1).

Figure 9.3.1 Distribution of rare and uncommon fish species in the Barents Sea in August-October 2024. The size of circles corresponds to total abundance (individuals per trawl station, both pelagic and bottom trawl stations were used, both pelagic and demersal species are included) 
Figure 9.3.1 Distribution of rare and uncommon fish species in the Barents Sea in August-October 2024. The size of circles corresponds to total abundance (individuals per trawl station, both pelagic and bottom trawl stations were used, both pelagic and demersal species are included).

 


 

9.4  Zoogeographic and taxonomic groups

During the 2024 ecosystem survey, 83 fish species from 27 families were recorded in the catches. Some specimens were only identified to genus or family level, especially from the families Liparidae, where genus Careproctus includes different species which are difficult to identify onboard. The highest number of species belonged to the families Zoarcidae (13.3 % of the total number of species), Gadidae (12.0 %) and Cottidae (9.6 %). The recorded species belonged to 7 zoogeographic groups: widely distributed, south boreal, boreal, mainly boreal, Arctic-boreal, mainly Arctic and Arctic as defined by Andriashev and Chernova (1994). Only bottom trawl data were used, and only non-commercial species were included in the analysis, both demersal (including bentho-pelagic) and pelagic (neritopelagic, epipelagic, bathypelagic) species (Andriashev and Chernova, 1994, Parin, 1968, 1988). Among the analyzed species most belonged to the Arctic (31.0 % of the total number of species), mainly boreal (25.9 %) and boreal (24.1 %) zoogeographic groups.

The median and maximum catches of non-commercial fish from the different zoogeographic groups are shown in tabs. 9.4.1, 9.4.2. Please note that differences in spatial survey coverage within years are not taken into account).

Widely distributed (only ribbon barracudina Arctozenus risso represents this group), south boreal (e.g. silvery pout Gadiculus argenteus, greater forkbeard Phycis blennoides) and boreal (e.g. moustache sculpin Triglops murrayi, fourbeard rockling Enchelyopus cimbrius) species were mostly found in the central, southwestern and western part of the survey area where warm Atlantic and Coastal Waters dominate (fig. 9.4.1). The median catches of ribbon barracudina in 2024 were one third of that in 2023. The median catches of species from the south boreal zoogeographic group in 2024 half of the median catch in 2023, but the second highest since the start of this times series in 2013. The median catches of species from the boreal zoogeographic group in 2024 were double that in 2023, and at the level as 2020-2021 (tab. 9.4.1).

Mainly boreal species (e.g. three-spined stickleback Gasterosteus aculeatus, gracile eelpout Lycodes gracilis) were widely distributed throughout the survey area (fig. 4.2.1). The median and maximum catches of species from the mainly boreal group were little lower in 2024 than in 2023 (tabs. 9.4.1,  9.4.2).

Arctic-boreal species (e.g. Atlantic poacher Leptagonus decagonus, ribbed sculpin Triglops pingelii) were found in the central, northern and south-eastern part of the Barents Sea (fig 9.4.1). The median catches of species from the Arctic-boreal zoogeographic group in 2024 were approximately at the same level as in 2020-2023 (tab. 9.4.1). The maximum catches in 2024 were lower than in 2023 (tab. 9.4.2).

Mainly Arctic (e.g. Atlantic spiny lumpsucker Eumicrotremus spinosus, nebulous snailfish Liparis bathyarcticus) and Arctic (e.g. pale eelpout Lycodes pallidus, leatherfin lumpsucker Eumicrotremus derjugini) species were mainly found in the northern part of the Barents Sea (fig. 9.4.1). Species from these groups mostly occur in areas influenced by cold Arctic Water, Spitsbergen Bank Water and Novaya Zemlya Coastal Water. Median and maximum catches of mainly Arctic species in 2024 were higher than in 2023 (tabs. 9.4.1, 9.4.2). Median and maximum catches of species from the Arctic zoogeographic group in 2024 were the lowest since 2014 (tabs 9.4.1, 9.4.2).


Figure 9.4.1 Distribution of non-commercial fish species from different zoogeographic groups during the ecosystem survey 2024 and 2023. The size of circles corresponds to total abundance (individuals per nm, only bottom trawl stations were used, both pelagic and demersal species are included)
Figure 9.4.1 Distribution of non-commercial fish species from different zoogeographic groups during the ecosystem survey 2024 and 2023. The size of circles corresponds to total abundance (individuals per nm, only bottom trawl stations were used, both pelagic and demersal species are included).

 

Table 9.4.1 Median catch (individuals per nm) of non-commercial fish from different zoogeographic groups (only bottom trawl data were used, both pelagic and demersal species are included).

 

Widely distributed

South boreal

Boreal

Mainly boreal

Arctic-boreal

Mainly Arctic

Arctic

2013

0.2

0.8

7.1

48.9

25.4

10.2

70.8

20141

0.1

0.9

8.7

36.4

8.6

1.7

7.4

2015

0.09

1.2

8.7

71.4

14

1.9

31.5

20162

0.5

1.4

18.3

55.3

8.8

3.3

29.1

2017

0.2

3.2

15

53.7

19.3

4.9

78.5

20193

0.02

2.6

14.2

54.3

15

7.2

108.5

2020

0.1

2.7

17.9

23.7

8.9

1.9

93.7

2021

0.06

1.3

23.0

47.7

7.5

1.7

70.1

20234

0.6

8.8

8.2

31.3

8.1

1.8

13.3

2024

0.2

4.5

19.1

28.6

8.0

3.3

11.7

1 – Coverage in the northern Barents Sea was highly restricted

2 – The survey started in the north

3 – 2018 is not included due to the poor coverage of the Russian Zone

4 – 2022 is not included due to the lack of synoptic coverage

Table 9.4.2 Maximum catch (individuals per nm) of non-commercial fish from different zoogeographic groups (only bottom trawl data were used, both pelagic and demersal species are included).

 

Widely distributed

South boreal

Boreal

Mainly boreal

Arctic-boreal

Mainly Arctic

Arctic

2013

17.1

171.4

230.0

982.5

3326.9

656.3

3013.8

20141

14.3

105.7

478.6

3841.4

371.6

60.9

386.4

2015

10.0

216.3

660.0

1587.1

1502.4

53.8

832.2

20162

36.7

135.0

743.8

2962.5

283.8

123.2

808.6

2017

7.5

372.9

792.9

2945.0

571.3

282.5

2731.1

20193

1.3

312.0

735.6

1406.1

297.5

828.8

2968.8

2020

11.0

357.0

1646.1

464.8

573.1

156.2

6770.6

2021

9.9

71.3

1788.2

751.3

268.0

80.8

2178.3

20234

29.9

595.1

282.0

614.8

476.0

74.5

402.5

2024

10.4

991.2

1713.5

471.7

191.9

309.1

349.2

1 – Coverage in the northern Barents Sea was highly restricted

2 – The survey started in the north

3 – 2018 are not included due to the poor coverage of the Russian Zone

4 – 2022 is not included due to the lack of synoptic coverage

10 - Commercial Shellfish

10.1 Northern shrimp (Pandalus borealis)

Text by: S. Bakanev, F. Zimmermann

Figures by: S. Bakanev

During the survey in 2024, 317 trawl hauls were completed and 214 of them contained Northern shrimp. The biomass of shrimp varied from several grams to 90.7 kg/nm with an average catch of 8.2 kg/nm (tab. 10.1.1).

Table 10.1.1  The catch characteristics of the Northern shrimp (include SEM) during BESS in 2004-2024.

Year

Total number of stations

Number of stations with shrimp

Total catch, thousand ind.

Total catch, kg

Mean catch, ind./nm

Mean catch, kg/nm

2004

586

385

896

5665

1272

8

2005

602

420

786

6814

1493

12.9

2006

635

469

990

5800

1947

11.4

2007

528

407

796

4528

1849

10.5

2008

387

293

391

2091

1272

6.8

2009

357

262

361

1772

1253

6.1

2010

320

241

390

2280

1600

9.4

2011

379

301

503

2553

1710

8.7

2012

429

328

594

3082

1727

9

2013

416

336

479

2635

1484

8.1

2014

294

211

289

1536

1211

6.4

2015

325

244

288

1533

1050

5.6

2016

292

197

204

1078

896

4.7

2017

321

222

377

2114

1408

8

2018

216

171

244

1410

1413

8.2

2019

314

251

386

2201

1503

8.6

2020

417

314

271

1581

806

4.8

2021

333

252

308

1669

1155

6.3

2022

287

238

236

1294

1210

6.8

2023

320

253

482

2857

1880

10.7

2024

317

214

362

2144

1409

8.2

 

As in previous years, the densest concentrations of shrimp were registered in the central part of the Barents Sea and around Svalbard/Spitsbergen (fig. 10.1.1). 

Figure 10.1.1. Size structure of catches of the Northern shrimp in the eastern Barents Sea 2023-2024
Figure 10.1.1. Distribution of the Northern shrimp in the Barents Sea in August-September in the two years 2023 and 2024.

Biological analysis of the Northern shrimp was conducted in 2024 by registering carapace length and developmental stage. As in 2023, the bulk of the population of the Barents Sea shrimp was made up of smaller individuals with a carapace length of 12-22 mm (fig.10.1.2). Information on stages and, thus, the proportion of males and females in 2024 was too limited and is therefore not presented.

Figure 10.1.2. Size structure of catches of the Northern shrimp in the eastern Barents Sea 2023-2024
Figure 10.1.2. Size structure of catches of the Northern shrimp in the eastern Barents Sea 2023-2024.

 


10.2   Red king crab (Paralithodes camtschaticus)

Text by: S. Bakanev, A.M Hjelset, H.E.H. Danielsen

Figures by: S. Bakanev

During BESS-2024 the red king crab were recorded in 20 of 317 trawl catches. All stations with king crab were in the Russian part of the survey area. Compared to previous years, in 2024 no expansion of red king crab range northward or eastward was observed, compared to previous years (fig. 10.2.1).

Despite the identical coverage of the red king crab area by stations in 2024, compared to 2023, both the number of recordings and the total catch were significantly lower (tab. 10.2.1).

Table 10.2.1. The total catches of the Red king crab during BESS 2004-2024.

Year

Total number

of stations

Number of stations

with Red king crab

Total catch,

ind.

Total catch,

kg

Mean catch, ind./nm

Mean catch,

kg/nm

2004

586

9

385

1293

0.4

1.3

2005

602

11

100

296

0.2

0.5

2006

635

67

1180

3340

2.3

6.1

2007

528

13

310

1100

3.1

8.1

2008

390

10

127

93

0.4

0.3

2009

357

6

14

23

0.0

0.1

2010

320

6

12

25

0.0

0.1

2011

379

4

40

22

0.1

0.1

2012

429

9

126

308

0.3

0.8

2013

416

10

272

437

0.6

1.0

2014

295

11

168

403

0.7

1.6

2015

325

11

252

508

0.9

1.9

2016

293

10

201

496

0.7

1.8

2017

322

13

299

687

0.9

2.2

2018*

217

5

73

175

0.4

0.9

2019

314

33

970

1687

3.6

6.3

2020

417

21

229

531

0.4

1.0

2021

333

26

373

1186

1.3

4.2

2022

287

23

306

1035

1.2

4.2

2023

320

22

238

751

0.9

2.7

2024

317

20

83

320

0.4

1.4

   * reduced coverage of the Red king crab area

Figure 10.2.1 Distribution of the Red king crab (Paralithodes camtschaticus) in the Barents Sea in August-September in the two years 2023 and 2024
Figure 10.2.1 Distribution of the Red king crab in the Barents Sea in August-September in the two years 2023 and 2024.

The biomass of red king crab catches in 2024 varied from 1.8 to 90.9 kg/nm compared with 2.9 to 157.2 kg/nm in 2023. The mean biomass and standard deviation were 19.76±7.11 kg/nm compared with 42.04±9.23 kg/nm in 2023.

The abundance of crab in 2024 ranged from 1.1 to 25.6 ind./nm given an average crab abundance of 5.1±2.5 ind./nm compared with 1.2 to 58.0 ind./nm given a mean crab abundance of 13.3±3.2 ind./nm in 2023.

The size structure of the observed red king crab in 2024 was represented by a monomodal distribution of males with sizes of crabs with carapace width 150-220 mm. (fig. 10.2.2). No females were found in the catches in 2024.

Figure 10.2.2 Carapace width distribution of the red king crab in the Barents Sea in August-September 2023- 2024
Figure 10.2.2 Carapace width distribution of the red king crab in the Barents Sea in August-September 2023- 2024.

 


10.3 Snow crab (Chionoecetes opilio)

Text by: S. Bakanev, A.M. Hjelset, H.E.H Danielsen

Figures by: S. Bakanev

Catch rates of snow crab per station varied from 0.008 to 9.8 kg/nm, with an average 1.3±0.4 kg/nm compared with 0.002 to 13.2 kg/nm with an average 0.9±0.3 kg/nm in 2023 (fig. 10.3.1).

The catch rates in number in 2024 ranged from 1 to 95 ind./nm with an average of 9.0±3.3 ind./nm compared with 1-40 ind./nm and 6.1±1.1 ind./nm in 2023 (fig. 10.3.1).

Table 10.3.1. The total and mean (per nautical mile) catches of snow crab during BESS in 2004-2024.

Year

Total number of stations

Number of stations with Snow crab

Total catch, ind.

Total catch, kg

Mean catch, ind./nm

Mean catch,

kg/nm

2004

586

7

7

2

1

0.2

2005

602

12

16

4

2

0.3

2006

635

21

39

10

3

0.6

2007

528

45

115

14

3

0.4

2008

387

65

600

56

12

1.1

2009

357

49

212

37

5

0.9

2010

320

57

396

25

9

0.6

2011

379

84

6658

162

98

2.4

2012

429

114

34798

1 179

377

12.8

2013

416

112

13253

1 086

153

12.4

2014

294

83

10580

677

157

10.0

2015

325

87

1787

258

24

3.5

2016

292

57

1070

103

24

2.3

2017

321

116

20132

1 351

208

14.0

2018*

216

61

9816

764

201

15.7

2019*

314

104

6591

386

77

4.5

2020

417

130

4050

382

33

3.1

2021

333

105

1705

110

20

1.3

2022

287

94

891

50

12

0.7

2023

320

83

1430

151

19

2.0

2024

317

40

280

62

8

0.8

* Some stations in the Snow crab area were not surveyed in 2018 and 2019


Figure 10.3.1 Distribution of the snow crab (Chionoecetes opilio) in the Barents Sea in August-September 2023-2024
Figure 10.3.1 Distribution of the snow crab in the Barents Sea in August-September 2023-2024.

The size distributions of snow crabs caught in 2023 and 2024 were dominated by females within the size range 30-60 mm carapace width. The male size distribution was broader, ranging between carapace width from less than 25 to more than 110 mm (fig. 10.3.2).

Figure 10.3.2 Size distribution of the snow crab in the Barents Sea in August-September 2023-2024
Figure 10.3.2 Size distribution of the snow crab in the Barents Sea in August-September 2023-2024.

10.4. Icelandic scallop (Chlamys islandica)

Text by: D.Y. Blinova, F. Zimmermann, A.M. Hjelset

Figures by: D.Y. Blinova

Within the survey area, the Icelandic scallop is the dominant species. It is not difficult to identify this species, but in some cases other species of related bivalves (Pseudamussium peslutrae, Karnekampia sulcata, Delectopecten vitreus and Palliolum tigerinum) can be mistake identified as the Icelandic scallop. Therefore, caution should be exercised in assessing the distribution and biomass of the Icelandic scallop, which is shown in this chapter. This issue will be investigated later using genetic analysis and the results will be published in the next reports.

Icelandic scallop was recorded at 70 of 294 trawl stations where benthos was examined in 2024. The survey showed a wide distribution of scallops in the Barents Sea. The deepest record in 2024 was at 493 m, but the most abundant catches were recorded in the shallow banks and elevations of the bottom is Spitsbergen Bank (fig. 10.4.1).

 

Figure 10.4.1 Distribution of Iceland scallop (Chlamys islandica) in the Barents Sea, August-November 2023-2024
Figure 10.4.1 Distribution of scallops and Chlamys islandica, in the Barents Sea, August-November 2023-2024.

Table 10.4.1  Annual parameters of Icelandic scallop in the Barents Sea.

Year

Stations (% of total)

Catch rate, ind./nm

Catch rate, g/nm

2012

146 (33)

62±7

1580±195

2013

131 (27)

115±17

8378±1359

2014*

50 (36)

29±4

812±121

2015

103 (31)

13±1

264±32

2016*

76 (24)

18±2

268±38

2017

125 (33)

82±11

1486±198

2018*

65 (30)

31±4

537±91

2019*

112 (35)

42±11

1039±334

2020

97 (23)

15±5

146±40

2021*

88 (35)

20±6

225±51

2022*

77 (27)

34±6

224.8±39.9

2023*

82 (26)

14±4

108.1±31.9

2024* 58 (20) 25±14 354.0±128.0

 * - survey area was not complete

 

11 - Benthic Invertebrate Community

Figures by: Kudryashova A.

The list of benthic experts onboard Russian and Norwegian RVs is shown in the Background, tab. 1.

In 2024, bycatch records of megabenthos were made from 294 bottom trawl hauls across four R/Vs during the BESS. Megabenthos was processed to nearest possible taxon with abundance and biomass recorded on all four ships. This was done by three benthic experts from “VNIRO”, and by eight experts from IMR.

11.1   Species diversity

A total of 623 invertebrate taxa (432 identified to species level) was recorded in 2024, which is 5 % (9 %) less than in 2023 (tab. 11.1.1).

In 2024, 69.3 % of benthic invertebrate taxa were recorded at species level versus 66.4 % in previous year. G.O. Sars and Johan Hjort part 1 covered areas with highest biodiversity (403 taxa) and more than 65.1 % of the catch was identified to species level. Vilnyus covered the areas with lowest biodiversity (165 taxa) but had more than 84.8 % of the catch identified to species level. (tab. 11.1.2).


 

Table 11.1.1 The megabenthos bycatch measures obtained in BESS since 2005-2024. Pelagobenthic Pandalus borealis (Northern shrimp) are excluded from abundance and biomass values.

Year Number of stations Total abundance, ind.

Total

biomass, t

Average abundance, ind./n.ml Average biomass, kg/n.ml Number species

Number

taxa

2005 224 83077 2.1 522.5 12.7 142 218
2006 637 779454 20.7 1576.0 42.1 261 388
2007 551 526263 18.2 1240.2 44.6 222 351
2008 431 757334 12.2 2183.7 35.7 157 244
2009 378 653918 12.3 2056.4 42.2 283 391
2010 319 239282 6.8 900.0 27.3 273 360
2011 391 1089586 10.8 3411.4 34.3 282 442
2012 443 3521820 42.6 9832.1 125.5 354 513
2013 487 1573121 27.6 3885.0 71.7 362 538
2014 165 390444 5.3 2806.7 36.7 220 333
2015 334 481602 5.3 1815.1 19.9 398 599
2016 317 1116405 6.8 4230.1 36.3 266 423
2017 339 1073697 16.2 3769.4 58.6 319 500
2018 217 852613 15.4 4887.8 89.2 404 574
2019 305 1292902 19.0 4239.0 62.5 427 621
2020 429 898168 10.7 1719.1 30.4 401 611
2021 254 212931 10.2 1076.6 50.6 384 572
2022 287 426850 5.8 2101.2 31.3 382 562
2023 317 342660 7.0 1328.8 33.0 453 682
2024 294 505464 6.1 2193,0 31.5 419 603
Total           865 1377
Long-time average* 362±29 747484±94716 12.4±1.5 2543±310 43.9±4.3 323±21 482±30

 * The average long-term value for the period 2006-2023 except invalid (inflated) abundance and biomass data of 2012.


 

Table 11.1.2. Statistics of megabenthos bycatch processing and assessment of the quality of taxonomic processing of invertebrates in the BESS 2024.

Research vessels

G.O. Sars

Johan Hjort

Part 1

Johan Hjort

Part 2

Kronprins

Haakon

Vilnyus

Total

Number of processed hauls

60

41

23

26

144

294

Phylum

12

13

14

13

10

14

Class

29

27

25

26

20

31

Order

83

80

66

66

49

92

Family

178

167

121

138

90

220

Species

280

252

162

190

137

413

Total number of taxa

381

382

237

265

162

594

Percentage of species identification*

73.5

66.0

68.4

71.7

84.6

69.5

* calculated as quotient from division of total number of identifications till species to total number of identifications, %

 

The taxonomical structure of the Barents Sea megafauna is almost identical from 2023 to 2024 (fig. 11.1.1), and the area coverage very similar (fig. 11.1.2). Mollusca had the highest number of taxa (153 taxa) followed by Arthropoda (107 taxa), Echinodermata (85 taxa), Porifera (89 taxa) and Cnidaria (71 taxa). Among the mollusks, 54.6 % of taxa belonged to Gastropoda (83 taxa), 32.9 % – to Bivalvia (50 taxa), 7.9 % to Cephalopoda (12 taxa) and the remaining 4.6 % were distributed between Solenogastres, Polyplacophora, and Scaphopoda. The Arthropoda phylum were primarily presented by Malacostraca (81 taxa) and Pycnogonida (18 taxa); only 4 taxa belong to Hexanauplia. Among the Cnidaria 52 % of taxa belonged to Hydrozoa (35 taxa), and 48 % to Anthozoa (33 taxa). Among the Echinoderms the most diverse groups were Asteroidea (48.8 % of taxa), Ophiuroidea (21.9 % of taxa) and Holothuroidea (14.6 % of taxa).

Figure 11.1.1 The number of taxa given as the % distribution among megabenthic phyla in the Barents Sea, August- October 2023 and 2024. Groups having less than 1 % of the total taxa are not shown in the diagrams
Figure 11.1.1 The number of taxa given as the % distribution among megabenthic phyla in the Barents Sea, August- October 2023 and 2024. Groups having less than 1 % of the total taxa are not shown in the diagrams.

The species density in terms of the number of taxa in standard trawl catches ranged from 0 to 88 with average of 30.5±1.4 taxa per trawl-catch (versus 31.1±1.3 taxa per trawl-catch in 2023). The differences between 2024 and 2023 data are statistically insignificant at the α-level of 0.05 (p = 0.38).

Traditionally, in 2024 the western part of the survey shows higher level of species diversity than the eastern part of the sea (fig. 11.1.2). The highest number of taxa in haul (88 taxa) was recorded on the shallow of Persey Bank (to east of Svalbard/Spitsbergen) at the depth 186 m. The lowest level of diversity (0-5 taxa per haul) was recorded in the south-eastern part of the survey area. There are a very visible division between the Russian ship in east and the Norwegian ships in west (fig. 11.1.2) and it is questioned if this may be a human artifact with different trawl standards rather than a natural phenomenon.

 

Figure 11.1.2 The number of megabenthic taxa per trawl-catch in the Barents Sea in the periods August-October 2023 and 2024
Figure 11.1.2 The number of megabenthic taxa per trawl-catch in the Barents Sea in the periods August-October 2023 and 2024.

The ten most frequently species taken by trawl in the investigated part of the Barents Sea in 2024 were the decapod crustaceans Sabinea septemcarinata (taken by 66 % of the trawl-hauls), sea stars Ctenodiscus crispatus (63 %), Pontaster tenuispinus (49 %), Henricia species (37 %), and Urasterias lincki (34 %) the brittle stars Ophiacantha bidentata (50 %), Ophiopholis aculeata (47 %), and Ophiura sarsii (43 %), soft coral Gersemia rubiformis (39 %), and sea spider Nymphon hirtipes (34 %). The lists of the ten most frequently caught species in 2023 and 2024 are almost identical except for the absence in 2024 of polychaetes Spiochaetopterus typicus.


11.1.3   New species records

During the BESS 2024 in the Norwegian part of the Barents Sea, 27 new taxa was recorded for the first time since 2005 when the ecosystem surveys started, there are three new species in the Russian part of the sea (fig. 11.1.3.1).

Figure 11.1.3 Locations of megabenthic species of Porifera (A), Mollusca (B) and “other groups (C) registered in 2024 and for the first time since the start (year 2005) of the long term monitoring of the Barents Sea and adjacent water of the BESS. Circles illustrate Norwegian ships while squares the Russian ship.
Figure 11.1.3.1 Locations of megabenthic species of Porifera (A), Mollusca (B) and “other groups (C) registered in 2024 and for the first time since the start (year 2005) of the long-term monitoring of the Barents Sea and adjacent water of the BESS. Circles illustrate Norwegian ships while squares the Russian ship.

New species of sponges and mollusks was identified by the expert specialists A. Plotkin and A. Voronkov onboard the Norwegian ships. The Polychaete worms observed on the Russian vessel in 2024 are common in the Barents Sea, and identified to species level by K. Rolskaya, who are a specialist of the polychates group on  board the Russian vessel.

Of the new 30 species identified in the Barents Sea in 2024, 19 species are boreal and 13 species are new to the BESS (Bubaris vermiculata, Phorbas perarmatus, Aulacofusus brevicauda, Parvicardium minimum, Kellia suborbicularis, Maera loveni, Phascolion (Isomya) tuberculosum, Haliclona rosea, Bela nebula, Buccinum humphreysianum, Petrosia (Petrosia) crassa, Phakelia rugosa, Poecillastra. compressa), and a possible result of their spreading to the east and north due to the long warming period.

The other 17 new species have previously been recorded from the Barents Sea and adjacent shelf areas outside the BESS, and the identification of these species can be a result of a more detailed and/or qualified species identification made by the benthos expert onboard.


11.2 Abundance (number og individuals)

The number of megabenthos individuals in the trawl-catches in 2024 (excluding the pelago-benthic species Pandalus borealis) ranged from 0 to 129936 (0-138229 ind./nm) with an average of 1811±464 ind. per trawl-catch (2193±503 ind./nm). This is 65 % more than in 2023 tab. 11.1). A possible explanation may be the increased number of trawl hauls in 2024 with high number of megabenthos individuals compared to 2023 where the number of such trawl hauls was fewer and within a smaller area. (fig. 11.2.1). But despite the increase in 2024 with 65%, the differences between 2023 and 2024 are statistically insignificant at the α-level of 0.05 (p = 0.56).

Figure 11.2.1 Abundance (ind./n.ml) of megabenthos (excluding Pandalus borealis) in the Barents Sea in August- October 2023 and 2024
Figure 11.2.1 Abundance (ind./nm) of megabenthos (excluding Pandalus borealis) in the Barents Sea in August- October 2023 and 2024.

The abundance distribution in 2024 was very close to the pattern of the previous year (fig. 11.2.1). The largest catch in number of individuals (129936 ind./trawl-catch), mainly consisted of the sea-squirt (Ascidiacea) Rhizomolgula globularis (127929 ind./trawl catches, 98 % of total abundance). These catches were obtained in the western part of the Barents Sea to north of the Bear Island (75.00° N, 19.60° E) at the depth 61 m (fig. 11.2.1). The similar trawl haul with very high numbers of individuals of the sea-squirt R. globularis was recorded in 2021, 2022 and 2023 within the exactly same position and depth. As in previous year, the lowest abundances (less than 50-100 ind. per haul) was recorded in the south-eastern part of the sea within the Russian part of the survey.


In 2024, the abundance distribution across the main megabenthic groups (%, excluding Pandalus borealis) in the Barents Sea was dominated by Echinodermata, Chordata (due to high local concentration of sea-squirt R. globularis), and Arthropoda (Crustacea makes up the main part). This is in accordance with the long-term pattern (fig. 11.2.2).

Figure 11.2.2 The distribution of abundance (excluding Pandalus borealis) across the main megabenthic groups (%) in the Barents Sea, August- October 2023 and 2024. The groups with number of individuals less than 1 % of total are not shown in the diagrams.
Figure 11.2.2 The distribution of abundance (excluding Pandalus borealis) across the main megabenthic groups (%) in the Barents Sea, August- October 2023 and 2024. The groups with the number of individuals less than 1 % of total are not shown in the diagrams.

 

The ten most abundant species (in the term of total number of individuals caught during the BESS 2024 were the sea-squirts R. globularis (24.0 %) and Kukenthalia borealis (2.4 %), sea star Ctenodiscus crispatus (11.5 % of total abundance), the brittle stars Ophiacantha bidentata (9.0 %), Ophiopholis aculeata (2,7 %), and Ophiura sarsii (1.7 %), sea urchins of genera Strongylocentrotus (mainly S. pallidus) (6,4 %), sedentaria polychaets Spiochaetopterus typicus (5.1 %), shrimp Sabinea septemcarinata (4.2 %), and bivalve Bathyarca glacialis (2.7 %).

 

 


11.3    Biomass

As in previous years in 2024, Sponges, Echinoderms, and Crustaceans made up the main part of the total megabenthic biomass (94 %) (Fig. 11.3.1).

Figure 11.3.1 The distribution of biomass (excluding Pandalus borealis) across the main megabenthic groups (%) in the Barents Sea, August-October 2023 and 2024. The groups with the biomass less than 1 % of total are not shown in the diagrams
Figure 11.3.1 The distribution of biomass (excluding Pandalus borealis) across the main megabenthic groups (%) in the Barents Sea, August-October 2023 and 2024. The groups with the biomass less than 1 % of total are not shown in the diagrams.

 

The megabenthos biomass taken by the trawl (excluding the semi-pelagic species Pandalus borealis) in 2024 varied from 0 to 1168 kg (0-2089 kg/nm) with an average of 20.9±5.9 kg per trawl-catches (31.5±10.4 kg/nm). This average is 4.5 % less than in the previous year and 28.2 % less than the average long-term value for the period 2006-2023 except the invalid 2012 (tab. 11.1). The differences between 2023 and 2024 data are statistically insignificant at the α-level of 0.05 (p = 0.92).


The biomass distribution in 2023 were very close to the pattern of previous years (fig. 11.3.2) and did not show the division into the “Russian” and the “Norwegian” side as for the species number (fig 11.1.2) and the abundance (11.2.1) which indicates that “biomass” is a measure less sensitive for artificial artifacts such as trawl-rigging. Areas with low biomass was in the central south eastern area, while the highest trawl catches in biomass was in the south-west.

Figure 11.3.2 The biomass distribution of megabenthos (excluding Pandalus borealis) in the Barents Sea in August- October 2023 and 2024
Figure 11.3.2 The biomass distribution of megabenthos (excluding Pandalus borealis) in the Barents Sea in August- October 2023 and 2024.

 

A trawl catch with biomass larger than 1 t was taken in 2024 at one station in the south-western part of the Barents Sea from 334 m depth. This haul was dominated by sponges: Geodia barretti (517 kg; 44.3 % of the total station biomass), G. macandrewii (513 kg; 44.0 %), G. phlegrae (42.5 kg; 3.6 %), Stelletta rhaphidiophora (72 kg; 6.2 %) and Stryphnus fortis (12.0 kg; 1.0 %). Other six stations with biomass more than 100 kg per trawling was recorded in nearby areas in the south-western part of the sea at depth of 271-335 m (dominated by G. barretti and G. macandrewii), in Spitsbergen Bank (46-61 m) and dominated by sea cucumber Cucumaria frondosa, making up to 91 % of the total biomass at this station, and the sea-squirts Rhizomolgula globularis, making up to 57 %), and in the north-eastern part of the sea (248 m  and 98.9 kg of sponges Thenea valdiviae making up to 86  % of the total biomass on the station).

More than half of the total megabenthic biomass in the Barents Sea taken by trawls (59.5 % of the total biomass of by-catches) belonged to the sponges of Geodia genera (G. barretti, G. macandrewii, G. atlandica and G. phlegraei) and the associated sponges S. rhaphidiophora and S. fortis. Other top-dominant species in biomass was sea cucumbers C. frondosa (4.7 % of the total biomass), Parastichopus tremulus (1.0 %), and holoturians of genera Molpadia (1.5 %), crabs Paralithodes camtschaticus (4.6 % of the total biomass) and Chionoecetes opilio (1.8 %), sponges T. valdiviae (2.6 %), sea star Ctenodiscus crispatus (2.0 %), basket stars of Gorgonocephalus genera (1.6 %), shrimps Sabinea septemcarinata (1.4 %), and sea urchin of the genera Strongylocentrotus (1.3 %). The contribution of each of the other species did not exceed 1 % of the total biomass of megabenthos bycatches and in sum add up 18 % of it.

12 - Marine Mammals and seabirds

12.1 Marine Mammals

Text by R. Klepikovsky, M. Biuw, F. Boehm
Figures by F. Boehm

Marine mammal observers participated onboard all Norwegian and Russian RVs of BESS 2024. Total search effort added up to 5342 km for Norwegian and 5120 km for Russian vessels. In total, 636 observations including 1786 individuals of 11 marine mammal species were obtained, with 209 individuals not identified to species level. The observed number of marine mammals by species is given in tab. 12.1.1. Locations of toothed and baleen whale species are shown in figs. 12.1.1, 12.1.2.

Table 12.1.1. Number of marine mammal observations and individuals recorded during BESS 2024.

Species

Number of Observations

Number of Individuals

Average Group Size

Minke whale

115

116

1.0

Fin whale

46

52

1.1

Humpback whale

139

258

1.9

Blue whale

2

2

1.0

White-beaked dolphin

226

1067

4.7

Harbour porpoise

13

38

2.9

Killer whale

3

26

8.7

Sperm whale

3

3

1.0

Beluga whale

1

12

12.0

Hooded Seal

1

1

1.0

Walrus

2

2

1.0

Unidentified whale

64

153

2.4

Unconfirmed whale

3

3

1.0

Unidentified dolphin

17

51

3.0

Unidentified seal

1

2

2.0

Total

636

1786

 

As in previous years, the most frequently observed and widely distributed species was the white-beaked dolphin (Lagenorhynchus albirostris) with higher sighting frequency north of 74°N.

Compared to 2023, the number of white-beaked dolphins recorded was 40% lower, and the size of the groups recorded was also smaller (maximum 20 individuals). Consistent with previous years, other dominant species observed during the survey included the baleen whales minke (Balaenoptera acutorostrata), humpback (Megaptera novaeangliae), and fin (Balaenoptera physalus) whale. This year, the number of minke whale sightings was 36% lower than in 2023. Minke whales were mainly observed east of Svalbard, in areas commonly associated with high capelin and krill biomass. In contrast to 2023, minke whales were not recorded in the Pechora Sea this year.

Humpback whales were observed mostly in areas east of Svalbard, where they overlap with the traditional capelin aggregations, often together with fin and minke whales. The number of humpback whales observed this year was 55% higher than in 2023.

As in 2023, fin whales were widely distributed in the western survey areas. As for minke and humpback whales, fin whales were most frequently observed in the waters east of Svalbard. Similar to minke whales, the number of fin whales recorded this year was 55% lower than in 2023.

Two blue whales (Balaenoptera musculus) were observed in the waters adjacent to Svalbard/Spitsbergen.

Figure 12.1.1. Distribution of toothed whales in BESS 2024.
Figure 12.1.1. Distribution of toothed whales in BESS 2024.

 


 

Figure 12.1.2. Distribution of baleen whales in BESS 2024.
Figure 12.1.2. Distribution of baleen whales in BESS 2024.


The lower number of observations of some common species (white-beaked dolphin, minke, and fin whales) during the BESS 2024 period may be linked to a decrease in the biomass of capelin in the research area. However, challenging sighting conditions and overall less effort compared to 2023 may also have played a role in some areas.

Besides white-beaked dolphins, other toothed whales recorded included sperm whale (Physeter macrocephalus), harbour porpoise (Phocoena phocoena), killer whale (Orcinus orca), and beluga whale (Delphinapterus leucas). Sperm whales were mainly observed in the western areas (west of 24°E and south of 75°N). Harbour porpoises were only found in areas south of 75°N and east of 33°E, in association with herring aggregations. Killer whales were recorded in waters near the coast of Norway and northeast of Spitsbergen.

In addition, one group of beluga whales (12 individuals) was recorded near Barents Island.

Observations of pinniped species included hooded seal (Cystophora cristata) and walrus (Odobenus rosmarus). These species were encountered near White Island (only walrus) and Barents Island.


12.2  Seabirds

Text by P. Fauchald, R. Klepikovskiy

Figures by P. Fauchald

Seabird observations were carried out by standardized strip transect methodology.  Birds were counted from the vessel’s bridge while the ship was steaming at a constant speed of made only during daylight and when visibility allowed a complete overview of the transect. On "G.O. Sars" and "Kronprins Haakon", birds following the ship i.e. “ship-followers”, were counted as point observations within the sector every ten minutes. Ship-followers included the most common gull species and northern fulmar. On "Vilnius", ship-followers were counted continuously along the transects, and by a point observation at the start of each transect. The ship-followers are attracted to the ship from surrounding areas and individual birds are likely to be counted several times. The numbers of ship-followers are therefore probably grossly over-estimated.

The Norwegian sector was covered by "G.O. Sars" and "Kronprins Haakon" in the period 19. August to 12. October. The Russian sector was covered by "Vilnyus" in the period from 14 August to 4 October. No seabird observers were present on Johan Hjort and on the second leg of "GO Sars" and data is therefore lacking for a portion of the Norwegian sector. Total transect length covered by "GO Sars" and "Kronprins Haakon" was 2164 km. Total transect length covered by "Vilnyus" was 5237 km. A total of 34.328 birds belonging to 39 different species were counted. The distribution of the dominant auk species is shown in fig 1 and the distribution of the most common gull species and Northern fulmar is shown in fig. 12.2.2).

Broadly, the distribution of the different species (figs. 12.2.1, 12.2.2) was similar to the distribution in previous years. For the auks (fig 12.2.1), little auks (Alle alle) were found northeast of Svalbard/Spitsbergen. High densities of thick-billed murres (Uria lomvia) were found in the northern part of the Barents Sea with the highest densities east of Svalbard/Spitsbergen. Atlantic puffins (Fratercula arctica) and common guillemots (Uria aalge) were found in the southern Barents Sea.  Northern fulmar (Fulmarus glacialis) and black-legged kittiwake (Rissa tridactyla) were encountered throughout the Barents Sea but with highest density of kittiwakes in the central and northern parts (fig. 12.2.2). For the large gull species, herring gull (Larus argentatus), glaucous gull (Larus hyperboreus) and great black-backed gull (Larus marinus) were found in the southern part of the study area.


Figure 12.2.1 Density of auk species along seabird transects in 2024. White-filled circles are zero density
Figure 12.2.1 Density of auk species along seabird transects in 2024. White-filled circles are zero density.

 

Figure 12.2.2 Density of the most common gull species and Northern fulmar along seabird transects in 2024. White-filled circles are zero density.
Figure 12.2.2 Density of the most common gull species and Northern fulmar along seabird transects in 2024. White-filled circles are zero density. Note that because these species are attracted to and tend to follow the ship, the density is systematically over-estimated.